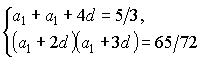
а. Пусть не очень прочного, но- успеха! И совсем не обязательно разбивать весь ответ на отрезки по 5 вопросов. Можно слушать до первой большой остановки. Она может произойти и на 7-м и на 12-м вопросе. Это даже лучше. Важно только не унизить ученика демонстративным снисхождением. Все должно выглядеть абсолютно естественным, и артистические способности учителя в этом случае играют далеко не последнюю роль. Разумеется, при расчлененном опросе итоговая оценка может быть только посредственной, и ученику, как и всем, должно быть предоставлено право исправить ее. Но рассчитывать здесь на скорый успех не приходится: стремление к самоутверждению, свойственное всем ребятам, у этой группы детей заторможено и находится в рудиментарном состоянии. И все же такая искусственная мера по отношению к ним целесообразна и педагогически оправдана. Уже через год они входят в общий ритм учебной работы.  Скорая помощь Начало первого года работы на новой методической основе. Первые листы группового контроля. Первые провалы. Провалы по разным причинам: у одних - плохая память, у других - атрофировано чувство ответственности, у третьих - укоренилась привычка к безделью. Причин много, результат один: 5-6 человек и после третьего опроса по листу, когда ответы на вопросы прозвучали в классе уже не менее 7 раз, ответить все еще не могут. Одни пытались, да не получилось, а другие даже и попыток не делали. Как быть? - Лариса, объясни, пожалуйста, первые 5 вопросов нового листа группового контроля Вове, и пусть он после этого ответит тебе на них. Эка сложность - 5 вопросов! Объяснение и опрос занимают не более 5 минут. В любое время дня. - Все сделали,- докладывает на перемене Лариса. - И Вова ответил на все вопросы? - На все. - Спасибо, Лариса. Теперь учителю остается задать контрольные вопросы Вове и тут же выделить на следующие 5 вопросов нового консультанта. В итоге 6 ребят, не особо утруждая себя долгими беседами со своим не справляющимся с работой товарищем, как бы между делом, приводят его к пониманию всех вопросов листа группового контроля. Необходимость в такой объемной консультационной помощи практически полностью исчезает уже на втором году работы.  А бывает и так... Во время опроса нескольких отставших от класса ребят выясняется, что кто-то из них хорошо усвоил ответы на одни вопросы и затрудняется в ответах на другие, и наоборот. Все это относится к загадкам памяти, но почему бы не предложить разобравшимся в "своих" вопросах помочь тем, кто их еще не усвоил, т. е. организовать взаимообучение? - Женя, объясни, пожалуйста, Игорю пять вопросов: No 7, 9, 10, 12 и 17. А ты, Игорек, объясни Жене вопросы No 4, 11, 13, 18 и 20. Ситуации, складывающиеся во время таких диалогов, достойны пера большого литератора, и потому предоставим читателям самим домыслить, что и как из всего этого получается.  * ГЛАВНОЕ НАПРАВЛЕНИЕ *  Каждый из нас, и те, кто только начинает работать в школе, и те, кто отдал ей не один десяток лет, рано или поздно задумывается над вопросом: в чем суть профессии учителя, в чем притягательность этой внешне вроде бы однообразной работы? Вопрос этот из категории "вечных", и каждый в разную пору своей профессиональной зрелости отвечает на него по-своему. Сейчас, когда за плечами 40 лет педагогического стажа, отвечу так: в ни с чем не сравнимой радости стоять у колыбели мысли и личности ученика, в возможности видеть невидимое для многих - процесс взросления, становления человека и ощущать себя причастным к таинству развития познавательных сил своих питомцев, а спустя годы видеть воплощение своего труда в прекрасных людях, достойных гражданах своей Родины. Но как сделать, чтобы годы учения, годы детства, отрочества и юности стали для каждого ученика точкой опоры на всю последующую жизнь? Точка опоры - это обретение достоинства, в основе которого честь, совесть, правда, высокое представление о человеке и его предназначении на зеглле. Чувство достоинства не может возникнуть вдруг, из ничего, само по себе. Оно взращивается в непрестанном преодолении, упорной работе на каждом сантиметре школьной жизни, в повседневном содружестве учителей и учеников. Все действия и поступки учителя, все его большие и малые находки, все избранные им приемы и средства обучения не будут значить ровным счетом ничего, если они не одушевлены этой главной педагогической целью. Забота о достоинстве человека должна быть воздухом общения в классе и в школе. "Чувство гуманности оскорбляется, когда люди не уважают в других человеческого достоинства, а еще больше оскорбляется, когда человек в самом себе не уважает собственного достоинства" - так считал В. Г. Белинский. А замечательный австралийский писатель Алан Маршалл высказал горькую и обнадеживающую мысль: "Надо ежечасно, ежеминутно помнить о детях и отвечать перед ними за свои поступки. Мы оставляем мир в неважном состоянии, надо, чтобы дети были очень хороши, добры, умны, тверды и ответственны".  Непрерывность поиска Зал политехнического института. Восьмиклассники экспериментальной группы сдают экзамен по математике за курс средней школы. Члены комиссии - преподаватели института, учителя разных школ города, научные сотрудники кафедры педагогики Донецкого университета. Вопросы следуют один за другим. Неожиданные, нестандартные, но в самой постановке их и в тоне экзаменаторов не ощущается ни недоверия, ни предвзятости. Это раскрепощает ребят, а потому экзамен более напоминает доверительную беседу. - Ветви тангенсоиды,- басит заведующий кафедрой педагогики и психологии,- простираются в бесконечность. Но что такое бесконечность? Секундная пауза. Марина посмотрела куда-то вверх, задумалась и... - Процесс. Аудитория ответила гулом одобрения. С тех пор прошло уже много лет. Марина стала кандидатом наук, но тот ее экспромт, которым она так удивила и членов комиссии и своих товарищей, вспоминается всякий раз, когда приходится сталкиваться со становыми проблемами педагогики. Вот уже, думается, все: на этом направлении можно поставить последнюю точку и более к нему не возвращаться. Здесь уже все хорошо. Но проходит еще немного времени, и новые мысли, щемящее чувство неудовлетворенности снова и снова возвращают сознание на уже, казалось бы, тысячекратно проторенные пути. Процесс... Не потому ли он так притягателен и неизбывен, что всякий раз, рассматривая уже созданное, человек видит его в новом освещении, в новых взаимосвязях и взаимозависимостях. Вот во время решения задачи No 4002 (из сборника М. И. Сканави) у семиклассников произошла заминка. После прочтения условия "Сумма первого и пятого членов арифметической прогрессии равна 5/3, а произведение третьего и четвертого ее членов равно 65/72. Найти сумму 17 первых членов этой прогрессии" система уравнений была составлена сразу же и работавший у доски ученик предложил провести элементарную замену: Так как прямой ход решения приводил к недопустимо громоздким расчетам, решение задачи было приостановлено. - Подумайте, как проще решить эту систему. Полминуты тишины, и ни единого предложения. Ничего удивительного: этот вариант решения встретился впервые, и теоретические знания, не подкрепленные практическими действиями, безмолвствовали. - Пусть эта запись останется на доске, а мы решим пока что другую задачу. Прошло не более трех минут, и - рука! - Пять третьих - это удвоенный третий член. - Почему? - А потому что любой удвоенный член арифметической прогрессии равен сумме равно отстоящих от нее членов. Первый и пятый члены находятся на одинаковом расстоянии от третьего. - Все! Задача решена. И снова вы убедились, как важно уметь отключиться. Как важно возвратиться к решению задачи после некоторой, пусть даже чем-то заполненной паузы. Вам только кажется, что вы оставили задачу. На деле же сознание продолжает над ней работать. Работать без насилия, без обязательного требования - выдать решение. Вот так и дома, вот так и всегда: снова и снова возвращайтесь мыслью к трудной задаче. Возвращайтесь в течение дня, в течение недели, в течение месяца. Условие задачи должно проясниться до мельчайших деталей, и мозг выдаст вам решение в награду за вашу настойчивость. Вспомните, как решил задачу всесоюзной математической олимпиады в прошлом году Вова Бустеряков. Точно так же. Первое прочтение условия. Отключение на другую задачу. Второе включение, и - устные выкладки от начала до конца. Только теперь стала понятна целевая установка приведенного примера с урока. Как и всему прочему, ребят нужно учить работать. Работать грамотно и продуктивно. Одними только требованиями и увещеваниями ничего, кроме отвращения к математике, добиться невозможно. Озарение капризно и избирательно. Оно не может прийти к каждому, кто только однажды прикоснулся к проблеме. Озарение - это награда за целеустремленность, за верность идее, за прилежание, за веру в успех. Сколько раз случалось даже такое, когда ученики приносили в класс решение задачи, над которой думали несколько месяцев. Счастье такого достижения невозможно сравнить ни с чем. Дело-то в конечном счете не в самой задаче, а в самоутверждении, в растущей вере в свои возможности и в глубинном понимании путей движения к результату, в трудовом настрое на его достижение. И все это относится не только к решению задач по физике или математике, а к творчеству вообще. Так же, мучительно выверяя каждую интонацию, упорно шлифуя каждое ударение и каждый слог, пишут стихи. В творческих поисках легких побед не бывает! Если это будет осознано учеником и станет направляющим фактором в его учебных буднях, то можно с уверенностью сказать, что зерна труда учителя, попав в благодатную почву, дадут добрые всходы, а потом и прекрасные плоды. Памятуя об этом, каждый трудный успех ученика необходимо делать достоянием всего класса. Уметь разделить искренне и полно радость другого - редкое качество человека. Говорят, друзья познаются в беде, но еще более полно они познаются в счастье. Ободряющая улыбка, доброе, искреннее слово, сердечно высказанное чувство - как много они значат для растущего человека  Лучшее - враг хорошего Первое собрание с родителями учеников IV экспериментального класса проводится в последних числах августа. Цель проста: еще до начала учебного года папы и мамы должны подготовить некоторые пособия для первого урока. Одно из таких пособий - плашки с номерами заданий на первые два месяца работы. Эти плашки нужно слегка увеличить и наклеить на плотный лист картона. На плашках отражены 1500 упражнений из стабильного учебника по математике для IV класса, но для решения в классе и самостоятельной работы дома выделено немногим более 600. Остальные помечены точками, косыми крестиками или заштрихованными квадратиками. Вот образец первой плашки (с. 293). Вначале представлялось, что система пометок существенного значения не имеет: велика ли разница - отмечен квадратик точкой или косым крестиком? Оказалось, велика. Плоскость плашки, испещренная точками и крестиками, не становилась по мере работы с ней чем-то завершенным - слишком много на ней было пустых мест и прогалин. Работа с такими плашками значительно снижала трудовую активность младших школьников: на 20-30% сокращалось общее количество самостоятельно решаемых упражнений. Иное дело - плашка с закрашенными квадратиками, представленная на рисунке. Пустые клетки - поле предстоящей деятельности ученика. Появляется чисто игровой интерес - закрасить их все (отмечается каждая решенная задача). И чем меньше остается пустых клеточек, тем активнее работает ученик. Он знает, что впереди его ждет новая плашка, а предстоящая встреча с новым в высшей степени притягательна для ребят десятилетнего возраста. Если судить по плашке, из 500 номеров учебника школьнику необходимо решить всего 211. А как же остальные? Сначала произведем простой расчет. 500 номеров - это не 500 заданий. В No 15-4 примера, в No 32-5 упражнений, в No 33-2 задачи, 500 номеров - это более 1000 разнообразных упражнений, а всего в учебнике IV класса их около 4000. Обычная норма для работы дома в традиционных условиях - 1 задача и 1 пример. Всего в учебном году в IV классе 210 уроков, а это значит, что ученик, не пропустивший в течение года ни одного урока, может дома самостоятельно решить около 600 задач и примеров. Напомним, что пустые клеточки на плашке соответствуют вдвое большему числу упражнений. Заштрихованные клеточки - это поле деятельности учителя для подбора упражнений, выполняемых на уроках коллективно и индивидуально. Значительное число упражнений, отмеченных заштрихованными клеточками, представляют собой тренировочные, необходимость в которых при систематической работе каждого ученика просто отпадает и которые в дальнейшем, по мере совершенствования учебного процесса, не будут включаться в стабильные сборники задач. Учебники станут несколько тоньше, но более насыщенными. Действенность таких плашек без труда может проверить на практике не только любой учитель, но и любой родитель. Дети охотно включаются в игру и стремятся решать задачи каждую свободную минуту. Без всяких напоминаний и принуждений. Спустя некоторое время на смену игровому приходит познавательный интерес, а вместе с ним - успехи в учении и совершенно закономерное чувство достоинства и самоуважения. Задача учителей и родителей в этом процессе только одна: обеспечить систематическую проверку выполняемых упражнений. Дома это делают родители, в школе - консультанты-старшеклассники. Несколько слов о двух точках на первой плашке. Они соответствуют задачам в учебнике No 301 и 347. Их решать вовсе не нужно. Никогда. Приведем полное условие первой из них. "Пошел дождь. Под водосточную трубу поставили пустую бочку. В нее вливалось каждую минуту 8 л воды. Через щель в бочке вытекало 3 л воды в минуту. Сколько литров воды будет в бочке через 1 мин, 2 мин, 3 мин, 4 мин и т. д. до 10 мин?" На научную нелепость таких задач в свое время указывал еще известный советский писатель Я. И. Перельман, но, увы, ошибка столь живуча, что о ней приходится говорить снова спустя полвека. Дело в том, что по мере наполнения бочки давление воды на уровне щели будет возрастать, а количество выливающейся жидкости - непрерывно увеличиваться. Может случиться даже так, что через некоторое время количество выливающейся жидкости сравняется с количеством поступающей и подъем уровня жидкости в бочке просто прекратится. С такого рода задачами, когда речь идет о переменных величинах, нужно быть чрезвычайно осторожным (взлет ракеты при сокращающейся массе горючего, сползание каната со стола под действием собственной силы тяжести - таких примеров достаточно много).  Любите книгу - источник знаний Да, книга - источник знаний. Да, книгу нужно любить. Но нельзя из книги делать культ. Книги бывают разные - хорошие и плохие, полезные и вредные, и несчастны те дети, которым никто и никогда не показывал совершенно очевидных ошибок даже в самых хороших книгах, не говоря уже о школьных учебниках. "Будьте внимательны,- говорим мы детям.- Книги пишут обычные, такие же, как и мы с вами, люди. Им свойственно заблуждаться, ошибаться, и хотя над каждой книгой работает множество людей - авторы, рецензенты, редакторы, корректоры, в книгах все же довольно часто встречаются ошибки и опечатки". Школьники, наученные критически читать, часто находят оригинальные доказательства теорем (случается, даже изящнее тех, которые даны в стабильных учебниках), обнаруживают ошибки в предложенных авторами ответах на различного рода примеры и задачи. Ученик, для которого книга - идол, может бесплодно терять многие часы в поисках решения, подводя его к ответу в книге, хотя в результате ошибки автора этого ответа просто не существует. Ученик же, уверенный в своей правоте, спокойно и строго докажет верность выбранного им пути решения и полученного ответа. Вспоминается случай, когда ученица VIII экспериментального класса Таня Аминина не только доказала ошибочность ответа в сборнике задач, но и, перебрав огромное число вариантов, нашла злополучную цифру, которую нужно было заменить, чтобы получить ответ автора. Девочку к этому никто не понуждал: эка невидаль, опечатка, мало ли их случается в новых изданиях? Но нужно было видеть десятки исписанных листов, чтобы понять и оценить титаническую работу, проведенную в поисках условия примера, соответствующего ответу. Вдумаемся: ошибочной могла быть любая из полусотни цифр, любой из знаков действий, любая скобка, любая черта дроби. И не одна... Добавим к этому, что до прихода в экспериментальный класс Таня была рядовой троечницей. Сейчас она научный сотрудник высшего учебного заведения. Этот факт отражает не только качество учебного труда, но и уровень расчетных навыков учеников экспериментальных классов, который может быть достигнут всего только за один учебный год, независимо от того, ведется работа с учащимися IV или VIII класса. Весной 1986 г. была проведена необычная сопоставительная контрольная между учащимися IV экспериментального класса и выпускниками очень сильного (11 медалистов) X класса по решению конкурсных примеров на все действия с обыкновенными, десятичными и периодическими дробями. Итог: десятиклассники решили 30 примеров (количество писавших работу было одинаковым), четвероклассники - 34 примера. И это при условии, что 150 из заштрихованных на плашке квадратиков (т. е. на выделенных для самостоятельного выполнения заданий) - примеры. Все дело в подходе к самим примерам. Нет никакой необходимости расходовать драгоценное время уроков на выработку вычислительных навыков: они приходят сами по себе в процессе решения разнообразных задач и примеров. Действия же с дробными числами во всех деталях аналогичны характеру работы с целыми числами. Стало быть, можно не тратить время на примерах с целыми числами, а как можно раньше, уже во второй четверти IV класса, переходить ко всем действиям с дробями, т. е. к тому учебному материалу, который в основном перенесен на пятый год обучения. В этом скрыт одни из самых значительных резервов ускоренного (и более основательного!) прохождения программы по математике. Рассмотрев попутно первые рекомендации по решению примеров, возвратимся к основной мысли этого короткого раздела: каждую обнаруженную в учебнике ошибку надо непременно обсуждать с ребятами. Это развивает у них вдумчивое отношение к тексту, способствует их самоутверждению и независимости в лучшем смысле этих слов.  Наташины окошки Если кому-то из читателей покажется, что после первого родительского собрания все папы и мамы сделают своим детям красивые и прочные плашки, уже одним только своим внешним видом зовущие к решению задач, то это будет непростительной наивностью. Чего только не принесут ребята к первому уроку! И кривые картонки, и вырванные из тетради листы в клеточку с небрежно нарисованными на них сетками плашек, и тяжелые фанерные пластины... Некоторые вообще ничего не принесут. И чему, собственно, удивляться: родители - выпускники вчерашней школы, многие из них приучены работать спустя рукава или совсем не работать. Начинается индивидуальное обучение пап и мам. По мановению волшебной палочки ничего не происходит. Родители врастают в работу на новой методической основе значительно труднее, чем их дети. Сказывается труднопреодолимый разрыв между семьей и школой. Постепенно все образуется, возникнет взаимопонимание, но это будет потом, а пока тетрадные листочки теряются, картонки лохматятся и приходят в совершенную негодность. Саша Пономаренко терял свои плашки в течение учебного года не менее четырех раз. Потом они вдруг находились - под школьными вешалками, за радиаторами, в темных чуланах. Оставалось загадкой, каким образом они туда попадали. Сам Саша смотрел на всех кристально чистыми глазами и искренне недоумевал по поводу каждого исчезновения очередной плашки. Папа - врач, человек чрезвычайно занятой, удивлялся вместе с сыном, и каждую новую плашку делал все более массивной. Иное дело - Наташа Нестерцова. Ей плашку сделали маленькую, аккуратную и черную, как воронье крыло: все заштрихованные квадратики залили сплошным слоем туши. Циферки на плашке - чуть побольше маковых зернышек, и оттого Наташа то строчку перепутает, то не по тому столбику пальцем поведет. Ребята шли вперед, их строчки в ведомости открытого учета решенных задач заполнялись все новыми квадратиками, а Наташа топталась на месте, теряя веру в свой возможный успех. Причин же тому было две. Первая - неудачная плашка, вторая - Наташина невнимательность. Да и откуда ей было быть, внимательности, если за весь предыдущий учебный год в III классе Наташа получила около 50 троек, столько же двоек и несколько четверок за ведение тетради - писала девочка аккуратно и красиво. Вот и весь багаж Наташи, с которым она пришла в экспериментальный класс. На протяжении первых трех месяцев она сидела в классе безмолвным холмиком с большими, наполненными испугом глазами. Ни малейшего движения и никакой попытки поднять руку, а если называлась ее фамилия, то холмик вставал и снова-таки беззвучно хлопал длиннющими ресницами. Правда, иногда Наташа открывала рот, но только для того, чтобы протяжно и горестно вздохнуть. Пустые клеточки в плашках в первые недели (так было легче вести учет решенных задач) закрашивались яркими фломастерами. У других ребят на фоне бледных заштрихованных пастой от шариковых ручек квадратиков все это смотрелось цветастой, но ничем не примечательной картиной. А у Наташи среди сплошной черноты... - Посмотри, как интересно! Это у тебя на плашке ночь, большой черный дом, и в его окошках - новогодние огни. Ты решаешь задачу, и сразу же у кого-то в квартире радость: зажглась новогодняя елка. Образность сравнения была столь неожиданной и точной, что стоявшие рядом ребята потянулись к Наташиной плашке, а девочка, слегка зардевшись, улыбалась счастливо и благодарно. На следующий день она принесла в тетради вдвое больше задач, чем делала это обычно. Через две недели в школу пришел Наташин папа, который, несмотря на запрет, помогал дочери решать задачи, и удивленно сообщил: - Категорически отказалась от помощи. Сидит за математикой, как не сидела никогда. Ошибается, зачеркивает, исписывает лист за листом и почти всегда приходит к правильному ответу. Что произошло? Откуда ему было знать, что у Наташи отзывчивое и доброе сердце, что ей очень хочется, пусть даже понарошку, приносить людям счастье - зажигать в их квартирах новогодние елки. Но ведь зажечь огоньки в одном только домике - это значит решить более 200 упражнений. Это значит, что бесхитростная игра неприметно, исподволь пробуждает интерес к математике, приучает к умственному напряжению, к систематическому самостоятельному поиску, укрепляет чувство самоуважения. С Наташей эта метаморфоза произошла к концу первого учебного года. Решительно и смело она предлагала свои ответы на вопросы, а выходя к доске, каждый раз возвращалась на место с высоко поднятой головой: задачи, ранее побеждавшие ее, теперь безропотно сдавались перед ней. Но что - Наташа! Нужно было видеть, с каким воодушевлением смотрели на нее те, кто еще вчера ходил в середнячках и для кого не далее как вчера она была молчаливым холмиком с большими глазами. К концу IV класса, упустив время в начале года, Наташа не успела решить все задачи по V классу, но в новом учебному году, работая по учебникам алгебры и геометрии для VI класса, она продолжала ежедневно приносить задачи по книге для V класса, пока не закончила ее полностью. Обязательность - вот главное качество, которое приобрела Наташа всего за один только учебный год. Разумеется, в Наташином преображении главную роль сыграла не столько удачно найденная игра в задачи-окошки, сколько благожелательная поддержка старшими усилий ребенка, ежедневная проверка решенных задач, умная помощь в случаях затруднений, умение заметить и разделить радость победы. Но вот решены первые 200 задач. Рисовать новый домик-плашку? Не нужно. Лучше сделать плашку-аппликацию, на которой каждая клеточка заклеивается квадратиком из цветной бумаги. Цвета подбираются таким образом, чтобы после завершения работы на плоскости листа образовалась какая-либо фраза. Вот такая, к примеру, плашка, заключенная в рамку и взятая под стекло, висит над столом у одного из наших учеников: Размер ее, правда, несколько больше - около 2000 клеточек. Столько задач решил Саша и сделал из цветных квадратиков красивую аппликацию. Поучительная самоделка. Но есть еще один вариант: располагать номера решенных задач таким образом, чтобы своими контурами квадратики создавали какой-либо рисунок. Основой таких рисунков могут служить образцы для вышивания крестиком. Перенести контур на картон или плотную бумагу лучше конечно взрослым, а вот аппликации будут выполнять сами ребята. В минуты отдыха. Каждый учитель и каждый родитель может найти свой вариант оформления плашек. Например, учитель математики из Запорожья сделал плашки в форме мотыльков (вот уж где раздолье для цвета!), а из г. Куйбышева - в виде парусника над гребнями волн, так что была бы фантазия. Главное же - раскрыть перед ребенком увлекательную перспективу, наметить конкретную цель и всеми доступными средствами помочь ему достичь ее. Читателю, разумеется, уже понятно, что главное действие плашек - психологическое: они увлекают цветом, формой, открытым простором для фантазии, игровой ситуацией. Так, одна из плашек имеет форму песочных часов. Психологический смысл ее состоит в том, что ученик, приступая к решению задач, работает сначала значительно активнее. Это обусловливается, с одной стороны, новизной, а с другой - легкостью первых упражнений. Затем порыв несколько угасает (эффект привыкания!), и в это время сокращается количество задач в строчках - воронка идет на убыль, в каждой строке всего по 3 задачи и даже по одной. После этого интерес к работе, поддержанный укрепившимся умением оперировать теоретическими знаниями и содержанием задач, снова возрастает: следуют длинные строчки. Разъяснив смысл такого оформления плашки, можно помочь ребятам осознать особенности их учебной деятельности, а это уже первый шаг к ее самоуправлению и саморегуляции.  Тепло учительских рук Учились в школе юноша и девушка. Красивые. Хорошие. И была между ними большая любовь, да только ненадолго хватило той любви. Но остался от нее маленький Вовка. А с Вовкой - бабушка. Больше никого. Жил Вовка тихо и неприметно. Учился кое-как, а если точнее, то вообще не учился. Сидел на уроках и смотрел в окно. В IV класс его перевели вместе со всеми - тогда переводили всех. Обычно такие дети любят мастерить или читать. Вовка был исключением: читал по слогам, с трудом выговаривая отдельные слова. Больше двух месяцев ушло на то, чтобы он повернулся лицом к доске и хоть как-нибудь заинтересовался происходящим на уроке. Будь в классе такой один только Вовка - куда ни шло, можно держать его в зоне повышенного внимания. Но в том-то и беда, что таким, как он, был каждый третий ученик. Работать с активной частью учащихся, обеспечивать их высококалорийной научной пищей и одновременно ни на секунду не выпускать из виду недобрый десяток то и дело расползающихся в разные стороны Вовкиных товарищей по несчастью - каторжный труд. Нет, они не бродят по классу, не разговаривают, не мешают, они... просто исчезают. Вот только что был, смотрел, слушал, и вот - его нет: вместо человека за партой сидит его телесная оболочка. В это время можно повторить подряд 5-6 раз одну и ту же фразу (это один из побуждающих методических приемов) или легким движением руки установить в классе абсолютную тишину (еще более сильный методический прием), Вовка ни на что не отреагирует ни единым мускулом лица: он отрешен, отключен, его нет. Сколь велик в этот момент соблазн предать его осмеянию, потешить других, но - нельзя! Ни в коем случае. В таком поведении нет вины ученика. На тысячах уроков выработался стереотип самозащиты, и он стал рабом этого стереотипа. Тут нужен иной способ, чтобы вернуть человека в класс. - Вот видишь, как легко потеряться на уроке. Это со всяким случается. Урок - это незнакомая тропинка в лесу. Чуть зазевался, и все уже ушли. Не забывай об этом и, пожалуйста, не теряйся. Вот и все. Урок тем и хорош, что Вове говоришь, а Ваня с Леной слушают. И понимают, что это не про них, но для них. Иными могут быть слова, жесты, тональность, мимика, но неизменным должно оставаться внимание к состоянию учеников. Никому нельзя позволить ни на минуту исчезнуть во время урока. Работа эта невероятно сложная, требующая мобилизации всех внутренних ресурсов учителя, но ни заменить ее, ни восполнить чем-либо иным невозможно. Особенно трудны первые 2-3 месяца общения с новым классом. Потом (а это иногда до полугода) ребята преображаются, но происходит это очень медленно и у каждого по-разному. Сначала отключения становятся менее продолжительными, затем - более редкими и наконец совсем исчезают. Вниманию учащихся на уроках в экспериментальных классах всегда поражались десятки тысяч посетителей, но кто из них мог догадаться, какой титанический труд предшествует этому результату. Одни приезжали раньше, когда внимания еще не было, другие - на промежуточном этапе, когда все бывает, как у всех, но большинство видят уже достигнутое, и получается, что первые и вторые не знают, что будет дальше, а последние не понимают, откуда что пришло. Сейчас, когда Донецкая лаборатория перешла на циклические ежегодные семинары с нарастающим уровнем сложности, учителя получили возможность видеть процесс в развитии. Но внимание само по себе еще не обеспечивает успех учения. Это всего только обязательное условие. Достигнув его, можно идти вглубь. Нацеленными и не очень трудными вопросами вовлекаются в работу вчерашние тугодумы и молчуны. Добрыми словами отмечается каждый успех и даже каждая попытка заговорить. Пусть робкая и не совсем удачная. Не беда! Важно, чтобы ученик чувствовал, что учитель заметил его старание, сдвиг к лучшему, верит в него. И еще важно, чтобы каждое слово или действие учителя, на кого бы они ни были нацелены в каждой конкретной ситуации, работали масштабно - на весь класс. У доски Андрей Волченский, один из лучших учеников класса. Решение задачи не представляет для него никакой трудности, и он торопится выложить основные мысли, опуская малосущественные, с его точки зрения, детали. Этого ни в коем случае оставить без внимания нельзя. Ход решения должен быть понятен не только учителю, но и всем ребятам. Весь рассказ от первого до последнего слова и действия должен быть доказательным, последовательным и детализированным. Не уследивший за торопливой скороговоркой Андрея одноклассник тотчас же выпадет из общей работы и замкнется в себе. От уже понятого, но еще раз повторенного не пострадал никто, а вот от непонятого и неповторенного страдают миллионы школьников. Довести мысль отвечающего ученика до абсолютного понимания ее каждым - непреложная заповедь учителя. Пришло время, когда пробудившийся от многолетней дремоты Вовка включился в общий рабочий ритм. Нет, он не все еще мог решить и далеко не все понимал до конца, но ему уже стало интересно. Примеры, оказывается, можно решать вместе со всеми, они совсем не трудные, и задачи тоже иногда поддаются. Вот только никак невозможно наперед угадать, какая из них получится. Одно стал замечать Вовка: на каждом уроке попадается такая задача, которую он может решить сам. Может. Сам. И теперь, когда на уроке начинают читать условие новой задачи, он напрягается до предела: может быть, это она?.. Вовкины выводы не случайны. Если на каждом уроке наращивать сложность задач, то это неизбежно приведет к новым и новым потерям: один за другим будут отпадать слабые, безвольные, нерешительные и неуверенные, и учитель однажды вдруг увидит, что работает только с несколькими учащимися, выдержавшими непомерно высокий темп. Остальные погасли, сникли, увяли. Исходной на каждом уроке должна стать общедоступная задача. Иными словами, в план работы необходимо включать хотя бы одно-два упражнения, которые совершенно самостоятельно может решить даже самый слабый ученик. Все другие могут быть и более и даже очень сложные - они для тех, кто впереди, но ни на секунду нельзя забывать, что в классе Вовка и такие, как он. Уровень трудности общедоступных задач, и это естественно, будет увеличиваться от урока к уроку, равно как и сложность задач, рассчитанных на одаренных ребят. Но "подтягивание тыла", если можно так выразиться, обычно идет значительно быстрее, чем продвижение "фронта атаки". Причина проста: отставание абсолютного большинства ребят объясняется не их генетической неполноценностью, а педагогической запущенностью. Потенциально даже самые отстающие ученики мало чем отличаются от преуспевающих. Разрывы в результатах чаще всего определяются внешними, а не внутренними обстоятельствами, и, как только вчера еще безнадежно отстававший попадает в благоприятные педагогические условия, он в считанные месяцы поднимается до уровня хороших, а по прошествии одного-двух лет - и до уровня самых лучших ребят. И вот тому последний пример. 2 сентября 1988 г. у семиклассников была проведена контрольная по 10-й главе (геометрия) сборника М. И. Сканави. Иными словами, вчерашние шестиклассники сдавали конкурсный экзамен по геометрии в высшее учебное заведение. О предстоящей контрольной ни в течение прошлого учебного года, ни весной, ни 1 сентября не было сказано ни единого слова. Работа-экспромт. Работа на выживаемость знаний. По количеству решаемых задач ограничений не было - кто сколько сможет, кто сколько успеет за 45 минут. Результат: больше всех задач решил один из лучших учеников класса - Вова Брага. Пять конкурсных задач решил он за 45 минут. По 4 задачи решили Андрей Волченский, Аня Максимец (помнит ее читатель?) и Наташа Чудненко. Две девочки, когда-то едва-едва успевавшие по математике в начальной школе, стали теперь звездами первой величины! Но, может быть, снизили свои знания Волченский, Брага, Бустеряков и Серых, позволив тем самым приблизиться Ане и Наташе? Чтобы снять подобные сомнения, та же самая контрольная была проведена 6 сентября в X классе другой школы. Писали ее 34 ученика. Результат - ноль! Никто, ни один ученик не смог решить ни одной задачи! Если же быть совершенно точным, то одна девочка составила уравнение, но решить его не смогла. Так на какой же высоте оказались семиклассники в сравнении с десятиклассниками? Контрольную в экспериментальном классе выполняли 25 человек, и решили они все вместе 64 задачи. Какое соотношение отразит различие в подготовке? А впереди у ребят еще 4 года учебы в школе... Поднимаются ученики на новые учебные высоты по-разному. У одних это происходит постепенно, без видимых резких взлетов, у других - скачкообразно. У Наташи такой скачок произошел после описанной ранее истории с домиком-плашкой, а у Вовки... Условие задачи было прочитано спокойно и неторопливо - для всех. Желающих выйти к доске было много, а Вовка только как-то неестественно вытянул шею и чуть заметно пошевелил пальцами правой руки, никак не решаясь поднять ее. - Так-так-так... Бустеряков - вижу, Брага - вижу, Зуенко - вижу, а вот Вова только пальцами шевелит, робеет. Пожалуйста, попробуй. Белокурый мальчуган медленно пошел к доске, переступил с ноги на ногу и в очевидной растерянности уставился на доску, где было записано условие задачи. Пять секунд. Десять секунд. Сзади - нарастающее нетерпение класса, впереди - замерший в ожидании учитель. Еще несколько секунд, и Вовка или расплачется, или безнадежно выключит и волю и надежду решить задачу. Тогда - провал. На долгие дни и недели. И в эту роковую минуту учитель обнял ученика и закрыл его от всех. Вовка сначала чуть вздрогнул и сразу же затих в тепле добрых рук. В классе - ни звука. Прошло еще несколько секунд, и Вовка, слегка приподняв свой маленький нос, чуть слышно сказал первый вопрос задачи, действие и ответ. Теперь важно громко, утвердительно и воодушевляюще повторить каждое Вовкино слово, побуждая всех порадоваться за него, преодолевшего свою робость. Все последующие вопросы и действия к ним Вовка называл уже так уверенно и спокойно, что каждое его слово было слышно во всех углах класса. - Высший балл! Отлично! Сияющий Вовка сел на место, а ребята все еще не могли успокоиться: за долгие годы они впервые услышали от своего товарища полное, последовательное и безошибочно правильное решение сложной задачи. В конце учебного года Вова Большаков вместе со всеми ребятами успешно сдал экзамены по математике за курс IV и V классов одновременно, и мама увезла его в далекий Мурманск. Как сложится его дальнейшая судьба? Смог ли он за один учебный год обрести надежную точку опоры - веру в себя?.. Не искушенному в тонкостях педагогического процесса читателю может показаться, что успех достигается слишком просто: в одном случае - домик, в другом - тепло рук, в третьем... Иными словами, стоит только отыскать один какой-то нестандартный психологически верный методический прием, и тут же из вчерашнего лодыря и тугодума, как по мановению волшебной палочки, образуется трудолюбивый, умный и обаятельно-дисциплинированный ученик. Но опытный, думающий учитель, надеемся, поймет, что стоит за этими реальными историями с подлинными фамилиями и именами и какой ценой обеспечивается подобный эффект. На это понимание только и остается рассчитывать, рассказывая, может быть, о главном результате экспериментальной методики - обретении маленьким человеком веры в себя, желания учиться.  Это нужно знать экспериментатору Контрольные классы ни в коем случае нельзя назначать в той же школе, в которой проводится эксперимент. Причина очевидна: результаты всех и всяких сопоставлений непременно становятся известными сначала ученикам, а потом и родителям. И начинается брожение умов. Осложняются отношения между учителями - кому это хочется ходить в последних? Можно только представить себе остроту конфликта, когда ученики IV класса выполняют работу лучше, чем десятиклассники. А ведь это было: соотношение 34 : 30. Нуждается в совершенствовании и система оценивания результатов сопоставительных контрольных работ. Вот простой вариант: в экспериментальном классе 7 учащихся получили заслуженные, соответствующие всем требованиям и нормам оценивания знаний удовлетворительные оценки. В контрольном же классе 10 учеников с работой не справились и получили двойки. В сущности, двойка свидетельствует обычно о полном незнании, и потому призрачное различив между двойкой и тройкой давно уже никем не фиксируется. Иными словами, 10 учеников контрольного класса не смогли решить абсолютно ничего. В итоговой же ведомости результатов сопоставительных работ учащиеся экспериментального класса получат 21 балл (3X7), а контрольному классу за совершенное незнание материала десятью учениками начислят 20 баллов! Необъективность и несуразность картины очевидна. На таких условиях можно проводить сравнение знаний студентов выпускных курсов высших учебных заведений и дошкольников по разделам дифференциальной