---------------------------------------------------------------
UDK 53
Sostaviteli-perevodchiki YU. KONOBEEV, V. PAVLINCHUK*
N. RABOTNOV, V. TURCHIN
Pod obshchej redakciej doktora Fiz. mat. nauk v. TURCHINA
Redaktor l. v. GESSEN
Izd "MIR" Moskva, 1966
OCR: YUrij Rubchenko.
---------------------------------------------------------------
K chitatelyam
CHernaya Koroleva pokachala golovoj: --
Vy, konechno, mozhete nazyvat' eto chush'yu,
no ya-to vstrechala chush' takuyu, chto v sravnenii s nej
eta kazhetsya tolkovym slovarem. L. Kerroll, "Alisa v Zazerkal'e"
Redakciya literatury po fizike Kak-to neprivychno: na yumoristicheskoj
knige -- i vdrug marka nauchnogo izdatel'stva! No eto ne sluchajno. Vse, chto v
etoj knige est' smeshnogo, polnost'yu pojmut i ocenyat te, kto chitaet ser'eznuyu
nauchnuyu literaturu i slushaet (i delaet) uchenye doklady,-- ved' avtory etih
shutok tozhe uchenye, poroj ochen' izvestnye. S takoj tochki zreniya eta kniga
tozhe nauchnaya. Odnako dostupna ona ne tol'ko uchenym. Vse, kto lyubit shutku,
poluchat udovol'stvie, chitaya sobrannye zdes' nebol'shie yumoreski, i uvidyat za
nimi ser'eznuyu nauku -- fiziku s novoj, byt'
mozhet neozhidannoj, storony. Lyudi vseh professij lyubyat shutit', no eti
shutki obychno ne popadayut v pechat' i bessledno ischezayut. A zhal'! Fizicheskij
fol'klor ne menee interesen, chem lyuboj drugoj; v nem otrazhena istoriya nauki,
zhizn' i byt ee sozdatelej"
To, chto sobrano zdes',-- sobralo po kaplyam. Sostaviteli ne nashli
mnogogo, o chem izvestno lish' po
rasskazam. No ved' eto pervaya popytka. Knig podobnogo roda do sih por
ne bylo. Byt' mozhet, kogda-nibud' vyjdet antologiya fizicheskih ostrot (i ne
tol'ko perevodnyh), mozhet byt', na etu temu dazhe napishut dissertaciyu (o chem
tol'ko ne pishut!), a poka sostaviteli pereryli gory zhurnalov, kak
napechatannyh, tak i rukopisnyh, i sobrali pervyj urozhaj. Kak obychno
govoritsya v predisloviyah, budem nadeyat'sya, chto sbornik ponravitsya nashim
chitatelyam".
Professor L. Smorodinskij.
Ot sostavitelej
(Vmesto predisloviya)
-- Allo?
-- Zdravstvujte! S vami govorit odin iz sostavitelej
sbornika "Fiziki shutyat". Nam rekomendovali............. --
-- Prostite, kakogo sbornika?
-- "Fiziki shutyat".
-- CHto delayut fiziki?!
-- SHutyat!
-- Ne ponimayu.
-- Nu, shutyat, smeyutsya.
-- Ah, smeyutsya... Nu, tak chto zhe?
-- |to budet sbornik perevodov. Ne vstrechalis' li sluchajno vam
ili vashim sotrudnikam v inostrannoj fizicheskoj literature...
-- Net, net! Nashi sotrudniki zanimayutsya ser'eznymi delami i
im ne do shutok.
...Prezhde chem nas uspeyut obvinit' v klevete na fizikov, my pospeshim
zaverit' chitatelej, chto etot
razgovor byl edinstvennym. Obychno -- a my inogda obrashchalis' k ochen'
zanyatym lyudyam-- nashe
nachinanie vstrechalo polnoe odobrenie i gotovnost' pomoch'. Fiziki cenyat
shutku. My polagaem, chto v populyarnoj i uvlekatel'noj igre "Fiziki i liriki"
etot fakt zachtetsya nashej storone so znakom plyus. (Napominaem pravila igry:
deti delyatsya na dve partii; odna poluchaet uslovnoe nazvanie "fiziki", drugaya
-- "liriki". Igru nachinaet kto-libo iz lirikov, kotoryj pytaetsya osalit'
fizika s liricheskoj storony. V otvet kto-libo iz fizikov pytaetsya osalit'
lirika s fizicheskoj storony. Nikto ne vyigryvaet i ne proigryvaet. Igra
prekrashchaetsya, kogda mama pozovet uzhinat'.) Mysl' sostavit' nastoyashchij sbornik
zrela u nas davno. CHitaya zarubezhnye nauchnye izdaniya (vpolne ser'eznye!), my
dovol'no chasto nahodili krupinki, a to i celye samorodki yumora, kotorye, k
sozhaleniyu, ne popadayut ni v referativnye zhurnaly, ni v obzory: shutlivye
stihi, zametki, soobshcheniya i dazhe bol'shie kvaziser'eznye stat'i, napisannye
fizikami i rasschitannye glavnym obrazom na fizikov. Vopros byl reshen, kogda
v nashi ruki popal izdannyj v Kopengagene k semidesyatiletiyu Nil'sa Bora
sbornik "The Journal of Jocular Physics", celikom" yumoristicheskij, nechto
vrode pechatnogo "kapustnika", napisannogo fizikami -- druz'yami i
sotrudnikami Bora. Zaklyuchiv dogovor s izdatel'stvom "Mir", my pochuvstvovali
sebya obyazannymi ne prosto perevesti imevshijsya pod rukoj material, a
postarat'sya sobrat' naibolee interesnye obrazcy etogo svoeobraznogo zhanra.
Kak vypolnit' etu zadachu? Bibliograficheskie izyskaniya -- issledovanie
razdelu "Zanimatel'naya fizika" v katalogah krupnejshih bibliotek --
okazalis' isklyuchitel'no besplodnymi. "Fizika za chajnym stolom", "Fizika
bez priborov "Fizika bez matematiki" i dazhe "Zanimatel'naya fizika na vojne"
-- vse eto bylo, no vse eto bylo ne to. Razdela "Fizika i yumor" ne bylo, i
nam ostavalos' lish' uteshat'sya nadezhdoj, chto ego, mozhet byt', vvedut v
blizhajshem budushchem i na pervoj kartochke napishut: "Fiziki shutyat", izd. "Mir",
1966, perev. s inostr., s illyustr., tir. 0000000000 ekz."
Prishlos' prosmatrivat' podryad vse "podozritel'nye" zhurnaly i obrashchat'sya
k kollegam -- znakomym i neznakomym. Postepenno material nakaplivalsya, ochen'
raznyj po harakteru i po kachestvu. No vse-taki ego okazalos' men'she, chem nam
hotelos' by. A tak kak kriterii, kotorymi my pol'zovalis' pri reshenii
voprosa "vklyuchat' -- ne vklyuchat'", nesomnenno, byli sub®ektivnymi, to nas do
sih por ne ostavlyaet opasenie, chto reakciya svezhego chitatelya budet napominat'
slova, skazannye odnim posetitelem stolovoj oficiantu: "Vo-pervyh, eto...
nes®edobno, a vo-vtoryh, pochemu tak malo?"
Vse vremya, poka my rabotali nad sbornikom, nas muchili dve problemy,
kotorye my truslivo otkladyvali na samyj konec, tak kak soznavali vsyu ih
trudnost'. Pervoj problemoj bylo nazvanie. Ono dolzhno bylo:
byt' dostatochno original'nym, chtoby nikto ne mog nazvat' ego banal'nym;
byt' dostatochno banal'nym, chtoby nikto ne mog nazvat' ego
pretencioznym;
nravit'sya vsem sostavitelyam-perevodchikam i redaktoram.
K schast'yu dlya nas (a dlya sbornika?), eta problema razreshilas' v konce
koncov sama soboj. Okazalos', chto v processe raboty nad knigoj mozhno
uvelichit' ili umen'shit' ee ob®em, izmenit' soderzhanie, dobavit' novyh
avtorov ili ubrat' staryh, mozhno voobshche otkazat'sya ot izdaniya knigi, no
odnogo sdelat' nel'zya - izmenit' ee predvaritel'noe nazvanie (dannoe nami,
kstati, chisto uslovno, chtoby hot' kak-to oboznachit' predmet truda), ibo,
popav v reklamnye prospekty, ono priobrelo silu zakona.
Vtoroj problemoj bylo predislovie. Obychno osnovnym ego soderzhaniem
yavlyaetsya obosnovanie neobhodimosti izdaniya knigi. No my-to znali, chto
nauchnaya neobhodimost' izdaniya nashego sbornika sporna. I vse-taki my dolzhny
byli kak-to opravdat'sya: a) pered chitatelyami, b) pered izdatelyami, v) pered
soboj.
|ta problema reshalas' postepenno.
Punkt "v" otpal, kogda my reshili sostavlyat' sbornik.
Punkt "b" otpal, kogda izdatel'stvo podpisalo dogovor.
Ostavalsya punkt "a", i on dostavlyal nam naibol'shie nepriyatnosti.
Grustno, esli, rasskazyvaya anekdot, prihoditsya ob®yasnyat', v chem ego sol', no
sovsem tosklivo ob®yasnyat' sol' do togo, kak anekdot rasskazan. V konce
koncov my reshili ne opravdyvat'sya pered chitatelyami, ibo tot, komu takoe
opravdanie neobhodimo, yavno sovershil oshibku, kupiv etu knizhku, i my uzhe
nichem ne mozhem emu pomoch'.
No v odnom nam neobhodimo opravdat'sya, vernee dazhe izvinit'sya.
My prinosim izvineniya avtoram pomeshchennyh v sbornike yumoresok za te
neizbezhnye vol'nosti, kotorye my dopuskali pri perevode. Prezhde vsego rech'
idet o sokrashcheniyah teksta. Osobenno sushchestvenno sokrashcheny te stat'i, kotorye
napisany byli v obshchem-to na ser'eznuyu temu, a veselye mesta, kotorye nam
hotelos' vklyuchit' v nash sbornik, byli prosto vstavkami. Isklyuchalis' takzhe
mesta, splosh' postroennye na neperevodimoj igre slov, kotorye nevozmozhno
ponyat' bez kommentariev. Nakonec, pri perevode vystuplenij na banketah,
konferenciyah i t. p. my opuskali mesta, v polnoj mere ponyatnye lish'
uchastnikam sootvetstvuyushchego sobytiya. (Inogda eto, vprochem, otnosilos' ko
vsej veshchi v celom, i ona v sbornik voobshche ne popadala.) Znachitel'nye
vol'nosti dopuskalis' pri perevode idiom i fraz s podtekstom. Osobenno
vol'ny stihotvornye perevody (a ih vsego dva).
Pokonchiv s opravdaniyami i izvineniyami, my perehodim k vypolneniyu
gorazdo bolee priyatnoj zadachi. My vyrazhaem iskrennyuyu blagodarnost' YA. A.
Smorodinskomu za aktivnuyu podderzhku i postoyannuyu pomoshch' pri podgotovke
sbornika. Nam priyatno takzhe poblagodarit' L. A. Arcimovicha, V. I.
Gol'danskogo, A. S. Kompanejca, A. B. Kurpina, A. I. Lejpunskogo, M. A.
Listengartena, A. B. Migdala, L. A. Sliva, V. M. Strutinskogo, Iv. Todorova,
N. V. Timofeeva-Reseovskogo, V. V. Fi-lipova i B. A. SHvarcburga za sovety i
predostavlenie materialov.
V zaklyuchenie my hotim otvetit' na vopros, kotoryj pochti navernyaka
vozniknet u chitatelya, edva on prochtet na titul'nom liste: "Fiziki shutyat.
Sbornik perevodov".
- A chto, razve sovetskie fiziki ne shutyat?
Otvechaem: shutyat. I ne menee ostroumno, chem ih zarubezhnye kollegi. No
chtoby izdat' nastoyashchij sbornik, nam prishlos' lish' podobrat' i perevesti uzhe
opublikovannye stat'i i zametki, a yumor sovetskih fizikov sushchestvuet poka
lish' kak fol'klor, ibo nashi nauchnye zhurnaly (uvy!) takogo sorta statej ne
pechatayut.
Obninsk, maj 1965 g.
YU. Konobeev V. Pavlinchuk P. Rabotnoe V. Turchin
Pochti vser'ez
V RAZDELE:
Karl Darrou. Fizika kak nauka i iskusstvo * Marvin Kamras. Ispoved'
inzhenera-akustika ... G. Petard. K matematicheskoj teorii ohoty ... D. Bak, G.
Bete, V. Ric-ler. K kvantovoj teorii absolyutnogo nulya temperatury F D.
Fro-man. Zemlya kak upravlyaemyj kosmicheskij korabl' ... G. Dzh. Lip-kin.
Raskras' sam (Posobie po fizike vysokih energij) ... A. Kon i M. Brejer.
Tipologiya v nauchnom issledovanii ... G. Dzh. Lipkin. Perechen' tipovyh
ekzamenacionnyh voprosov dlya aspirantov-fizikov ...
FIZIKA KAK NAUKA I ISKUSSTVO
Karl Darrou
Iz vystupleniya na sobranii" posvyashchennom
20-letiyu so dnya osnovaniya Amerikanskogo
instituta fiziki
Svoe vystuplenie mne, ochevidno, sleduet nachat' s opredeleniya, chto takoe
fizika. Amerikanskij institut fiziki sformuliroval uzhe eto opredelenie, i,
vystupaya v takom meste, prosto neprilichno ispol'zovat' kakuyu-nibud' druguyu
definiciyu. |to, sobstvenno govorya, opredelenie togo, chto takoe "fizik", no
ponyat' iz nego, chto takoe "fizika", tozhe ochen' legko. Vyslushajte eto
opredelenie.
"Fizikom yavlyaetsya tot, kto ispol'zuet svoe obrazovanie i opyt dlya
izucheniya i prakticheskogo primeneniya vzaimodejstvij mezhdu materiej i energiej
v oblasti mehaniki, akustiki, optiki, tepla, elektrichestva, magnetizma,
izlucheniya, atomnoj struktury i yadernyh yavlenij".
Prezhde vsego ya hochu obratit' vashe vnimanie na to, chto eto opredelenie
rasschitano na lyudej, kotorym znakomo ponyatie "energiya". No dazhe dlya stol'
prosveshchennoj auditorii eto opredelenie yavno nedostatochno produmano.
Dejstvitel'no, chelovek, znakomyj s ponyatiem energii, vspomnit, po-vidimomu,
uravnenie
E=ts2,
s pomoshch'yu kotorogo on ovladel tajnoj atomnoj bomby, i eto uravnenie
samo budet poistine atomnoj bomboj dlya citirovannogo opredeleniya. Ibo v
opredelenii podrazumevaetsya, chto materiya chetko otlichaetsya ot energii, a
privedennoe uravnenie eto nachisto oprovergaet. Ono probuzhdaet v nas zhelanie
pereinachit' opredelenie i skazat', chto fizik - eto tot, kto zanimaetsya
vzaimodejstviem energii s energiej, a eto zvuchit uzhe sovsem nelepo.
Dalee v opredelenii govoritsya ob "izuchenii i prakticheskom primenenii",
chto yavno nosit otzvuk stavshego klassicheskim protivopostavleniya chistoj fiziki
fizike prikladnoj. Davajte poglubzhe rassmotrim eto protivopostavlenie.
Prezhde vsego poprobuem chetko opredelit' razlichie mezhdu chistoj i prikladnoj
fizikoj.
Obychno schitaetsya, chto "chistyj fizik" interesuetsya priborami i
mehanizmami lish' postol'ku, poskol'ku oni illyustriruyut fizicheskie zakony, a
"prikladnoj fizik" interesuetsya fizicheskimi zakonami lish' postol'ku,
poskol'ku oni ob®yasnyayut rabotu priborov i mehanizmov. Prepodavatel' fiziki
ob®yasnyaet uchenikam ustrojstvo dinamomashiny chtoby oni ponyali, chto takoe
zakony Faradeya, a prepodavatel' elektrotehniki izlagaet uchenikam zakony
Faradeya, chtoby oni ponyali, chto takoe dinamo-mashina. "CHistyj fizik"
sovershenstvuet svoi pribory tol'ko dlya togo, chtoby rasshirit' nashi znaniya o
prirode. "Prikladnoj fizik" sozdaet svoi pribory dlya lyuboj celi, krome
rasshireniya nashih znanij o prirode.
S etoj tochki zreniya Rezerford byl "prikladnym fizikom" na zare svoej
kar'ery, kogda on pytalsya izobresti radio, i stal "chistym fizikom", kogda
brosil eti popytki, a Lourens byl "chistym fizikom", poka izobretennye im
ciklotrony ne nachali ispol'zovat'sya dlya proizvodstva izotopov, a izotopy -
primenyat'sya v medicine. Posle etogo Lourens "lishilsya kasty". Uzhe iz etih
primerov yasno, chto nashe opredelenie sleduet schitat' v vysshej stepeni
ekstremistskim, i nado byt' fanatikom, chtoby otstaivat' takuyu krajnyuyu
poziciyu. |to stanet sovsem ochevidnym, esli my rassmotrim analogichnuyu
situaciyu v iskusstve.
Voz'mem, naprimer, muzyku. Kompozitora, sozdayushchego simfonii, my,
ochevidno, dolzhny schitat' "chistym muzykantom", a kompozitora, sochinyayushchego
tanceval'nuyu muzyku, - "muzykantom prikladnym". No lyuboj dirizher
simfonicheskogo orkestra znaet, chto slushateli ne stanut vozrazhat', a dazhe
budut ochen' dovol'ny, esli on ispolnit chto-nibud' iz proizvedenij Ioganna
SHtrausa i Manuelya de Fal'ya. Sam Rihard Vagner skazal, chto edinstvecnaya cel'
ego muzyki - usilit' libretto; sledovatel'no, on "prikladnoj" muzykant. Eshche
slozhnee delo obstoit s CHajkovskim, kotoryj vsyu zhizn' byl "chistym" muzykantom
i ostavalsya im eshche pyat'desyat let posle smerti, poka zvuchnaya tema odnogo iz
ego fortep'yannyh koncertov ne byla peredelana v tanec pod nazvaniem "|toj
noch'yu my lyubim".
Obratimsya k zhivopisi i skul'pture. Nazovem "chistym" hudozhnikom togo,
ch'i kartiny visyat v muzeyah, a "prikladnym" togo, ch'i proizvedeniya ukrashayut
zhilishche. Togda Mone i Renuar - prikladnye hudozhniki dlya teh, kto mozhet sebe
pozvolit' zaplatit' dvadcat' tysyach dollarov za kartinu. Dlya ostal'nyh
greshnyh, v tom chisle i dlya nas s vami, oni chistye hudozhniki. YA ne uveren
tol'ko, k kakoj kategorii otnesti portretista, za isklyucheniem, pozhaluj, togo
sluchaya, kogda ego kartina nazyvaetsya , "Portret muzhchiny" i visit v muzee, -
togda on, nesomnenno, chistyj hudozhnik. YA uveren, chto mnogie sovremennye
zhivopiscy zhdut, chto ya otnesu k chistym hudozhnikam teh, ch'i proizvedeniya ni na
chto ne pohozhi i nikomu ne ponyatny, a vseh ostal'nyh - k prikladnym. Sredi
fizikov takoe tozhe vstrechaetsya.
Zakonchennyj primer prikladnogo iskusstva, kazalos' by, dolzhna yavlyat'
soboj arhitektura. Odnako otmetim, chto sushchestvuet takoe techenie, kotoroe
nazyvaetsya "funkcionalizm" ; storonniki ego stoyat na tom, chto vse chasti
zdaniya dolzhny sootvetstvovat' svoemu naznacheniyu i sluzhit' neobhodimymi
detalyami obshchej konstrukcii. Samo sushchestvovanie takoj doktriny govorit o tom,
chto est' stroeniya, imeyushchie detali, v kotoryh konstrukciya zdaniya voobshche ne
nuzhdaetsya i bez kotoryh vpolne mogla by obojtis'. |to ochevidno dlya vsyakogo,
kto videl lepnoj karniz. Tenevaya storona etoj doktriny zaklyuchaetsya v tom,
chto ona zapreshchaet naslazhdat'sya zrelishchem velichestvennogo goticheskogo sobora
do teh por, poka inzhener s logarifmicheskoj linejkoj v rukah ne dokazhet vam,
chto zdanie ruhnet, esli vy udalite hot' kakuyu nibud' iz etih izyashchnyh arok i
vozdushnyh podporrok. A kak byt' s vitrazhami? Oni :
a) funkcional'ny (sposobstvuyut sozdaniyu misticheskogo nastroeniya i
kak-nikak eto okna),
b) dekorativny (nravyatsya turistam),
v) antifunkcional'ny (Zaderzhivayut svet).
Pervaya tochka zreniya prinadlezhit hudozhnikam, sozdavshim okna sobora v
SHartre, vtoruyu razdelyayut gidy, a tret'ej priderzhivalis' v vosemnadcatom
stoletii prihozhane, kotorye vybili eti okna, chtob uluchshit' osveshchenie, i
.zabrosili dragocennye oskolki v musornye yamy.
Itak, v sobore nelegko otdelit' funkcional'noe ot dekorativnogo. No tak
i v nauke. I esli nekotorye tonchajshie cherty v oblike goticheskih soborov
obyazany svoim proishozhdeniem tomu prostomu faktu, chto togda v rasporyazhenii
zodchih ne bylo stal'nyh balok, a sovremennye stroiteli, v rasporyazhenii
kotoryh eti balki est' vozvodyat zdaniya, kotorym tainstvennym obrazom ne
hvataet chego-to, chto nam nravitsya v drevnih soborah, to analogii etomu my
mozhem najti, sravnivaya klassicheskuyu fiziku s teoriyami nashih dnej...
Poprobuem zamenit' nazvaniya "chistaya" i "prikladnaya" fizika slovami
"dekorativnaya" i "funkcional'naya". No eto tozhe ploho. Prikladnaya fizika-
libo fizika, libo ne fizika. V pervom sluchae v slovosochetanii "prikladnaya
fizika" sleduet otbrosit' prilagatel'noe, vo vtorom - sushchestvitel'noe.
Arhitektura ostaetsya arhitekturoj nezavisimo ot togo, sozdaet ona zdanie
Organizacii Ob®edinennyh Nacij ili Sent-SHapel'. Muzyka est' muzyka - v
venskom val'se i v organnom horale, a zhivopis' i v portretnom zhanre, i v
pejzazhnom - vse zhivopis'. I fizika est' fizika - ob®yasnyaet li ona ustrojstvo
televizora ili spektr geliya.
Odnako razlichie v dejstvitel'nosti dolzhno byt' vse-taki bol'she, chem ya
sklonen byl priznat' do sih por, poskol'ku lyudi postoyanno tverdyat o
"fundamental'nyh issledovaniyah", predpolagaya, takim obrazom, sushchestvovanie
chego-to protivopolozhnogo, "nefundamental'nogo". Horoshee opredelenie
"fundamental'nogo issledovaniya" vse budut privetstvovat'. Poprobuem
izobresti ego.
Nachat' sleduet, razumeetsya, s opredeleniya, chto takoe issledovanie. K
neschast'yu, ponyatie eto soderzhit v sebe negativnyj element. Issledovanie -
eto poiski, kogda vy ne znaete, chto najdete; a esli vy znaete, znachit uzhe
nashli, i vashu deyatel'nost' nel'zya nazvat' issledovatel'skoj. No esli
rezul'tat vashih issledovanii neizvesten, otkuda vy znaete, chto on budet
fundamental'nym?
CHtoby vyjti iz etogo tupika, popytaemsya otnesti ponyatie
fundamental'nosti ne k konechnomu rezul'tatu issledovanij, a k samomu
processu issledovaniya. My mozhem, naprimer, nazvat' fundamental'nymi takie
issledovaniya, kotorye vedutsya nezavisimo ot togo, budut li rezul'taty imet'
prakticheskoe znachenie ili ne budut. Mezhdu prochim, zdes' ne sleduet
peregibat' palku. Bylo by neblagorazumno opredelyat' fundamental'nye
issledovaniya, kak takie issledovaniya, kotorye prekrashchayutsya, kak tol'ko
poyavlyayutsya priznaki togo, chto rezul'taty mogut byt' primeneny na praktike.
Takaya koncepciya riskuet navlech' na sebya gnev finansiruyushchih organizacij. No
dazhe samogo trudnogo i skarednogo finansista mozhno ublazhit', skazav, chto
fundamental'nye issledovaniya - eto te, kotorye ne dayut nemedlennogo
prakticheskogo vyhoda, no navernyaka dadut takovoj rano ili pozdno.
Uvy, i eto opredelenie ne vpolne udovletvoritel'no. Ono ostavlyaet
vpechatlenie, chto vy pered kem to opravdyvaetes', a eto uzhe priznak viny.
Neuzheli nel'zya opredelit' fundamental'noe issledovanie tak, chtoby ono
predstavlyalo cennost' samo po sebe, bez vsyakoj svyazi s budushchimi
prakticheskimi prilozheniyami?
Nazovem fundamental'nymi takie issledovaniya, kotorye rasshiryayut i
prodvigayut teoriyu fizicheskih yavlenij. Sledovatel'no, nam pridetsya nemnogo po
teoretizirovat' naschet teorii.
Sushchestvuet neskol'ko tochek zreniya na teoriyu. Odna iz nih sostoit v tom,
chto teoriya raskryvaet nam glubinnuyu prostotu i strojnost' mirozdaniya. Ne
teoretik vidit lish' bessmyslennoe nagromozhdenie yavlenij. Kogda on stanovitsya
teoretikom, yavleniya ukladyvayutsya v strojnuyu i ispolnennuyu velichiya sistemu.
No, k sozhaleniyu, v poslednee vremya blagodarya kvantovoj mehanike i teorii
polya vse bol'shee chislo lyudej, vybiraya iz dvuh zol men'shee, nagromozhdenie
yavlenij predpochitayut nagromozhdeniyu teorij.
Druguyu tochku zreniya vyskazal nedavno Kondon. On polagaet, chto teoriya
dolzhna dat' nam vozmozhnost' rasschitat' rezul'tat eksperimenta za bolee
korotkoe vremya, chem ponadobitsya dlya provedeniya samogo eksperimenta. Ne
soglashat'sya s Kondonom opasno, tak kak obychno on okazyvaetsya prav; no ya ne
dumayu, chto eto opredelenie priyatno teoretikam; oni obrekayutsya, takim
obrazom, na beskonechnuyu igru v salochki, kotoruyu zavedomo proigrayut v takih,
naprimer, sluchayah, kak pri ustanovlenii soprotivleniya serebryanogo provoda
ili dliny volny nekotoroj linii v spektre germaniya.
Soglasno drugoj tochke zreniya, teoriya dolzhna sluzhit' dld pridumyvaniya
novyh eksperimentov. Zdes' est' razumnoe nachalo, no eto nizvodit teoretika
do polozheniya sluzhanki eksperimentatora, a eta rol' emu vryad li ponravitsya.
Est' eshche odna tochka zreniya, chto teoriya dolzhna ohlazhdat' goryachie golovy
i ne dopuskat' poteri vremeni na bespoleznye eksperimenty. YA predpolagayu,
chto tol'ko izuchenie zakonov termodinamiki preseklo nekotorye popytki sozdat'
poistine nevozmozhnye teplovye dvigateli,
Davajte pol'stim teorii i dadim ej opredelenie, kotoroe ne budet
svodit' ee ni k hitroumnomu prisposobleniyu dlya ekonomii vremeni, ni k
prisluge eksperimenta. Predlagayu schitat', chto teoriya -- eto intellektual'nyj
sobor, vozdvignutyj, esli hotite, vo slavu bozhiyu i prinosyashchij glubokoe
udovletvorenie kak arhitektoru, tak i zritelyu. YA ne stanu nazyvat' teoriyu
otrazheniem dejstvitel'nosti. Slovo "dejstvitel'nost'" pugaet menya, poskol'ku
ya podozrevayu, chto filosofy znayut tochno, chto ono znachit, a ya ne znayu i mogu
skazat' chto-nibud' takoe, chto ih obidit. No skazat', chto teoriya - veshch'
krasivaya, ya ne postesnyayus', poskol'ku krasota- delo vkusa, i tut ya filosofov
ne boyus'. Razov'em nashu analogii" s soborom.
Srednevekovye sobory nikogda ne byvali zakoncheny stroitel'stvom. |to zhe
mozhno skazat' i pro fizicheskie teorii. To den'gi konchalis', to arhitekturnaya
moda menyalas'. V poslednem sluchae staraya chast' sobora inogda razrushalas', a
inogda k nej prosto pristraivalas' novaya. Mozhno najti strogie i massivnye
rimskie hory v mirnom sosedstve s paryashchej goticheskoj arkoj, kotoraya blizka k
granice opasnoj neustojchivosti. Rimskie hory - eto klassicheskaya fizika, a
goticheskaya arka - kvantovaya mehanika. YA napomnyu vam, chto arka sobora v Bove
obrushivalas' dvazhdy (ili dazhe trizhdy), prezhde chem arhitektory peresmotreli
svoi plany i postroili nechto, sposobnoe ne upast'. Sobor sostoit obychno iz
neskol'kih chasoven. CHasovnya fiziki tverdogo tela imeet lish' samoe otdalennoe
otnoshenie k chasovne teorii otnositel'nosti, a chasovnya akustiki voobshche nikak
ne svyazana s chasovnej fiziki elementarnyh chastic. Lyudi, molyashchiesya v odnoj iz
chasoven vpolne mogut obhodit'sya "bez ostal'noj chasti sobora; ih chasovnya
mozhet ustoyat', dazhe esli vse ostal'noe zdanie ruhnet. Sam sobor mozhet
kazat'sya velichestvennym dazhe tem, kto ne verit v boga, da i tem, kto
postroil by sovsem drugoe zdanie, bud' on v sostoyanii nachat' vse snachala.
Ostatok svoej rechi ya hochu posvyatit' sovsem drugomu voprosu. My
voshishchaemsya nashim velichestvennym soborom. Kak zarazit' molodezh' etim
voshishcheniem? Kak zamanit' v fiziku budushchih fermi, kondonov, sleterov?
Obychnyj v etih sluchayah metod - udivit', potryasti. Beda v tom, chto
cheloveka nel'zya udivit', esli on ne znakom s toj situaciej, v kotoruyu vash
syurpriz vnosit reshayushchie izmeneniya. Ne tak davno ya prochel, chto nekto proplyl
100 yardov za 49 sekund. |to sovershenno menya ne udivilo, potomu chto ya ne
znal, chemu ravnyalsya staryj rekord -39, 59 ili 99 sekundam. No ya chital dal'she
i obnaruzhil, chto staryj rekord sostavlyal 51 sekundu i derzhalsya v techenie
neskol'kih let. Pervoe soobshchenie teper' probudilo vo mne slabyj interes -
edva otlichnyj ot nulya, no po-prezhnemu nikakogo udivleniya! Teper' predstav'te
sebe fizika, menya, naprimer, kotoryj pytaetsya udivit' auditoriyu, sostoyashchuyu
iz diletantov, soobshcheniem o tom, chto sejchas vmesto dvuh elementarnyh chastic
my znaem celuyu dyuzhinu ili chto olovo sovsem ne okazyvaet soprotivleniya
elektricheskomu toku pri temperaturah nizhe nekotoroj, a novejshij ciklotron
razgonyaet protony do energii 500 Mev. Nu i chto? |to prosto ne daet effekta!
I esli ya osnashchu svoe soobshchenie ekstravagantnymi utverzhdeniyami, eto
proizvedet ne bol'she vpechatleniya, chem razmahivanie rukami i kriki lektora
pered gluhonemoj auditoriej.
Oshibochno takzhe mnenie, chto auditoriyu mozhno potryasti, prodemonstrirovav
reshenie kakoj-nibud' zagadki. Beda zdes' v tom, chto nikto ne zainteresuetsya
otvetom na vopros, kotorogo on ne zadaval. Avtor detektivnyh rasskazov
vsegda sozdaet tajnu, prezhde chem ee reshat'. Mozhno bylo by posledovat' ego
primeru, no trup neizvestnogo cheloveka, s kotorogo obychno nachinaetsya
detektiv, - zrelishche sushchestvenno bolee zahvatyvayushchee, chem trup izvestnoj
teorii, s kotorogo dolzhen nachat' fizik.
Drugoj sposob: mozhno poobeshchat' lyubomu vstupayushchemu v nash sobor, chto tam
on najdet udovletvorenie svoemu stremleniyu k chemu-to neizmennomu,
postoyannomu, vechnomu i bessmertnomu. |to fundamental'noe stremlenie,
poskol'ku ono postoyanno figuriruet v proizvedeniyah mistikov, poetov,
filosofov i uchenyh. Lukrecij schital, chto on udovletvoril eto zhelanie,
skazav, chto atomy vechny. |to byla prekrasnaya ideya, no, k neschast'yu, Lukrecij
ponyatiya ne imel o tom, chto takoe atomy. Predstavleniyam drevnih ob atomah
blizhe vsego sootvetstvuyut, po-vidimomu, nashi elementarnye chasticy, no -
kakaya neudacha! - ni odin iz chlenov etogo bespokojnogo i tainstvennogo
semejstva ne yavlyaetsya bessmertnym, pozhaluj, za isklyucheniem protona, no i ego
bessmertie visit na voloske: kak tol'ko gde-nibud' poblizosti poyavitsya
antiproton, on v samoubijstvennom stolknovenii srazu zhe prikonchit soseda.
Nashi predshestvenniki stoletiyami pytalis' najti etot "vechnyj atom", i teper',
dokopavshis' do togo, chto oni schitali granitnoj skaloj, my obnaruzhili, chto
po-prezhnemu stoim na zybuchem peske. Tak budem li my prodolzhat' govorit' o
velichii i prostote nashej kartiny mira? Velichie, pozhaluj, no prostota,
kotoraya byla ochevidna N'yutonu i Laplasu, - prostota ushla vdogonku za "vechnym
atomom" Lukreciya. Ee net, ona utonula v volnah kvantovoj mehaniki. YA
podozrevayu, chto v kazhdoj otrasli fiziki mozhno pokazat' novichku horoshuyu,
pouchitel'nuyu i soblaznitel'nuyu kartinu - tol'ko esli ne pytat'sya kopat'
slishkom gluboko.
Napechatano v zhurnale "Physics Today", 4, No 11 (1951)
(K. DARROU - amerikanskij fizik-teoretik, sotrudnik "Bell telefon
sistem". S 1941 g. v techenie mnogih let zanimal post sekretarya Amerikanskogo
fizicheskogo obshchestva.)
- General osobenno hotel by posmotret',
kak bombardiruyut atomnye yadra.
Amerikanskij fizik nemeckogo proishozhdeniya Dzhems Frank (rodilsya v 1882
godu), laureat Nobelevskoj premii 1925 goda, rasskazal odnazhdy:
- Prisnilsya mne na dnyah pokojnyj Karl Runge*, ya ego i sprashivayu: "Kak
u vas na tom svete? Navernoe, vse fizicheskie zakony izvestny?" -A on
govorit: "Zdes' dayut pravo vybora: mozhesh' znat' libo vse, libo to zhe, chto i
na Zemle. YA vybral vtoroe, a to uzh ochen' skuchno bylo by".
* Runge Karl (1856-1927) - nemeckij matematik.
Davida Gil'berta (1862-1943) sprosili ob odnom iz ego byvshih uchenikov.
- Ah, etot-to? - vspomnil Gil'bert. - On stal poetom. Dlya matematiki u
nego bylo slishkom malo voobrazheniya.
Na odnoj iz svoih lekcij David Gil'bert skazal: - Kazhdyj chelovek imeet
nekotoryj opredelennyj gorizont. Kogda on suzhaetsya i stanovitsya beskonechno
malym on prevrashchaetsya v tochku. Togda chelovek govorit: "|to moya tochka
zreniya".
- Nu, horosho - effekt vy obnaruzhili. A teper' najdite ego prichinu.
Istoriya otkrytiya effekta Messbauera (po G. Lipkinu)
Period |
Data |
Primechanie |
Doistoricheskij |
do 1958 |
Mogli by otkryt', no
Ne otkryli |
|
|
|
|
|
|
Rannij iridievyj vek |
1958 |
Otkryli, no |
|
|
ne zametili |
Srednij iridievyj vek |
1958-1959 |
Zametili, no |
|
|
ne poverili |
Pozdnij iridievyj vek |
1959 |
Poverili, no... |
|
|
ne zainteresovalis' |
ZHeleznyj vek
! |
1959-1960 |
u-u-u-U I ! ! |
-...A eto Uilkins udaril po sejsmografu.
Bez slov.
ISPOVEDX INZHENERA-AKUSTIKA
Marvin Kamras
Kogda ya byl assistentom, ya rabotal kak loshad', a deneg zarabatyval
stol'ko, chto ih edva hvatalo na propitanie. Moj boss vse vremya "ostril" po
povodu moih umstvennyh sposobnostej i poldnya ob®yasnyal mne to, chto i bez nego
bylo sovershenno ponyatno, a potom udivlyalsya i razvodil rukami, chto rabota eshche
ne sdelana. On poruchal mne razrabatyvat' chertezhi neosushchestvimyh konstrukcij,
kotorye pridumyvali vitayushchie v oblakah mysliteli v nashej laboratorii. YA
dolzhen byl za vseh dorabatyvat' i dodelyvat', chtoby zastavit' eti
konstrukcii hot' kak-nibud' rabotat'. Kogda ya prihodil k bossu s
kakim-nibud' ostroumnym resheniem, on otkladyval ego v storonu i govoril, chto
eto ne to, chego by oni hoteli... Inogda ya rabotal nad podobnym proektom po
godu i prihodil k nemu bukval'no s shedevrom. Togda on zayavlyal: "Ochen'
horosho, moj mal'chik, no rukovodstvo reshilo zanyat'sya neskol'ko inoj temoj".
Sledovatel'no, snova k chertezhnomu stolu...
K tomu vremeni, kak ya stal rukovoditelem laboratorii, polozhenie v
institute izmenilos'. Assistenty sovershenno razboltalis' i nichego ne umeli
delat', zato obizhalis' na kazhdoe zamechanie. Polozhim, nuzhno bylo sdelat'
kakuyu-nibud' pustyachnuyu rabotu. YA sam sdelal by ee za paru chasov. No mne
prihodilos' poldnya tratit' na to, chtoby ob®yasnit' moim assistentam, pochemu
eta rabota dolzhna byt' sdelana voobshche, pochemu ee sleduet sdelat' bystree,
chem lyubuyu druguyu, pochemu ee nado sdelat' tak, a ne inache, i pochemu
obyazatel'no k opredelennomu sroku. Kogda zhe eti sroki prohodili, mne
prihodilos' poldnya vyslushivat' bessvyaznye ob®yasneniya, pochemu rabota eshche ne
sdelana* pochemu nichego ne rabotaet (i, vozmozhno, ne budet rabotat') i pochemu
my dolzhny nachat' vse snachala i sdelat' vse "kak nuzhno". No etot "nuzhnyj"
put' okazyvalsya nastol'ko zaputannym, chto obychno trebovalos' ne menee goda,
chtoby razobrat'sya v nem, i eshche ne menee goda, chtoby poluchit' kakie-to
rezul'taty. Na etom etape raboty koe-kak, s pomoshch'yu diplomatii i lesti,
ubezhdeniyami i pros'bami udavalos' zastavit' assistentov svesti koncy s
koncami i spihnut' etu rabotu so svoej shei.
Eshche huzhe obstoyalo delo s moimi administrativnymi obyazannostyami. Menya
zastavlyali pisat' stol'ko otchetov i predlozhenij, chto tol'ko na odno eto ushlo
by vse moe rabochee vremya. No ya eshche dolzhen byl otvechat' na vsyu tekushchuyu
korrespondenciyu, Na vse telefonnye zvonki i prinimat' posetitelej, kotorye
shli ko mne nepreryvnym potokom. YA dolzhen byl nanimat' na rabotu novyh lyudej
i odnovremenno zabotit'sya, chtoby starye ostavalis' eyu dovol'ny.
Predpolagalos' takzhe, chto ya dolzhen zabotit'sya o predstavitel'nosti kompanii
i s etoj cel'yu poseshchat' professional'nye sobraniya, darit' otrabotat' v
komissiyah i ustraivat' seminary.
V konce koncov ya zavel malen'kij, no zato svoj biznes. K sozhaleniyu, mne
ne povezlo s tehnicheskimi ^rukovoditelyami i administratorami. Oni sil'no
izmenilis' k hudshemu. Oni niskol'ko ne stremyatsya k tomu, chtoby chto-to
delalos' ih podchinennymi. Oni organizuyut delo takim obrazom, chto vse na
svete rushitsya, i togda nachinaetsya reorganizaciya. Oni puteshestvuyut, beseduyut,
ustraivayut seminary, poseshchayut sobraniya, uchastvuyut v tehnicheskih komissiyah,
to est' delayut chto ugodno, no tol'ko ne rabotayut na kompaniyu. Umstvennaya
moshchnost', zaklyuchennaya v nih i ih assistentah, kolossal'na, no ona
rashoduetsya ne na sozidanie, a na razrushenie. Esli by Nobelevskaya premiya
prisuzhdalas' za otgovorki, to nasha laboratoriya poluchila by ee davnym-davno.
Teper', obretya gor'kij opyt, ya mechtayu snova stat' assistentom.
Assistentu vse-taki legche zhivetsya. No, k sozhaleniyu, ya uzhe zhenilsya i ne mogu
pozvolit' sebe etu roskosh'.
Napechatano v zhurnale
"W£ Transactions on Audio", 9, No b (1961).
(M.KAMRAS -redaktor akusticheskogo vypuska "Trudov Amerikanskogo
instituta radioinzhenerov".)
* * * *
Velikij fizik Gibbs byl ochen' zamknutym chelovekom i obychno molchal na
zasedaniyah uchenogo soveta universiteta, v kotorom on prepodaval. No na odnom
iz zasedanij etogo soveta, kogda reshalsya vopros o tom, udelyat' li v novyh
uchebnyh programmah bol'she mesta matematike ili inostrannym yazykam, on ne
-vyderzhal i proiznes rech': "Matematika-eto yazyk!" - skazal on.
* * * *
Odin iz osnovopolozhnikov kvantovoj teorii Maks Plank v molodosti prishel
k 70-letnemu professoru Filippu ZHolli i skazal emu, chto reshil zanimat'sya
teoreticheskoj fizikoj
* * * *
Molodoj chelovek,- skazal mastityj uchenyj,- zachem vy hotite isportit'
sebe zhizn', ved' teoreticheskaya fizika uzhe v osnovnom zakonchena... Stoit li
brat'sya za takoe besperspektivnoe delo?!
* * * *
Interesnyj primer togo, kak mozhno ispol'zovat' slova dlya
kolichestvennogo opisaniya rezul'tatov izmerenij, byl rasskazan professorom
CHikagskogo universiteta Gejlom.
Professor rabotal v laboratorii s odnim svoim studentom, i oni ne
znali, pod kakim napryazheniem - 110 ili 220 vol't - nahodilis' klemmy, k
kotorym oni dolzhny byli podklyuchit' svoyu apparaturu. Student sobralsya sbegat'
za vol'tmetrom, no professor posovetoval emu opredelit' napryazhenie na
oshchup'.- No ved' menya prosto dernet, i vse,- vozrazil student. - Da, no esli
tut 110 vol't, to vy otskochite i voskliknete prosto - "O, chert!" - a esli
220, to vyrazhenie budet pokrepche.
Kogda ob etoj istorii ya nedavno rasskazal studentam, odin iz nih
zametil: "Segodnya utrom ya vstretil odnogo malogo, tak on, navernoe, kak raz
pered etim podklyuchalsya k napryazheniyu 440!"
K MATEMATICHESKOJ TEORII OHOTY
G. Petard
Prostoty radi my ogranichimsya rassmotreniem tol'ko ohoty na l'vov (Fells
leo), zhivushchih v pustyne Sahara. Perechislennye nizhe metody s legkost'yu mozhno
modificirovat' i primenyat' k drugim plotoyadnym, obitayushchim v raznyh chastyah
sveta.
§ 1. Matematicheskie metody
1. METOD INVERSIVNOJ GEOMETRII. Pomeshchaem v zadannuyu tochku pustyni
kletku, vhodim v nee i zapiraem iznutri. Proizvodim inversiyu prostranstva po
otnosheniyu k kletke. Teper' lev vnutri kletki, a my - snaruzhi.
2. METOD PROEKTIVNOJ GEOMETRII. Bez ogranicheniya obshchnosti my mozhem
rassmatrivat' pustynyu Sahara kak ploskost'. Proektiruem ploskost' na liniyu,
a liniyu - v tochku, nahodyashchuyusya vnutri kletki. Lev proektiruetsya v tu zhe
tochku,
3. METOD BOLXCANO - VEJERSHTRASSA. Rassekaem pustynyu liniej, prohodyashchej
s severa na yug. Lev nahoditsya libo v vostochnoj chasti pustyni, libo v
zapadnoj. Predpolozhim dlya opredelennosti, chto on nahoditsya v zapadnoj chasti.
Rassekaem ee liniej, idushchej s zapada na vostok. Lev nahoditsya libo v
severnoj chasti, libo v yuzhnoj. Predpolozhim dlya opredelennosti, chto on
nahoditsya v yuzhnoj chasti, rassekaem ee liniej, idushchej s severa na yug.
Prodolzhaem etot process do beskonechnosti, vozdvigaya posle kazhdogo shaga
krepkuyu reshetku vdol' razgranichitel'noj linii. Ploshchad' posledovatel'no
poluchaemyh oblastej stremitsya k nulyu, tak chto lev v konce koncov okazyvaetsya
okruzhennym reshetkoj proizvol'no malogo perimetra.
4. KOMBINIROVANNYJ METOD. Zametim, chto pustynya predstavlyaet soboj
separabel'noe prostranstvo. Ono soderzhit vsyudu plotnoe mnozhestvo tochek, iz
kotorogo my vybiraem posledovatel'nost' tochek, imeyushchih predelom
mestopolozhenie l'va. Zatem po etim tochkam, zahvativ s soboj neobhodimoe
snaryazhenie, kraduchis', podbiraemsya k l'vu.
5. TOPOLOGICHESKIJ METOD.. Zametim, chto svyaznost' tela l'va vo vsyakom
sluchae ne men'she, chem svyaznost' tora. Perevodim pustynyu v chetyrehmernoe
prostranstvo. Soglasno rabote [1], v etom prostranstve mozhno nepreryvnym
obrazom vypolnit' takuyu deformaciyu, chto po vozvrashchenii v trehmernoe
prostranstvo lev okazhetsya zavyazannym v uzel. V takom sostoyanii on
bespomoshchen.
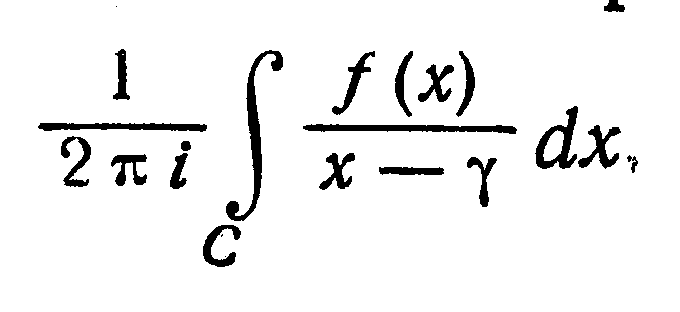
6. METOD KOSHI, ILI FUNKCIONALXNO-TEORETICHESKIJ. Rassmotrim l'va kak
analiticheskuyu funkciyu koordinat f(x) i zapishem integral
gde S - kontur, ogranichivayushchij pustynyu, a u - tochka, v kotoroj
nahoditsya kletka. Posle vychisleniya integrala poluchaetsya /(u), to est' lev v
kletke.
§ 2. Metody teoreticheskoj fiziki
1. METOD DIRAKA. Otmechaem, chto dikie l'vy v pustyne Sahara yavlyayutsya
velichinami nenablyudaemymi. Sledovatel'no, vse nablyudaemye l'vy v pustyne
Sahara - ruchnye. Poimku ruchnogo l'va predostavlyaem chitatelyu v kachestve
samostoyatel'nogo uprazhneniya.
2. METOD SHREDINGERA. V lyubom sluchae sushchestvuet polozhitel'naya, otlichnaya
ot nulya veroyatnost', chto lev sam okazhetsya v kletke. Sidite i zhdite.
3. METOD YADERNOJ Fiziki. Pomestite ruchnogo l'va v kletku i primenite k
nemu i dikomu l'vu obmennyj operator Majorana [2]. Ili predpolozhim, chto my
hoteli pojmat' l'va, a pojmali l'vicu. Pomestim togda poslednyuyu v kletku i
primenim k nej obmennyj operator Gejzenberga, kotoryj obmenivaet spiny.
§ 3. Metody eksperimental'noj fiziki
1. TERMODINAMICHESKIJ METOD. CHerez pustynyu natyanem polupronicaemuyu
membranu, kotoraya propuskaet cherez sebya vse, krome l'va.
2. METOD AKTIVACII. Obluchim pustynyu medlen-nymi nejtronami. Vnutri l'va
budet navedena radioaktivnost', i on nachnet raspadat'sya. Esli podozhdat'
dostatochno dolgo, lev ne smozhet okazat' nikakogo soprotivleniya.
LITERATURA
1. N. S e i f e g t, W. T h g e 1 f a 11, Lehrbuch der Topologie, 1934.
2. N. A. V e t h e, R. F. V a s h e r, Rev. Mod. Phys., 8, 82 (1936).
Napechatano v
"The Journal of Irreproducible Results", 8, No 2 (1959).
(G. PETARD - professor Prinstonskogo universiteta, N'yu-Dzhersi.)
- Nu, kazhetsya, my na poroge velikogo otkrytiya,
Nizhe pomeshchen perevod zametki" napisannoj izvestnymi fizikami i
opublikovannoj v "Natur-wissenschaften". Redaktory zhurnala "popalis' na
udochku gromkih imen" i, ne vdavayas' v sushchestvo napisannogo, napravili
poluchennyj material v nabor, ne razglyadev v nem shutki.
K KVANTOVOJ TEORII ABSOLYUTNOGO NULYA TEMPERATURY
D. Bak, G. Bete, V. Ricler
(Kembridzh)
V dannoj rabote nami byl rassmotren kristall s geksagonal'noj reshetkoj.
Kak izvestno, pri absolyutnom nule temperatury v, sisteme proishodit
vymorazhivanie vseh stepenej svobody, to est' prekrashchayutsya polnost'yu vse
vnutrennie kolebaniya. Odnako dlya elektrona, dvizhushchegosya po borovskoj orbite,
eto, obstoyatel'stvo ne imeet mesta. Kazhdyj takoj elektron, soglasno
|ddingtonu, obladaet 1/a stepenyami svobody, gde a - vvedennaya Zommerfel'dom
postoyannaya tonkoj struktury. Poskol'ku rassmatrivaemyj nami kristall sostoit
takzhe iz protonov, kotorye po teorii Diraka mozhno rassmatrivat' kak dyrki v
elektronnom gaze, to k 1/a stepenyam svobody elektrona sleduet dobavit'
stol'ko zhe stepenej svobody protona. Takim obrazom, chtoby dostich'
absolyutnogo nulya temperatury, my dolzhny otnyat' u nashej nejtral'noj sistemy
(nash kristall dolzhen byt' elektricheski nejtral'nym), sostoyashchej iz odnogo
elektrona i protona (v raschete na odin nejtron), - (2/a - 1) stepenej
svobody (Freiheitsgrade). Edinicu my vychli, chtoby ne uchityvat' vrashchatel'nogo
dvizheniya.
Sledovatel'no, dlya temperatury absolyutnogo nulya nahodim To = -(2/a-1)
gradusov (Grade). Podstaviv syuda To = -273, nahodim, chto a = 1/137. |to
znachenie v predelah oshibok nahoditsya v zamechatel'nom soglasii s ranee
izvestnym znacheniem. Legko pokazat', chto etot rezul'tat ne zavisit ot vybora
struktury kristallicheskoj reshetki. Napechatano v zhurnale
"Naturwissenschaften", 19, No 2 (1931).
(D. BAK - fizik-teoretik, prof. Brazil'skogo fizicheskogo instituta v
Rio-de-ZHanejro.
G. BETE - amerikanskij fizik-teoretik, prof. Kornellskogo universiteta,
laureat premii |nriko Fermi i medali Maksa Planka. Avtor mnogih knig po
teorii yadra, shiroko izvestnyh sovetskomu chitatelyu. V. RICLER - nemeckij
fizik, direktor Instituta yadernoj fiziki v Bonnskom universitete,)
ZEMLYA KAK UPRAVLYAEMYJ KOSMICHESKIJ KORABLX
D. Froman
Rech' na bankete, sostoyavshemsya posle konferencii po fizike plazmy,
organizovannoj Amerikanskim fizicheskim obshchestvom v noyabre 1961 goda v
Kolorado-Springs
Poskol'ku ya ne ochen' horosho razbirayus' v fizike plazmy i termoyadernom
sinteze, ya budu govorit' ne o samih etih yavleniyah, a ob odnom ih
prakticheskom primenenii v blizhajshem budushchem.
Predstavim sebe, chto nam udalos' izobresti kosmicheskij korabl', kotoryj
dvizhetsya za schet togo, chto vybrasyvaet produkty reakcij D-D i D-T. Na takom
korable mozhno startovat' v kosmos, pojmat' tam neskol'ko asteroidov i
otbuksirovat' ih na Zemlyu. (Ideya, pravda, ne nova.) Esli ne ochen'
peregruzhat' raketu, to mozhno bylo by dostavit' na Zemlyu 1000 tonn
asteroidov, zatrativ vsego okolo tonny dejteriya. YA, chestno govorya, ne znayu,
iz kakogo veshchestva sostoyat asteroidy. Odnako vpolne mozhet okazat'sya, chto
napolovinu oni sostoyat iz nikelya. Izvestno, chto 1 funt nikelya stoit 50
centov, a 1 funt dejteriya - okolo 100 dollarov. Takim obrazom, za 1 million
dollarov my mogli by kupit' 5 tonn dejteriya i, izrashodovav ih, dostavit' na
Zemlyu 2500 tonn nikelya stoimost'yu v 2,5 milliona dollarov. Neploho, pravda?
YA uzhe bylo podumyval, a ne organizovat' li mne Amerikanskuyu Kompaniyu po
Dobyche i Dostavke Asteroidov (AKDDA)? Oborudovanie etoj kompanii budet
isklyuchitel'no prostym. Pri dostatochnoj subsidii so storony dyadi Sema mozhno
bylo by osnovat' ves'ma dohodnoe delo. Esli kto-libo iz prisutstvuyushchih s
krupnym schetom v banke pozhelaet vojti v chislo uchreditelej, pust' podojdet ko
mne posle banketa.
A teper' davajte zaglyanem v bolee otdalennoe budushchee. Lichno ya voobshche ne
mogu ponyat', pochemu astronavty mechtayut popast' v mezhzvezdnoe prostranstvo. V
rakete ved' budet strashnaya tesnota. Da i v pitanii im pridetsya sebya sil'no
urezat'. No eto eshche polbedy. Glavnaya nepriyatnost' - chto astronavt v rakete
budet nahodit'sya v tom zhe polozhenii, chto i chelovek, pomeshchennyj protiv puchka
bystryh protonov, vyhodyashchego iz moshchnogo uskoritelya {posmotrite risunok).
Ochen' mne zhal' bednogo astronavta; o ego pechal'noj uchasti ya dazhe sochinil
balladu*:
- Vol'nyj perevod s anglijskogo V. Turchina.
BALLADA OB ASTRONAVTE
Ot beta-invertora I gamma-konvertora Ostalas' obshivka odna.
A ionnaya pushka, Kak pustaya hlopushka, Torchit, ni na chto ne godna.
Vse raspalis' mezony, Vse raspalis' nejtrony, Izluchilsya ves' vidimyj
svet.
Po zakonu Kulona Razbezhalis' protony, Na leptony nadezhdy net.
Povrezhdennyj reaktor Tarahtit, slovno traktor, V biokamere - gnil' i
prel'.
Vot soplo uzh zabilos', I dno prohudilos', I vakuum hleshchet v shchel'...
On letel k Orionu, No potok gravitonov Peresek neozhidanno put'.
Otklonivshis' ot kursa I spustiv vse resursy, Sumel on ot nih
uskol'znut'.
Sdelal kryuk zdorovennyj, Obletel pol-Vselennoj I teper' na pustom
korable
Po poslednej pryamoj Vozvrashchalsya domoj, Priblizhayas' k planete Zemle.
No boryas' s tyagoten'em Sverh-sverh-sverhuskoren'em, On zamedlil strelki
chasov.
I strelki zastyli, Na Zemle zh prohodili Tysyachi tysyach vekov.
Vot rodnye planety... Bozhe! Solnce li eto? -
Temno-krasnyj, chut' teplyj shar...
Nad Zemleyu dymitsya,,
Nad Zemleyu klubitsya Vodorodnyj, holodnyj par.
CHto zhe eto takoe?
Gde zhe plemya lyudskoe? - V neizvestnyh, dalekih mirah.
Vyrastayut ih deti
Uzh na novoj planete, A Zemlya vsya v kosmicheskih l'dah.
Rugayas' i placha
Ot takoj neudachi, Astronavt povernul rychag,
I razdalos' B
I razdalos' A
I razdalos' X -
BAH!
No mne zhal' i teh, kto ostanetsya na Zemle. Ved' nashe Solnce ne vechno.
Ono kogda-nibud' pozhuhnet, pogruziv vse okruzhayushchee v kosmicheskij mrak i
holod. Kak mne rasskazyval Fred (Fred Hojl to est')*, cherez paru milliardov
let na Zemle budet tak holodno, chto ne to chto o komforte, o samoj zhizni na
etoj planete ne mozhet byt' i rechi. A sledovatel'no, imeet yavnyj smysl
kuda-nibud' podat'sya. Mne kazhetsya, chto dlya bol'shinstva iz nas samym udobnym
kosmicheskim korablem vse zhe byla by sama Zemlya. Poetomu esli nam ne
nravitsya, chto nashe svetilo postepenno gasnet, i voobshche esli vse v Solnechnoj
sisteme nam nadoelo, zachem zdes' ostavat'sya? Davajte poletim kuda-nibud'
pryamo na nashej Zemle. Pri etom vse trudnosti, svyazannye s kosmicheskim
poletom, otpadut sami soboj. Ved' problemy zashchity ot radiacii ne sushchestvuet,
na Zemle est' atmosfera, da i skorost' dvizheniya budet nevelika. Bezopasnost'
i priyatnost' takogo puteshestviya ochevidny (posmotrite etot risunok). Odnako
hvatit li nam energii?
* Fred Hojl - izvestnyj anglijskij astrofizik, professor Kembridzhskogo
universiteta, avtor ryada rabot po teoreticheskoj astrofizike, kosmogonii,
teoreticheskoj gravitacii i... neskol'kih nauchno-fantasticheskih romanov.
Prezhde vsego ponadobyatsya teplo i svet: ved' v techenie dolgogo vremeni
my budem udaleny ot Solnca ili kakoj-libo drugoj zvezdy. Dejterij,
soderzhashchijsya v okeanskoj vode, mozhet dat' nam 1038 erg, sledovatel'no, esli
ispol'zovat' ego tol'ko dlya otopleniya i osveshcheniya, to etogo hvatit na tri
milliona let - srok vpolne dostatochnyj. Pravda, zdes' imeetsya nebol'shaya
zagvozdka. Pri nashej skorosti my budem potreblyat' 3 ... 1010 funtov dejteriya v
god, a stoimost' ego 100 dollarov za funt, sledovatel'no, potreblyaemyj
dejterij v 100 raz prevysit godovoj byudzhet sovremennyh vozdushnyh sil. No,
byt' mozhet, udastsya poluchat' dejterij po optovym cenam?
Odnako nam ponadobitsya eshche energiya dlya togo, chtoby otorvat'sya ot
Solnca. Raschet pokazyvaet, chto na eto pojdet 2,4 ... 1040 erg, to est' gorazdo
bol'she, chem mozhet dat' ves' okeanskij dejterij. Poetomu neobhodimo budet
izyskat' drugie istochniki energii. YA polagayu, chto dlya resheniya etoj problemy
nam pridetsya obratit'sya k sintezu al'fa-chasticy iz chetyreh protonov. Pri
ispol'zovanii etoj reakcii vse protony mirovogo okeana dadut nam energiyu
1042 ere, to est' v sorok raz bol'she togo, chto nuzhno, chtoby otorvat'sya ot
Solnca.
V kachestve rabochego tela mozhno ispol'zovat' pesok. Vybrasyvaya 1000
molekul SiCb na kazhduyu sintezirovannuyu al'fa-chasticu, my dlya otryva ot
Solnca dolzhny budem istratit' vsego 4% massy Zemli. Mne kazhetsya, chto my
mozhem sebe eto pozvolit'. Tem bolee chto dlya takoj celi ne zhalko budet
izrashodovat' Lunu: ved' vdali ot Solnca ot nee vse ravno net nikakogo
proku. Pokinuv Solnechnuyu sistemu i skitayas' v kosmicheskom prostranstve, my,
veroyatno, smozhem vremya ot vremeni eshche popolnyat' nashi zapasy massy i energii,
zapravlyayas' na letu za schet vstrechayushchihsya po doroge planet. Na puti
osushchestvleniya etih planov poka stoit odno principial'noe prepyatstvie: my ne
umeem osushchestvlyat' cepnuyu reakciyu 4r->Ne4. Teper' vy vidite, kakaya eto
vazhnaya problema. Nam nuzhno udvoit' svoi usiliya dlya ee resheniya. Vremya ne
terpit: Zemlya provela u Solnca uzhe dve treti otpushchennogo ej sroka.
Uveryayu vas: v kosmose nam budet otlichno. Vozmozhno, nam tak ponravitsya,
chto my dazhe ne zahotim prilepit'sya k novoj zvezde.
Napechatano v zhurnale "Physics Today", 15, No 7 (1962).
(D. FROMAN - do 1962 g. zanimal dolzhnost' tehnicheskogo direktora
Los-alamosskoj laboratorii.)
TIPOLOGIYA V NAUCHNOM ISSLEDOVANII
A. Kon i M. Brejer
Mnogo let tomu nazad Lombrozo i Krechmer rasklassificirovali lyudej po
tipam v zavisimosti ot anatomicheskogo stroeniya i emocional'nyh osobennostej
[1, 2]. Vvidu vse vozrastayushchej roli nauki v sovremennom mire i nepreryvnogo
rosta chisla uchenyh nam predstavlyaetsya poleznym proizvesti klassifikaciyu
poslednih po analogichnoj sheme. Nasha klassifikaciya, odnako, nosit neskol'ko
drugoj harakter. Pri ee sostavlenii my pol'zovalis' bolee sovremennymi i
dostatochno polnymi istochnikami.
OTKRYVATELI. Imenno eti uchenye "vydayut" novye idei. Ih mozg vsegda
gotov vpit'sya v sluchajnuyu dobychu. Horoshaya nauchnaya podgotovka pozvolyaet im
bystro ocenit' vazhnost' nablyudennogo fakta i sformulirovat' ideyu, posle chego
gipoteza gotova (ili rabochaya gipoteza vo vsyakom sluchae). Zatem oni libo
proveryayut ee eksperimental'no sami, libo predstavlyayut drugim pobespokoit'sya
ob etom, poluchaya udovol'stvie ot umozritel'nogo resheniya zadachi,
|KSPLUATATORY. |to issledovateli s bystroj hvatkoj; ushi i glaza ih
postoyanno otkryty. Takogo uchenogo redko mozhno zastat' v sobstvennoj
laboratorii, on predpochitaet provodit' vremya v obsuzhdeniyah s kollegami iz
drugih laboratorij i institutov, osobenno esli eti kollegi rabotayut nad tem,
chto ego samogo interesuet. U nego nikogda net nedostatka v horoshih ideyah,
kotorye, hot' i rodilis' ne v ego golove, prevrashchayutsya, odnako, v interesnye
stat'i, shchedro peresypannye ssylkami na "chastnye soobshcheniya".
CENITELX. Umstvennye sposobnosti takogo cheloveka znachitel'no
prevoshodyat ego vozmozhnosti (i zhelanie) stavit' sobstvennye eksperimenty. On
sposoben ocenit' (i ocenivaet) horoshuyu rabotu, prichem chasto delaet eto
luchshe, chem sam avtor raboty. Kriticheskij um, sochetayushchijsya s vrozhdennym
nepostoyanstvom, - vinoj tomu, chto rezul'taty kazhdoj posleduyushchej serii
izmerenij sushchestvenno otlichayutsya ot vseh predydushchih; eto ne pozvolyaet takomu
uchenomu opublikovat' chto-libo, esli u nego net reshitel'nogo nachal'nika.
ULUCHSHATELX. On napominaet "cenitelya", no obladaet neskol'ko bolee
vysokoj proizvoditel'nost'yu. Ego dostizheniya predstavleny ochen'
nemnogochislennymi, no prevoshodnymi stat'yami, osnovannymi na eksperimentah,
kotorye povtoryalis' stol'ko raz, chto vse neozhidannye ili ne predskazannye
rezul'taty udaetsya otbrosit' s pomoshch'yu izoshchrennoj statisticheskoj obrabotki.
CHELOVEK NA UROVNE. on znaet vse. chto stoit znat'. V otlichie ot
"ekspluatatora" on provodit vse svoe vremya v biblioteke, gde redko komu
udaetsya operedit' ego v poluchenii svezhego nomera zhurnala.
SOAVTOR. |tot tip v sovershenstve poznal iskusstvo nauchnoj diplomatii.
On bez nazhima dobivaetsya vklyucheniya svoego imeni v spiski avtorov bol'shinstva
statej, publikuemyh sotrudnikami otdela, gde on rabotaet, prichem vklad ego
poroj vyrazhaetsya lish' v reshenii voprosa - stoit li upotrebit' soyuz "i" v
nazvanii stat'i. Nekotorye lyudi priderzhivayutsya mneniya, chto "soavtor" -eto
pochti to zhe samoe, chto "sovetchik", a chto takoe sovetchik, znaet kazhdyj, kto
igral v karty ili shahmaty.
SOVETCHIKI. Sovetchikov, kotorye vstrechayutsya chashche vsego v uchrezhdeniyah,
zanimayushchihsya fundamental'nymi issledovaniyami, ne sleduet putat' s
sovetnikami, kotorye, zanimayas' naukoj, dayut rabotayushchim v sootvetstvuyushchej
otrasli promyshlennosti sootvetstvuyushchim lyudyam sovety za sootvetstvuyushchee
voznagrazhdenie.
PRIBORIST .v mire sovremennoj nauki est' issledovaniya, provedenie
kotoryh absolyutno nevozmozhno bez solidnogo nabora priborov. Vozmozhnostyami,
kotorye byli dostupny Arhimedu i N'yutonu, teper' uzhe nikto ne ogranichivaetsya
(krome, mozhet byt', fizikov-teoretikov), i horosho oborudovannaya laboratoriya
tak zhe neobhodima dlya produktivnogo issledovaniya, kak pishushchaya mashinka dlya
napisaniya otcheta nachal'stvu.
Poetomu nekotorye nauchnye rabotniki smyslom svoej zhizni schitayut
poluchenie i (mozhet byt') ispol'zovanie vozmozhno bol'shego chisla predel'no
sovremennyh priborov. Posetit' takuyu laboratoriyu odno udovol'stvie. Prosto
dusha raduetsya pri vide komnat, zabityh ul'trasovremennym oborudovaniem,
kotoroe sverkaet steklom i nikelem, blagogovejnyj strah vnushayut pyshnye
nazvaniya mnogochislennyh ustanovok, kotorye ispol'zuyutsya skoree dlya togo,
chtoby proizvesti vpechatlenie na posetitelej, nezheli dlya kakoj-nibud' drugoj
celi.
PUBLIKATOR. |tim terminom, za neimeniem luchshego, my budem oboznachat'
teh, kto lyubymi mnogochislennymi sposobami v eksponencial'no vozrastayushchem
tempe udlinyaet spisok svoih nauchnyh trudov. Raznovidnost'yu takogo tipa
yavlyaetsya:
Perezhevyvatel® (nazvanie, associiruyushcheesya s osobennostyami
pishchevaritel'nogo processa u nekotoryh mlekopitayushchih). Takoj chelovek
poselyaetsya obychno v kakoj-nibud' slaborazvitoj strane. Publikuet tam svoi
nablyudeniya i nahodki, predvaryaya ih takim vstupleniem: "Vpervye v istorii...
(sleduet nazvanie strany) bylo nablyudeno...", posle chego chestno
vosproizvoditsya perevod na mestnyj yazyk kakoj-nibud' raboty, sdelannoj
drugimi lyud'mi v drugom meste.
Eshche odin predstavitel' togo zhe tipa:
Mul'tiplikator. Individuum, kotoryj raskladyvaet rezul'taty svoej
raboty ili svoih spekulyativnyh rassuzhdenij po vozmozhno bol'shemu chislu
horoshen'kih malen'kih paketikov s yarlychkami "stat'ya", "pis'mo v redakciyu",
"kratkoe soobshchenie" i t. p. i blagopoluchno narashchivaet takim sposobom spisok
svoih rabot.
KORRESPONDENT. Dlya znakomstva s etim tipom uchenyh my otsylaem chitatelya
k poslednim stranicam lyubogo nauchnogo zhurnala, gde pestryat zagolovki:
"Zametki", "Kratkie soobshcheniya", "Predvaritel'nye rezul'taty" ili "Pis'ma v
redakciyu". Tam kazhdyj Korrespondent soobshchaet o chem-to poistine vazhnom, ochen'
pohozhem na bol'shoe otkrytie, kotoroe sleduet opublikovat' kak mozhno bystree,
poka etogo ne sdelal kto-nibud' drugoj... Takie soobshcheniya zakanchivayutsya
slovami: "Podrobnoe opisanie eksperimentov (ili rezul'tatov) budet
opublikovano v takom-to izdanii (ili v blizhajshee vremya)". V 50% sluchaev
obeshchannaya publikaciya tak i ne poyavlyaetsya, poskol'ku rezul'taty povtornyh
eksperimentov otob'yut u avtora k tomu vremeni vsyakij interes k samoj idee.
Privedennyj spisok ni v koej mere ne pretenduet na polnotu. V
literature (v chastnosti, v monografii Bercha) mozhno najti prekrasnoe opisanie
Pereotkryvatelya, Prodolzhatelya, Myslitelya, Rasprostranitelya,
Gromkogovoritelya, Tolkacha, Samozvanca, Dekvalifikatora i mnogih drugih.
Sleduet takzhe pomnit' o sushchestvovanii Sokrushitelej, Nisprovergatelej,
|ntuziastov, Prenebregatelej, Komplikatorov i t. d. My uvereny, chto
chitatel', obladayushchij voobrazheniem, smozhet legko skonstruirovat' obrazy vseh
uchenyh, s kotorymi on lichno znakom.
LITERATURA
1. Lomorozo (ubeditel'naya pros'ba k chitatelyam - najdite
2. Krechmer eti ssylki sami.)
Napechatano v
"The Journal of Irreproducible Results", 7, No2 (1959). (A. KON -
professor Universiteta v N'yu-Dzhersi, chlen redkollegii zhurnala "The Journal
of Irreproducible Results" * M, BREJER - professor Universiteta v
N'yu-Dzhersi.)
Tomson (lord Kel'vin) odnazhdy vynuzhden byl otmenit' svoyu lekciyu i
napisal na doske: "Professor Tomson will not meet his classes today"
(Professor Tomson ne smozhet vstretit'sya segodnya so svoimi uchenikami).
Studenty reshili podshutit' nad professorom i sterli bukvu "s" v slove
"classes". Na sleduyushchij den', uvidev nadpis', Tomson ne rasteryalsya, a,
sterev eshche odnu bukvu v tom zhe slove, molcha ushel .
* Classes - klassy, lasses - lyubovnicy, asses - osly.
V odnom iz nomerov zhurnala "Nevosproizvodimye rezul'taty" ("The Journal
of Irreproducible Results", 9, 1960) predlozhena sleduyushchaya shema raspolozheniya
familij avtorov stat'i, isklyuchayushchaya vozmozhnost' vydeleniya kogo-nibud' odnogo
iz avtorov i naneseniya obidy ostal'nym.
Rezerford demonstriroval slushatelyam raspad radiya. |kran to svetilsya, to
temnel.
- Teper' vy vidite, - skazal Rezerford, - chto nichego ne vidno. A
pochemu nichego ne vidno, vy sejchas uvidite.
PERECHENX TIPOVYH |KZAMENACIONNYH VOPROSOV DLYA ASPIRANTOV-FIZIKOV
G. Dzh. Lipkin
1. MEHANIKA.CHastica dvizhetsya v potencial'nom pole V(r) = e~r/r12.
a) Pokazhite, chto reshenie etoj zadachi ne imeet nikakogo otnosheniya k
energii svyazi dejtrona.
b) Poyasnite asimptoticheskoe povedenie resheniya pri 12 ->oo.
2. |LEMENTARNYE CHASTICY. Perechislite vse do sih por ne otkrytye
elementarnye chasticy, ukazav ih massu, zaryad, spin, izotopicheskij spin,
strannost' i prichiny, po kotorym oni do sih por ne obnaruzheny.
3. KVANTOVAYA TEORIYA.Napishite uravnenie SHre-dingera, opisyvayushchee
studenta, izuchayushchego fiziku elementarnyh chastic. Poluchite vyrazhenie dlya
operatora "Sdal - Ne sdal", kotoryj imeet sobstvennoe znachenie +1, esli
student sdaet sessiyu, i -1, esli provalivaetsya. Pokazhite, chto sostoyanie
studenta v konce semestra vsegda yavlyaetsya sobstvennym sostoyaniem etogo
operatora.
4. SVOJSTVA SIMMETRII. Issledujte svojstva uravneniya Diraka po
otnosheniyu k vrashcheniyu:
a) kogda vrashchaetsya doska, na kotoroj uravnenie napisano;
b) kogda vrashchaetsya fizik, issleduyushchij eto uravnenie.
5. YADERNYE REAKCII. Moneta vstupaet vo vzaimodejstvie s avtomatom,
torguyushchim koka-koloj. Opredelite otnositel'nye veroyatnosti sleduyushchih
reakcij:
a) zahvata (vo vhodnom kanale - nikel' *, v vyhodnom - nichego),
b) uprugoe rasseyanie (p, p) (vo vhodnom kanale nikel' i v vyhodnom -
nikel'),
v) reakciya (p, 2p) (vo vhodnom kanale nikel', v vyhodnom - dva nikelya),
g) reakciya (p, r) (vo vhodnom kanale nikel', v vyhodnom - pugovica),
d) reakciya (p, s) (na vhode - nikel', na vyhode - koka-kola).
6. RELYATIVISTSKAYA KVANTOVAYA TEORIYA POLYA.
Rozhdaetsya para bliznecov - Bingl i Dingl. Srazu zhe posle rozhdeniya Dingl
posylaetsya v rakete po napravleniyu k odnoj iz zvezd so skorost'yu 0,999 s, a
zatem vozvrashchaetsya. Opredelite otnositel'nyj vozrast Bingla i Dingla v
moment vozvrashcheniya, prinyav vo vnimanie vozmozhnost' sleduyushchego processa: v
naibolee udalennoj tochke svoej traektorii Dingl ispuskaet virtual'nyj
pi-mezon, kotoryj rozhdaet paru Vingl - Anti-Vingl. Anti-Vingl vozvrashchaetsya
na Zemlyu, gde annigiliruet s Binglom, a Dingl i Bingl schastlivo dozhivayut
svoj vek u dalekoj zvezdy.
7. TEHNIKA |KSPERIMENTA. Opishite samyj dorogoj sposob opredeleniya
postoyannoj Planka.
8. DISPERSIONNYE SOOTNOSHENIYA. Dajte ob®yasnenie yavleniyu mnozhestvennogo
rozhdeniya strannyh statej po yadernoj fizike, kotorye nablyudayutsya v
nefizicheskoj chasti "Physical Review".
Pokazhite, chto princip prichinnosti pozvolyaet polnost'yu predskazat'
rezul'taty lyubogo eksperimenta, prichem horoshee soglasie nablyudaetsya do teh
por, poka kto-nibud' etot eksperiment ne postavit.
* Nikel' - moneta v 5 centov.
Napechatano v
"The Journal of frreproducible Results", 7, No 2 (1959).
Bez slov.
* * * *
|jnshtejn byl v gostyah u svoih znakomyh. Nachalsya dozhd'. Kogda |jnshtejn
sobralsya uhodit', emu stali predlagat' vzyat' shlyapu.
- Zachem? - skazal |jnshtejn. - YA znal, chto budet dozhd', i imenno
poetomu ne nadel shlyapu. Ved' ona sohnet dol'she, chem moi volosy. |to zhe
ochevidno.
* * * *
Odnazhdy vecherom Rezerford zashel v laboratoriyu. Hotya vremya bylo pozdnee,
v laboratorii sklonilsya nad priborami odin iz ego mnogochislennyh uchenikov.
- CHto vy delaete tak pozdno? - sprosil Rezerford.
- Rabotayu, - posledoval otvet.
- A chto vy delaete dnem?
- Rabotayu, razumeetsya, - otvechal uchenik.
- I rano utrom tozhe rabotaete?
- Da, professor, i utrom rabotayu, - podtverdil uchenik, rasschityvaya na
pohvalu iz ust znamenitogo uchenogo. Rezerford pomrachnel i razdrazhenno
sprosil:
- Poslushajte, a kogda zhe vy dumaete?
* * * *
Poleznye sovety
V RAZDELE:
Instrukciya dlya chitatelya nauchnyh statej * L. Solimar. Kak pisat' nauchnye
stat'i ... D. Uilkin-son. Kak pol'zovat'sya diapozitivami ... Karl Darrou. Kak
vystupat' na zasedanii Amerikanskogo fizicheskogo obshchestva * U. B. Vin. Kak
ne slushat' oratora * D. Grej. Otchety, kotorye ya chital... i, vozmozhno, pisal
? O standartizacii statej *
INSTRUKCIYA DLYA CHITATELYA NAUCHNYH STATEJ
Vo vseh osnovnyh razdelah sovremennoj nauchnoj raboty - vo vvedenii,
izlozhenii eksperimental'nyh rezul'tatov i t. d. - vstrechayutsya tradicionnye,
obshcheupotrebitel'nye vyrazheniya. Nizhe my raskryvaem ih tajnyj smysl (v
skobkah).
Vvedenie
"Horosho izvestno, chto..." (YA ne udosuzhilsya najti ssylku na rabotu, v
kotoroj ob etom bylo skazano pervyj raz.)
"Imeet ogromnoe teoreticheskoe i prakticheskoe znachenie". (Mne lichno eto
kazhetsya interesnym.)
"Poskol'ku ne udalos' otvetit' srazu na vse eti voprosy..."
(|ksperiment provalilsya, no pechatnuyu rabotu ya vse zhe sdelayu.)
"Byl razvit novyj podhod..." (Bendzhamen F. Mejssner ispol'zoval etot
podhod po men'shej mere 30 let tomu nazad.)
"Snachala izlozhim teoriyu..." (Vse vykladki, kotorye ya uspel sdelat'
vchera vecherom.)
"Ochevidno..." (YA etogo ne proveryal, no...)
"|ta rabota byla vypolnena chetyre goda tomu nazad..." (Novogo materiala
dlya doklada u menya ne bylo" a poehat' na konferenciyu ochen' hotelos'.)
Opisanie eksperimental'noj metodiki
"Pri sozdanii etoj ustanovki my rasschityvali poluchit' sleduyushchie
harakteristiki..." (Takie harakteristiki poluchilis' sluchajno, kogda nam
udalos', nakonec, zastavit' ustanovku nachat' rabotat'.)
"Postavlennoj celi my dobilis'..." (S serijnymi obrazcami vyshli
koe-kakie nepriyatnosti, no eksperimental'nyj prototip rabotaet prekrasno.)
"Byl vybran splav vismuta so svincom, poskol'ku imenno dlya nego
ozhidaemyj effekt dolzhen byl proyavit'sya naibolee otchetlivo". (Drugogo splava
u nas voobshche ne bylo.)
"...pryamym metodom..." (S pomoshch'yu gruboj sily.)
"Dlya detal'nogo issledovaniya my vybrali tri obrazca". (Rezul'taty,
poluchennye na ostal'nyh dvadcati obrazcah, ne lezli ni v kakie vorota.)
"...byl sluchajno slegka povrezhden vo vremya raboty..." (Uronili na pol.)
".. .obrashchalis' s isklyuchitel'noj ostorozhnost'yu..." (Ne uronili na pol.)
"Avtomaticheskoe ustrojstvo..." (Imeet vyklyuchatel'.)
"...shema na tranzistorah..." (Est' poluprovodnikovyj diod.)
"...poluportativnyj..." (Snabzhen ruchkoj.)
"...portativnyj..." (Snabzhen dvumya ruchkami.)
Izlozhenie rezul'tatov
"Tipichnye rezul'taty privedeny na..." (Privedeny luchshie rezul'taty.)
"Hotya pri reproducirovanii detali byli iskazheny, na ishodnoj
mikrofotografii yasno vidno..." (Na ishodnoj mikrofotografii vidno to zhe
samoe.)
"Parametry ustanovki byli sushchestvenno uluchsheny..." (Po sravneniyu s
parshivoj proshlogodnej model'yu)
"YAsno, chto potrebuetsya bol'shaya dopolnitel'naya rabota, prezhde chem my
pojmem..." (YA etogo ne poni-mayu.)
"Soglasie teoreticheskoj krivoj s eksperimentom:
Blestyashchee... (Razumnoe...) Horoshee... (Plohoe...) Udovletvoritel'noe...
(Somnitel'noe...) Razumnoe... (Vymyshlennoe...) Udovletvoritel'noe, esli
prinyat' vo vnimanie priblizheniya, sdelannye pri analize..." (Soglasie voobshche
otsutstvuet.)
"|ti rezul'taty budut opublikovany pozdnee..." (Libo budut, libo net.)
"Naibolee nadezhnye rezul'taty byli polucheny Dzhonsom..." (|to moj
diplomnik.)
Obsuzhdenie rezul'tatov
"Na etot schet sushchestvuet edinodushnoe mnenie..." (YA znayu eshche dvuh rebyat"
kotorye priderzhivayutsya togo zhe mneniya.)
"Mozhno posporit' s tem, chto..." (YA sam pridumal eto vozrazhenie, potomu
chto na nego u menya est' horoshij otvet.)
"Spravedlivo po poryadku velichiny..." (Nespravedlivo...)
"Mozhno nadeyat'sya, chto eta rabota stimuliruet dal'nejshij progress v
rassmatrivaemoj oblasti..." (|ta rabota nichego osobennogo soboj ne
predstavlyaet, no to zhe samoe mozhno skazat' i obo vseh ostal'nyh rabotah,
napisannyh na etu zhalkuyu temu.)
"Nashe issledovanie pokazalo perspektivnost' etogo podhoda..." (Nichego
poka ne poluchilos', no my hotim, chtoby pravitel'stvo otpustilo nuzhnye
sredstva.)
BLAGODARNOSTI
"YA blagodaren Dzhonu Smitu za pomoshch' v eksperimentah i Dzhonu Braunu za
cennoe obsuzhdenie". (Smit poluchil vse rezul'taty, a Braun ob®yasnil, chto oni
znachat.)
YA zhe tebe govoril - on nikuda ne godnyj uchenyj, no velikij organizator,
- Prover'-ka, CHarli, ne zabyli li oni polozhit' mne sahar v kofe.
* * * *
V nachale nauchnoj kar'ery |jnshtejna odin zhurnalist sprosil gospozhu
|jnshtejn, chto ona dumaet o svoem muzhe.
- Moj muzh genij! - skazala gospozha |jnshtejn. - On umeet delat'
absolyutno vse, krome deneg.
* * * *
Mnogie ukazyvali, chto process prevrashcheniya gipotezy v nauchnoe otkrytie
ochen' horosho illyustriruetsya na primere otkrytiya Ameriki Kolumbom. Kolumb byl
oderzhim ideej, chto Zemlya kruglaya i chto mozhno dostich' Vostochnoj Indii, plyvya
na Zapad.
Obratite vnimanie na sleduyushchee:
a) ideya nikoim obrazom ne byla original'noj, no on poluchil novuyu
informaciyu;
b) on vstretilsya s ogromnymi trudnostyami kak v poiske lic, kotorye
mogli by ego subsidirovat', tak i neposredstvenno v processe provedeniya
eksperimenta;
v) on ne nashel novogo puti v Indiyu, no zato nashel novuyu chast' sveta;
g) nesmotrya na vse dokazatel'stva protivnogo, on vse zhe veril, chto
otkryl dorogu na Vostok;
d) pri zhizni on ne dozhdalsya ni osobogo pocheta, ni sushchestvennogo
voznagrazhdeniya;
e) s teh por byli najdeny neoproverzhimye dokazatel'stva, chto Kolumb byl
ne pervym evropejcem, dostigshim Ameriki.
* * * *
Na stole u Nernsta stoyala probirka s organicheskim soedineniem
difenilmetanom, temperatura plavleniya kotorogo 26°S. Esli v 11 utra preparat
tayal, Nernst govoril:
- Protiv prirody ne popresh'! I uvodil studentov zanimat'sya greblej i
plavaniem.
KAK PISATX NAUCHNYE STATXI
L. Solimar
V vedenie
Vopros o podgotovke nauchnyh statej k publikacii neodnokratno
rassmatrivalsya s raznyh tochek zreniya, no vse zhe mnogie ego storony do sih
por ostavalis' bez vnimaniya. Vyzyvaet udivlenie takzhe tot fakt, chto bol'shie
uspehi, dostignutye za poslednee desyatiletie v provedenii nauchnyh
issledovanij, pochti ne priblizili nas k okonchatel'nomu resheniyu etogo
voprosa. Na temu o tom, kak pisat' stat'i, napisano mnozhestvo knig i broshyur,
no vse oni posvyashcheny libo rasplyvchatym rekomendaciyam obshchego haraktera
("pishite ponyatno", "poyasnyajte svoi mysli", "ne otklonyajtes' ot temy" i t.
d.), libo sovetam po tehnicheskomu oformleniyu ("s odnogo kraya stranicy dolzhny
byt' ostavleny polya", "podpisi pod risunkami dolzhny byt' otpechatany na
mashinke", "razmer illyustracij ne dolzhen prevyshat' 10sm X 15 sm" i t. d.). Ne
otricaya ser'eznosti i vazhnosti etih sovetov, ya vse zhe polagayu, chto oni
zatragivayut lish' ogranichennyj krug vtorostepennyh voprosov. V etoj zametke ya
ne sobirayus' izlagat' novye idei, a prosto hochu podelit'sya svoim opytom v
sostavlenii tehnicheskih statej i cennymi zamechaniyami, kotorye ya v svoe vremya
poluchal ot druzej i znakomyh.
Nekotorye soobrazheniya o motivah, pobuzhdayushchih k napisaniyu stat'i
Celyj ryad prichin (ot obychnoj grafomanii do stremleniya uluchshit' svoe
obshchestvennoe polozhenie) pobuzhdaet cheloveka pisat' i publikovat' svoi nauchnye
raboty. YA ne budu vdavat'sya v podrobnosti i ogranichus' rassmotreniem lish'
chetyreh glavnyh motivov: 1) beskorystnoe stremlenie k rasprostraneniyu
znanij; 2) zabota o sobstvennom prioritete; 3) bespokojstvo za svoyu
professional'nuyu reputaciyu; 4) stremlenie prodvinut'sya po sluzhbe.
Pod vliyaniem pervoj prichiny pishut glavnym obrazom molodye lyudi, i to,
po-vidimomu, lish' pri podgotovke svoego pervogo nauchnogo truda. CHislo takih
avtorov neveliko, i dlya bol'shinstva iz nih pervaya stat'ya byvaet, poslednej.
Sledovatel'no, pervuyu prichinu nel'zya stavit' v odin ryad s drugimi bolee
sil'nymi motivami, hotya zabyvat' o nej vse zhe ne sleduet.
Vtoraya prichina - prioritet - dvizhet lish' ne bol'shoj gruppoj avtorov,
hotya po vazhnosti ona namnogo prevoshodit lyubuyu druguyu prichinu. ZHelanie
svyazat' svoe imya s kakim-nibud' otkrytiem uzhe davno yavlyaetsya otlichitel'noj
chertoj nauchnyh rabotnikov. S teh por, kak publikaciya stala sluzhit'
dokazatel'stvom otkrytiya, sushchestvuet stremlenie kovat' svoi stat'i i kak
mozhno bystree. Odnako avtor ne dolzhen zabyvat' o vozmozhnosti dal'nejshego
ispol'zovaniya svoego otkrytiya. Esli on opublikuet poluchennye im dannye, to
kto-to smozhet dovesti eti zamysly do konca i lishit' avtora vozmozhnosti
pozhinat' plody svoih trudov. Ideal'noe reshenie voprosa - eto garantirovat'
prioritet, zayaviv ob otkrytii, a podrobnuyu publikaciyu zaderzhat' do polnoj
ocenki ego potencial'nyh vozmozhnostej. Kak izvestno, pervym uchenym,
primenivshim etot sposob, byl Galileo Galilej, kotoryj poslal opisanie svoih
astronomicheskih otkrytij Kepleru v vide anagrammy, a rasshifroval ee
soderzhanie tol'ko cherez god. Tak kak sovremennye nauchnye zhurnaly, k
sozhaleniyu, obychno ne publikuyut anagramm, to tepereshnie pervootkryvateli (ili
izobretateli) dolzhny dejstvovat' drugim putem. YA rekomendoval by nachinat'
stat'i intriguyushchim zagolovkom, ibo chem bol'shee vpechatlenie proizvodit
zaglavie, tem men'she svedenij mozhno budet soobshchit' v samoj stat'e. Naprimer,
zagolovok "Usilitel' s nagruzhennoj otricatel'noj induktivnost'yu" srazu
ubedit kazhdogo, chto otkryt novyj vazhnyj princip. Avtora prostyat, esli on ne
privel opredelennyh dannyh po sushchestvu voprosa, a tol'ko v obshchih chertah
soobshchil ob otkrytii.
Eshche odnim dovodom v pol'zu tumannyh zaglavij yavlyaetsya nash moral'nyj
dolg pered potomkami. CHerez neskol'ko pokolenij u nacii mozhet poyavit'sya
zhelanie utverdit' slavu svoih predkov. Mozhet byt', ona pozhelaet dokazat',
chto grazhdanam imenno etoj stranu prinadlezhit prioritet vseh, dazhe samyh
neznachitel'nyh, otkrytij i izobretenij. Esli my ne napustim dostatochno
tumana sejchas, to tem samym zatrudnim etu budushchuyu rabotu nashih potomkov.
Tret'ya prichina - zabota o professional'noj reputacii. Vysokoj
professional'noj reputacii mozhno dostich' razlichnymi sposobami. Dostatochno,
naprimer, sdelat' vydayushcheesya izobretenie ili, eshche luchshe, poluchit'
Nobelevskuyu premiyu, i vasha kompetentnost' v dannom voprose budet vne vsyakogo
somneniya. Odnako dlya podavlyayushchego bol'shinstva nauchnyh rabotnikov
edinstvennym dostupnym sposobom yavlyaetsya napisanie bol'shogo kolichestva
statej, kazhdaya iz kotoryh vnosit v nauku hotya by nebol'shoj vklad.
Celesoobrazno pri etom neskol'ko pervyh statej ogranichit' uzkoj temoj
(naprimer, "Soedineniya v volnovodah"), chtoby zavoevat' priznanie. Odnako
pozdnee avtor dolzhen zasvidetel'stvovat' svoyu mnogostoronnost', napisav
neskol'ko rabot, ohvatyvayushchih bolee shirokuyu temu (naprimer,
"Sverhvysokochastotnye kolebaniya"). Posle opublikovaniya treh desyatkov statej
izvestnost' avtora vyjdet na nasyshchenie i uzhe ne budet vozrastat' pri
dal'nejshem uvelichenii chisla pechatnyh rabot. Tut nastupaet samyj podhodyashchij
moment, chtoby vnezapno prekratit' pechatat'sya (neskol'ko obzornyh statej ne v
schet) i popytat'sya zanyat' prilichnuyu rukovodyashchuyu dolzhnost'.
CHetvertaya prichina - stremlenie prodvinut'sya po sluzhbe - tesno svyazana s
neobhodimost'yu sniskat' izvestnost' v kachestve specialista, a eto mozhno
priobresti putem publikacii nauchnyh statej. Esli by eta prostaya zavisimost'
dejstvovala vsegda, to o stremlenii zanyat' vysokuyu dolzhnost' kak ob osoboj
prichine ne stoilo by i upominat'. Odnako sushchestvuet mnenie, kotorogo
priderzhivayutsya mnogie, chto priobretenie vysokoj professional'noj reputacii v
kachestve promezhutochnoj stupeni ne yavlyaetsya neobhodimym. Predpolagaetsya, chto
obshchestvennoe polozhenie mozhno povysit' putem publikacii bol'shogo chisla
statej, nauchnaya cennost' kazhdoj iz kotoryh ravna nulyu ili dazhe otricatel'noj
velichine, i podcherkivaetsya, chto pri etom sushchestvenno tol'ko obshchee kolichestvo
statej. Hotya u menya net dostovernyh statisticheskih dokazatel'stv, sposobnyh
oprovergnut' eti utverzhdeniya, ya schitayu, chto dlitel'noe poluchenie vygod takim
sposobom vse zhe somnitel'no. Poetomu ya sklonen rekomendovat' etot sposob
tol'ko v kachestve avarijnoj mery na tot sluchaj, kogda vas vremenno pokinet
tvorcheskoe vdohnovenie.
Sovety po oformleniyu rukopisej
Do sih por ya rassmatrival lish' te prichiny, po kotorym pishutsya nauchnye
raboty. Teper' mne hotelos' by Kosnut'sya polozheniya molodogo avtora (ne
imeyushchego mogushchestvennyh soavtorov), stat'e kotorogo predstoit projti skvoz'
stroj recenzentov.
Kak obespechit' priem stat'i k opublikovaniyu? Obychno recenzenty
podbirayutsya iz chisla vedushchih uchenyh, chtoby otfil'trovat' iz obshchego potoka
rukopisej te, kotorye stoit napechatat' (posle redaktirovaniya). K neschast'yu,
u vedushchih uchenyh, kak pravilo, vremeni malo, a obyazannostej mnogo, i
vdobavok oni nesut bremya administrativnyh zabot. Oni ne mogut udelit'
osnovnuyu chast' svoego posleobedennogo vremeni chteniyu kakoj-to odnoj stat'i,
i tem ne menee imenno oni dolzhny sdelat' kriticheskie zamechaniya.
Nachinayushchemu avtoru sleduet uchityvat' eto obstoyatel'stvo i, chtoby potom
ne teryat' zrya vremeni na zhaloby, nuzhno pisat' svoyu stat'yu tak, chtoby ona s
samogo nachala udovletvoryala trebovaniyam recenzenta, ostrye glaza kotorogo
obnaruzhat malejshuyu anomaliyu. Esli stat'ya slishkom dlinnaya, avtora obvinyat v
mnogoslovii, esli stat'ya slishkom kratkaya, emu posovetuyut sobrat'
dopolnitel'nyj material. Esli on dokladyvaet o chisto eksperimental'noj
rabote, to budet podvergnuto kritike "obosnovanie", esli on predlagaet na
obsuzhdenie elementarnuyu teoriyu, ego nazovut "poverhnostnym". Esli on
privodit slishkom bol'shoj spisok ispol'zovannoj literatury, ego otnesut k
"neoriginal'nym", esli on voobshche ni na kogo ne ssylaetsya, na nem postavyat
klejmo "samonadeyannogo". Poetomu ya predlagayu kompromiss. Stat'ya dolzhna imet'
ob®em ot 8 do 12 stranic, otpechatannyh na mashinke (cherez dva intervala i s
pravil'no ostavlennymi polyami, konechno), i okolo odnoj treti ee sleduet
zanyat' matematicheskimi formulami. V formulah ne sleduet skupit'sya na
integraly i special'nye funkcii. Kolichestvo ssylok na literaturu dolzhno
kolebat'sya mezhdu shest'yu i dvenadcat'yu, prichem polovina iz nih dolzhna
otnosit'sya k izvestnym trudam (recenzent slyhal o nih), a ostavshayasya
polovina - k neizvestnym (recenzent o nih ne slyhal).
Sleduya privedennym vyshe sovetam, avtor mozhet byt' uveren, chto stat'ya
projdet nezavisimo ot ee soderzhaniya. Beglyj prosmotr takoj stat'i vyzovet
blagosklonnost' recenzenta. Dalee vse zavisit ot ego reakcii v techenie
sleduyushchih tridcati minut. Esli za eto vremya on smozhet bystro sdelat'
kriticheskie zamechaniya po trem nesushchestvennym oshibkam, stat'ya budet prinyata.
Esli recenzent ne najdet ochevidnyh punktov, zasluzhivayushchih kritiki, ego
protivodejstvie tol'ko ukrepitsya. On voz'met pervoe popavsheesya na glaza
predpolozhenie (prichem imenno to, kotoroe yavlyaetsya neuyazvimym), ob®yavit ego
neobosnovannym i posovetuet vozvratit' stat'yu dlya dorabotki.
Takim obrazom, glavnaya zadacha avtora - dat' recenzentu material dlya
treh nesushchestvennyh zamechanij. Nizhe my privodim neskol'ko rekomendacij dlya
oblegcheniya vybora takogo materiala.
1) Podberite neudachnoe nazvanie (vse recenzenty lyubyat predlagat' svoi
zaglaviya).
2) "Zabud'te" opredelit' odno iz oboznachenij v pervom zhe uravnenii.
3) Sdelajte orfograficheskuyu oshibku v slove (tol'ko v odnom!), kotoroe
chasto pishut s oshibkoj.
4) Otklonites' ot obychnyh oboznachenij (rech' idet tol'ko ob odnom
parametre).
5) Pishite ehrh: i eh vperemezhku. (e v stepeni h)
Trebovaniya k preuspevayushchemu avtoru (opublikovavshemu po men'shej mere
desyatok rabot) znachitel'no slabee. On mozhet pisat' krasochnye vvedeniya,
pomestit' neskol'ko ostrot v osnovnom tekste, mozhet priznat'sya, chto on ne
vpolne ponimaet rezul'taty svoih issledovanij i t. d.
Nadeyus', chto privedennye mnoj zamechaniya budut sodejstvovat' luchshemu
ponimanij) sushchnosti raboty po sostavleniyu nauchnoj stat'i i v to zhe vremya!
posluzhat rukovodstvom dlya nachinayushchih avtorov.
Napechatano v zhurnale
"Proceedings of the IEEE", 51, No 4 (1963).
(Lc SOLIMAR -* anglijskij inzhener, rabotayushchij v Harlou.)
Izvestnyj fizik Leo Scillard delal svoj pervyj doklad na anglijskom
yazyke. Posle doklada k nemu podoshel fizik Dzhekson i sprosil:
- Poslushajte, Scillard, na kakom, sobstvenno, yazyke vy delali doklad?
Scillard smutilsya, no tut zhe nashelsya i otvetil:
- Razumeetsya, na vengerskom, razve vy etogo ne ponyali?
- Konechno, ponyal. No zachem zhe vy natolkali v nego stol'ko anglijskih
slov? - otpariroval Dzhekson"
- On dolzhen byt' gde-to tam,
on pomogal mne montirovat'
vsyu etu shtuku.
KAK POLXZOVATXSYA DIAPOZITIVAMI
D. G. Uilkinson
Rech' na bankete, posvyashchennom zakrytiyu
Mezhdunarodnoj konferencii po strukture
yadra, Kingston, 1960
Menya poprosili skazat' neskol'ko slov po vazhnomu voprosu - kak
pol'zovat'sya diapozitivami. Trudno srazu posvyatit' diletantov vo vse
tonkosti etogo iskusstva. Poetomu ya nameren kosnut'sya lish' samyh
elementarnyh i osnovnyh principov, na bol'shee rasschityvat' trudno. YA hochu
podcherknut', chto moe nastoyashchee soobshchenie yavlyaetsya lish' otryvkom iz obshchih
"Pravil konferencmena" i posvyashcheno tol'ko odnoj i daleko ne samoj vazhnoj iz
tem, ohvachennyh upomyanutym kodeksom, 8 stol' kratkom vystuplenii nel'zya
ohvatit' vsyu etu obshirnuyu oblast', i ya lishen vozmozhnosti kosnut'sya,
naprimer, takih voprosov! "Kak upomyanuta o svoih sotrudnikah, dav v to zhe
vremya ponyat', chto oni etogo ne zasluzhivayut", ili "Kak oporochit' teoriyu i
eksperimental'nuyu metodiku svoego sopernika, ne razbirayas' da v tom, ni v
drugom".
Vopros ob ispol'zovanii diapozitivov raspadaetsya na tri podvoprosa. O
tret'em - "Kak unizit'
svoego opponenta", mne govorit' ne razreshili. Ostayutsya dva: "Kak
izvesti operatora proekcionnogo fonarya" i "Kak zavoevat' auditoriyu".
V pervom sluchae konechnoj cel'yu konferencmena yavlyaetsya dovedenie
operatora po vozmozhnosti do nervnogo pripadka. Vazhno ustanovit' moment,
kogda vy v etom preuspeli, i obratit' vse vnimanie na slushatelej, to est' na
glavnyj ob®ekt. Trudnost' zaklyuchaetsya v .tom, chto operatora, kak pravilo, vy
ne vidite, i nelegko ustanovit', chto on uzhe "gotov". No ya schitayu, chto obychno
vpolne dostatochno dovesti process do toj stadii, kogda ego zaikanie stanet
slyshno v zale, chto okazyvaet na auditoriyu poleznoe nerviruyushchee dejstvie.
Takoe sostoyanie yavlyaetsya samopodderzhivayushchimsya, i posle etogo operatora mozhno
predostavit' samomu sebe.
Takie primitivnye i grubye sposoby, kak ispol'zovanie plenok
nestandartnoj shiriny i pyatiugol'nyh plastinok, mozhno porekomendovat' lish'
samym zelenym novichkam. Udovletvoritel'nym i bolee kvalificirovannym nachalom
yavlyaetsya metod "3-2-1". Zdes' ispol'zuetsya tot fakt, chto operator vsegda
zaryazhaet v apparat dva pervyh diapozitiva, poka predsedatel' ob®yavlyaet temu
doklada, chtoby vklyuchit' apparat srazu posle togo, kak dokladchik skazhet:
"Pervyj diapozitiv, pozhalujsta", a pri neobhodimosti mgnovenno pokazat' i
vtoroj. Vmesto etogo vy govorite: "Tretij snimok, pozhalujsta". (|lementarnoe
zamechanie: vsled za etim nuzhno bystro potrebovat' vtoroj snimok i lish' potom
pervyj.)
Vtoroj metod, kotoryj luchshe vsego ispol'zovat' v sochetanii s pervym, -
eto "Bluzhdayushchaya belaya metka". Vse snimki obychno pomecheny v odnom uglu belym
pyatnyshkom, na kotoroe operator dolzhen polozhit' bol'shoj palec pravoj ruki,
chtoby obespechit' pravil'noe polozhenie plastinki v ramke. Tak vot, nuzhno
stavit' eto pyatnyshko ne v tom uglu, i vse okazhetsya perevernutym vverh
nogami. Primenennyj vmeste s metodom "3-2-1", etot sposob dejstvuet
oshelomlyayushche. On, konechno, dovol'no grub, no ego mozhno razvit', imeya v vidu
kak operatora, tak i auditoriyu. Vy proyavlyaete legkoe zameshatel'stvo, a
zatem, prosvetlev, obrashchaetes' k operatoru: "O, proshu proshchen'ya, eti
plastinki pomecheny neobychnym obrazom. Vy znaete, obychno ya beru s soboj
lichnogo operatora". Zatem posle nekotorogo razdum'ya: "On levsha" i, nakonec:
"No ne volnujtes', tak pomecheno lish' neskol'ko pervyh snimkov".
Srazu za etim dolzhen sledovat' "Diapozitiv s nesohranyayushchejsya
chetkost'yu", kotoryj proeciruetsya nepravil'no, kak by vy ego ni vorochali v
ramke. Sushchestvuet mnogo sposobov izgotovit' takoj diapozitiv. Prostejshij, no
izyskannyj: vse bukvy nado chertit' pravil'no, a slova pisat' sprava nalevo.
Obrashchajtes' k operatoru pochashche. Horosho, esli pri etom budet ne sovsem
yasno, k komu vy, sobstvenno, adresuetes' - k nemu ili k slushatelyam. Absurdno
uslozhnennyh instrukcij izbegajte. Govorite prosto: "CHerez dva snimka ya snova
hochu posmotret' na chetvertyj ot konca iz teh, chto uzhe byli pokazany". A
posle ocherednogo kadra dobav'te: "YA, konechno, imel v vidu tot snimok,
kotoryj budet chetvertym ot konca iz pokazannyh posle togo, kak vy pokazhete
eti dva kadra, a ne tot, kotoryj byl chetvertym ot konca, kogda ya pro nego
govoril". Posle etogo propustite odin diapozitiv.
|tih prostyh sposobov dostatochno dli bol'shinstva operatorov. V sluchae
neozhidannogo soprotivleniya mozhno prinyat' i bolee krutye mery,
Grossmejsterskim priemom yavlyaetsya "samozaklinivayushchijsya diapozitiv". K
nizhnemu krayu (na ekrane on, konechno, budet verhnim) special'no ukorochennogo
djapozitiva prikreplyaetsya tonkaya, dostatochno uprugaya bimetallicheskaya
plastinka. Kogda izobrazhenie poyavlyaetsya na ekrane, vy ego nekotoroe vremya
obsuzhdaete i govorite, chto otlichie ot sleduyushchej krivoj neveliko, no ono
brositsya v glaza, esli smenit' diapozitiv dostatochno bystro" Bimetallicheskaya
plastinka k etomu vremeni Uspeet nagret'sya, izognetsya, i kogda vy skazhete
"Proshu sleduyushchij!" i operator peredvinet ramku, ona neminuemo prochno
zastryanet na polputi. Podgonyaemyj neterpelivymi pros'bami "Skoree
sleduyushchij", operator, ostaviv popytki peredvinut' ramku delikatnym
postukivaniem po torcu, shvatitsya za nee obeimi rukami i rvanet tuda-syuda
kak sleduet. Apparat pri etom budet elozit' po polu vsemi chetyr'mya nozhkami,
izdavaya ochen' priyatnye zvuki. |to vsegda razvlekaet publiku.
Nakonec, poslednyaya, samaya izoshchrennaya metodika, kotoruyu ya nazval "Para
chistyh". Berutsya dva absolyutno chistyh diapozitiva. Oni pomeshchayutsya posle
serii kadrov, kotorye demonstriruyutsya v bystroj posledovatel'nosti, okazyvaya
na operatora izmatyvayushchee i gipnotiziruyushchee dejstvie. Vnezapno eta seriya
konchaetsya, i operator, zaryadiv, kak obychno, ocherednuyu paru, vzdyhaet s
oblegcheniem. Odnako snimok, kotoryj on proeciruet posle ocherednogo
"Sleduyushchij, pozhalujsta", i est' odin iz "Pary chistyh", prichem vtoroj kadr v
ramke tozhe pustoj. CHerez neskol'ko sekund razdaetsya ledyanoe "YA skazal:
sleduyushchij, pozhalujsta!" - i operator s uzhasom vidit, chto na ekrane nichego
net, hotya on otlichno pomnit, chto vstavil diapozitiv i peredvinul ramku.
CHuvstvuya, kak mir vokrug nego rushitsya, on tychet pal'cem pryamo v seredinu
chistogo diapozitiva, chtoby ubedit'sya, chto on vse-taki sushchestvuet. No v
centre diapozitiva zaranee prodelano bol'shoe otverstie, ot steklyannoj
plastinki ostalsya fakticheski lish' obodok. Pochti teryaya soznanie, operator
hvataet iz korobki sleduyushchij kadr i pytaetsya vtisnut' ego v ramku, kotoraya,
estestvenno, zanyata...
|to ob operatore. Obrashchus' teper' k bolee vazhnoj probleme - auditorii.
|to kuda bolee tonkoe delo. Glavnoe, konechno, s minimal'noj zatratoj usilij
prodemonstrirovat' sobravshimsya svoyu original'nost' i prevoshodstvo nad nimi.
Osnovnoj princip - skryt' ot slushatelej, o chem idet rech' i chto izobrazheno na
diapozitivah. Pri etom snimki, konechno, ne dolzhny imet' nikakogo otnosheniya k
izlagaemomu voprosu. Porozhdaemoe etim zameshatel'stvo nuzhno periodicheski
usugublyat' zamechaniyami: "To zhe samoe izobrazheno na privedennoj diagramme".
Edinstvennoe isklyuchenie iz etogo pravila: vy ochen' vnyatno rasskazyvaete
kakuyu-nibud' ochen' prostuyu veshch' i pokazyvaete ochen' ponyatnyj snimok. Zatem
govorite, chto vam osobenno hochetsya podcherknut' otlichie etogo sluchaya ot togo,
chto posleduet. Zatem vy demonstriruete tochnuyu kopiyu predydushchego diapozitiva
i govorite absolyutno to zhe samoe. |tot priem mozhno povtorit' neskol'ko raz.
Polezno eshche pri etom obrashchat'sya neposredstvenno k kakoj-nibud' vydayushchejsya
lichnosti v pervom ryadu, vybrav togo, kto tol'ko chto prosnulsya. Pochtennyj
starec budet energichno kivat' posle kazhdogo novogo kadra...
Diapozitivy mogut podcherknut' vashu blizost' k korifeyam. Vot horoshij
sposob: pokazhite snimok, na kotorom s obratnoj storony chto-to nebrezhno
napisano karandashom. S trudom razobrav perevernutye karakuli,
zaintrigovannaya auditoriya prochtet: "Vigner prosil u menya dve kopii etogo
grafika". Na snimke cherez odin napishite: "|tot tozhe ostavit' dlya ZHeni"
(Vignera zovut Evgenij).
Nalazhivaniyu kontakta s auditoriej sposobstvuet eshche tak nazyvaemyj
"Postoronnij diapozitiv". On ne otnositsya sovsem k teme dannoj konferencii i
vosproizvodit, skazhem, stranicu notnoj rukopisi kvarteta Gezual'do v
perelozhenii Buzoni dlya fortep'yano v tri ruki. Posle poyavleniya ego na ekrane
vy govorite: "Ah, vinovat. On popal syuda sluchajno. Eshche odna iz moih
slabostej, vy zhe znaete". |to srazu sozdaet vpechatlenie, chto 1) vashi
uvlecheniya mnogochislenny i raznoobrazny (o chem vy, po-vidimomu, govorili na
predydushchih konferenciyah) i 2) chto vy rassmatrivaete svoi zanyatiya yadernoj
fizikoj tozhe kak malen'kuyu prihot'.
Bol'shoe vpechatlenie proizvodit takzhe diapozitiv "Novejshie dostizheniya".
Na nem izobrazheno nekotoroe kolichestvo tochek s nadpis'yu "|ksperiment",
kotorye vse lezhat znachitel'no nizhe gorizontal'noj linii s nadpis'yu "Teoriya".
Dokladchik (kotoryj, konechno, yavlyaetsya, avtorom kak teorii, tak i
eksperimenta) govorit, ukazyvaya na tochki: "|to poslednie rezul'taty,
poluchennye v moej laboratorii". (|to ochen' vazhno: moya laboratoriya!)
Posokrushavshis' po povodu togo, chto soglasie teorii s eksperimentom ne iz
luchshih, on govorit, chto v ego laboratorii v nastoyashchij moment vedutsya
dopolnitel'nye issledovaniya, rezul'taty kotoryh, on uveren, sushchestvenno
ispravyat polozhenie. Kogda on govorit eto, eksperimental'nye tochki, kotorye v
dejstvitel'nosti predstavlyayut soboj malen'kie metallicheskie nashlepki,
uderzhivaemye na plastinke legkoplavkim kleem, kotoryj v teple razmyagchaetsya,
pod dejstviem sily tyazhesti polzut vniz (na ekrane, konechno, vverh) i
ostanavlivayutsya, dostignuv teoreticheskoj pryamoj, kotoraya est' ne chto inoe,
kak natyanutaya poperek plastinki provolochka.
Poslednij vopros, kotorogo ya hotel by kosnut'sya v etom beglom obzore, -
kak porazit' slushatelej obiliem otdalennyh i ekzoticheskih konferencij, o
kotoryh oni nikogda ne slyshali i gde vy byli delegatom. V etom samaya sol'
"Pravil konferencmena". Vy podnimaetes' s mesta vo vremya obsuzhdeniya odnogo
iz dokladov (kakogo imenno, vse ravno) i govorite: "No ved' etu shtuku uzhe
razoblachili na konferencii v Addis-Abebe - ya imeyu v vidu konferenciyu,
kotoraya sostoyalas' posle toj besporyadochnoj diskussii v T'erra-del'-Fuego, a
ne tu, na kotoroj bednyaga Przhkzhvlatskrzhi vo vremya diskussii tak oploshal so
svoej mnimoj chast'yu". |to uzhe horosho, no mozhno usilit': "YA sluchajno zahvatil
s soboj snimok, kotoryj posle konferencii mne lyubezno podaril professor Pup.
Iz nego srazu vse budet yasno, i eto izbavit nas ot dal'nejshej diskussii"*
CHto budet na etom snimke, razumeetsya, ne imeet znacheniya,
Horosho takzhe pokazat' neskol'ko diapozitivov, na kotoryh os' absciss
napravlena vertikal'no. V auditorii budut svernutye shei, chto samo po sebe
polezno...
Ran'she effektno bylo pohvastat'sya svoim uchastiem v russkoj konferencii,
no teper' pochti kazhdyj byval na neskol'kih konferenciyah v Rossii, i etim
nikogo uzhe ne udivish'.
Odnako diapozitivy s nadpisyami, vypolnennymi kirillicej, do sih por
vyglyadyat vpechatlyayushche. Nuzhno pokazat' neskol'ko takih zagadochnyh
diapozitivov, ne perevodya podpisej. |to sozdaet vpechatlenie, budto vas
nastol'ko chasto priglashayut v Sovetskij Soyuz, chto vy schitaete neobhodimym
snabzhat' svoi diapozitivy russkim tekstom, a krome togo, mozhno sdelat'
vyvod, chto vy prekrasno znaete russkij yazyk i vam dazhe ne prihodit v golovu,
chto kto-to tam eshche nuzhdaetsya v perevode.
Kogda zhe nakonec kto-nibud' iz prisutstvuyushchih, ustav ot obiliya
neponyatnyh podpisej, vstanet i skazhet: "Poslushajte, vy ne sobiraetes'
rasskazat' nam, chto tut izobrazheno? My ved' ne vse umeem chitat' po-russki",-
vy posle horosho rasschitannoj pauzy otvechaete: "Ne po-russki, uvazhaemyj, a
po-bolgarski!"
Proc. of the International Conference on Nuclear Structure Kingston,
Kanada, 1960
(D. UILKINSON - anglijskij fizik, professor Oksfordskogo universiteta,
chlen Korolevskogo obshchestva,)
* * * *
Avtor tret'ego nachala termodinamiki Val'ter Nernst v chasy dosuga
razvodil karpov. Odnazhdy kto-to glubokomyslenno zametil:
- Strannyj vybor. Kur razvodit' i to interesnee. Nernst nevozmutimo
otvetil:
- YA razvozhu takih zhivotnyh, kotorye nahodyatsya v termodinamicheskrm
ravnovesii s okruzhayushchej sredoj. Razvodit' teplokrovnyh - eto znachit
obogrevat' na svoi den'gi mirovoe prostranstvo.
* * * *
|rnst Rezerford pol'zovalsya sleduyushchim kriteriem pri vybore svoih
sotrudnikov. Kogda k nemu prihodili v pervyj raz, Rezerford daval zadanie.
Esli posle etogo novyj sotrudnik sprashival, chto delat' dal'she, ego
uvol'nyali.
* * * *
Odna znakomaya prosila Al'berta |jnshtejna pozvonit' ej po telefonu, no
predupredila, chto nomer ochen' trudno zapomnit': 24361.
- I chego zhe tut trudnogo? - udivilsya |jnshtejn.- Dve dyuzhiny i 19 v
kvadrate.
* * * *
Amerikanskij fizik Robert Milliken (1868-1953) byl izvesten svoej
slovoohotlivost'yu. Podshuchivaya nad nim, ego sotrudniki predlozhili vvesti
novuyu edinicu - "ken" dlya izmereniya razgovorchivosti. Ee tysyachnaya chast', to
est' milliken, dolzhna byla prevyshat' razgovorchivost' cheloveka,
* * * *
Schetnuyu mashinu RCA-301 nauchili pisat' belye stihi. Slovarnyj zapas
poluprovodnikovogo poeta - 130 slov. Razmer stihov zhestko zadan. Nachinaya
ocherednoe stihotvorenie, vmesto nazvaniya mashina stavit poryadkovyj nomer:
"Poema nomer takoj-to", a v konce stavit svoyu podpis': "RCA-301". Nizhe
privoditsya doslovnyj perevod odnogo iz takih stihotvorenij.
Poema No 929
Poka slepo plyl son po razbitym nadezhdam, Kosmos s bol'yu sochilsya nad
razbitoj lyubov'yu, Byl iz skrytnyh lyudej svet tvoj medlenno izgnan, N nebo ne
spalo.
RCA-301
* * * *
Po mneniyu programmistov, eto proizvedenie ochen' napominaet stihi
sovremennyh poetov |lliota i Kammingsa, no nikto iz nih ne mozhet
sorevnovat'sya s mashinoj v proizvoditel'nosti. RCA-301 pishet 150
chetverostishij v minutu.
* * * *
On govorit, chto voda slishkom holodnaya.
KAK VYSTUPATX NA ZASEDANII AMERIKANSKOGO FIZICHESKOGO OBSHCHESTVA
Karl Darrou
Sravnim aktera, igrayushchego v kinoboevike, i fizika, vystupayushchego na
zasedanii Amerikanskogo fizicheskogo obshchestva. Akteru mnogo legche. On
proiznosit slova, napisannye dlya nego specialistom po chasti umeniya derzhat'
auditoriyu v rukah (my imeem v vidu nastoyashchij boevik). On obladaet kakimi-to
sposobnostyami i opytom, inache ego ne vzyali by v truppu. Krome togo, on ne
volen proiznosit' otsebyatiny i postupat', kak emu vzdumaetsya. Kazhdaya fraza,
intonaciya, zhest, dazhe povorot na scene ukazany i provereny mnogo raz opytnym
rezhisserom, kotoryj ne skupitsya na ukazaniya, a pri sluchae ne postesnyaetsya i
peredelat' klassicheskie stroki, esli oni pokazhutsya emu nedostatochno
vyrazitel'nymi.
Kazalos' by, v takih blagopriyatnyh usloviyah dramaturg vpolne mozhet
pozvolit' sebe napisat' p'esu, idushchuyu dva chasa bez pereryva, a rezhisser -
postavit' ee v sarae s derevyannymi skamejkami vmesto stul'ev. No net, lyudi
opytnye tak ne postupayut. V spektakle predusmotreny antrakty, i dejstvie,
dlyashcheesya bol'she chasa, vstrechaetsya redko (kritiki srazu otmetit eto kak
nedostatok). Kak pravilo, v teatrah stoyat udobnye kresla, a zal horosho
ventiliruetsya. K tomu zhe dlya vospriyatiya sovremennyh spektaklej ne nuzhno
zatrachivat' osobyh intellektual'nyh usilij.
Nu a fizik? On sam pridumal tekst svoej "roli", a ved' on daleko ne
vsegda obladaet neobhodimymi dlya etogo sposobnostyami, i uzh navernyaka ego
etomu nikto ne uchil. Ne uchili ego i iskusstvu krasnorechiya, i rezhisser ne
pomogal emu na repeticiyah. Predmet, o kotorom on govorit, trebuet ot
auditorii zametnogo umstvennogo napryazheniya. Dlya slushatelej ne sozdano osobyh
(a chasto net voobshche nikakih) udobstv - stul'ya neudobnye, pomeshchenie chasto
dushnoe i tesnoe, a programma inogda tyanetsya ne odin chas bez pereryva, a
poroj i to, i drugoe, i tret'e. Dazhe takie zvezdy, kak Lourens Oliv'e ili
|llen Hejs, mogli by spasovat', esli by ot nih potrebovali, chtoby oni
derzhali publiku v napryazhennom vnimanii v takih usloviyah. A pri stol'
neblagopriyatnyh obstoyatel'stvah - smozhet li fizik tyagat'sya s Lourensom
Oliv'e? Legko dogadat'sya, chto ne smozhet, poetomu vo vremya zasedaniya
Amerikanskogo fizicheskogo obshchestva v koridorah, v bufete ili prosto na
luzhajke pered zdaniem mozhno naschitat' gorazdo bol'she chlenov obshchestva, chem v
zale. A videli li vy kogda-nibud', chtoby lyudi, imeyushchie bilet na "Turandot",
okolachivalis' vokrug zdaniya Metropoliten-opera vmesto togo, chtoby sidet' na
svoem meste, kogda podnimaetsya zanaves?
CHto mozhno sdelat' dlya uluchsheniya polozheniya? Boyus', chto ochen' malo, no ya
vse zhe vyskazhu neskol'ko predlozhenij, napravlennyh na razreshenie etoj
trudnoj problemy.
1. Govorite gromko, chtoby vas bylo slyshno v samyh dal'nih uglah zala.
Nekotorye schitayut, chto u nih dlya etogo slishkom slabyj golos. YA sam tak dumal
v molodosti, no potom ponyal, chto oshibayus'. YA, konechno, ne rasschityvayu
napolnit' svoim golosom zal Metropoliten-opera, vprochem, fizikov obychno ne
priglashayut vystupat' v stol' prostornyh pomeshcheniyah. A esli priglashayut, to
predostavlyayut usilitel'. Esli zhe zal rasschitan na trista chelovek, to
usilitel' ne nuzhen, za isklyucheniem patologicheskih sluchaev polnogo otsutstviya
golosa. Vse zhe ne nadejtes', chto usilitel' sposoben prevratit' shepot v
gromkuyu rech'. Luchshe ishodit' iz pryamo protivopolozhnogo predpolozheniya i
schitat', chto mikrofona net vovse, dazhe esli on u vas pod nosom.
CHasto rekomenduyut smotret' na sidyashchih v zadnem ryadu i vo vremya
vystupleniya adresovat'sya imenno k nim. Obychno eto trudno potomu, chto vse
skol'ko-nibud' vydayushchiesya lichnosti sadyatsya v pervom ryadu, osobenno na
universitetskih seminarah. Ignorirujte eto obstoyatel'stvo. Esli v pervom
ryadu sidit Nil's Bor, a v poslednem - Dzhon Smit, obrashchajtes' k Dzhonu Smitu,
togda i Bor vas uslyshit.
2. Zaranee napishite i vyuchite svoyu rech'. Protiv etogo vydvigaetsya
obychno lish' odno vozrazhenie, no ya ego schitayu bezosnovatel'nym. Govoryat, chto
rech' po bumazhke skuchna i bezzhiznenna. Pri etom, konechno, podrazumevayut, chto
rech' ne po bumazhke bleshchet ekspromtami. Odnako, esli pri chtenii gotovoj rechi
vy pridumaete chto-nibud' ostroumnoe, nichto ved' vam ne meshaet vyskazat' eto
vsluh. Zato esli nichego takogo v golovu ne prihodit, to napisannyj tekst vas
vyruchit. Govoryat, chto, buduchi napechatana, horoshaya rech' chitaetsya huzhe, chem
horoshaya stat'ya, no vy dolzhny pomnit', chto pishete doklad, a ne stat'yu.
Nekotorye utverzhdayut, chto priyatnee slushat' fizika, kotoryj ne gotovilsya
special'no k vystupleniyu. Interesno, chto bylo by, esli by etoj teoriej
rukovodstvovalis' artisty Korolevskogo baleta? Mozhet byt', ucheniku baletnoj
shkoly i pouchitel'no budet uvidet', kak tancovshchica poskol'znetsya i udaritsya
golovoj ob pol, no vryad li komu-nibud' eto dostavit udovol'stvie.
3. Esli vy ne v sostoyanii vyuchit' svoyu rech', prochtite ee po bumazhke.
|tot sovet mnogimi budet otvergnut - vse my stradaem, esli plohoj doklad k
tomu zhe chitayut zapinayas'. No ved' ne obyazatel'no chitat' ploho. Ledi Makbet v
odnom iz pervyh aktov chitaet vsluh pis'mo. |to odin iz kul'minacionnyh
punktov tragedii. Sorok let tomu nazad |tel' Berrimor tak chitala eto pis'mo,
chto starye teatraly do sih por ob etom vspominayut, hotya sama postanovka uzhe
davno zabyta. Glavnaya beda v tom, chto bol'shinstvo oratorov sem' vos'myh
otvedennogo im vremeni ne otryvayut glaz ot bumagi, lish' izredka brosaya
vzglyady v zal, kak by dlya togo, chtoby proverit', ne razbezhalas' li
auditoriya. Delajte vse naoborot. Nichego ne stoit pochti vse vremya smotret' v
zal (osobenno esli doklad pisali vy sami). Poprobujte i ubedites'.
4. Ukazhite mesto vashej raboty v obshchej fizicheskoj kartine" nachinaya
vystuplenie, i summirujte osnovnye vyvody, zakanchivaya ego. Dazhe v
desyatiminutnom vystuplenii ne pozhalejte dlya etogo minuty v nachale i minuty v
konce. Ne stesnyajtes' povtoryat' osnovnye mesta doklada. Ob etom ya eshche skazhu
pozdnee.
5. Sledite za vremenem. Ochen' nepriyatno, kogda zvonok izveshchaet ob
okonchanii reglamenta, a dokladchiku kak raz nuzhny eshche pyat' minut, chtoby
izlozhit' samuyu sut'. Dokladchik, estestvenno, je hochet oborvat' vystuplenie v
samom razgare, a predsedatel' redko byvaet -dostatochno zhestok, chtoby na etom
nastaivat'. Vot zdes' gotovyj tekst osobenno polezen. Metki vremeni nuzhno
stavit' v konce kazhdoj stranicy na polyah. Sto tridcat' slov v minutu ili,
skazhem, dve s polovinoj minuty na stranicu mashinopisnogo teksta cherez dva
intervala - dostatochnaya skorost'. Posle osobenno trudnogo mesta pomolchite
sekund dvadcat', dajte auditorii podumat' nad tem, chto vy skazali, - ved'
nikto ne trebuet, chtoby vy govorili bez ostanovki. Trudnosti so vremenem
osobenno veliki, kogda vam prihoditsya pisat' na doske ili pokazyvat'
diapozitivy. Prorepetirujte, vy ne pozhaleete.
6. Uroven' vystupleniya rasschityvajte na srednego slushatelya, a ne na
vydayushchihsya specialistov. Slishkom mnogie molodye teoretiki vystupayut tak, kak
budto ob®yasnyayut chto-to Oppengejmeru, slishkom mnogie specialisty po tverdomu
telu govoryat tak, kak budto obrashchayutsya k Zejtcu, slishkom mnogie
spektroskopisty polagayut, chto auditoriya sostoit splosh' iz Millikenov.
7. Problema doski. |to odna iz glavnyh trudnostej, i zdes' sravnenie s
teatrom uzhe ne pomozhet. Mne ne prihodilos' videt', chtoby po hodu dejstviya
akter pisal na doske. No ya uveren, chto akter pisal by na doske molcha, a
zatem povorachivalsya by k auditorii i prodolzhal govorit'. Fizikam zapreshchaet
tak postupat' kakoj-to neob®yasnimyj psihologicheskij effekt. A nuzhno
popytat'sya. Esli uzh obrashchaetes' k doske, to po krajnej mere ne poddavajtes'
iskusheniyu ponizhat' pri etom golos. No sushchestvuyut i drugie oshibki, kotoryh
legche izbezhat'. Tak, vse bukvy nuzhno pisat' krupno, chtoby ih bylo vidno
otovsyudu. Inogda dokladchik obnaruzhivaet, chto doska mnogo men'she, chem on
predpolagal. Togda emu nuzhno ili perestroit' izlozhenie, ili soznatel'no
pojti na to, chto ego pojmut tol'ko sidyashchie v pervyh ryadah. Inogda doska i
mel byvayut nastol'ko nizkogo kachestva, chto ot nih luchshe srazu otkazat'sya.
Vse uravneniya nuzhno pisat' strogo v tom poryadke, v kotorom oni izlagayutsya, a
ne kidat'sya s kazhdoj ocherednoj formuloj na blizhajshee svobodnoe mesto doski,
besporyadochno stiraya ranee napisannye vyrazheniya, tak chto posle doklada na
doske ostaetsya kasha bessvyaznyh simvolov. Nuzhno zaranee znat', chto budet u
vas na doske v kazhdyj moment, s tem chtoby k koncu vse osnovnye sootnosheniya
ostalis' chetko napisannymi. Boyus' tol'ko, chto vse eto lish' blagie pozhelaniya.
8. Problema diapozitivov. CHasto dokladchik pokazyvaet slishkom mnogo
diapozitivov i pokazyvaet ih slishkom bystro. Kak pravilo, nuzhno ne menee
tridcati sekund, chtoby razobrat'sya v tom, chto vam pokazyvayut na ekrane (hotya
byvayut i isklyucheniya). Nevozmozhno odnoznachno ustanovit' maksimal'noe chislo
diapozitivov, kotorye mozhno pokazat' s pol'zoj. YA dumayu, chto dlya
desyatiminutnogo vystupleniya dostatochno semi. Bol'shee chislo dopuskaetsya, esli
ispol'zovat' ekran vmesto doski.
9. Problema "stilya". Samo ponyatie "stilya" dovol'no "gumanno, i, vo
vsyakom sluchae, obuchat' emu - ne moya professiya. Poetomu ogranichus' dvumya
zamechaniyami.
Uchebniki po etomu voprosu rekomenduyut pisatelyu, a sledovatel'no, i
oratoru smeshivat' v dolzhnoj proporcii dlinnye i korotkie slova, a takzhe
slova grecheskogo, latinskogo i francuzskogo proishozhdeniya, s odnoj storony,
i saksonskogo - s drugoj. Vprochem, eti dva pravila pochti sovpadayut,
poskol'ku sovremennye nauchnye stat'i peregruzheny slovami, kotorye, s odnoj
storony, dlinnye, a s drugoj - imeyut latinskie ili grecheskie korni. |to
oznachaet, chto nuzhno, esli est' vozmozhnost', vybirat' korotkoe slovo vmesto
dlinnogo i saksonskoe vmesto greko-latinskogo. Esli predlozhenie soderzhit
takie slova, kak "ferromagnetizm" ili "kvantovanie", ne govorya uzhe ob
uzhasnom slove "fenomenologicheskij", to fraza mnogo vyigraet ot togo, chto
ostal'nye slova budut korotkie i zvuchnye. Voobshche zhe fizikam nel'zya
ogranichivat'sya chteniem special'noj literatury. CHitajte romany, chitajte
stihi, chitajte istoricheskie proizvedeniya velikih pisatelej, voobshche chitajte
klassiku. Esli zhe vy prosto ne mozhete nichego chitat', krome nauchnoj
literatury, to uzh chitajte Bregga i |ddingtona, Dzhinsa i Bertrana Rassela. YA
dayu eti sovety potomu, chto po yazyku stat'i iz "Physical Review" redko mozhno
dogadat'sya, kto ee napisal. Krome togo, pytayushchiesya napisat' chto-nibud' dlya
shirokoj publiki chasto delayut eto ploho.
10. Predlagayu eksperiment. Vyshe ya utverzhdal, chto dokladchik dolzhen
govorit' medlenno, ne speshit', demonstriruya diapozitivy, i povtoryat' svoi
klyuchevye utverzhdeniya. Tem, kto s etim ne soglasen, ya predlagayu provesti
sleduyushchij eksperiment.
Vyberite kakuyu-nibud' stat'yu iz "Physical Review". Pust' ona budet
blizka k vashej uzkoj speci-ad'noem, inache rezul'tat budet slishkom uzhasen.
Syad'te na neudobnyj stul i prochitajte etu stat'yu. No prochitajte ee
sleduyushchim obrazom. CHitajte s samogo nachala do konca s postoyannoj skorost'yu
160-180 slov v minutu. Nigde ne ostanavlivajtes', chtoby obdumat'
prochitannoe, dazhe na pyat' sekund. Ne vozvrashchajtes' nazad dazhe dlya togo,
chtoby vspomnit' smysl oboznacheniya ili formu zapisi uravneniya. Ne smotrite na
risunki do teh por, poka vy ne vstretite ssylku na nih v tekste, a v etom
sluchae posmotrite na risunok sekund pyatnadcat' i bol'she k nemu ne
vozvrashchajtes'. Esli slushateli ot vashego doklada poluchayut bol'she, chem vy ot
takogo chteniya, to vy - vydayushchijsya orator.
Napechatano v zhurnale "Physics Today", 14, No 7 (1961).
- Nekotorye iz vas mogut sprosit', pochemu R vybral dlya svoej lekcii
temu: "Mogut li mashiny myslit'?".
~ Tak ya chuvstvuyu sebya znachitel'nee...
- Nikak ne mogu najti sebe pomoshchnika, - pozhalovalsya odnazhdy |dison
|jnshtejnu. - Kazhdyj den' zahodyat molodye lyudi, no ni odin ne podhodit.
- A kak vy opredelyaete ih prigodnost'? - pointeresovalsya |jnshtejn.
|dison pokazal emu listok s voprosami.
- Kto na nih otvetit, tot i stanet moim pomoshchnikom.
"Skol'ko mil' ot N'yu-Jorka do CHikago?" - prochel |jnshtejn i otvetil:
"Nuzhno zaglyanut' v zheleznodorozhnyj spravochnik". "Iz chego delayut nerzhaveyushchuyu
stal'?" - "0b etom mozhno uznat' v spravochnike po metallovedeniyu,..".
Probezhav glazami ostal'nye voprosy, |jnshtejn skazal:
- Ne dozhidayas' otkaza, svoyu kandidaturu snimayu sam.
KAK NE SLUSHATX ORATORA
U. B. Vin
Ni odin orator, kakova by ni byla ego energiya, ne imeet shansov pobedit'
sonlivost' slushatelej. Kazhdyj znaet, chto son vo vremya dlinnogo vystupleniya
znachitel'no glubzhe, nezheli sostoyanie gipnoticheskogo ocepeneniya, izvestnoe
pod nazvaniem "poludremy". Posle takogo sna vy prosypaetes' osvezhennym. Vy
horosho otdohnuli. Vy tverdo znaete, chto vecher ne propal darom. Nemnogie iz
nas imeyut muzhestvo spat' otkryto i chestno vo vremya oficial'noj rechi. Posle
tshchatel'nogo issledovaniya etogo voprosa ya mogu predstavit' na rassmotrenie
chitatelya neskol'ko original'nyh metodov, kotorye do sih por ne
publikovalis'.
Usyad'tes' v kreslo kak mozhno glubzhe, golovu uklonite slegka vpered (eto
osvobozhdaet yazyk, on visit svobodno, ne zatrudnyaya dyhaniya). Gromkij hrap
vyvodit iz sebya dazhe samogo smirennogo oratora, poetomu glavnoe - izbegajte
hrapa, vse dyhatel'nye puti dolzhny byt' svobodnymi. Trudno dat' chetkie
instrukcii po sohraneniyu vo sne ravnovesiya No chtoby golova ne motalas' iz
storony v storonu, ustrojte ej iz dvuh ruk i tulovishcha prochnuyu oporu v forme
trenozhnika - eshche Arhimed znal, chto eto ochen' ustojchivoe ustrojstvo. Tem
samym umen'shaetsya risk padeniya na pol (a ved' vykarabkivat'sya iz-pod stola
obychno prihoditsya pri ves'ma nepriyatnom ozhivlenii publiki). Tak u vas i
golova ne upadet na grud', i chelyust' ne otvalitsya. Zakrytye glaza sleduet
pryatat' v ladonyah, pri etom pal'cy dolzhny szhimat' lob v garmoshku. |to
proizvodit vpechatlenie napryazhennoj raboty mysli i neskol'ko ozadachivaet
oratora. Vozmozhny vykriki vo vremya koshmarov, no na etot risk prihoditsya
idti. Prosypajtes' medlenno, oglyanites' i ne nachinajte aplodirovat' srazu.
|to mozhet okazat'sya nevpopad. Luchshe uzh podozhdite, poka vas razbudyat
zaklyuchitel'nye aplodismenty.
Napechatano v
"The Journal of Irreproducible Results", 7. No2 (1959).
(U. B. BIN - professor, glava fakul'teta terapii Universiteta shtata
Ajova.)
OTCHETY, KOTORYE YA CHITAL ... I, VOZMOZHNO, PISAL
Duajt E. Grej
Tehnicheskij otchet kak specializirovannaya forma nauchnoj literatury v
poslednie gody vyrvalsya iz bezvestnosti i zanyal isklyuchitel'no vazhnoe
polozhenie v oblasti obmena informaciej. V ideale osnovnaya zadacha kazhdogo
otcheta sostoit v peredache nauchnoj informacii - peredache tochnoj, akkuratnoj i
nedvusmyslennoj. Uvy, na praktike vse "otchety" razbivayutsya na mnozhestvo
kategorij kak po stepeni priblizheniya k etomu idealu, tak i po konkretnym
prichinam, kotorye meshayut ego dostich'. Nizhe opisany i kvalificirovany
vazhnejshie kategorii, s kotorymi avtoru prishlos' imet' delo na protyazhenii ego
pyatnadcatiletnej deyatel'nosti na poprishche nauchnoj informacii. V otnoshenii
samyh bessmyslennyh otchetov sleduet skazat', chto oni ne razbivayutsya na
chetkie, ogranichennye, vzaimoisklyuchayushchie gruppy. Nazvaniya razlichnyh kategorij
ya vybiral po dominiruyushchemu priznaku, no v celom takie otchety - "narod ne
gordyj" i s legkost'yu perenimayut drug u druga durnye privychki,
- Zagadochnyj otchet
Pri chtenii takoj raboty kazhetsya, chto avtor pochti namerenno pytaetsya kak
mozhno dol'she derzhat' chitatelya v nevedenii otnositel'no togo, o chem,
sobstvenno, i zachem ona napisana. V nekotoryh sluchayah uspeh byvaet polnym, i
zagadka tak i ostaetsya nereshennoj do samogo konca. Tajna, razumeetsya, eshche
bolee sgushchaetsya, esli na dokumente stoit absolyutno ne nesushchee informacii
nazvanie. Dva takih zaglaviya ya videl nedavno, listaya referativnyj zhurnal:
"Obzor raboty" i "Tekushchaya rabota. Otchet XXIX".
Zagadochnye otchety obychno nachinayutsya s nekotorogo istoricheskogo
zayavleniya tipa: "V 1927 godu professor K. K. Makzhillikaddi, rabotayushchij v
ABV-Univereitete, otkryl to-to i to-to". |ta nachal'naya fraza zvuchit primerno
tak zhe, kak "V tridesyatom carstve, v nekotorom gosudarstve...", s kotoroj
nachinayutsya vse detskie skazki, i trebuet dlya svoego izobreteniya primerno
takogo zhe umstvennogo usiliya. Podobnoe nachalo, konechno - prekrasnyj vyhod
dlya avtora otcheta, esli on ne ochen' tverdo uveren v tom, chto hochet
vyskazat', a emu ne terpitsya nachat' marat' bumagu. Ili emu prosto len'
podumat'. Dlya chitatelya takoe nachalo vnosit element zagadochnosti uzhe s
pervogo predlozheniya. Za ishodnym utverzhdeniem mogut posledovat' dal'nejshie
razglagol'stvovaniya na istoricheskuyu temu, a za nimi prochie materialy, lish'
kosvenno svyazannye s istinnoj cel'yu dannogo dokumenta, kotoraya povisaet v
vozduhe. I chitatel' uglublyaetsya v labirint otcheta, ne imeya ni malejshego
predstavleniya o tom, dejstvitel'no li k vyhodnoj dveri vedut ego strelki s
nadpis'yu "Vyhod", i ne buduchi dazhe uveren, chto eta dver' dejstvitel'no
sushchestvuet. Kak pravilo, chitatel' vse zhe v konce koncov dokapyvaetsya do
togo, chto avtor pytalsya emu skazat'. Odnako etot podvig obychno trebuet
takogo napryazheniya analiticheskih sposobnostej i takoj umstvennoj
izvorotlivosti, chto uzhe ne dostavlyaet radosti vkonec vydohnuvshemusya
chitatelyu.
- Otchet tipa "Povtorite, pozhalujsta, eshche raz"
V rasporyazhenii kazhdogo, kto pozhelaet nauchit'sya pisat' otchety etogo
vida, nahoditsya shirokij vybor effektivnyh metodov. Prezhde vsego avtor
konechno, dolzhen osteregat'sya prostyh nerasprostranennyh predlozhenij,
Neprityazatel'noe trio iz podlezhashchego, skazuemogo i dopolneniya yavlyaetsya
slishkom pryamym i effektivnym sredstvom peredachi informacii, a poetomu ne
udovletvoryaet. Vmesto etogo avtor povsyudu, gde tol'ko mozhno, dolzhen
ispol'zovat' dlinnye, vitievatye, tumannye frazy, razbavlyaya ih vvodnymi
slovami i nachinaya pridatochnymi predlozheniyami. YA pozvolyu sebe privesti v
kachestve illyustracii korotkij otryvok iz dialoga, kotoryj imel mesto
neskol'ko let nazad na zasedanii odnogo iz komitetov Kongressa. CHinovnika
ministerstva oborony sprosili, planiruet li ih vedomstvo stroitel'stvo
odnogo podzemnogo sooruzheniya. Vot chto on otvetil:
- My pytaemsya soblyudat' ravnovesie mezhdu stacionarnymi, kak ih inogda
nazyvayut, ustanovkami, sozdanie kotoryh v otdel'nyh sluchayah mozhet byt'
sopryazheno so stroitel'stvom podzemnyh sooruzhenij, s odnoj storony, i
effektivnost'yu nashih oboronitel'nyh sredstv, s drugoj storony, kotoraya,
ochevidno, soglasno prinyatym v nastoyashchee vremya vzglyadam, rassmatrivaetsya kak
sil'nejshij argument protiv stroitel'stva zakrytyh oboronitel'nyh ustanovok.
Posle chego odin iz chlenov komiteta zayavil:
- Vy prosto velikolepny. YA ni cherta ne ponyal v etom slovoizverzhenii.
Radi boga, chto vy imeli v vidu?
|tot primer horosh ne tol'ko tem, chto v nem soderzhitsya blestyashchij
obrazchik stilya "Povtorite, pozhalujsta, eshche raz". Reakciya "potrebitelya" na
podobnye semanticheskie vykrutasy tozhe sovershenno tipichna.
Ne zhelaya sozdavat' vpechatlenie, chto na takie izrecheniya obladayut
monopoliej lish' pravitel'stvennye chinovniki, ya rasskazhu o menee oficial'nom
sluchae. Privedennaya mnoyu nizhe citata zaimstvovana iz stat'i "Voshodyashchie i
nishodyashchie potoki vozduha".
(Pervoe predlozhenie) Poka skorost' techeniya ostaetsya na srednem urovne -
nizhe, chem v adiabaticheskom sluchae dlya suhogo vozduha, i vyshe, chem v
adiabaticheskom sluchae dlya vozduha, nasyshchennogo vodyanymi parami, my legko
mozhem predstavit' sebe, chto izolirovannaya vozdushnaya massa, kotoraya
nasyshchaetsya do absolyutnoj vlazhnosti pri temperature, neskol'ko prevyshayushchej
temperaturu okruzhayushchego vozduha, okazhetsya v sostoyanii nachat' voshodyashchee
dvizhenie, poskol'ku pri postulirovannyh usloviyah ee temperatura na lyuboj
dostignutoj vysote budet vyshe, chem temperatura okruzhayushchego vozduha,
(Vtoroe predlozhenie) Odnako protivopolozhnyj process - nishodyashchee
techenie - ponyat' ne tak legko.
K chesti znamenitoj enciklopedii, iz kotoroj vzyata eta citata, sleduet
zametit', chto v sleduyushchem, peresmotrennom izdanii vtoroe predlozhenie bylo
peredelano.
CHtoby dostich' nailuchshih rezul'tatov, avtor Dolzhen stremit'sya
podderzhivat' na predel'no vysokom urovne dva chislennyh koefficienta -
perednee chislo slogov v slove" i "srednee chislo slov -predlozhenii". V pervom
sluchae sledujte devizu: "Nikogda ne upotreblyaj odnoslozhnogo slova, esli est'
sinonim iz shesti ili semi slogov". Vash otchet osobenno vyigraet, esli k tomu
zhe eti dlinnye slova vy budete upotreblyat' ne k mestu.
Est' mnogo sposobov podderzhivat' na vysokom urovne i vtoroj indeks.
Naprimer, "imeya v vidu tot fakt, chto " vsegda luchshe, chem prostoe "potomu
chto", "po poryadku velichiny ravno" gorazdo effektnee, chem "okolo". Vy vol'ny
nachinat' hot' kazhdoe predlozhenie takimi rasprostranennymi (i takimi
bessmyslennymi) oborotami, kak "sleduet zametit', chgo", "nebezynteresno
obratit' vnimanie na to, chto" t.d. |ti slovesa k tomu zhe pridayut vsem
utverzhdeniyam takoj bezlichnyj harakter, chto kak by snimaet s avtora vsyakuyu
otvetstvennost' za ih soderzhanie. CHelovek, dobrosovestno sleduyushchij etim
receptam i dopolnyayushchij ih povsemestnym ispol'zovaniem stradatel'nogo zaloga
i professional'noro zhargona vezde, gde tol'ko mozhno, i sdabrivayushchij vse
blyudo ne otnosyashchimisya k delu opredeleniyami i dopolneniyami, mozhet byt' vpolne
spokoen rezul'tat.
3. Otchet tipa "Propala mysl'"
Pri chtenii takih otchetov srazu vspominayutsya testy na soobrazitel'nost',
kotorymi nas muchili v shkol'nye gody. Tol'ko vmesto propushchennyh slov chitatel'
dolzhen vosstanavlivat' propushchennye mysli, to est' sushchestvennye kuski
informacii i argumentacii, kotorye avtor ne schel nuzhnym vklyuchit' v tekst. V
podobnyh sluchayah chitatel', pytayas' samostoyatel'no sdelat' tot shag, kotoryj
avtoru predstavlyalsya ochevidnym, chashche vsego okazyvaetsya v polozhenii studentov
na odnoj lekcii po matematike, o kotoroj ya nedavno chital. Professor, stoya u
doski, byl pogruzhen v dlinnejshij vyvod. V kakom-to meste on proiznes
standartnuyu frazu "otsyuda s ochevidnost'yu vytekaet sleduyushchee" i napisal
dlinnoe i slozhnoe vyrazhenie, absolyutno ne pohozhee ni na chto iz napisannogo
ranee. Zatem on zakolebalsya, na ego lice poyavilos' ozadachennoe vyrazhenie, on
chto-to probormotal i proshel iz auditorii v svoj kabinet. Poyavivshis' ottuda
cherez polchasa, on s dovol'nym vidom ob®yasnil auditorii: "YA byl prav. |to,
dejstvitel'no, sovershenno ochevidno".
CHitaya takoj otchet, vy, figural'no vyrazhayas', plavno skol'zite vdol'
gladkogo rel'sovogo puti za poezdom avtorskoj mysli i vdrug natykaetes' na
razrushennyj uchastok ili na propast'. Vy otchetlivo vidite, chto koleya
prodolzhaetsya na toj storone propasti, no mosta net, i ego dazhe ne iz chego
postroit'.
- Maskiruyushchie otchety
Harakternye osobennosti (oni mogut imet' mesto vse srazu ili v
opredelennyh kombinaciyah):
1. Rezul'taty predstavlyayutsya ne polnost'yu.
2. Poluchennye vyvody ne sleduyut iz rezul'tatov.
3. Privodimye rekomendacii ne sleduyut iz vyvodov.
V zakonchennyh nepoddel'nyh obrazcah maskiruyushchih otchetov avtor,
prikidyvayas' uchenym, vystupaet v dejstvitel'nosti kak lotochnik. On hochet
chto-to prodat' v pryamom smysle ili soblaznit' pokupatelya kakoj-nibud' svoej
ideej. Maskiruyushchie otchety vysokogo klassa srazu mozhno uznat' po prekrasnomu
perepletu, chasto dazhe s zolotym tisneniem, po velikolepnym illyustraciyam ne
men'she chem v chetyre cveta, prolozhennym papirosnoj bumagoj, i po glyancevoj
dorogoj bumage.
Na etom, pozhaluj, mozhno zakonchit' obsuzhdenie tipovyh "urodov" v sem'e
tehnicheskih otchetov, glavnoj zadachej kotoryh, kak ya skazal vo vstuplenii i
povtoryu sejchas, yavlyaetsya peredacha informacii - peredacha tochnaya, akkuratnaya i
nedvusmyslennaya.
Napechatano v zhurnale
"Physics Today", 13, No 11 (I960).
( D.Grej - direktor Otdela informacii Nacional'noj nauchnoj associacii (
SSHA.)
"Skazhi: nu komu nuzhen bil'yardnyj shar o rastushchimi na nem volosami?'1.
Na fizicheskom fakul'tete Universiteta v Milane odin iz sovetskih
fizikov obnaruzhil na stene sleduyushchij svoeobraznyj "dokument":
NASELENIE ITALII 52000000
V tom chisle:
Starshe 65 let11 750 000
Ostaetsya dlya trudovoj deyatel'nosti40 250 000
Molozhe 18 let14 120 000
Ostaetsya dlya trudovoj deyatel'nosti26 130 000
Nerabotayushchie zhenshchiny17 315 000
Ostaetsya dlya trudovoj deyatel'nosti8 815 000
Studenty universitetov275 000
Ostaetsya dlya trudovoj deyatel'nosti8 540 000
Sluzhashchie razlichnyh uchrezhdenij 3 830 000
Ostaetsya dlya trudovoj deyatel'nosti4710000
Bezrabotnye, deyateli politicheskih
partij i profsoyuzov1 380 000
Ostaetsya dlya trudovoj deyatel'nosti3 330 000
Voennye 780 000
Ostaetsya dlya trudovoj deyatel'nosti2 550 000
Bol'nye, sumasshedshie, brodyagi,
prodavcy televizorov, zavsegdatai
ippodromov i kazino1 310 000
Ostaetsya dlya trudovoj deyatel'nosti1 240 000
Negramotnye, artisty, sud'i i t. d. 880000
Ostaetsya dlya trudovoj deyatel'nosti360 000
Otshel'niki, filosofy, fatalisty,
zhuliki i t. d.240 000
Ostaetsya dlya trudovoj deyatel'nosti120 000
Ministry, deputaty, senatory,
zaklyuchennye119 998
OSTAETSYA DLYA TRUDOVOJ DEYATELXNOSTI2
Kto eti dvoe? YA i Vy. Pust' eta tragicheskaya dejstvitel'nost' posluzhit
dlya nas signalom trevogi, vyzovom nashemu muzhestvu, istochnikom novoj energii.
My dolzhny rabotat' s maksimal'nym napryazheniem sil, osobenno Vy, potomu chto YA
ustal, vypolnyaya svoj dolg pered stranoj v odinochku.
- Nu, vy znaete, kak eto byvaet: slovo za slovo...
- Vy zhe sami govorili -- chem deshevle, tem luchshe
- Uilkins! Uilkins!!!
- Nu, kak rabotaet tvoe novoe sredstvo ot nasekomyh, starina?
Na vystavke sovremennoj skul'ptury.
Konfidencial'no
CERN/T/000
Vsem chlenam CERN
O STANDARTIZACII STATEJ
Iz-za rastushchego chisla nauchnyh rabot, publikuemyh chlenami CERN, a takzhe
v silu neobhodimosti klassifikacii i uporyadochennogo hraneniya etih publikacij
predstavlyaetsya zhelatel'nym, chtoby vse stat'i v dal'nejshem pisalis' v
sootvetstvii so standartnymi pravilami, dlya chego razrabotany privodimye nizhe
formy, s pomoshch'yu kotoryh process oformleniya statej svoditsya k vpisyvaniyu
formul i otdel'nyh slov v gotovyj tekst. |to dolzhno privesti k sushchestvennomu
sokrashcheniyu raboty kak pri podgotovke stat'i, tak i pri ee redaktirovanii. V
to zhe vremya eto novovvedenie okazhetsya ochen' poleznym dlya teh lyudej, kotorye
mogut popytat'sya izuchat' raboty, napisannye chlenami nashej organizacii.
Predpolagaetsya vypustit' celuyu seriyu takih standartnyh blankov.
Neskol'ko obrazcov uzhe podgotovleno i razoslano na mesta, gde ih mozhno
poluchit' po pis'mennoj pros'be nachal'nika otdela (forma CERN/PUB/1003).
- Standart TN/P1
Zaglavie: K voprosu o -- -- - v obobshchennoj modeli yadra.
Avtory:
......................................................................
i,............
Vvidu ser'eznyh trudnostej, voznikayushchih pri popytke tochnogo opisaniya
svojstv ansamblya sil'no vzaimodejstvuyushchih chastic, my rassmatrivaem sleduyushchij
priblizhennyj gamil'tonian:
..... .......................... .........................
.........................., (1)
gde cherez .................................. oboznacheny sootvetstvuyushchie
obobshchennye koordinaty. Gamil'tonian, takim obrazom, sostoit iz treh chlenov:
........................................
opisyvaet kollektivnoe dvizhenie,................... - dvizhenie
otdel'nyh chastic, a ..............................-sil'noe,
slaboe, promezhutochnoe (nenuzhnoe zacherknut') vzaimodejstvie mezhdu nimi.
Dlya energii nizkolezhashchih vozbuzhdennyh sostoyanij, takim obrazom,
poluchaem
" ...... ...... ........................ . ....
.................................. ....... , (2)
chto sootvetstvuet, konechno, prosto proizvedeniyu X2/2t na
i(i+1), kak i sledovalo ozhidat' [1]. Sistema ne obladaet central'noj
simmetriej, chto pozvolyaet nam opisyvat' ee poverhnost' kak deformirovannuyu
sferu. Moment inercii, sledovatel'no, opredelyaetsya polyusom vyrazheniya
................................................. , chto privodit k formule
"___^,(3)
.gde, odnako, zavisimost' parametra-.................... ot
......................................... neizvestna.
|ti vyvody s ochevidnost'yu podtverzhdayutsya eksperimental'nymi dannymi
(sm. ris. 1), odnako v promezhutkah mezhdu magicheskimi chislami nablyudayutsya
znachitel'nye otkloneniya (raznye eksperimental'nye dannye zdes', kstati, tozhe
protivorechat drug drugu) [2].
Avtory gluboko blagodarny............................ -direktoru
...............................-..... za proyavlennyj interes k rabote. Odin
iz nas (.........,............................ ) ves'ma
'blagodaren......................................... ,
LITERATURA
.....................................................................
2.
...........................................................................,
chastnoe soobshchenie.
2. Standart F/T 3
Zaglavie: O ................................................ v teorii
polya.
Avtor: ...........................................................
Kak pokazal SHvinger: ,,,,,,,,,,,,,,,,,,,,,,,,,,,,,,,,,,,,,,, (1)
Kogda
,,,,,,,,,,,,,,,,,,,,,,,,,,,,,,,,,,,,,,,,,,,,,,,,,,,,,,,,,,,,,,,,,(2)
Togda ............................................................(3)
Takim obrazom,
,,,,,,,,,,,,,,,,,,,,,,,,,,,,,,,,,,,,,,,,,,,,,,,,,,,,,,,,,,,,,,,,,,,,,,,,,(4)
chto, po-vidimomu, soglasuetsya s predpolozheniem, chto
,,,,,,,,,,,,,,,,,,,,,,,,,,,,,,,,,,,,,,,,,,,,,,,,,,,"____^,(5)
blagodarya chemu
.......................................................................(6)
Kogda...............................................................(7)
togda
..........................................................................
(8)
Poetomu s formal'noj tochki zreniya................................. (9)
Mozhno nadeyat'sya, chto privedennye vyshe argumenty privedut k obobshcheniyu
problemy ...................... sostoyanij.
Avtor ............................................ za cennuyu kritiku.
Iz 3-go yubilejnogo sbornika v chest' Nil®sa Vora
"The Journal of Jocular Physics", Kopengagen
Personalia
V RAZDELE:
Iz yubilejnyh sbornikov v chest' Nil®sa Bora:
Predislovie k 1-mu tomu "The Journal of Jocular Physics" L. Rozenfel'd.
Moe posvyashchenie. Novaya skazka o Lyubopytnom Slonenke * Atom, kotoryj postroil
Bor * Klyuch k sisteme klyuchej. (Dlinnoe pis'mo v redakciyu) 6 O. Frish. O
vozmozhnosti sozdaniya elektrostancij na ugle ...
Iz yubilejnogo sbornika v chest' Rudol'fa Pajerlsa:
K 50-letiyu Rudol'fa Pajerlsa f V. Vajskopf. P. A. U. L. I. i ego
primenenie ZH
K pyatidesyatiletiyu Nil'sa Bora sotrudniki Instituta teoreticheskoj fiziki
v Kopengagene (v kotorom, kak pravilo, rabotaet mnogo fizikov, s®ehavshihsya
so vseh koncov sveta) vypustili rukopisnyj sbornik pod nazvaniem "The
Journal of Jocular Physics" ("ZHurnal shutlivoj fiziki"), Zdes' my pechataem
predislovie k etomu sborniku.
PREDISLOVIE
K 1-mu tomu "The Journal of Jocular Physics"
Slachala my planirovali vypustit' k pyatidesyatiletiyu professora Bora
yubilejnyj nauchnyj sbornik, No byla ser'eznaya opasnost', chto pri takih
obstoyatel'stvah professor Bor pochuvstvuet sebya obyazannym ves' etot sbornik
prochest', a mozhet byt', dazhe popytat'sya v nem chto-nibud' ponyat', poetomu my
sochli nerazumnym zadavat' emu stol' trudnuyu zadachu i reshili ogranichit'
tematiku predpolagaemogo izdaniya rabotami shutochnogo haraktera,
|to reshenie prodiktovano i opravdano ne tol'ko zhelaniem razvlech'
chitatelya. Bol'shoe sobytie, otmechat' kotoroe my gotovilis', yavilos'
velikolepnym povodom sovershit', nakonec, tot shag, kotoryj byl uzhe
podgotovlen burnym razvitiem nashej nauki i v kotorom davno oshchushchalas'
neobhodimost': organizovat' i legalizovat' dovol'no staruyu oblast'
fiziki-"The Jocular Physics". Po prichinam, eshche ne vyyasnennym, ona do sih por
vlachila prosto zhalkoe sushchestvovanie na obshchem fone stremitel'nogo razvitiya
nauki. V kachestve pervoj mery my predprinyali izdanie etogo sbornika, kotoryj
znamenuet rozhdenie novogo periodicheskogo izdaniya, i posvyashcheno ono budet
isklyuchitel'no yumoristicheskoj storone mnogogrannoj zhizni mira fizikov. <
Odnako oshibochno bylo by schitat', chto novyj zhurnal prizvan sluzhit' prosto toj
otdushinoj, kotoraya pomozhet vyyavit' opredelennye cherty haraktera (k
priskorbiyu nashemu, poluchivshie shirokoe rasprostranenie dazhe sredi zrelyh
uchenyh), luchshe vsego opisyvaemye slovom "infantil'nost'". My polnost'yu
otdaem sebe otchet v tom, chto etot "dushok", nesmotrya na vse staraniya ego
izgnat', vse zhe chuvstvuetsya v nekotoryh, naibolee slabyh proizvedeniyah,
voshedshih v etot tom. Odnako dobrozhelatel'nyj chitatel' ubeditsya v tom, chto my
iskrenne' staralis' podderzhat' i sohranit' tot duh ispolnennogo nadezhdy
pessimizma i bezmyatezhnoj gotovnosti k hudshemu, kotoryj prines takie bogatye
plody v drugih oblastyah atomnoj fiziki.
"ZHurnal shutlivoj fiziki"" po-vidimomu, nashel svoih chitatelej i
ponravilsya, tak kak v dal'nej-shem v Kopengagene bylo vypushcheno eshche neskol'ko
nomerov. K shestidesyatiletiyu i semidesyatiletiyu Nil®sa Bora byli vypushcheny
vtoroj i tretij toma. Analogichnyj zhurnal byl vypushchen k pyatidesyatiletiyu R.
Pajerlsa. Nazvan on "The Journal of Unclear Physics"), to est' "ZHurnal
Nechistoj Fiziki".
V nashem sbornike pomeshchen ryad materialov iz etih yubilejnyh zhurnalov.
MOE POSVYASHCHENIE
L. Rozenfel'd
Pervym poslaniem, kotoroe ya poluchil ot Bora, byla telegramma,
glasivshaya, chto Isterskaya konferenciya otkladyvaetsya na dva dnya. V to vremya -
eto byl 1929 god - ya nahodilsya v Gettingene vmeste ; s Gajtlerom. My
iz®yavili zhelanie pobyvat' na etoj znamenitoj konferencii i oba poluchili ot .
Klejna blagopriyatnyj otvet, v kotoryj upomyanutaya telegramma v poslednyuyu
minutu vnesla popravku. Kogda my poyavilis' v Kopengagene, Bor soobshchil nam o
prichine otsrochki: on dolzhen byl zakonchit' ("s lyubeznoj pomoshch'yu Klejna", kak
on skazal) perevod odnoj iz svoih pervyh rabot, chtoby pomestit' ee v
yubilejnyj sbornik Kopengagenskogo universiteta. On mnogo rasskazyval nam o
drevnih tradiciyah etih yubilejnyh sbornikov, a pod konec dobavil: "Esli by ya
ne uspel zakonchit', eto byla by nastoyashchaya katastrofa!" |to utverzhdenie
pokazalos' mne neskol'ko preuvelichennym. V to vremya ya eshche ne ponimal, kakie
tragedii tait v sebe vneshne bezobidnaya procedura navedeniya okonchatel'nogo
bleska na "pochti gotovyj" tekst stat'i. YA ne znal togda, chto mne naznacheno
sud'boj byt' dejstvuyushchim licom v ogromnom kolichestve takih tragedij
Edinstvennym izvineniem mne mozhet posluzhit' .tot fakt, chto vo vsem, chto
kasaetsya fatal'noj nedoocenki ser'eznosti etogo dela (dopisyvaniya statej), ya
ni v koej mere ne yavlyayus' isklyucheniem. Dostatochno vspomnit' Faradeevskie
lekcii. Bor poyavilsya v Londone pered samymi Faradeevskimi torzhestvami s
rukopis'yu svoej lekcii, o kotoroj on govoril: "Prakticheski zakonchena".
Nedostavalo vsego neskol'kih stranic. Bor predpolagal uedinit'sya v
romanticheskoj obstanovke kakogo-nibud' drevnego anglijskogo postoyalogo dvora
i za nedelyu "s lyubeznoj pomoshch'yu Rozenfel'da" (tak on ob®yasnil misteru Karru,
sekretaryu himicheskogo obshchestva) pokonchit' s etim delom. Mister Karr byl v
vostorge. Posle napryazhennogo nedel'nogo truda v dovol'no perenaselennom i
isklyuchitel'no neromanticheskom otele, gde nam prihodilos' vesti postoyannuyu
vojnu nervov s odnoj gnevlivoj uchitel'nicej za monopol'noe pravo
pol'zovat'sya gostinoj, desyat' nedostayushchih stranic dejstvitel'no byli
napisany. No tut nam stalo yasno, chto rukopis' budet nesravnenno luchshe, esli
k nej dobavit' eshche dvadcat' stranic. Bor bukval'no zagorelsya etoj ideej,
kotoraya (kak on sumel menya ubedit') sushchestvenno priblizhala nas k okonchaniyu
raboty. I on napravil menya k misteru Karru dolozhit' ob etom zamechatel'nom
progresse v nashih delah. Mne ne pokazalos', chto misteru Karru ulybaetsya
takaya perspektiva. Skoree naoborot. On dazhe ne staralsya skryt' eto. " A
kogda ya popytalsya rasskazat' emu, kak my, ne razgibaya spiny, trudilis' vsyu
nedelyu, vid u nego byl - mne bol'no eto priznat' - reshitel'no nedoverchivyj.
I ya pokinul ego s razbitym serdcem.
No vernemsya k vstreche na kopengagenskom vokzale. To, chto soobshchenie o
predotvrashchennoj s trudom katastrofe ostavilo menya ravnodushnym, bol'no zadelo
bednogo Klejna. YA vspominayu sejchas ego ulybku v tot moment. Ona opredelenno
byla vymuchennoj. No chto by tam ni bylo, za vremya, proshedshee s teh por, ya
iskupil svoe legkomyslie.
CHto v oblike Bora proizvelo na menya pri pervoj vstreche naibol'shee
vpechatlenie, tak eto dobrozhelatel'nost', kotoruyu izluchalo vse ego sushchestvo.
V nem bylo chto-to otecheskoe, i eto vygodno podcherkivalos' prisutstviem
neskol'kih ego synovej. Synov'ya Bora vsegda byli dlya menya zagadkoj. Kogda ya
vstretil Bora na sleduyushchee utro v institute, vokrug nego opyat' bylo
neskol'ko synovej. Uzhe, kazhetsya, drugih. Na sleduyushchij den' posle obeda ya byl
potryasen, uvidev okolo nego eshche odnogo, novogo syna. Kazalos', on izvlekaet
ih iz rukava, kak fokusnik. S techeniem vremeni, odnako, ya nauchilsya otlichat'
odnogo syna ot drugogo i ponyal, chto chislo ih konechno.
YA ne znayu, s kakim chuvstvom vozvrashchalis' afinskie palomniki posle
konsul'tacii s del'fijskim orakulom. Istoriya ob etom umalchivaet. No dumayu,
chto ih chuvstva byli pohozhi na te, kotorye ovladeli mnoyu, kogda ya proslushal
vvodnyj doklad Bora na konferencii. On nachal s neskol'kih obshchih utverzhdenij,
cel'yu kotoryh, nesomnenno, bylo vyzvat' u kazhdogo iz prisutstvuyushchih
oshchushchenie, chto u nego iz-pod nog vnezapno vybili oporu (eto isklyuchitel'no
povyshaet ostrotu vospriyatiya i nastraivaet na "dopolnitel'nyj" obraz
myshleniya). S legkost'yu
dobivshis' etoj predvaritel'noj celi, on pospeshno pereshel k glavnomu
predmetu svoego vystupleniya i potryas nas vseh (krome Pauli) nenablyudaemost'yu
elektronnogo spina. My s Gajtlerom proveli vsyu vtoruyu polovinu dnya, pytayas'
postich' skrytuyu mudrost' po karakulyam v nashih zapisnyh knizhkah. K vecheru my
pochuvstvovali neobhodimost' podkrepit'sya i vyshli na ulicu. Gajtler,
poseshchavshij Kopengagen i do etogo, byl ochen' lyubezen, pomogaya preodolevat' te
melkie zatrudneniya, kotorye to i delo voznikali pri povsednevnom obshchenii s
datchanami. Kogda ya pozhelal goryachego shokolada i dovel ob etom dog svedeniya
oficianta, skazav emu po-nemecki "SHokoload", Gajtler mgnovenno perevel,
proiznesya na chistejshem datskom yazyke "SH'okolad!" Takim obrazom my izbezhali
nedorazumeniya, i moi poznaniya datskogo, nahodivshiesya v embrional'nom
sostoyanii, sushchestvenno prodvinulis' vpered.
Sleduyushchij vecher my proveli v kino vmeste s nekotorymi drugimi
uchastnikami konferencii. Kinoteatry vsegda byli zavedeniyami, pedagogicheskuyu
cennost' kotoryh dlya molodyh fizikov-teoretikov trudno pereocenit'. Tak bylo
i v etot raz. Imenno tam Kazimir nachal svoi izvestnye raschety magnitnogo
polya elektronov, kotoroe dejstvuet na yadro. Emu prishlos' rabotat' v
isklyuchitel'no trudnyh usloviyah. Kak tol'ko nachinalas' ocherednaya chast'
kartiny, svet vyklyuchalsya, i bednyaga Kazimir dolzhen byl zhdat', poka
vlyublennye preodolevayut ocherednuyu trudnost' na puti k soedineniyu, a potom
snova prinimalsya za vychisleniya. On ne teryal ni sekundy, i vspyhnuvshij svet
kazhdyj raz zastaval ego sklonennym nad klochkom bumagi, kotoryj on
lihoradochno pokryval zaputannymi formulami.
V otchayannoj situacii on delal vse, chto mog, i eto bylo voodushevlyayushchee
zrelishche.
Poslednij den' Kopengagenskoj konferencii byl dlya menya vysshej tochkoj.
Vse proizoshlo dovol'no neozhidanno. Na utrennej sessii odin iz naibolee
vidnyh gostej stal razvivat' svoi vzglyady na ochen' ostryj i spornyj vopros o
"propasti" mezhdu sistemoj i nablyudatelem, i eti vzglyady pokazalis' mne
oshibochnymi. Bor, odnako, vozrazhal (kak mne pokazalos') ochen' myagko, i v ego
neskol'ko smushchennoj rechi slova "ochen' interesno" povtoryalis' postoyanno. YA
byl etim ochen' obespokoen, tem bolee chto elita v pervom ryadu, kazalos',
vosprinimala eto kak dolzhnoe. Poetomu ya osmelilsya izlozhit' svoi somneniya
neposredstvenno Boru i nachal s ostorozhnogo utverzhdeniya, chto vzglyady
vystupavshego kazhutsya mne nedostatochno obosnovannymi. "O, - skazal Bor
bystro,- vse eto absolyutnaya chepuha!" I ya ponyal, chto byl vveden v zabluzhdenie
prosto terminologiej.
Posle etogo on privel menya v nebol'shuyu komnatu, posredi kotoroj stoyal
dovol'no dlinnyj stol. Postaviv menya okolo stola, Bor nachal dovol'no
bystrymi shagami opisyvat' vokrug nego ellips s bol'shim ekscentrisitetom,
prichem mesto, na kotorom ya stoyal, bylo odnim iz fokusov. Na hodu on govoril
nizkim myagkim golosom, izlagaya osnovy svoej filosofii. On hodil, skloniv
golovu i nahmuriv brovi, izredka poglyadyvaya na menya i kak by podcherkivaya
zhestom vazhnye mesta. Slova i frazy, kotorye ya i ran'she chital v ego rabotah,
vnezapno ozhili i napolnilis' znacheniem. |ta bylo odno iz teh mgnovenij,
kotorye ne chasto vstrechayutsya v chelovecheskoj zhizni, otkrytie celogo novogo
mira blestyashchih myslej, nastoyashchee posvyashchenie.
Obshcheizvestno, chto ni odno iz posvyashchenij ne prohodit bez togo, chtoby
novichka ne podvergali kakomu-libo boleznennomu ispytaniyu, V negrityanskih
obshchinah Central'noj Afriki, naprimer, ceremoniya posvyashcheniya zaklyuchaetsya v
slozhnoj posledovatel'nosti ochen' surovyh ispytanij, vklyuchaya zhestokie pytki.
V etom otnoshenii u menya tozhe vse bylo v poryadke. Poskol'ku ya napryagal svoj
sluh do predela, starayas' ne propustit' ni odnogo slova uchitelya, to
postepenno okazalsya vovlechennym v to zhe orbital'noe dvizhenie i s tem zhe
periodom, chto i Bor. Istinnyj smysl etoj ceremonii otkrylsya mne lish' togda,
kogda Bor konchil, podcherknuv, chto chelovek ne sposoben ponyat' princip
dopolnitel'nosti, esli ego predvaritel'no ne dovesti do polnogo
golovokruzheniya. Uslyshav eto, ya vse ponyal, mne ostavalos' tol'ko s
priznatel'nost'yu i voshishcheniem poblagodarit' ego za stol' trogatel'nuyu
zabotu.
(L. ROZENFELXD - professor Kopengagenskogo instituta teoreticheskoj
fiziki, redaktor zhurnala "Nuclear Physics".)
- A vot i soobshchenie Smita.
Maks Born v svoe vremya vybral astronomiyu v kachestve ustnogo ekzamena na
doktorskuyu stepen'. Kogda on prishel na ekzamen k izvestnomu astronomu-fiziku
SHvarcshil'du, tot zadal emu sleduyushchij vopros:
-, CHto vy delaete, kogda vidite padayushchuyu zvezdu?
Born, ponimavshij, chto na eto nado otvechat' tak: "YA by posmotrel na
chasy, zametil vremya, opredelil sozvezdie, iz kotorogo ona poyavilas',
napravlenie dvizheniya, dlinu svetyashchejsya traektorii i zatem vychislil by
priblizitel'nuyu traektoriyu", ne uderzhalsya i otvetil:
Gansu Landol'tu prinadlezhit shutka:
"Fiziki rabotayut horoshimi metodami s plohimi veshchestvami, himiki -
plohimi metodami s horoshimi veshchestvami, a fizhimiki - plohimi metodami i s
plohimi veshchestvami".
Odnazhdy vo vremya svoego obucheniya v Gettingene Nil's Bor ploho
podgotovilsya k kollokviumu, i ego vystuplenie okazalos' slabym. Bor, odnako,
ne pal duhom i v zaklyuchenie s ulybkoj skazal:
- YA vyslushal zdes' stol'ko plohih vystuplenij, chto proshu
rassmatrivat' moe nyneshnee kak mest'.
Odnazhdy |jnshtejn byl priglashen k Sklodovskoj-Kyuri. Sidya u nee v
gostinoj, on zametil, chto dva kresla okolo nego pustuyut - nikto ne smel v
nih sest'.
- Syad'te okolo menya,- smeyas' skazal |jnshtejn, obrashchayas' k ZHolio. - A to
mne kazhetsya, chto ya v Prusskoj Akademii nauk.
-Nichego, senator, eti podzemnye ispytaniya
neobhodimy dlya nashej bezopasnosti.
Bez slov.
- My schitali: 10, 9, 8, 7.. i sbilis' so scheta.
NOVAYA SKAZKA O LYUBOPYTNOM SLONENKE
Net, eto skazka ne o tom skvernom Slonenke, kotorom pisal Kipling,
Slonenke, kotoryj zhil Afrike i kotorogo koloshmatili ego dorogie
rodstvenniki, poka on ne nauchilsya koloshmatit' ih sam. )to skazka o drugom, o
horoshem Slonenke, kotorogo Nikogda ne koloshmatili rodstvenniki i kotoryj
nikogda ne zhil v Afrike, chto ochen' stranno, potomu chto on zhil pochti vo vseh
stranah mira. U etogo Lyubopytnogo Slonenka s samogo rozhdeniya byl
zamechatel'nyj nos, tak chto on ne nuzhdalsya v uslugah Staporo Krokodila, i so
vremenem on otkryl novuyu - Atomnuyu |ru. I u nego tozhe bylo mnogo-mnogo dyadek
i mnogo-mnogo tetok, i on byl polon nesnosnogo lyubopytstva i ko vsem
pristaval so svoimi voprosami.
Potom Lyubopytnyj Slonenok podros i stal zadavat' novye i neslyhannye
voprosy, kotorye pugali ego rodstvennikov. On sprosil svoego prestarelogo
dyadyushku filosofa, pochemu u nego takaya logika, i prestarelyj dyadyushka filosof
otvetil, chto eto potomu, chto on znaet, chto on nichego ne znaet.
A potom - vse iz-za togo zhe nesnosnogo lyubopytstva - on peresek
Severnoe more i stal hodit' po Anglii i rassprashivat' vseh pro Atom. I on
sprosil volosatogo dyad'ku Dzhi-Dzhi*, pochemu on delaet takie glupye oshibki, a
volosatyj dyad'ka Dzhi-Dzhi otvetil, chto eto vse iz-za romanticheskogo
voobrazheniya. I nesnosnyj Lyubopytnyj Slonenok napravilsya k dymnomu gorodu
Manchesteru, gde roslo mnogo fizikov, chtoby najti Starogo Krokodila * * i
sprosit' ego pro Atom. I on tol'ko chutochku-chutochku pobaivalsya Starogo
Krokodila, potomu chto on byl hrabryj Slonenok. I Staryj Krokodil oskalil
svoi strashnye zuby i rasskazal emu vse, chto on znal pro Atom.
I Lyubopytnyj Slonenok poshel domoj, nesya s soboj mnogo raznyh postulatov
i principov, i razbrasyval ih po doroge. A za nim shla tolpa malen'kih
zverushek, kotorye podbirali eti postulaty i principy i masterili iz nih
formuly i filosofskie teorii. I oni vospevali hvalu Slonenku, chto, konechno,
bylo ochen' skverno s ih storony, i ushi dyadyushek shevelilis' ot yarosti.
No Lyubopytnyj Slonenok zastavil pochti vseh dyadyushek poverit' pochti vo
vse ego postulaty i principy i sam stal dyad'koj, bol'shim, mudrym i mirnym,
sovsem kak dikij slon Hati. I on stal kurit' trubku i razbrasyvat' vokrug
zolu, a nekotorye iz malyh zverushek stali podrazhat' emu i tozhe stali
bol'shimi i mudrymi. I Slonenok postroil bol'shoj dom, gde on mog zhit' i
priglashat' v gosti bol'shih zverej i malen'kih zverushek. I on ohotno igral s
malen'kimi zverushkami, esli u nego bylo hot' nemnogo vremeni.
No zarya Atomnoj |ry nastupala slishkom bystro, i u Slonenka bylo ochen'
mnogo del: ved' on dolzhen byl vsem bol'shim zveryam ob®yasnit', chto im nado
delat'. A tak kak nekotorye iz nih nachali postupat' ploho, Slonenok stal
ochen' grustnym. No Korol' podaril emu malen'kogo slona, vyrezannogo iz
slonovoj kosti, chtoby vse zveri i vse ego dorogie rodstvenniki vse vremya
pomnili, kakoj on dobryj i mudryj Slonenok.
* Dzh. Dzh. Tompson.
** Krokodil - prozvishche Rezerforda, dannoe emu ego -blizhajshimi druz'yami
i uchenikami.
Lyagushka, malen'kaya zverushka.
...Nu vot, my ego i vyveli! Ne ponimayu, zachem on ponadobilsya nashim
raketchikam.
ATOM, KOTORYJ POSTROIL BOR
Vol'nyj perevod V. Turchina.
Vot atom, kotoryj postroil Bor.
|to - proton,
Kotoryj v centr pomeshchen
Atoma,
kotoryj postroil Bor. A vot elektron,
Kotoryj stremglav obletaet proton, Kotoryj v centr pomeshchen Atoma,
kotoryj postroil Bor. Vot myu-mezon,
Kotoryj raspalsya na elektron, Kotoryj stremglav obletaet proton,
Kotoryj v centr pomeshchen Atoma,
kotoryj postroil Bor. A vot pi-mezon,
Kotoryj, raspavshis', dal myu-mezon, Kotoryj raspalsya na elektron,
Kotoryj stremglav obletaet proton, Kotoryj v centr pomeshchen Atoma,
kotoryj postroil Bor. Vot bystryj proton, Kotoryj v udare rodil
pi-mezon, Kotoryj, raspavshis', dal myu-mezon, Kotoryj raspalsya na-elektron,
Kotoryj stremglav obletaet proton, Kotoryj v centr pomeshchen Atoma,
kotoryj postroil Bor. A vot bevatron,
V kotorom uskorilsya tot proton, Kotoryj v udare rodil pi-mezon,
Kotoryj, raspavshis', dal myu-mezon, Kotoryj raspalsya na elektron, Kotoryj
stremglav obletaet proton,
Kotoryj v centr pomeshchen Atoma,
kotoryj postroil Bor. A vot dopolnitel'nost'.
|to zakon,
Kotoryj Borom provozglashen. Zakon vseh narodov, Zakon vseh vremen,
Uspeshno opisyvayushchij s dvuh storon Ne tol'ko- proton I elektron,
No takzhe nejtron,*
Foton,
Pozitron,
Fonon,
Magnon,
|ksiton,
Polyaron,
Betatron,"
Sinhrotron,
Fazotron,
Ciklotron,
Ciklon,
Cejlon,
Nejlon,
Perlon,
Odekolon,
Dekameron.
I, nesomnenno, kazhdyj nejron Mozga, kotorym izobreten Tot zamechatel'nyj
bevatron, V kotorom uskorilsya tot proton, Kotoryj v udare rodil pi-mezon,
Kotoryj, raspavshis', dal myu-mezon, Kotoryj raspalsya na elektron, Kotoryj
stremglav obletaet proton, Kotoryj v centr pomeshchen Atoma,
kotoryj takzhe postroil Nil's Bor!

-Ty chto-nibud' chuvstvuesh', papochka?
Kogda gruppa uchenyh v Amerike poluchila 2 milligramma gidrookisi
plutoniya, to ot lyubopytnyh, zhazhdavshih uvidet' novyj element, ne bylo otboya.
No riskovat' dragocennymi kristallami bylo nel'zya, i uchenye, nasypav v
probirku kristalliki gidrookisi alyuminiya i podkrasiv ih zelenymi chernilami,
vystavili ih dlya vseobshchego obozreniya, "Soderzhimoe probirki predstavlyaet
soboj gidrookis' plutoniya", - nevozmutimo zayavlyali oni posetitelyam. Te
uhodili udovletvorennye.
KLYUCH K SISTEME KLYUCHEJ
(Dlinnoe pis'mo v redakciyu)
Panee bylo vyskazano mnenie, chto sistema dvernyh klyuchej v nashem
institute slozhnee, chem teoriya polya. |to yavnoe izvrashchenie faktov, i chtoby ego
oprovergnut', v nastoyashchem soobshchenii my izlagaem uproshchennuyu teoreticheskuyu
shemu, na osnove kotoroj sozdavalas' eta sistema.
Nachnem s opredelenij.
Klyuch sostoit iz sterzhnya, na kotorom ukrepleny shtifty.
Zamok sostoit iz shcheli s otverstiyami, raspolozhennymi sootvetstvenno
poziciyam shtiftov na sterzhne klyucha. Krome togo, v zamke imeetsya sistema
rychazhkov, nahodyashchihsya pozadi otverstij (sm. risunok).
Vvedem teper' sleduyushchie tri aksiomy:
1. SHtifty povorachivayut rychazhki; dlya togo chtoby zamok otkrylsya, vse
rychazhki v zamke dolzhny byt' povernuty.
2. Esli v dannoj pozicii net shtifta, otverstiya ili rychazhka, my budem
govorit' v dal'nejshem o nalichii v dannoj pozicii antishtifta, antiotverstiya
ili antirychazhka sootvetstvenno.
3. Ni v odnom zamke net rychazhkov za antiotverstiyami, ibo takoj zamok
nel'zya bylo by otkryt'.
Pust' shtifty, otverstiya i rychazhki opisyvayutsya znacheniem 1 peremennyh
ai-, Xi i si sootvetstvenno. Indeks i - nomer pozicii. Antishtifty,
antiotverstiya i antirychazhki sootvetstvuyut znacheniyu 0 teh zhe peremennyh.
Opredelim teper' matrichnoe umnozhenie sleduyushchim sposobom:
gde simvolicheskoe proizvedenie abs = a, esli odnovremenno c<b i
a>s, v protivnom sluchae abc = 1 - a. Otsyuda sleduet, chto esli (a1, a2...
a v stepeni k) est' sobstvennyj vektor operatora
to klyuch mozhet otperet' zamok.
Ispol'zuya etot formalizm, legko najti polnoe chislo klyuchej, kotorye
otkryvayut dannyj zamok (b/c) . Ono ravno
a chislo zamkov, kotorye mogut byt' otkryty dannym klyuchom (a), ravno
Pri poluchenii etih vyrazhenij uchityvalsya tot fakt, chto zamok (O/O) est'
triivial'nyj antizamok. V uravneniyah (2) i (3) k est' summa koefficientov
Klebsha - Gordana, ravnaya edinice.
Razvityj vyshe formalizm pozvolil reshit' sleduyushchuyu zadachu. Pust' nekto
hochet projti iz nekotoroj komnaty L cherez neskol'ko dverej v proizvol'nuyu
komnatu V. CHislo klyuchej, neobhodimoe dlya etogo, maksimizirovalos' pri
proizvol'nom vybore komnat A i V . (Problema minimizacii ne reshalas',
poskol'ku ee reshenie trivial'no - odinakovye zamki.) Zatem sotrudniki
instituta byli razbity na ryad podgrupp, i sistema klyuchej stroilas' takim
obrazom, chtoby odnovremenno vypolnyalis' dva usloviya::
1) ni odna podgruppa ne v sostoyanii otkryt' vse te zamki, kotorye mogut
byt' otkryty lyuboj drugoj podgruppoj;
2) transformacionnye svojstva grupp sootvetstvuyut vozmozhnosti
odalzhivaniya klyuchej.
Sozdateli sistemy klyuchej nadeyalis', chto ona yavlyaetsya edinstvenno
vozmozhnoj i polnoj, i do izvestnoj stepeni eto spravedlivo. Odnako
okazalos', chto klyuchi, kotorye ne dolzhny byli by otkryvat' nekotorye dveri,
otkryvayut ih, esli ih vstavlyat' v zamok ne do konca. Naprimer, klyuch (11111)
mozhet otkryt' zamok (10000/ 11111) v p = 5 razlichnyh polozheniyah. CHislo n
bylo nazvano strannost'yu sistemy. klyuch - zamok. |ksperimental'nymi
issledovaniyami bylo najdeno, chto nasha sistema klyuchej yavlyaetsya ves'ma
strannoj. Odnako etot nedostatok mozhno ispravit', esli potrebovat' dlya
poslednej pozicii soblyudeniya ravenstv ak = bk = Ck = 1. Budem nadeyat'sya, chto
pri blizhajshem peresmotre sistemy klyuchej v nee budet vneseno eto ispravlenie.
Na otmychki nastoyashchee issledovanie ne rasprostranyaetsya.
Avtor vyrazhaet blagodarnost' sotrudnikam, rabotayushchim v raznyh gruppah,
za goryachee obsuzhdenie zatronutyh problem.
Nomogramma raspredeleniya vremeni na raznyh stadiyah nauchnoj kar'ery
Primer primeneniya: otrezki gorizontal'noj punktirnoj linii pokazyvayut,
chto molodye specialisty tratyat vremya v osnovnom na rabotu; na konferencii i
lekcii vremeni ostaetsya malo.
O VOZMOZHNOSTI SOZDANIYA |LEKTROSTANCIJ NA UGLE
O. Frish
OT REDAKTORA. Privodimaya nizhe stat'ya perepechatana ezhegodnika
Korolevskogo instituta po ispol'zovaniyu energeticheskih resursov za 40905
god, str. 1001.
V svyazi s ostrym krizisom, vyzvannym ugrozoj istoshche-l uranovyh i
torievyh zalezhej na Zemle i Lune, redakciya ^schitaet poleznym prizvat' k
samomu shirokomu rasprostraneniyu informacii, soderzhashchejsya v etoj stat'e.
VVEDENIE. Nedavno najdennyj srazu v neskol'kih mestah ugol' (chernye,
okamenevshie ostatki drevnih rastenij) otkryvaet interesnye vozmozhnosti "dlya
sozdaniya neyadernoj energetiki. Nekotorye mestorozhdeniya nesut sledy
ekspluatacii ih doistoricheskimi lyud'mi, kotorye, po-vidimomu, upotreblyali
ugol' dlya izgotovleniya yuvelirnyh izdelij i chernili im lica vo vremya
pogrebal'nyh ceremonij.
Vozmozhnost' ispol'zovaniya uglya v energetike svyazana s tem faktom, chto
on legko okislyaetsya, prichem sozdaetsya vysokaya temperatura s vydeleniem
udel'noj energii, blizkoj k 0,0000001 megavatt-dnya na gramm. |to, konechno,
ochen' malo, no zapasy uglya, po-vidimomu, veliki i, vozmozhno, ischislyayutsya I
mil l ionami tonn.
Glavnym preimushchestvom uglya sleduet schitat' ego ochen' malen'kuyu po
sravneniyu s delyashchimisya materialami kriticheskuyu massu. Atomnye
elektrostancii, kak izvestno, stanovyatsya neekonomichnymi pri moshchnosti nizhe 50
megavatt, i ugol'nye elektrostancii mogut okazat'sya vpolne effektivnymi v
malen'kih naselennyh punktah s ogranichennymi energeticheskimi potrebnostyami.
PROEKTIROVANIE UGOLXNYH REAKTOROV. Glavnaya trudnost' zaklyuchaetsya v
sozdanii samopodderzhivayushchejsya i kontroliruemoj reakcii okisleniya toplivnyh
elementov. Kinetika etoj reakcii znachitel'no slozhnee, chem kinetika yadernogo
deleniya, i izuchena eshche slabo. Pravda, differencial'noe uravnenie,
priblizhenno opisyvayushchee etot process, uzhe polucheno, no reshenie ego vozmozhno
lish' v prostejshih chastnyh sluchayah. Poetomu korpus ugol'nogo reaktora
predlagaetsya izgotovit' v vide cilindra s perforirovannymi stenkami. CHerez
eti otverstiya budut udalyat'sya produkty goreniya. Vnutrennij cilindr,
koaksial'nyj s pervym i takzhe perforirovannyj, sluzhit dlya podachi kisloroda,
a teplovydelyayushchie elementy pomeshchayutsya v zazore mezhdu cilindrami.
Neobhodimost' zakryvat' cilindry na koncah torcovymi plitami sozdaet
trudnuyu, hotya i razreshimuyu matematicheskuyu problemu.
TEPLOVYDELYAYUSHCHIE |LEMENTY. Izgotovlenie ih, po-vidimomu, obojdetsya
deshevle, chem v sluchae yadernyh reaktorov, tak kak net neobhodimosti zaklyuchat'
goryuchee v obolochku, kotoraya v etom sluchae dazhe nezhelatel'na, poskol'ku ona
zatrudnyaet dostup kisloroda. Byli rasschitany razlichnye tipy reshetok, i uzhe
samaya prostaya iz nih - plotnoupakovannye sfery, - po-vidimomu, vpolne
udovletvoritel'na.
Raschety optimal'nogo razmera etih sfer i sootvetstvuyushchih dopuskov
nahodyatsya sejchas v stadii zaversheniya. Ugol' legko obrabatyvaetsya, i
izgotovlenie takih sfer, ochevidno, ne predstavit ser'eznyh trudnostej.
OKISLITELX.CHISTYJ kislorod ideal'no podhodit dlya etoj celi, no on
dorog, i samym deshevym zamenitelem yavlyaetsya vozduh. Odnako vozduh na 78%
sostoit iz azota. Esli dazhe chast' azota proreagiruet s uglerodom, obrazuya
yadovityj gaz cian, to i ona budet istochnikom ser'eznoj opasnosti dlya
zdorov'ya obsluzhivayushchego personala (sm. nizhe).
UPRAVLENIE i KONTROLX .Reakciya nachinaet idti lish' pri dovol'no vysokoj
temperature (988° po Farengejtu). Takuyu temperaturu legche vsego poluchit',
propuskaya mezhdu vneshnim i vnutrennim cilindrami reaktora elektricheskij tok v
neskol'ko tysyach amper pri napryazhenii ne nizhe 30 vol't. Torcovye plastiny v
etom sluchae neobhodimo izgotovlyat' iz izoliruyushchej keramiki, i eto vmeste s
gromozdkoj batareej akkumulyatorov znachitel'no uvelichit stoimost' ustanovki.
Dlya zapuska mozhno ispol'zovat' takzhe kakuyu-libo reakciyu s samovozgoraniem,
naprimer mezhdu fosforom i perekis'yu vodoroda, i takuyu vozmozhnost' ne sleduet
upuskat' iz vidu.
Techenie reakcii posle zapuska mozhno kontrolirovat', reguliruya podachu
kisloroda, chto pochti stol' zhe prosto, kak upravlenie obychnym yadernym
reaktorom s pomoshch'yu reguliruyushchih sterzhnej.
KORROZIYA. Stenki reaktora dolzhny vyderzhivat' temperaturu vyshe 1000°K v
atmosfere, soderzhashchej kislorod, azot, okis' i dvuokis' ugleroda, dvuokis'
sery i razlichnye primesi, mnogie iz kotoryh eshche neizvestny. Nemnogie metally
i special'naya keramika mogut vyderzhat' takie usloviya. Privlekatel'noj
vozmozhnost'yu yavlyaetsya nikelirovannyj niobij, no, vozmozhno, pridetsya
ispol'zovat' chistyj nikel'.
TEHNIKA BEZOPASNOSTI. Vydelenie yadovityh gazov iz reaktora predstavlyaet
ser'eznuyu ugrozu dlya obsluzhivayushchego personala. V sostav etih gazoobraznyh
produktov, pomimo isklyuchitel'no toksichnyh okisi ugleroda i dvuokisi sery,
vhodyat takzhe nekotorye kancerogennye soedineniya, takie, kak fenantren.
Vybrasyvanie ih neposredstvenno v atmosferu nedopustimo, poskol'ku privedet
k zarazheniyu vozduha v radiuse neskol'kih mil'. |ti gazy neobhodimo sobirat'
v kontejnery i podvergat' himicheskoj detoksifikacii. Pri obrashchenii kak s
gazoobraznymi, tak i s tverdymi produktami reakcii neobhodimo ispol'zovat'
standartnye metody distancionnogo upravleniya. Posle obezzarazhivaniya eti
produkty luchshe vsego topit' v more.
Sushchestvuet vozmozhnost', hotya i ves'ma maloveroyatnaya, chto podacha
okislitelya vyjdet iz-pod kontrolya. |to privedet k rasplavleniyu vsego
reaktora i vydeleniyu ogromnogo kolichestva yadovityh gazov. Poslednee
obstoyatel'stvo yavlyaetsya glavnym argumentom protiv uglya i v pol'zu yadernyh
reaktorov, kotorye za poslednie neskol'ko tysyach let dokazali svoyu
bezopasnost'. Projdut, vozmozhno, desyatiletiya, prezhde chem budut razrabotany
dostatochno nadezhnye metody upravleniya ugol'nymi reaktorami.
(O. FRISH - izvestnyj fizik-teoretik, professor Triniti-kolledzha
Kembridzh, Angliya, chlen Korolevskogo obshchestva.)
K 50-letiyu RUDOLXFA PAJERLSA
"Vnachale byl nejtron"
Rudol'f Pajerls rodilsya v 1907 godu, i etot fakt imeet pervostepennoe
znachenie, po krajnej mere s tochki zreniya izdaniya nastoyashchego sbornika. Esli v
detstve on i byl genial'nym rebenkom, to ob etom nikto ne pomnit/Poetomu my
ne budem interesovat'sya ego do professorskoj zhizn'yu, zametim tol'ko, chto
sperva on uchilsya u Zommerfel'da, a zatem byl perebroshen k Gejzenbergu.
Bol'shinstvo svoih otkrytij togo vremeni on sdelal v poezdah. Puteshestviya
zanosili ego daleko, naprimer v Rossiyu, i nikto iz znayushchih ego zhenu ne
obvinit Pajerlsa v tom, chto on vernulsya ottuda s pustymi rukami.
Nekotoroe vremya on rabotal assistentom Pauli. Pauli, ochevidno, byl im
ochen' dovolen, potomu chto vposledstvii s lyubov'yu vspominal, chto "Der Peierls
hat immer Quatsch gerechnet" *.
V eto vremya on vnes svoj krupnyj vklad v kvantovuyu teoriyu izlucheniya, i
tut oni s Landau zavarili takuyu kashu, chto Bor i Rozenfel'd rashlebyvali ee
neskol'ko mesyacev. Za vremya, proshedshee s teh por, on, po-vidimomu, vyskazal
bol'she nevernyh gipotez, chem lyuboj drugoj fizik za lyuboj otrezok vremeni,
chto celikom podtverzhdaet izvestnuyu pogovorku: "Dobro, sodeyannoe chelovekom,
zhivet i posle nego, a zlo... pokryvayut ego ucheniki". Po elektronnoj teorii
metallov u nego tozhe byli raboty. I hotya oni i ne ostalis'
neopublikovannymi, v udobochitaemoj forme ih mozhno najti lish' v knige
"Kvantovaya teoriya tverdogo tela". Ne sleduet zabyvat' i ego vklad v yadernuyu
fiziku. Ego staromu uchitelyu pripisyvayut vyskazyvanie, chto kriticheskie
zamechaniya Pajerlsa vsegda byli luchshe, chem ego raboty, vo vsyakom sluchae oni
gorazdo effektivnee oprovergali raznye horoshie idei. (Pohozhe, chto etomu on
nauchilsya u svoego uchitelya.) Krome togo, on vnes svoyu leptu v teoriyu
otnositel'nosti, teoriyu polya, teoriyu otopleniya zhilyh pomeshchenij, v sozdanie
parovyh kotlov s avtomaticheskoj uglepoda-chej, v vospitanie molodogo
pokoleniya i t. d. i t. p. No, pozhaluj, bol'she vsego on sdelal v kachestve
pedagoga. Termin "pajerlsizaciya" v fizike oznachaet umenie nabit' 30 chelovek
v pomeshchenie, rasschitannoe na 15, ne pol'zuyas' ni olivkovym maslom, ni
tomatnym sousom...
- |tot Pajerls vsegda vychislyal kakuyu-nibud' erundu.
YA ne znayu
P. A. U. L. I. I EGO PRIMENENIE
(Polucheno v iyule 1932 goda, chastichno rassekrecheno v iyule 1951 goda)
V. Vajskopf
|ta rabota v techenie 25 let byla zasekrechena SHvejcarskoj komissiej po
atomnoj energii. Nedavno polucheno soobshchenie, chto v SSSR sozdana takaya zhe
[mashina, no s radiusom v poltora raza bol'she, i SHKA| razreshila chastichnuyu
publikaciyu raboty.
SHvejcarskij federal'nyj tehnologicheskij institut nedavno priobrel
pribor, obladayushchij unikal'nymi vozmozhnostyami. |tot slozhnyj mehanizm
prednaznachen dlya proverki fizicheskih teorij, a takzhe dlya proizvodstva novyh
teorij i idej. Iz-za neobychajno tonkoj i chuvstvitel'noj konstrukcii etoj
mashiny obrashchenie s neyu i uspeshnoe ispol'zovanie okazalis' dovol'no
zatrudnitel'nymi. Avtor nastoyashchej zametki imel redkuyu vozmozhnost' izuchat' i
ispol'zovat' etot mehanizm v techenie dlitel'nogo promezhutka vremeni i hochet
podelit'sya zdes' priobretennym opytom.
Sokrashchennoe nazvanie mashiny - P.A.U.L.I. - rasshifrovyvaetsya kak
"Proizvodstvo Antisimmetrichnyh Unitarnyh Lorenc-Invariantnyh (teorij)". Pri
umelom, kak ukazyvalos' vyshe, obrashchenii mashina ne tol'ko sozdaet novye
pravil'nye teorii, no i isklyuchitel'no burno reagiruet na teorii, sozdannye
drugimi fizikami, esli oni ne obladayut harakteristikami, perechislennymi v
nazvanii mashiny, i (ili) drugimi neobhodimymi svojstvami.
Mashina imeet pochti sfericheskuyu formu. Ochen' vazhny ee dinamicheskie
harakteristiki. Apparat obladaet osnovnoj chastotoj oscillyacii Wo, kotoraya
vozbuzhdena postoyanno, dazhe esli apparatom ne pol'zuyutsya. Velichina chastoty ne
yavlyaetsya strogo postoyannoj, no ogranichena predelami 0,8<W<2,2 sek"1.
Vsem potrebitelyam rekomenduetsya tshchatel'no sledit' za tochnym znacheniem
chastoty i amplitudy kolebanij mashiny po pomeshcheniyu, poskol'ku eti znacheniya
tesno svyazany s ee rabochimi pokazatelyami.
K neschast'yu, ustrojstvo dovol'no gromozdko i rabota ego sil'no zavisit
ot regulyarnogo snabzheniya special'nym goryuchim, kotoroe ne vsegda legko
dostat' v drugih stranah. Po etoj prichine my ne sovetovali by zavodit'
dublikat mashiny, skazhem, v Anglii. Eshche ne sovsem ponyatno pochemu, no nikto
nikogda ne mog zastavit' etu mashinu rabotat' do poludnya. Dazhe v rannie
posleobedennye chasy ona rabotaet s pereboyami i chasto otvergaet dazhe
bezukoriznenno invariantnye teorii.
Snachala my obsudim ispol'zovanie mashiny dlya proverki teorij, sozdannyh
potrebitelyami. Nuzhno soblyudat' special'nye mery predostorozhnosti vo vsem,
chto kasaetsya formy, v kotoroj teoriya vvoditsya v mashinu. No dazhe esli
ispol'zovana samaya vyigryshnaya forma, mashina ne vsegda budet rabotat' kak
sleduet. Upravlyat' eyu dolzhen specialist. S pervoj popytki mashina, kak
pravilo, ne otvergaet teoriyu i ne podtverzhdaet ee, a ostaetsya v inertnom
sostoyanii, sovershenno neozhidannom dlya konstrukcij takogo tipa. Inogda posle
togo kak teoriya izlagaetsya mehanizmu v techenie poluchasa, poyavlyaetsya pervaya
reakciya, no nastol'ko slabaya, chto neiskushennyj chelovek sklonen zapodozrit'
kakuyu-nibud' nepoladku. Odnako vskore obnaruzhivayutsya pervye priznaki raboty
v vide izdavaemyh mashinoj slabyh zvukov, otdalenno napominayushchih nemeckie
slovosochetaniya vrode "Ganz dumm", "Sind Sie noch immer da?" *, kotorye
inogda soprovozhdayutsya neregulyarnymi fluktuaciyami chastoty i amplitudy
upomyanutogo vyshe osnovnogo kolebaniya.
Posle mnogokratnogo vvedeniya teorii v mashinu (inogda eto prihoditsya
povtoryat' do pyatidesyati raz) udaetsya nakonec dobit'sya polozhitel'noj reakcii-
mashina skripit i proiznosit: "Ach so, warum haben Sie das nicht gleich
gesagt!"**. |to pokazyvaet, chto kolesiki nakonec prishli v zaceplenie i
process nachalsya. Rezul'taty raboty mashiny soobshchayutsya sleduyushchim kodom:
periodicheski povtoryayushchiesya zvuki "Ganz falsch", "Sie sind schon wieder so
bdumm", "Naturlich, wieder falsch"***-oznachayut, chto teoriya neverna. No esli
razdaetsya: "Hab ich nur auch schon uberkgt?", "Das kann man besser
machen"****,-- to eto sluzhit ukazaniem, chto teoriya spravedliva, Interesno
takzhe pomestit' mashinu v auditoriyu vo vremya seminara. Pri planirovanii takoj
operacii neobhodimo predusmotret' nekotoroe prostranstvo dlya osnovnyh
kolebanij, amplituda kotoryh obnaruzhivaet tendenciyu k uvelicheniyu vo vremya
takih eksperimentov.
* Ochen' glupo. Vy vse eshche zdes'?
** Ah tak? Tak pochemu zhe vy mne eto srazu ne skazali!
*** Polnost'yu neverno. Vy opyat' nesete chepuhu. Konechno, snova neverno.
**** Razve ya ne govoril ob etom ran'she? |to mozhno sdelat' luchshe.
Rezul'taty, kak pravilo, byvayut ne slishkom uspeshnymi. Iz-za
isklyuchitel'noj chuvstvitel'nosti ustrojstva v nekotoryh sluchayah nablyudaetsya
polozhitel'naya obratnaya svyaz', kotoraya vremenami privodit k proboyu. Proboj
predstavlyaet obychno zametnuyu opasnost' dlya dokladchika, no na mashine ser'ezno
ne otrazhaetsya. V otdel'nyh sluchayah takie razryady na neprodolzhitel'noe vremya
dazhe uluchshali pokazateli mashiny.
Teper' my perejdem k rassmotreniyu vtorogo naznacheniya mashiny P.A.U.L.I.,
a imenno dlya proizvodstva novyh teorij. Hotya mozhno bylo opasat'sya, chto eta
zadacha budet bolee slozhnoj, dlya obsluzhivayushchego personala ona kak raz
okazalas' namnogo proshche. Fakticheski neobhodimo lish' izolirovat' mashinu ot
vneshnih vozmushchenij. Poka apparat snabzhaetsya dostatochnym kolichestvom beloj
bumagi, zapravlyaetsya podhodyashchim goryuchim (pokazano, chto dlya poslednej celi
luchshe vsego ispol'zovat' 5 funtov smesi uglevodov s rastitel'nymi belkami,
predvaritel'no nagretoj do 700°K, kotoraya zatem ohlazhdaetsya i vvoditsya v
mashinu malen'kimi porciyami po 20-30 grammov) i izoliruetsya ot akusticheskogo
shuma, osobenno sozdavaemogo studentami, on nepreryvno izvergaet iz sebya
potryasayushchee kolichestvo novyh pravil'nyh teorij, zapisannyh na bumage.
Pokazateli mashiny mogut byt' sushchestvenno uluchsheny dobavleniem k
goryuchemu opredelennyh himicheskih soedinenij, takih, kak... (Okonchanie stat'i
do sih por ne rassekrecheno.)
(V. VAJSKOPF - izvestnyj amerikanskij fizik-teoretik, v nastoyashchee vremya
general'nyj direktor CERN, avtor vyshedshih v russkom perevode neskol'kih knig
po teorii yadra.)
SHUTYAT NE TOLXKO FIZIKI
V RAZDELE:
Nortkot S. SHrkinson. Zakon Parkinsona v nauchnyh issledovaniyah ... Stefen
Likok. Zdravyj smysl i Vselennaya * Norman Applcveig. Saga o novom gormone ...
Sovetskij chitatel' znakom s edkoj i ostroumnoj kritikoj byurokratizacii
burzhuaznogo obshchestva, opublikovannoj pod nazvaniem "Zakon Parkinsona" (sm.
zhurnal "Inostrannaya literatura" No 6 za 1959 god). My predlagaem zdes'
otryvok, perevedennyj iz zhurnala "New Scientist" i nosyashchij nazvanie "Zakon
Parkinsona v nauchnyh issledovaniyah".
ZAKON PARKINSONA V NAUCHNYH ISSLEDOVANIYAH
Nortkot S. Parkinson
Mne, kak postoronnemu nablyudatelyu, kazhetsya, chto lyudi, kotorye
obrashchayutsya v Fondy i Tresty, v organizacii, nosyashchie imena Rokfellera,
Gugengejma i Forda, prezhde chem eto delat', dolzhny issledovat' vopros o
pogone za subsidiyami s nauchnoj tochki zreniya* V protivnom sluchae ih zhdet
razocharovanie. Znaya, chto sberezheniya neobhodimo tratit', a dohody -
rashodovat', poka ih ne oblozhili nalogom, eti lyudi chasto dumayut, chto stoit
lish' pridumat' plan, sostavit' smetu, i vas vezde primut s rasprostertymi
ob®yatiyami. Predpolozhim, u nekoego doktora Dajfonda est' plan, kak opredelit'
zabolevaemost' filateliej v Gonkonge. V mechtah on vidit sebya v kontore
tresta Vanderfellera pered sovetom direktorov, v sostav kotorogo vhodyat d-r
Pliz, m-r Otdall, m-r Rozdall i m-r Rieknull. Oni v vostorge ot ego plana i
bespokoyatsya tol'ko, hvatit li doktoru teh polutora millionov dollarov,
kotorye on prosit. U nih slozhilos' vpechatlenie, chto pyat' millionov - bolee
real'naya cifra.
"Kakie dollary vy imeete v vidu?" - sprashivaet robko Dajfond. "YA imel v
vidu, konechno, amerikanskie dollary",- otvechaet d-r Pliz. Mister Otdall
vypisyvaet chek i zhelaet Dajfondu vsego nailuchshego. Razgovor okonchen. Takovy
grezy.
A chto v dejstvitel'nosti? Dajfond okazyvaetsya v kabinete licom k licu s
d-rom Skupou, m-rom Fig-vam i m-rom G. de Garantiya. Skupou govorit, chto
Gonkong pod ustav Fonda ne podhodit i oni ne mogut dat' ni centa.
Figvam zayavlyaet, chto filateliya skoree social'noe zlo, nezheli bolezn', i
poetomu vyhodit za predely ih kompetencii. G. de Garantiya schitaet ves' plan
politicheski opasnym, poskol'ku rech' idet o Gonkonge. Vse vmeste ob®yasnyayut,
chto vsya eta ideya nedopustima, nepriemlema, amoral'na i nezakonna. Dajfonda
vybrasyvayut na ulicu, i shvejcaru daetsya ukazanie vpred' ego ne vpuskat'.
Ostavlennye im bumagi peresylayutsya prokuroru v kachestve veshchestvennyh
dokazatel'stv na predmet vozbuzhdeniya ugolovnogo dela po obvineniyu v
vymogatel'stve.
Vy sprosite, v chem zhe oshibka Dajfonda? Imeyutsya lyudi, kotorye dolzhny
istratit' den'gi. A on predlagaet plan, kak ih istratit'. Tak. Pochemu by
net? Ego proekt, tak kategoricheski otvergnutyj, nichut' ne bespoleznee mnogih
drugih, uzhe osushchestvlennyh. Pochemu zhe ego prognali? Prosto potomu, chto eto
ego plan. Tochno takoj zhe svoj plan oni priznali by blestyashchim. Glavnoe v
iskusstve polucheniya subsidij i dotacij - eto ubedit' chinovnikov Fonda, chto
proekt predlozhili oni sami, a vy lish' poddakivayushchaya im peshka, zaranee
soglasnaya so vsemi ih .predlozheniyami.
Predpolozhim teper', chto subsidiyu vy vse zhe poluchili - mozhet byt', ot
pravitel'stva, mozhet byt', ot obshchestvennyh blagotvoritel'nyh organizacij, a
skoree vsego za schet chastnogo pozhertvovaniya. Teper' vasha blizhajshaya zadacha -
izrashodovat' i dazhe pererashodovat' eti sredstva kak mozhno bystree, chtoby v
sleduyushchij raz poprosit' uzhe pobol'she. .Blagotvoriteli vsem drugim rashodam
predpochitayut rashody na postrojku zdaniya - ved' v ego fundament mozhno
torzhestvenno zalozhit' pervyj kamen', a na stenu povesit' memorial'nuyu dosku
s familiej zhertvovatelya. A kakuyu reklamu mog obespechit' im doktor Dajfond?
Nadgrobie na sobstvennoj mogile? Esli uzh vy reshili vozvesti zdanie, to luchshe
vsego pristroit' pompeznuyu memorial'nuyu arku k uzhe sushchestvuyushchej bol'nice
mezhdu laboratornym i administrativnym korpusami, a dlya sebya nadstroit'
gde-nibud' uyutnuyu kvartirku: ochen' vazhno zhit' poblizosti ot mesta raboty.
Krome togo, nadpis' na memorial'noj doske (i v etom preimushchestvo
predlozhennogo metoda) mozhno sostavit' tak, chtoby ona sozdavala vpechatlenie,
ne utverzhdaya v to zhe vremya etogo pryamo, chto zhertvovatel' zaplati^ za vsyu
bol'nicu. Sochinenie nadpisi sleduet poruchit' specialistu po
dvusmyslennostyam. Za nebol'shuyu, vernee za otnositel'no nebol'shuyu, platu ya
sam vzyalsya by sochinit' takuyu nadpis'. Postrojka paradnogo v®ezda - samoe
vernoe delo dlya privlecheniya pozhertvovanij (i zapomnite - u bol'nicy mogut
byt' ne odni vorota, a neskol'ko). No vsem zdaniyam prisushch obshchij nedostatok:
chislo uchenyh, kotorye v nih rabotayut, ochen' bystro uvelichivaetsya, oni
napolnyayut zdanie i perepolnyayut ego, v rezul'tate chego problema pomeshcheniya
vstaet ostree, chem prezhde. Kazhetsya dazhe, chto sami pomeshcheniya umen'shayutsya v
razmerah (eto, konechno, obman zreniya, no otmechennyj vyshe fakt ne podlezhit
nikakomu somneniyu).
Analogichnomu zakonu nepreryvnogo rosta podchinyaetsya i chislo zhurnalov,
osveshchayushchih progress v opredelennoj oblasti nauki. Pochemu eto proishodit? V
techenie dolgogo vremeni nikto ne mog dat' tolkovogo otveta na etot vopros,
poetomu ya ne bez udovol'stviya soobshchayu, chto mne udalos' vskryt' istinnye
prichiny razmnozhenij nauchnyh zhurnalov i zakony, po kotorym ono proishodit.
|ti zakony ya poyasnyu na sleduyushchem primere. Predpolozhim, chto samyj staryj i
respektabel'nyj iz vseh zhurnalov po klinicheskoj medicine (zhurnal No 1) v
techenie mnogih let izdavalsya professorom A. |tot professor byl vydayushchimsya
chelovekom (nastol'ko vydayushchimsya, chto mnogie, veroyatno, dogadyvayutsya o ego
imeni, kotoroe ya ne smeyu zdes' nazvat'). On umer neskol'ko let tomu nazad.
Esli A v chem-nibud' oshibalsya (a kto iz nas ne oshibaetsya!), to lish' v tom,
chto otkazyvalsya publikovat' vse stat'i, s kotorymi ne byl soglasen.
Prakticheski eto oznachaet - vse stat'i, napisannye chut'-chut' vyshe
uchenicheskogo urovnya. |to prodolzhalos' neskol'ko let i strashno nadoelo
professoru B, kotoryj nikogda i ni v chem ne soglashalsya s professorom A. Esli
by, naprimer, ih poprosili napisat' slovo "vinegret", ya uveren, chto oni
napisali by ego po-raznomu. Pri stol' porazhayushchej raznice vo vzglyadah ne
udivitel'no, chto stat'i professora B v techenie dvadcati treh let neizmenno
vozvrashchalis' avtoru. Po istechenii etogo sroka on reshil osnovat' zhurnal No 2.
|to izdanie nachalo vyhodit' na bolee liberal'noj osnove, i sperva v nem
pechatalos' vse, krome rabot teh avtorov, otnositel'no kotoryh bylo tochno
izvestno, chto oni yavlyayutsya posledovatelyami professora A. No i u professora B
byli svoi vysokie principy. On schital, chto lyubye vzglyady, v tom chisle i te,
kotorye hot' nemnogo otlichayutsya ot ego sobstvennyh, zasluzhivayut prava na
svobodnoe izlozhenie; on nastaival lish' na tom, chtoby oni byli izlozheny
posledovatel'no i nauchno. I vot emu prishlos' odnazhdy, a zatem eshche i eshche raz
otvergnut' raboty, predstavlennye professorom V. (Ob etom poslednem ya dolzhen
govorit' s ostorozhnost'yu: on zdravstvuet i ponyne i zasluzhenno poluchaet
pensiyu.) Ego vse schitali original'nym i interesnym myslitelem, no nahodili,
chto on ne< skol'ko toropliv v svoih vyvodah i slegka nebrezhen pri
izlozhenii rezul'tatov. Obnaruzhiv, chto ego stat'i otvergayutsya zhurnalami No 1
i No 2, on stal osnovatelem i pervym izdatelem zhurnala No 3, kotoryj ne
otkazyvalsya ot samyh nevrazumitel'nyh rabot na samye tumannye temy. Vse vy
znaete, kakoj zhurnal ya imeyu v vidu. No esli znaete, to dolzhny zametit', chto
i u nego est' reputaciya, kotoroj on dorozhit. Ego literaturnyj uroven' ochen'
vysok. Byt' mozhet, v ego soobshcheniyah nichego ne soobshchaetsya, a risunki
dokazyvayut utverzhdeniya, obratnye tem, kotorye oni dolzhny illyustrirovat', no
grammatika v etom zhurnale vyshe vsyakoj kritiki. Sleduya ego klinicheskim
sovetam, vy mozhete stat' ubijcej, no stranicy etogo izdaniya nikogda ne
oskvernyalis' tyazhelovesnym oborotom. CHuvstvuya sebya obyazannym ohranyat'
literaturnuyu reputaciyu zhurnala (tol'ko poetomu!), redaktor byl vynuzhden
otklonyat' raboty professora G. No - my eto vse znaem - professor G ne takoj
chelovek, kotoromu mozhno zakryt' dostup na pechatnye stranicy. I vot chitatel'
poluchaet zhurnal No 4. No ved' i G dolzhen gde-to provesti zapretnuyu chertu! On
uporno otkazyvaetsya publikovat' trudy professora D pod tem predlogom, chto D
ne znaet orfografii. (I eto, chestno govorya, pravda.) Konechno, nekotorye
stanut utverzhdat', chto stat'yu mozhno dorabotat' i v redakcii. (I eto,
razumeetsya, spravedlivo.) No professora G tozhe mozhno ponyat', i ya ne stal by
obvinyat' ego v ogranichennosti. Prosto on ne hochet, chtoby o zhurnale No 4
hodila molva, budto tam prinimayut vse, chto napechatano na mashinke na odnoj
storone lista cherez dva intervala. On dolzhen podderzhivat' prestizh zhurnala. S
drugoj storony, ni u kogo ne podnimetsya ruka brosit' kamen' v professora D
za to, chto on nachal izdavat' zhurnal No 5. Imenno takoe razvitie sobytij
privelo k tomu, chto tol'ko po voprosam zubovrachevaniya i zuboprotezirovaniya u
nas izdaetsya okolo vos'midesyati zhurnalov.
Esli by progress v nauke izmeryalsya tol'ko kolichestvom opublikovannyh
rabot, to chislo sushchestvuyushchih zhurnalov moglo by stat' istochnikom
udovletvoreniya i gordosti. No neobhodimo pomnit', chto kazhdomu zhurnalu nuzhen
redakcionnyj sovet i redkollegiya, neskol'ko redaktorov s pomoshchnikami,
mnogochislennye obozrevateli, konsul'tanty i recenzenty. Za schet
cheloveko-chasov, potrachennyh na akademicheskuyu zhurnalistiku, teryaetsya massa
vremeni, prednaznachennogo dlya nauchnoj raboty. Esli by vse, imeyushchie
kasatel'stvo k kakomu-to opredelennomu voprosu, chitali zhurnaly, izdayushchiesya
drugimi (a eto luchshij sposob izbezhat' dublirovaniya), to yasno, chto u nih ne
ostavalos' by vremeni ni na chto drugoe. Interesno otmetit', chto te nemnogie
lyudi, issledovaniya kotoryh predstavlyayut hot' kakuyu-to cennost', obychno
derzhat drug druga v kurse svoih del s pomoshch'yu lichnoj perepiski.
Iz skazannogo mozhno oshibochno zaklyuchit', chto vsyakij chelovek, posvyativshij
sebya nauchnoj rabote, zakanchivaet svoyu kar'eru redaktorom. |to neverno.
Stanovyatsya redaktorami lish' te, komu ne udaetsya zanyat' administrativnuyu
dolzhnost'.
Kakov normal'nyj hod sobytij? CHeloveku, sdelavshemu znachitel'nyj vklad v
nauku, nastojchivo predlagayut subsidii dlya rasshireniya fronta issledovanij.
Imenno tak sluchilos' s doktorom Lozhkin-som, blestyashchim sotrudnikom professora
Vilkinsa. Razve mozhno zabyt' ego rech', proiznesennuyu na zasedanii
Amerikanskoj federacii klinicheskih issledovanij v 1938 godu! Po ego teorii
hudozhniki, sozdayushchie sovremennuyu abstraktnuyu zhivopis', kak pravilo, stradayut
dal'tonizmom, a v otdel'nyh sluchayah - slaboumiem. |tim on sozdal sebe
reputaciyu, i fond Dalvzyalkinsa pospeshil shchedro subsidirovat' ego dal'nejshuyu
rabotu. Lozhkinsa poprosili vyyasnit', dejstvitel'no li u kompozitorov,
pishushchih tanceval'nuyu muzyku dlya molodezhi, otsutstvuet muzykal'nyj sluh (kak
podozreval professor Vilkins) ili oni prosto psihicheski nedorazvity (mnenie,
k kotoromu sklonyalsya sam Lozhkins). |to byl grandioznyj proekt. Sektor A
prednaznachalsya dlya raboty s hudozhnikami, stradayushchimi cvetnoj slepotoj, a
sektor V - dlya obsledovaniya umstvenno nepolnocennyh dzhazistov. Otnyne
doktoru Lozhkinsu prihodilos' zanimat'sya organizaciej raboty svoego
personala, naschityvayushchego 432 cheloveka, iz kotoryh 138 imeli medicinskuyu ili
nauchnuyu kvalifikaciyu, 214 imeli srednee i vysshee tehnicheskoe obrazovanie, 80
byli nanyat'! dlya kancelyarskoj raboty. Nu, a to, chto sam doktor Lozhkins
lishilsya vozmozhnosti zanimat'sya nauchnoj rabotoj, - ochevidno. No ne mnogie
lyudi ponimayut, chto na etom puti oni lishatsya takzhe i vozmozhnosti rukovodit'
ch'ej-libo nauchnoj rabotoj. Oni budut vse vremya tratit' na problemy
racional'nogo ispol'zovaniya rabochih pomeshchenij, zanimat'sya tehnikoj
bezopasnosti, sostavleniem grafika otpuskov, uporyadochivaniem zarabotnoj
platy i t. d. i t. p.
Teper' my mozhem sformulirovat' "Zakon Parkinsona dlya nauchnyh
issledovanij". Vot on: "Uspeh v nauchnyh issledovaniyah vyzyvaet takoe
uvelichenie subsidii, chto prodolzhenie issledovanij stanovitsya nevozmozhnym".
Napechatano v zhurnale
"New Scientist", 13, No 271 (1962).
ZDRAVYJ SMYSL I VSELENNAYA
Stefen Likok
"Za sto sem'desyat shest' let Nizhnyaya Missisipi stala koroche na dvesti
sorok dve mili. V srednem eto sostavlyaet chut' bol'she, chem milya s tret'yu za
god. Otsyuda sleduet - v etom mozhet ubedit'sya lyuboj chelovek, esli on ne
slepoj i ne idiot ,- chto v nizhnesilurijskom periode (on zakonchilsya kak raz
million let tomu nazad: v noyabre yubilej) dlina Nizhnej Missisipi prevyshala
odin million trista tysyach mil'. Tochno tak zhe otsyuda sleduet, chto cherez
sem'sot sorok dva goda dlina Nizhnej Missisipi budet ravna odnoj mile s
chetvert'yu, Kair i Novyj Orlean sol'yutsya i budut procvetat', upravlyaemye
odnim merom i odnoj kompaniej municipal'nyh sovetnikov. V nauke
dejstvitel'no est' chto-to zahvatyvayushchee: takie daleko idushchie i vseob®emlyushchie
gipotezy sposobna ona stroit' na osnovanii skudnyh fakticheskih dannyh".
(Mark Tven, "ZHizn' na Missisipi")
Vystupaya v dekabre 1941 goda na ezhegodnom sobranii Amerikanskoj
associacii sodejstviya razvitiyu nauki i vystupaya fakticheski ot imeni i po
porucheniyu svoego ogromnogo 100-dyujmovogo teleskopa, professor |dvin Habbl iz
observatorii Maunt-Vil'son (Kaliforniya) s dovol'nym vidom ob®yavil, chto
Vselennaya ne rasshiryaetsya. |to byla poistine horoshaya novost', esli i ne dlya
shirokoj publiki, u kotoroj poka ne bylo osnovanij podozrevat', chto Vselennaya
voobshche rasshiryaetsya, to po krajnej mere dlya teh iz nas, kto smirenno pytaetsya
"sledit' za razvitiem nauki". V techenie poslednih dvadcati pyati let, tochnee
so dnya obnarodovaniya etoj uzhasnoj gipotezy professorom de Sitterom v 1917
godu, my, kto kak mog, pytalis' zhit' v etoj rasshiryayushchejsya Vselennoj, kazhdaya
chast' kotoroj s koshmarnoj skorost'yu uletaet ot vseh ostal'nyh chastej. |to
napominalo nam togo otchayavshegosya vlyublennogo, kotoryj vskochil na konya i
poskakal, kak bezumnyj, vo vseh napravleniyah. Ideya byla velichestvennaya, no
sozdavala kakoe-to oshchushchenie neudobstva.
Tem ne menee my dolzhny byli v nee verit'. Dolzhny byli, potomu chto
polagalis', naprimer, na avtoritet Spensera Dzhonsa iz Korolevskogo
astronomicheskogo obshchestva, kotoryj ne dalee kak v 1940 godu v svoej
zahvatyvayushchej knige "ZHizn' v drugih mirah" utverzhdal, chto "dalekaya galaktika
v sozvezdii Volopasa udalyaetsya ot nas so skorost'yu 24 300 mil' v sekundu.
Otsyuda sleduet, chto ona nahoditsya na rasstoyanii 230 000 000 svetovyh let ot
Solnechnoj sistemy". YA na vsyakij sluchaj napomnyu moim druz'yam - lyubitelyam
nauki, chto svetovoj god - eto rasstoyanie, kotoroe svet prohodit za god,
dvigayas' so skorost'yu 186000 mil' (300000 km) v sekundu. Drugimi slovami,,
eta "dalekaya galaktika" nahoditsya ot nas sejchas na rasstoyanii 1 049 970 980
000 000 000 000 mil'...
I vot teper' okazyvaetsya, chto ona vovse ne udalyaetsya! A ved' astronomy
ne prosto predpolozhili, chto Vselennaya rasshiryaetsya, a dokazali eto, izuchaya
povedenie krasnoj chasti spektra, kotoraya ot takogo otkrytiya pokrasnela eshche
bol'she, kak ta stydlivaya voda v Kane Gallilejskoj, kotoraya "uvidela Gospoda
Boga svoego i pokrasnela". Odin iz samyh vydayushchihsya nashih astronomov, ser
Artur |ddington, napisal knizhku "Rasshiryayushchayasya Vselennaya", chtoby dovesti
etot fakt do vseobshchego svedeniya. Astronomy v bol'shinstve svoem vosprinyali
novost' ob etom vselenskom vzryve s takim zhe spokojstviem, s kakim v svoe
vremya prinyali k svedeniyu izvestie o gryadushchej teplovoj smerti Vselennoj;
soglasno vtoromu zakonu termodinamiki, ona ved' dolzhna pogibnut' ot holoda.
No radost', kotoruyu dostavil nam professor Habbl, umeryaetsya nekotorymi
somneniyami i razmyshleniyami. Ne podumajte, chto ya vyskazyvayu neverie v nauku
ili neuvazhenie k nej (v nashi dni eto bylo by tak zhe chudovishchno, kak vo
vremena Isaaka N'yutona ne verit' v Svyatuyu Troicu). No vse zhe... Segodnya my
rasshiryaemsya, zavtra - szhimaemsya: sperva my muchaemsya v iskrivlennom i
zamknutom prostranstve, potom etu petlyu oslablyayut i raspuskayut sovsem;
tol'ko chto nas prigovorili k muchenicheskoj smerti pri temperature minus 273°
po-Cel'siyu, v holode, kotoryj ohvatit vseh i vsya,- i vot snova poteplelo.
Tak vprave my sprosit' - v chem zhe delo? Gde my nahodimsya? A na etot vopros
otvechaet |jnshtejn: "Nigde, potomu chto mesta, gde my mogli by nahodit'sya, net
voobshche". Tak chto podhvatyvajte svoi knizhki, sledite za razvitiem nauki i
zhdite sleduyushchego astronomicheskogo kongressa. Voz'mem istoriyu so znamenitym
Vtorym nachalom termodinamiki, etim proklyatiem neumolimoj sud'by, kotoroe
obrekaet vsyu Vselennuyu (ili po krajnej mere vsyu zhizn' vo Vselennoj) na
smert' ot holoda. Teper' ya s sozhaleniem vspominayu slezy, kotorye prolival,
serdechno sochuvstvuya toj poslednej kuchke obrechennyh, kotorym predstoit
skonchat'sya pri temperature 273° nizhe nulya po Cel'siyu, pri absolyutnom nule,
kogda vse teplo budet ischerpano i vse molekuly ostanovyatsya. Ne budut goret'
pechi, ne budut zazhigat'sya spichki, da i nekomu ih budet zazhigat'...
Pomnyu, kak ya pervyj raz, eshche buduchi malen'kim mal'chikom, prochital pro
etot zhestokij zakon v "nauchno-populyarnoj" knizhke, ozaglavlennoj "Nashe vremya
istekaet". Napisana ona byla Richardom Proktorom i proizvodila uzhasayushchee
vpechatlenie. Solnce-to, okazyvaetsya, ostyvaet i skoro pogasnet sovsem. |to
podtverdil i lord Kel'vin. Kak vse shotlandcy, on-to nichego ne boitsya i
ostavil Solncu i vsej Solnechnoj sisteme tol'ko devyanosto millionov let
zhizni.
|to znamenitoe predskazanie vpervye bylo sdelano v 1824 godu velikim
francuzskim fizikom Nikola Karno. On pokazal, chto vse tela vo Vselennoj
menyayut svoyu temperaturu - goryachie ostyvayut, a holodnye nagrevayutsya. Takim
obrazom, oni vyravnivayut svoyu temperaturu. |to vse ravno chto razdelit'
bogatoe nasledstvo porovnu mezhdu vsemi bednymi rodstvennikami; rezul'tatom
budet obshchaya nishcheta. Tak i nas vseh v konce koncov dolzhen ohvatit' holod
mirovogo prostranstva.
Pravda, problesk nadezhdy poyavilsya, kogda |rnst Rezerford i drugie
uchenye otkryli radioaktivnost'. Radioaktivnye atomy, raspadayas', kazalos',
smogut podderzhivat' ogon' na Solnce eshche dovol'no dolgo. |ta priyatnaya novost'
oznachala, chto Solnce, s odnoj storony, mnogo molozhe, a s drugoj - mnogo
starshe, chem predpolagal lord Kel'vin. No vse ravno eto vsego lish' otsrochka.
Vse, chto uchenye mogut nam predlozhit', eto 1 500 000 000 let. Potom vse ravno
zamerznem.
Kogda na smenu srednevekovym sueveriyam prishlo prosveshchenie, pervymi
naukami, kotorye vydelilis' i samoopredelilis', byli matematika, astronomiya
i fizika. K nachalu devyatnadcatogo stoletiya vse bylo postavleno na svoi
mesta; Solnechnaya sistema vrashchalas' tak sonno i plavno, chto Laplas sumel
ubedit' Napoleona v tom, chto bog, kotoryj by prismatrival za nej, voobshche ne
nuzhen. Gravitaciya rabotala, kak chasy, a chasy rabotali, kak gravitaciya.
Himiya, kotoraya, kak i elektrichestvo vo vremena Bendzhamena Franklina, byla
lish' naborom bessvyaznyh eksperimental'nyh dannyh, prevratilas' v nauku posle
togo, kak Lavuaz'e otkryl, chto ogon' ne veshch', a process, chto-to proishodyashchee
s veshchami. |ta mysl' byla nastol'ko vyshe ponimaniya shirokoj publiki, chto ee
avtora v 1794 godu gil'otinirovali. Poyavilsya Dal'ton i pokazal, chto lyubuyu
veshch' mozhno razdrobit' na ochen'-ochen' malen'kie atomy, atomy ob®edinyayutsya v
molekuly, i vse idet po planu. S Faradeya i Maksvella zanyalo svoe mesto v
novom nauchnom poryadke i elektrichestvo (okazalos', chto eto to zhe samoe, chto
magnetizm).
Primerno k 1880 godu vyyasnilos', chto mir prekrasno ob®yasnen naukoj.
Metafizika vse eshche chto-to bormotala vo sne. Teologiya vse eshche proiznosila
propovedi. Ona pytalas' osparivat' mnogie otkrytiya nauki, osobenno v
geologii i v novoj evolyucionnoj teorii zhizni. No nauka uzhe obrashchala na eto
malo vnimaniya.
Potomu chto vse bylo ochen' prosto. Est' vremya i prostranstvo - veshchi
slishkom ochevidnye, chtoby ih ob®yasnyat'. Est' materiya, sdelannaya iz malen'kih
tverdyh atomov, pohozhih na kroshechnye zernyshki. Vse eto dvizhetsya, podchinyayas'
zakonu vsemirnogo tyagoteniya. Tumannosti sgushchayutsya v zvezdy, zvezdy izvergayut
planety, planety ostyvayut, na nih zarozhdaetsya zhizn', ona razvivaetsya i
stanovitsya razumnoj, poyavlyayutsya sperva chelovekoobraznye obez'yany, potom
episkop Uilberfors i, nakonec, professor Geksli.
Ostalos' neskol'ko nebol'shih neyasnostej, naprimer vopros o tom, chto zhe
Fakoe na samom dele prostranstvo i materiya, i vremya, i zhizn', i razum. No
vse eti veshchi Gerbert Spenser ochen' kstati dogadalsya nazvat' nepoznavaemymi,
zaper v yashchik pis'mennogo stola i tam ostavil.
Vse bylo ob®yasneno mehanicheskim ZHeleznym Determinizmom. Ostavalsya
tol'ko etot protivnyj skelet v yashchike pis'mennogo stola. Da bylo eshche chto-to
strannoe i tainstvennoe v elektrichestve, kotoroe bylo ne to chtoby prosto
veshch', no i ne to chtoby prosto vydumka. Byla eshche strannaya zagadka o "dejstvii
na rasstoyanij", i elektrichestvo ee tol'ko usugublyalo. Kak tol'ko dobiraetsya
tyagotenie ot Zemli do Solnca? Esli v prostranstve net nichego, to kakim
obrazom svet doletaet k nam ot Solnca za vosem' minut i dazhe ot Siriusa - za
vosem' let? Dazhe izobretenie "efira", etakogo universal'nogo zhele, po
kotoromu hodyat volny, ryab' i drozh', ne izbavlyalo nauku ot nekotoroj
neubeditel'nosti.
I vot, kak raz na poroge XX stoletiya vse zdanie nachalo rushit'sya.
Pervym preduprezhdeniem, chto ne vse ladno, bylo otkrytie iks-luchej.
Otkryl ih Rentgen, i s teh por bol'shinstvo fizikov nazyvayut ih
rentgenovskimi. Ser Uil'yam Kruks, eksperimentiruya s trubkami, napolnennymi
razrezhennym gazom, otkryl "luchistuyu materiyu" tak zhe sluchajno, kak Kolumb
otkryl Ameriku. Britanskoe pravitel'stvo srazu zhe pozhalovalo Kruksu
dvoryanstvo, no bylo uzhe pozdno. Delo bylo sdelano.
Zatem posledovali raboty celoj shkoly issledovatelej radioaktivnosti.
Vencom ih byli trudy Rezerforda, kotoryj revolyucioniziroval teoriyu stroeniya
veshchestva. YA horosho znal Rezerforda - my s nim v techenie semi let byli
kollegami po Mak-Gillskomu universitetu - i mogu podtverdit', chto on
dejstvoval bez zaranee obdumannogo namereniya potryasti osnovy Vselennoj. No
sdelal on imenno eto, za chto ego tozhe v svoe vremya proizveli v lordy.
Ne sleduet putat' trudy Rezerforda po yadernoj fizike s teoriej
prostranstva i vremeni, kotoruyu sozdal |jnshtejn. Rezerford ni razu v zhizni
ne soslalsya na |jnshtejna. Dazhe kogda on rabotal v Kavendishskoj laboratorii
i, proyavlyaya chernuyu neblagodarnost', razbival te samye atomy, kotorye ego
proslavili, dazhe togda emu nichego ne bylo nuzhno ot |jnshtejna. YA odnazhdy
sprosil Rezerforda (eto bylo v 1923 godu, vsemirnaya slava |jnshtejna byla v
zenite), chto on dumaet o teorii otnositel'nosti. "A, chepuha! - otvetil on. -
Dlya nashej raboty eto ne nuzhno!" Ego biograf i pochitatel', professor Iv,
rasskazyvaet, chto, kogda nemeckij fizik Vin skazal Rezerfordu, chto ni odin
anglosaks ne ponimaet teorii otnositel'nosti, Rezerford otvetil:
"Estestvenno, u nas slishkom mnogo zdravogo smysla".
No vse zhe glavnye nepriyatnosti nachalis' imenno s |jnshtejna. V 1905 godu
on ob®yavil, chto absolyutnogo pokoya net. I s teh por ego ne stalo. No tol'ko
posle pervoj mirovoj vojny na |jnshtejna nabrosilas' chitayushchaya publika, i
polki v magazinah stali lomit'sya ot knizhek "pro otnositel'nost'".
|jnshtejn nokautiroval prostranstvo i vremya tak zhe, kak Rezerford
nokautiroval veshchestvo. Obshchij vzglyad teorii otnositel'nosti na prostranstvo
ochen' prost. |jnshtejn vsem ob®yasnil, chto net takogo mesta, kak "zdes'". "No
ved' ya-to zdes',- skazhete vy. - Zdes' - kak raz to mesto, gde ya sejchas
sizhu". No ved' vy dvigaetes'! Zemlya vertitsya, i vy na nej vertites'. Vmeste
s Zemlej vy dvizhetes' vokrug Solnca, a vmeste s Solncem - vsled za "dalekoj
galaktikoj", kotoraya sama mchitsya so skorost'yu 26 000 mil' v sekundu. Tak chto
zhe eto za mesto - "zdes'"? Kak vy ego otmetite? Vse eto ochen' napominaet
rasskaz o dvuh idiotah na rybalke. Odin iz nih govorit drugomu: "Slushaj,
nado zametit' to mesto, gde my vytashchili etu zdorovuyu rybinu", a tot emu
otvechaet: "Da ya uzhe sdelal otmetinu na bortu lodki". Vot vam i "zdes'"!
Otkrytie |jnshtejnom krivizny prostranstva fiziki privetstvovali vzryvom
aplodismentov, ka- ' kie do teh por mozhno bylo slyshat' tol'ko na bejsbole.
Blestyashchij uchenyj, ser Artur |ddington, kotoryj s prostranstvom i vremenem
obrashchaetsya kak poet (dazhe ego rassuzhdeniya o gravitacii pronizany yumorom: on
govorit, chto ideal'nuyu vozmozhnost' izuchat' tyagotenie imeet chelovek, padayushchij
v lifte s dvadcatogo etazha), tak vot, ser Artur |ddingtoi aplodiroval gromche
vseh. Po ego slovam, bez etoj krivizny v prostranstve razobrat'sya voobshche
nevozmozhno. My polzaem po svoemu prostranstvu, kak muha polzaet po globusu,
dumaya, chto on ploskij. Tajny tyagoteniya ozadachivayut nas (ya ne imeyu v vidu teh
nemnogih schastlivcev, kotorym predstavilsya redkij sluchaj upast' v lifte s
dvadcatogo etazha. No i na nih otkrovenie snizoshlo slishkom pozdno, a
otkrovenie zaklyuchaetsya v sleduyushchem: my i ne padaem vovse, a prosto
iskrivlyaemsya). "Priznajte kriviznu prostranstva,- pisal |ddington v 1927
godu,- i tainstvennaya sila ischeznet. |jnshtejn izgnal etogo demona".
No sejchas, chetyrnadcat' let spustya, nachinaet kazat'sya, chto |jnshtejna
malo bespokoit, izognuto prostranstvo ili net. Emu eto, po-vidimomu, vse
ravno. Odin izvestnyj fizik, rukovodyashchij fakul'tetom v odnom iz krupnejshih
universitetov, nedavno napisal mne po etomu povodu: "|jnshtejn nadeetsya, chto
obshchaya teoriya, uchityvayushchaya nekotorye svojstva prostranstva, napominayushchie to,
chto sejchas obychno nazyvayut kriviznoj, mozhet v budushchem okazat'sya bolee
plodotvornoj, chem eto, po-vidimomu, imeet mesto v nastoyashchee vremya". Skazano
chisto po-professorski. Bol'shinstvo zhe govorit prosto, chto |jnshtejn mahnul
rukoj na krivoe prostranstvo. Vse ravno chto ser Isaak N'yuton, zevnuv, skazal
by: "Ah, vy ob etom yabloke - a mozhet byt', ono vovse i ne padalo?"
Iz knigi
"The World of Mathematics", New York, 1956.
(S. LIKOK - izvestnyj kanadskij pisatel'-yumorist, vidnyj uchenyj-eko*
nomist, sotrudnik Mak-Gillskogo universiteta.)

- Prihoditsyapriznat', dzhentl'meny, chto eto otkrytie neskol'ko
osharashivaet.
SAGA O NOVOM GORMONE
Norman Applcvejg
Za poslednie mesyacy mir uznal ob otkrytii treh chudodejstvennyh lekarstv
tremya vedushchimi farmacevticheskimi firmami. Pri blizhajshem rassmotrenii
vyyasnilos', chto vse tri preparata - eto odin i tot zhe gormon. Esli vam
interesno uznat', kak odno i to zhe himicheskoe soedinenie poluchaet neskol'ko
raznyh nazvanij, davajte prosledim za cepochkoj sobytij, predshestvuyushchih
sozdaniyu chudotvornogo sredstva.
Pervym ego obychno sovershenno sluchajno otkryvaet fiziolog v pogone za
dvumya drugimi gormonami. On daet emu nazvanie, otrazhayushchee ego funkcii v
organizme, i predskazyvaet, chto novoe soedinenie mozhet okazat'sya poleznym
pri lechenii redkogo zabolevaniya krovi. Pererabotav odnu tonnu svezhih bych'ih
gland, dostavlyaemyh pryamo s bojni, on vydelyaet 10 grammov chistogo gormona i
otpravlyaet ih k specialistu po fizhimii na analiz.
Fizhimik obnaruzhivaet, chto 95% ochishchennogo fiziologom gormona sostavlyayut
raznogo roda primesi, a ostal'nye 5 % soderzhat po krajnej mere tri raznyh
soedineniya. Iz odnogo takogo soedineniya on uspeshno vydelyaet 10 milligrammov
chistogo kristallicheskogo gormona. Na osnove izucheniya ego fizicheskih svojstv
on predskazyvaet vozmozhnuyu himicheskuyu strukturu novogo veshchestva i
vyskazyvaet predpolozhenie, chto ego rol' v organizme, veroyatnee vsego, ne
sovpadaet s predskazaniyami fiziologa. Zatem on daet emu novoe nazvanie i
perepravlyaet himiku-organiku dlya podtverzhdeniya svoih predpolozhenij o
strukture soedineniya;
Organik etih predpolozhenij ne podtverzhdaet i vmesto etogo obnaruzhivaet,
chto novoe soedinenie lish' odnoj metilovoj gruppoj otlichaetsya ot veshchestva,
nedavno vydelennogo iz dynnoj kozhury, kotoroe, odnako, biologicheski
neaktivno. On daet gormonu strogoe himicheskoe nazvanie, sovershenno tochnoe,
no slishkom dlinnoe i neprigodnoe poetomu dlya shirokogo upotrebleniya.
Kratkosti radi za novym veshchestvom sohranyaetsya nazvanie, pridumannoe
fiziologom. V konce koncov organik sinteziruet 10 grammov novogo gormona, no
soobshchaet fiziologu, chto ne mozhet otdat' ni odnogo gramma, ibo vse eti grammy
emu absolyutno neobhodimy dlya polucheniya proizvodnyh i dal'nejshih strukturnyh
issledovanij. Vmesto etogo on darit emu 10 grammov togo soedineniya, kotoroe
vydeleno iz dynnoj kozhury.
Tut vklyuchivshijsya v poiski biohimik vnezapno ob®yavlyaet, chto on obnaruzhil
etot zhe gormon v moche suporosyh svinomatok. Na tom osnovanii, chto gormon
legko rasshcheplyaetsya kristallicheskim fermentom, nedavno vydelennym iz slyunnyh
zhelez yuzhnoamerikanskogo zemlyanogo chervya, biohimik nastojchivo utverzhdaet, chto
novoe soedinenie est' ne chto inoe, kak raznovidnost' vitamina BIG,
nedostatok kotorogo vyzyvaet sdvigi v kislotnom cikle u annelidov. I menyaet
nazvanie.
Fiziolog pishet biohimiku pis'mo s pros'boj prislat' yuzhnoamerikanskogo
chervya.
Pishchevik nahodit, chto novoe soedinenie dejstvuet v tochnosti tak zhe, kak
"faktor PFF", nedavno ekstragirovannyj iz kurinogo navoza, i poetomu
sovetuet dobavlyat' ego v belyj hleb s cel'yu povysheniya zhiznesposobnosti
gryadushchih pokolenij. CHtoby podcherknut' eto chrezvychajno vazhnoe kachestvo,
pishchevik pridumyvaet novoe nazvanie.
Fiziolog prosit u pishchevika kusochek "faktora PFF". Vmesto etogo on
poluchaet funt syr'ya, iz kotorogo "faktor PFF" mozhno izgotovit'.
Farmakolog reshaet proverit', kak dejstvuet novoe soedinenie na seryh
krys. So smyateniem on ubezhdaetsya, chto posle pervoj zhe in®ekcii krysy
polnost'yu lyseyut. Poskol'ku s kastrirovannymi krysami etogo ne proishodit,
on prihodit k zaklyucheniyu, chto novyj preparat sinergichen polovomu gormonu
sestosteronu i antagonistichen poetomu gona-dotropnomu faktoru v gipofize.
Otsyuda on delaet vyvod, chto novoe sredstvo mozhet sluzhit' otlichnymi kaplyami
dlya zakapyvaniya v nos. On izobretaet novoe nazvanie i posylaet 12 butylok
kapel' vmeste s pipetkoj v kliniku.
Klinicist poluchaet obrazcy novogo farmacevticheskogo produkta dlya
ispytaniya na pacientah s prostudoj lobnyh pazuh. Zakapyvanie v nos pomogaet
ves'ma slabo, no on s udivleniem vidit, chto tri ego prostuzhennyh pacienta,
do togo eshche stradavshie redkoj bolezn'yu krovi, vnezapno izlechivayutsya. I on
poluchaet Nobelevskuyu premiyu.
Napechatano v
"The Journal of Irreproducible Results" (1959). (H. APPLCVEJG -
biohimik.)
Al'bert |jnshtejn lyubil fil'my CHarli CHaplina i otnosilsya s bol'shoj
simpatiej k sozdannomu im geroyu. Odnazhdy on napisal v pis'me k CHaplinu: "Vash
fil'm "Zolotaya lihoradka" ponyaten vsem v mire, i Vy nepremenno stanete
velikim chelovekom. |jnshtejn".
Na eto CHaplin otvetil tak: "YA Vami voshishchayus' eshche bol'she. Vashu teoriyu
otnositel'nosti nikto v mire ne ponimaet, a Vy vse-taki stali velikim
chelovekom. CHaplin".
- Ura! YA nashel nechto dejstvitel'no velikoe!
Soderzhanie
K chitatelyam ................................................5
Ot sostavitelej (Vmesto predisloviya) ......7
POCHTI VSERXEZ ......................................13
POLEZNYE SOVETY ...................................59
PERSONALIA ......................................................111
SHUTYAT NE TOLXKO FIZIKI ............................143
FIZIKI SHUTYAT
Oformlenie hudozhnika L A. SHCHetinina
Hudozhestvennyj redaktor E. I. Podmar'kova Tehnicheskij redaktor E. S.
Potapenkova
Sdano v proizvodstvo 15/VII 1965 g. Podpisano k pechati
4/1II 1966 g. Bumaga 70H108"/32. 2,62 bum. l. 7,35 pech. l.
Uch.-izd. l. 5,7. Izd. No 2/3162, Cena SO kop. Zak. 557.
(Templan 1965 g. izd-va "Mir", por, No 66)
IZDATELXSTVO "M I R" Moskva, 1-j Rizhskij per., 2
YAroslavskij poligrafkombinat Glavpoligrafproma
Komiteta po pechati pri Sovete Ministrov SSSR
YAroslavl', ul. Svobody, 97
P.S. Knigu Fiziki shutyat ya priobrel v dalekom 1966 godu, kogda sluzhil v
ryadah SA v YUrginskom poligone. Nadeyus' eta kniga napomnit o slavnyh 60-h ,
kogda fiziki eshche shutili.
YUrij Rubchenko.
Last-modified: Sat, 18 Aug 2001 16:53:08 GMT