---------------------------------------------------------------
УДК 53
Составители-переводчики Ю. КОНОБЕЕВ, В. ПАВЛИНЧУК*
Н. РАБОТНОВ, В. ТУРЧИН
Под общей редакцией доктора Физ. мат. наук в. ТУРЧИНА
Редактор л. в. ГЕССЕН
Изд "МИР" Москва, 1966
OCR: Юрий Рубченко.
---------------------------------------------------------------
К читателям
Черная Королева покачала головой: --
Вы, конечно, можете называть это чушью,
но я-то встречала чушь такую, что в сравнении с ней
эта кажется толковым словарем. Л. Кэрролл, "Алиса в Зазеркалье"
Редакция литературы по физике Как-то непривычно: на юмористической
книге -- и вдруг марка научного издательства! Но это не случайно. Все, что в
этой книге есть смешного, полностью поймут и оценят те, кто читает серьезную
научную литературу и слушает (и делает) ученые доклады,-- ведь авторы этих
шуток тоже ученые, порой очень известные. С такой точки зрения эта книга
тоже научная. Однако доступна она не только ученым. Все, кто любит шутку,
получат удовольствие, читая собранные здесь небольшие юморески, и увидят за
ними серьезную науку -- физику с новой, быть
может неожиданной, стороны. Люди всех профессий любят шутить, но эти
шутки обычно не попадают в печать и бесследно исчезают. А жаль! Физический
фольклор не менее интересен, чем любой другой; в нем отражена история науки,
жизнь и быт ее создателей"
То, что собрано здесь,-- собрало по каплям. Составители не нашли
многого, о чем известно лишь по
рассказам. Но ведь это первая попытка. Книг подобного рода до сих пор
не было. Быть может, когда-нибудь выйдет антология физических острот (и не
только переводных), может быть, на эту тему даже напишут диссертацию (о чем
только не пишут!), а пока составители перерыли горы журналов, как
напечатанных, так и рукописных, и собрали первый урожай. Как обычно
говорится в предисловиях, будем надеяться, что сборник понравится нашим
читателям".
Профессор Л. Смородинский.
От составителей
(Вместо предисловия)
-- Алло?
-- Здравствуйте! С вами говорит один из составителей
сборника "Физики шутят". Нам рекомендовали............. --
-- Простите, какого сборника?
-- "Физики шутят".
-- Что делают физики?!
-- Шутят!
-- Не понимаю.
-- Ну, шутят, смеются.
-- Ах, смеются... Ну, так что же?
-- Это будет сборник переводов. Не встречались ли случайно вам
или вашим сотрудникам в иностранной физической литературе...
-- Нет, нет! Наши сотрудники занимаются серьезными делами и
им не до шуток.
...Прежде чем нас успеют обвинить в клевете на физиков, мы поспешим
заверить читателей, что этот
разговор был единственным. Обычно -- а мы иногда обращались к очень
занятым людям-- наше
начинание встречало полное одобрение и готовность помочь. Физики ценят
шутку. Мы полагаем, что в популярной и увлекательной игре "Физики и лирики"
этот факт зачтется нашей стороне со знаком плюс. (Напоминаем правила игры:
дети делятся на две партии; одна получает условное название "физики", другая
-- "лирики". Игру начинает кто-либо из лириков, который пытается осалить
физика с лирической стороны. В ответ кто-либо из физиков пытается осалить
лирика с физической стороны. Никто не выигрывает и не проигрывает. Игра
прекращается, когда мама позовет ужинать.) Мысль составить настоящий сборник
зрела у нас давно. Читая зарубежные научные издания (вполне серьезные!), мы
довольно часто находили крупинки, а то и целые самородки юмора, которые, к
сожалению, не попадают ни в реферативные журналы, ни в обзоры: шутливые
стихи, заметки, сообщения и даже большие квазисерьезные статьи, написанные
физиками и рассчитанные главным образом на физиков. Вопрос был решен, когда
в наши руки попал изданный в Копенгагене к семидесятилетию Нильса Бора
сборник "The Journal of Jocular Physics", целиком" юмористический, нечто
вроде печатного "капустника", написанного физиками -- друзьями и
сотрудниками Бора. Заключив договор с издательством "Мир", мы почувствовали
себя обязанными не просто перевести имевшийся под рукой материал, а
постараться собрать наиболее интересные образцы этого своеобразного жанра.
Как выполнить эту задачу? Библиографические изыскания -- исследование
разделу "Занимательная физика" в каталогах крупнейших библиотек --
оказались исключительно бесплодными. "Физика за чайным столом", "Физика
без приборов "Физика без математики" и даже "Занимательная физика на войне"
-- все это было, но все это было не то. Раздела "Физика и юмор" не было, и
нам оставалось лишь утешаться надеждой, что его, может быть, введут в
ближайшем будущем и на первой карточке напишут: "Физики шутят", изд. "Мир",
1966, перев. с иностр., с иллюстр., тир. 0000000000 экз."
Пришлось просматривать подряд все "подозрительные" журналы и обращаться
к коллегам -- знакомым и незнакомым. Постепенно материал накапливался, очень
разный по характеру и по качеству. Но все-таки его оказалось меньше, чем нам
хотелось бы. А так как критерии, которыми мы пользовались при решении
вопроса "включать -- не включать", несомненно, были субъективными, то нас до
сих пор не оставляет опасение, что реакция свежего читателя будет напоминать
слова, сказанные одним посетителем столовой официанту: "Во-первых, это...
несъедобно, а во-вторых, почему так мало?"
Все время, пока мы работали над сборником, нас мучили две проблемы,
которые мы трусливо откладывали на самый конец, так как сознавали всю их
трудность. Первой проблемой было название. Оно должно было:
быть достаточно оригинальным, чтобы никто не мог назвать его банальным;
быть достаточно банальным, чтобы никто не мог назвать его
претенциозным;
нравиться всем составителям-переводчикам и редакторам.
К счастью для нас (а для сборника?), эта проблема разрешилась в конце
концов сама собой. Оказалось, что в процессе работы над книгой можно
увеличить или уменьшить ее объем, изменить содержание, добавить новых
авторов или убрать старых, можно вообще отказаться от издания книги, но
одного сделать нельзя - изменить ее предварительное название (данное нами,
кстати, чисто условно, чтобы хоть как-то обозначить предмет труда), ибо,
попав в рекламные проспекты, оно приобрело силу закона.
Второй проблемой было предисловие. Обычно основным его содержанием
является обоснование необходимости издания книги. Но мы-то знали, что
научная необходимость издания нашего сборника спорна. И все-таки мы должны
были как-то оправдаться: а) перед читателями, б) перед издателями, в) перед
собой.
Эта проблема решалась постепенно.
Пункт "в" отпал, когда мы решили составлять сборник.
Пункт "б" отпал, когда издательство подписало договор.
Оставался пункт "а", и он доставлял нам наибольшие неприятности.
Грустно, если, рассказывая анекдот, приходится объяснять, в чем его соль, но
совсем тоскливо объяснять соль до того, как анекдот рассказан. В конце
концов мы решили не оправдываться перед читателями, ибо тот, кому такое
оправдание необходимо, явно совершил ошибку, купив эту книжку, и мы уже
ничем не можем ему помочь.
Но в одном нам необходимо оправдаться, вернее даже извиниться.
Мы приносим извинения авторам помещенных в сборнике юморесок за те
неизбежные вольности, которые мы допускали при переводе. Прежде всего речь
идет о сокращениях текста. Особенно существенно сокращены те статьи, которые
написаны были в общем-то на серьезную тему, а веселые места, которые нам
хотелось включить в наш сборник, были просто вставками. Исключались также
места, сплошь построенные на непереводимой игре слов, которые невозможно
понять без комментариев. Наконец, при переводе выступлений на банкетах,
конференциях и т. п. мы опускали места, в полной мере понятные лишь
участникам соответствующего события. (Иногда это, впрочем, относилось ко
всей вещи в целом, и она в сборник вообще не попадала.) Значительные
вольности допускались при переводе идиом и фраз с подтекстом. Особенно
вольны стихотворные переводы (а их всего два).
Покончив с оправданиями и извинениями, мы переходим к выполнению
гораздо более приятной задачи. Мы выражаем искреннюю благодарность Я. А.
Смородинскому за активную поддержку и постоянную помощь при подготовке
сборника. Нам приятно также поблагодарить Л. А. Арцимовича, В. И.
Гольданского, А. С. Компанейца, А. Б. Курпина, А. И. Лейпунского, М. А.
Листенгартена, А. Б. Мигдала, Л. А. Слива, В. М. Струтинского, Ив. Тодорова,
Н. В. Тимофеева-Ресеовского, В. В. Фи-липова и Б. А. Шварцбурга за советы и
предоставление материалов.
В заключение мы хотим ответить на вопрос, который почти наверняка
возникнет у читателя, едва он прочтет на титульном листе: "Физики шутят.
Сборник переводов".
- А что, разве советские физики не шутят?
Отвечаем: шутят. И не менее остроумно, чем их зарубежные коллеги. Но
чтобы издать настоящий сборник, нам пришлось лишь подобрать и перевести уже
опубликованные статьи и заметки, а юмор советских физиков существует пока
лишь как фольклор, ибо наши научные журналы (увы!) такого сорта статей не
печатают.
Обнинск, май 1965 г.
Ю. Конобеев В. Павлинчук П. Работное В. Турчин
Почти всерьез
В РАЗДЕЛЕ:
Карл Дарроу. Физика как наука и искусство * Марвин Камрас. Исповедь
инженера-акустика ... Г. Петард. К математической теории охоты ... Д. Бак, Г.
Бете, В. Риц-лер. К квантовой теории абсолютного нуля температуры Ф Д.
Фро-ман. Земля как управляемый космический корабль ... Г. Дж. Лип-кин.
Раскрась сам (Пособие по физике высоких энергий) ... А. Кон и М. Брейер.
Типология в научном исследовании ... Г. Дж. Липкин. Перечень типовых
экзаменационных вопросов для аспирантов-физиков ...
ФИЗИКА КАК НАУКА И ИСКУССТВО
Карл Дарроу
Из выступления на собрании" посвященном
20-летию со дня основания Американского
института физики
Свое выступление мне, очевидно, следует начать с определения, что такое
физика. Американский институт физики сформулировал уже это определение, и,
выступая в таком месте, просто неприлично использовать какую-нибудь другую
дефиницию. Это, собственно говоря, определение того, что такое "физик", но
понять из него, что такое "физика", тоже очень легко. Выслушайте это
определение.
"Физиком является тот, кто использует свое образование и опыт для
изучения и практического применения взаимодействий между материей и энергией
в области механики, акустики, оптики, тепла, электричества, магнетизма,
излучения, атомной структуры и ядерных явлений".
Прежде всего я хочу обратить ваше внимание на то, что это определение
рассчитано на людей, которым знакомо понятие "энергия". Но даже для столь
просвещенной аудитории это определение явно недостаточно продумано.
Действительно, человек, знакомый с понятием энергии, вспомнит, по-видимому,
уравнение
Е=тс2,
с помощью которого он овладел тайной атомной бомбы, и это уравнение
само будет поистине атомной бомбой для цитированного определения. Ибо в
определении подразумевается, что материя четко отличается от энергии, а
приведенное уравнение это начисто опровергает. Оно пробуждает в нас желание
переиначить определение и сказать, что физик - это тот, кто занимается
взаимодействием энергии с энергией, а это звучит уже совсем нелепо.
Далее в определении говорится об "изучении и практическом применении",
что явно носит отзвук ставшего классическим противопоставления чистой физики
физике прикладной. Давайте поглубже рассмотрим это противопоставление.
Прежде всего попробуем четко определить различие между чистой и прикладной
физикой.
Обычно считается, что "чистый физик" интересуется приборами и
механизмами лишь постольку, поскольку они иллюстрируют физические законы, а
"прикладной физик" интересуется физическими законами лишь постольку,
поскольку они объясняют работу приборов и механизмов. Преподаватель физики
объясняет ученикам устройство динамомашины чтобы они поняли, что такое
законы Фарадея, а преподаватель электротехники излагает ученикам законы
Фарадея, чтобы они поняли, что такое динамо-машина. "Чистый физик"
совершенствует свои приборы только для того, чтобы расширить наши знания о
природе. "Прикладной физик" создает свои приборы для любой цели, кроме
расширения наших знаний о природе.
С этой точки зрения Резерфорд был "прикладным физиком" на заре своей
карьеры, когда он пытался изобрести радио, и стал "чистым физиком", когда
бросил эти попытки, а Лоуренс был "чистым физиком", пока изобретенные им
циклотроны не начали использоваться для производства изотопов, а изотопы -
применяться в медицине. После этого Лоуренс "лишился касты". Уже из этих
примеров ясно, что наше определение следует считать в высшей степени
экстремистским, и надо быть фанатиком, чтобы отстаивать такую крайнюю
позицию. Это станет совсем очевидным, если мы рассмотрим аналогичную
ситуацию в искусстве.
Возьмем, например, музыку. Композитора, создающего симфонии, мы,
очевидно, должны считать "чистым музыкантом", а композитора, сочиняющего
танцевальную музыку, - "музыкантом прикладным". Но любой дирижер
симфонического оркестра знает, что слушатели не станут возражать, а даже
будут очень довольны, если он исполнит что-нибудь из произведений Иоганна
Штрауса и Мануэля де Фалья. Сам Рихард Вагнер сказал, что единствецная цель
его музыки - усилить либретто; следовательно, он "прикладной" музыкант. Еще
сложнее дело обстоит с Чайковским, который всю жизнь был "чистым" музыкантом
и оставался им еще пятьдесят лет после смерти, пока звучная тема одного из
его фортепьянных концертов не была переделана в танец под названием "Этой
ночью мы любим".
Обратимся к живописи и скульптуре. Назовем "чистым" художником того,
чьи картины висят в музеях, а "прикладным" того, чьи произведения украшают
жилище. Тогда Моне и Ренуар - прикладные художники для тех, кто может себе
позволить заплатить двадцать тысяч долларов за картину. Для остальных
грешных, в том числе и для нас с вами, они чистые художники. Я не уверен
только, к какой категории отнести портретиста, за исключением, пожалуй, того
случая, когда его картина называется , "Портрет мужчины" и висит в музее, -
тогда он, несомненно, чистый художник. Я уверен, что многие современные
живописцы ждут, что я отнесу к чистым художникам тех, чьи произведения ни на
что не похожи и никому не понятны, а всех остальных - к прикладным. Среди
физиков такое тоже встречается.
Законченный пример прикладного искусства, казалось бы, должна являть
собой архитектура. Однако отметим, что существует такое течение, которое
называется "функционализм" ; сторонники его стоят на том, что все части
здания должны соответствовать своему назначению и служить необходимыми
деталями общей конструкции. Само существование такой доктрины говорит о том,
что есть строения, имеющие детали, в которых конструкция здания вообще не
нуждается и без которых вполне могла бы обойтись. Это очевидно для всякого,
кто видел лепной карниз. Теневая сторона этой доктрины заключается в том,
что она запрещает наслаждаться зрелищем величественного готического собора
до тех пор, пока инженер с логарифмической линейкой в руках не докажет вам,
что здание рухнет, если вы удалите хоть какую нибудь из этих изящных арок и
воздушных подпоррок. А как быть с витражами? Они :
а) функциональны (способствуют созданию мистического настроения и
как-никак это окна),
б) декоративны (нравятся туристам),
в) антифункциональны (Задерживают свет).
Первая точка зрения принадлежит художникам, создавшим окна собора в
Шартре, вторую разделяют гиды, а третьей придерживались в восемнадцатом
столетии прихожане, которые выбили эти окна, чтоб улучшить освещение, и
.забросили драгоценные осколки в мусорные ямы.
Итак, в соборе нелегко отделить функциональное от декоративного. Но так
и в науке. И если некоторые тончайшие черты в облике готических соборов
обязаны своим происхождением тому простому факту, что тогда в распоряжении
зодчих не было стальных балок, а современные строители, в распоряжении
которых эти балки есть возводят здания, которым таинственным образом не
хватает чего-то, что нам нравится в древних соборах, то аналогии этому мы
можем найти, сравнивая классическую физику с теориями наших дней...
Попробуем заменить названия "чистая" и "прикладная" физика словами
"декоративная" и "функциональная". Но это тоже плохо. Прикладная физика-
либо физика, либо не физика. В первом случае в словосочетании "прикладная
физика" следует отбросить прилагательное, во втором - существительное.
Архитектура остается архитектурой независимо от того, создает она здание
Организации Объединенных Наций или Сент-Шапель. Музыка есть музыка - в
венском вальсе и в органном хорале, а живопись и в портретном жанре, и в
пейзажном - все живопись. И физика есть физика - объясняет ли она устройство
телевизора или спектр гелия.
Однако различие в действительности должно быть все-таки больше, чем я
склонен был признать до сих пор, поскольку люди постоянно твердят о
"фундаментальных исследованиях", предполагая, таким образом, существование
чего-то противоположного, "нефундаментального". Хорошее определение
"фундаментального исследования" все будут приветствовать. Попробуем
изобрести его.
Начать следует, разумеется, с определения, что такое исследование. К
несчастью, понятие это содержит в себе негативный элемент. Исследование -
это поиски, когда вы не знаете, что найдете; а если вы знаете, значит уже
нашли, и вашу деятельность нельзя назвать исследовательской. Но если
результат ваших исследовании неизвестен, откуда вы знаете, что он будет
фундаментальным?
Чтобы выйти из этого тупика, попытаемся отнести понятие
фундаментальности не к конечному результату исследований, а к самому
процессу исследования. Мы можем, например, назвать фундаментальными такие
исследования, которые ведутся независимо от того, будут ли результаты иметь
практическое значение или не будут. Между прочим, здесь не следует
перегибать палку. Было бы неблагоразумно определять фундаментальные
исследования, как такие исследования, которые прекращаются, как только
появляются признаки того, что результаты могут быть применены на практике.
Такая концепция рискует навлечь на себя гнев финансирующих организаций. Но
даже самого трудного и скаредного финансиста можно ублажить, сказав, что
фундаментальные исследования - это те, которые не дают немедленного
практического выхода, но наверняка дадут таковой рано или поздно.
Увы, и это определение не вполне удовлетворительно. Оно оставляет
впечатление, что вы перед кем то оправдываетесь, а это уже признак вины.
Неужели нельзя определить фундаментальное исследование так, чтобы оно
представляло ценность само по себе, без всякой связи с будущими
практическими приложениями?
Назовем фундаментальными такие исследования, которые расширяют и
продвигают теорию физических явлений. Следовательно, нам придется немного по
теоретизировать насчет теории.
Существует несколько точек зрения на теорию. Одна из них состоит в том,
что теория раскрывает нам глубинную простоту и стройность мироздания. Не
теоретик видит лишь бессмысленное нагромождение явлений. Когда он становится
теоретиком, явления укладываются в стройную и исполненную величия систему.
Но, к сожалению, в последнее время благодаря квантовой механике и теории
поля все большее число людей, выбирая из двух зол меньшее, нагромождение
явлений предпочитают нагромождению теорий.
Другую точку зрения высказал недавно Кондон. Он полагает, что теория
должна дать нам возможность рассчитать результат эксперимента за более
короткое время, чем понадобится для проведения самого эксперимента. Не
соглашаться с Кондоном опасно, так как обычно он оказывается прав; но я не
думаю, что это определение приятно теоретикам; они обрекаются, таким
образом, на бесконечную игру в салочки, которую заведомо проиграют в таких,
например, случаях, как при установлении сопротивления серебряного провода
или длины волны некоторой линии в спектре германия.
Согласно другой точке зрения, теория должна служить длд придумывания
новых экспериментов. Здесь есть разумное начало, но это низводит теоретика
до положения служанки экспериментатора, а эта роль ему вряд ли понравится.
Есть еще одна точка зрения, что теория должна охлаждать горячие головы
и не допускать потери времени на бесполезные эксперименты. Я предполагаю,
что только изучение законов термодинамики пресекло некоторые попытки создать
поистине невозможные тепловые двигатели,
Давайте польстим теории и дадим ей определение, которое не будет
сводить ее ни к хитроумному приспособлению для экономии времени, ни к
прислуге эксперимента. Предлагаю считать, что теория -- это интеллектуальный
собор, воздвигнутый, если хотите, во славу божию и приносящий глубокое
удовлетворение как архитектору, так и зрителю. Я не стану называть теорию
отражением действительности. Слово "действительность" пугает меня, поскольку
я подозреваю, что философы знают точно, что оно значит, а я не знаю и могу
сказать что-нибудь такое, что их обидит. Но сказать, что теория - вещь
красивая, я не постесняюсь, поскольку красота- дело вкуса, и тут я философов
не боюсь. Разовьем нашу аналогии" с собором.
Средневековые соборы никогда не бывали закончены строительством. Это же
можно сказать и про физические теории. То деньги кончались, то архитектурная
мода менялась. В последнем случае старая часть собора иногда разрушалась, a
иногда к ней просто пристраивалась новая. Можно найти строгие и массивные
римские хоры в мирном соседстве с парящей готической аркой, которая близка к
границе опасной неустойчивости. Римские хоры - это классическая физика, а
готическая арка - квантовая механика. Я напомню вам, что арка собора в Бовэ
обрушивалась дважды (или даже трижды), прежде чем архитекторы пересмотрели
свои планы и построили нечто, способное не упасть. Собор состоит обычно из
нескольких часовен. Часовня физики твердого тела имеет лишь самое отдаленное
отношение к часовне теории относительности, а часовня акустики вообще никак
не связана с часовней физики элементарных частиц. Люди, молящиеся в одной из
часовен вполне могут обходиться "без остальной части собора; их часовня
может устоять, даже если все остальное здание рухнет. Сам собор может
казаться величественным даже тем, кто не верит в бога, да и тем, кто
построил бы совсем другое здание, будь он в состоянии начать все сначала.
Остаток своей речи я хочу посвятить совсем другому вопросу. Мы
восхищаемся нашим величественным собором. Как заразить молодежь этим
восхищением? Как заманить в физику будущих ферми, кондонов, слэтеров?
Обычный в этих случаях метод - удивить, потрясти. Беда в том, что
человека нельзя удивить, если он не знаком с той ситуацией, в которую ваш
сюрприз вносит решающие изменения. Не так давно я прочел, что некто проплыл
100 ярдов за 49 секунд. Это совершенно меня не удивило, потому что я не
знал, чему равнялся старый рекорд -39, 59 или 99 секундам. Но я читал дальше
и обнаружил, что старый рекорд составлял 51 секунду и держался в течение
нескольких лет. Первое сообщение теперь пробудило во мне слабый интерес -
едва отличный от нуля, но по-прежнему никакого удивления! Теперь представьте
себе физика, меня, например, который пытается удивить аудиторию, состоящую
из дилетантов, сообщением о том, что сейчас вместо двух элементарных частиц
мы знаем целую дюжину или что олово совсем не оказывает сопротивления
электрическому току при температурах ниже некоторой, а новейший циклотрон
разгоняет протоны до энергии 500 Мэв. Ну и что? Это просто не дает эффекта!
И если я оснащу свое сообщение экстравагантными утверждениями, это
произведет не больше впечатления, чем размахивание руками и крики лектора
перед глухонемой аудиторией.
Ошибочно также мнение, что аудиторию можно потрясти, продемонстрировав
решение какой-нибудь загадки. Беда здесь в том, что никто не заинтересуется
ответом на вопрос, которого он не задавал. Автор детективных рассказов
всегда создает тайну, прежде чем ее решать. Можно было бы последовать его
примеру, но труп неизвестного человека, с которого обычно начинается
детектив, - зрелище существенно более захватывающее, чем труп известной
теории, с которого должен начать физик.
Другой способ: можно пообещать любому вступающему в наш собор, что там
он найдет удовлетворение своему стремлению к чему-то неизменному,
постоянному, вечному и бессмертному. Это фундаментальное стремление,
поскольку оно постоянно фигурирует в произведениях мистиков, поэтов,
философов и ученых. Лукреций считал, что он удовлетворил это желание,
сказав, что атомы вечны. Это была прекрасная идея, но, к несчастью, Лукреций
понятия не имел о том, что такое атомы. Представлениям древних об атомах
ближе всего соответствуют, по-видимому, наши элементарные частицы, но -
какая неудача! - ни один из членов этого беспокойного и таинственного
семейства не является бессмертным, пожалуй, за исключением протона, но и его
бессмертие висит на волоске: как только где-нибудь поблизости появится
антипротон, он в самоубийственном столкновении сразу же прикончит соседа.
Наши предшественники столетиями пытались найти этот "вечный атом", и теперь,
докопавшись до того, что они считали гранитной скалой, мы обнаружили, что
по-прежнему стоим на зыбучем песке. Так будем ли мы продолжать говорить о
величии и простоте нашей картины мира? Величие, пожалуй, но простота,
которая была очевидна Ньютону и Лапласу, - простота ушла вдогонку за "вечным
атомом" Лукреция. Ее нет, она утонула в волнах квантовой механики. Я
подозреваю, что в каждой отрасли физики можно показать новичку хорошую,
поучительную и соблазнительную картину - только если не пытаться копать
слишком глубоко.
Напечатано в журнале "Physics Today", 4, No 11 (1951)
(К. ДАРРОУ - американский физик-теоретик, сотрудник "Белл телефон
систем". С 1941 г. в течение многих лет занимал пост секретаря Американского
физического общества.)
- Генерал особенно хотел бы посмотреть,
как бомбардируют атомные ядра.
Американский физик немецкого происхождения Джемс Франк (родился в 1882
году), лауреат Нобелевской премии 1925 года, рассказал однажды:
- Приснился мне на днях покойный Карл Рунге*, я его и спрашиваю: "Как
у вас на том свете? Наверное, все физические законы известны?" -А он
говорит: "Здесь дают право выбора: можешь знать либо все, либо то же, что и
на Земле. Я выбрал второе, а то уж очень скучно было бы".
* Рунге Карл (1856-1927) - немецкий математик.
Давида Гильберта (1862-1943) спросили об одном из его бывших учеников.
- Ах, этот-то? - вспомнил Гильберт. - Он стал поэтом. Для математики у
него было слишком мало воображения.
На одной из своих лекций Давид Гильберт сказал: - Каждый человек имеет
некоторый определенный горизонт. Когда он сужается и становится бесконечно
малым он превращается в точку. Тогда человек говорит: "Это моя точка
зрения".
- Ну, хорошо - эффект вы обнаружили. А теперь найдите его причину.
История открытия эффекта Мессбауэра (по Г. Липкину)
Период |
Дата |
Примечание |
Доисторический |
до 1958 |
Могли бы открыть, но
Не открыли |
|
|
|
|
|
|
Ранний иридиевый век |
1958 |
Открыли, но |
|
|
не заметили |
Средний иридиевый век |
1958-1959 |
Заметили, но |
|
|
не поверили |
Поздний иридиевый век |
1959 |
Поверили, но... |
|
|
не заинтересовались |
Железный век
! |
1959-1960 |
у-у-у-У I ! ! |
-...А это Уилкинс ударил по сейсмографу.
Без слов.
ИСПОВЕДЬ ИНЖЕНЕРА-АКУСТИКА
Марвин Камрас
Когда я был ассистентом, я работал как лошадь, а денег зарабатывал
столько, что их едва хватало на пропитание. Мой босс все время "острил" по
поводу моих умственных способностей и полдня объяснял мне то, что и без него
было совершенно понятно, а потом удивлялся и разводил руками, что работа еще
не сделана. Он поручал мне разрабатывать чертежи неосуществимых конструкций,
которые придумывали витающие в облаках мыслители в нашей лаборатории. Я
должен был за всех дорабатывать и доделывать, чтобы заставить эти
конструкции хоть как-нибудь работать. Когда я приходил к боссу с
каким-нибудь остроумным решением, он откладывал его в сторону и говорил, что
это не то, чего бы они хотели... Иногда я работал над подобным проектом по
году и приходил к нему буквально с шедевром. Тогда он заявлял: "Очень
хорошо, мой мальчик, но руководство решило заняться несколько иной темой".
Следовательно, снова к чертежному столу...
К тому времени, как я стал руководителем лаборатории, положение в
институте изменилось. Ассистенты совершенно разболтались и ничего не умели
делать, зато обижались на каждое замечание. Положим, нужно было сделать
какую-нибудь пустячную работу. Я сам сделал бы ее за пару часов. Но мне
приходилось полдня тратить на то, чтобы объяснить моим ассистентам, почему
эта работа должна быть сделана вообще, почему ее следует сделать быстрее,
чем любую другую, почему ее надо сделать так, а не иначе, и почему
обязательно к определенному сроку. Когда же эти сроки проходили, мне
приходилось полдня выслушивать бессвязные объяснения, почему работа еще не
сделана* почему ничего не работает (и, возможно, не будет работать) и почему
мы должны начать все сначала и сделать все "как нужно". Но этот "нужный"
путь оказывался настолько запутанным, что обычно требовалось не менее года,
чтобы разобраться в нем, и еще не менее года, чтобы получить какие-то
результаты. На этом этапе работы кое-как, с помощью дипломатии и лести,
убеждениями и просьбами удавалось заставить ассистентов свести концы с
концами и спихнуть эту работу со своей шеи.
Еще хуже обстояло дело с моими административными обязанностями. Меня
заставляли писать столько отчетов и предложений, что только на одно это ушло
бы все мое рабочее время. Но я еще должен был отвечать на всю текущую
корреспонденцию, На все телефонные звонки и принимать посетителей, которые
шли ко мне непрерывным потоком. Я должен был нанимать на работу новых людей
и одновременно заботиться, чтобы старые оставались ею довольны.
Предполагалось также, что я должен заботиться о представительности компании
и с этой целью посещать профессиональные собрания, дарить отработать в
комиссиях и устраивать семинары.
В конце концов я завел маленький, но зато свой бизнес. К сожалению, мне
не повезло с техническими ^руководителями и администраторами. Они сильно
изменились к худшему. Они нисколько не стремятся к тому, чтобы что-то
делалось их подчиненными. Они организуют дело таким образом, что все на
свете рушится, и тогда начинается реорганизация. Они путешествуют, беседуют,
устраивают семинары, посещают собрания, участвуют в технических комиссиях,
то есть делают что угодно, но только не работают на компанию. Умственная
мощность, заключенная в них и их ассистентах, колоссальна, но она
расходуется не на созидание, а на разрушение. Если бы Нобелевская премия
присуждалась за отговорки, то наша лаборатория получила бы ее давным-давно.
Теперь, обретя горький опыт, я мечтаю снова стать ассистентом.
Ассистенту все-таки легче живется. Но, к сожалению, я уже женился и не могу
позволить себе эту роскошь.
Напечатано в журнале
"Wё Transactions on Audio", 9, No б (1961).
(М.КАМРАС -редактор акустического выпуска "Трудов Американского
института радиоинженеров".)
* * * *
Великий физик Гиббс был очень замкнутым человеком и обычно молчал на
заседаниях ученого совета университета, в котором он преподавал. Но на одном
из заседаний этого совета, когда решался вопрос о том, уделять ли в новых
учебных программах больше места математике или иностранным языкам, он не
-выдержал и произнес речь: "Математика-это язык!" - сказал он.
* * * *
Один из основоположников квантовой теории Макс Планк в молодости пришел
к 70-летнему профессору Филиппу Жолли и сказал ему, что решил заниматься
теоретической физикой
* * * *
Молодой человек,- сказал маститый ученый,- зачем вы хотите испортить
себе жизнь, ведь теоретическая физика уже в основном закончена... Стоит ли
браться за такое бесперспективное дело?!
* * * *
Интересный пример того, как можно использовать слова для
количественного описания результатов измерений, был рассказан профессором
Чикагского университета Гейлом.
Профессор работал в лаборатории с одним своим студентом, и они не
знали, под каким напряжением - 110 или 220 вольт - находились клеммы, к
которым они должны были подключить свою аппаратуру. Студент собрался сбегать
за вольтметром, но профессор посоветовал ему определить напряжение на
ощупь.- Но ведь меня просто дернет, и все,- возразил студент. - Да, но если
тут 110 вольт, то вы отскочите и воскликнете просто - "О, черт!" - а если
220, то выражение будет покрепче.
Когда об этой истории я недавно рассказал студентам, один из них
заметил: "Сегодня утром я встретил одного малого, так он, наверное, как раз
перед этим подключался к напряжению 440!"
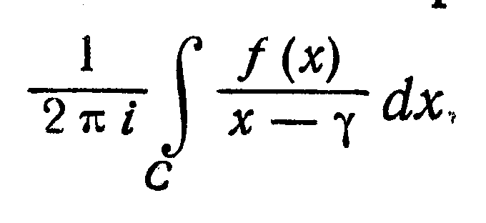
К МАТЕМАТИЧЕСКОЙ ТЕОРИИ ОХОТЫ
Г. Петард
Простоты ради мы ограничимся рассмотрением только охоты на львов (Fells
leo), живущих в пустыне Сахара. Перечисленные ниже методы с легкостью можно
модифицировать и применять к другим плотоядным, обитающим в разных частях
света.
╖ 1. Математические методы
1. МЕТОД ИНВЕРСИВНОЙ ГЕОМЕТРИИ. Помещаем в заданную точку пустыни
клетку, входим в нее и запираем изнутри. Производим инверсию пространства по
отношению к клетке. Теперь лев внутри клетки, а мы - снаружи.
2. МЕТОД ПРОЕКТИВНОЙ ГЕОМЕТРИИ. Без ограничения общности мы можем
рассматривать пустыню Сахара как плоскость. Проектируем плоскость на линию,
а линию - в точку, находящуюся внутри клетки. Лев проектируется в ту же
точку,
3. МЕТОД БОЛЬЦАНО - ВЕЙЕРШТРАССА. Рассекаем пустыню линией, проходящей
с севера на юг. Лев находится либо в восточной части пустыни, либо в
западной. Предположим для определенности, что он находится в западной части.
Рассекаем ее линией, идущей с запада на восток. Лев находится либо в
северной части, либо в южной. Предположим для определенности, что он
находится в южной части, рассекаем ее линией, идущей с севера на юг.
Продолжаем этот процесс до бесконечности, воздвигая после каждого шага
крепкую решетку вдоль разграничительной линии. Площадь последовательно
получаемых областей стремится к нулю, так что лев в конце концов оказывается
окруженным решеткой произвольно малого периметра.
4. КОМБИНИРОВАННЫЙ МЕТОД. Заметим, что пустыня представляет собой
сепарабельное пространство. Оно содержит всюду плотное множество точек, из
которого мы выбираем последовательность точек, имеющих пределом
местоположение льва. Затем по этим точкам, захватив с собой необходимое
снаряжение, крадучись, подбираемся к льву.
5. ТОПОЛОГИЧЕСКИЙ МЕТОД.. Заметим, что связность тела льва во всяком
случае не меньше, чем связность тора. Переводим пустыню в четырехмерное
пространство. Согласно работе [1], в этом пространстве можно непрерывным
образом выполнить такую деформацию, что по возвращении в трехмерное
пространство лев окажется завязанным в узел. В таком состоянии он
беспомощен.
6. МЕТОД КОШИ, ИЛИ ФУНКЦИОНАЛЬНО-ТЕОРЕТИЧЕСКИЙ. Рассмотрим льва как
аналитическую функцию координат f(x) и запишем интеграл
где С - контур, ограничивающий пустыню, а у - точка, в которой
находится клетка. После вычисления интеграла получается /(у), то есть лев в
клетке.
╖ 2. Методы теоретической физики
1. МЕТОД ДИРАКА. Отмечаем, что дикие львы в пустыне Сахара являются
величинами ненаблюдаемыми. Следовательно, все наблюдаемые львы в пустыне
Сахара - ручные. Поимку ручного льва предоставляем читателю в качестве
самостоятельного упражнения.
2. МЕТОД ШРЕДИНГЕРА. В любом случае существует положительная, отличная
от нуля вероятность, что лев сам окажется в клетке. Сидите и ждите.
3. МЕТОД ЯДЕРНОЙ Физики. Поместите ручного льва в клетку и примените к
нему и дикому льву обменный оператор Майорана [2]. Или предположим, что мы
хотели поймать льва, а поймали львицу. Поместим тогда последнюю в клетку и
применим к ней обменный оператор Гейзенберга, который обменивает спины.
╖ 3. Методы экспериментальной физики
1. ТЕРМОДИНАМИЧЕСКИЙ МЕТОД. Через пустыню натянем полупроницаемую
мембрану, которая пропускает через себя все, кроме льва.
2. МЕТОД АКТИВАЦИИ. Облучим пустыню медлен-ными нейтронами. Внутри льва
будет наведена радиоактивность, и он начнет распадаться. Если подождать
достаточно долго, лев не сможет оказать никакого сопротивления.
ЛИТЕРАТУРА
1. Н. S e i f е г t, W. Т h г е 1 f a 11, Lehrbuch der Topologie, 1934.
2. Н. А. В е t h e, R. F. В а с h e r, Rev. Mod. Phys., 8, 82 (1936).
Напечатано в
"The Journal of Irreproducible Results", 8, No 2 (1959).
(Г. ПЕТАРД - профессор Принстонского университета, Нью-Джерси.)
- Ну, кажется, мы на пороге великого открытия,
Ниже помещен перевод заметки" написанной известными физиками и
опубликованной в "Natur-wissenschaften". Редакторы журнала "попались на
удочку громких имен" и, не вдаваясь в существо написанного, направили
полученный материал в набор, не разглядев в нем шутки.
К КВАНТОВОЙ ТЕОРИИ АБСОЛЮТНОГО НУЛЯ ТЕМПЕРАТУРЫ
Д. Бак, Г. Бете, В. Рицлер
(Кембридж)
В данной работе нами был рассмотрен кристалл с гексагональной решеткой.
Как известно, при абсолютном нуле температуры в, системе происходит
вымораживание всех степеней свободы, то есть прекращаются полностью все
внутренние колебания. Однако для электрона, движущегося по боровской орбите,
это, обстоятельство не имеет места. Каждый такой электрон, согласно
Эддингтону, обладает 1/а степенями свободы, где а - введенная Зоммерфельдом
постоянная тонкой структуры. Поскольку рассматриваемый нами кристалл состоит
также из протонов, которые по теории Дирака можно рассматривать как дырки в
электронном газе, то к 1/а степеням свободы электрона следует добавить
столько же степеней свободы протона. Таким образом, чтобы достичь
абсолютного нуля температуры, мы должны отнять у нашей нейтральной системы
(наш кристалл должен быть электрически нейтральным), состоящей из одного
электрона и протона (в расчете на один нейтрон), - (2/а - 1) степеней
свободы (Freiheitsgrade). Единицу мы вычли, чтобы не учитывать вращательного
движения.
Следовательно, для температуры абсолютного нуля находим Tо = -(2/а-1)
градусов (Grade). Подставив сюда Tо = -273, находим, что а = 1/137. Это
значение в пределах ошибок находится в замечательном согласии с ранее
известным значением. Легко показать, что этот результат не зависит от выбора
структуры кристаллической решетки. Напечатано в журнале
"Naturwissenschaften", 19, No 2 (1931).
(Д. БАК - физик-теоретик, проф. Бразильского физического института в
Рио-де-Жанейро.
Г. БЕТЕ - американский физик-теоретик, проф. Корнеллского университета,
лауреат премии Энрико Ферми и медали Макса Планка. Автор многих книг по
теории ядра, широко известных советскому читателю. В. РИЦЛЕР - немецкий
физик, директор Института ядерной физики в Боннском университете,)
ЗЕМЛЯ КАК УПРАВЛЯЕМЫЙ КОСМИЧЕСКИЙ КОРАБЛЬ
Д. Фроман
Речь на банкете, состоявшемся после конференции по физике плазмы,
организованной Американским физическим обществом в ноябре 1961 года в
Колорадо-Спрингс
Поскольку я не очень хорошо разбираюсь в физике плазмы и термоядерном
синтезе, я буду говорить не о самих этих явлениях, а об одном их
практическом применении в ближайшем будущем.
Представим себе, что нам удалось изобрести космический корабль, который
движется за счет того, что выбрасывает продукты реакций D-D и D-Т. На таком
корабле можно стартовать в космос, поймать там несколько астероидов и
отбуксировать их на Землю. (Идея, правда, не нова.) Если не очень
перегружать ракету, то можно было бы доставить на Землю 1000 тонн
астероидов, затратив всего около тонны дейтерия. Я, честно говоря, не знаю,
из какого вещества состоят астероиды. Однако вполне может оказаться, что
наполовину они состоят из никеля. Известно, что 1 фунт никеля стоит 50
центов, а 1 фунт дейтерия - около 100 долларов. Таким образом, за 1 миллион
долларов мы могли бы купить 5 тонн дейтерия и, израсходовав их, доставить на
Землю 2500 тонн никеля стоимостью в 2,5 миллиона долларов. Неплохо, правда?
Я уже было подумывал, а не организовать ли мне Американскую Компанию по
Добыче и Доставке Астероидов (АКДДА)? Оборудование этой компании будет
исключительно простым. При достаточной субсидии со стороны дяди Сэма можно
было бы основать весьма доходное дело. Если кто-либо из присутствующих с
крупным счетом в банке пожелает войти в число учредителей, пусть подойдет ко
мне после банкета.
А теперь давайте заглянем в более отдаленное будущее. Лично я вообще не
могу понять, почему астронавты мечтают попасть в межзвездное пространство. В
ракете ведь будет страшная теснота. Да и в питании им придется себя сильно
урезать. Но это еще полбеды. Главная неприятность - что астронавт в ракете
будет находиться в том же положении, что и человек, помещенный против пучка
быстрых протонов, выходящего из мощного ускорителя {посмотрите рисунок).
Очень мне жаль бедного астронавта; о его печальной участи я даже сочинил
балладу*:
- Вольный перевод с английского В. Турчина.
БАЛЛАДА ОБ АСТРОНАВТЕ
От бета-инвертора И гамма-конвертора Осталась обшивка одна.
А ионная пушка, Как пустая хлопушка, Торчит, ни на что не годна.
Все распались мезоны, Все распались нейтроны, Излучился весь видимый
свет.
По закону Кулона Разбежались протоны, На лептоны надежды нет.
Поврежденный реактор Тарахтит, словно трактор, В биокамере - гниль и
прель.
Вот сопло уж забилось, И дно прохудилось, И вакуум хлещет в щель...
Он летел к Ориону, Но поток гравитонов Пересек неожиданно путь.
Отклонившись от курса И спустив все ресурсы, Сумел он от них
ускользнуть.
Сделал крюк здоровенный, Облетел пол-Вселенной И теперь на пустом
корабле
По последней прямой Возвращался домой, Приближаясь к планете Земле.
Но борясь с тяготеньем Сверх-сверх-сверхускореньем, Он замедлил стрелки
часов.
И стрелки застыли, На Земле ж проходили Тысячи тысяч веков.
Вот родные планеты... Боже! Солнце ли это? -
Темно-красный, чуть теплый шар...
Над Землею дымится,,
Над Землею клубится Водородный, холодный пар.
Что же это такое?
Где же племя людское? - В неизвестных, далеких мирах.
Вырастают их дети
Уж на новой планете, А Земля вся в космических льдах.
Ругаясь и плача
От такой неудачи, Астронавт повернул рычаг,
И раздалось Б
И раздалось А
И раздалось X -
БАХ!
Но мне жаль и тех, кто останется на Земле. Ведь наше Солнце не вечно.
Оно когда-нибудь пожухнет, погрузив все окружающее в космический мрак и
холод. Как мне рассказывал Фред (Фред Хойл то есть)*, через пару миллиардов
лет на Земле будет так холодно, что не то что о комфорте, о самой жизни на
этой планете не может быть и речи. А следовательно, имеет явный смысл
куда-нибудь податься. Мне кажется, что для большинства из нас самым удобным
космическим кораблем все же была бы сама Земля. Поэтому если нам не
нравится, что наше светило постепенно гаснет, и вообще если все в Солнечной
системе нам надоело, зачем здесь оставаться? Давайте полетим куда-нибудь
прямо на нашей Земле. При этом все трудности, связанные с космическим
полетом, отпадут сами собой. Ведь проблемы защиты от радиации не существует,
на Земле есть атмосфера, да и скорость движения будет невелика. Безопасность
и приятность такого путешествия очевидны (посмотрите этот рисунок). Однако
хватит ли нам энергии?
* Фред Хойл - известный английский астрофизик, профессор Кембриджского
университета, автор ряда работ по теоретической астрофизике, космогонии,
теоретической гравитации и... нескольких научно-фантастических романов.
Прежде всего понадобятся тепло и свет: ведь в течение долгого времени
мы будем удалены от Солнца или какой-либо другой звезды. Дейтерий,
содержащийся в океанской воде, может дать нам 1038 эрг, следовательно, если
использовать его только для отопления и освещения, то этого хватит на три
миллиона лет - срок вполне достаточный. Правда, здесь имеется небольшая
загвоздка. При нашей скорости мы будем потреблять 3 ... 1010 фунтов дейтерия в
год, а стоимость его 100 долларов за фунт, следовательно, потребляемый
дейтерий в 100 раз превысит годовой бюджет современных воздушных сил. Но,
быть может, удастся получать дейтерий по оптовым ценам?
Однако нам понадобится еще энергия для того, чтобы оторваться от
Солнца. Расчет показывает, что на это пойдет 2,4 ... 1040 эрг, то есть гораздо
больше, чем может дать весь океанский дейтерий. Поэтому необходимо будет
изыскать другие источники энергии. Я полагаю, что для решения этой проблемы
нам придется обратиться к синтезу альфа-частицы из четырех протонов. При
использовании этой реакции все протоны мирового океана дадут нам энергию
1042 эре, то есть в сорок раз больше того, что нужно, чтобы оторваться от
Солнца.
В качестве рабочего тела можно использовать песок. Выбрасывая 1000
молекул SiCb на каждую синтезированную альфа-частицу, мы для отрыва от
Солнца должны будем истратить всего 4% массы Земли. Мне кажется, что мы
можем себе это позволить. Тем более что для такой цели не жалко будет
израсходовать Луну: ведь вдали от Солнца от нее все равно нет никакого
проку. Покинув Солнечную систему и скитаясь в космическом пространстве, мы,
вероятно, сможем время от времени еще пополнять наши запасы массы и энергии,
заправляясь на лету за счет встречающихся по дороге планет. На пути
осуществления этих планов пока стоит одно принципиальное препятствие: мы не
умеем осуществлять цепную реакцию 4р->Не4. Теперь вы видите, какая это
важная проблема. Нам нужно удвоить свои усилия для ее решения. Время не
терпит: Земля провела у Солнца уже две трети отпущенного ей срока.
Уверяю вас: в космосе нам будет отлично. Возможно, нам так понравится,
что мы даже не захотим прилепиться к новой звезде.
Напечатано в журнале "Physics Today", 15, No 7 (1962).
(Д. ФРОМАН - до 1962 г. занимал должность технического директора
Лос-аламосской лаборатории.)
ТИПОЛОГИЯ В НАУЧНОМ ИССЛЕДОВАНИИ
А. Кон и М. Брейер
Много лет тому назад Ломброзо и Кречмер расклассифицировали людей по
типам в зависимости от анатомического строения и эмоциональных особенностей
[1, 2]. Ввиду все возрастающей роли науки в современном мире и непрерывного
роста числа ученых нам представляется полезным произвести классификацию
последних по аналогичной схеме. Наша классификация, однако, носит несколько
другой характер. При ее составлении мы пользовались более современными и
достаточно полными источниками.
ОТКРЫВАТЕЛИ. Именно эти ученые "выдают" новые идеи. Их мозг всегда
готов впиться в случайную добычу. Хорошая научная подготовка позволяет им
быстро оценить важность наблюденного факта и сформулировать идею, после чего
гипотеза готова (или рабочая гипотеза во всяком случае). Затем они либо
проверяют ее экспериментально сами, либо представляют другим побеспокоиться
об этом, получая удовольствие от умозрительного решения задачи,
ЭКСПЛУАТАТОРЫ. Это исследователи с быстрой хваткой; уши и глаза их
постоянно открыты. Такого ученого редко можно застать в собственной
лаборатории, он предпочитает проводить время в обсуждениях с коллегами из
других лабораторий и институтов, особенно если эти коллеги работают над тем,
что его самого интересует. У него никогда нет недостатка в хороших идеях,
которые, хоть и родились не в его голове, превращаются, однако, в интересные
статьи, щедро пересыпанные ссылками на "частные сообщения".
ЦЕНИТЕЛЬ. Умственные способности такого человека значительно
превосходят его возможности (и желание) ставить собственные эксперименты. Он
способен оценить (и оценивает) хорошую работу, причем часто делает это
лучше, чем сам автор работы. Критический ум, сочетающийся с врожденным
непостоянством, - виной тому, что результаты каждой последующей серии
измерений существенно отличаются от всех предыдущих; это не позволяет такому
ученому опубликовать что-либо, если у него нет решительного начальника.
УЛУЧШАТЕЛЬ. Он напоминает "ценителя", но обладает несколько более
высокой производительностью. Его достижения представлены очень
немногочисленными, но превосходными статьями, основанными на экспериментах,
которые повторялись столько раз, что все неожиданные или не предсказанные
результаты удается отбросить с помощью изощренной статистической обработки.
ЧЕЛОВЕК НА УРОВНЕ. он знает все. что стоит знать. В отличие от
"эксплуататора" он проводит все свое время в библиотеке, где редко кому
удается опередить его в получении свежего номера журнала.
СОАВТОР. Этот тип в совершенстве познал искусство научной дипломатии.
Он без нажима добивается включения своего имени в списки авторов большинства
статей, публикуемых сотрудниками отдела, где он работает, причем вклад его
порой выражается лишь в решении вопроса - стоит ли употребить союз "и" в
названии статьи. Некоторые люди придерживаются мнения, что "соавтор" -это
почти то же самое, что "советчик", а что такое советчик, знает каждый, кто
играл в карты или шахматы.
СОВЕТЧИКИ. Советчиков, которые встречаются чаще всего в учреждениях,
занимающихся фундаментальными исследованиями, не следует путать с
советниками, которые, занимаясь наукой, дают работающим в соответствующей
отрасли промышленности соответствующим людям советы за соответствующее
вознаграждение.
ПРИБОРИСТ .в мире современной науки есть исследования, проведение
которых абсолютно невозможно без солидного набора приборов. Возможностями,
которые были доступны Архимеду и Ньютону, теперь уже никто не ограничивается
(кроме, может быть, физиков-теоретиков), и хорошо оборудованная лаборатория
так же необходима для продуктивного исследования, как пишущая машинка для
написания отчета начальству.
Поэтому некоторые научные работники смыслом своей жизни считают
получение и (может быть) использование возможно большего числа предельно
современных приборов. Посетить такую лабораторию одно удовольствие. Просто
душа радуется при виде комнат, забитых ультрасовременным оборудованием,
которое сверкает стеклом и никелем, благоговейный страх внушают пышные
названия многочисленных установок, которые используются скорее для того,
чтобы произвести впечатление на посетителей, нежели для какой-нибудь другой
цели.
ПУБЛИКАТОР. Этим термином, за неимением лучшего, мы будем обозначать
тех, кто любыми многочисленными способами в экспоненциально возрастающем
темпе удлиняет список своих научных трудов. Разновидностью такого типа
является:
Пережевывателъ (название, ассоциирующееся с особенностями
пищеварительного процесса у некоторых млекопитающих). Такой человек
поселяется обычно в какой-нибудь слаборазвитой стране. Публикует там свои
наблюдения и находки, предваряя их таким вступлением: "Впервые в истории...
(следует название страны) было наблюдено...", после чего честно
воспроизводится перевод на местный язык какой-нибудь работы, сделанной
другими людьми в другом месте.
Еще один представитель того же типа:
Мультипликатор. Индивидуум, который раскладывает результаты своей
работы или своих спекулятивных рассуждений по возможно большему числу
хорошеньких маленьких пакетиков с ярлычками "статья", "письмо в редакцию",
"краткое сообщение" и т. п. и благополучно наращивает таким способом список
своих работ.
КОРРЕСПОНДЕНТ. Для знакомства с этим типом ученых мы отсылаем читателя
к последним страницам любого научного журнала, где пестрят заголовки:
"Заметки", "Краткие сообщения", "Предварительные результаты" или "Письма в
редакцию". Там каждый Корреспондент сообщает о чем-то поистине важном, очень
похожем на большое открытие, которое следует опубликовать как можно быстрее,
пока этого не сделал кто-нибудь другой... Такие сообщения заканчиваются
словами: "Подробное описание экспериментов (или результатов) будет
опубликовано в таком-то издании (или в ближайшее время)". В 50% случаев
обещанная публикация так и не появляется, поскольку результаты повторных
экспериментов отобьют у автора к тому времени всякий интерес к самой идее.
Приведенный список ни в коей мере не претендует на полноту. В
литературе (в частности, в монографии Бэрча) можно найти прекрасное описание
Переоткрывателя, Продолжателя, Мыслителя, Распространителя,
Громкоговорителя, Толкача, Самозванца, Деквалификатора и многих других.
Следует также помнить о существовании Сокрушителей, Ниспровергателей,
Энтузиастов, Пренебрегателей, Компликаторов и т. д. Мы уверены, что
читатель, обладающий воображением, сможет легко сконструировать образы всех
ученых, с которыми он лично знаком.
ЛИТЕРАТУРА
1. Ломорозо (убедительная просьба к читателям - найдите
2. Кречмер эти ссылки сами.)
Напечатано в
"The Journal of Irreproducible Results", 7, No2 (1959). (А. КОН -
профессор Университета в Нью-Джерси, член редколлегии журнала "The Journal
of Irreproducible Results" * M, БРЕЙЕР - профессор Университета в
Нью-Джерси.)
Томсон (лорд Кельвин) однажды вынужден был отменить свою лекцию и
написал на доске: "Professor Tomson will not meet his classes today"
(Профессор Томсон не сможет встретиться сегодня со своими учениками).
Студенты решили подшутить над профессором и стерли букву "с" в слове
"classes". На следующий день, увидев надпись, Томсон не растерялся, а,
стерев еще одну букву в том же слове, молча ушел .
* Classes - классы, lasses - любовницы, asses - ослы.
В одном из номеров журнала "Невоспроизводимые результаты" ("The Journal
of Irreproducible Results", 9, 1960) предложена следующая схема расположения
фамилий авторов статьи, исключающая возможность выделения кого-нибудь одного
из авторов и нанесения обиды остальным.
Резерфорд демонстрировал слушателям распад радия. Экран то светился, то
темнел.
- Теперь вы видите, - сказал Резерфорд, - что ничего не видно. А
почему ничего не видно, вы сейчас увидите.
ПЕРЕЧЕНЬ ТИПОВЫХ ЭКЗАМЕНАЦИОННЫХ ВОПРОСОВ ДЛЯ АСПИРАНТОВ-ФИЗИКОВ
Г. Дж. Липкин
1. МЕХАНИКА.Частица движется в потенциальном поле V(r) = e~r/r12.
а) Покажите, что решение этой задачи не имеет никакого отношения к
энергии связи дейтрона.
б) Поясните асимптотическое поведение решения при 12 ->оо.
2. ЭЛЕМЕНТАРНЫЕ ЧАСТИЦЫ. Перечислите все до сих пор не открытые
элементарные частицы, указав их массу, заряд, спин, изотопический спин,
странность и причины, по которым они до сих пор не обнаружены.
3. КВАНТОВАЯ ТЕОРИЯ.Напишите уравнение Шре-дингера, описывающее
студента, изучающего физику элементарных частиц. Получите выражение для
оператора "Сдал - Не сдал", который имеет собственное значение +1, если
студент сдает сессию, и -1, если проваливается. Покажите, что состояние
студента в конце семестра всегда является собственным состоянием этого
оператора.
4. СВОЙСТВА СИММЕТРИИ. Исследуйте свойства уравнения Дирака по
отношению к вращению:
а) когда вращается доска, на которой уравнение написано;
б) когда вращается физик, исследующий это уравнение.
5. ЯДЕРНЫЕ РЕАКЦИИ. Монета вступает во взаимодействие с автоматом,
торгующим кока-колой. Определите относительные вероятности следующих
реакций:
а) захвата (во входном канале - никель *, в выходном - ничего),
б) упругое рассеяние (п, п) (во входном канале никель и в выходном -
никель),
в) реакция (п, 2п) (во входном канале никель, в выходном - два никеля),
г) реакция (п, р) (во входном канале никель, в выходном - пуговица),
д) реакция (п, с) (на входе - никель, на выходе - кока-кола).
6. РЕЛЯТИВИСТСКАЯ КВАНТОВАЯ ТЕОРИЯ ПОЛЯ.
Рождается пара близнецов - Бингл и Дингл. Сразу же после рождения Дингл
посылается в ракете по направлению к одной из звезд со скоростью 0,999 с, а
затем возвращается. Определите относительный возраст Бингла и Дингла в
момент возвращения, приняв во внимание возможность следующего процесса: в
наиболее удаленной точке своей траектории Дингл испускает виртуальный
пи-мезон, который рождает пару Вингл - Анти-Вингл. Анти-Вингл возвращается
на Землю, где аннигилирует с Бинглом, а Дингл и Бингл счастливо доживают
свой век у далекой звезды.
7. ТЕХНИКА ЭКСПЕРИМЕНТА. Опишите самый дорогой способ определения
постоянной Планка.
8. ДИСПЕРСИОННЫЕ СООТНОШЕНИЯ. Дайте объяснение явлению множественного
рождения странных статей по ядерной физике, которые наблюдаются в
нефизической части "Physical Review".
Покажите, что принцип причинности позволяет полностью предсказать
результаты любого эксперимента, причем хорошее согласие наблюдается до тех
пор, пока кто-нибудь этот эксперимент не поставит.
* Никель - монета в 5 центов.
Напечатано в
"The Journal of frreproducible Results", 7, No 2 (1959).
Без слов.
* * * *
Эйнштейн был в гостях у своих знакомых. Начался дождь. Когда Эйнштейн
собрался уходить, ему стали предлагать взять шляпу.
- Зачем? - сказал Эйнштейн. - Я знал, что будет дождь, и именно
поэтому не надел шляпу. Ведь она сохнет дольше, чем мои волосы. Это же
очевидно.
* * * *
Однажды вечером Резерфорд зашел в лабораторию. Хотя время было позднее,
в лаборатории склонился над приборами один из его многочисленных учеников.
- Что вы делаете так поздно? - спросил Резерфорд.
- Работаю, - последовал ответ.
- А что вы делаете днем?
- Работаю, разумеется, - отвечал ученик.
- И рано утром тоже работаете?
- Да, профессор, и утром работаю, - подтвердил ученик, рассчитывая на
похвалу из уст знаменитого ученого. Резерфорд помрачнел и раздраженно
спросил:
- Послушайте, а когда же вы думаете?
* * * *
Полезные советы
В РАЗДЕЛЕ:
Инструкция для читателя научных статей * Л. Солимар. Как писать научные
статьи ... Д. Уилкин-сон. Как пользоваться диапозитивами ... Карл Дарроу. Как
выступать на заседании Американского физического общества * У. Б. Вин. Как
не слушать оратора * Д. Грэй. Отчеты, которые я читал... и, возможно, писал
? О стандартизации статей *
ИНСТРУКЦИЯ ДЛЯ ЧИТАТЕЛЯ НАУЧНЫХ СТАТЕЙ
Во всех основных разделах современной научной работы - во введении,
изложении экспериментальных результатов и т. д. - встречаются традиционные,
общеупотребительные выражения. Ниже мы раскрываем их тайный смысл (в
скобках).
Введение
"Хорошо известно, что..." (Я не удосужился найти ссылку на работу, в
которой об этом было сказано первый раз.)
"Имеет огромное теоретическое и практическое значение". (Мне лично это
кажется интересным.)
"Поскольку не удалось ответить сразу на все эти вопросы..."
(Эксперимент провалился, но печатную работу я все же сделаю.)
"Был развит новый подход..." (Бенджамен Ф. Мейсснер использовал этот
подход по меньшей мере 30 лет тому назад.)
"Сначала изложим теорию..." (Все выкладки, которые я успел сделать
вчера вечером.)
"Очевидно..." (Я этого не проверял, но...)
"Эта работа была выполнена четыре года тому назад..." (Нового материала
для доклада у меня не было" а поехать на конференцию очень хотелось.)
Описание экспериментальной методики
"При создании этой установки мы рассчитывали получить следующие
характеристики..." (Такие характеристики получились случайно, когда нам
удалось, наконец, заставить установку начать работать.)
"Поставленной цели мы добились..." (С серийными образцами вышли
кое-какие неприятности, но экспериментальный прототип работает прекрасно.)
"Был выбран сплав висмута со свинцом, поскольку именно для него
ожидаемый эффект должен был проявиться наиболее отчетливо". (Другого сплава
у нас вообще не было.)
"...прямым методом..." (С помощью грубой силы.)
"Для детального исследования мы выбрали три образца". (Результаты,
полученные на остальных двадцати образцах, не лезли ни в какие ворота.)
"...был случайно слегка поврежден во время работы..." (Уронили на пол.)
".. .обращались с исключительной осторожностью..." (Не уронили на пол.)
"Автоматическое устройство..." (Имеет выключатель.)
"...схема на транзисторах..." (Есть полупроводниковый диод.)
"...полупортативный..." (Снабжен ручкой.)
"...портативный..." (Снабжен двумя ручками.)
Изложение результатов
"Типичные результаты приведены на..." (Приведены лучшие результаты.)
"Хотя при репродуцировании детали были искажены, на исходной
микрофотографии ясно видно..." (На исходной микрофотографии видно то же
самое.)
"Параметры установки были существенно улучшены..." (По сравнению с
паршивой прошлогодней моделью)
"Ясно, что потребуется большая дополнительная работа, прежде чем мы
поймем..." (Я этого не пони-маю.)
"Согласие теоретической кривой с экспериментом:
Блестящее... (Разумное...) Хорошее... (Плохое...) Удовлетворительное...
(Сомнительное...) Разумное... (Вымышленное...) Удовлетворительное, если
принять во внимание приближения, сделанные при анализе..." (Согласие вообще
отсутствует.)
"Эти результаты будут опубликованы позднее..." (Либо будут, либо нет.)
"Наиболее надежные результаты были получены Джонсом..." (Это мой
дипломник.)
Обсуждение результатов
"На этот счет существует единодушное мнение..." (Я знаю еще двух ребят"
которые придерживаются того же мнения.)
"Можно поспорить с тем, что..." (Я сам придумал это возражение, потому
что на него у меня есть хороший ответ.)
"Справедливо по порядку величины..." (Несправедливо...)
"Можно надеяться, что эта работа стимулирует дальнейший прогресс в
рассматриваемой области..." (Эта работа ничего особенного собой не
представляет, но то же самое можно сказать и обо всех остальных работах,
написанных на эту жалкую тему.)
"Наше исследование показало перспективность этого подхода..." (Ничего
пока не получилось, но мы хотим, чтобы правительство отпустило нужные
средства.)
БЛАГОДАРНОСТИ
"Я благодарен Джону Смиту за помощь в экспериментах и Джону Брауну за
ценное обсуждение". (Смит получил все результаты, а Браун объяснил, что они
значат.)
Я же тебе говорил - он никуда не годный ученый, но великий организатор,
- Проверь-ка, Чарли, не забыли ли они положить мне сахар в кофе.
* * * *
В начале научной карьеры Эйнштейна один журналист спросил госпожу
Эйнштейн, что она думает о своем муже.
- Мой муж гений! - сказала госпожа Эйнштейн. - Он умеет делать
абсолютно все, кроме денег.
* * * *
Многие указывали, что процесс превращения гипотезы в научное открытие
очень хорошо иллюстрируется на примере открытия Америки Колумбом. Колумб был
одержим идеей, что Земля круглая и что можно достичь Восточной Индии, плывя
на Запад.
Обратите внимание на следующее:
а) идея никоим образом не была оригинальной, но он получил новую
информацию;
б) он встретился с огромными трудностями как в поиске лиц, которые
могли бы его субсидировать, так и непосредственно в процессе проведения
эксперимента;
в) он не нашел нового пути в Индию, но зато нашел новую часть света;
г) несмотря на все доказательства противного, он все же верил, что
открыл дорогу на Восток;
д) при жизни он не дождался ни особого почета, ни существенного
вознаграждения;
е) с тех пор были найдены неопровержимые доказательства, что Колумб был
не первым европейцем, достигшим Америки.
* * * *
На столе у Нернста стояла пробирка с органическим соединением
дифенилметаном, температура плавления которого 26╟С. Если в 11 утра препарат
таял, Нернст говорил:
- Против природы не попрешь! И уводил студентов заниматься греблей и
плаванием.
КАК ПИСАТЬ НАУЧНЫЕ СТАТЬИ
Л. Солимар
В ведение
Вопрос о подготовке научных статей к публикации неоднократно
рассматривался с разных точек зрения, но все же многие его стороны до сих
пор оставались без внимания. Вызывает удивление также тот факт, что большие
успехи, достигнутые за последнее десятилетие в проведении научных
исследований, почти не приблизили нас к окончательному решению этого
вопроса. На тему о том, как писать статьи, написано множество книг и брошюр,
но все они посвящены либо расплывчатым рекомендациям общего характера
("пишите понятно", "поясняйте свои мысли", "не отклоняйтесь от темы" и т.
д.), либо советам по техническому оформлению ("с одного края страницы должны
быть оставлены поля", "подписи под рисунками должны быть отпечатаны на
машинке", "размер иллюстраций не должен превышать 10см X 15 см" и т. д.). Не
отрицая серьезности и важности этих советов, я все же полагаю, что они
затрагивают лишь ограниченный круг второстепенных вопросов. В этой заметке я
не собираюсь излагать новые идеи, а просто хочу поделиться своим опытом в
составлении технических статей и ценными замечаниями, которые я в свое время
получал от друзей и знакомых.
Некоторые соображения о мотивах, побуждающих к написанию статьи
Целый ряд причин (от обычной графомании до стремления улучшить свое
общественное положение) побуждает человека писать и публиковать свои научные
работы. Я не буду вдаваться в подробности и ограничусь рассмотрением лишь
четырех главных мотивов: 1) бескорыстное стремление к распространению
знаний; 2) забота о собственном приоритете; 3) беспокойство за свою
профессиональную репутацию; 4) стремление продвинуться по службе.
Под влиянием первой причины пишут главным образом молодые люди, и то,
по-видимому, лишь при подготовке своего первого научного труда. Число таких
авторов невелико, и для большинства из них первая статья бывает, последней.
Следовательно, первую причину нельзя ставить в один ряд с другими более
сильными мотивами, хотя забывать о ней все же не следует.
Вторая причина - приоритет - движет лишь не большой группой авторов,
хотя по важности она намного превосходит любую другую причину. Желание
связать свое имя с каким-нибудь открытием уже давно является отличительной
чертой научных работников. С тех пор, как публикация стала служить
доказательством открытия, существует стремление ковать свои статьи и как
можно быстрее. Однако автор не должен забывать о возможности дальнейшего
использования своего открытия. Если он опубликует полученные им данные, то
кто-то сможет довести эти замыслы до конца и лишить автора возможности
пожинать плоды своих трудов. Идеальное решение вопроса - это гарантировать
приоритет, заявив об открытии, а подробную публикацию задержать до полной
оценки его потенциальных возможностей. Как известно, первым ученым,
применившим этот способ, был Галилео Галилей, который послал описание своих
астрономических открытий Кеплеру в виде анаграммы, а расшифровал ее
содержание только через год. Так как современные научные журналы, к
сожалению, обычно не публикуют анаграмм, то теперешние первооткрыватели (или
изобретатели) должны действовать другим путем. Я рекомендовал бы начинать
статьи интригующим заголовком, ибо чем большее впечатление производит
заглавие, тем меньше сведений можно будет сообщить в самой статье. Например,
заголовок "Усилитель с нагруженной отрицательной индуктивностью" сразу
убедит каждого, что открыт новый важный принцип. Автора простят, если он не
привел определенных данных по существу вопроса, а только в общих чертах
сообщил об открытии.
Еще одним доводом в пользу туманных заглавий является наш моральный
долг перед потомками. Через несколько поколений у нации может появиться
желание утвердить славу своих предков. Может быть, она пожелает доказать,
что гражданам именно этой страну принадлежит приоритет всех, даже самых
незначительных, открытий и изобретений. Если мы не напустим достаточно
тумана сейчас, то тем самым затрудним эту будущую работу наших потомков.
Третья причина - забота о профессиональной репутации. Высокой
профессиональной репутации можно достичь различными способами. Достаточно,
например, сделать выдающееся изобретение или, еще лучше, получить
Нобелевскую премию, и ваша компетентность в данном вопросе будет вне всякого
сомнения. Однако для подавляющего большинства научных работников
единственным доступным способом является написание большого количества
статей, каждая из которых вносит в науку хотя бы небольшой вклад.
Целесообразно при этом несколько первых статей ограничить узкой темой
(например, "Соединения в волноводах"), чтобы завоевать признание. Однако
позднее автор должен засвидетельствовать свою многосторонность, написав
несколько работ, охватывающих более широкую тему (например,
"Сверхвысокочастотные колебания"). После опубликования трех десятков статей
известность автора выйдет на насыщение и уже не будет возрастать при
дальнейшем увеличении числа печатных работ. Тут наступает самый подходящий
момент, чтобы внезапно прекратить печататься (несколько обзорных статей не в
счет) и попытаться занять приличную руководящую должность.
Четвертая причина - стремление продвинуться по службе - тесно связана с
необходимостью снискать известность в качестве специалиста, а это можно
приобрести путем публикации научных статей. Если бы эта простая зависимость
действовала всегда, то о стремлении занять высокую должность как об особой
причине не стоило бы и упоминать. Однако существует мнение, которого
придерживаются многие, что приобретение высокой профессиональной репутации в
качестве промежуточной ступени не является необходимым. Предполагается, что
общественное положение можно повысить путем публикации большого числа
статей, научная ценность каждой из которых равна нулю или даже отрицательной
величине, и подчеркивается, что при этом существенно только общее количество
статей. Хотя у меня нет достоверных статистических доказательств, способных
опровергнуть эти утверждения, я считаю, что длительное получение выгод таким
способом все же сомнительно. Поэтому я склонен рекомендовать этот способ
только в качестве аварийной меры на тот случай, когда вас временно покинет
творческое вдохновение.
Советы по оформлению рукописей
До сих пор я рассматривал лишь те причины, по которым пишутся научные
работы. Теперь мне хотелось бы Коснуться положения молодого автора (не
имеющего могущественных соавторов), статье которого предстоит пройти сквозь
строй рецензентов.
Как обеспечить прием статьи к опубликованию? Обычно рецензенты
подбираются из числа ведущих ученых, чтобы отфильтровать из общего потока
рукописей те, которые стоит напечатать (после редактирования). К несчастью,
у ведущих ученых, как правило, времени мало, а обязанностей много, и
вдобавок они несут бремя административных забот. Они не могут уделить
основную часть своего послеобеденного времени чтению какой-то одной статьи,
и тем не менее именно они должны сделать критические замечания.
Начинающему автору следует учитывать это обстоятельство и, чтобы потом
не терять зря времени на жалобы, нужно писать свою статью так, чтобы она с
самого начала удовлетворяла требованиям рецензента, острые глаза которого
обнаружат малейшую аномалию. Если статья слишком длинная, автора обвинят в
многословии, если статья слишком краткая, ему посоветуют собрать
дополнительный материал. Если он докладывает о чисто экспериментальной
работе, то будет подвергнуто критике "обоснование", если он предлагает на
обсуждение элементарную теорию, его назовут "поверхностным". Если он
приводит слишком большой список использованной литературы, его отнесут к
"неоригинальным", если он вообще ни на кого не ссылается, на нем поставят
клеймо "самонадеянного". Поэтому я предлагаю компромисс. Статья должна иметь
объем от 8 до 12 страниц, отпечатанных на машинке (через два интервала и с
правильно оставленными полями, конечно), и около одной трети ее следует
занять математическими формулами. В формулах не следует скупиться на
интегралы и специальные функции. Количество ссылок на литературу должно
колебаться между шестью и двенадцатью, причем половина из них должна
относиться к известным трудам (рецензент слыхал о них), а оставшаяся
половина - к неизвестным (рецензент о них не слыхал).
Следуя приведенным выше советам, автор может быть уверен, что статья
пройдет независимо от ее содержания. Беглый просмотр такой статьи вызовет
благосклонность рецензента. Далее все зависит от его реакции в течение
следующих тридцати минут. Если за это время он сможет быстро сделать
критические замечания по трем несущественным ошибкам, статья будет принята.
Если рецензент не найдет очевидных пунктов, заслуживающих критики, его
противодействие только укрепится. Он возьмет первое попавшееся на глаза
предположение (причем именно то, которое является неуязвимым), объявит его
необоснованным и посоветует возвратить статью для доработки.
Таким образом, главная задача автора - дать рецензенту материал для
трех несущественных замечаний. Ниже мы приводим несколько рекомендаций для
облегчения выбора такого материала.
1) Подберите неудачное название (все рецензенты любят предлагать свои
заглавия).
2) "Забудьте" определить одно из обозначений в первом же уравнении.
3) Сделайте орфографическую ошибку в слове (только в одном!), которое
часто пишут с ошибкой.
4) Отклонитесь от обычных обозначений (речь идет только об одном
параметре).
5) Пишите ехрх: и ех вперемежку. (е в степени х)
Требования к преуспевающему автору (опубликовавшему по меньшей мере
десяток работ) значительно слабее. Он может писать красочные введения,
поместить несколько острот в основном тексте, может признаться, что он не
вполне понимает результаты своих исследований и т. д.
Надеюсь, что приведенные мной замечания будут содействовать лучшему
пониманий) сущности работы по составлению научной статьи и в то же время!
послужат руководством для начинающих авторов.
Напечатано в журнале
"Proceedings of the IEEE", 51, No 4 (1963).
(Лц СОЛИМАР -* английский инженер, работающий в Харлоу.)
Известный физик Лео Сциллард делал свой первый доклад на английском
языке. После доклада к нему подошел физик Джексон и спросил:
- Послушайте, Сциллард, на каком, собственно, языке вы делали доклад?
Сциллард смутился, но тут же нашелся и ответил:
- Разумеется, на венгерском, разве вы этого не поняли?
- Конечно, понял. Но зачем же вы натолкали в него столько английских
слов? - отпарировал Джексон"
- Он должен быть где-то там,
он помогал мне монтировать
всю эту штуку.
КАК ПОЛЬЗОВАТЬСЯ ДИАПОЗИТИВАМИ
Д. Г. Уилкинсон
Речь на банкете, посвященном закрытию
Международной конференции по структуре
ядра, Кингстон, 1960
Меня попросили сказать несколько слов по важному вопросу - как
пользоваться диапозитивами. Трудно сразу посвятить дилетантов во все
тонкости этого искусства. Поэтому я намерен коснуться лишь самых
элементарных и основных принципов, на большее рассчитывать трудно. Я хочу
подчеркнуть, что мое настоящее сообщение является лишь отрывком из общих
"Правил конференцмена" и посвящено только одной и далеко не самой важной из
тем, охваченных упомянутым кодексом, 8 столь кратком выступлении нельзя
охватить всю эту обширную область, и я лишен возможности коснуться,
например, таких вопросов! "Как упомянута о своих сотрудниках, дав в то же
время понять, что они этого не заслуживают", или "Как опорочить теорию и
экспериментальную методику своего соперника, не разбираясь да в том, ни в
другом".
Вопрос об использовании диапозитивов распадается на три подвопроса. О
третьем - "Как унизить
своего оппонента", мне говорить не разрешили. Остаются два: "Как
извести оператора проекционного фонаря" и "Как завоевать аудиторию".
В первом случае конечной целью конференцмена является доведение
оператора по возможности до нервного припадка. Важно установить момент,
когда вы в этом преуспели, и обратить все внимание на слушателей, то есть на
главный объект. Трудность заключается в .том, что оператора, как правило, вы
не видите, и нелегко установить, что он уже "готов". Но я считаю, что обычно
вполне достаточно довести процесс до той стадии, когда его заикание станет
слышно в зале, что оказывает на аудиторию полезное нервирующее действие.
Такое состояние является самоподдерживающимся, и после этого оператора можно
предоставить самому себе.
Такие примитивные и грубые способы, как использование пленок
нестандартной ширины и пятиугольных пластинок, можно порекомендовать лишь
самым зеленым новичкам. Удовлетворительным и более квалифицированным началом
является метод "3-2-1". Здесь используется тот факт, что оператор всегда
заряжает в аппарат два первых диапозитива, пока председатель объявляет тему
доклада, чтобы включить аппарат сразу после того, как докладчик скажет:
"Первый диапозитив, пожалуйста", а при необходимости мгновенно показать и
второй. Вместо этого вы говорите: "Третий снимок, пожалуйста". (Элементарное
замечание: вслед за этим нужно быстро потребовать второй снимок и лишь потом
первый.)
Второй метод, который лучше всего использовать в сочетании с первым, -
это "Блуждающая белая метка". Все снимки обычно помечены в одном углу белым
пятнышком, на которое оператор должен положить большой палец правой руки,
чтобы обеспечить правильное положение пластинки в рамке. Так вот, нужно
ставить это пятнышко не в том углу, и все окажется перевернутым вверх
ногами. Примененный вместе с методом "3-2-1", этот способ действует
ошеломляюще. Он, конечно, довольно груб, но его можно развить, имея в виду
как оператора, так и аудиторию. Вы проявляете легкое замешательство, а
затем, просветлев, обращаетесь к оператору: "О, прошу прощенья, эти
пластинки помечены необычным образом. Вы знаете, обычно я беру с собой
личного оператора". Затем после некоторого раздумья: "Он левша" и, наконец:
"Но не волнуйтесь, так помечено лишь несколько первых снимков".
Сразу за этим должен следовать "Диапозитив с несохраняющейся
четкостью", который проецируется неправильно, как бы вы его ни ворочали в
рамке. Существует много способов изготовить такой диапозитив. Простейший, но
изысканный: все буквы надо чертить правильно, а слова писать справа налево.
Обращайтесь к оператору почаще. Хорошо, если при этом будет не совсем
ясно, к кому вы, собственно, адресуетесь - к нему или к слушателям. Абсурдно
усложненных инструкций избегайте. Говорите просто: "Через два снимка я снова
хочу посмотреть на четвертый от конца из тех, что уже были показаны". А
после очередного кадра добавьте: "Я, конечно, имел в виду тот снимок,
который будет четвертым от конца из показанных после того, как вы покажете
эти два кадра, а не тот, который был четвертым от конца, когда я про него
говорил". После этого пропустите один диапозитив.
Этих простых способов достаточно дли большинства операторов. В случае
неожиданного сопротивления можно принять и более крутые меры,
Гроссмейстерским приемом является "самозаклинивающийся диапозитив". К
нижнему краю (на экране он, конечно, будет верхним) специально укороченного
дйапозитива прикрепляется тонкая, достаточно упругая биметаллическая
пластинка. Когда изображение появляется на экране, вы его некоторое время
обсуждаете и говорите, что отличие от следующей кривой невелико, но оно
бросится в глаза, если сменить диапозитив достаточно быстро" Биметаллическая
пластинка к этому времени Успеет нагреться, изогнется, и когда вы скажете
"Прошу следующий!" и оператор передвинет рамку, она неминуемо прочно
застрянет на полпути. Подгоняемый нетерпеливыми просьбами "Скорее
следующий", оператор, оставив попытки передвинуть рамку деликатным
постукиванием по торцу, схватится за нее обеими руками и рванет туда-сюда
как следует. Аппарат при этом будет елозить по полу всеми четырьмя ножками,
издавая очень приятные звуки. Это всегда развлекает публику.
Наконец, последняя, самая изощренная методика, которую я назвал "Пара
чистых". Берутся два абсолютно чистых диапозитива. Они помещаются после
серии кадров, которые демонстрируются в быстрой последовательности, оказывая
на оператора изматывающее и гипнотизирующее действие. Внезапно эта серия
кончается, и оператор, зарядив, как обычно, очередную пару, вздыхает с
облегчением. Однако снимок, который он проецирует после очередного
"Следующий, пожалуйста", и есть один из "Пары чистых", причем второй кадр в
рамке тоже пустой. Через несколько секунд раздается ледяное "Я сказал:
следующий, пожалуйста!" - и оператор с ужасом видит, что на экране ничего
нет, хотя он отлично помнит, что вставил диапозитив и передвинул рамку.
Чувствуя, как мир вокруг него рушится, он тычет пальцем прямо в середину
чистого диапозитива, чтобы убедиться, что он все-таки существует. Но в
центре диапозитива заранее проделано большое отверстие, от стеклянной
пластинки остался фактически лишь ободок. Почти теряя сознание, оператор
хватает из коробки следующий кадр и пытается втиснуть его в рамку, которая,
естественно, занята...
Это об операторе. Обращусь теперь к более важной проблеме - аудитории.
Это куда более тонкое дело. Главное, конечно, с минимальной затратой усилий
продемонстрировать собравшимся свою оригинальность и превосходство над ними.
Основной принцип - скрыть от слушателей, о чем идет речь и что изображено на
диапозитивах. При этом снимки, конечно, не должны иметь никакого отношения к
излагаемому вопросу. Порождаемое этим замешательство нужно периодически
усугублять замечаниями: "То же самое изображено на приведенной диаграмме".
Единственное исключение из этого правила: вы очень внятно рассказываете
какую-нибудь очень простую вещь и показываете очень понятный снимок. Затем
говорите, что вам особенно хочется подчеркнуть отличие этого случая от того,
что последует. Затем вы демонстрируете точную копию предыдущего диапозитива
и говорите абсолютно то же самое. Этот прием можно повторить несколько раз.
Полезно еще при этом обращаться непосредственно к какой-нибудь выдающейся
личности в первом ряду, выбрав того, кто только что проснулся. Почтенный
старец будет энергично кивать после каждого нового кадра...
Диапозитивы могут подчеркнуть вашу близость к корифеям. Вот хороший
способ: покажите снимок, на котором с обратной стороны что-то небрежно
написано карандашом. С трудом разобрав перевернутые каракули,
заинтригованная аудитория прочтет: "Вигнер просил у меня две копии этого
графика". На снимке через один напишите: "Этот тоже оставить для Жени"
(Вигнера зовут Евгений).
Налаживанию контакта с аудиторией способствует еще так называемый
"Посторонний диапозитив". Он не относится совсем к теме данной конференции и
воспроизводит, скажем, страницу нотной рукописи квартета Гезуальдо в
переложении Бузони для фортепьяно в три руки. После появления его на экране
вы говорите: "Ах, виноват. Он попал сюда случайно. Еще одна из моих
слабостей, вы же знаете". Это сразу создает впечатление, что 1) ваши
увлечения многочисленны и разнообразны (о чем вы, по-видимому, говорили на
предыдущих конференциях) и 2) что вы рассматриваете свои занятия ядерной
физикой тоже как маленькую прихоть.
Большое впечатление производит также диапозитив "Новейшие достижения".
На нем изображено некоторое количество точек с надписью "Эксперимент",
которые все лежат значительно ниже горизонтальной линии с надписью "Теория".
Докладчик (который, конечно, является, автором как теории, так и
эксперимента) говорит, указывая на точки: "Это последние результаты,
полученные в моей лаборатории". (Это очень важно: моя лаборатория!)
Посокрушавшись по поводу того, что согласие теории с экспериментом не из
лучших, он говорит, что в его лаборатории в настоящий момент ведутся
дополнительные исследования, результаты которых, он уверен, существенно
исправят положение. Когда он говорит это, экспериментальные точки, которые в
действительности представляют собой маленькие металлические нашлепки,
удерживаемые на пластинке легкоплавким клеем, который в тепле размягчается,
под действием силы тяжести ползут вниз (на экране, конечно, вверх) и
останавливаются, достигнув теоретической прямой, которая есть не что иное,
как натянутая поперек пластинки проволочка.
Последний вопрос, которого я хотел бы коснуться в этом беглом обзоре, -
как поразить слушателей обилием отдаленных и экзотических конференций, о
которых они никогда не слышали и где вы были делегатом. В этом самая соль
"Правил конференцмена". Вы поднимаетесь с места во время обсуждения одного
из докладов (какого именно, все равно) и говорите: "Но ведь эту штуку уже
разоблачили на конференции в Аддис-Абебе - я имею в виду конференцию,
которая состоялась после той беспорядочной дискуссии в Тьерра-дель-Фуэго, а
не ту, на которой бедняга Пржкжвлатскржи во время дискуссии так оплошал со
своей мнимой частью". Это уже хорошо, но можно усилить: "Я случайно захватил
с собой снимок, который после конференции мне любезно подарил профессор Пуп.
Из него сразу все будет ясно, и это избавит нас от дальнейшей дискуссии"*
Что будет на этом снимке, разумеется, не имеет значения,
Хорошо также показать несколько диапозитивов, на которых ось абсцисс
направлена вертикально. В аудитории будут свернутые шеи, что само по себе
полезно...
Раньше эффектно было похвастаться своим участием в русской конференции,
но теперь почти каждый бывал на нескольких конференциях в России, и этим
никого уже не удивишь.
Однако диапозитивы с надписями, выполненными кириллицей, до сих пор
выглядят впечатляюще. Нужно показать несколько таких загадочных
диапозитивов, не переводя подписей. Это создает впечатление, будто вас
настолько часто приглашают в Советский Союз, что вы считаете необходимым
снабжать свои диапозитивы русским текстом, а кроме того, можно сделать
вывод, что вы прекрасно знаете русский язык и вам даже не приходит в голову,
что кто-то там еще нуждается в переводе.
Когда же наконец кто-нибудь из присутствующих, устав от обилия
непонятных подписей, встанет и скажет: "Послушайте, вы не собираетесь
рассказать нам, что тут изображено? Мы ведь не все умеем читать по-русски",-
вы после хорошо рассчитанной паузы отвечаете: "Не по-русски, уважаемый, а
по-болгарски!"
Proc. of the International Conference on Nuclear Structure Kingston,
Kanada, 1960
(Д. УИЛКИНСОН - английский физик, профессор Оксфордского университета,
член Королевского общества,)
* * * *
Автор третьего начала термодинамики Вальтер Нернст в часы досуга
разводил карпов. Однажды кто-то глубокомысленно заметил:
- Странный выбор. Кур разводить и то интереснее. Нернст невозмутимо
ответил:
- Я развожу таких животных, которые находятся в термодинамическрм
равновесии с окружающей средой. Разводить теплокровных - это значит
обогревать на свои деньги мировое пространство.
* * * *
Эрнст Резерфорд пользовался следующим критерием при выборе своих
сотрудников. Когда к нему приходили в первый раз, Резерфорд давал задание.
Если после этого новый сотрудник спрашивал, что делать дальше, его
увольняли.
* * * *
Одна знакомая просила Альберта Эйнштейна позвонить ей по телефону, но
предупредила, что номер очень трудно запомнить: 24361.
- И чего же тут трудного? - удивился Эйнштейн.- Две дюжины и 19 в
квадрате.
* * * *
Американский физик Роберт Милликен (1868-1953) был известен своей
словоохотливостью. Подшучивая над ним, его сотрудники предложили ввести
новую единицу - "кен" для измерения разговорчивости. Ее тысячная часть, то
есть милликен, должна была превышать разговорчивость человека,
* * * *
Счетную машину RCA-301 научили писать белые стихи. Словарный запас
полупроводникового поэта - 130 слов. Размер стихов жестко задан. Начиная
очередное стихотворение, вместо названия машина ставит порядковый номер:
"Поэма номер такой-то", а в конце ставит свою подпись: "RCA-301". Ниже
приводится дословный перевод одного из таких стихотворений.
Поэма No 929
Пока слепо плыл сон по разбитым надеждам, Космос с болью сочился над
разбитой любовью, Был из скрытных людей свет твой медленно изгнан, Н небо не
спало.
RCA-301
* * * *
По мнению программистов, это произведение очень напоминает стихи
современных поэтов Эллиота и Каммингса, но никто из них не может
соревноваться с машиной в производительности. RCA-301 пишет 150
четверостиший в минуту.
* * * *
Он говорит, что вода слишком холодная.
КАК ВЫСТУПАТЬ НА ЗАСЕДАНИИ АМЕРИКАНСКОГО ФИЗИЧЕСКОГО ОБЩЕСТВА
Карл Дарроу
Сравним актера, играющего в кинобоевике, и физика, выступающего на
заседании Американского физического общества. Актеру много легче. Он
произносит слова, написанные для него специалистом по части умения держать
аудиторию в руках (мы имеем в виду настоящий боевик). Он обладает какими-то
способностями и опытом, иначе его не взяли бы в труппу. Кроме того, он не
волен произносить отсебятины и поступать, как ему вздумается. Каждая фраза,
интонация, жест, даже поворот на сцене указаны и проверены много раз опытным
режиссером, который не скупится на указания, а при случае не постесняется и
переделать классические строки, если они покажутся ему недостаточно
выразительными.
Казалось бы, в таких благоприятных условиях драматург вполне может
позволить себе написать пьесу, идущую два часа без перерыва, а режиссер -
поставить ее в сарае с деревянными скамейками вместо стульев. Но нет, люди
опытные так не поступают. В спектакле предусмотрены антракты, и действие,
длящееся больше часа, встречается редко (критики сразу отметит это как
недостаток). Как правило, в театрах стоят удобные кресла, а зал хорошо
вентилируется. К тому же для восприятия современных спектаклей не нужно
затрачивать особых интеллектуальных усилий.
Ну а физик? Он сам придумал текст своей "роли", а ведь он далеко не
всегда обладает необходимыми для этого способностями, и уж наверняка его
этому никто не учил. Не учили его и искусству красноречия, и режиссер не
помогал ему на репетициях. Предмет, о котором он говорит, требует от
аудитории заметного умственного напряжения. Для слушателей не создано особых
(а часто нет вообще никаких) удобств - стулья неудобные, помещение часто
душное и тесное, а программа иногда тянется не один час без перерыва, а
порой и то, и другое, и третье. Даже такие звезды, как Лоуренс Оливье или
Эллен Хейс, могли бы спасовать, если бы от них потребовали, чтобы они
держали публику в напряженном внимании в таких условиях. А при столь
неблагоприятных обстоятельствах - сможет ли физик тягаться с Лоуренсом
Оливье? Легко догадаться, что не сможет, поэтому во время заседания
Американского физического общества в коридорах, в буфете или просто на
лужайке перед зданием можно насчитать гораздо больше членов общества, чем в
зале. А видели ли вы когда-нибудь, чтобы люди, имеющие билет на "Турандот",
околачивались вокруг здания Метрополитен-опера вместо того, чтобы сидеть на
своем месте, когда поднимается занавес?
Что можно сделать для улучшения положения? Боюсь, что очень мало, но я
все же выскажу несколько предложений, направленных на разрешение этой
трудной проблемы.
1. Говорите громко, чтобы вас было слышно в самых дальних углах зала.
Некоторые считают, что у них для этого слишком слабый голос. Я сам так думал
в молодости, но потом понял, что ошибаюсь. Я, конечно, не рассчитываю
наполнить своим голосом зал Метрополитен-опера, впрочем, физиков обычно не
приглашают выступать в столь просторных помещениях. А если приглашают, то
предоставляют усилитель. Если же зал рассчитан на триста человек, то
усилитель не нужен, за исключением патологических случаев полного отсутствия
голоса. Все же не надейтесь, что усилитель способен превратить шепот в
громкую речь. Лучше исходить из прямо противоположного предположения и
считать, что микрофона нет вовсе, даже если он у вас под носом.
Часто рекомендуют смотреть на сидящих в заднем ряду и во время
выступления адресоваться именно к ним. Обычно это трудно потому, что все
сколько-нибудь выдающиеся личности садятся в первом ряду, особенно на
университетских семинарах. Игнорируйте это обстоятельство. Если в первом
ряду сидит Нильс Бор, а в последнем - Джон Смит, обращайтесь к Джону Смиту,
тогда и Бор вас услышит.
2. Заранее напишите и выучите свою речь. Против этого выдвигается
обычно лишь одно возражение, но я его считаю безосновательным. Говорят, что
речь по бумажке скучна и безжизненна. При этом, конечно, подразумевают, что
речь не по бумажке блещет экспромтами. Однако, если при чтении готовой речи
вы придумаете что-нибудь остроумное, ничто ведь вам не мешает высказать это
вслух. Зато если ничего такого в голову не приходит, то написанный текст вас
выручит. Говорят, что, будучи напечатана, хорошая речь читается хуже, чем
хорошая статья, но вы должны помнить, что пишете доклад, а не статью.
Некоторые утверждают, что приятнее слушать физика, который не готовился
специально к выступлению. Интересно, что было бы, если бы этой теорией
руководствовались артисты Королевского балета? Может быть, ученику балетной
школы и поучительно будет увидеть, как танцовщица поскользнется и ударится
головой об пол, но вряд ли кому-нибудь это доставит удовольствие.
3. Если вы не в состоянии выучить свою речь, прочтите ее по бумажке.
Этот совет многими будет отвергнут - все мы страдаем, если плохой доклад к
тому же читают запинаясь. Но ведь не обязательно читать плохо. Леди Макбет в
одном из первых актов читает вслух письмо. Это один из кульминационных
пунктов трагедии. Сорок лет тому назад Этель Бэрримор так читала это письмо,
что старые театралы до сих пор об этом вспоминают, хотя сама постановка уже
давно забыта. Главная беда в том, что большинство ораторов семь восьмых
отведенного им времени не отрывают глаз от бумаги, лишь изредка бросая
взгляды в зал, как бы для того, чтобы проверить, не разбежалась ли
аудитория. Делайте все наоборот. Ничего не стоит почти все время смотреть в
зал (особенно если доклад писали вы сами). Попробуйте и убедитесь.
4. Укажите место вашей работы в общей физической картине" начиная
выступление, и суммируйте основные выводы, заканчивая его. Даже в
десятиминутном выступлении не пожалейте для этого минуты в начале и минуты в
конце. Не стесняйтесь повторять основные места доклада. Об этом я еще скажу
позднее.
5. Следите за временем. Очень неприятно, когда звонок извещает об
окончании регламента, а докладчику как раз нужны еще пять минут, чтобы
изложить самую суть. Докладчик, естественно, йе хочет оборвать выступление в
самом разгаре, а председатель редко бывает -достаточно жесток, чтобы на этом
настаивать. Вот здесь готовый текст особенно полезен. Метки времени нужно
ставить в конце каждой страницы на полях. Сто тридцать слов в минуту или,
скажем, две с половиной минуты на страницу машинописного текста через два
интервала - достаточная скорость. После особенно трудного места помолчите
секунд двадцать, дайте аудитории подумать над тем, что вы сказали, - ведь
никто не требует, чтобы вы говорили без остановки. Трудности со временем
особенно велики, когда вам приходится писать на доске или показывать
диапозитивы. Прорепетируйте, вы не пожалеете.
6. Уровень выступления рассчитывайте на среднего слушателя, а не на
выдающихся специалистов. Слишком многие молодые теоретики выступают так, как
будто объясняют что-то Оппенгеймеру, слишком многие специалисты по твердому
телу говорят так, как будто обращаются к Зейтцу, слишком многие
спектроскописты полагают, что аудитория состоит сплошь из Милликенов.
7. Проблема доски. Это одна из главных трудностей, и здесь сравнение с
театром уже не поможет. Мне не приходилось видеть, чтобы по ходу действия
актер писал на доске. Но я уверен, что актер писал бы на доске молча, а
затем поворачивался бы к аудитории и продолжал говорить. Физикам запрещает
так поступать какой-то необъяснимый психологический эффект. А нужно
попытаться. Если уж обращаетесь к доске, то по крайней мере не поддавайтесь
искушению понижать при этом голос. Но существуют и другие ошибки, которых
легче избежать. Так, все буквы нужно писать крупно, чтобы их было видно
отовсюду. Иногда докладчик обнаруживает, что доска много меньше, чем он
предполагал. Тогда ему нужно или перестроить изложение, или сознательно
пойти на то, что его поймут только сидящие в первых рядах. Иногда доска и
мел бывают настолько низкого качества, что от них лучше сразу отказаться.
Все уравнения нужно писать строго в том порядке, в котором они излагаются, а
не кидаться с каждой очередной формулой на ближайшее свободное место доски,
беспорядочно стирая ранее написанные выражения, так что после доклада на
доске остается каша бессвязных символов. Нужно заранее знать, что будет у
вас на доске в каждый момент, с тем чтобы к концу все основные соотношения
остались четко написанными. Боюсь только, что все это лишь благие пожелания.
8. Проблема диапозитивов. Часто докладчик показывает слишком много
диапозитивов и показывает их слишком быстро. Как правило, нужно не менее
тридцати секунд, чтобы разобраться в том, что вам показывают на экране (хотя
бывают и исключения). Невозможно однозначно установить максимальное число
диапозитивов, которые можно показать с пользой. Я думаю, что для
десятиминутного выступления достаточно семи. Большее число допускается, если
использовать экран вместо доски.
9. Проблема "стиля". Само понятие "стиля" довольно "гуманно, и, во
всяком случае, обучать ему - не моя профессия. Поэтому ограничусь двумя
замечаниями.
Учебники по этому вопросу рекомендуют писателю, а следовательно, и
оратору смешивать в должной пропорции длинные и короткие слова, а также
слова греческого, латинского и французского происхождения, с одной стороны,
и саксонского - с другой. Впрочем, эти два правила почти совпадают,
поскольку современные научные статьи перегружены словами, которые, с одной
стороны, длинные, а с другой - имеют латинские или греческие корни. Это
означает, что нужно, если есть возможность, выбирать короткое слово вместо
длинного и саксонское вместо греко-латинского. Если предложение содержит
такие слова, как "ферромагнетизм" или "квантование", не говоря уже об
ужасном слове "феноменологический", то фраза много выиграет от того, что
остальные слова будут короткие и звучные. Вообще же физикам нельзя
ограничиваться чтением специальной литературы. Читайте романы, читайте
стихи, читайте исторические произведения великих писателей, вообще читайте
классику. Если же вы просто не можете ничего читать, кроме научной
литературы, то уж читайте Брэгга и Эддингтона, Джинса и Бертрана Рассела. Я
даю эти советы потому, что по языку статьи из "Physical Review" редко можно
догадаться, кто ее написал. Кроме того, пытающиеся написать что-нибудь для
широкой публики часто делают это плохо.
10. Предлагаю эксперимент. Выше я утверждал, что докладчик должен
говорить медленно, не спешить, демонстрируя диапозитивы, и повторять свои
ключевые утверждения. Тем, кто с этим не согласен, я предлагаю провести
следующий эксперимент.
Выберите какую-нибудь статью из "Physical Review". Пусть она будет
близка к вашей узкой специ-адьноем, иначе результат будет слишком ужасен.
Сядьте на неудобный стул и прочитайте эту статью. Но прочитайте ее
следующим образом. Читайте с самого начала до конца с постоянной скоростью
160-180 слов в минуту. Нигде не останавливайтесь, чтобы обдумать
прочитанное, даже на пять секунд. Не возвращайтесь назад даже для того,
чтобы вспомнить смысл обозначения или форму записи уравнения. Не смотрите на
рисунки до тех пор, пока вы не встретите ссылку на них в тексте, а в этом
случае посмотрите на рисунок секунд пятнадцать и больше к нему не
возвращайтесь. Если слушатели от вашего доклада получают больше, чем вы от
такого чтения, то вы - выдающийся оратор.
Напечатано в журнале "Physics Today", 14, No 7 (1961).
- Некоторые из вас могут спросить, почему R выбрал для своей лекции
тему: "Могут ли машины мыслить?".
~ Так я чувствую себя значительнее...
- Никак не могу найти себе помощника, - пожаловался однажды Эдисон
Эйнштейну. - Каждый день заходят молодые люди, но ни один не подходит.
- А как вы определяете их пригодность? - поинтересовался Эйнштейн.
Эдисон показал ему листок с вопросами.
- Кто на них ответит, тот и станет моим помощником.
"Сколько миль от Нью-Йорка до Чикаго?" - прочел Эйнштейн и ответил:
"Нужно заглянуть в железнодорожный справочник". "Из чего делают нержавеющую
сталь?" - "0б этом можно узнать в справочнике по металловедению,..".
Пробежав глазами остальные вопросы, Эйнштейн сказал:
- Не дожидаясь отказа, свою кандидатуру снимаю сам.
КАК НЕ СЛУШАТЬ ОРАТОРА
У. Б. Вин
Ни один оратор, какова бы ни была его энергия, не имеет шансов победить
сонливость слушателей. Каждый знает, что сон во время длинного выступления
значительно глубже, нежели состояние гипнотического оцепенения, известное
под названием "полудремы". После такого сна вы просыпаетесь освеженным. Вы
хорошо отдохнули. Вы твердо знаете, что вечер не пропал даром. Немногие из
нас имеют мужество спать открыто и честно во время официальной речи. После
тщательного исследования этого вопроса я могу представить на рассмотрение
читателя несколько оригинальных методов, которые до сих пор не
публиковались.
Усядьтесь в кресло как можно глубже, голову уклоните слегка вперед (это
освобождает язык, он висит свободно, не затрудняя дыхания). Громкий храп
выводит из себя даже самого смиренного оратора, поэтому главное - избегайте
храпа, все дыхательные пути должны быть свободными. Трудно дать четкие
инструкции по сохранению во сне равновесия Но чтобы голова не моталась из
стороны в сторону, устройте ей из двух рук и туловища прочную опору в форме
треножника - еще Архимед знал, что это очень устойчивое устройство. Тем
самым уменьшается риск падения на пол (а ведь выкарабкиваться из-под стола
обычно приходится при весьма неприятном оживлении публики). Так у вас и
голова не упадет на грудь, и челюсть не отвалится. Закрытые глаза следует
прятать в ладонях, при этом пальцы должны сжимать лоб в гармошку. Это
производит впечатление напряженной работы мысли и несколько озадачивает
оратора. Возможны выкрики во время кошмаров, но на этот риск приходится
идти. Просыпайтесь медленно, оглянитесь и не начинайте аплодировать сразу.
Это может оказаться невпопад. Лучше уж подождите, пока вас разбудят
заключительные аплодисменты.
Напечатано в
"The Journal of Irreproducible Results", 7. No2 (1959).
(У. Б. БИН - профессор, глава факультета терапии Университета штата
Айова.)
ОТЧЕТЫ, КОТОРЫЕ Я ЧИТАЛ ... И, ВОЗМОЖНО, ПИСАЛ
Дуайт Е. Грэй
Технический отчет как специализированная форма научной литературы в
последние годы вырвался из безвестности и занял исключительно важное
положение в области обмена информацией. В идеале основная задача каждого
отчета состоит в передаче научной информации - передаче точной, аккуратной и
недвусмысленной. Увы, на практике все "отчеты" разбиваются на множество
категорий как по степени приближения к этому идеалу, так и по конкретным
причинам, которые мешают его достичь. Ниже описаны и квалифицированы
важнейшие категории, с которыми автору пришлось иметь дело на протяжении его
пятнадцатилетней деятельности на поприще научной информации. В отношении
самых бессмысленных отчетов следует сказать, что они не разбиваются на
четкие, ограниченные, взаимоисключающие группы. Названия различных категорий
я выбирал по доминирующему признаку, но в целом такие отчеты - "народ не
гордый" и с легкостью перенимают друг у друга дурные привычки,
- Загадочный отчет
При чтении такой работы кажется, что автор почти намеренно пытается как
можно дольше держать читателя в неведении относительно того, о чем,
собственно, и зачем она написана. В некоторых случаях успех бывает полным, и
загадка так и остается нерешенной до самого конца. Тайна, разумеется, еще
более сгущается, если на документе стоит абсолютно не несущее информации
название. Два таких заглавия я видел недавно, листая реферативный журнал:
"Обзор работы" и "Текущая работа. Отчет XXIX".
Загадочные отчеты обычно начинаются с некоторого исторического
заявления типа: "В 1927 году профессор К. К. Макжилликадди, работающий в
АБВ-Универеитете, открыл то-то и то-то". Эта начальная фраза звучит примерно
так же, как "В тридесятом царстве, в некотором государстве...", с которой
начинаются все детские сказки, и требует для своего изобретения примерно
такого же умственного усилия. Подобное начало, конечно - прекрасный выход
для автора отчета, если он не очень твердо уверен в том, что хочет
высказать, а ему не терпится начать марать бумагу. Или ему просто лень
подумать. Для читателя такое начало вносит элемент загадочности уже с
первого предложения. За исходным утверждением могут последовать дальнейшие
разглагольствования на историческую тему, а за ними прочие материалы, лишь
косвенно связанные с истинной целью данного документа, которая повисает в
воздухе. И читатель углубляется в лабиринт отчета, не имея ни малейшего
представления о том, действительно ли к выходной двери ведут его стрелки с
надписью "Выход", и не будучи даже уверен, что эта дверь действительно
существует. Как правило, читатель все же в конце концов докапывается до
того, что автор пытался ему сказать. Однако этот подвиг обычно требует
такого напряжения аналитических способностей и такой умственной
изворотливости, что уже не доставляет радости вконец выдохнувшемуся
читателю.
- Отчет типа "Повторите, пожалуйста, еще раз"
В распоряжении каждого, кто пожелает научиться писать отчеты этого
вида, находится широкий выбор эффективных методов. Прежде всего автор
конечно, должен остерегаться простых нераспространенных предложений,
Непритязательное трио из подлежащего, сказуемого и дополнения является
слишком прямым и эффективным средством передачи информации, а поэтому не
удовлетворяет. Вместо этого автор повсюду, где только можно, должен
использовать длинные, витиеватые, туманные фразы, разбавляя их вводными
словами и начиная придаточными предложениями. Я позволю себе привести в
качестве иллюстрации короткий отрывок из диалога, который имел место
несколько лет назад на заседании одного из комитетов Конгресса. Чиновника
министерства обороны спросили, планирует ли их ведомство строительство
одного подземного сооружения. Вот что он ответил:
- Мы пытаемся соблюдать равновесие между стационарными, как их иногда
называют, установками, создание которых в отдельных случаях может быть
сопряжено со строительством подземных сооружений, с одной стороны, и
эффективностью наших оборонительных средств, с другой стороны, которая,
очевидно, согласно принятым в настоящее время взглядам, рассматривается как
сильнейший аргумент против строительства закрытых оборонительных установок.
После чего один из членов комитета заявил:
- Вы просто великолепны. Я ни черта не понял в этом словоизвержении.
Ради бога, что вы имели в виду?
Этот пример хорош не только тем, что в нем содержится блестящий
образчик стиля "Повторите, пожалуйста, еще раз". Реакция "потребителя" на
подобные семантические выкрутасы тоже совершенно типична.
Не желая создавать впечатление, что на такие изречения обладают
монополией лишь правительственные чиновники, я расскажу о менее официальном
случае. Приведенная мною ниже цитата заимствована из статьи "Восходящие и
нисходящие потоки воздуха".
(Первое предложение) Пока скорость течения остается на среднем уровне -
ниже, чем в адиабатическом случае для сухого воздуха, и выше, чем в
адиабатическом случае для воздуха, насыщенного водяными парами, мы легко
можем представить себе, что изолированная воздушная масса, которая
насыщается до абсолютной влажности при температуре, несколько превышающей
температуру окружающего воздуха, окажется в состоянии начать восходящее
движение, поскольку при постулированных условиях ее температура на любой
достигнутой высоте будет выше, чем температура окружающего воздуха,
(Второе предложение) Однако противоположный процесс - нисходящее
течение - понять не так легко.
К чести знаменитой энциклопедии, из которой взята эта цитата, следует
заметить, что в следующем, пересмотренном издании второе предложение было
переделано.
Чтобы достичь наилучших результатов, автор Должен стремиться
поддерживать на предельно высоком уровне два численных коэффициента -
переднее число слогов в слове" и "среднее число слов -предложении". В первом
случае следуйте девизу: "Никогда не употребляй односложного слова, если есть
синоним из шести или семи слогов". Ваш отчет особенно выиграет, если к тому
же эти длинные слова вы будете употреблять не к месту.
Есть много способов поддерживать на высоком уровне и второй индекс.
Например, "имея в виду тот факт, что " всегда лучше, чем простое "потому
что", "по порядку величины равно" гораздо эффектнее, чем "около". Вы вольны
начинать хоть каждое предложение такими распространенными (и такими
бессмысленными) оборотами, как "следует заметить, чго", "небезынтересно
обратить внимание на то, что" т.д. Эти словеса к тому же придают всем
утверждениям такой безличный характер, что как бы снимает с автора всякую
ответственность за их содержание. Человек, добросовестно следующий этим
рецептам и дополняющий их повсеместным использованием страдательного залога
и профессиональнoro жаргона везде, где только можно, и сдабривающий все
блюдо не относящимися к делу определениями и дополнениями, может быть вполне
спокоен результат.
3. Отчет типа "Пропала мысль"
При чтении таких отчетов сразу вспоминаются тесты на сообразительность,
которыми нас мучили в школьные годы. Только вместо пропущенных слов читатель
должен восстанавливать пропущенные мысли, то есть существенные куски
информации и аргументации, которые автор не счел нужным включить в текст. В
подобных случаях читатель, пытаясь самостоятельно сделать тот шаг, который
автору представлялся очевидным, чаще всего оказывается в положении студентов
на одной лекции по математике, о которой я недавно читал. Профессор, стоя у
доски, был погружен в длиннейший вывод. В каком-то месте он произнес
стандартную фразу "отсюда с очевидностью вытекает следующее" и написал
длинное и сложное выражение, абсолютно не похожее ни на что из написанного
ранее. Затем он заколебался, на его лице появилось озадаченное выражение, он
что-то пробормотал и прошел из аудитории в свой кабинет. Появившись оттуда
через полчаса, он с довольным видом объяснил аудитории: "Я был прав. Это,
действительно, совершенно очевидно".
Читая такой отчет, вы, фигурально выражаясь, плавно скользите вдоль
гладкого рельсового пути за поездом авторской мысли и вдруг натыкаетесь на
разрушенный участок или на пропасть. Вы отчетливо видите, что колея
продолжается на той стороне пропасти, но моста нет, и его даже не из чего
построить.
- Маскирующие отчеты
Характерные особенности (они могут иметь место все сразу или в
определенных комбинациях):
1. Результаты представляются не полностью.
2. Полученные выводы не следуют из результатов.
3. Приводимые рекомендации не следуют из выводов.
В законченных неподдельных образцах маскирующих отчетов автор,
прикидываясь ученым, выступает в действительности как лоточник. Он хочет
что-то продать в прямом смысле или соблазнить покупателя какой-нибудь своей
идеей. Маскирующие отчеты высокого класса сразу можно узнать по прекрасному
переплету, часто даже с золотым тиснением, по великолепным иллюстрациям не
меньше чем в четыре цвета, проложенным папиросной бумагой, и по глянцевой
дорогой бумаге.
На этом, пожалуй, можно закончить обсуждение типовых "уродов" в семье
технических отчетов, главной задачей которых, как я сказал во вступлении и
повторю сейчас, является передача информации - передача точная, аккуратная и
недвусмысленная.
Напечатано в журнале
"Physics Today", 13, No 11 (I960).
( Д.Грей - директор Отдела информации Национальной научной ассоциации (
США.)
"Скажи: ну кому нужен бильярдный шар о растущими на нем волосами?'1.
На физическом факультете Университета в Милане один из советских
физиков обнаружил на стене следующий своеобразный "документ":
НАСЕЛЕНИЕ ИТАЛИИ 52000000
В том числе:
Старше 65 лет11 750 000
Остается для трудовой деятельности40 250 000
Моложе 18 лет14 120 000
Остается для трудовой деятельности26 130 000
Неработающие женщины17 315 000
Остается для трудовой деятельности8 815 000
Студенты университетов275 000
Остается для трудовой деятельности8 540 000
Служащие различных учреждений 3 830 000
Остается для трудовой деятельности4710000
Безработные, деятели политических
партий и профсоюзов1 380 000
Остается для трудовой деятельности3 330 000
Военные 780 000
Остается для трудовой деятельности2 550 000
Больные, сумасшедшие, бродяги,
продавцы телевизоров, завсегдатаи
ипподромов и казино1 310 000
Остается для трудовой деятельности1 240 000
Неграмотные, артисты, судьи и т. д. 880000
Остается для трудовой деятельности360 000
Отшельники, философы, фаталисты,
жулики и т. д.240 000
Остается для трудовой деятельности120 000
Министры, депутаты, сенаторы,
заключенные119 998
ОСТАЕТСЯ ДЛЯ ТРУДОВОЙ ДЕЯТЕЛЬНОСТИ2
Кто эти двое? Я и Вы. Пусть эта трагическая действительность послужит
для нас сигналом тревоги, вызовом нашему мужеству, источником новой энергии.
Мы должны работать с максимальным напряжением сил, особенно Вы, потому что Я
устал, выполняя свой долг перед страной в одиночку.
- Ну, вы знаете, как это бывает: слово за слово...
- Вы же сами говорили -- чем дешевле, тем лучше
- Уилкинс! Уилкинс!!!
- Ну, как работает твое новое средство от насекомых, старина?
На выставке современной скульптуры.
Конфиденциально
ЦЕРН/Т/000
Всем членам ЦЕРН
О СТАНДАРТИЗАЦИИ СТАТЕЙ
Из-за растущего числа научных работ, публикуемых членами ЦЕРН, а также
в силу необходимости классификации и упорядоченного хранения этих публикаций
представляется желательным, чтобы все статьи в дальнейшем писались в
соответствии со стандартными правилами, для чего разработаны приводимые ниже
формы, с помощью которых процесс оформления статей сводится к вписыванию
формул и отдельных слов в готовый текст. Это должно привести к существенному
сокращению работы как при подготовке статьи, так и при ее редактировании. В
то же время это нововведение окажется очень полезным для тех людей, которые
могут попытаться изучать работы, написанные членами нашей организации.
Предполагается выпустить целую серию таких стандартных бланков.
Несколько образцов уже подготовлено и разослано на места, где их можно
получить по письменной просьбе начальника отдела (форма ЦЕРН/ПУБ/1003).
- Стандарт ТН/П1
Заглавие: К вопросу о -- -- - в обобщенной модели ядра.
Авторы:
......................................................................
и,............
Ввиду серьезных трудностей, возникающих при попытке точного описания
свойств ансамбля сильно взаимодействующих частиц, мы рассматриваем следующий
приближенный гамильтониан:
..... .......................... .........................
.........................., (1)
где через .................................. обозначены соответствующие
обобщенные координаты. Гамильтониан, таким образом, состоит из трех членов:
........................................
описывает коллективное движение,................... - движение
отдельных частиц, а ..............................-сильное,
слабое, промежуточное (ненужное зачеркнуть) взаимодействие между ними.
Для энергии низколежащих возбужденных состояний, таким образом,
получаем
" ...... ...... ........................ . ....
.................................. ....... , (2)
что соответствует, конечно, просто произведению X2/2т на
i(i+1), как и следовало ожидать [1]. Система не обладает центральной
симметрией, что позволяет нам описывать ее поверхность как деформированную
сферу. Момент инерции, следовательно, определяется полюсом выражения
................................................. , что приводит к формуле
"___^,(3)
.где, однако, зависимость параметра-.................... от
......................................... неизвестна.
Эти выводы с очевидностью подтверждаются экспериментальными данными
(см. рис. 1), однако в промежутках между магическими числами наблюдаются
значительные отклонения (разные экспериментальные данные здесь, кстати, тоже
противоречат друг другу) [2].
Авторы глубоко благодарны............................ -директору
...............................-..... за проявленный интерес к работе. Один
из нас (.........,............................ ) весьма
'благодарен......................................... ,
ЛИТЕРАТУРА
.....................................................................
2.
...........................................................................,
частное сообщение.
2. Стандарт Ф/Т 3
Заглавие: О ................................................ в теории
поля.
Автор: ...........................................................
Как показал Швингер: ,,,,,,,,,,,,,,,,,,,,,,,,,,,,,,,,,,,,,,, (1)
Когда
,,,,,,,,,,,,,,,,,,,,,,,,,,,,,,,,,,,,,,,,,,,,,,,,,,,,,,,,,,,,,,,,,(2)
Тогда ............................................................(3)
Таким образом,
,,,,,,,,,,,,,,,,,,,,,,,,,,,,,,,,,,,,,,,,,,,,,,,,,,,,,,,,,,,,,,,,,,,,,,,,,(4)
что, по-видимому, согласуется с предположением, что
,,,,,,,,,,,,,,,,,,,,,,,,,,,,,,,,,,,,,,,,,,,,,,,,,,,"____^,(5)
благодаря чему
.......................................................................(6)
Когда...............................................................(7)
тогда
..........................................................................
(8)
Поэтому с формальной точки зрения................................. (9)
Можно надеяться, что приведенные выше аргументы приведут к обобщению
проблемы ...................... состояний.
Автор ............................................ за ценную критику.
Из 3-го юбилейного сборника в честь Нилъса Вора
"The Journal of Jocular Physics", Копенгаген
Personalia
В РАЗДЕЛЕ:
Из юбилейных сборников в честь Нилъса Бора:
Предисловие к 1-му тому "The Journal of Jocular Physics" Л. Розенфельд.
Мое посвящение. Новая сказка о Любопытном Слоненке * Атом, который построил
Бор * Ключ к системе ключей. (Длинное письмо в редакцию) 6 О. Фриш. О
возможности создания электростанций на угле ...
Из юбилейного сборника в честь Рудольфа Пайерлса:
К 50-летию Рудольфа Пайерлса f В. Вайскопф. П. А. У. Л. И. и его
применение Ж
К пятидесятилетию Нильса Бора сотрудники Института теоретической физики
в Копенгагене (в котором, как правило, работает много физиков, съехавшихся
со всех концов света) выпустили рукописный сборник под названием "The
Journal of Jocular Physics" ("Журнал шутливой физики"), Здесь мы печатаем
предисловие к этому сборнику.
ПРЕДИСЛОВИЕ
К 1-му тому "The Journal of Jocular Physics"
Слачала мы планировали выпустить к пятидесятилетию профессора Бора
юбилейный научный сборник, Но была серьезная опасность, что при таких
обстоятельствах профессор Бор почувствует себя обязанным весь этот сборник
прочесть, а может быть, даже попытаться в нем что-нибудь понять, поэтому мы
сочли неразумным задавать ему столь трудную задачу и решили ограничить
тематику предполагаемого издания работами шуточного характера,
Это решение продиктовано и оправдано не только желанием развлечь
читателя. Большое событие, отмечать которое мы готовились, явилось
великолепным поводом совершить, наконец, тот шаг, который был уже
подготовлен бурным развитием нашей науки и в котором давно ощущалась
необходимость: организовать и легализовать довольно старую область
физики-"The Jocular Physics". По причинам, еще не выясненным, она до сих пор
влачила просто жалкое существование на общем фоне стремительного развития
науки. В качестве первой меры мы предприняли издание этого сборника, который
знаменует рождение нового периодического издания, и посвящено оно будет
исключительно юмористической стороне многогранной жизни мира физиков. <
Однако ошибочно было бы считать, что новый журнал призван служить просто той
отдушиной, которая поможет выявить определенные черты характера (к
прискорбию нашему, получившие широкое распространение даже среди зрелых
ученых), лучше всего описываемые словом "инфантильность". Мы полностью
отдаем себе отчет в том, что этот "душок", несмотря на все старания его
изгнать, все же чувствуется в некоторых, наиболее слабых произведениях,
вошедших в этот том. Однако доброжелательный читатель убедится в том, что мы
искренне' старались поддержать и сохранить тот дух исполненного надежды
пессимизма и безмятежной готовности к худшему, который принес такие богатые
плоды в других областях атомной физики.
"Журнал шутливой физики"" по-видимому, нашел своих читателей и
понравился, так как в дальней-шем в Копенгагене было выпущено еще несколько
номеров. К шестидесятилетию и семидесятилетию Нилъса Бора были выпущены
второй и третий тома. Аналогичный журнал был выпущен к пятидесятилетию Р.
Пайерлса. Назван он "The Journal of Unclear Physics"), то есть "Журнал
Нечистой Физики".
В нашем сборнике помещен ряд материалов из этих юбилейных журналов.
МОЕ ПОСВЯЩЕНИЕ
Л. Розенфельд
Первым посланием, которое я получил от Бора, была телеграмма,
гласившая, что Истерская конференция откладывается на два дня. В то время -
это был 1929 год - я находился в Геттингене вместе ; с Гайтлером. Мы
изъявили желание побывать на этой знаменитой конференции и оба получили от .
Клейна благоприятный ответ, в который упомянутая телеграмма в последнюю
минуту внесла поправку. Когда мы появились в Копенгагене, Бор сообщил нам о
причине отсрочки: он должен был закончить ("с любезной помощью Клейна", как
он сказал) перевод одной из своих первых работ, чтобы поместить ее в
юбилейный сборник Копенгагенского университета. Он много рассказывал нам о
древних традициях этих юбилейных сборников, а под конец добавил: "Если бы я
не успел закончить, это была бы настоящая катастрофа!" Это утверждение
показалось мне несколько преувеличенным. В то время я еще не понимал, какие
трагедии таит в себе внешне безобидная процедура наведения окончательного
блеска на "почти готовый" текст статьи. Я не знал тогда, что мне назначено
судьбой быть действующим лицом в огромном количестве таких трагедий
Единственным извинением мне может послужить .тот факт, что во всем, что
касается фатальной недооценки серьезности этого дела (дописывания статей), я
ни в коей мере не являюсь исключением. Достаточно вспомнить Фарадеевские
лекции. Бор появился в Лондоне перед самыми Фарадеевскими торжествами с
рукописью своей лекции, о которой он говорил: "Практически закончена".
Недоставало всего нескольких страниц. Бор предполагал уединиться в
романтической обстановке какого-нибудь древнего английского постоялого двора
и за неделю "с любезной помощью Розенфельда" (так он объяснил мистеру Карру,
секретарю химического общества) покончить с этим делом. Мистер Карр был в
восторге. После напряженного недельного труда в довольно перенаселенном и
исключительно неромантическом отеле, где нам приходилось вести постоянную
войну нервов с одной гневливой учительницей за монопольное право
пользоваться гостиной, десять недостающих страниц действительно были
написаны. Но тут нам стало ясно, что рукопись будет несравненно лучше, если
к ней добавить еще двадцать страниц. Бор буквально загорелся этой идеей,
которая (как он сумел меня убедить) существенно приближала нас к окончанию
работы. И он направил меня к мистеру Карру доложить об этом замечательном
прогрессе в наших делах. Мне не показалось, что мистеру Карру улыбается
такая перспектива. Скорее наоборот. Он даже не старался скрыть это. " А
когда я попытался рассказать ему, как мы, не разгибая спины, трудились всю
неделю, вид у него был - мне больно это признать - решительно недоверчивый.
И я покинул его с разбитым сердцем.
Но вернемся к встрече на копенгагенском вокзале. То, что сообщение о
предотвращенной с трудом катастрофе оставило меня равнодушным, больно задело
бедного Клейна. Я вспоминаю сейчас его улыбку в тот момент. Она определенно
была вымученной. Но что бы там ни было, за время, прошедшее с тех пор, я
искупил свое легкомыслие.
Что в облике Бора произвело на меня при первой встрече наибольшее
впечатление, так это доброжелательность, которую излучало все его существо.
В нем было что-то отеческое, и это выгодно подчеркивалось присутствием
нескольких его сыновей. Сыновья Бора всегда были для меня загадкой. Когда я
встретил Бора на следующее утро в институте, вокруг него опять было
несколько сыновей. Уже, кажется, других. На следующий день после обеда я был
потрясен, увидев около него еще одного, нового сына. Казалось, он извлекает
их из рукава, как фокусник. С течением времени, однако, я научился отличать
одного сына от другого и понял, что число их конечно.
Я не знаю, с каким чувством возвращались афинские паломники после
консультации с дельфийским оракулом. История об этом умалчивает. Но думаю,
что их чувства были похожи на те, которые овладели мною, когда я прослушал
вводный доклад Бора на конференции. Он начал с нескольких общих утверждений,
целью которых, несомненно, было вызвать у каждого из присутствующих
ощущение, что у него из-под ног внезапно выбили опору (это исключительно
повышает остроту восприятия и настраивает на "дополнительный" образ
мышления). С легкостью
добившись этой предварительной цели, он поспешно перешел к главному
предмету своего выступления и потряс нас всех (кроме Паули) ненаблюдаемостью
электронного спина. Мы с Гайтлером провели всю вторую половину дня, пытаясь
постичь скрытую мудрость по каракулям в наших записных книжках. К вечеру мы
почувствовали необходимость подкрепиться и вышли на улицу. Гайтлер,
посещавший Копенгаген и до этого, был очень любезен, помогая преодолевать те
мелкие затруднения, которые то и дело возникали при повседневном общении с
датчанами. Когда я пожелал горячего шоколада и довел об этом дог сведения
официанта, сказав ему по-немецки "Шоколоад", Гайтлер мгновенно перевел,
произнеся на чистейшем датском языке "Шьоколад!" Таким образом мы избежали
недоразумения, и мои познания датского, находившиеся в эмбриональном
состоянии, существенно продвинулись вперед.
Следующий вечер мы провели в кино вместе с некоторыми другими
участниками конференции. Кинотеатры всегда были заведениями, педагогическую
ценность которых для молодых физиков-теоретиков трудно переоценить. Так было
и в этот раз. Именно там Казимир начал свои известные расчеты магнитного
поля электронов, которое действует на ядро. Ему пришлось работать в
исключительно трудных условиях. Как только начиналась очередная часть
картины, свет выключался, и бедняга Казимир должен был ждать, пока
влюбленные преодолевают очередную трудность на пути к соединению, а потом
снова принимался за вычисления. Он не терял ни секунды, и вспыхнувший свет
каждый раз заставал его склоненным над клочком бумаги, который он
лихорадочно покрывал запутанными формулами.
В отчаянной ситуации он делал все, что мог, и это было воодушевляющее
зрелище.
Последний день Копенгагенской конференции был для меня высшей точкой.
Все произошло довольно неожиданно. На утренней сессии один из наиболее
видных гостей стал развивать свои взгляды на очень острый и спорный вопрос о
"пропасти" между системой и наблюдателем, и эти взгляды показались мне
ошибочными. Бор, однако, возражал (как мне показалось) очень мягко, и в его
несколько смущенной речи слова "очень интересно" повторялись постоянно. Я
был этим очень обеспокоен, тем более что элита в первом ряду, казалось,
воспринимала это как должное. Поэтому я осмелился изложить свои сомнения
непосредственно Бору и начал с осторожного утверждения, что взгляды
выступавшего кажутся мне недостаточно обоснованными. "О, - сказал Бор
быстро,- все это абсолютная чепуха!" И я понял, что был введен в заблуждение
просто терминологией.
После этого он привел меня в небольшую комнату, посреди которой стоял
довольно длинный стол. Поставив меня около стола, Бор начал довольно
быстрыми шагами описывать вокруг него эллипс с большим эксцентриситетом,
причем место, на котором я стоял, было одним из фокусов. На ходу он говорил
низким мягким голосом, излагая основы своей философии. Он ходил, склонив
голову и нахмурив брови, изредка поглядывая на меня и как бы подчеркивая
жестом важные места. Слова и фразы, которые я и раньше читал в его работах,
внезапно ожили и наполнились значением. Эта было одно из тех мгновений,
которые не часто встречаются в человеческой жизни, открытие целого нового
мира блестящих мыслей, настоящее посвящение.
Общеизвестно, что ни одно из посвящений не проходит без того, чтобы
новичка не подвергали какому-либо болезненному испытанию, В негритянских
общинах Центральной Африки, например, церемония посвящения заключается в
сложной последовательности очень суровых испытаний, включая жестокие пытки.
В этом отношении у меня тоже все было в порядке. Поскольку я напрягал свой
слух до предела, стараясь не пропустить ни одного слова учителя, то
постепенно оказался вовлеченным в то же орбитальное движение и с тем же
периодом, что и Бор. Истинный смысл этой церемонии открылся мне лишь тогда,
когда Бор кончил, подчеркнув, что человек не способен понять принцип
дополнительности, если его предварительно не довести до полного
головокружения. Услышав это, я все понял, мне оставалось только с
признательностью и восхищением поблагодарить его за столь трогательную
заботу.
(Л. РОЗЕНФЕЛЬД - профессор Копенгагенского института теоретической
физики, редактор журнала "Nuclear Physics".)
- А вот и сообщение Смита.
Макс Борн в свое время выбрал астрономию в качестве устного экзамена на
докторскую степень. Когда он пришел на экзамен к известному астроному-физику
Шварцшильду, тот задал ему следующий вопрос:
-, Что вы делаете, когда видите падающую звезду?
Борн, понимавший, что на это надо отвечать так: "Я бы посмотрел на
часы, заметил время, определил созвездие, из которого она появилась,
направление движения, длину светящейся траектории и затем вычислил бы
приблизительную траекторию", не удержался и ответил:
Гансу Ландольту принадлежит шутка:
"Физики работают хорошими методами с плохими веществами, химики -
плохими методами с хорошими веществами, а физхимики - плохими методами и с
плохими веществами".
Однажды во время своего обучения в Геттингене Нильс Бор плохо
подготовился к коллоквиуму, и его выступление оказалось слабым. Бор, однако,
не пал духом и в заключение с улыбкой сказал:
- Я выслушал здесь столько плохих выступлений, что прошу
рассматривать мое нынешнее как месть.
Однажды Эйнштейн был приглашен к Склодовской-Кюри. Сидя у нее в
гостиной, он заметил, что два кресла около него пустуют - никто не смел в
них сесть.
- Сядьте около меня,- смеясь сказал Эйнштейн, обращаясь к Жолио. - А то
мне кажется, что я в Прусской Академии наук.
-Ничего, сенатор, эти подземные испытания
необходимы для нашей безопасности.
Без слов.
- Мы считали: 10, 9, 8, 7.. и сбились со счета.
НОВАЯ СКАЗКА О ЛЮБОПЫТНОМ СЛОНЕНКЕ
Нет, это сказка не о том скверном Слоненке, котором писал Киплинг,
Слоненке, который жил Африке и которого колошматили его дорогие
родственники, пока он не научился колошматить их сам. )то сказка о другом, о
хорошем Слоненке, которого Никогда не колошматили родственники и который
никогда не жил в Африке, что очень странно, потому что он жил почти во всех
странах мира. У этого Любопытного Слоненка с самого рождения был
замечательный нос, так что он не нуждался в услугах Стаporo Крокодила, и со
временем он открыл новую - Атомную Эру. И у него тоже было много-много дядек
и много-много теток, и он был полон несносного любопытства и ко всем
приставал со своими вопросами.
Потом Любопытный Слоненок подрос и стал задавать новые и неслыханные
вопросы, которые пугали его родственников. Он спросил своего престарелого
дядюшку философа, почему у него такая логика, и престарелый дядюшка философ
ответил, что это потому, что он знает, что он ничего не знает.
А потом - все из-за того же несносного любопытства - он пересек
Северное море и стал ходить по Англии и расспрашивать всех про Атом. И он
спросил волосатого дядьку Джи-Джи*, почему он делает такие глупые ошибки, а
волосатый дядька Джи-Джи ответил, что это все из-за романтического
воображения. И несносный Любопытный Слоненок направился к дымному городу
Манчестеру, где росло много физиков, чтобы найти Старого Крокодила * * и
спросить его про Атом. И он только чуточку-чуточку побаивался Старого
Крокодила, потому что он был храбрый Слоненок. И Старый Крокодил оскалил
свои страшные зубы и рассказал ему все, что он знал про Атом.
И Любопытный Слоненок пошел домой, неся с собой много разных постулатов
и принципов, и разбрасывал их по дороге. А за ним шла толпа маленьких
зверушек, которые подбирали эти постулаты и принципы и мастерили из них
формулы и философские теории. И они воспевали хвалу Слоненку, что, конечно,
было очень скверно с их стороны, и уши дядюшек шевелились от ярости.
Но Любопытный Слоненок заставил почти всех дядюшек поверить почти во
все его постулаты и принципы и сам стал дядькой, большим, мудрым и мирным,
совсем как дикий слон Хати. И он стал курить трубку и разбрасывать вокруг
золу, а некоторые из малых зверушек стали подражать ему и тоже стали
большими и мудрыми. И Слоненок построил большой дом, где он мог жить и
приглашать в гости больших зверей и маленьких зверушек. И он охотно играл с
маленькими зверушками, если у него было хоть немного времени.
Но заря Атомной Эры наступала слишком быстро, и у Слоненка было очень
много дел: ведь он должен был всем большим зверям объяснить, что им надо
делать. А так как некоторые из них начали поступать плохо, Слоненок стал
очень грустным. Но Король подарил ему маленького слона, вырезанного из
слоновой кости, чтобы все звери и все его дорогие родственники все время
помнили, какой он добрый и мудрый Слоненок.
* Дж. Дж. Томпсон.
** Крокодил - прозвище Резерфорда, данное ему его -ближайшими друзьями
и учениками.
Лягушка, маленькая зверушка.
...Ну вот, мы его и вывели! Не понимаю, зачем он понадобился нашим
ракетчикам.
АТОМ, КОТОРЫЙ ПОСТРОИЛ БОР
Вольный перевод В. Турчина.
Вот атом, который построил Бор.
Это - протон,
Который в центр помещен
Атома,
который построил Бор. А вот электрон,
Который стремглав облетает протон, Который в центр помещен Атома,
который построил Бор. Вот мю-мезон,
Который распался на электрон, Который стремглав облетает протон,
Который в центр помещен Атома,
который построил Бор. А вот пи-мезон,
Который, распавшись, дал мю-мезон, Который распался на электрон,
Который стремглав облетает протон, Который в центр помещен Атома,
который построил Бор. Вот быстрый протон, Который в ударе родил
пи-мезон, Который, распавшись, дал мю-мезон, Который распался на-электрон,
Который стремглав облетает протон, Который в центр помещен Атома,
который построил Бор. А вот беватрон,
В котором ускорился тот протон, Который в ударе родил пи-мезон,
Который, распавшись, дал мю-мезон, Который распался на электрон, Который
стремглав облетает протон,
Который в центр помещен Атома,
который построил Бор. А вот дополнительность.
Это закон,
Который Бором провозглашен. Закон всех народов, Закон всех времен,
Успешно описывающий с двух сторон Не только- протон И электрон,
Но также нейтрон,*
Фотон,
Позитрон,
Фонон,
Магнон,
Экситон,
Полярон,
Бетатрон,"
Синхротрон,
Фазотрон,
Циклотрон,
Циклон,
Цейлон,
Нейлон,
Перлон,
Одеколон,
Декамерон.
И, несомненно, каждый нейрон Мозга, которым изобретен Тот замечательный
беватрон, В котором ускорился тот протон, Который в ударе родил пи-мезон,
Который, распавшись, дал мю-мезон, Который распался на электрон, Который
стремглав облетает протон, Который в центр помещен Атома,
который также построил Нильс Бор!

-Ты что-нибудь чувствуешь, папочка?
Когда группа ученых в Америке получила 2 миллиграмма гидроокиси
плутония, то от любопытных, жаждавших увидеть новый элемент, не было отбоя.
Но рисковать драгоценными кристаллами было нельзя, и ученые, насыпав в
пробирку кристаллики гидроокиси алюминия и подкрасив их зелеными чернилами,
выставили их для всеобщего обозрения, "Содержимое пробирки представляет
собой гидроокись плутония", - невозмутимо заявляли они посетителям. Те
уходили удовлетворенные.
КЛЮЧ К СИСТЕМЕ КЛЮЧЕЙ
(Длинное письмо в редакцию)
Paнee было высказано мнение, что система дверных ключей в нашем
институте сложнее, чем теория поля. Это явное извращение фактов, и чтобы его
опровергнуть, в настоящем сообщении мы излагаем упрощенную теоретическую
схему, на основе которой создавалась эта система.
Начнем с определений.
Ключ состоит из стержня, на котором укреплены штифты.
Замок состоит из щели с отверстиями, расположенными соответственно
позициям штифтов на стержне ключа. Кроме того, в замке имеется система
рычажков, находящихся позади отверстий (см. рисунок).
Введем теперь следующие три аксиомы:
1. Штифты поворачивают рычажки; для того чтобы замок открылся, все
рычажки в замке должны быть повернуты.
2. Если в данной позиции нет штифта, отверстия или рычажка, мы будем
говорить в дальнейшем о наличии в данной позиции антиштифта, антиотверстия
или антирычажка соответственно.
3. Ни в одном замке нет рычажков за антиотверстиями, ибо такой замок
нельзя было бы открыть.
Пусть штифты, отверстия и рычажки описываются значением 1 переменных
аi-, Ьi и сi соответственно. Индекс i - номер позиции. Антиштифты,
антиотверстия и антирычажки соответствуют значению 0 тех же переменных.
Определим теперь матричное умножение следующим способом:
где символическое произведение аbс = а, если одновременно c<b и
а>с, в противном случае abc = 1 - a. Отсюда следует, что если (а1, а2...
a в степени k) есть собственный вектор оператора
то ключ может отпереть замок.
Используя этот формализм, легко найти полное число ключей, которые
открывают данный замок (b/c) . Оно равно
а число замков, которые могут быть открыты данным ключом (а), равно
При получении этих выражений учитывался тот факт, что замок (O/O) есть
триивиальный антизамок. В уравнениях (2) и (3) k есть сумма коэффициентов
Клебша - Гордана, равная единице.
Развитый выше формализм позволил решить следующую задачу. Пусть некто
хочет пройти из некоторой комнаты Л через несколько дверей в произвольную
комнату В. Число ключей, необходимое для этого, максимизировалось при
произвольном выборе комнат А и В . (Проблема минимизации не решалась,
поскольку ее решение тривиально - одинаковые замки.) Затем сотрудники
института были разбиты на ряд подгрупп, и система ключей строилась таким
образом, чтобы одновременно выполнялись два условия::
1) ни одна подгруппа не в состоянии открыть все те замки, которые могут
быть открыты любой другой подгруппой;
2) трансформационные свойства групп соответствуют возможности
одалживания ключей.
Создатели системы ключей надеялись, что она является единственно
возможной и полной, и до известной степени это справедливо. Однако
оказалось, что ключи, которые не должны были бы открывать некоторые двери,
открывают их, если их вставлять в замок не до конца. Например, ключ (11111)
может открыть замок (10000/ 11111) в п = 5 различных положениях. Число n
было названо странностью системы. ключ - замок. Экспериментальными
исследованиями было найдено, что наша система ключей является весьма
странной. Однако этот недостаток можно исправить, если потребовать для
последней позиции соблюдения равенств ak = bk = Ck = 1. Будем надеяться, что
при ближайшем пересмотре системы ключей в нее будет внесено это исправление.
На отмычки настоящее исследование не распространяется.
Автор выражает благодарность сотрудникам, работающим в разных группах,
за горячее обсуждение затронутых проблем.
Номограмма распределения времени на разных стадиях научной карьеры
Пример применения: отрезки горизонтальной пунктирной линии показывают,
что молодые специалисты тратят время в основном на работу; на конференции и
лекции времени остается мало.
О ВОЗМОЖНОСТИ СОЗДАНИЯ ЭЛЕКТРОСТАНЦИЙ НА УГЛЕ
О. Фриш
ОТ РЕДАКТОРА. Приводимая ниже статья перепечатана ежегодника
Королевского института по использованию энергетических ресурсов за 40905
год, стр. 1001.
В связи с острым кризисом, вызванным угрозой истоще-л урановых и
ториевых залежей на Земле и Луне, редакция ^считает полезным призвать к
самому широкому распространению информации, содержащейся в этой статье.
ВВЕДЕНИЕ. Недавно найденный сразу в нескольких местах уголь (черные,
окаменевшие остатки древних растений) открывает интересные возможности "для
создания неядерной энергетики. Некоторые месторождения несут следы
эксплуатации их доисторическими людьми, которые, по-видимому, употребляли
уголь для изготовления ювелирных изделий и чернили им лица во время
погребальных церемоний.
Возможность использования угля в энергетике связана с тем фактом, что
он легко окисляется, причем создается высокая температура с выделением
удельной энергии, близкой к 0,0000001 мегаватт-дня на грамм. Это, конечно,
очень мало, но запасы угля, по-видимому, велики и, возможно, исчисляются I
мил л ионами тонн.
Главным преимуществом угля следует считать его очень маленькую по
сравнению с делящимися материалами критическую массу. Атомные
электростанции, как известно, становятся неэкономичными при мощности ниже 50
мегаватт, и угольные электростанции могут оказаться вполне эффективными в
маленьких населенных пунктах с ограниченными энергетическими потребностями.
ПРОЕКТИРОВАНИЕ УГОЛЬНЫХ РЕАКТОРОВ. Главная трудность заключается в
создании самоподдерживающейся и контролируемой реакции окисления топливных
элементов. Кинетика этой реакции значительно сложнее, чем кинетика ядерного
деления, и изучена еще слабо. Правда, дифференциальное уравнение,
приближенно описывающее этот процесс, уже получено, но решение его возможно
лишь в простейших частных случаях. Поэтому корпус угольного реактора
предлагается изготовить в виде цилиндра с перфорированными стенками. Через
эти отверстия будут удаляться продукты горения. Внутренний цилиндр,
коаксиальный с первым и также перфорированный, служит для подачи кислорода,
а тепловыделяющие элементы помещаются в зазоре между цилиндрами.
Необходимость закрывать цилиндры на концах торцовыми плитами создает
трудную, хотя и разрешимую математическую проблему.
ТЕПЛОВЫДЕЛЯЮЩИЕ ЭЛЕМЕНТЫ. Изготовление их, по-видимому, обойдется
дешевле, чем в случае ядерных реакторов, так как нет необходимости заключать
горючее в оболочку, которая в этом случае даже нежелательна, поскольку она
затрудняет доступ кислорода. Были рассчитаны различные типы решеток, и уже
самая простая из них - плотноупакованные сферы, - по-видимому, вполне
удовлетворительна.
Расчеты оптимального размера этих сфер и соответствующих допусков
находятся сейчас в стадии завершения. Уголь легко обрабатывается, и
изготовление таких сфер, очевидно, не представит серьезных трудностей.
ОКИСЛИТЕЛЬ.ЧИСТЫЙ кислород идеально подходит для этой цели, но он
дорог, и самым дешевым заменителем является воздух. Однако воздух на 78%
состоит из азота. Если даже часть азота прореагирует с углеродом, образуя
ядовитый газ циан, то и она будет источником серьезной опасности для
здоровья обслуживающего персонала (см. ниже).
УПРАВЛЕНИЕ и КОНТРОЛЬ .Реакция начинает идти лишь при довольно высокой
температуре (988╟ по Фаренгейту). Такую температуру легче всего получить,
пропуская между внешним и внутренним цилиндрами реактора электрический ток в
несколько тысяч ампер при напряжении не ниже 30 вольт. Торцовые пластины в
этом случае необходимо изготовлять из изолирующей керамики, и это вместе с
громоздкой батареей аккумуляторов значительно увеличит стоимость установки.
Для запуска можно использовать также какую-либо реакцию с самовозгоранием,
например между фосфором и перекисью водорода, и такую возможность не следует
упускать из виду.
Течение реакции после запуска можно контролировать, регулируя подачу
кислорода, что почти столь же просто, как управление обычным ядерным
реактором с помощью регулирующих стержней.
КОРРОЗИЯ. Стенки реактора должны выдерживать температуру выше 1000╟К в
атмосфере, содержащей кислород, азот, окись и двуокись углерода, двуокись
серы и различные примеси, многие из которых еще неизвестны. Немногие металлы
и специальная керамика могут выдержать такие условия. Привлекательной
возможностью является никелированный ниобий, но, возможно, придется
использовать чистый никель.
ТЕХНИКА БЕЗОПАСНОСТИ. Выделение ядовитых газов из реактора представляет
серьезную угрозу для обслуживающего персонала. В состав этих газообразных
продуктов, помимо исключительно токсичных окиси углерода и двуокиси серы,
входят также некоторые канцерогенные соединения, такие, как фенантрен.
Выбрасывание их непосредственно в атмосферу недопустимо, поскольку приведет
к заражению воздуха в радиусе нескольких миль. Эти газы необходимо собирать
в контейнеры и подвергать химической детоксификации. При обращении как с
газообразными, так и с твердыми продуктами реакции необходимо использовать
стандартные методы дистанционного управления. После обеззараживания эти
продукты лучше всего топить в море.
Существует возможность, хотя и весьма маловероятная, что подача
окислителя выйдет из-под контроля. Это приведет к расплавлению всего
реактора и выделению огромного количества ядовитых газов. Последнее
обстоятельство является главным аргументом против угля и в пользу ядерных
реакторов, которые за последние несколько тысяч лет доказали свою
безопасность. Пройдут, возможно, десятилетия, прежде чем будут разработаны
достаточно надежные методы управления угольными реакторами.
(О. ФРИШ - известный физик-теоретик, профессор Тринити-колледжа
Кембридж, Англия, член Королевского общества.)
К 50-летию РУДОЛЬФА ПАЙЕРЛСА
"Вначале был нейтрон"
Рудольф Пайерлс родился в 1907 году, и этот факт имеет первостепенное
значение, по крайней мере с точки зрения издания настоящего сборника. Если в
детстве он и был гениальным ребенком, то об этом никто не помнит/Поэтому мы
не будем интересоваться его до профессорской жизнью, заметим только, что
сперва он учился у Зоммерфельда, а затем был переброшен к Гейзенбергу.
Большинство своих открытий того времени он сделал в поездах. Путешествия
заносили его далеко, например в Россию, и никто из знающих его жену не
обвинит Пайерлса в том, что он вернулся оттуда с пустыми руками.
Некоторое время он работал ассистентом Паули. Паули, очевидно, был им
очень доволен, потому что впоследствии с любовью вспоминал, что "Der Peierls
hat immer Quatsch gerechnet" *.
В это время он внес свой крупный вклад в квантовую теорию излучения, и
тут они с Ландау заварили такую кашу, что Бор и Розенфельд расхлебывали ее
несколько месяцев. За время, прошедшее с тех пор, он, по-видимому, высказал
больше неверных гипотез, чем любой другой физик за любой отрезок времени,
что целиком подтверждает известную поговорку: "Добро, содеянное человеком,
живет и после него, а зло... покрывают его ученики". По электронной теории
металлов у него тоже были работы. И хотя они и не остались
неопубликованными, в удобочитаемой форме их можно найти лишь в книге
"Квантовая теория твердого тела". Не следует забывать и его вклад в ядерную
физику. Его старому учителю приписывают высказывание, что критические
замечания Пайерлса всегда были лучше, чем его работы, во всяком случае они
гораздо эффективнее опровергали разные хорошие идеи. (Похоже, что этому он
научился у своего учителя.) Кроме того, он внес свою лепту в теорию
относительности, теорию поля, теорию отопления жилых помещений, в создание
паровых котлов с автоматической углепода-чей, в воспитание молодого
поколения и т. д. и т. п. Но, пожалуй, больше всего он сделал в качестве
педагога. Термин "пайерлсизация" в физике означает умение набить 30 человек
в помещение, рассчитанное на 15, не пользуясь ни оливковым маслом, ни
томатным соусом...
- Этот Пайерлс всегда вычислял какую-нибудь ерунду.
Я не знаю
П. А. У. Л. И. И ЕГО ПРИМЕНЕНИЕ
(Получено в июле 1932 года, частично рассекречено в июле 1951 года)
В. Вайскопф
Эта работа в течение 25 лет была засекречена Швейцарской комиссией по
атомной энергии. Недавно получено сообщение, что в СССР создана такая же
[машина, но с радиусом в полтора раза больше, и ШКАЭ разрешила частичную
публикацию работы.
Швейцарский федеральный технологический институт недавно приобрел
прибор, обладающий уникальными возможностями. Этот сложный механизм
предназначен для проверки физических теорий, а также для производства новых
теорий и идей. Из-за необычайно тонкой и чувствительной конструкции этой
машины обращение с нею и успешное использование оказались довольно
затруднительными. Автор настоящей заметки имел редкую возможность изучать и
использовать этот механизм в течение длительного промежутка времени и хочет
поделиться здесь приобретенным опытом.
Сокращенное название машины - П.А.У.Л.И. - расшифровывается как
"Производство Антисимметричных Унитарных Лоренц-Инвариантных (теорий)". При
умелом, как указывалось выше, обращении машина не только создает новые
правильные теории, но и исключительно бурно реагирует на теории, созданные
другими физиками, если они не обладают характеристиками, перечисленными в
названии машины, и (или) другими необходимыми свойствами.
Машина имеет почти сферическую форму. Очень важны ее динамические
характеристики. Аппарат обладает основной частотой осцилляции Wо, которая
возбуждена постоянно, даже если аппаратом не пользуются. Величина частоты не
является строго постоянной, но ограничена пределами 0,8<W<2,2 сек"1.
Всем потребителям рекомендуется тщательно следить за точным значением
частоты и амплитуды колебаний машины по помещению, поскольку эти значения
тесно связаны с ее рабочими показателями.
К несчастью, устройство довольно громоздко и работа его сильно зависит
от регулярного снабжения специальным горючим, которое не всегда легко
достать в других странах. По этой причине мы не советовали бы заводить
дубликат машины, скажем, в Англии. Еще не совсем понятно почему, но никто
никогда не мог заставить эту машину работать до полудня. Даже в ранние
послеобеденные часы она работает с перебоями и часто отвергает даже
безукоризненно инвариантные теории.
Сначала мы обсудим использование машины для проверки теорий, созданных
потребителями. Нужно соблюдать специальные меры предосторожности во всем,
что касается формы, в которой теория вводится в машину. Но даже если
использована самая выигрышная форма, машина не всегда будет работать как
следует. Управлять ею должен специалист. С первой попытки машина, как
правило, не отвергает теорию и не подтверждает ее, а остается в инертном
состоянии, совершенно неожиданном для конструкций такого типа. Иногда после
того как теория излагается механизму в течение получаса, появляется первая
реакция, но настолько слабая, что неискушенный человек склонен заподозрить
какую-нибудь неполадку. Однако вскоре обнаруживаются первые признаки работы
в виде издаваемых машиной слабых звуков, отдаленно напоминающих немецкие
словосочетания вроде "Ganz dumm", "Sind Sie noch immer da?" *, которые
иногда сопровождаются нерегулярными флуктуациями частоты и амплитуды
упомянутого выше основного колебания.
После многократного введения теории в машину (иногда это приходится
повторять до пятидесяти раз) удается наконец добиться положительной реакции-
машина скрипит и произносит: "Ach so, warum haben Sie das nicht gleich
gesagt!"**. Это показывает, что колесики наконец пришли в зацепление и
процесс начался. Результаты работы машины сообщаются следующим кодом:
периодически повторяющиеся звуки "Ganz falsch", "Sie sind schon wieder so
bdumm", "Naturlich, wieder falsch"***-означают, что теория неверна. Но если
раздается: "Hab ich nur auch schon uberkgt?", "Das kann man besser
machen"****,-- то это служит указанием, что теория справедлива, Интересно
также поместить машину в аудиторию во время семинара. При планировании такой
операции необходимо предусмотреть некоторое пространство для основных
колебаний, амплитуда которых обнаруживает тенденцию к увеличению во время
таких экспериментов.
* Очень глупо. Вы все еще здесь?
** Ах так? Так почему же вы мне это сразу не сказали!
*** Полностью неверно. Вы опять несете чепуху. Конечно, снова неверно.
**** Разве я не говорил об этом раньше? Это можно сделать лучше.
Результаты, как правило, бывают не слишком успешными. Из-за
исключительной чувствительности устройства в некоторых случаях наблюдается
положительная обратная связь, которая временами приводит к пробою. Пробой
представляет обычно заметную опасность для докладчика, но на машине серьезно
не отражается. В отдельных случаях такие разряды на непродолжительное время
даже улучшали показатели машины.
Теперь мы перейдем к рассмотрению второго назначения машины П.А.У.Л.И.,
а именно для производства новых теорий. Хотя можно было опасаться, что эта
задача будет более сложной, для обслуживающего персонала она как раз
оказалась намного проще. Фактически необходимо лишь изолировать машину от
внешних возмущений. Пока аппарат снабжается достаточным количеством белой
бумаги, заправляется подходящим горючим (показано, что для последней цели
лучше всего использовать 5 фунтов смеси углеводов с растительными белками,
предварительно нагретой до 700╟К, которая затем охлаждается и вводится в
машину маленькими порциями по 20-30 граммов) и изолируется от акустического
шума, особенно создаваемого студентами, он непрерывно извергает из себя
потрясающее количество новых правильных теорий, записанных на бумаге.
Показатели машины могут быть существенно улучшены добавлением к
горючему определенных химических соединений, таких, как... (Окончание статьи
до сих пор не рассекречено.)
(В. ВАЙСКОПФ - известный американский физик-теоретик, в настоящее время
генеральный директор ЦЕРН, автор вышедших в русском переводе нескольких книг
по теории ядра.)
ШУТЯТ НЕ ТОЛЬКО ФИЗИКИ
В РАЗДЕЛЕ:
Норткот С. Шркинсон. Закон Паркинсона в научных исследованиях ... Стефен
Ликок. Здравый смысл и Вселенная * Норман Апплцвеиг. Сага о новом гормоне ...
Советский читатель знаком с едкой и остроумной критикой бюрократизации
буржуазного общества, опубликованной под названием "Закон Паркинсона" (см.
журнал "Иностранная литература" No 6 за 1959 год). Мы предлагаем здесь
отрывок, переведенный из журнала "New Scientist" и носящий название "Закон
Паркинсона в научных исследованиях".
ЗАКОН ПАРКИНСОНА В НАУЧНЫХ ИССЛЕДОВАНИЯХ
Норткот С. Паркинсон
Мне, как постороннему наблюдателю, кажется, что люди, которые
обращаются в Фонды и Тресты, в организации, носящие имена Рокфеллера,
Гугенгейма и Форда, прежде чем это делать, должны исследовать вопрос о
погоне за субсидиями с научной точки зрения* В противном случае их ждет
разочарование. Зная, что сбережения необходимо тратить, а доходы -
расходовать, пока их не обложили налогом, эти люди часто думают, что стоит
лишь придумать план, составить смету, и вас везде примут с распростертыми
объятиями. Предположим, у некоего доктора Дайфонда есть план, как определить
заболеваемость филателией в Гонконге. В мечтах он видит себя в конторе
треста Вандерфеллера перед советом директоров, в состав которого входят д-р
Плиз, м-р Отдалл, м-р Роздалл и м-р Риекнулл. Они в восторге от его плана и
беспокоятся только, хватит ли доктору тех полутора миллионов долларов,
которые он просит. У них сложилось впечатление, что пять миллионов - более
реальная цифра.
"Какие доллары вы имеете в виду?" - спрашивает робко Дайфонд. "Я имел в
виду, конечно, американские доллары",- отвечает д-р Плиз. Мистер Отдалл
выписывает чек и желает Дайфонду всего наилучшего. Разговор окончен. Таковы
грезы.
А что в действительности? Дайфонд оказывается в кабинете лицом к лицу с
д-ром Скупоу, м-ром Фиг-вам и м-ром Г. де Гарантия. Скупоу говорит, что
Гонконг под устав Фонда не подходит и они не могут дать ни цента.
Фигвам заявляет, что филателия скорее социальное зло, нежели болезнь, и
поэтому выходит за пределы их компетенции. Г. де Гарантия считает весь план
политически опасным, поскольку речь идет о Гонконге. Все вместе объясняют,
что вся эта идея недопустима, неприемлема, аморальна и незаконна. Дайфонда
выбрасывают на улицу, и швейцару дается указание впредь его не впускать.
Оставленные им бумаги пересылаются прокурору в качестве вещественных
доказательств на предмет возбуждения уголовного дела по обвинению в
вымогательстве.
Вы спросите, в чем же ошибка Дайфонда? Имеются люди, которые должны
истратить деньги. А он предлагает план, как их истратить. Так. Почему бы
нет? Его проект, так категорически отвергнутый, ничуть не бесполезнее многих
других, уже осуществленных. Почему же его прогнали? Просто потому, что это
его план. Точно такой же свой план они признали бы блестящим. Главное в
искусстве получения субсидий и дотаций - это убедить чиновников Фонда, что
проект предложили они сами, а вы лишь поддакивающая им пешка, заранее
согласная со всеми их .предложениями.
Предположим теперь, что субсидию вы все же получили - может быть, от
правительства, может быть, от общественных благотворительных организаций, а
скорее всего за счет частного пожертвования. Теперь ваша ближайшая задача -
израсходовать и даже перерасходовать эти средства как можно быстрее, чтобы в
следующий раз попросить уже побольше. .Благотворители всем другим расходам
предпочитают расходы на постройку здания - ведь в его фундамент можно
торжественно заложить первый камень, а на стену повесить мемориальную доску
с фамилией жертвователя. А какую рекламу мог обеспечить им доктор Дайфонд?
Надгробие на собственной могиле? Если уж вы решили возвести здание, то лучше
всего пристроить помпезную мемориальную арку к уже существующей больнице
между лабораторным и административным корпусами, а для себя надстроить
где-нибудь уютную квартирку: очень важно жить поблизости от места работы.
Кроме того, надпись на мемориальной доске (и в этом преимущество
предложенного метода) можно составить так, чтобы она создавала впечатление,
не утверждая в то же время этого прямо, что жертвователь заплати^ за всю
больницу. Сочинение надписи следует поручить специалисту по
двусмысленностям. За небольшую, вернее за относительно небольшую, плату я
сам взялся бы сочинить такую надпись. Постройка парадного въезда - самое
верное дело для привлечения пожертвований (и запомните - у больницы могут
быть не одни ворота, а несколько). Но всем зданиям присущ общий недостаток:
число ученых, которые в них работают, очень быстро увеличивается, они
наполняют здание и переполняют его, в результате чего проблема помещения
встает острее, чем прежде. Кажется даже, что сами помещения уменьшаются в
размерах (это, конечно, обман зрения, но отмеченный выше факт не подлежит
никакому сомнению).
Аналогичному закону непрерывного роста подчиняется и число журналов,
освещающих прогресс в определенной области науки. Почему это происходит? В
течение долгого времени никто не мог дать толкового ответа на этот вопрос,
поэтому я не без удовольствия сообщаю, что мне удалось вскрыть истинные
причины размножений научных журналов и законы, по которым оно происходит.
Эти законы я поясню на следующем примере. Предположим, что самый старый и
респектабельный из всех журналов по клинической медицине (журнал No 1) в
течение многих лет издавался профессором А. Этот профессор был выдающимся
человеком (настолько выдающимся, что многие, вероятно, догадываются о его
имени, которое я не смею здесь назвать). Он умер несколько лет тому назад.
Если А в чем-нибудь ошибался (а кто из нас не ошибается!), то лишь в том,
что отказывался публиковать все статьи, с которыми не был согласен.
Практически это означает - все статьи, написанные чуть-чуть выше
ученического уровня. Это продолжалось несколько лет и страшно надоело
профессору Б, который никогда и ни в чем не соглашался с профессором А. Если
бы, например, их попросили написать слово "винегрет", я уверен, что они
написали бы его по-разному. При столь поражающей разнице во взглядах не
удивительно, что статьи профессора Б в течение двадцати трех лет неизменно
возвращались автору. По истечении этого срока он решил основать журнал No 2.
Это издание начало выходить на более либеральной основе, и сперва в нем
печаталось все, кроме работ тех авторов, относительно которых было точно
известно, что они являются последователями профессора А. Но и у профессора Б
были свои высокие принципы. Он считал, что любые взгляды, в том числе и те,
которые хоть немного отличаются от его собственных, заслуживают права на
свободное изложение; он настаивал лишь на том, чтобы они были изложены
последовательно и научно. И вот ему пришлось однажды, а затем еще и еще раз
отвергнуть работы, представленные профессором В. (Об этом последнем я должен
говорить с осторожностью: он здравствует и поныне и заслуженно получает
пенсию.) Его все считали оригинальным и интересным мыслителем, но находили,
что он не< сколько тороплив в своих выводах и слегка небрежен при
изложении результатов. Обнаружив, что его статьи отвергаются журналами No 1
и No 2, он стал основателем и первым издателем журнала No 3, который не
отказывался от самых невразумительных работ на самые туманные темы. Все вы
знаете, какой журнал я имею в виду. Но если знаете, то должны заметить, что
и у него есть репутация, которой он дорожит. Его литературный уровень очень
высок. Быть может, в его сообщениях ничего не сообщается, а рисунки
доказывают утверждения, обратные тем, которые они должны иллюстрировать, но
грамматика в этом журнале выше всякой критики. Следуя его клиническим
советам, вы можете стать убийцей, но страницы этого издания никогда не
осквернялись тяжеловесным оборотом. Чувствуя себя обязанным охранять
литературную репутацию журнала (только поэтому!), редактор был вынужден
отклонять работы профессора Г. Но - мы это все знаем - профессор Г не такой
человек, которому можно закрыть доступ на печатные страницы. И вот читатель
получает журнал No 4. Но ведь и Г должен где-то провести запретную черту! Он
упорно отказывается публиковать труды профессора Д под тем предлогом, что Д
не знает орфографии. (И это, честно говоря, правда.) Конечно, некоторые
станут утверждать, что статью можно доработать и в редакции. (И это,
разумеется, справедливо.) Но профессора Г тоже можно понять, и я не стал бы
обвинять его в ограниченности. Просто он не хочет, чтобы о журнале No 4
ходила молва, будто там принимают все, что напечатано на машинке на одной
стороне листа через два интервала. Он должен поддерживать престиж журнала. С
другой стороны, ни у кого не поднимется рука бросить камень в профессора Д
за то, что он начал издавать журнал No 5. Именно такое развитие событий
привело к тому, что только по вопросам зубоврачевания и зубопротезирования у
нас издается около восьмидесяти журналов.
Если бы прогресс в науке измерялся только количеством опубликованных
работ, то число существующих журналов могло бы стать источником
удовлетворения и гордости. Но необходимо помнить, что каждому журналу нужен
редакционный совет и редколлегия, несколько редакторов с помощниками,
многочисленные обозреватели, консультанты и рецензенты. За счет
человеко-часов, потраченных на академическую журналистику, теряется масса
времени, предназначенного для научной работы. Если бы все, имеющие
касательство к какому-то определенному вопросу, читали журналы, издающиеся
другими (а это лучший способ избежать дублирования), то ясно, что у них не
оставалось бы времени ни на что другое. Интересно отметить, что те немногие
люди, исследования которых представляют хоть какую-то ценность, обычно
держат друг друга в курсе своих дел с помощью личной переписки.
Из сказанного можно ошибочно заключить, что всякий человек, посвятивший
себя научной работе, заканчивает свою карьеру редактором. Это неверно.
Становятся редакторами лишь те, кому не удается занять административную
должность.
Каков нормальный ход событий? Человеку, сделавшему значительный вклад в
науку, настойчиво предлагают субсидии для расширения фронта исследований.
Именно так случилось с доктором Ложкин-сом, блестящим сотрудником профессора
Вилкинса. Разве можно забыть его речь, произнесенную на заседании
Американской федерации клинических исследований в 1938 году! По его теории
художники, создающие современную абстрактную живопись, как правило, страдают
дальтонизмом, а в отдельных случаях - слабоумием. Этим он создал себе
репутацию, и фонд Далвзялкинса поспешил щедро субсидировать его дальнейшую
работу. Ложкинса попросили выяснить, действительно ли у композиторов,
пишущих танцевальную музыку для молодежи, отсутствует музыкальный слух (как
подозревал профессор Вилкинс) или они просто психически недоразвиты (мнение,
к которому склонялся сам Ложкинс). Это был грандиозный проект. Сектор А
предназначался для работы с художниками, страдающими цветной слепотой, а
сектор В - для обследования умственно неполноценных джазистов. Отныне
доктору Ложкинсу приходилось заниматься организацией работы своего
персонала, насчитывающего 432 человека, из которых 138 имели медицинскую или
научную квалификацию, 214 имели среднее и высшее техническое образование, 80
были нанять! для канцелярской работы. Ну, а то, что сам доктор Ложкинс
лишился возможности заниматься научной работой, - очевидно. Но не многие
люди понимают, что на этом пути они лишатся также и возможности руководить
чьей-либо научной работой. Они будут все время тратить на проблемы
рационального использования рабочих помещений, заниматься техникой
безопасности, составлением графика отпусков, упорядочиванием заработной
платы и т. д. и т. п.
Теперь мы можем сформулировать "Закон Паркинсона для научных
исследований". Вот он: "Успех в научных исследованиях вызывает такое
увеличение субсидии, что продолжение исследований становится невозможным".
Напечатано в журнале
"New Scientist", 13, No 271 (1962).
ЗДРАВЫЙ СМЫСЛ И ВСЕЛЕННАЯ
Стефен Ликок
"За сто семьдесят шесть лет Нижняя Миссисипи стала короче на двести
сорок две мили. В среднем это составляет чуть больше, чем миля с третью за
год. Отсюда следует - в этом может убедиться любой человек, если он не
слепой и не идиот ,- что в нижнесилурийском периоде (он закончился как раз
миллион лет тому назад: в ноябре юбилей) длина Нижней Миссисипи превышала
один миллион триста тысяч миль. Точно так же отсюда следует, что через
семьсот сорок два года длина Нижней Миссисипи будет равна одной миле с
четвертью, Каир и Новый Орлеан сольются и будут процветать, управляемые
одним мэром и одной компанией муниципальных советников. В науке
действительно есть что-то захватывающее: такие далеко идущие и всеобъемлющие
гипотезы способна она строить на основании скудных фактических данных".
(Марк Твен, "Жизнь на Миссисипи")
Выступая в декабре 1941 года на ежегодном собрании Американской
ассоциации содействия развитию науки и выступая фактически от имени и по
поручению своего огромного 100-дюймового телескопа, профессор Эдвин Хаббл из
обсерватории Маунт-Вильсон (Калифорния) с довольным видом объявил, что
Вселенная не расширяется. Это была поистине хорошая новость, если и не для
широкой публики, у которой пока не было оснований подозревать, что Вселенная
вообще расширяется, то по крайней мере для тех из нас, кто смиренно пытается
"следить за развитием науки". В течение последних двадцати пяти лет, точнее
со дня обнародования этой ужасной гипотезы профессором де Ситтером в 1917
году, мы, кто как мог, пытались жить в этой расширяющейся Вселенной, каждая
часть которой с кошмарной скоростью улетает от всех остальных частей. Это
напоминало нам того отчаявшегося влюбленного, который вскочил на коня и
поскакал, как безумный, во всех направлениях. Идея была величественная, но
создавала какое-то ощущение неудобства.
Тем не менее мы должны были в нее верить. Должны были, потому что
полагались, например, на авторитет Спенсера Джонса из Королевского
астрономического общества, который не далее как в 1940 году в своей
захватывающей книге "Жизнь в других мирах" утверждал, что "далекая галактика
в созвездии Волопаса удаляется от нас со скоростью 24 300 миль в секунду.
Отсюда следует, что она находится на расстоянии 230 000 000 световых лет от
Солнечной системы". Я на всякий случай напомню моим друзьям - любителям
науки, что световой год - это расстояние, которое свет проходит за год,
двигаясь со скоростью 186000 миль (300000 км) в секунду. Другими словами,,
эта "далекая галактика" находится от нас сейчас на расстоянии 1 049 970 980
000 000 000 000 миль...
И вот теперь оказывается, что она вовсе не удаляется! А ведь астрономы
не просто предположили, что Вселенная расширяется, а доказали это, изучая
поведение красной части спектра, которая от такого открытия покраснела еще
больше, как та стыдливая вода в Кане Галлилейской, которая "увидела Господа
Бога своего и покраснела". Один из самых выдающихся наших астрономов, сэр
Артур Эддингтон, написал книжку "Расширяющаяся Вселенная", чтобы довести
этот факт до всеобщего сведения. Астрономы в большинстве своем восприняли
новость об этом вселенском взрыве с таким же спокойствием, с каким в свое
время приняли к сведению известие о грядущей тепловой смерти Вселенной;
согласно второму закону термодинамики, она ведь должна погибнуть от холода.
Но радость, которую доставил нам профессор Хаббл, умеряется некоторыми
сомнениями и размышлениями. Не подумайте, что я высказываю неверие в науку
или неуважение к ней (в наши дни это было бы так же чудовищно, как во
времена Исаака Ньютона не верить в Святую Троицу). Но все же... Сегодня мы
расширяемся, завтра - сжимаемся: сперва мы мучаемся в искривленном и
замкнутом пространстве, потом эту петлю ослабляют и распускают совсем;
только что нас приговорили к мученической смерти при температуре минус 273╟
по-Цельсию, в холоде, который охватит всех и вся,- и вот снова потеплело.
Так вправе мы спросить - в чем же дело? Где мы находимся? А на этот вопрос
отвечает Эйнштейн: "Нигде, потому что места, где мы могли бы находиться, нет
вообще". Так что подхватывайте свои книжки, следите за развитием науки и
ждите следующего астрономического конгресса. Возьмем историю со знаменитым
Вторым началом термодинамики, этим проклятием неумолимой судьбы, которое
обрекает всю Вселенную (или по крайней мере всю жизнь во Вселенной) на
смерть от холода. Теперь я с сожалением вспоминаю слезы, которые проливал,
сердечно сочувствуя той последней кучке обреченных, которым предстоит
скончаться при температуре 273╟ ниже нуля по Цельсию, при абсолютном нуле,
когда все тепло будет исчерпано и все молекулы остановятся. Не будут гореть
печи, не будут зажигаться спички, да и некому их будет зажигать...
Помню, как я первый раз, еще будучи маленьким мальчиком, прочитал про
этот жестокий закон в "научно-популярной" книжке, озаглавленной "Наше время
истекает". Написана она была Ричардом Проктором и производила ужасающее
впечатление. Солнце-то, оказывается, остывает и скоро погаснет совсем. Это
подтвердил и лорд Кельвин. Как все шотландцы, он-то ничего не боится и
оставил Солнцу и всей Солнечной системе только девяносто миллионов лет
жизни.
Это знаменитое предсказание впервые было сделано в 1824 году великим
французским физиком Никола Карно. Он показал, что все тела во Вселенной
меняют свою температуру - горячие остывают, а холодные нагреваются. Таким
образом, они выравнивают свою температуру. Это все равно что разделить
богатое наследство поровну между всеми бедными родственниками; результатом
будет общая нищета. Так и нас всех в конце концов должен охватить холод
мирового пространства.
Правда, проблеск надежды появился, когда Эрнст Резерфорд и другие
ученые открыли радиоактивность. Радиоактивные атомы, распадаясь, казалось,
смогут поддерживать огонь на Солнце еще довольно долго. Эта приятная новость
означала, что Солнце, с одной стороны, много моложе, а с другой - много
старше, чем предполагал лорд Кельвин. Но все равно это всего лишь отсрочка.
Все, что ученые могут нам предложить, это 1 500 000 000 лет. Потом все равно
замерзнем.
Когда на смену средневековым суевериям пришло просвещение, первыми
науками, которые выделились и самоопределились, были математика, астрономия
и физика. К началу девятнадцатого столетия все было поставлено на свои
места; Солнечная система вращалась так сонно и плавно, что Лаплас сумел
убедить Наполеона в том, что бог, который бы присматривал за ней, вообще не
нужен. Гравитация работала, как часы, а часы работали, как гравитация.
Химия, которая, как и электричество во времена Бенджамена Франклина, была
лишь набором бессвязных экспериментальных данных, превратилась в науку после
того, как Лавуазье открыл, что огонь не вещь, а процесс, что-то происходящее
с вещами. Эта мысль была настолько выше понимания широкой публики, что ее
автора в 1794 году гильотинировали. Появился Дальтон и показал, что любую
вещь можно раздробить на очень-очень маленькие атомы, атомы объединяются в
молекулы, и все идет по плану. С Фарадея и Максвелла заняло свое место в
новом научном порядке и электричество (оказалось, что это то же самое, что
магнетизм).
Примерно к 1880 году выяснилось, что мир прекрасно объяснен наукой.
Метафизика все еще что-то бормотала во сне. Теология все еще произносила
проповеди. Она пыталась оспаривать многие открытия науки, особенно в
геологии и в новой эволюционной теории жизни. Но наука уже обращала на это
мало внимания.
Потому что все было очень просто. Есть время и пространство - вещи
слишком очевидные, чтобы их объяснять. Есть материя, сделанная из маленьких
твердых атомов, похожих на крошечные зернышки. Все это движется, подчиняясь
закону всемирного тяготения. Туманности сгущаются в звезды, звезды извергают
планеты, планеты остывают, на них зарождается жизнь, она развивается и
становится разумной, появляются сперва человекообразные обезьяны, потом
епископ Уилберфорс и, наконец, профессор Гексли.
Осталось несколько небольших неясностей, например вопрос о том, что же
Факое на самом деле пространство и материя, и время, и жизнь, и разум. Но
все эти вещи Герберт Спенсер очень кстати догадался назвать непознаваемыми,
запер в ящик письменного стола и там оставил.
Все было объяснено механическим Железным Детерминизмом. Оставался
только этот противный скелет в ящике письменного стола. Да было еще что-то
странное и таинственное в электричестве, которое было не то чтобы просто
вещь, но и не то чтобы просто выдумка. Была еще странная загадка о "действии
на расстояний", и электричество ее только усугубляло. Как только добирается
тяготение от Земли до Солнца? Если в пространстве нет ничего, то каким
образом свет долетает к нам от Солнца за восемь минут и даже от Сириуса - за
восемь лет? Даже изобретение "эфира", этакого универсального желе, по
которому ходят волны, рябь и дрожь, не избавляло науку от некоторой
неубедительности.
И вот, как раз на пороге XX столетия все здание начало рушиться.
Первым предупреждением, что не все ладно, было открытие икс-лучей.
Открыл их Рентген, и с тех пор большинство физиков называют их
рентгеновскими. Сэр Уильям Крукс, экспериментируя с трубками, наполненными
разреженным газом, открыл "лучистую материю" так же случайно, как Колумб
открыл Америку. Британское правительство сразу же пожаловало Круксу
дворянство, но было уже поздно. Дело было сделано.
Затем последовали работы целой школы исследователей радиоактивности.
Венцом их были труды Резерфорда, который революционизировал теорию строения
вещества. Я хорошо знал Резерфорда - мы с ним в течение семи лет были
коллегами по Мак-Гиллскому университету - и могу подтвердить, что он
действовал без заранее обдуманного намерения потрясти основы Вселенной. Но
сделал он именно это, за что его тоже в свое время произвели в лорды.
Не следует путать труды Резерфорда по ядерной физике с теорией
пространства и времени, которую создал Эйнштейн. Резерфорд ни разу в жизни
не сослался на Эйнштейна. Даже когда он работал в Кавендишской лаборатории
и, проявляя черную неблагодарность, разбивал те самые атомы, которые его
прославили, даже тогда ему ничего не было нужно от Эйнштейна. Я однажды
спросил Резерфорда (это было в 1923 году, всемирная слава Эйнштейна была в
зените), что он думает о теории относительности. "А, чепуха! - ответил он. -
Для нашей работы это не нужно!" Его биограф и почитатель, профессор Ив,
рассказывает, что, когда немецкий физик Вин сказал Резерфорду, что ни один
англосакс не понимает теории относительности, Резерфорд ответил:
"Естественно, у нас слишком много здравого смысла".
Но все же главные неприятности начались именно с Эйнштейна. В 1905 году
он объявил, что абсолютного покоя нет. И с тех пор его не стало. Но только
после первой мировой войны на Эйнштейна набросилась читающая публика, и
полки в магазинах стали ломиться от книжек "про относительность".
Эйнштейн нокаутировал пространство и время так же, как Резерфорд
нокаутировал вещество. Общий взгляд теории относительности на пространство
очень прост. Эйнштейн всем объяснил, что нет такого места, как "здесь". "Но
ведь я-то здесь,- скажете вы. - Здесь - как раз то место, где я сейчас
сижу". Но ведь вы двигаетесь! Земля вертится, и вы на ней вертитесь. Вместе
с Землей вы движетесь вокруг Солнца, а вместе с Солнцем - вслед за "далекой
галактикой", которая сама мчится со скоростью 26 000 миль в секунду. Так что
же это за место - "здесь"? Как вы его отметите? Все это очень напоминает
рассказ о двух идиотах на рыбалке. Один из них говорит другому: "Слушай,
надо заметить то место, где мы вытащили эту здоровую рыбину", а тот ему
отвечает: "Да я уже сделал отметину на борту лодки". Вот вам и "здесь"!
Открытие Эйнштейном кривизны пространства физики приветствовали взрывом
аплодисментов, ка- ' кие до тех пор можно было слышать только на бейсболе.
Блестящий ученый, сэр Артур Эддингтон, который с пространством и временем
обращается как поэт (даже его рассуждения о гравитации пронизаны юмором: он
говорит, что идеальную возможность изучать тяготение имеет человек, падающий
в лифте с двадцатого этажа), так вот, сэр Артур Эддингтои аплодировал громче
всех. По его словам, без этой кривизны в пространстве разобраться вообще
невозможно. Мы ползаем по своему пространству, как муха ползает по глобусу,
думая, что он плоский. Тайны тяготения озадачивают нас (я не имею в виду тех
немногих счастливцев, которым представился редкий случай упасть в лифте с
двадцатого этажа. Но и на них откровение снизошло слишком поздно, а
откровение заключается в следующем: мы и не падаем вовсе, а просто
искривляемся). "Признайте кривизну пространства,- писал Эддингтон в 1927
году,- и таинственная сила исчезнет. Эйнштейн изгнал этого демона".
Но сейчас, четырнадцать лет спустя, начинает казаться, что Эйнштейна
мало беспокоит, изогнуто пространство или нет. Ему это, по-видимому, все
равно. Один известный физик, руководящий факультетом в одном из крупнейших
университетов, недавно написал мне по этому поводу: "Эйнштейн надеется, что
общая теория, учитывающая некоторые свойства пространства, напоминающие то,
что сейчас обычно называют кривизной, может в будущем оказаться более
плодотворной, чем это, по-видимому, имеет место в настоящее время". Сказано
чисто по-профессорски. Большинство же говорит просто, что Эйнштейн махнул
рукой на кривое пространство. Все равно что сэр Исаак Ньютон, зевнув, сказал
бы: "Ах, вы об этом яблоке - а может быть, оно вовсе и не падало?"
Из книги
"The World of Mathematics", New York, 1956.
(С. ЛИКОК - известный канадский писатель-юморист, видный ученый-эко*
номист, сотрудник Мак-Гиллского университета.)

- Приходитсяпризнать, джентльмены, что это открытие несколько
ошарашивает.
САГА О НОВОМ ГОРМОНЕ
Норман Апплцвейг
За последние месяцы мир узнал об открытии трех чудодейственных лекарств
тремя ведущими фармацевтическими фирмами. При ближайшем рассмотрении
выяснилось, что все три препарата - это один и тот же гормон. Если вам
интересно узнать, как одно и то же химическое соединение получает несколько
разных названий, давайте проследим за цепочкой событий, предшествующих
созданию чудотворного средства.
Первым его обычно совершенно случайно открывает физиолог в погоне за
двумя другими гормонами. Он дает ему название, отражающее его функции в
организме, и предсказывает, что новое соединение может оказаться полезным
при лечении редкого заболевания крови. Переработав одну тонну свежих бычьих
гланд, доставляемых прямо с бойни, он выделяет 10 граммов чистого гормона и
отправляет их к специалисту по физхимии на анализ.
Физхимик обнаруживает, что 95% очищенного физиологом гормона составляют
разного рода примеси, а остальные 5 % содержат по крайней мере три разных
соединения. Из одного такого соединения он успешно выделяет 10 миллиграммов
чистого кристаллического гормона. На основе изучения его физических свойств
он предсказывает возможную химическую структуру нового вещества и
высказывает предположение, что его роль в организме, вероятнее всего, не
совпадает с предсказаниями физиолога. Затем он дает ему новое название и
переправляет химику-органику для подтверждения своих предположений о
структуре соединения;
Органик этих предположений не подтверждает и вместо этого обнаруживает,
что новое соединение лишь одной метиловой группой отличается от вещества,
недавно выделенного из дынной кожуры, которое, однако, биологически
неактивно. Он дает гормону строгое химическое название, совершенно точное,
но слишком длинное и непригодное поэтому для широкого употребления.
Краткости ради за новым веществом сохраняется название, придуманное
физиологом. В конце концов органик синтезирует 10 граммов нового гормона, но
сообщает физиологу, что не может отдать ни одного грамма, ибо все эти граммы
ему абсолютно необходимы для получения производных и дальнейших структурных
исследований. Вместо этого он дарит ему 10 граммов того соединения, которое
выделено из дынной кожуры.
Тут включившийся в поиски биохимик внезапно объявляет, что он обнаружил
этот же гормон в моче супоросых свиноматок. На том основании, что гормон
легко расщепляется кристаллическим ферментом, недавно выделенным из слюнных
желез южноамериканского земляного червя, биохимик настойчиво утверждает, что
новое соединение есть не что иное, как разновидность витамина BIG,
недостаток которого вызывает сдвиги в кислотном цикле у аннелидов. И меняет
название.
Физиолог пишет биохимику письмо с просьбой прислать южноамериканского
червя.
Пищевик находит, что новое соединение действует в точности так же, как
"фактор ПФФ", недавно экстрагированный из куриного навоза, и поэтому
советует добавлять его в белый хлеб с целью повышения жизнеспособности
грядущих поколений. Чтобы подчеркнуть это чрезвычайно важное качество,
пищевик придумывает новое название.
Физиолог просит у пищевика кусочек "фактора ПФФ". Вместо этого он
получает фунт сырья, из которого "фактор ПФФ" можно изготовить.
Фармаколог решает проверить, как действует новое соединение на серых
крыс. Со смятением он убеждается, что после первой же инъекции крысы
полностью лысеют. Поскольку с кастрированными крысами этого не происходит,
он приходит к заключению, что новый препарат синергичен половому гормону
сестостерону и антагонистичен поэтому гона-дотропному фактору в гипофизе.
Отсюда он делает вывод, что новое средство может служить отличными каплями
для закапывания в нос. Он изобретает новое название и посылает 12 бутылок
капель вместе с пипеткой в клинику.
Клиницист получает образцы нового фармацевтического продукта для
испытания на пациентах с простудой лобных пазух. Закапывание в нос помогает
весьма слабо, но он с удивлением видит, что три его простуженных пациента,
до того еще страдавшие редкой болезнью крови, внезапно излечиваются. И он
получает Нобелевскую премию.
Напечатано в
"The Journal of Irreproducible Results" (1959). (H. АППЛЦВЕЙГ -
биохимик.)
Альберт Эйнштейн любил фильмы Чарли Чаплина и относился с большой
симпатией к созданному им герою. Однажды он написал в письме к Чаплину: "Ваш
фильм "Золотая лихорадка" понятен всем в мире, и Вы непременно станете
великим человеком. Эйнштейн".
На это Чаплин ответил так: "Я Вами восхищаюсь еще больше. Вашу теорию
относительности никто в мире не понимает, а Вы все-таки стали великим
человеком. Чаплин".
- Ура! Я нашел нечто действительно великое!
Содержание
К читателям ................................................5
От составителей (Вместо предисловия) ......7
ПОЧТИ ВСЕРЬЕЗ ......................................13
ПОЛЕЗНЫЕ СОВЕТЫ ...................................59
PERSONALIA ......................................................111
ШУТЯТ НЕ ТОЛЬКО ФИЗИКИ ............................143
ФИЗИКИ ШУТЯТ
Оформление художника Л А. Щетинина
Художественный редактор Е. И. Подмарькова Технический редактор Е. С.
Потапенкова
Сдано в производство 15/VII 1965 г. Подписано к печати
4/1II 1966 г. Бумага 70Х108"/32. 2,62 бум. л. 7,35 печ. л.
Уч.-изд. л. 5,7. Изд. No 2/3162, Цена SO коп. Зак. 557.
(Темплан 1965 г. изд-ва "Мир", пор, No 66)
ИЗДАТЕЛЬСТВО "М И Р" Москва, 1-й Рижский пер., 2
Ярославский полиграфкомбинат Главполиграфпрома
Комитета по печати при Совете Министров СССР
Ярославль, ул. Свободы, 97
P.S. Книгу Физики шутят я приобрел в далеком 1966 году, когда служил в
рядах СА в Юргинском полигоне. Надеюсь эта книга напомнит о славных 60-х ,
когда физики еще шутили.
Юрий Рубченко.
Last-modified: Sat, 18 Aug 2001 16:53:08 GMT