Ocenite etot tekst:



                       Mister Tompkins v Strane CHudes
                       Mister Tompkins issleduet atom

----------------------------------------------------------------------------
     Illyustracii avtora i Dzhona Hukhema
     Perevod s anglijskogo YUliya Danilova
     Bibliotechka Kvant.
     M., Byuro Kvantum, 1993
     OCR Bychkov M.N. mailto:bmn@lib.ru
----------------------------------------------------------------------------

                                Predislovie

     Zimoj 1938 goda ya napisal korotkij fantasticheskij s tochki zreniya  nauki
(no  ne  nauchno-fantasticheskij)  rasskaz,  v  kotorom   predprinyal   popytku
ob座asnit' dostupno dlya  nespecialista  osnovnye  idei  teorii  iskrivlennogo
prostranstva i rasshiryayushchejsya Vselennoj. YA reshil, chto dlya etogo  luchshe  vsego
sil'no uvelichit' masshtaby real'no sushchestvuyushchih relyativistskih yavlenij i  tem
samym sdelat' ih legko nablyudaemymi dlya geroya moego rasskaza - nekoego C. G.
H. Tompkinsa {Inicialy mistera Tompkinsa (v anglijskom originale) C.  G.  H.
Tompkins  obyazany  svoim  proishozhdeniem  trem  fundamental'nym   fizicheskim
konstantam: skorosti  sveta  s,  gravitacionnoj  postoyannoj  G  i  kvantovoj
postoyannoj Planka h. CHtoby eti konstanty stali zametny cheloveku s ulicy,  ih
neobhodimo  vo  mnogo  raz  uvelichit'.},  skromnogo  bankovskogo  sluzhashchego,
interesuyushchegosya sovremennoj naukoj.
     Rukopis' ya otoslal v redakciyu zhurnala "Harper's Magazine" i, kak i  vse
nachinayushchie avtory, v skorom vremeni poluchil ee obratno vmeste s uvedomleniem
ob otkaze. Poproboval bylo poslat'  rukopis'  v  redakcii  poldyuzhiny  drugih
zhurnalov - rezul'tat okazalsya takim zhe. Togda  ya  zasunul  rukopis'  v  yashchik
svoego pis'mennogo stola i zabyl o nej.
     Letom togo zhe goda mne dovelos' pobyvat' na mezhdunarodnom kongresse  po
teoreticheskoj fizike, proishodivshem v Varshave pod egidoj Ligi Nacij.  Kak-to
raz ya razgovorilsya tam za  stakanom  prevoshodnogo  pot'skogo  meda  s  moim
davnim priyatelem serom CHarlzom Darvinom, vnukom togo samogo  CHarlza  Darvina
(avtora "Proishozhdeniya vidov"). Rech' zashla o populyarizacii nauki. YA  povedal
Darvinu o postigshej menya neudache na poprishche populyarizacii, i tot posovetoval
mne v otvet:
     - Znaete, chto ya vam skazhu, Gamov? Po vozvrashchenii  v  Soedinennye  SHtaty
razyshchite  svoyu  rukopis'  i  poshlite  ee  doktoru  CHarlzu  Snou.  On  sejchas
redaktiruet nauchno-populyarnyj zhurnal "Discovery", vypuskaemyj  izdatel'stvom
Kembridzhskogo universiteta.
     Tak ya i postupil. A cherez nedelyu  prishla  telegramma  ot  Snou.  V  nej
znachilos': "Vasha stat'ya budet opublikovana v  sleduyushchem  nomere.  Prisylajte
eshche". Vskore v vypuskah zhurnala "Discovery" odna za drugoj poyavilis' povesti
o mistere Tompkinse, v kotoryh populyarno izlagalis' teoriya otnositel'nosti i
kvantovaya mehanika. A zatem ya poluchil pis'mo ot  izdatel'stva  Kembridzhskogo
universiteta, v kotorom  mne  predlagalos',  dopolniv  uzhe  vyshedshie  stat'i
neskol'kimi novymi dlya  bol'shego  ob容ma,  opublikovat'  povesti  o  mistere
Tompkinse v vide otdel'noj knizhki. |ta knizhka pod nazvaniem "Mister Tompkins
v Strane CHudes" vyshla v izdatel'stve Kembridzhskogo universiteta v 1940 g.  i
s teh por vyderzhala 16 izdanij. Za pervoj knizhkoj posledovalo prodolzhenie  -
"Mister Tompkins issleduet atom". Vtoraya knizhka vyshla vpervye v 1944 g. i  s
teh por uspela vyderzhat' 10 izdanij.  Obe  knizhki  byli  perevedeny  na  vse
evropejskie yazyki (krome russkogo), a takzhe - na kitajskij i hindi.
     Nedavno izdatel'stvo Kembridzhskogo universiteta  reshilo  vypustit'  obe
knizhki pod odnoj oblozhkoj i obratilos' ko mne s pros'boj obnovit' ustarevshij
material i dobavit' neskol'ko istorij o sobytiyah, kotorye proizoshli v fizike
i smezhnyh oblastyah nauki so vremeni vyhoda  pervyh  izdanij  moih  povestej.
Tak, mne prishlos' dobavit' istorii o delenii i  sinteze  yader,  stacionarnoj
Vselennoj  i  uvlekatel'nyh  problemah  fiziki  elementarnyh  chastic.   Ves'
material vmeste sostavil soderzhanie etoj knigi.
     Ne mogu ne skazat' neskol'ko slov ob illyustraciyah.  Vse  illyustracii  k
moim stat'yam, opublikovannym v zhurnale "Discovery", i k pervoj  knizhke  byli
vypolneny  hudozhnikom  Dzhonom   Hukhemom,   nadelivshim   Mistera   Tompkinsa
opredelennymi portretnymi chertami. Kogda ya  napisal  vtoruyu  knizhku,  mister
Hukhem udalilsya ot del i mne prishlo v golovu samomu proillyustrirovat' knizhku
v duhe Hukhema.  Novye  illyustracii  k  predlagaemoj  chitatelyu  knige  takzhe
vypolneny mnoj. Stihi i pesenki napisany moej zhenoj Barbaroj.

                                                               Georgij Gamov
                           Universitet Kolorado, Boulder, shtat Kolorado, SSHA


                                  Moemu drugu i izdatelyu Ronal'du Mensbridzhu

                                  Vvedenie

     S detstva my privykaem k  okruzhayushchemu  miru,  kakim  on  vosprinimaetsya
nashimi pyat'yu chuvstvami; imenno v detstve u nas  formiruyutsya  fundamental'nye
predstavleniya o prostranstve, vremeni i dvizhenii. Nash razum vskore nastol'ko
osvaivaetsya  s  etimi  ponyatiyami,  chto  vposledstvii  my   sklonny   schitat'
edinstvenno vozmozhnym nashe osnovannoe na nih predstavlenie o vneshnem mire  i
lyubaya mysl' ob izmenenii etih ponyatij  kazhetsya  nam  paradoksal'noj.  Odnako
razvitie tochnyh  fizicheskih  metodov  nablyudeniya  i  bolee  glubokij  analiz
nablyudaemyh sootnoshenij priveli sovremennuyu  nauku  k  vpolne  opredelennomu
vyvodu  o  tom,  chto  ee  "klassicheskie"   osnovy   okazyvayutsya   sovershenno
nesostoyatel'nymi, kogda ih pytayutsya primenit' k podrobnomu opisaniyu yavlenij,
obychno nedostupnyh nablyudeniyam, i chto dlya  pravil'nogo  i  neprotivorechivogo
opisaniya nashego utonchennogo opyta sovershenno neobhodimo  vnesenie  nekotoryh
izmenenij v fundamental'nye ponyatiya - prostranstvo, vremya i dvizhenie.
     Vmeste s tem rashozhdeniya  mezhdu  ponyatiyami,  osnovannymi  na  obydennom
zdravom smysle, i ponyatiyami, vvedennymi  sovremennoj  fizikoj,  prenebrezhimo
maly, poka rech' idet o nashem povsednevnom zhitejskom opyte. No stoit lish' nam
voobrazit' inye miry, v kotoryh dejstvuyut takie zhe fizicheskie zakony, kak  v
nashem  sobstvennom  mire,  no  s  drugimi  chislovymi  znacheniyami  fizicheskih
konstant, ustanavlivayushchih predely primenimosti  staryh  ponyatij,  kak  novye
(pravil'nye) predstavleniya o prostranstve, vremeni  i  dvizhenii,  k  kotorym
sovremennaya nauka prishla v rezul'tate  dolgih  i  kropotlivyh  issledovanij,
stanovyatsya dostoyaniem obychnogo zdravogo  smysla.  Mozhno  utverzhdat',  chto  v
takih mirah dazhe pervobytnyj  dikar'  byl  by  znakom  s  principami  teorii
otnositel'nosti i ispol'zoval by ih na ohote  i  dlya  udovletvoreniya  drugih
povsednevnyh potrebnostej.
     Geroj istorij, s kotorymi vy poznakomites' v etoj knige, perenositsya vo
sne v neskol'ko takih mirov, gde yavleniya, obychno nedostupnye nashim chuvstvam,
usilivayutsya  do  takoj  stepeni,  chto  ih  mozhno   nablyudat'   kak   sobytiya
povsednevnoj zhizni. V fantasticheskih, no vpolne  real'nyh  ("pravil'nyh")  s
nauchnoj tochki zreniya snah nashemu geroyu pomogaet staryj professor fiziki  (na
docheri kotorogo po imeni Mod nash geroj v konce  koncov  zhenitsya),  prosto  i
dohodchivo ob座asnyayushchij neobychnye yavleniya, nablyudaemye geroem  v  mire  teorii
otnositel'nosti, kosmologii, kvantovoj mehaniki, atomnoj i  yadernoj  fiziki,
teorii elementarnyh chastic i t. d.
     Nadeemsya,  chto  neobychnye   puteshestviya   mistera   Tompkinsa   pomogut
interesuyushchemusya chitatelyu sostavit' bolee yasnoe predstavlenie o tom  real'nom
fizicheskom mire, v kotorom my zhivem.

                               Blagodarnosti


                                   -----


  Vyrazhayu svoyu priznatel'nost' Muzykal'noj korporacii |dvarda B. Marksa za
   razreshenie vosproizvesti noty psalma "Prijdite, pravednye!" ("O, atom
 per-r-rvichnyj!", s. 75) i gimna "Prav', Britaniya!" ("Vselennaya ne voznikla
vdrug", s. 80) iz sbornika "Vremya pet'" i izdatel'stvu Makmillana za ris. A
so stranicy 175 knigi "Kristallicheskoe sostoyanie" sera U. G. Bregga i U. L.
                                  Bregga.


                            ogranichenie skorosti

     
V tot den' vse banki byli zakryty - vyhodnoj, i mister Tompkins, skromnyj sluzhashchij solidnogo gorodskogo banka, vstal pozzhe obychnogo i ne spesha pozavtrakal. Pora bylo pozabotit'sya o dosuge, i mister Tompkins reshil, chto bylo by neploho shodit' na dnevnoj seans v kino. Razvernuv utrennyuyu gazetu na toj polose, gde publikovalas' informaciya o razvlecheniyah, on uglubilsya v izuchenie repertuara kinoteatrov. Ni odin iz reklamiruemyh fil'mov ne pokazalsya misteru Tompkinsu dostatochno privlekatel'nym. On terpet' ne mog vsyu etu gollivudskuyu drebeden' s neskonchaemymi lyubovnymi istoriyami, razygryvaemymi populyarnymi kinozvezdami. Vot esli by nashelsya hotya by odin fil'm s syuzhetom, zaimstvovannym iz real'noj zhizni, byt' mozhet, s primes'yu chego-nibud' neobychnogo ili dazhe fantasticheskogo! No takih fil'mov - uvy! - ne bylo. Neozhidanno vnimanie mistera Tompkinsa privleklo nebol'shoe ob座avlenie v samom uglu gazetnoj polosy. Mestnyj universitet dovodil do svedeniya vseh zhelayushchih, chto v ego pomeshchenii budet prochitan cikl lekcij po problemam sovremennoj fiziki. Blizhajshaya lekciya sostoitsya segodnya vecherom i budet posvyashchena teorii otnositel'nosti |jnshtejna. Vot eto stoyashchee delo! Misteru Tompkinsu chasten'ko prihodilos' slyshat', chto vo vsem mire edva li dyuzhina lyudej po-nastoyashchemu ponimayut teoriyu |jnshtejna! A chto esli on, mister Tomggkins, stanet trinadcatym? YAsnoe delo: on nepremenno otpravitsya na lekciyu. |to kak raz to, chto emu nuzhno! Kogda mister Tompkins voshel v bol'shuyu universitetskuyu auditoriyu, lekciya uzhe nachalas'. Vse pomeshchenie bylo bitkom nabito studentami (v osnovnom eto byli molodye lyudi), s nepoddel'nym interesom vnimavshimi vysokomu sedoborodomu cheloveku u doski, kotoryj pytalsya ob座asnit' auditorii osnovnye idei teorii otnositel'nosti. Iz slov lektora mister Tompkins ponyal tol'ko, chto osnovnoj punkt teorii |jnshtejna - sushchestvovanie maksimal'noj skorosti - skorosti sveta, kotoruyu ne mozhet prevzojti ni odno dvizhushcheesya material'noe telo, i chto eto obstoyatel'stvo privodit k ves'ma strannym i neobychnym sledstviyam. Pravda, professor zametil, chto, poskol'ku skorost' sveta sostavlyaet 300000 kilometrov v sekundu, relyativistskie (t.e. svyazannee s teoriej otnositel'nosti) effekty edva li mogut nablyudat'sya v yavleniyah povsednevnoj zhizni. CHto zhe kasaetsya prirody etih neobychnyh effektov, to ponyat' ee bylo nesravnenno trudnee, i misteru Tompkinsu pokazalos', chto vse, o chem govorit lektor, protivorechilo zdravomu smyslu. On popytalsya myslenno predstavit' sebe sokrashchenie izmeritel'nyh sterzhnej i strannoe povedenie chasov - effekty, kotoryh sledovalo by ozhidat' pri dvizhenii so skorost'yu, blizkoj k skorosti sveta, no tut golova ego medlenno sklonilas' na plecho. Kogda mister Tompkins snova otkryl glaza, on obnaruzhil, chto sidit ne na skam'e v universitetskoj auditorii, a na skamejkah, ustanovlennyh gorodskimi vlastyami dlya udobstva passazhirov, ozhidayushchih avtobus. Krugom prostiralsya krasivyj starinnyj gorodok so srednevekovymi zdaniyami kolledzhej, vystroivshimisya vdol' ulicy. Mister Tompkins zapodozril bylo, chto vidit vse eto vo sne, no k ego udivleniyu nichego neobychnogo vokrug ne proishodilo, dazhe polismen, stoyavshij na protivopolozhnom uglu, vyglyadel tak, kak obychno vyglyadyat polismeny. Strelki bol'shih chasov na bashne v konce ulicy pokazyvali pyat' chasov, i ulicy byli pochti pustynnymi. Odinokij velosipedist pokazalsya vdali i stal medlenno priblizhat'sya. Kogda on pod容hal poblizhe, mister Tompkins vytarashchil glaza ot izumleniya: i velosiped, i vossedavshij na nem molodoj chelovek byli neveroyatno sokrashcheny v napravlenii dvizheniya, kak budto ih rassmatrivali cherez cilindricheskuyu linzu. CHasy na bashne probili pyat', i velosipedist, po-vidimomu, kuda-to speshivshij, prinaleg na pedali. Mister Tompkins ne zametil, chtoby skorost' ot etogo pribavilas', no usiliya velosipedista ne proshli bessledno: on sokratilsya eshche sil'nee i otpravilsya dal'she, v tochnosti napominaya kartinku, vyrezannuyu iz kartona. Tut mister Tompkins oshchutil neobychnyj priliv gordosti, ibo emu bylo sovershenno yasno, chto proishodilo s velosipedistom - eto bylo ne chto inoe, kak sokrashchenie dvizhushchihsya tel v napravlenii dvizheniya, o kotorom tol'ko chto rasskazyval lektor. - Dolzhno byt', estestvennaya predel'naya skorost' zdes' pomen'she, chem u nas, - podumal mister Tompkins, - poetomu policejskij na uglu vyglyadit takim lenivym: emu ne nuzhno sledit', chtoby nikto ne narushal ogranichenij na skorost'.
Dejstvitel'no, poyavivsheesya na ulice taksi proizvodilo grohot i skrezhet, sposobnye razbudit' i mertvogo, no prodvigalos' ne namnogo bystree, chem velosipedist, i, esli skazat' chestno, polzlo ele-ele. Mister Tompkins reshil dognat' velosipedista, kotoryj na vid byl simpatichnym malym, i rassprosit' ego obo vsem. Ubedivshis', chto polismen otvernulsya i smotrit v druguyu storonu, mister Tompkins vospol'zovalsya ch'im-to velosipedom, stoyavshim u kraya trotuara, i pomchalsya po ulice. On ozhidal, chto srazu zhe sokratitsya v napravlenii dvizheniya i dazhe byl ochen' rad etomu, tak kak nachavshaya raspolzat'sya za poslednee vremya figura prichinyala emu nekotorye nepriyatnosti. No k velichajshemu udivleniyu mistera Tompkinsa ni s nim samim, ni s velosipedom nichego ne proizoshlo. Sokratilis' ulicy, vitriny lavok i magazinov prevratilis' v uzkie shcheli, a polismen na uglu stal samym toshchim chelovekom, kotorogo prihodilos' kogda-nibud' videt' misteru Tompkinsu. - Klyanus' YUpiterom, - radostno voskliknul mister Tompkins, - ya, kazhetsya, ponyal, v chem delo! Vot gde poyavlyaetsya slovechko "otnositel'nost'". Vse, chto dvizhetsya otnositel'no menya, kazhetsya mne sokrashchennym, kto by ni krutil pedali!
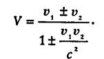
Mister Tompkins byl neplohim velosipedistom i izo vseh sil staralsya dognat' molodogo cheloveka. Odnako on obnaruzhil, chto razvit' prilichnuyu skorost' na ugnannom im velosipede sovsem nelegko. Hotya mister Tompkins krutil pedali chto bylo sil, skorost' ot etogo pribavlyalas' edva zametno. Nogi u nego uzhe nachalo svodit' ot napryazheniya, a emu nikak ne udavalos' minovat' fonarnyj stolb na uglu bystree, chem kogda on tol'ko pustilsya v put'. Kazalos', vse ego usiliya ehat' bystree tshchetny. Teper' on otlichno ponyal, pochemu velosipedist i vstretivsheesya emu tol'ko chto taksi polzli s takoj cherepash'ej skorost'yu. Vspomnilis' emu i slova professora o tom, chto ni odno dvizhushcheesya telo ne mozhet prevzojti predel'nuyu skorost' - skorost' sveta. Pravda, mister Tompkins zametil, chto gorodskie kvartaly sokrashchalis' vse bol'she i do ehavshego vperedi velosipedista teper' kazalos' ne tak daleko. U vtorogo povorota misteru Tompkinsu udalos' dognat' velosipedista i v tot samyj moment, kogda oni porovnyalis', ehali ryadom, mister Tompkins, vzglyanuv na togo, k svoemu udivleniyu uvidel, chto pered nim obychnyj molodoj chelovek sportivnogo vida. - Dolzhno byt', eto ot togo, chto my ne dvizhemsya drug otnositel'no druga, - podumal mister Tompkins i obratilsya k molodomu cheloveku: - Proshu proshcheniya, ser! - skazal on. - Ne nahodite li vy, chto zhizn' v gorode so stol' nizkoj predel'noj skorost'yu sopryazhena s nekotorymi neudobstvami? - O kakoj predel'noj skorosti vy govorite? - s nedoumeniem sprosil molodoj chelovek. - U nas v gorode net nikakih ogranichenij na skorost'. YA mogu ehat' gde ugodno i kuda ugodno s lyuboj skorost'yu, kakaya mne tol'ko zablagorassuditsya ili po krajnej mere s kakoj mog by dvigat'sya, bud' u menya motocikl, a ne eta dopotopnaya razvalina, iz kotoroj, kak ni starajsya, prilichnoj skorosti ne vyzhmesh'! - No kogda vy nedavno proezzhali mimo menya, - prodolzhal mister Tompkins, - to tashchilis' ele-ele. YA obratil na eto vnimanie. - V samom dele? - molodoj chelovek byl yavno zadet podobnym zamechaniem. - V takom sluchae vy, veroyatno, zametili, chto vpervye obratilis' ko mne, kogda my byli otsyuda v pyati kvartalah. Dlya vas eto nedostatochno bystro? - No s teh por ulicy znachitel'no sokratilis', - prodolzhal nastaivat' mister Tompkins. - A kakaya raznica, dvizhemsya li my bystree ili ulica stanovitsya koroche? Mne nuzhno proehat' desyat' kvartalov, chtoby popast' na pochtu, i esli ya budu prilezhnee krutit' pedali, to kvartaly stanut koroche i ya bystree popadu na pochtu. Vprochem, vot my i doehali. S etimi slovami molodoj chelovek soskochil s velosipeda. Mister Tompkins vzglyanul na chasy na zdanii pochty: oni pokazyvali polshestogo. - Vot vidite, - zametil on torzhestvuyushche, - chtoby proehat' kakih-nibud' desyat' kvartalov, vam ponadobilos' polchasa. Ved' kogda ya vpervye uvidel vas, bylo rovno pyat'! - I vy pochuvstvovali, chto proshlo polchasa? - sprosil ego sobesednik. Misteru Tompkinsu prishlos' priznat', chto po ego oshchushcheniyam proshlo vsego neskol'ko minut. Krome togo, vzglyanuv na svoi ruchnye chasy, on uvidel, chto oni pokazyvayut tol'ko pyat' minut shestogo. - O! - tol'ko i smog vymolvit' on. - CHasy na zdanii pochty speshat? - Razumeetsya, speshat ili - vashi chasy otstayut, potomu chto vy dvigaetes' slishkom bystro. Da chto s vami v samom dele? Vy chto, s Luny svalilis'? - i molodoj chelovek voshel v zdanie pochty. Posle etogo razgovora mister Tompkins pozhalel, chto ryadom net starogo professora, kotoryj by ob座asnil emu eti strannye sobytiya. Molodoj chelovek, po-vidimomu, byl mestnym zhitelem i privyk k takomu sostoyaniyu veshchej prezhde, chem nauchilsya hodit'. Misteru Tompkinsu ne ostavalos' nichego drugogo, kak samomu prinyat'sya za issledovanie okruzhavshego ego strannogo mira. On postavil svoi chasy po chasam na zdanii pochty i, chtoby ubedit'sya v tom, chto ego chasy idut pravil'no, vyzhdal minut desyat'. Ego ruchnye chasy ne otstavali. Prodolzhiv svoe puteshestvie po ulice, mister Tompkins, nakonec, dobralsya do vokzala i reshil snova sverit' svoi chasy. K ego udivleniyu, chasy snova nemnogo otstali. - Dolzhno byt', eto takzhe kakoj-to relyativistskij effekt, - reshil mister Tompkins i podumal, chto bylo by nedurno rassprosit' ob etom kogo-nibud' poumnee yunogo velosipedista. Udobnyj sluchaj predstavilsya ochen' skoro. Dzhentl'men, na vid let soroka, soshel s poezda i napravilsya k vyhodu. Ego vstrechala ledi ves'ma preklonnogo vozrasta, kotoraya, k udivleniyu mistera Tompkinsa, nazyvala ego ne inache, kak "moj dorogoj dedushka". Dlya mistera Tompkinsa eto bylo uzhe chereschur. Pod predlogom pomoch' podnesti veshchi on vmeshalsya v razgovor. - Proshu izvinit' menya za to, chto vmeshivayus' v vashi semejnye dela, - nachal on, - no dejstvitel'no li vy prihodites' dedushkoj etoj miloj pozhiloj ledi? Vidite li, ya v etih mestah chelovek novyj i ne znayu mestnyh obychaev, no mne nikogda ne dovodilos'... - Ponimayu vashe zatrudnenie, - ulybnulsya v usy dzhentl'men. - Dolzhno byt', vy prinimaete menya za Vechnogo ZHida ili kogo-nibud' v tom zhe duhe. No v dejstvitel'nosti vse obstoit ochen' prosto. Moya professiya vynuzhdaet menya mnogo ezdit', i bol'shuyu chast' svoej zhizni ya provozhu v poezde i poetomu, estestvenno, stareyu gorazdo medlennee, chem moi rodstvenniki, prozhivayushchie v gorode. YA tak rad, chto sumel vernut'sya vovremya i zastal eshche v zhivyh moyu lyubimuyu vnuchku! No proshu menya izvinit', mne nuzhno provodit' ee do taksi, - i dzhentl'men pospeshil proch', ostaviv mistera Tompkinsa odin na odin s ego problemami. Para buterbrodov iz vokzal'nogo bufeta neskol'ko podkrepili ego umstvennye sposobnosti, i on zashel v svoih rassuzhdeniyah tak daleko, chto zayavil, budto emu udalos' obnaruzhit' protivorechie v znamenitom principe otnositel'nosti. - Esli by vse bylo otnositel'no, - razmyshlyal on, othlebyvaya kofe, - to puteshestvennik kazalsya by svoim osedlym rodstvennikam ochen' starym, a oni v svoyu ochered' kazalis' by ochen' starymi emu, hotya v dejstvitel'nosti obe storony byli by dostatochno molodymi, No to, chto ya utverzhdayu teper', kazhetsya sovershennejshej chepuhoj: ni u kogo ne mozhet byt' "otnositel'no sedyh volos!" Tut mister Tompkins reshil predprinyat' poslednyuyu popytku razobrat'sya v tom, kak obstoit delo v dejstvitel'nosti, i obratilsya k cheloveku v zheleznodorozhnoj forme, odinoko sidevshemu v bufete. - Ne budete li vy tak lyubezny, - nachal on, - ne budete li vy tak dobry skazat', kto vinovat v tom, chto passazhiry v poezde stareyut gorazdo medlennee teh lyudej, kotorye ostayutsya doma? - Vo vsem vinovat ya, ser, - ochen' spokojno otvetil neznakomec. - O! - voskliknul mister Tompkins. - Tak vam udalos' razreshit' problemu filosofskogo kamnya, nad kotoroj v starinu stol'ko bilis' alhimiki. Dolzhno byt', vy ochen' znamenity v medicinskom mire. Vy vozglavlyaete gde-nibud' kafedru? - Net, - otvetil neznakomec, neobychajno udivlennyj tem, chto skazal mister Tompkins. - YA tormoznoj konduktor i v moi obyazannosti vhodit vovremya tormozit'. - Tormoznoj konduktor! - voskliknul mister Tompkins, chuvstvuya, chto pochva uhodit u nego iz-pod nog. - Tak vy dumaete, chto vy ... Vy dejstvitel'no tol'ko nazhimaete na tormoz, kogda poezd podhodit k stancii? - Sovershenno verno! Imenno eto ya i delayu, i vsyakij raz, kogda poezd zamedlyaet svoj hod, passazhiry stanovyatsya chut' starshe drugih lyudej. - Razumeetsya, - skromno dobavil konduktor, - mashinist, kotoryj razgonyaet poezd, takzhe vypolnyaet svoyu chast' raboty. - A kakoe otnoshenie tormozhenie i razgon poezda imeyut k tomu, chto odni ostayutsya molodymi, a drugie stareyut? - v izumlenii sprosil mister Tomkins. - Kakaya tut svyaz', mne dopodlinno neizvestno, - skazal konduktor, - znayu tol'ko, chto ona est'. Odnazhdy sredi passazhirov mne vstretilsya professor iz universiteta, i ya sprosil u nego, kak eto poluchaetsya. On pustilsya v dlinnye i malovrazumitel'nye ob座asneniya, a pod konec upomyanul o kakom-to "gravitacionnom krasnom smeshchenii (kazhetsya, on vyrazilsya imenno tak) na Solnce". Prihodilos' li vam slyshat' o chem-nibud' podobnom? CHto eto za zver' takoj - krasnoe smeshchenie? - Ne-et, - zadumchivo protyanul mister Tompkins, i konduktor poshel svoej dorogoj, kachaya golovoj. Vdrug ch'ya-to tyazhelaya ruka opustilas' na plecho mistera Tompkinsa, i, ochnuvshis', on obnaruzhil, chto sidit ne v vokzal'nom bufete, a na skam'e v toj samoj universitetskoj auditorii, gde on slushal lekciyu professora. Svet uzhe byl potushen, i auditoriya opustela. Razbudivshij ego universitetskij sluzhitel' myagko zametil: - My zakryvaemsya, ser! Esli hotite spat', stupajte luchshe k sebe domoj. Mister Tompkins vstal i napravilsya k vyhodu. lekciya professora o teorii otnositel'nosti, na kotoroj zasnul mister Tompkins Ledi i dzhentl'meny! CHelovecheskij razum sformiroval opredelennye predstavleniya o prostranstve i vremeni kak o vmestilishche ili arene, na kotoroj proishodyat razlichnye sobytiya. |ti predstavleniya bez osobyh izmenenij peredavalis' iz pokoleniya v pokolenie, a so vremeni zarozhdeniya tochnyh nauk byli vklyucheny v samye osnovy matematicheskogo opisaniya okruzhayushchego nas mira. Velikij N'yuton, po-vidimomu, pervym dal chetkuyu formulirovku klassicheskih ponyatij prostranstva i vremeni, napisav v svoih "Matematicheskih nachalah": "_Absolyutnoe prostranstvo_ po samoj svoej sushchnosti, bezotnositel'no k chemu by to ni bylo vneshnemu, ostaetsya vsegda odinakovym i nepodvizhnym" i "_Absolyutnoe, istinnoe matematicheskoe vremya_ samo po sebe i po samoj svoej sushchnosti, bez vsyakogo otnosheniya k chemu-libo vneshnemu, protekaet ravnomerno i inache nazyvaetsya dlitel'nost'yu" {N'yuton I. Matematicheskie nachala natural'noj filosofii. - Per. s latinskogo i kommentarii A.N. Krylova. Predislovie L.S.Polaka. - M.: Nauka, 1989. - S. 30. (Prim. per.)}. - Ubezhdenie v absolyutnoj pravil'nosti etih klassicheskih predstavlenij o prostranstve i vremeni bylo stol' sil'nym, chto filosofy chasto schitali ih apriornymi i ni odnomu uchenomu-estestvoispytatelyu dazhe v golovu ne prihodilo usomnit'sya v nih. Odnako v nachale XX veka stalo yasno, chto ryad rezul'tatov, poluchennyh s pomoshch'yu chuvstvitel'nyh i tonkih metodov eksperimental'noj fiziki, privodyat k protivorechiyam, esli ih interpretirovat' v ramkah klassicheskih predstavlenij o prostranstve i vremeni. |to obstoyatel'stvo privelo odnogo iz velichajshih sovremennyh fizikov Al'berta |jnshtejna k revolyucionnoj idee: ne sushchestvuet nikakih prichin, krome tradicii, po kotorym klassicheskie predstavleniya o prostranstve i vremeni sledovalo by schitat' absolyutno pravil'nymi; v eti ponyatiya mozhno i dolzhno vnosit' izmeneniya, chtoby oni sootvetstvovali nashemu novomu, bolee tochnomu opytu. Dejstvitel'no, klassicheskie ponyatiya prostranstva i vremeni byli sformulirovany na osnove chelovecheskogo opyta, pocherpnutogo iz povsednevnoj zhizni. Nuzhno li udivlyat'sya, chto tonkie i tochnye sovremennye metody nablyudeniya, osnovannye na ispol'zovanii vysokorazvitoj eksperimental'noj tehniki, ukazyvayut na to, chto starye ponyatiya prostranstva i vremeni slishkom gruby, netochny i mogli ispol'zovat'sya v povsednevnoj zhizni i na bolee rannih stadiyah razvitiya fiziki tol'ko potomu, chto ih otkloneniya ot pravil'nyh ponyatij dostatochno maly. Ne sleduet udivlyat'sya i tomu, chto rasshirenie oblasti issledovanij sovremennoj nauki rano ili pozdno dolzhno bylo privesti nas v takie oblasti, gde eti otkloneniya ves'ma veliki i klassicheskie ponyatiya voobshche ne primenimy. Samym vazhnym eksperimental'nym rezul'tatom, privedshim k korennomu peresmotru nashih klassicheskih predstavlenij, stalo otkrytie togo fakta, chto skorost' sveta v pustote predstavlyaet soboj verhnij predel vseh vozmozhnyh fizicheskih skorostej. Takoj vazhnyj i neozhidannyj vyvod byl sdelan glavnym obrazom na osnovanii eksperimentov amerikanskogo fizika Majkel'sona, kotoryj v konce proshlogo veka predprinyal popytku nablyudat' vliyanie dvizheniya Zemli na skorost' rasprostraneniya sveta i k svoemu velikomu udivleniyu i k udivleniyu vsego nauchnogo mira obnaruzhil, chto nikakih effektov, svidetel'stvuyushchih o vliyanii skorosti dvizheniya Zemli na skorost' sveta, ne sushchestvuet i chto skorost' sveta v pustote okazyvaetsya vsegda odnoj i toj zhe, nezavisimo ot sistemy, v kotoroj proizvoditsya izmerenie, ili ot dvizheniya istochnika, ispuskayushchego svet. Net neobhodimosti ob座asnyat', pochemu takoj rezul'tat ves'ma neobychen i protivorechit nashim fundamental'nym predstavleniyam o dvizhenii. Dejstvitel'no, esli kakoj-to ob容kt bystro dvizhetsya v prostranstve, a vy dvizhetes' navstrechu emu, to dvizhushchijsya ob容kt stolknetsya s vami s bol'shej otnositel'noj skorost'yu, ravnoj summe skorostej ob容kta i nablyudatelya. S drugoj storony, esli vy udalyaetes' ot ob容kta, to on, dognav vas szadi, stolknetsya s vami s men'shej otnositel'noj skorost'yu, ravnoj raznosti skorostej. Naprimer, esli vy dvizhetes', skazhem, edete v avtomashine, navstrechu rasprostranyayushchemusya v vozduhe zvuku, to izmerennaya iz mashiny skorost' zvuka budet bol'she na velichinu, ravnuyu skorosti, razvivaemoj vashej mashinoj, ili, sootvetstvenno, men'she, esli zvuk dogonyaet vas. My nazyvaem eto _teoremoj slozheniya skorostej_. Vsegda schitalos', chto eta teorema samoochevidna. Odnako, kak pokazali samye tshchatel'nye eksperimenty, v sluchae sveta teorema slozheniya skorostej narushaetsya: skorost' sveta v pustote vsegda ostaetsya odnoj i toj zhe i ravna 300000 km/s (skorost' sveta prinyato oboznachat' strochnoj latinskoj bukvoj s) nezavisimo ot togo, kak bystro dvizhetsya nablyudatel'. - Vse eto horosho, - skazhete vy, - no razve nel'zya postroit' sverhsvetovuyu skorost', skladyvaya neskol'ko men'shih, fizicheski dostizhimyh skorostej? Mozhem zhe my predstavit' sebe dvizhushchijsya ochen' bystro (naprimer, so skorost'yu, ravnoj 3/4 skorosti sveta) poezd i brodyagu, begushchego po krysham vagonov takzhe so skorost'yu, ravnoj 3/4 skorosti sveta. Po teoreme slozheniya skorostej, obshchaya skorost' brodyagi byla by ravna polutora skorostyam sveta, i brodyaga mog by obognat' svet, ispuskaemyj signal'nym fonarem. Odnako istina sostoit v tom, chto, poskol'ku postoyanstvo skorosti sveta est' eksperimental'nyj fakt, rezul'tiruyushchaya skorost' v nashem sluchae dolzhna byt' men'she, chem my ozhidaem, - ona ne mozhet prevoshodit' kriticheskogo znacheniya s. Takim obrazom, my prihodim k vyvodu o tom, chto i pri men'shih skorostyah klassicheskaya teorema slozheniya skorostej dolzhna byt' neverna. Matematicheskij analiz problemy, v kotoryj ya ne hochu zdes' vdavat'sya, privodit k ochen' prostoj novoj formule dlya vychisleniya rezul'tiruyushchej skorosti dvuh skladyvaemyh dvizhenij. Esli u1 i u2 - dve podlezhashchie slozheniyu skorosti, to rezul'tiruyushchaya skorost' okazyvaetsya ravnoj
(1) Vy vidite iz etoj formuly, chto esli obe podlezhashchie slozheniyu skorosti maly (ya imeyu v vidu "maly po sravneniyu so skorost'yu sveta"), to vtorym chlenom v znamenatele formuly (1) mozhno prenebrech' po sravneniyu s edinicej i vy poluchaete klassicheskuyu teoremu slozheniya skorostej. Esli zhe skorosti u1, i u2 ne maly, to rezul'tat budet neskol'ko men'she arifmeticheskoj summy skorostej. Tak, v nashem primere s brodyagoj, begushchim po krysham vagonov mchashchegosya poezda, u1 = (3/4)c i u2 = (3/4)c i nasha formula pozvolyaet najti rezul'tiruyushchuyu skorost' F = (24/25) s, kotoraya, kak i skladyvaemye skorosti, men'she skorosti sveta. V chastnosti, kogda odna iz ishodnyh skorostej ravna skorosti sveta s, iz formuly (1) sleduet, chto rezul'tiruyushchaya skorost' takzhe ravna s, nezavisimo ot togo, kakova vtoraya skorost'. Poetomu, skladyvaya lyuboe chislo skorostej, my nikogda ne mozhem prevzojti skorost' sveta. Vozmozhno, vam budet interesno uznat', chto formula (1) byla podtverzhdena eksperimental'no i dejstvitel'no bylo obnaruzheno, chto rezul'tiruyushchaya dvuh skorostej vsegda neskol'ko men'she ih arifmeticheskoj summy.
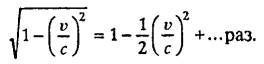
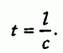
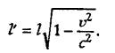
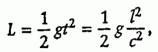
Priznav sushchestvovanie verhnego predela skorosti, my mozhem pristupit' k analizu klassicheskih predstavlenij o prostranstve i vremeni. Svoj pervyj udar my napravim protiv ponyatiya _odnovremennosti_, osnovannom na etih klassicheskih predstavleniyah. Kogda vy zayavlyaete: - Vzryv na shahte nepodaleku ot Kejptauna proizoshel v tot samyj moment, kogda v moej londonskoj kvartire mne na zavtrak podali yaichnicu s vetchinoj, - vam kazhetsya, budto vy vyskazyvaete vpolne osmyslennoe utverzhdenie. Odnako ya popytayus' pokazat', chto v dejstvitel'nosti vy ne znaete, o chem, sobstvenno, idet rech' i, bolee togo, chto vashe utverzhdenie, strogo govorya, ne imeet tochnogo smysla. V samom dele, kak by vy stali proveryat' odnovremennost' dvuh sobytij, proishodyashchih v dvuh razlichnyh mestah? Vozmozhno, vy skazhete, chto takie dva sobytiya odnovremenny, esli mestnye chasy pokazyvayut odno i to zhe vremya, no togda voznikaet vopros, kak ustanovit' chasy, raznesennye v prostranstve na bol'shoe rasstoyanie drug ot druga, tak, chtoby oni odnovremenno pokazyvali odno i to zhe vremya, i my snova vozvrashchaemsya k ishodnomu voprosu. Poskol'ku nezavisimost' skorosti sveta v pustote ot dvizheniya istochnika ili sistemy, v kotoroj proizvoditsya izmerenie, prinadlezhit k chislu naibolee tochno ustanovlennyh eksperimental'nyh faktov, sleduyushchij metod izmereniya rasstoyanij i pravil'noj ustanovki chasov na razlichnyh nablyudatel'nyh stanciyah sleduet priznat' naibolee razumnym i, porazmysliv nemnogo, vy soglasites' so mnoj, chto eto - edinstvenno priemlemyj sposob. Svetovoj signal otpravlyaetsya so stancii A i, kak tol'ko on prinimaetsya na stancii V, posylaetsya obratno na stanciyu A. Polovina vremeni (po izmereniyam, proizvodimym na stancii A) mezhdu otpravleniem signala i ego priemom na stancii A, umnozhennaya na skorost' sveta, opredelyaet rasstoyanie mezhdu stanciyami A i V. Uslovimsya govorit', chto chasy na stanciyah A i V ustanovleny pravil'no, esli v moment priema signala na stancii V mestnye chasy pokazyvali vremya, ravnoe polusumme pokazanij chasov na stancii A v moment otpravleniya i priema signala. Primenyaya etot sposob pravil'noj ustanovki chasov k dvum razlichnym nablyudatel'nym stanciyam, sooruzhennym na odnoj platforme (odnom i tom zhe tverdom tele), my poluchaem stol' zhelannuyu sistemu otscheta i obretaem vozmozhnost' otvechat' na voprosy ob odnovremennosti sobytij ili vremenn_o_m intervale mezhdu dvumya sobytiyami, proishodyashchimi v razlichnyh mestah. No priznayut li odnovremennymi te zhe sobytiya i soglasyatsya li s ocenkoj vremennyh intervalov nablyudateli v drugih sistemah otscheta? CHtoby otvetit' na etot vopros, predstavim sebe dve sistemy otscheta, sooruzhennye na dvuh razlichnyh platformah (tverdyh telah), naprimer na dvuh dlinnyh kosmicheskih raketah, letyashchih v protivopolozhnyh napravleniyah kazhdaya so svoej postoyannoj skorost'yu. Kak rezul'taty izmerenij, proizvodimyh v odnoj sisteme otscheta, budut sootnosit'sya s rezul'tatami analogichnyh izmerenij, proizvodimyh v drugoj sisteme otscheta? Predpolozhim, chto v nosovoj i kormovoj chasti kazhdoj rakety nahoditsya po nablyudatelyu i chto vse chetyre nablyudatelya hotyat prezhde vsego pravil'no ustanovit' svoi chasy. Kazhdaya para nablyudatelej, nahodyashchihsya na bortu odnoj i toj zhe rakety, mozhet, neskol'ko vidoizmeniv opisannyj vyshe sposob pravil'noj ustanovki chasov, postavit' nul' na svoih chasah v tot moment, kogda svetovoj signal, poslannyj iz serediny rakety (seredina rakety mozhet byt' ustanovlena s pomoshch'yu mernogo sterzhnya), dostignet sootvetstvenno nosa ili kormy rakety. Takim obrazom, kazhdaya para nashih nablyudatelej ustanavlivaet v sootvetstvii s prinyatym vyshe opredeleniem kriterij odnovremennosti v svoej sobstvennoj sisteme otscheta i "pravil'no" (razumeetsya, so svoej tochki zreniya) svoi chasy. Predpolozhim teper', chto nashi nablyudateli reshili vyyasnit', soglasuyutsya li pokazaniya chasov na bortu ih rakety s pokazaniem chasov na bortu drugoj rakety. Naprimer, budut li chasy dvuh nablyudatelej, nahodyashchihsya na bortu razlichnyh raket, pokazyvat' odno i to zhe vremya, kogda raketam sluchitsya proletat' mimo drug druga? Proverit' eto mozhno sleduyushchim sposobom. V centre (geometricheskoj seredine) kazhdoj rakety nablyudateli, ustanavlivayut zaryazhennyj kondensator s takim raschetom, chto kogda rakety proletayut mimo drug druga, mezhdu kondensatorami proskakivaet iskra i iz centra kazhdoj platformy k ee koncam (nosu i korme) odnovremenno nachinayut rasprostranyat'sya svetovye signaly. K tomu vremeni, kogda svetovye signaly, rasprostranyayushchiesya s konechnoj skorost'yu, dostignut nablyudatelej, rakety izmenyat svoe otnositel'noe raspolozhenie i nablyudateli 2A i 2V okazhutsya blizhe k istochniku sveta, chem nablyudateli 1A i 1V. YAsno, chto kogda svetovoj signal dostignet nablyudatelya 2A, nablyudatel' 1B budet pozadi nego i, chtoby dostignut' nablyudatelya 1B, svetovomu signalu ponadobitsya nekotoroe dopolnitel'noe vremya. Sledovatel'no, esli chasy nablyudatelya 1V postavleny tak, chto pokazyvayut nol' chasov nol' minut v moment prihoda signala, to nablyudatel' 2A budet nastaivat' na tom, chto chasy ego kollegi 1V otstayut ot pravil'nogo vremeni. Tochno tak zhe drugoj nablyudatel' 1A pridet k zaklyucheniyu, chto chasy nablyudatelya 2V, do kotorogo svetovoj signal dojdet ran'she, chem do nego, speshat. Poskol'ku soglasno prinyatomu opredeleniyu odnovremennosti kazhdyj iz nablyudatelej schitaet, chto ego chasy postavleny pravil'no, nablyudateli na bortu rakety A soglasyatsya s tem, chto mezhdu chasami nablyudatelej na bortu rakety V imeetsya razlichie. Ne sleduet, odnako, zabyvat' o tom, chto nablyudateli na bortu rakety V po tochno tem zhe prichinam budut schitat', chto ih chasy postavleny pravil'no, a chasy nablyudatelej na bortu rakety A rassoglasovany. Poskol'ku obe rakety sovershenno ekvivalentny, raznoglasiya mezhdu dvumya gruppami nablyudatelej mozhno razreshit', tol'ko esli priznat', chto pravy obe gruppy - kazhdaya so svoej tochki zreniya, no chto vopros o tom, kto iz nih prav, "absolyutno" ne imeet fizicheskogo smysla. Boyus' chto ya utomil vas etimi dlinnymi rassuzhdeniyami, no esli vy vnimatel'no sledili za hodom moej mysli, to vam dolzhno byt' yasno, chto kak tol'ko nash sposob prostranstvenno-vremenn_y_h izmerenij prinyat, _ponyatie absolyutnoj odnovremennosti polnost'yu utrachivaet smysl i dva sobytiya, proishodyashchie v razlichnyh mestah i odnovremennye s tochki zreniya odnoj sistemy otscheta, razdeleny konechnym vremennym intervalom s tochki zreniya drugoj sistemy otscheta_. |to utverzhdenie zvuchit ves'ma stranno, v osobennosti dlya teh, kto slyshit ego vpervye, no tak li stranno pokazhetsya vam, esli ya skazhu, chto, obedaya v vagone-restorane idushchego poezda, vy s容daete svoj sup i desert v odnoj i toj zhe tochke vagona-restorana, no v razlichnyh tochkah zheleznodorozhnogo polotna, razdelennyh dostatochno bol'shim rasstoyaniem? Mezhdu tem utverzhdenie o vashej trapeze v poezde mozhno sformulirovat' i tak: _dva sobytiya, proishodyashchie v razlichnoe vremya v odnoj i toj zhe tochke odnoj sistemy otscheta, razdeleny konechnym prostranstvennym intervalom s tochki zreniya drugoj sistemy otscheta_. Sravniv eto "trivial'noe" utverzhdenie s predydushchim "paradoksal'nym" utverzhdeniem, vy uvidite, chto oni sovershenno simmetrichny i perehodyat drug v druga, esli slovo "vremennoj" zamenit' na "prostranstvennyj" (i naoborot). V etom i sostoit vsya sut' tochki zreniya |jnshtejna: esli v klassicheskoj fizike vremya rassmatrivalos' kak nechto sovershenno nezavisimoe ot prostranstva i dvizheniya i schitalos', chto ono "po samoj svoej sushchnosti, bez vsyakogo otnosheniya k chemu-libo vneshnemu, protekaet ravnomerno" (N'yuton), to v novoj fizike prostranstvo i vremya tesno vzaimosvyazany i predstavlyayut soboj dva razlichnyh secheniya odnogo odnorodnogo "prostranstvenno-vremennogo kontinuuma", v kotorom razygryvayutsya vse nablyudaemye sobytiya. Razdelenie etogo chetyrehmernogo kontinuuma na trehmernoe prostranstvo i odnomernoe vremya sovershenno proizvol'no i zavisit ot sistemy otscheta, v kotoroj proizvodyatsya nablyudeniya. Dva sobytiya, razdelennye v prostranstve rasstoyaniem l i vo vremeni intervalom t po nablyudeniyam v odnoj sisteme otscheta, po nablyudeniyam v drugoj sisteme otscheta razdeleny drugim rasstoyaniem l' v prostranstve i drugim vremennym intervalom t' chto pozvolyaet v opredelennom smysle govorit' o preobrazovanii prostranstva vo vremya i naoborot. Netrudno takzhe ponyat', pochemu preobrazovanie vremeni v prostranstvo, kak v primere s obedom v vagone-restorane, dlya nas obychnoe delo, togda kak preobrazovanie prostranstva vo vremya, porozhdayushchee otnositel'nost' ponyatiya odnovremennosti, kazhetsya ves'ma neobychnym. Delo v tom, chto esli rasstoyaniya my izmeryaem, naprimer, v "santimetrah", to sootvetstvuyushchej edinicej vremeni dolzhna byt' ne privychnaya "sekunda", a "racional'naya edinica vremeni" - interval vremeni, kotoryj neobhodim svetovomu signalu dlya togo, chtoby preodolet' rasstoyanie v odin santimetr, t.e. 0,00000000003 sekundy. Sledovatel'no, v sfere nashego obychnogo opyta preobrazovanie prostranstvennyh intervalov vo vremennye intervaly privodit k prakticheski nenablyudaemym rezul'tatam, chto, kazalos' by, podkreplyaet klassicheskij vzglyad na prirodu veshchej, soglasno kotoromu vremya est' nechto absolyutno nezavisimoe i neizmenyaemoe. No pri izuchenii dvizhenij s ochen' bol'shimi skorostyami, naprimer, dvizheniya elektronov, ispuskaemyh radioaktivnymi elementami, ili dvizheniya elektronov vnutri atoma, gde rasstoyaniya, pokryvaemye za opredelennyj interval vremeni, - velichiny togo zhe poryadka, kak vremya, vyrazhennoe v racional'nyh edinicah, my nepremenno stalkivaemsya s oboimi effektami, o kotoryh shla rech' vyshe, i teoriya otnositel'nosti priobretaet vazhnoe znachenie. Relyativistskie effekty mogut nablyudat'sya dazhe v oblasti sravnitel'no malyh skorostej, naprimer, pri dvizhenii planet v nashej Solnechnoj sisteme iz-za neobychajno vysokoj tochnosti astronomicheskih izmerenij (odnako nablyudenie relyativistskih effektov v podobnyh sluchayah trebuet izmerenij izmenenij dvizheniya planety, dohodyashchih do doli uglovoj sekundy za god). Kak ya pytalsya ob座asnit' vam, kriticheskij analiz ponyatij prostranstva i vremeni privodit k zaklyucheniyu, chto prostranstvennye intervaly mogut byt' chastichno prevrashcheny vo vremennye intervaly i naoborot. |to oznachaet, chto chislovye znacheniya dannogo rasstoyaniya ili perioda vremeni, izmeryaemye v razlichnyh dvizhushchihsya sistemah otscheta, mogut rashodit'sya. Sravnitel'no prostoj matematicheskij analiz etoj problemy, v kotoryj, odnako, ya ne hotel by vhodit' na etih lekciyah, privodit k vpolne opredelennym formulam dlya izmeneniya dlin prostranstvennyh i vremenn_y_h intervalov. Iz nih sleduet, chto lyuboj ob容kt dliny l, dvizhushchijsya otnositel'no nablyudatelya so skorost'yu u, sokratitsya na velichinu, zavisyashchuyu ot skorosti, i izmerennaya dlina ob容kta okazhetsya ravnoj
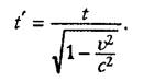
(2) Analogichno, lyuboj process, dlyashchijsya vremya t, pri nablyudenii iz dvizhushchejsya otnositel'no nego sistemy otscheta, budet dlit'sya dol'she - vremya t', kotoroe mozhet byt' vychisleno po formule
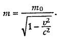
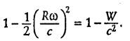
(3) |to i est' znamenitoe "sokrashchenie prostranstva" i "zamedlenie vremeni" v teorii otnositel'nosti. Obychno, kogda skorost' u gorazdo men'she skorosti sveta s, eti effekty ochen' maly, no pri dostatochno bol'shih skorostyah dliny, nablyudaemye iz dvizhushchejsya sistemy otscheta, mogut byt' sdelany skol' ugodno malymi, a vremenn_y_e intervaly - skol' ugodno prodolzhitel'nymi. YA hochu, chtoby vy ne zabyvali, chto oba effekta - i sokrashchenie prostranstvennyh intervalov, i zamedlenie vremeni - sovershenno simmetrichny i, esli passazhiry bystro mchashchegosya poezda budut udivlyat'sya, pochemu passazhiry stoyashchego poezda takie toshchie i dvizhutsya tak medlenno, passazhiry stoyashchego poezda budut razmyshlyat' o tom zhe, glyadya na passazhirov mchashchegosya poezda. Eshche odno sledstvie sushchestvovaniya maksimal'noj dostizhimoj skorosti otnositsya k masse dvizhushchihsya tel. Kak yavstvuet iz obshchih osnov mehaniki, massa tela opredelyaet, naskol'ko trudno privesti ego v dvizhenie ili, esli ono uzhe dvizhetsya, uskorit' ego: chem bol'she massa, tem trudnee uvelichit' skorost' tela na dannuyu velichinu. To, chto ni odno telo ni pri kakih obstoyatel'stvah ne mozhet dvigat'sya so skorost'yu, bol'shej skorosti sveta, privodit nas neposredstvenno k vyvodu, chto ego soprotivlenie dal'nejshemu uskoreniyu, ili, inache govorya, ego massa, neogranichenno vozrastaet, kogda skorost' tela priblizhaetsya k skorosti sveta. Matematicheskij analiz pozvolyaet vyvesti formulu zavisimosti massy tela ot ego skorosti, analogichnuyu formulam (2) i (3). Esli m0 - massa tela pri ochen' malyh skorostyah, to massa m tela pri skorosti u opredelyaetsya po formule
(4) My vidim, chto soprotivlenie tela dal'nejshemu uskoreniyu stanovitsya beskonechno bol'shim, kogda i stremitsya k c. |tot effekt relyativistskogo izmeneniya massy mozhet byt' legko nablyudaem eksperimental'no na chasticah, dvizhushchihsya s ochen' bol'shimi skorostyami. Naprimer, massa elektronov, ispuskaemyh radioaktivnymi telami (so skorost'yu, sostavlyayushchej 99 % skorosti sveta), v neskol'ko raz bol'she, chem v sostoyanii pokoya, a massy elektronov, obrazuyushchih tak nazyvaemye kosmicheskie livni i neredko dvizhushchihsya so skorost'yu 99,98 % skorosti sveta, v 1000 raz bol'she. K takim skorostyam klassicheskaya mehanika stanovitsya absolyutno neprimenimoj, i my vstupaem v oblast' chistoj teorii otnositel'nosti. Mister Tompkins beret otpusk Misteru Tompkinsu ochen' ponravilis' priklyucheniya v relyativistskom gorode, ogorchalo tol'ko, chto s nim ne bylo professora, kotoryj mog by ob座asnit' neobychnye yavleniya, kotorye emu, misteru Tompkinsu, dovelos' tam nablyudat', naprimer, pomoch' razreshit' zagadku, osobenno zanimavshuyu ego: kakim obrazom tormoznomu konduktoru udavalos' predupredit' starenie passazhirov? Mnogo nochej podryad mister Tompkins ukladyvalsya v postel' s nadezhdoj snova uvidet' polyubivshijsya emu gorod, no sny mister Tompkins videl redko i, v osnovnom, dovol'no nepriyatnye. Naprimer, v poslednij raz misteru Tompkinsu prisnilos', chto upravlyayushchij bankom uvolil ego za nebrezhnost' v vedenii bankovskih schetov. Prosnuvshis', mister Tompkins schel za blago vzyat' otpusk i otpravit'sya na nedel'ku kuda-nibud' na more. Tak mister Tompkins okazalsya v kupe poezda, nablyudaya v okno, kak serye kryshi prigoroda postepenno ustupayut mesto zelenym luzhajkam sel'skoj mestnosti. Mister Tompkins dostal gazetu i popytalsya sosredotochit'sya na poslednih korrespondenciyah s teatra voennyh dejstvij vo V'etname. No vse soobshcheniya pokazalis' emu nevynosimo skuchnymi, a zheleznodorozhnyj vagon tak priyatno pokachivalo... Kogda Tompkins opustil gazetu i snova vyglyanul v okno, pejzazh sil'no izmenilsya. Telegrafnye stolby stoyali tak blizko drug ot druga, chto napominali gigantskuyu izgorod', a krony derev'ev byli takimi uzkimi, chto derev'ya napominali ital'yanskie kiparisy. Naprotiv mistera Tompkinsa v kupe sidel ego staryj znakomyj - professor i s zhivejshim interesom smotrel v okno. Po-vidimomu, on voshel v kupe, poka mister Tompkins byl zanyat chteniem gazety. - My nahodimsya v strane otnositel'nosti, esli ya ne oshibayus', - zametil mister Tompkins. - O! - voskliknul professor. - Ne ozhidal vstretit' poputchika, obladayushchego stol' glubokimi poznaniyami! A po kakomu uchebniku vy izuchali teoriyu otnositel'nosti? - Mne uzhe dovodilos' byvat' zdes', hotya ya ne imel chesti byt' vashim poputchikom. - Na etot raz vam pridetsya byt' moim gidom, - skazal staryj professor. - Boyus', chto mne pridetsya otkazat'sya ot etoj pochetnoj roli, - otklonil lestnoe predlozhenie mister Tompkins. - YA dejstvitel'no videl mnozhestvo neobychnyh veshchej, no mestnye zhiteli, k kotorym ya obrashchalsya za raz座asneniyami, nikak ne mogli vzyat' v tolk, chto menya smushchaet. - Vpolne estestvenno, - zametil professor. - Ved' oni rodilis' v etom mire, i vse proishodyashchie vokrug nih yavleniya kazhutsya im samoochevidnymi. Predstavlyayu, kak oni udivilis' by, esli by im dovelos' pobyvat' v tom mire, gde privykli zhit' vy. Dumayu, on pokazalsya by im ves'ma neobychnym. - Pozvol'te zadat' vam odin vopros, - skazal mister Tompkins. - V proshlyj raz, kogda ya byl zdes', mne vstretilsya tormoznoj konduktor s zheleznoj dorogi. On utverzhdal, budto iz-za togo, chto poezd ostanavlivaetsya i trogaetsya v put', passazhiry staryatsya bystree, chem lyudi v gorode. CHto eto - chudesa ili yavlenie, kotoroe soglasuetsya s sovremennoj naukoj? - Ssylat'sya na chudesa pri ob座asnenii chego ugodno - priem zapreshchennyj, - otvetil professor. - YAvlenie, o kotorom govoril vash konduktor, sleduet iz zakonov fiziki. Analiziruya novye (ili, luchshe skazat', starye, no lish' nezadolgo do togo otkrytye) ponyatiya prostranstva i vremeni, |jnshtejn pokazal, chto vse fizicheskie processy zamedlyayutsya, kogda sistema, v kotoroj oni proishodyat, izmenyaet svoyu skorost'. V nashem mire takie effekty pochti nezametny, no zdes' iz-za maloj skorosti sveta oni stanovyatsya legko nablyudaemymi. Naprimer, esli vy popytaetes' zdes' svarit' sebe na zavtrak yajco i vmesto togo, chtoby dat' kastryul'ke spokojno stoyat' na ogne, nachnete dvigat' ee to v odnu, to v druguyu storonu, to svarit' yajco vkrutuyu vam udastsya ne za pyat', a, skazhem, za shest' minut. Vse processy v chelovecheskom tele takzhe zamedlyayutsya, esli, naprimer, chelovek kachaetsya v kresle-kachalke ili sidit v kupe poezda, kotoryj zamedlyaet ili uskoryaet hod: v takogo roda usloviyah my zhivem medlennee. No poskol'ku vse processy zamedlyayutsya odinakovo, fiziki predpochitayut govorit', chto v _neravnomerno dvizhushchejsya sisteme vremya techet medlennee_. - A nablyudayut li takie yavleniya uchenye v nashem mire, tak skazat', u nas doma? - Nablyudayut, hotya dlya etogo im prihoditsya proyavlyat' nedyuzhinnoe eksperimental'noe iskusstvo. Tehnicheski ochen' trudno dostich' neobhodimyh uskorenij, a fizicheskie usloviya v neravnomerno dvizhushchejsya sisteme analogichny, ya by dazhe skazal "tozhdestvenny", rezul'tatu vozdejstviya ochen' bol'shoj sily tyazhesti. Vam, dolzhno byt', prihodilos' zamechat', chto v kabine podnimayushchegosya s uskoreniem lifta vam kazhetsya, chto vy stanovites' tyazhelee. Naoborot, esli lift opuskaetsya (naprimer, esli oborvalsya tros i lift padaet), to vy oshchushchaete kak by poteryu vesa. Ob座asnenie izmenenij vesa sostoit v tom, chto sozdavaemoe uskoreniem gravitacionnoe pole dobavlyaetsya ili vychitaetsya iz sily tyazhesti Zemli. Potencial sily tyazhesti na Solnce vo mnogo raz bol'she, chem na poverhnosti Zemli, i poetomu vse processy na Solnce nemnogo zamedlyayutsya. Astronomy nablyudayut eto. - No ved' oni ne mogut otpravit'sya na Solnce, chtoby nablyudat' zamedlenie vseh processov? - Im i ne nuzhno tuda otpravlyat'sya. Oni nablyudayut svet, prihodyashchij k nam ot Solnca. |tot svet porozhdaetsya kolebaniyami razlichnyh atomov v solnechnoj atmosfere. Esli vse processy na Solnce idut medlennee, to skorost' atomnyh kolebanij takzhe ubyvaet i, sravnivaya svet, ispuskaemyj Solncem i zemnymi istochnikami, astronomy mogut zametit' raznicu. - Kstati, vy ne znaete, kak nazyvaetsya nebol'shaya stanciya, mimo kotoroj my sejchas proezzhaem? - prerval sebya professor. Poezd katilsya vdol' perrona malen'koj zaholustnoj stancii. Perron byl sovershenno pust, esli ne schitat' nachal'nika stancii i molodogo nosil'shchika, sidevshego na bagazhnoj telezhke i chitavshego gazetu. Vdrug nachal'nik stancii kak-to nelepo vzmahnul rukami i upal nichkom. Mister Tomkins ne slyshal zvuka vystrela, dolzhno byt', zaglushennogo stukom koles poezda, no luzha krovi u tela nachal'nika stancii ne ostavlyala somnenij v tom, chto proizoshlo ubijstvo. Professor ne medlya dernul stop-kran, i poezd ryvkom ostanovilsya. Kogda mister Tompkins i professor vyshli iz vagona, nosil'shchik bezhal k telu i na perrone poyavilsya mestnyj polismen. - Ubit vystrelom v serdce, - konstatiroval polismen, osmotrev telo, i, polozhiv tyazheluyu ruku na plecho nosil'shchika, prodolzhil: - Vy arestovany za ubijstvo nachal'nika stancii. - Ne ubival ya ego, - zakrichal neschastnyj nosil'shchik. - YA chital gazetu, kak vdrug uslyshal vystrel. Vozmozhno, eti dzhentl'meny s poezda videli, kak vse proizoshlo i mogut podtverdit', chto ya ne vinoven. - Dejstvitel'no, - podtverdil mister Tompkins, - ya videl svoimi sobstvennymi glazami, kak etot chelovek chital gazetu v tot moment, kogda byl zastrelen nachal'nik stancii. Mogu poklyast'sya na Biblii. - No vy nahodilis' v dvizhushchemsya poezde, - zametil polismen, obretaya nachal'stvennyj ton, - i poetomu vashi pokazaniya ne imeyut dokazatel'noj sily. S tochki zreniya nablyudatelya na perrone etot chelovek mog byt' zastrelen v tot zhe samyj moment. Razve vy ne znaete, chto odnovremennost' sobytij zavisit ot sistemy otscheta, iz kotoroj vy ee nablyudaete? Projdem bez lishnego shuma, - obratilsya on k nosil'shchiku. - Proshu izvinit' menya, konstebl', - prerval ego professor, - no vy sovershenno ne pravy i ya ne dumayu, chto v policejskom upravlenii ochen' obraduyutsya, uznav o vashem nevezhestve. Nikto ne sporit: v vashej strane ponyatie odnovremennosti v vysshej stepeni otnositel'no. |to pravda. Verno i to, chto dva sobytiya, proishodyashchih v razlichnyh mestah, mogut byt' odnovremennymi ili ne odnovremennymi v zavisimosti ot dvizheniya nablyudatelya. No dazhe v vashej strane ni odin nablyudatel' ne mozhet videt' sledstvie ran'she, chem prichinu. Vam zhe nikogda ne sluchalos' poluchat' telegrammu do togo, kak ta byla otpravlena, ved' verno? Ne sluchalos' i pit' do togo, kak butylku otkuporili. Naskol'ko ya vas ponimayu, vy polagaete, chto iz-za dvizheniya poezda my, passazhiry, nablyudali vystrel gorazdo _pozzhe_, chem ego sledstvie, poskol'ku, vyskochiv iz vagona totchas zhe posle ekstrennoj ostanovki poezda, my uvideli nachal'nika stancii lezhashchim na zemle, no eshche ne videli samogo vystrela. YA znayu, chto v policii vas uchat verit' tol'ko tomu, chto napisano v vashih instrukciyah. Vzglyanite v nih i vy, veroyatno, otyshchite chto-nibud' podhodyashchee k sluchayu. Ton professora proizvel neizgladimoe vpechatlenie na polismena i, vytashchiv karmannyj svod instrukcij, on prinyalsya medlenno, stranica za stranicej izuchat' ih. Vskore po ego shirokoj krasnoj fizionomii razlilas' ulybka oblegcheniya. - Vot, - skazal on, - razdel 37, chast' 12, paragraf e: "V kachestve absolyutno nadezhnogo alibi sleduet schitat' lyuboe avtoritetnoe dokazatel'stvo togo, chto iz lyuboj dvizhushchejsya sistemy otscheta v moment soversheniya prestupleniya ili v techenie intervala vremeni +-cd (gde s - skorost' sveta, a d - rasstoyanie ot mesta prestupleniya) podozrevaemogo videli v drugom meste". - Vy svobodny, moj milyj, - obratilsya polismen k nosil'shchiku i dobavil, povernuvshis' k professoru: - Ochen' priznatelen vam, ser, chto vy izbavili menya ot nepriyatnostej s policejskim upravleniem. YA v policii sluzhu nedavno i eshche ne vyuchil nazubok vse pravila. No mne vse ravno neobhodimo dolozhit' ob ubijstve. I polismen pospeshil k telefonnoj budke. CHerez minutu on zakrichal na ves' perron: - Vse v poryadke! Oni pojmali nastoyashchego ubijcu, kogda tot bezhal so stancii. Eshche raz blagodaryu vas, ser! - Dolzhno byt', ya neprohodimo glup, - zametil mister Tompkins, kogda poezd snova tronulsya, - no chto oznachaet vsya eta nerazberiha s odnovremennost'yu? Imeet li odnovremennost' voobshche kakoj-nibud' smysl v etoj strane? - Imeet, - glasil otvet professora, - no lish' v opredelennoj stepeni, inache ya ne smog by pomoch' bednyage-nosil'shchiku. Delo v tom, chto esli sushchestvuet estestvennyj predel skorosti dlya dvizheniya lyubogo tela ili rasprostraneniya lyubogo signala, to odnovremennost' v obychnom smysle etogo slova utrachivaet smysl. Vam, veroyatno, budet legche ponyat' sut' dela na sleduyushchem primere. Predpolozhim, chto u vas est' drug, zhivushchij v dalekom gorode, s kotorym vy perepisyvaetes', i pochtovyj poezd, kotoryj otpravlyaetsya raz v sutki, - samoe bystroe sredstvo soobshcheniya. Predpolozhim teper', chto kakoe-to proisshestvie sluchilos' s vami v voskresen'e i vy uznali, chto analogichnoe proisshestvie dolzhno proizojti s vashim drugom. YAsno, chto vy ne mozhete uvedomit' ego ob etom ran'she vtornika. S drugoj storony, esli by on znal zaranee o tom, chto proizojdet s vami, to poslednij den', kogda on mog predupredit' vas o gryadushchem sobytii, byl chetverg na proshloj nedele. Takim obrazom, v techenie shesti dnej - s chetverga na proshloj nedele do vtornika na budushchej nedele - vash drug ne sposoben ni povliyat' na vashu sud'bu v voskresen'e, ni uznat' o tom, chto s vami proizoshlo. S tochki zreniya prichinnosti on iz座at iz obshcheniya s vami, ili, tak skazat', ekskommunicirovan. - A chto esli emu poslat' telegrammu? - predlozhil mister Tompkins. - No ved' ya predpolozhil, chto skorost' pochtovogo poezda - maksimal'no vozmozhnaya. Primerno tak i obstoit delo v etoj strane. U nas na rodine maksimal'noj skorost'yu yavlyaetsya skorost' sveta, i vy ne mozhete poslat' signal, kotoroj rasprostranyalsya by bystree, chem radiosignal. - Pust' tak, - soglasilsya mister Tompkins, - no dazhe esli nichto ne mozhet prevzojti skorost' pochtovogo poezda, ya vse ravno ne ponimayu, kakoe eto imeet otnoshenie k odnovremennosti. Moj drug i ya po-prezhnemu obedaem po voskresen'yam v odno i to zhe vremya. Razve ne tak? - Net, ne tak. Vashe utverzhdenie voobshche ne imelo by smysla: odin nablyudatel' soglasilsya by s tem, chto vy s priyatelem obedaete odnovremenno, a drugie nablyudateli, proizvodivshie svoi nablyudeniya iz drugih poezdov, utverzhdali by, chto vy obedaete po voskresen'yam v to samoe vremya, kogda vash drug zavtrakaet po pyatnicam ili uzhinaet po vtornikam. No nikto ne mozhet nablyudat' vas i vashego druga za odnovremennoj trapezoj, esli vas razdelyaet vremennoj interval bolee treh dnej. - No kak eto mozhet byt'? - voskliknul nedoverchivo mister Tompkins. - Proishodit vse eto tochno tak, kak vy, vozmozhno, uyasnili sebe iz moih lekcij. Verhnij predel skorosti dolzhen ostavat'sya odnim i tem zhe pri nablyudenii iz razlichnyh dvizhushchihsya sistem otscheta. Prinyav takoe predpolozhenie, my s neobhodimost'yu prihodim k zaklyucheniyu o tom, chto... Tut razgovor, k sozhaleniyu, prervalsya, tak kak poezd pribyl na tu stanciyu, gde misteru Tompkinsu nuzhno bylo shodit'. Kogda mister Tompkins spustilsya k zavtraku na dlinnuyu zasteklennuyu verandu otelya na sleduyushchee utro posle svoego pribytiya na poberezh'e, ego ozhidal priyatnyj syurpriz: na protivopolozhnom konce stola protiv nego vossedal staryj professor s krasivoj molodoj devushkoj, kotoraya ozhivlenno chto-to govorila emu, chasto poglyadyvaya v tu storonu, gde sidel mister Tompkins. - Dolzhno byt', ya sovershil bol'shuyu glupost', kogda zasnul v poezde, - podumal mister Tompkins, serdyas' na sebya vse bol'she i bol'she, - a professor vse eshche pomnit tot glupyj vopros, kotoryj ya zadal emu o molodeyushchih passazhirah. No po krajnej mere eto pozvolyaet mne prodolzhit' znakomstvo s professorom i rassprosit' ego o tom, chto mne po-prezhnemu neponyatno. Dazhe samomu sebe mister Tompkins ne hotel priznat'sya, chto dumaet ne tol'ko o professore, no i o ego horoshen'koj sputnice. - Da, da, konechno, ya pomnyu, chto videl vas na svoih lekciyah, - skazal professor, kogda oni vyhodili iz obedennogo zala. - Poznakom'tes', eto moya doch' Mod. Ona zanimaetsya zhivopis'yu. - Rad poznakomit'sya s vami, miss Mod, - otvetil mister Tompkins i podumal, chto nikogda ne slyshal bolee krasivogo imeni. - Dumayu, chto zdeshnie krasoty dadut vam nemalo materiala dlya vashih etyudov. - Mod nepremenno pokazhet ih vam kogda-nibud', - poobeshchal professor. - A sejchas skazhite mne luchshe, mnogo li vy pocherpnuli iz moej lekcii? - O da, ochen' mnogo! Bolee togo, ya na sebe prochuvstvoval vse eti relyativistskie sokrashcheniya material'nyh ob容ktov i sumasshedshee povedenie chasov, kogda pobyval v gorode, gde skorost' sveta sostavlyala tol'ko kilometrov desyat' v chas. - ZHal', chto vy propustili moyu sleduyushchuyu lekciyu o krivizne prostranstva i ee svyazi s silami n'yutonovskoj gravitacii, - zadumchivo proiznes professor. - No zdes', na poberezh'e, u nas hvatit vremeni, i ya nadeyus' ob座asnit' vam vse eto. Naprimer, ponimaete li vy, v chem raznica mezhdu polozhitel'noj i otricatel'noj kriviznoj prostranstva? - Papochka, - vmeshalas' miss Mod, kaprizno naduv guby, - esli vy sobiraetes' snova besedovat' o fizike, to ya luchshe zajmus' etyudami. - Horosho, devochka, idi, - soglasilsya professor, opuskayas' v legkoe kreslo. - YA vizhu, chto vy molodoj chelovek, ne ochen' svedushchi v matematike, no dumayu, chto udastsya ob座asnit' vam vse ochen' prosto. Dlya bol'shej naglyadnosti ya budu govorit' o poverhnosti. Predstav'te sebe, chto mister SHell (vy znaete, o kom ya govoryu, - eto tot samyj gospodin, kotoryj vladeet benzozapravochnymi stanciyami "SHell Ojl") reshil kak-to raz prosledit' za tem, chtoby ego zapravochnye stancii byli ravnomerno raspredeleny po territorii kakoj-nibud' strany, naprimer, Ameriki. Dlya etogo mister SHell otdal pravleniyu svoej firmy, raspolozhennomu gde-to v centre strany (esli ya ne oshibayus', mnogie sklonny dumat', chto serdce Ameriki nahoditsya v Kanzas-Siti), rasporyazhenie soschitat' chislo stancij na rasstoyanii sto, dvesti, trista i t. d. mil' ot centra. So shkol'noj skam'i mister SHell vynes vospominaniya o tom, chto ploshchad' kruga proporcional'na kvadratu ego radiusa, i ozhidaet, chto v sluchae ravnomernogo raspredeleniya zapravochnyh stancij chislo ih v rezul'tate podschetov budet vozrastat', kak posledovatel'nost' chisel 1; 4; 9; 16 i t.d. Kogda v pravlenie "SHell Ojl" stali postupat' otchety, glava firmy k svoemu velikomu udivleniyu obnaruzhil, chto chislo stancij vozrastaet gorazdo medlennee, naprimer, kak chisla, obrazuyushchie posledovatel'nost' 1; 3,8; 8,5; 15,0 i t.d.
- CHto za d'yavol'shchina, - voskliknul mister SHell, - moi upravlyayushchie v Amerike nichego ne smyslyat v svoem dele! Nu skazhite na milost', zachem im ponadobilos' sosredotachivat' zapravochnye stancii v okrestnostyah Kanzas-Siti? Prav li mister SHell v svoem zaklyuchenii? - V samom dele, prav li on? - povtoril mister Tompkins, mysli kotorogo gde-to vitali. - Mister SHell gluboko zabluzhdaetsya, - mrachno izrek professor. - On upustil iz vidu, chto poverhnost' Zemli ne ploskaya, a sfericheskaya, a na sfere ploshchad', zaklyuchennaya vnutri kruga dannogo radiusa, rastet medlennee, chem na ploskosti. Mozhete vy predstavit' sebe eto naglyadno? Net? Togda voz'mite globus i ubedites' sami v tom, chto ya prav. Naprimer, esli vy nahodites' na Severnom polyuse, to okruzhnost' radiusom v polovinu meridiana est' ne chto inoe, kak ekvator, a zaklyuchennaya vnutri nee ploshchad' poverhnosti Zemli est' ploshchad' severnogo polushariya. S uvelicheniem radiusa ploshchad' na poverhnosti sfery vozrastaet tol'ko vdvoe, a ne vchetvero, kak bylo by na ploskosti. Teper', nadeyus', yasno? - O, da, - kivnul mister Tompkins, delaya vid, budto on vnimatel'no sledit za ob座asneniyami. - A chto takoe polozhitel'naya ili otricatel'naya krivizna? - U sfery krivizna schitaetsya polozhitel'noj. Kak vy videli na primere zemnogo shara, polozhitel'naya krivizna sootvetstvuet konechnoj poverhnosti, imeyushchej konechnuyu ploshchad'. Primerom poverhnosti s otricatel'noj kriviznoj mozhet sluzhit' sedlo. - Sedlo? - peresprosil mister Tompkins. - Da, sedlo, ili na poverhnosti Zemli sedloobraznyj pereval mezhdu dvumya gornymi vershinami. Predpolozhim, chto nekij botanik obitaet v gornoj hizhine, raspolozhennoj na takom sedlovidnom perevale, i zanimaetsya izucheniem plotnosti sosen, rastushchih vokrug ego zhilishcha. Podschitav chislo sosen, rastushchih ne dalee sta, dvuhsot, trehsot i t. d. futov ot hizhiny, on obnaruzhit, chto chislo sosen vozrastaet bystree, chem kvadrat rasstoyaniya, poskol'ku na sedlovidnoj poverhnosti ploshchad', zaklyuchennaya vnutri dannogo radiusa, rastet bystree, chem na ploskosti. O takih poverhnostyah govoryat, chto oni obladayut otricatel'noj kriviznoj. Esli vy popytaetes', rastyanuv, nalozhit' sedlovidnuyu poverhnost' na ploskost', to vam pridetsya sdelat' skladki. Esli zhe vy zadumaete nalozhit' na ploskost' sfericheskuyu poverhnost', to vam pridetsya gde-to prodelat' v nej dyrochku. - Kazhetsya, ya nachinayu ponimat', - zadumchivo proiznes mister Tompkins. - Vy hotite skazat', chto sedlovidnaya poverhnost' beskonechnaya, hotya i iskrivlennaya. - Vot imenno! - odobritel'no kivnul professor. - Sedlovidnaya poverhnost' prostiraetsya vo vse storony do beskonechnosti i nigde ne zamykaetsya. Razumeetsya, v moem primere s sedlovidnym perevalom poverhnost' perestaet byt' poverhnost'yu otricatel'noj krivizny, kak tol'ko vy spuskaetes' s gor, i perehodit v iskrivlennuyu poverhnost' zemnogo shara s polozhitel'noj kriviznoj. No, razumeetsya, nichto ne meshaet vam voobrazit' poverhnost', sohranyayushchuyu povsyudu otricatel'nuyu kriviznu. - No kakoe otnoshenie imeet vse eto k iskrivlennomu trehmernomu prostranstvu? - Samoe neposredstvennoe. Predstav'te sebe, chto kakie-to vashi ob容kty ravnomerno raspredeleny po vsemu prostranstvu. Pod ravnomernym ya ponimayu takoe raspredelenie, pri kotorom rasstoyanie mezhdu lyubymi sosednimi ob容ktami vsegda odno i to zhe. Predpolozhim, chto vy podschityvaete chislo ob容ktov, raspolozhennyh ne dalee togo ili inogo rasstoyaniya ot vas. Esli eto chislo rastet kak kvadrat rasstoyaniya, to prostranstvo ploskoe. Esli zhe chislo ob容ktov rastet medlennee ili bystree, to prostranstvo obladaet sootvetstvenno polozhitel'noj ili otricatel'noj kriviznoj.
- Znachit, v sluchae prostranstva polozhitel'noj krivizny ob容m, zaklyuchennyj v predelah dannogo rasstoyaniya, men'she, a v sluchae prostranstva otricatel'noj krivizny - bol'she, chem v sluchae ploskogo prostranstva? - s udivleniem sprosil mister Tompkins. - Vot imenno! - ulybnulsya professor. - YA vizhu, chto teper' vy ponyali menya pravil'no. CHtoby opredelit' znak krivizny toj ogromnoj Vselennoj, v kotoroj my zhivem, neobhodimo lish' proizvodit' takie podschety udalennyh ob容ktov. Bol'shie tumannosti, o kotoryh vy, vozmozhno, slyshali, rasseyany ravnomerno v kosmicheskom prostranstve, i ih mozhno nablyudat' vplot' do rasstoyanij v neskol'ko millionov svetovyh let. Dlya issledovaniya krivizny Vselennoj eto ochen' udobnye ob容kty. - I poluchaetsya, chto nasha Vselennaya konechna i zamknuta? - Vidite li, - otvetil professor, - v dejstvitel'nosti eta problema vse eshche ne reshena. V svoih rabotah po kosmologii |jnshtejn utverzhdal, chto nasha Vselennaya imeet konechnye razmery, zamknuta i ne izmenyaetsya vo vremeni. Odnako v bolee pozdnej rabote russkogo matematika Al. Fridmana bylo pokazano, chto fundamental'nye uravneniya |jnshtejna dopuskayut takuyu vozmozhnost', kak rasshirenie ili szhatie Vselennoj na bolee pozdnem etape razvitiya. |to matematicheskoe zaklyuchenie bylo podtverzhdeno amerikanskim astronomom |. Habblom, kotoryj, ispol'zuya stodyujmovyj teleskop observatorii Maunt Vilson, obnaruzhil, chto galaktiki razletayutsya, t.e. nasha Vselennaya rasshiryaetsya. Sushchestvuet, odnako, vse eshche nereshennaya problema otnositel'no togo, budet li eto rasshirenie prodolzhat'sya neogranichenno ili radius Vselennoj dostignet svoego maksimal'nogo znacheniya, posle chego v otdalennom budushchem rasshirenie smenitsya szhatiem. Otvet na etot vopros mogut dat' tol'ko bolee podrobnye astronomicheskie nablyudeniya. Poka professor govoril, vokrug stali proishodit' ves'ma neobychnye izmeneniya: odin konec koridora szhalsya i stal krohotnym, sdaviv vsyu stoyavshuyu tam mebel', zato drugoj konec rasshirilsya i prodolzhal uvelichivat'sya v razmerah, hotya uzhe sejchas, kak pokazalos' misteru Tompkinsu, on mog vmestit' vsyu Vselennuyu. Uzhasnaya mysl' proneslas' v golove mistera Tompkinsa: chto esli kusochek prostranstva s plyazhem, gde miss Mod risovala svoi etyudy, otorvalsya ot osnovnoj chasti Vselennoj? - Togda, - podumal mister Tompkins, - ya nikogda ne uvizhu ee snova! Mister Tompkins brosilsya k vyhodu. Poslednee, chto on uslyshal, byl golos professora, krichavshego emu vsled: - Ostorozhnee! Kvantovaya postoyannaya takzhe shodit s uma! Kogda mister Tompkins dostig plyazha, emu pokazalos', chto on perepolnen. Tysyachi devushek nosilis' po vsem napravleniyam, sozdavaya dikuyu nerazberihu. - Kak zhe ya smogu najti moyu Mod v etoj tolpe? - rasteryanno podumal mister Tompkins. No priglyadevshis', on zametil, chto vse devushki vyglyadeli tochno tak zhe, kak doch' professora, i ponyal, chto eto neobychajnoe shodstvo bylo igroj principa neopredelennosti. V sleduyushchij moment volna anomal'no bol'shoj kvantovoj postoyannoj proshla, i pered misterom Tompkinsom na plyazhe okazalas' miss Mod s ispugannym vyrazheniem v glazah. - Ah, eto vy! - vzdohnula ona s oblegcheniem. - A mne pokazalos', chto ogromnaya tolpa zatopchet menya. Dolzhno byt', ya peregrelas' na solnce i eto mne pomereshchilos'. Podozhdite, pozhalujsta, menya zdes', ya tol'ko na minutku sbegayu v otel' za shlyapoj. - Net-net, my ne dolzhny rasstavat'sya, - zaprotestoval mister Tompkins. - Mne kazhetsya, chto skorost' sveta takzhe menyaetsya. Vernuvshis' so shlyapoj, vy mozhete zastat' menya dryahlym starikom. - Ne govorite chepuhi, - vozrazila devushka, no vzyala mistera Tompkinsa pod ruku. A na polputi k otelyu novaya volna neopredelennosti nakryla ih, i mister Tompkins i ego sputnica okazalis' razmazannymi po vsemu beregu. Odnovremenno s okrestnyh holmov nachala rasprostranyat'sya skladka prostranstva, prichudlivo iskazhaya ochertaniya pribrezhnyh skal i rybackih domikov. Luchi Solnca, otrazhennye ot intensivnogo gravitacionnogo polya, polnost'yu ischezli za gorizontom, i mister Tompkins pogruzilsya v kromeshnuyu t'mu. Proshla celaya vechnost', prezhde chem stol' milyj ego serdcu golos ne privel ego v chuvstvo. - O, ya vizhu moj papochka sovsem usypil vas svoimi razgovorami o fizike, - proshchebetala miss Mod. - Ne hotite li vy pojti so mnoj poplavat'? Voda segodnya prosto velikolepnaya. Mister Tompkins podprygnul so svoego legkogo kresla, kak na pruzhinah. - Tak eto byl tol'ko son, - podumal on, kogda oni spuskalis' k plyazhu. - Ili son tol'ko teper' nachinaetsya? Lekciya professora ob iskrivlennom prostranstve, gravitacii i vselennoj Ledi i dzhentl'meny! Segodnya ya namerevayus' rassmotret' problemu iskrivlennogo prostranstva i ee svyaz' s yavleniyami gravitacii. Ne somnevayus', chto kazhdyj iz vas bez truda mozhet predstavit' sebe iskrivlennuyu liniyu (krivuyu) ili iskrivlennuyu poverhnost', no pri upominanii ob iskrivlennom trehmernom prostranstve vashi lica vytyagivayutsya i vy sklonny dumat', chto eto nechto ves'ma neobychnoe i pochti sverh容stestvennoe. Pochemu iskrivlennoe prostranstvo vyzyvaet vseobshchij "uzhas"? Dejstvitel'no li ponyatie iskrivlennogo prostranstva trudnee dlya ponimaniya, chem ponyatie iskrivlennoj poverhnosti? Mnogie iz vas, porazmysliv nemnogo nad etimi voprosami, veroyatno, skazhut, chto predstavit' iskrivlennoe trehmernoe prostranstvo trudnee po odnoj-edinstvennoj prichine: my ne mozhem vzglyanut' na prostranstvo "so storony", kak my smotrim na iskrivlennuyu poverhnost' shara, ili, esli obratit'sya k drugomu primeru, na takuyu osobym obrazom izognutuyu poverhnost', kak sedlo. No te, kto tak govoryat, obrekayut sebya na neznanie strogo matematicheskogo smysla krivizny, sushchestvenno otlichayushchegosya ot obshcheupotreblyaemogo znacheniya etogo slova. My, matematiki, nazyvaem poverhnost' iskrivlennoj, esli svojstva geometricheskih figur, nacherchennyh na nej, otlichny ot svojstv figur na ploskosti, i izmeryaem kriviznu otkloneniem ot klassicheskih pravil Evklida. Esli vy nachertite treugol'nik na ploskom liste bumagi, to, kak izvestno iz elementarnoj geometrii, summa ego vnutrennih uglov ravna dvum pryamym. Vy mozhete izognut' etot list bumagi, pridav emu formu cilindra, konusa ili kakoj-nibud' bolee slozhnoj figury, no summa uglov nacherchennogo na nem treugol'nika neizmenno budet ostavat'sya ravnoj dvum pryamym uglam. Geometriya poverhnosti ne menyaetsya pri etih deformaciyah i s tochki zreniya "vnutrennej" krivizny poluchayushchiesya poverhnosti (iskrivlennye v obychnom smysle) takie zhe ploskie, kak obychnaya ploskost'. No vy ne mozhete nalozhit' list bumagi, ne rastyagivaya ego, na poverhnost' sfery ili sedla, a esli vy nachertite treugol'nik na poverhnosti sfery (t.e. postroite sfericheskij treugol'nik), to prostye teoremy evklidovoj geometrii vypolnyat'sya ne budut. Naprimer, treugol'nik, obrazovannyj severnymi polovinami meridianov i zaklyuchennoj mezhdu nimi dugoj ekvatora, imeet dva pryamyh ugla pri osnovanii i proizvol'nyj ugol pri vershine. Vozmozhno, vy udivites', kogda uznaete, chto na sedlovidnoj poverhnosti summa uglov treugol'nika, naoborot, vsegda men'she dvuh pryamyh. Takim obrazom, _chtoby opredelit' kriviznu poverhnosti, neobhodimo izuchit' geometriyu na etoj poverhnosti_. Vzglyad zhe izvne na poverhnost' chasto byvaet oshibochnym. Glyadya na poverhnost' izvne, vy skoree vsego otnesli by poverhnost' cilindra k tomu zhe klassu, chto i poverhnost' obruchal'nogo kol'ca. Mezhdu tem pervaya poverhnost' ploskaya, a vtoraya neizlechimo iskrivlena. Kak tol'ko vy privyknite k etomu novomu strogomu ponyatiyu krivizny, u vas ne budet bolee nikakih trudnostej v ponimanii togo, chto imeyut v vidu fiziki, rassuzhdaya o tom, iskrivleno ili plosko prostranstvo, v kotorom my zhivem. Problema zaklyuchaetsya tol'ko v vyyasnenii togo, podchinyayutsya ili ne podchinyayutsya obychnym pravilam evklidovoj geometrii geometricheskie figury, postroennye v fizicheskom prostranstve. No poskol'ku my govorim o real'nom fizicheskom prostranstve, nam neobhodimo prezhde vsego dat' _fizicheskoe opredelenie terminov, ispol'zuemyh v geometrii_, i, v chastnosti, ukazat', chto my ponimaem pod pryamymi, iz kotoryh postroeny figury.
Dumayu, vse vy znaete, chto pryamuyu chashche vsego opredelyayut kak kratchajshee rasstoyanie mezhdu dvumya tochkami. Pryamuyu mozhno postroit', libo natyanuv nit' mezhdu dvumya tochkami, libo s pomoshch'yu kakogo-nibud' ekvivalentnogo, no bolee slozhnogo processa, ustanoviv opytnym putem liniyu mezhdu dvumya dannymi tochkami, vdol' kotoroj minimal'noe chislo raz ukladyvaetsya mernyj sterzhen' dannoj dliny. CHtoby pokazat', chto rezul'taty postroeniya pryamoj s pomoshch'yu takogo metoda zavisyat ot fizicheskih uslovij, predstavim sebe bol'shuyu krugluyu platformu, ravnomerno vrashchayushchuyusya vokrug svoej osi {Nazvanie "Cirk Hukhema" voshodit k misteru Dzhonu Hukhemu, rabotavshemu hudozhnikom-illyustratorom v izdatel'stve Kembridzhskogo universiteta. Nezadolgo do vyhoda v otstavku mister Hukhem sozdal mnogie iz risunkov, ukrasivshih etu knigu.}, i pust' eksperimentator |2 pytaetsya najti kratchajshee rasstoyanie mezhdu dvumya tochkami na krayu platformy. U eksperimentatora imeetsya korobka s ogromnym chislom sterzhnej, kazhdyj dlinoj 5 dyujmov, i on pytaetsya vylozhit' iz minimal'nogo chisla etih sterzhnej liniyu, soedinyayushchuyu dve dannye tochki A i V. Esli by platforma ne vrashchalas', to nash eksperimentator raspolozhil by sterzhni vdol' shtrihovoj linii mezhdu tochkami A i V. No iz-za vrashcheniya platformy ego mernye sterzhni preterpevayut relyativistskoe sokrashchenie, o kotorom ya rasskazal vam v moej predydushchej lekcii, prichem te iz nih, kotorye raspolozheny blizhe k krayu platformy (i, sledovatel'no, obladayut bol'shimi linejnymi skorostyami), sokrashchayutsya sil'nee, chem sterzhni, raspolozhennye blizhe k centru. YAsno, chto dlya togo chtoby kazhdyj sterzhen' pokryval kak mozhno bol'shee rasstoyanie, sterzhni neobhodimo raspolagat' kak mozhno blizhe k centru. No poskol'ku oba konca linii zakrepleny na krayu platformy, sdvigat' vse sterzhni ot serediny linii slishkom blizko k centru nevygodno. V rezul'tate nash fizik dostignet nekoego kompromissa mezhdu etimi dvumya usloviyami, i _kratchajshee rasstoyanie budet v konce koncov predstavleno krivoj, slegka vypukloj v storonu centra_. Esli nash eksperimentator vmesto otdel'nyh sterzhnej natyanet mezhdu dvumya dannymi tochkami A i V nit', to rezul'tat, kak netrudno ponyat', poluchitsya prezhnim, poskol'ku kazhdyj otrezok niti preterpevaet takoe zhe relyativistskoe sokrashchenie, kak otdel'nye sterzhni. YA hochu osobo podcherknut', chto relyativistskaya deformaciya natyanutoj niti, proishodyashchaya, kogda platforma nachinaet vrashchat'sya, ne imeet nichego obshchego s obychnymi effektami centrobezhnoj sily. Relyativistskaya deformaciya ostaetsya neizmennoj, kak by sil'no ni byla natyanuta nit', ne govorya uzhe o tom, chto obychnaya centrobezhnaya sila dejstvuet v protivopolozhnom napravlenii. Esli nablyudatel', nahodyashchijsya na platforme, vzdumaet proverit' rezul'tat svoih postroenij, sravniv poluchennuyu "pryamuyu" s luchom sveta, to on obnaruzhit, chto svet dejstvitel'no rasprostranyaetsya vdol' postroennoj im linii. Razumeetsya, dlya nablyudatelej, stoyashchih u platformy, luch sveta voobshche ne budet iskrivlen. Oni budut interpretirovat' rezul'taty dvizhushchegosya nablyudatelya putem superpozicii, ili nalozheniya, vrashcheniya platformy i pryamolinejnogo rasprostraneniya sveta. Oni skazhut vam, chto esli vy nanesete carapinu na vrashchayushchuyusya grammofonnuyu plastinku, dvinuv rukoj po pryamoj, to carapina na plastinke, konechno zhe, budet iskrivlennoj. No dlya nablyudatelya, nahodyashchegosya na vrashchayushchejsya platforme, nazvanie "pryamaya" dlya postroennoj im krivoj vpolne razumno: eta krivaya daet _kratchajshee rasstoyanie_ i sovpadaet s _luchom sveta_ v sisteme otscheta nashego nablyudatelya. Predpolozhim, chto on vybral na krayu platformy tri tochki i soedinil ih pryamymi, postroiv tem samym treugol'nik. _Summa uglov v etom treugol'nike men'she dvuh pryamyh_, iz chego nash nablyudatel' zaklyuchaet (i sovershenno spravedlivo), chto prostranstvo vokrug nego iskrivleno. Rassmotrim drugoj primer. Predpolozhim, chto dva drugih nablyudatelya na platforme (|3 i |4) reshili ocenit' chislo pi, izmeryaya dlinu okruzhnosti platformy i ee diametr. Na mernyj sterzhen' nablyudatelya |3 vrashchenie ne vliyaet, poskol'ku dvizhenie sterzhnya vsegda perpendikulyarno ego dline. S drugoj storony, mernyj sterzhen' nablyudatelya |4 vsegda budet sokrashchen, i dlya dliny okruzhnosti platformy etot nablyudatel' poluchit bol'shee znachenie, chem v sluchae nevrashchayushchejsya platformy. Delya rezul'tat, poluchennyj nablyudatelem 4, na rezul'tat, poluchennyj nablyudatelem 3, my poluchim znachenie, prevyshayushchee znachenie pi, obychno privodimoe v uchebnikah. |to takzhe yavlyaetsya sledstviem krivizny prostranstva. Vrashchenie vliyaet ne tol'ko na izmereniya dlin. CHasy, raspolozhennye na krayu platformy, budut dvigat'sya s bol'shej skorost'yu i, kak bylo pokazano v predydushchej lekcii, ih hod zamedlitsya po sravneniyu s hodom chasov, ustanovlennyh v centre platformy. Esli dva eksperimentatora (|4 i |5) sveryat chasy v centre platformy, a zatem eksperimentator |5 na kakoe-to vremya otneset svoi chasy na kraj platformy, to po vozvrashchenii v centr on obnaruzhit, chto ego chasy otstayut po sravneniyu s chasami, vse vremya ostavavshimisya v centre platformy. Iz etogo eksperimentator |5 sdelaet vyvod, chto v razlichnyh mestah platformy vse fizicheskie processy idut s razlichnymi skorostyami. Predpolozhim teper', chto nashi eksperimentatory ostanovilis' i nemnogo porazmyslili nad prichinoj neobychnyh rezul'tatov, tol'ko chto poluchennyh imi v geometricheskih izmereniyah. Predpolozhim takzhe, chto vrashchayushchayasya platforma zakryta so vseh storon i predstavlyaet soboj vrashchayushchuyusya komnatu bez okon, chtoby eksperimentatory ne mogli nablyudat' svoe dvizhenie otnositel'no okruzhayushchih predmetov. Mogli by v etom sluchae eksperimentatory ob座asnit' vse poluchennye rezul'taty chisto fizicheskimi usloviyami na platforme bez ucheta ee vrashcheniya otnositel'no "tverdoj osnovy", na kotoroj ustanovlena platforma? Glyadya na razlichiya mezhdu fizicheskimi usloviyami na platforme i na "tverdoj osnove", posredstvom kotoryh mozhno bylo by ob座asnit' nablyudaemye izmeneniya v geometrii, nashi eksperimentatory srazu zhe zametili by, chto sushchestvuet kakaya-to novaya sila, kotoraya stremitsya otbrosit' vse tela ot centra platformy k ee okruzhnosti. Vpolne estestvenno, chto oni pripisali by nablyudaemye effekty dejstviyu etoj sily, utverzhdaya, naprimer, chto iz dvuh chasov te budut idti medlennee, kotorye raspolozheny dal'she ot centra v napravlenii novoj sily. No dejstvitel'no li eta novaya sila nova, t. e. ne nablyudaema na "tverdoj osnove"? Razve my ne nablyudaem, kak vse tela prityagivayutsya k centru Zemli siloj, kotoraya poluchila nazvanie sily tyazhesti? Razumeetsya, v odnom sluchae my imeem prityazhenie k okruzhnosti diska, v drugom - prityazhenie k centru Zemli, no eto oznachaet tol'ko razlichie v raspredelenii sily. Netrudno, odnako, privesti drugoj primer, kogda "novaya" sila, porozhdaemaya neravnomernym dvizheniem sistemy otscheta, vyglyadit tochno tak zhe, kak sila tyazhesti v etoj lekcionnoj auditorii. Predpolozhim, chto kosmicheskij korabl', prednaznachennyj dlya mezhzvezdnyh pereletov, svobodno letit gde-to v kosmicheskom prostranstve nastol'ko daleko ot razlichnyh zvezd, chto vnutri korablya sila tyazhesti ne dejstvuet. Vse predmety vnutri kosmicheskogo korablya i sami puteshestvuyushchie v nem eksperimentatory nevesomy i svobodno plavayut v vozduhe primerno tak zhe, kak Mishel' Ardan i ego sputniki vo vremya puteshestviya na Lunu v znamenitom romane ZHyulya Verna. No vot dvigateli vklyucheny i kosmicheskij korabl' prihodit v dvizhenie, postepenno nabiraya skorost'. CHto proishodit vnutri nego? Netrudno videt', chto poka kosmicheskij korabl' uskoryaetsya, vse predmety vnutri nego obnaruzhivayut stremlenie dvigat'sya k polu, ili, chto to zhe, pol dvizhetsya navstrechu etim predmetam. Naprimer, esli nash eksperimentator derzhit v ruke yabloko i vypuskaet ego, to yabloko prodolzhaet dvigat'sya (otnositel'no okruzhayushchih korabl' zvezd) s postoyannoj skorost'yu - toj samoj, s kotoroj dvigalsya kosmicheskij korabl', kogda eksperimentator vypustil iz ruk yabloko. No kosmicheskij korabl' uskoryaetsya. Sledovatel'no, pol kabiny, dvigayas' vse bystree i bystree, v konce koncov dogonit yabloko i stuknet ego. S etogo momenta yabloko ostanetsya v postoyannom kontakte s polom, buduchi prizhato k polu postoyanno dejstvuyushchim uskoreniem. No dlya eksperimentatora, nahodyashchegosya vnutri kosmicheskogo korablya, vse vyglyadit inache: yabloko "padaet" s kakim-to uskoreniem i, udarivshis' ob pol, ostaetsya lezhat' na polu, pridavlennoe k nemu sobstvennym vesom. Brosaya razlichnye predmety, nash eksperimentator zametit, chto vse oni padayut s sovershenno odinakovym uskoreniem (esli prenebrech' treniem o vozduh) i vspomnit, chto eto - zakon svobodnogo padeniya, otkrytyj Galileo Galileem. _No nash eksperimentator tak i ne smozhet zametit' ni malejshego razlichiya mezhdu yavleniyami, proishodyashchimi v dvizhushchejsya s uskoreniem kabine kosmicheskogo korablya i obychnymi yavleniyami gravitacii. On mozhet pol'zovat'sya mayatnikovymi chasami, stavit' knigi na polku, ne boyas', chto te uletyat proch', i povesit' na gvozd' portret Al'berta |jnshtejna, kotoryj pervym ukazal na ekvivalentnost' uskoreniya sistemy otscheta i gravitacii i na etoj osnove razvil tak nazyvaemuyu obshchuyu teoriyu otnositel'nosti_.
No tut, kak i v pervom primere s vrashchayushchejsya platformoj, my zamechaem yavleniya, ostavshiesya neizvestnymi Galileyu i N'yutonu, kogda te izuchali gravitaciyu. Luch sveta, poslannyj cherez kabinu, iskrivlyaetsya i osveshchaet v zavisimosti ot uskoreniya kosmicheskogo korablya kazhdyj raz drugoe mesto ekrana, visyashchego na protivopolozhnoj stene. Razumeetsya, vneshnij nablyudatel' interpretiruet eto kak superpoziciyu ravnomernogo pryamolinejnogo dvizheniya sveta i uskorennogo dvizheniya kabiny, gde proizvodyatsya nablyudeniya. Geometriya takzhe narushaetsya: summa uglov treugol'nika, obrazovannogo tremya luchami sveta, budet bol'she dvuh pryamyh uglov, a otnoshenie dliny okruzhnosti k diametru - bol'she chisla pi. My rassmotreli lish' dva iz prostejshih primerov uskorenno dvizhushchihsya sistem otscheta, no ustanovlennaya vyshe ekvivalentnost' ostaetsya v sile dlya lyubogo dvizheniya tverdoj ili deformiruemoj sistemy otscheta. Tut my podhodim k voprosu velichajshej vazhnosti. Kak my tol'ko chto videli, v uskorenno dvizhushchejsya sisteme otscheta mozhet nablyudat'sya ryad yavlenij, ostavshihsya neizvestnymi dlya obychnogo gravitacionnogo polya. Sushchestvuyut li eti novye yavleniya, takie kak iskrivlenie lucha sveta ili zamedlenie chasov, i v gravitacionnyh polyah, porozhdaemyh tyazhelymi massami? Ili, inache govorya, sushchestvuyut li effekty uskoreniya i effekty gravitacii, kotorye ne tol'ko ochen' pohozhi, no i tozhdestvenny? Razumeetsya, yasno, chto hotya s evristicheskoj tochki zreniya ves'ma soblaznitel'no prinyat' polnoe tozhdestvo etih dvuh raznovidnostej effektov, okonchatel'nyj otvet mozhet byt' dan tol'ko s pomoshch'yu pryamyh eksperimentov. I k velichajshemu udovletvoreniyu nashego chelovecheskogo razuma, trebuyushchego prostoty i vnutrennej neprotivorechivosti zakonov Vselennoj, eksperimenty podtverzhdayut sushchestvovanie novyh yavlenij, o kotoryh idet rech', i v obychnom gravitacionnom pole. Razumeetsya, effekty, predskazyvaemye gipotezoj ob ekvivalentnosti polej uskoreniya i gravitacionnogo polya, ochen' maly. Imenno poetomu oni i byli otkryty tol'ko posle togo, kak uchenye special'no zanyalis' ih poiskom. Ispol'zuya privedennyj vyshe primer uskorenno dvizhushchihsya sistem otscheta, my mozhem legko ocenit' dva naibolee vazhnyh relyativistskih gravitacionnyh yavleniya po poryadku velichiny: izmenenie skorosti hoda chasov i iskrivlenie lucha sveta. Rassmotrim snachala primer s vrashchayushchejsya platformoj. Iz elementarnoj mehaniki izvestno, chto na chasticu s edinichnoj massoj, raspolozhennuyu na rasstoyanii r ot centra, dejstvuet centrobezhnaya sila, vychislyaemaya po formule
(1) gde omega - postoyannaya uglovaya skorost' vrashcheniya nashej platformy. Polnaya rabota, sovershaemaya etoj siloj pri dvizhenii chasticy ot centra do kraya platformy, ravna velichine
(2) gde R - radius platformy. Soglasno sformulirovannomu vyshe principu ekvivalentnosti my dolzhny otozhdestvit' centrobezhnuyu silu F s siloj tyazhesti na platforme, a rabotu W - s raznost'yu znachenij gravitacionnogo potenciala v centre i na krayu platformy. Napomnim, chto, kak bylo pokazano v predydushchej lekcii, chasy, dvizhushchiesya so skorost'yu u, zamedlyayut svoj hod v
(3) Esli skorost' u mala po sravneniyu so skorost'yu sveta s, to ostal'nymi chlenami mozhno prenebrech'. Po opredeleniyu uglovoj skorosti poluchaem r = R*omega, i "koefficient zamedleniya" mozhno predstavit' v vide
(4) Formula (4) pokazyvaet, kak izmenyaetsya skorost' hoda chasov v zavisimosti ot raznosti znachenij gravitacionnogo potenciala v mestah raspolozheniya chasov. Esli my pomestim odni chasy u osnovaniya, a drugie - na vershine |jfelevoj bashni (vysota bashni 300 m), to raznost' znachenij gravitacionnogo potenciala mezhdu nimi budet tak mala, chto chasy u podnozhiya budut idti medlennee, chem chasy na vershine bashni, tol'ko v 0,99999999999997 raz. S drugoj storony, raznost' znachenij gravitacionnogo potenciala mezhdu poverhnost'yu Zemli i poverhnost'yu Solnca gorazdo bol'she i porozhdaet koefficient zamedleniya, ravnyj 0,9999995, chto mozhet byt' podtverzhdeno vysokotochnymi izmereniyami. Razumeetsya, nikto ne sobiraetsya pomeshchat' obychnye chasy na poverhnost' Solnca i nablyudat' za ih hodom! U fizikov dlya etogo imeyutsya gorazdo luchshie sredstva. S pomoshch'yu spektroskopa my mozhem nablyudat' kolebaniya razlichnyh atomov na poverhnosti Solnca i sravnivat' ih s periodami kolebanij atomov teh zhe elementov, pomeshchennyh v plamya bunzenovskoj gorelki v laboratorii. Kolebaniya atomov na poverhnosti Solnca dolzhny zamedlyat'sya v chislo raz, zadavaemoe formuloj (4), i poetomu ispuskaemyj imi svet dolzhen byt' chut' bolee krasnovatym, chem v sluchae zemnyh istochnikov. Takoe "krasnoe smeshchenie" dejstvitel'no nablyudaetsya v spektrah Solnca i neskol'kih drugih zvezd, spektry kotoryh legko poddayutsya izmereniyam, i rezul'taty eksperimentov soglasuyutsya so znacheniem, kotoroe daet nasha teoreticheskaya formula. Takim obrazom, sushchestvovanie krasnogo smeshcheniya dokazalo, chto processy na Solnce proishodyat dejstvitel'no neskol'ko medlennee, chem na Zemle, iz-za bolee vysokogo gravitacionnogo potenciala na poverhnosti Solnca. CHtoby izmerit' kriviznu lucha sveta v gravitacionnom pole, bolee udobno vospol'zovat'sya primerom s kosmicheskim korablem (s.51). Esli l - rasstoyanie ot odnoj stenki kabiny do drugoj, to vremya, za kotoroe svet preodolevaet eto rasstoyanie, opredelyaetsya velichinoj
(5) Za eto vremya kosmicheskij korabl', dvigayas' s uskoreniem g, projdet rasstoyanie L, velichina kotorogo mozhet byt' vychislena po formule
(6) izvestnoj iz elementarnoj mehaniki. Sledovatel'no, ugol, zadayushchij izmenenie napravleniya lucha, est' velichina poryadka
(7) Ugol f tem bol'she, chem bol'she rasstoyanie l, prohodimoe svetom v gravitacionnom pole, V formule (7) uskorenie g kosmicheskogo korablya mozhet byt' interpretirovano kak uskorenie sily tyazhesti. Esli ya posylayu luch sveta cherez etu auditoriyu, to velichinu l mozhno schitat' primerno ravnoj 1000 sm. Uskorenie sily tyazhesti g na poverhnosti Zemli sostavlyaet 981 sm/s2, i pri s = 3 * 10^10 sm/s my poluchaem
(8) YAsno, chto pri takih usloviyah nablyudat' kriviznu lucha sveta zavedomo nevozmozhno. No vblizi poverhnosti Solnca g = 27000 sm/s2, a obshchij put', prohodimyj svetom v gravitacionnom pole Solnca, ochen' velik. Kak pokazyvayut tochnye vychisleniya, otklonenie lucha sveta, prohodyashchego vblizi poverhnosti Solnca, dostigaet velichiny 1,75". Takoe otklonenie nablyudali astronomy po smeshcheniyu vidimogo polozheniya zvezd vblizi solnechnogo diska vo vremya polnogo zatmeniya Solnca. Vy vidite, i v etom sluchae nablyudeniya podtverzhdayut absolyutnoe tozhdestvo effektov uskoreniya i gravitacii. Teper' my mozhem snova vernut'sya k probleme krivizny prostranstva. Kak vy pomnite, ispol'zuya naibolee razumnoe opredelenie pryamoj, my prishli k zaklyucheniyu, chto geometriya, voznikayushchaya v neravnomerno dvizhushchihsya sistemah otscheta, otlichaetsya ot geometrii Evklida i chto prostranstva s takoj geometriej sledovalo by schitat' iskrivlennymi. Poskol'ku lyuboe gravitacionnoe pole ekvivalentno nekotoromu uskoreniyu sistemy otscheta, eto oznachaet, chto lyuboe prostranstvo s gravitacionnym polem yavlyaetsya iskrivlennym prostranstvom. Sdelav eshche odin shag vpered, mozhno utverzhdat', chto _gravitacionnoe pole est' ne chto inoe, kak fizicheskoe proyavlenie krivizny prostranstva_. Takim obrazom, krivizna v kazhdoj tochke prostranstva dolzhna opredelyat'sya raspredeleniem mass, i vblizi tyazhelyh tel krivizna prostranstva dolzhna byt' maksimal'noj. YA ne mogu vdavat'sya zdes' v ves'ma slozhnuyu matematicheskuyu teoriyu, opisyvayushchuyu svojstva iskrivlennogo prostranstva i ih zavisimost' ot raspredeleniya mass. Upomyanu tol'ko o tom, chto krivizna prostranstva, voobshche govorya, opisyvaetsya ne odnim chislom, a desyat'yu razlichnymi chislami, obshcheizvestnymi pod nazvaniem komponent gravitacionnogo potenciala g i predstavlyayushchimi soboj obobshchenie gravitacionnogo polya klassicheskoj fiziki, kotoryj ranee ya oboznachil W. Sootvetstvenno, krivizna v kazhdoj tochke opisyvaetsya desyat'yu razlichnymi radiusami krivizny, obychno oboznachaemymi R. |ti radiusy krivizny svyazany s raspredeleniem mass fundamental'nym uravneniem |jnshtejna
(9) gde T zavisit ot plotnostej, skorostej i drugih svojstv gravitacionnogo polya, porozhdaemogo tyazhelymi massami. V zaklyuchenie lekcii ya hotel by obratit' vashe vnimanie na odno iz naibolee interesnyh sledstvij iz uravneniya (9). Esli my rassmotrim prostranstvo, ravnomerno zapolnennoe massami, kak, naprimer, nashe prostranstvo zapolneno zvezdami i zvezdnymi sistemami, to pridem k zaklyucheniyu, chto pomimo sluchajno bol'shoj krivizny vblizi otdel'nyh zvezd prostranstvo dolzhno obladat' _vpolne zakonomernoj tendenciej k ravnomernomu iskrivleniyu na bol'shih rasstoyaniyah_. S tochki zreniya matematiki sushchestvuet neskol'ko razlichnyh reshenij fundamental'nogo uravneniya |jnshtejna. Odni iz nih sootvetstvuyut _prostranstvu, kotoroe zamykaetsya i poetomu obladaet konechnym ob容mom_, drugie - _beskonechnomu prostranstvu, analogichnomu sedlovidnoj poverhnosti_, o kotoroj ya upominal v nachale etoj lekcii. Vtoroe vazhnoe sledstvie iz uravneniya (9) sostoit v tom, chto takie iskrivlennye prostranstva dolzhny nahodit'sya v sostoyanii neprestannogo rasshireniya ili szhatiya. Fizicheski eto oznachaet, chto zapolnyayushchie prostranstvo chasticy dolzhny byli by razletat'sya ili, naoborot, sletat'sya. Krome togo, mozhno pokazat', chto v sluchae zamknutyh prostranstv s konechnym ob容mom stadii rasshireniya i szhatiya dolzhny byli by periodicheski cheredovat'sya. Takie prostranstva poluchili nazvanie pul'siruyushchih vselennyh. S drugoj storony, beskonechnye "sedlovidnye" prostranstva postoyanno nahodyatsya v sostoyanii szhatiya ili rasshireniya. Otvet na vopros o tom, kakoe iz etih razlichnyh matematicheski vozmozhnyh reshenij sootvetstvuet prostranstvu, v kotorom my zhivem, dolzhen byt' najden ne fizikoj, a astronomiej, i ya ne budu rassmatrivat' ego zdes'. Upomyanu lish' o tom, chto vse imeyushchiesya astronomicheskie dannye vpolne opredelenno svidetel'stvuyut o tom, chto nasha Vselennaya rasshiryaetsya, hotya vopros o tom, ne smenitsya li kogda-nibud' rasshirenie szhatiem, a takzhe o konechnosti ili beskonechnosti Vselennoj, ostaetsya poka otkrytym. Pul'siruyushchaya vselennaya Pervyj vecher svoego prebyvaniya v gostinice "Na beregu Kanala" {Kanal, ili Anglijskij Kanal, - anglijskoe nazvanie proliva La-Mansh. (Prim. per)} mister Tompkins zavershil uzhinom v restorane, razumeetsya, v obshchestve starogo professora i ego ocharovatel'noj docheri. Uzhin udalsya na slavu. Professor bez umolku razglagol'stvoval o kosmologii, miss Mod premilo boltala ob iskusstve. Kogda mister Tompkins dobralsya, nakonec, do svoego nomera, on edva uspel razdet'sya i, bez sil ruhnuv na postel', s golovoj nakrylsya odeyalom. V ego ustalom mozgu peremeshalis' Bottichelli i Bondi, Sal'vador Dali i Fred Hojl, Lemetr i Lafonten. Povorochavshis' nekotoroe vremya s boku na bok, mister Tompkins, nakonec, zabylsya glubokim snom... Sredi nochi on vdrug prosnulsya ot neozhidannogo oshchushcheniya: emu pokazalos', chto vmesto myagkogo pruzhinnogo matraca on lezhit na chem-to neobychajno tverdom. Mister Tompkins otkryl glaza i uvidel sebya prostertym na chem-to, pokazavshemsya emu snachala skaloj na beregu okeana. Odnako chut' pozzhe on obnaruzhil, chto dejstvitel'no vozlezhit na skale, metrov etak devyat' v poperechnike, kotoraya bez vsyakoj vidimoj opory visela v prostranstve. Skala byla mestami pokryta zelenym mhom, a koe-gde iz rasselin na nej rosli nebol'shie kustiki. Prostranstvo vokrug skaly bylo osveshcheno kakim-to strannym mercayushchim svetom i izryadno zabito pyl'yu. Misteru Tompkinsu eshche nikogda ne prihodilos' videt', chtoby v vozduhe bylo stol'ko pyli, dazhe v fil'mah, izobrazhavshih pyl'nye buri na Srednem Zapade. On sdelal sebe zashchitnuyu masku iz nosovogo platka i pochuvstvoval izryadnoe oblegchenie. No v okruzhayushchem prostranstve byli veshchi i poopasnee pyli. Ochen' chasto kamni razmerom s golovu mistera Tompkinsa i pobolee pronosilis' v prostranstve u samoj skaly i vremya ot vremeni vrezalis' v nee s neprivychno gluhim stukom. No i eto eshche ne vse: obozrevaya okrestnosti, misteru Tompkinsu prihodilos' izo vseh sil ceplyat'sya za vystupy skaly i prizhimat'sya k nej, opasayas' sorvat'sya so skaly i sginut' v pyl'noj bezdne. No vskore mister Tompkins nabralsya hrabrosti i popytalsya vzobrat'sya na kraj skaly, chtoby ubedit'sya v tom, chto pod nej dejstvitel'no net nikakoj opory. Podpolzaya k krayu skaly, mister Tompkins k svoemu velikomu udivleniyu zametil, chto ne padaet so skaly. Naoborot, ego ves postoyanno prizhimaet ego k poverhnosti skaly, hotya sama skala nevelika i on uspel propolzti uzhe ne menee chetverti ee ohvata. Vzglyanuv iz-za grudy kamnej na to mesto, kotoroe raspolozheno v akkurat pod tem mestom, gde mister Tompkins pervonachal'no okazalsya, on ubedilsya, chto skala svobodno visit v prostranstve i ee nichto ne podderzhivaet. K svoemu velikomu izumleniyu, mister Tompkins vnezapno uvidel v mercayushchem svete svoego druga - starogo professora, stoyavshego na skale, kak pokazalos' misteru Tompkinsu, vniz golovoj i delavshego kakie-to zametki v zapisnoj knizhke. Teper' do mistera Tompkinsa medlenno stalo dohodit', chto proishodit. On vspomnil, kak v detstve uchil v shkole, chto Zemlya - ogromnaya kruglaya skala, svobodno obrashchayushchayasya v kosmicheskom prostranstve vokrug Solnca. Mister Tompkins vspomnil takzhe risunok iz shkol'nogo uchebnika: dva antipoda, stoyashchie na protivopolozhnyh storonah Zemli. Nu konechno zhe! Ego skala byla nebesnym telom ochen' malyh razmerov, prityagivavshim vse k svoej poverhnosti, a on sam i staryj professor sostavlyali vse naselenie etoj krohotnoj planety. Razmyshleniya neskol'ko uteshili mistera Tompkinsa: po krajnej mere ne bylo opasnosti svalit'sya so skaly v kosmicheskoe prostranstvo! - Dobroe utro, - proiznes mister Tompkins, chtoby otvlech' vnimanie starogo professora ot vychislenij, v kotorye tot ushel s golovoj.
Professor otorval glaza ot zapisnoj knizhki. - Zdes' net nikakih utr, - skazal on, - net Solnca, kak net ni odnoj svetyashchejsya zvezdy vo vsej etoj vselennoj. Horosho eshche, chto na poverhnosti tel zdes' ne protekayut koe-kakie himicheskie processy, inache ya prosto ne smog by nablyudat' za rasshireniem etogo uchastka vselennoj. - I s etimi slovami professor snova utknulsya v svoyu zapisnuyu knizhku. Mister Tompkins ochen' rasstroilsya: podumat' tol'ko, vstretit' edinstvennoe zhivoe sushchestvo vo vsej vselennoj i obnaruzhit', chto ono tak neobshchitel'no! Neozhidanno misteru Tompkinsu na pomoshch' prishel odin iz melkih meteoritov: so stukom udarivshis' o zapisnuyu knizhku, on vybil ee iz ruk professora i unes ee v kosmicheskie dali, proch' ot malen'koj planety. - Bol'she vy ee ne uvidite, - zametil mister Tompkins, glyadya, kak zapisnaya knizhka, stanovyas' vse men'she i men'she, skrylas' iz vidu. - Naoborot! - zhivo vozrazil professor. - Vidite li, prostranstvo, gde my s vami nahodimsya, imeet ne beskonechnuyu protyazhennost'. O da, da! YA znayu, chto v shkole vas uchili, budto prostranstvo beskonechno i dve parallel'nye pryamye nikogda ne peresekayutsya. No eto neverno ni dlya prostranstva, v kotorom obitaet ostal'noe chelovechestvo, ni dlya prostranstva, v kotorom nahodimsya sejchas my s vami. Razumeetsya, prostranstvo, v kotorom zhivet vse ostal'noe chelovechestvo, ochen' veliko, i, po ocenkam uchenyh, prostiraetsya primerno na 10000000000000000000000 kilometrov, chto dlya zauryadnogo uma vpolne mozhet sojti za beskonechnost'. Esli by ya poteryal svoyu zapisnuyu knizhku v toj Vselennoj, to zhdat' by ee prishlos' neveroyatno dolgo. Zdes' zhe, gde my s vami nahodimsya, situaciya sovershenno inaya. Kak raz pered tem, kak zapisnaya knizhka byla stol' neozhidanno vyrvana iz moih ruk, ya podschital, chto eto prostranstvo imeet poperechnik vsego lish' okolo desyati kilometrov, hotya i bystro rasshiryaetsya. Dumayu, chto moya zapisnaya knizhka vernetsya primerno cherez polchasa. - Vy polagaete, - robko podal golos mister Tompkins, - chto vasha zapisnaya knizhka povedet sebya, kak bumerang aborigenov Avstralii, i, opisav iskrivlennuyu traektoriyu, upadet k vashim nogam? - Nichego podobnogo, - vozrazil professor. - Esli hotite ponyat', chto proizojdet v dejstvitel'nosti, podumajte o kakom-nibud' drevnem greke, kotoryj ne znal, chto Zemlya kruglaya. Predpolozhim, chto nash grek otdal komu-nibud' instrukcii dvigat'sya vse vremya na sever. Predstav'te sebe ego izumlenie, kogda poslanec vernetsya k nemu s yuga. Ved' nash drevnij grek ne imeet ni malejshego ponyatiya o krugosvetnom puteshestvii (govorya o puteshestvii vokrug sveta, ya, konechno, imeyu v vidu puteshestvie vokrug Zemli) i budet prebyvat' v polnoj uverennosti, chto poslanec sbilsya s istinnogo puti i, opisav iskrivlennyj marshrut, vernulsya v ishodnuyu tochku. V dejstvitel'nosti zhe ego poslanec vse vremya dvigalsya po kratchajshej linii, kakuyu tol'ko mozhno provesti na poverhnosti Zemli, no, obojdya vokrug zemnogo shara, vernulsya v ishodnuyu tochku s protivopolozhnoj storony. To zhe samoe proizojdet i s moej zapisnoj knizhkoj, esli tol'ko po doroge ona ne stolknetsya s kakim-nibud' kamnem i ne otklonitsya ot pravil'nogo puti. Vot, voz'mite etot binokl'. Mozhet byt', vam udastsya razglyadet' ee. Mister Tompkins podnes k glazam binokl' i, hotya pyl' neskol'ko zatemnyala obshchuyu kartinu, dejstvitel'no razglyadel zapisnuyu knizhku professora, plyvushchuyu daleko ot nih v glubine kosmicheskogo prostranstva. Mistera Tompkinsa neskol'ko udivilo, chto vse dalekie predmety, v tom chisle i zapisnaya knizhka, imeyut rozovyj cvet. - Vasha zapisnaya knizhka vozvrashchaetsya, - voskliknul on chut' pozzhe, - ya vizhu, kak ona uvelichivaetsya v razmerah. - Net, - otkliknulsya professor, - ona vse eshche udalyaetsya ot nas. To, chto vy vidite, kak ona uvelichivaetsya v razmerah, ob座asnyaetsya osobym fokusiruyushchim dejstviem zamknutogo sfericheskogo prostranstva na luchi sveta. Vernemsya k nashemu drevnemu greku. Esli by luchi sveta, naprimer s pomoshch'yu atmosfernoj refrakcii, mozhno bylo zastavit' rasprostranyat'sya vdol' iskrivlennoj poverhnosti Zemli, to nash grek, bud' u nego moshchnyj binokl', mog by sledit' za svoim poslancem na protyazhenii vsego puteshestviya. Vzglyanuv na globus, vy zametite, chto pryamejshie linii na ego poverhnosti - meridiany - snachala rashodyatsya ot odnogo polyusa, no posle prohozhdeniya cherez ekvator nachinayut shodit'sya k protivopolozhnomu polyusu. Esli by luchi sveta rasprostranyalis' vdol' meridianov, to vy nahodyas', naprimer, na odnom polyuse, uvideli, kak poslanec, udalyayas' ot vas, umen'shaetsya v razmerah tol'ko do teh por, poka ne peresechet ekvator. Zatem vy uvidite, kak on uvelichivaetsya v razmerah, i vam budet kazat'sya, chto on vozvrashchaetsya, togda kak v dejstvitel'nosti on budet dvigat'sya vse dal'she i dal'she ot vas. Kogda poslanec dostignet protivopolozhnogo polyusa, vy uvidite ego v natural'nuyu velichinu - takim, kak esli by on stoyal ryadom s vami. Odnako vy ne mogli by kosnut'sya ego, kak ne mogli by potrogat' izobrazhenie v sfericheskom zerkale. Opirayas' na etu dvumernuyu analogiyu, vy mozhete teper' predstavit', chto proizojdet s luchami sveta v neobychno iskrivlennom trehmernom prostranstve. - Vzglyanite, - prerval sebya na poluslove professor, - izobrazhenie moej zapisnoj knizhki sovsem ryadom. Dejstvitel'no, bez vsyakogo binoklya mister Tompkins mog videt', chto zapisnaya knizhka nahodilas' ne bolee chem v metre ot nih. No vyglyadela ona ves'ma stranno! Kontury ee byli ne rezkimi, a sil'no razmytymi, formuly, kotorymi professor ispisal stranichki, byli edva razlichimy, a vsya zapisnaya knizhka v celom vyglyadela, kak fotografiya, snyataya ne v fokuse i k tomu zhe eshche nedoproyavlennaya. - Teper' vy sami mozhete ubedit'sya, - zametil professor, - chto pered vami ne sama zapisnaya knizhka, a vsego lish' ee izobrazhenie, sil'no iskazhennoe svetom, kotoromu prishlos' projti polmira. Esli hotite okonchatel'no ubedit'sya v tom, chto pered vami izobrazhenie, vzglyanite v stranicy povnimatel'nee i vy uvidite skvoz' nih kamni, letyashchie v kosmicheskom prostranstve za knizhkoj. Mister Tomkins popytalsya bylo shvatit' zapisnuyu knizhku, no ruka ego bez vsyakogo soprotivleniya proshla skvoz' izobrazhenie. - Sama zapisnaya knizhka, - prodolzhal professor, - nahoditsya sejchas ochen' blizko ot protivopolozhnogo polyusa vselennoj. Vtoroe izobrazhenie knizhki sejchas pryamo u vas za spinoj, i kogda oba izobrazheniya sovpadut, nastoyashchaya knizhka okazhetsya na protivopolozhnom polyuse. No mister Tompkins uzhe nichego ne slyshal. On gluboko pogruzilsya v razmyshleniya, pytayas' pripomnit', kak stroyatsya izobrazheniya ob容ktov v elementarnoj optike s pomoshch'yu vognutyh zerkal i linz. Kogda mister Tompkins ochnulsya, izobrazheniya snova rashodilis' v protivopolozhnye storony. - A chto iskrivlyaet prostranstvo i porozhdaet vse eti zabavnye effekty? - sprosil mister Tompkins professora. - Nalichie tyazheloj materii, - posledoval otvet. - Kogda N'yuton otkryl zakon vsemirnogo tyagoteniya, on videl v gravitacii obychnuyu silu, takuyu zhe, kak, naprimer, sila, porozhdaemaya uprugoj nit'yu, natyanutoj mezhdu dvumya telami. Odnako vsegda ostaetsya zagadkoj to obstoyatel'stvo, chto vse tela nezavisimo ot ih massy i razmera obladayut odnim i tem zhe uskoreniem i, esli isklyuchit' soprotivlenie vozduha i tomu podobnye effekty, pod dejstviem sil tyagoteniya dvizhutsya odinakovo. |jnshtejn pervym yasno i opredelenno pokazal, chto tyazhelaya materiya prezhde vsego porozhdaet kriviznu prostranstva i chto traektorii vseh tel, dvizhushchihsya v gravitacionnom pole, iskrivleny tol'ko potomu, chto iskrivleno samo prostranstvo. Boyus' odnako, chto vam bez dostatochnoj matematicheskoj podgotovki trudno razobrat'sya vo vsem etom. - Nelegko, - soglasilsya mister Tompkins. - No skazhite mne, pozhalujsta, byla by u nas ta geometriya, kotoroj menya uchili v shkole, esli by materii voobshche ne bylo, i peresekalis' by togda parallel'nye pryamye? - Parallel'nye ne peresekalis' by, - podtverdil professor, - no ni odno material'noe sushchestvo ne moglo by proverit' eto. - Mozhet byt', nikakogo Evklida v dejstvitel'nosti ne bylo i poetomu on ne mog sozdat' geometriyu absolyutno pustogo prostranstva? No professor yavno ne zhelal vdavat'sya v metafizicheskuyu diskussiyu. Mezhdu tem izobrazhenie zapisnoj knizhki udalilos' v pervonachal'nom napravlenii i nachalo priblizhat'sya vo vtoroj raz. Teper' ono bylo iskazheno eshche bol'she, chem prezhde, i uznat' v nem "prizrak" zapisnoj knizhki bylo pochti nevozmozhno. Po mneniyu professora, stol' sil'noe iskazhenie ob座asnyalos' tem, chto lucham sveta na etot raz prihodilos' obhodit' ves' mir. - Esli vy eshche raz oglyanetes', - obratilsya professor k misteru Tompkinsu, - to uvidite moyu zapisnuyu knizhku, kotoraya, nakonec, vozvrashchaetsya ko mne, sovershiv krugosvetnoe puteshestvie. Professor protyanul ruku, pojmal zapisnuyu knizhku i zasunul ee v karman. - V etoj vselennoj, kak vy mozhete ubedit'sya sami, tak mnogo pyli i kamnej, - skazal professor, - chto pochti nevozmozhno okinut' vzglyadom ves' mir. |ti besformennye teni, kotorye vy vidite vokrug nas, skoree vsego nashi izobrazheniya i izobrazheniya okruzhayushchih predmetov. Odnako oni tak sil'no iskazheny pyl'yu i defektami krivizny prostranstva, chto ya ne berus' skazat', chemu sootvetstvuet kazhdoe takoe izobrazhenie. - A ne nablyudaetsya li takoj zhe effekt v bol'shoj Vselennoj, gde my s vami zhili ran'she? - sprosil mister Tompkins. - Konechno, nablyudaetsya, - posledoval otvet, - no ta Vselennaya nastol'ko velika, chto svetu trebuyutsya milliardy let, chtoby obojti ee. Vy mogli by, ne pol'zuyas' zerkalom, uvidet', kak parikmaher postrig vas szadi, no lish' cherez milliardy let posle togo, kak pobyvaete u parikmahera. Krome togo, veroyatnee vsego mezhzvezdnaya pyl' polnost'yu zatemnit izobrazhenie. Kstati skazat', odin anglijskij astronom predpolozhil dazhe kak-to raz, skoree v shutku, chem vser'ez, chto vidimye sejchas zvezdy na nebe - ne bolee chem izobrazheniya zvezd, sushchestvovavshih v ochen' dalekuyu epohu. Ustav ot usilij ponyat' vse eti ob座asneniya, mister Tompkins oglyanulsya i k svoemu bol'shomu udivleniyu zametil, chto kartina neba znachitel'no izmenilas'. Pyli stalo zametno men'she, i on snyal s lica masku, kotoruyu smasteril iz nosovogo platka. Nebol'shie kameshki proletali znachitel'no rezhe i stukalis' o poverhnost' skaly s gorazdo men'shej energiej. CHto zhe kasaetsya neskol'kih bol'shih skal, napodobie toj, na kotoroj nashli priyut i on sam, mister Tompkins, i staryj professor, to teper' bol'shie skaly ne mayachili poblizosti, kak v samom nachale, a udalilis' na bol'shie rasstoyaniya drug ot druga i stali edva razlichimymi. - ZHizn' yavno idet na lad, - podumal mister Tompkins, - a to ya vse opasalsya, kak by odin iz etih bluzhdayushchih kamnej ne vrezalsya v menya. - Mozhete li vy ob座asnit' izmeneniya, proishodyashchie vokrug nas? - sprosil on, povernuvshis' k professoru. - Ochen' dazhe prosto, - s gotovnost'yu otvetil tot. - Nasha malen'kaya vselennaya ochen' bystro rasshiryaetsya i s teh por, kak my zdes' okazalis', ee razmery uvelichilis' s desyati do primerno sotni kilometrov. Kak tol'ko ya zdes' ochutilsya, rasshirenie bylo mne zametno po pokrasneniyu dalekih ob容ktov. - YA tozhe zametil, chto na bol'shom rasstoyanii vse stanovitsya rozovym, - podtverdil mister Tompkins, - no pochemu eto svidetel'stvuet o rasshirenii vselennoj?
- Dolzhno byt', vy zamechali, - nachal professor, - chto gudok priblizhayushchegosya poezda zvuchit vysoko, no znachitel'no ponizhaetsya, kogda poezd pronositsya mimo vas? |to tak nazyvaemyj effekt Doplera: zavisimost' vysoty zvuka ot skorosti istochnika. Kogda rasshiryaetsya vse prostranstvo, kazhdyj ob容kt, raspolozhennyj v nem, udalyaetsya so skorost'yu, proporcional'noj rasstoyaniyu ot nablyudatelya do ob容kta. Svet, ispuskaemyj takimi ob容ktami, krasneet, chto v akustike sootvetstvuet ponizheniyu vysoty tona. CHem dal'she ob容kt, tem bystree on dvizhetsya i tem krasnee kazhetsya nam. V nashej dobroj staroj Vselennoj, kotoraya takzhe rasshiryaetsya, eto pokrasnenie, ili, kak my ego nazyvaem, krasnoe smeshchenie, pozvolyaet astronomam ocenivat' rasstoyaniya do ochen' dalekih zvezdnyh oblakov. Naprimer, odno iz takih blizhajshih oblakov - tak nazyvaemaya Tumannost' Andromedy - obnaruzhivaet 0,05 %-noe pokrasnenie, chto sootvetstvuet rasstoyaniyu, prohodimomu svetom za vosem'sot tysyach let. No sushchestvuyut takzhe tumannosti na predele razreshayushchej sposobnosti sovremennyh teleskopov, kotorye obnaruzhivayut 15 %-noe pokrasnenie, chto sootvetstvuet rasstoyaniyu v neskol'ko soten millionov svetovyh let. Predpolagaetsya, chto eti tumannosti raspolozheny pochti na seredine ekvatora nashej bol'shoj Vselennoj i ves' ob容m kosmicheskogo prostranstva, izvestnogo zemnym astronomam, sostavlyaet znachitel'nuyu chast' polnogo ob容ma Vselennoj. Sovremennaya skorost' ee rasshireniya sostavlyaet 0,00000001 % v god, kazhduyu sekundu radius Vselennoj vozrastaet primerno na _desyat' millionov_ kilometrov. Nasha malaya vselennaya rastet (po sravneniyu s bol'shoj) gorazdo bystree, i ee razmery uvelichivayutsya primerno na 1 % v minutu. - I takoe rasshirenie nikogda ne prekratitsya? - sprosil mister Tompkins. - Razumeetsya, prekratitsya, - skazal professor, - a zatem nachnetsya szhatie. Kazhdaya vselennaya pul'siruet mezhdu naimen'shim i naibol'shim radiusom. Dlya bol'shoj Vselennoj period kolebanij ochen' velik i sostavlyaet chto-nibud' okolo neskol'kih tysyach millionov let, no dlya nashej malen'koj vselennoj period kolebanij sostavlyaet vsego lish' kakih-nibud' dva chasa. Dumayu, chto sejchas my nablyudali sostoyanie ee naibol'shego rasshireniya. Vy zametili, kak poholodalo? Dejstvitel'no, teplovoe izluchenie, zapolnyayushchee vselennuyu i teper' raspredelennoe po ochen' bol'shomu ob容mu, otdavalo malen'koj planete, na kotoroj nahodilis' mister Tompkins i staryj professor, lish' nebol'shuyu toliku tepla i temperatura byla blizka k tochke zamerzaniya. - Horosho eshche, - skazal professor, - chto kogda my zdes' okazalis', teplovogo izlucheniya bylo stol'ko, chto nemnogo tepla ono otdavalo dazhe na stadii rasshireniya. V protivnom sluchae v nashej malen'koj vselennoj bylo by nastol'ko holodno, chto vozduh vokrug nashej skaly skondensirovalsya by v zhidkost' i my by nasmert' zamerzli. No szhatie uzhe nachalos' i skoro snova budet teplo. Vzglyanuv na nebo, mister Tompkins zametil, chto vse dalekie ob容kty izmenili svoj cvet s rozovogo na fioletovyj. Po mneniyu professora, eto oznachalo, chto vse nebesnye tela nachali priblizhat'sya k nim. Mister Tompkins vspomnil privedennuyu professorom analogiyu s vysotoj zvuchaniya gudka priblizhayushchegosya poezda i sodrognulsya ot straha. - Esli vse teper' szhimaetsya, ne sleduet li ozhidat', chto vskore ogromnye skaly, zapolnyayushchie vselennuyu, sblizyatsya i razdavyat nas? - s bespokojstvom sprosil on professora. - Vy sovershenno pravy, tak i proizojdet, - spokojno otvetil professor, - no ya dumayu, chto eshche do togo, kak eto proizojdet, my oba raspademsya na otdel'nye atomy iz-za neobychajno vysokoj temperatury. |to miniatyurnaya kopiya kartiny konca bol'shoj Vselennoj, vse smeshaetsya v odnorodnyj shar raskalennogo gaza i tol'ko posle togo, kak nastupit stadiya novogo rasshireniya, nachnetsya novaya zhizn'. - Nichego sebe perspektiva! - probormotal mister Tompkins. - V bol'shoj Vselennoj u nas bylo do ee konca, kak vy upominali, milliardy let, a zdes' vse proishodit slishkom bystro dlya menya! Mne zharko dazhe v pizhame! - Pizhamu luchshe ne snimat', - posovetoval professor. - Vse ravno etim ne pomozhesh'. Luchshe lech' i nablyudat' za proishodyashchim vokrug, poka vy smozhete. Mister Tompkins nichego ne otvetil. ZHara stanovilas' nesterpimoj. Pyl', sil'no uplotnivshayasya, stala sobirat'sya vokrug nego, i on pochuvstvoval sebya kak by zavernutym v myagkoe teploe odeyalo. Mister Tompkins sdelal dvizhenie, chtoby osvobodit'sya iz etogo kokona, i ruka ego neozhidanno okazalas' v holodnom vozduhe.
- Uzh ne prodelal li ya dyru v negostepriimnoj vselennoj? - bylo ego pervoj mysl'yu. On hotel sprosit' ob etom professora, no togo nigde ne bylo. Vmesto stavshej uzhe privychnoj skaly mister Tompkins razlichil v predrassvetnoj mgle smutnye ochertaniya gostinichnogo nomera. On lezhal na krovati, plotno zavernutyj v sherstyanoe odeyalo, vyprostav iz-pod odeyala odnu lish' ruku. - Novaya zhizn' nachnetsya s rasshireniya! - podumal on, vspomniv slova starogo professora. - Slava Bogu, my vse eshche rasshiryaemsya! I mister Tompkins napravilsya v vannuyu, chtoby prinyat' utrennij dush. Kosmicheskaya opera Kogda utrom za zavtrakom mister Tompkins povedal professoru o svoem sne, prisnivshemsya proshloj noch'yu, tot vyslushal ego ves'ma skepticheski. - Kollaps nashej Vselennoj, - zametil on, - razumeetsya, byl by ves'ma dramaticheskim koncom, odnako skorosti razbeganiya galaktik nastol'ko veliki, chto perezhivaemaya nami stadiya rasshireniya nikogda ne perejdet v kollaps, nasha Vselennaya budet neogranichenno rasshiryat'sya, a raspredelenie galaktik v kosmicheskom prostranstve stanovit'sya vse bolee razrezhennym. Kogda vse zvezdy, obrazuyushchie galaktiki, pogasnut iz-za ischerpaniya yadernogo topliva, nasha Vselennaya prevratitsya v nabor holodnyh i temnyh skoplenij nebesnyh tel, rasseyannyh v beskonechnyh prostorah. Vprochem, nekotorye astronomy dumayut inache. Oni vydvigayut teoriyu tak nazyvaemoj kosmologii stacionarnogo sostoyaniya, soglasno kotoroj Vselennaya ostaetsya neizmennoj vo vremeni: ona sushchestvovala primerno v tom zhe sostoyanii, v kakom my vidim ee segodnya, v beskonechno dalekom proshlom i budet sushchestvovat' v takom zhe sostoyanii v beskonechno dalekom budushchem. Razumeetsya, takaya teoriya velikolepno soglasuetsya so starym dobrym principom Britanskoj imperii - sohranyat' v mire status kvo, odnako ya sklonen dumat', chto teoriya stacionarnogo sostoyaniya neverna. Kstati skazat', odin iz sozdatelej etoj novoj teorii - professor teoreticheskoj astronomii Kembridzhskogo universiteta - napisal operu o stacionarnoj Vselennoj, prem'era kotoroj sostoitsya v Kovent-Garden na sleduyushchej nedele. Pochemu by vam ne zakazat' bilety dlya Mod i dlya sebya i ne poslushat' stol' neobychnuyu operu?
CHerez neskol'ko dnej posle vozvrashcheniya v London s yuzhnogo poberezh'ya, gde, kak eto chasto byvaet, stalo holodno i poshli dozhdi, mister Tompkins i Mod sideli v udobnyh kreslah krasnogo barhata, ozhidaya, kogda vzov'etsya zanaves i nachnetsya opera. Prelyudiya byla ispolnena v tempe precipitevol issimevolmente, i dirizher dvazhdy menyal svoj vorotnichok, prezhde chem prelyudiya podoshla k koncu. Nakonec, kogda zanaves ryvkom podnyalsya, vse, kto nahodilsya v zale, vynuzhdeny byli zakryt' glaza rukami - stol' oslepitel'no yarkim svetom byla zalita scena. Potoki sveta, izlivavshiesya so sceny, vskore zapolnili ves' zritel'nyj zal ot partera do balkona samogo verhnego yarusa, prevrativ ego v odin oslepitel'nyj okean sveta. No vot svet stal postepenno merknut', i mister Tompkins vnezapno obnaruzhil, chto kak by plavaet v temnom prostranstve, osveshchennom mnozhestvom bystro vrashchayushchihsya kroshechnyh goryashchih fakelov, napominayushchih ognennye kolesa, ispol'zuemye pri fejerverkah. Muzyka nevidimogo orkestra smenilas' zvuchaniem organa, i mister Tompkins uvidel nepodaleku ot sebya cheloveka v chernoj sutane i belom vorotnichke, kotoryj nosyat svyashchennosluzhiteli. Vzglyanuv v libretto, mister Tompkins uznal, chto eto byl abbat ZHorzh Lemetr iz Bel'gii, kotoryj pervym predlozhil teoriyu rasshiryayushchejsya Vselennoj (etu teoriyu neredko nazyvayut teoriej "Bol'shogo Vzryva"). Pervye kuplety iz arii Lemetra mister Tompkins pomnit i ponyne: O, Aiome prreemorrdialel All-containeeng Atome! Deessolved eento fragments exceedeengfy small Galaxies forrmeeng, Each wizprrimal energy! Ot rradioactif Atome! Ot all-containeeng Atome! O, Univairrsale Aiome - Worrk of Z'Lorrd! Z long evolution Tells of mightyfirreworrks Zat ended een ashes and smouldairreeng weesps. We stand on z'ceendairres Fadeengsuns confironteengus, Attempteeng to rremembairre Z'splendeurofz brigine, Q, Univairrsale Atome - Worrkof Z'Lorrd {*}
(O, Atom pervichnyj! {*} Bessoderzhatel'nyj Atom! Raspavshis' na mel'chajshie oskolki, Ty obrazuesh' galaktiki, Kazhduyu - so svoej pervichnoj energiej! O, radioaktivnyj Atom! Vsesoderzhitel'nyj Atom! O, Atom Edinyj - Tvorenie Gospoda! Dolgaya evolyuciya Govorit nam o chudovishchnyh fejerverkah, Zakanchivavshihsya peplom i tleyushchimi uglyami. My stoim na pepelishche, I potuhshie solnca smotryat na nas, Stoim, pytayas' vspomnit' Velikolepie nachala mira. O, Atom Edinyj - Tvorenie Gospoda!) {* Idya navstrechu pozhelaniyam melomanov, predpochitayushchih slushat' operu v podlinnike, i cenitelej stilisticheskih krasot anglijskogo teksta, my privodim vse opernye arii na yazyke originala, a dlya teh, kto interesuetsya soderzhaniem, privodim perevod, ne iskazhennyj pogonej za rifmami. (Prim. per.)} Posle togo kak otec Lemetr zakonchil svoyu ariyu, otkuda ni voz'mis' poyavilsya vysokij muzhchina, kotoryj (sudya po libretto) okazalsya russkim fizikom Georgiem Gamovym, vot uzhe tri desyatiletiya provodyashchim svoj otpusk v Soedinennyh SHtatah. Vot chto on zapel: Good Abbe, ourrunderrstandink It is same in many ways. Univerrse has been expandink Frrom the crradle of its days. Univerrse has been expandink Frrom the crradle of its days. You have told it gains in motion, Irregrret to disagrree, And we differr in ourr notion As to how it came to be. And we differr in ourr notion As to how it came to be. It was neutrron fluid-neverr Primal Atom, as you told. It is infinite, as everr It was infinite of old. It is infinite, as everr It was infinite of old. On a limitless pavilion In collapse, gas met its fate, Yearrs ago (some thousand million) Having come to densest state. Yearrs ago {some thousand million) Having come to densest state. All the Space was then rresplendent At that crrucialpoint in time. Light to matterr was trranscendent Much as meterr is, to rrhyme. Light to matterr was trranscendent Much as meterr is, to rrhyme. For each ton ofrradiation Then of matterr was an ounce, Till the impulse t 'warrd inflation In thatgrreatprrimeval bounce. Till the impulse t 'warrd inflation In that grreat prrimeval bounce. Light by then was slowly palink, Hundrred million yearrsgo by... Matterr, over lightprrevailink, Is in plentiful supply. Matterr, overlightpirevailink, Is in plentiful supply. Matterr then began condensink (Such are Jeans 'hypotheses). Giant, gaseous clouds dispensink Known asprrotogalaxies. Giant, gaseous clouds dispensink Known as prrotogalaxies. Prrotogalaxies were shatterred, Flying outward thrrough the night Starrs werreforrmedfrom them, andscattemd And the Space was filled with light. Starrs werreforrmedfrrom them, andscattered And the Space was filled with light Galaxies arre everrspinnink, Starrs will burrn to final sparrk. Till ourr univerrse is thinnink And is lifeless, cold and dank. Till ourr univerrse is thinnink And is lifeless, cold and darrk.
(Slavnyj otche, nashi predstavleniya Vo mnogom sovpadayut. Vselennaya rasshiryaetsya S samogo rozhdeniya. Vselennaya rasshiryaetsya S samogo rozhdeniya. No vy utverzhdaete, chto ona vse pribavlyaet v dvizhenii. K sozhaleniyu, ne mogu s vami soglasit'sya. Rashodimsya my i v nashih predstavleniyah Po povodu togo, kak eto mozhet proizojti. Rashodimsya my i v nashih predstavleniyah Po povodu togo, kak eto mozhet proizojti. Snachala byla nejtronnaya zhidkost', A ne pervichnyj Atom, kak vy utverzhdaete. Ona prostiralas' beskonechno I sushchestvovala beskonechno davno. Ona prostiralas' beskonechno I sushchestvovala beskonechno davno. Pod beskonechnym shatrom V kollapse gaz posledoval svoej sud'be, I davnym-davno (neskol'ko tysyach millionov let nazad) Pereshel v sostoyanie s naibol'shej plotnost'yu. I davnym-davno (neskol'ko tysyach millionov let nazad) Pereshel v sostoyanie s naibol'shej plotnost'yu. Vse kosmicheskoe prostranstvo napolnilos' nesterpimym bleskom V toj kriticheskoj tochke vo vremeni. Svet preobladal nad materiej, Kak metr nad rifmoj. Svet preobladal nad materiej, Kak metr nad rifmoj. Na kazhduyu tonnu izlucheniya Prihodilas' unciya materii, Poka ne posledoval impul's k rasshireniyu - Sil'nejshij pervichnyj tolchok. Poka ne posledoval impul's k rasshireniyu - Sil'nejshij pervichnyj tolchok. Zatem svet stal medlenno merknut', I dlilos' eto sotni millionov let... Materiya stala preobladat' nad svetom I ves'ma osnovatel'no. Materiya stala preobladat' nad svetom I ves'ma osnovatel'no. Zatem materiya nachala kondensirovat'sya (Takovy gipotezy Dzhinsa). Obrazovalis' gigantskie gazovye oblaka, Izvestnye kak protogalaktiki. Obrazovalis' gigantskie gazovye oblaka, Izvestnye kak protogalaktiki. Protogalaktiki razbilis' vdrebezgi I razletelis' v nochi. Iz nih obrazovalis' zvezdy i rasseyalis', I vse kosmicheskoe prostranstvo napolnilos' svetom. Iz nih obrazovalis' zvezdy i rasseyalis', I vse kosmicheskoe prostranstvo napolnilos' svetom. Galaktiki budut bezostanovochno vrashchat'sya, Zvezdy vygoryat do poslednej iskorki, Vselennaya nasha budet stanovit'sya vse razrezhennej, Poka ne prevratitsya v bezzhiznennuyu, holodnuyu i temnuyu pustynyu. Vselennaya nasha budet stanovit'sya vse razrezhennej, Poka ne prevratitsya v bezzhiznennuyu, holodnuyu i temnuyu pustynyu.) Tret'yu ariyu, zapavshuyu v pamyat' misteru Tompkinsu, ispolnil avtor opery, vnezapno materializovavshijsya iz nichego v prostranstve mezhdu yarko siyavshimi galaktikami. On vynul iz karmana edva narodivshuyusya galaktiku i zapel:
The universe, by Heaven's decree, Was never formed in time gone by, But is, has been, shail ever be - For so say Bondi, Gold and I. Stay, O Cosmos, O Cosmos, stay the same! We the Steady State proclaim! The aging galaxies disperse, Burn out, and exit from the scene. But all the while, the universe Is, was, shall ever be, has been. Stay, O Cosmos, O Cosmos, stay the same! We the Steady State proclaim! And still new galaxies condense From nothing, as they did before. (Lemaitre and Gamow, no offence!) All was, will be for evermore. Stay, O Cosmos, O Cosmos, stay the same! We the Steady State proclaim! (Vselennaya ne voznikla vdrug, Po veleniyu nebes, v proshlom. Ona est', byla i budet vsegda, Ibo tak govoryat Bondi, Goldiya. Ostavajsya, o Kosmos, o Kosmos, navsegda odnim i tem zhe! My provozglashaem stacionarnoe sostoyanie! Stareyushchie galaktiki razbegayutsya, Sgorayut i shodyat so sceny. No vse ravno Vselennaya Est', byla i budet vsegda. Ostavajsya, o Kosmos, o Kosmos, navsegda odnim i tem zhe! My provozglashaem stacionarnoe sostoyanie! A mezhdu tem vse novye galaktiki kondensiruyutsya Iz nichego, kak eto proishodilo v proshlom (Lemetr i Gamov - eto ne vypad protiv vas!) Vse bylo i budet navsegda. Nesmotrya na stol' vdohnovlyayushchie slova, vse galaktiki v okruzhayushchem prostranstve stali merknut'. Nakonec, barhatnyj zanaves opustilsya, i v zritel'nom zale opernogo teatra zazhglis' kandelyabry. - O, Siril, - uslyshal mister Tompkins golos Mod, - ya znayu, chto ty sposoben usnut' gde ugodno i kogda ugodno, no zasypat' v Kovent-Garden tebe vse-taki ne sledovalo! Ty prospal ves' spektakl'! Kogda mister Tompkins provodil Mod do doma ee otca, staryj professor, udobno raspolozhivshis' v kresle, prosmatrival tol'ko chto dostavlennyj vypusk "Monthly Notices" (zhurnala "Ezhemesyachnye zametki"). - Nu i kak vam ponravilas' opera? - osvedomilsya professor. - Velikolepno! - otozvalsya mister Tompkins. - Na menya osobenno sil'noe vpechatlenie proizvela ariya o vechno sushchestvuyushchej Vselennoj. Ona zvuchit tak uspokaivayushche! - Poostorozhnej s etoj teoriej, - predostereg professor. - Razve vy ne znaete poslovicu "Ne vse to zoloto, chto blestit"? YA kak raz chital stat'yu kembridzhskogo astronoma Martina Rajla, kotoryj postroil gigantskij radioteleskop, pozvolyayushchij obnaruzhivat' galaktiki na rasstoyaniyah, v neskol'ko raz prevyshayushchih radius dejstviya dvuhsotdyujmovogo opticheskogo teleskopa observatorii Maunt Palomar. Nablyudeniya Rajla pokazyvayut, chto ochen' dalekie galaktiki raspolozheny gorazdo blizhe drug k drugu, chem sosednie galaktiki. - Vy hotite skazat', - poproboval utochnit' mister Tompkins, - chto oblast' Vselennoj, v kotoroj my obitaem, naselena galaktikami ves'ma redko i chto plotnost' naseleniya vozrastaet po mere togo, kak my udalyaemsya ot Zemli? - Nichego podobnogo, - vozrazil professor. - Ne sleduet zabyvat' o tom, chto iz-za konechnosti skorosti sveta, kogda vy smotrite daleko v glub' kosmicheskogo prostranstva, vy kak by zaglyadyvaete daleko nazad vo vremeni. Naprimer, tak kak svetu trebuetsya vosem' minut, chtoby dojti do nas ot Solnca, vspyshku na Solnce zemnye astronomy nablyudayut s zapozdaniem v vosem' minut. Fotografii nashego blizhajshego kosmicheskogo soseda - spiral'noj galaktiki v sozvezdii Andromedy (kotoruyu vy, navernoe, videli v knigah po astronomii; ona raspolozhena ot nas na rasstoyanii primerno v odin million svetovyh let) - v dejstvitel'nosti pokazyvayut, kak eta galaktika vyglyadela million let nazad. To, chto Rajl vidit ili, luchshe skazat', slyshit s pomoshch'yu svoego radioteleskopa, sootvetstvuet situacii, sushchestvovavshej v toj dalekoj chasti Vselennoj mnogie tysyachi millionov let nazad. Esli by nasha Vselennaya nahodilas' v stacionarnom sostoyanii, to kartina ne dolzhna byla by izmenyat'sya vo vremeni i ochen' dalekie galaktiki, nablyudaemye s Zemli, dolzhny byli by byt' raspredeleny v kosmicheskom prostranstve ne plotnee i ne rezhe, chem galaktiki v blizhajshej kosmicheskoj okrestnosti Zemli. Sledovatel'no, esli nablyudeniya Rajla pokazyvayut, chto dalekie galaktiki raspolozheny v kosmicheskom prostranstve plotnee, chem bolee blizkie galaktiki, to eto ekvivalentno utverzhdeniyu o tom, chto v dalekom proshlom, tysyachi millionov let nazad, galaktiki byli raspredeleny v prostranstve plotnee, chem teper'. YAsno, chto takoe utverzhdenie protivorechit teorii stacionarnogo sostoyaniya Vselennoj i podkreplyaet pervonachal'nuyu gipotezu, soglasno kotoroj galaktiki razbegayutsya i plotnost' ih naseleniya ubyvaet. No, razumeetsya, my dolzhny soblyudat' ostorozhnost' i podozhdat', poka rezul'taty Rajla ne budut podtverzhdeny. - Kstati skazat', - prodolzhal professor, dostavaya iz karmana slozhennyj listok bumagi, - odin iz moih uchenyh kolleg, obladayushchij poeticheskimi naklonnostyami, nedavno napisal na etu temu stihotvorenie. Vot poslushajte: "Your years of toil", Said Ryle to Hoyle, "Are wasted years, believe me. The steady state Is out of date. Unless my eyes deceive me, My telescope Has dashed your hope; Your tenets are refuted. Let me be terse: Our universe Grows daily more diluted!" Said Hoyle, "You quote Lemaitre, I note, And Gamow. Well, forget them! That errant gang And their Big Bang - Why aid them and abet them? You see, my friend, It has no end And there was no beginning, As Bondi, Gold, And I will hold Until our hair is thinning." "Not sol "cried Ryle With rising bite And straining at the tether; "Far galaxies Are, as one sees, More tightly packed together!" "You make me boil!" Exploded Hoyle, His statement rearranging; "New matter's born Each night and morn The picture is unchanging!" "Come off it, Hoyle! I aim to foil You yet" (The fun commences) "And in a while", Continued Ryle, "I'll bring you to your sensed" ("Vse gody vashih hlopot, - Skazal Rajl Hojlu, - Naprasnaya trata vremeni, pover'te. Stacionarnoe sostoyanie Nyne ne v mode. I esli moi glaza ne obmanyvayut menya, Moj teleskop Vdrebezgi razbil vashi nadezhdy; Vasha teoriya oprovergnuta. Pozvol'te mne skazat' pryamo: Nasha Vselennaya S kazhdym dnem stanovitsya vse bolee razrezhennoj!" "Vy ssylaetes', - skazal Hojl, - Kak ya poglyazhu, na Lemetra I Gamova. Vybros'te ih iz golovy! Ved' eto zabluzhdayushchayasya banda I ih Bol'shoj Vzryv - K chemu pomogat' im i pooshchryat' ih? Vidite li, drug moj, Vselennaya ne imeet konca I nachala u nee takzhe ne bylo, Na chem Bondi, Gold I ya budem nastaivat', Pokuda ne poredeyut nashi volosy!" "Neverno! - vskrichal Rajl, Razdrazhennyj i vne sebya ot yarosti, - Ibo galaktiki, Kak netrudno ubedit'sya, Upakovany plotnee!" "Vy prosto vyvodite menya iz terpeniya! - Vzorvalsya Hojl, Formuliruya svoe utverzhdenie po-inomu. - Novaya materiya rozhdaetsya Kazhduyu noch' i kazhdoe utro, No kartina ostaetsya neizmennoj!" "Da budet vam, Hojl! Uzh teper' ya vser'ez voznamerilsya Razrushit' vashi illyuzii (vot budet poteha!), A poka, - prodolzhal Rajl, - YA privedu vas v chuvstvo!" {*}) {* Nedeli za dve do vyhoda v svet pervogo izdaniya etoj knigi poyavilas' stat'ya Freda Hojla "Poslednie dostizheniya v kosmologii" (Nature, October 9, 1965, p. Ill), v kotoroj govorilos' sleduyushchee: "Hojl i ego sotrudniki zanimalis' podschetom radioistochnikov... Rezul'taty podscheta radioistochnikov ukazyvayut na to, chto Vselennaya v proshlom imela bol'shuyu plotnost', chem v nastoyashchee vremya". Odnako avtor nastoyashchej knigi, porazmysliv, reshil ne vnosit' kakie-libo izmeneniya v tekst arij "Kosmicheskoj opery", pamyatuya o tom, chto opery, edinozhdy napisannye, stanovyatsya klassicheskimi: naprimer, dazhe segodnya Dezdemona poet prekrasnuyu ariyu pered tem, kak umeret' ot ruk Otello.} - Mne ochen' hotelos' by uznat', - zametil mister Tompkins, - chem zakonchitsya etot ne na shutku razgorevshijsya spor. S etimi slovami on, pocelovav na proshchan'e miss Mod v shcheku, pozhelal ej i staromu professoru spokojnoj nochi i otpravilsya k sebe domoj. Glava 7 Kvantovyj bil'yard Odnazhdy mister Tompkins vozvrashchalsya k sebe domoj strashno ustalyj posle dolgogo rabochego dnya v banke, gde on sluzhil. Prohod mimo paba, mister Tompkins reshil, chto bylo by nedurstvenno propustit' kruzhechku elya. Za pervoj kruzhkoj posledovala drugaya, i vskore mister Tompkins pochuvstvoval, chto golova u nego izryadno kruzhitsya. V zadnej komnate paba byla bil'yardnaya, gde igroki v rubashkah s zasuchennymi rukavami tolpilis' vokrug central'nogo stola. Mister Tompkins stal smutno pripominat', chto emu uzhe sluchalos' byvat' zdes' i prezhde, kak vdrug kto-to iz ego priyatelej-klerkov potashchil mistera Tompkinsa k stolu uchit'sya igrat' v bil'yard. Priblizivshis' k stolu, mister Tompkins prinyalsya nablyudat' za igroj. CHto-to v nej pokazalos' emu ochen' strannym! Igrayushchij stavil shar na stol i udaryal po sharu kiem. Sledya za katyashchimsya sharom, mister Tompkins k svoemu bol'shomu udivleniyu zametil, chto shar nachal "rasplyvat'sya". |to byla edinstvennoe vyrazhenie, kotoroe prishlo emu na um pri vide strannogo povedeniya bil'yardnogo shara; kotoryj, katyas' po zelenomu polyu, kazalsya vse bolee i bolee razmytym, na glazah utrachivaya chetkost' svoih konturov. Kazalos', chto po zelenomu suknu katitsya ne odin shar, a mnozhestvo sharov, k tomu zhe chastichno pronikayushchih drug v druga. Misteru Tompkinsu chasto sluchalos' nablyudat' podobnye yavleniya i prezhde, no segodnya on ne prinyal ni kapli viski i ne mog ponyat', pochemu tak proishodit. - Posmotrim, - podumal mister Tompkins, - kak eta razmaznya iz shara stolknetsya s drugoj takoj zhe razmaznej.
Dolzhno byt', igrok, nanesshij udar po sharu, byl znatokom svoego dela: katyashchijsya shar stolknulsya s drugim sharom v lobovom udare, kak eto i trebovalos'. Poslyshalsya gromkij stuk, i oba shara - pokoivshijsya i naletevshij (mister Tompkins ne mog by s uverennost'yu skazat', gde kakoj shar) - razletelis' "v raznye storony". Vyglyadelo eto, chto i govorit', ves'ma stranno: na stole ne bylo bolee dvuh sharov, vyglyadevshih neskol'ko razmazanno, a vmesto nih beschislennoe mnozhestvo sharov (vse - s _ves'ma_ smutnymi ochertaniyami i sil'no razmazannye) porazletalos' po napravleniyam, sostavlyavshim ot 0o do 180o s napravleniem pervonachal'nogo soudareniya. Bil'yardnyj shar skoree napominal prichudlivuyu volnu, rasprostranyayushchuyusya iz tochki soudareniya sharov. Prismotrevshis' povnimatel'nee, mister Tompkins zametil, chto maksimal'nyj potok sharov napravlen v storonu pervonachal'nogo udara. - Rasseyanie S-volny, - proiznes u nego za spinoj znakomyj golos, i mister Tompkins, ne oborachivayas', uznal professora. - Neuzheli i na etot raz chto-nibud' zdes' iskrivilos', - sprosil mister Tompkins, - hotya poverhnost' bil'yardnogo stola mne kazhetsya gladkoj i rovnoj? - Vy sovershenno pravy, - podtverdil professor, - prostranstvo v dannom sluchae sovershenno ploskoe, a to, chto vy nablyudaete, v dejstvitel'nosti predstavlyaet soboj kvantovoe yavlenie. - Ah, eti matricy! - risknul sarkasticheski zametit' mister Tompkins. - Tochnee, neopredelennost' dvizheniya, - zametil professor. - Vladelec etoj bil'yardnoj sobral zdes' kollekciyu iz neskol'kih predmetov, stradayushchih, esli mozhno tak vyrazit'sya, "kvantovym elefantizmom". V dejstvitel'nosti kvantovym zakonam podchinyayutsya vse tela v prirode, no tak nazyvaemaya kvantovaya postoyannaya, upravlyayushchaya vsemi etimi yavleniyami, chrezvychajno mala: ee chislovoe znachenie imeet dvadcat' sem' nulej posle zapyatoj. CHto zhe kasaetsya bil'yardnyh sharov, kotorye vy zdes' vidite, to ih kvantovaya postoyannaya gorazdo bol'she (okolo edinicy), i poetomu vy mozhete nevooruzhennym glazom videt' yavleniya, kotorye nauke udalos' otkryt' tol'ko s pomoshch'yu ves'ma chuvstvitel'nyh i izoshchrennyh metodov nablyudeniya. Tut professor umolk i nenadolgo zadumalsya. - Ne hochu nichego kritikovat', - prodolzhal on, - no mne ochen' hotelos' by znat', otkuda u vladel'ca bil'yardnoj eti shary. Strogo govorya, oni voobshche ne mogut sushchestvovat', poskol'ku dlya vseh tel v mire kvantovaya postoyannaya imeet odno i to zhe znachenie. - Mozhet byt', ih importirovali iz kakogo-nibud' drugogo mira, - vyskazal predpolozhenie mister Tompkins, no professor ne udovletvorilsya takoj gipotezoj i ne izbavilsya ot ohvativshih ego podozrenij. - Vy zametili, chto shary "rasplyvayutsya", - nachal on. - |to oznachaet, chto ih polozhenie na bil'yardnom stole ne vpolne opredelenno. Vy ne mozhete tochno ukazat', gde imenno nahoditsya shar. V luchshem sluchae vy mozhete utverzhdat' lish', chto shar nahoditsya "v osnovnom zdes'" i "chastichno gde-to tam". - Vse eto v vysshej stepeni neobychno, - probormotal mister Tompkins. - Naoborot, - vozrazil professor, - eto absolyutno obychno v tom smysle, chto vsegda proishodit s lyubym material'nym telom. Lish' iz-za chrezvychajno malogo znacheniya kvantovoj postoyannoj i netochnosti obychnyh metodov nablyudeniya lyudi ne zamechayut etoj neopredelennosti i delayut oshibochnyj vyvod o tom, chto polozhenie i skorost' tela vsegda predstavlyayut soboj vpolne opredelennye velichiny. V dejstvitel'nosti zhe i polozhenie, i skorost' vsegda v kakoj-to stepeni neopredelenny, i chem tochnee izvestna odna iz velichin, tem bolee razmazana drugaya. Kvantovaya postoyannaya kak raz i upravlyaet sootnosheniem mezhdu etimi dvumya neopredelennostyami. Vot vzglyanite, ya nakladyvayu opredelennye ogranicheniya na polozhenie etogo bil'yardnogo shara, zaklyuchaya ego vnutr' derevyannogo treugol'nika. Kak tol'ko shar okazalsya za derevyannym zaborchikom, vsya vnutrennost' treugol'nika zapolnilas' bleskom slonovoj kosti. - Vidite! - obradovalsya professor. - YA ogranichil polozhenie shara razmerami prostranstva, zaklyuchennogo vnutri treugol'nika, t. e. kakimi-to neskol'kimi dyujmami. I v rezul'tate - znachitel'naya neopredelennost' v skorosti, shar tak begaet vnutri perimetra treugol'nika! - A razve vy ne mogli by ostanovit' shar? - udivlenno sprosil mister Tompkins. - Ni v koem sluchae! |to fizicheski nevozmozhno, - posledoval otvet. - Lyuboe telo, pomeshchennoe v zamknutoe prostranstvo, obladaet nekotorym dvizheniem. My, fiziki, nazyvaem takoe dvizhenie nulevym. Takovo, naprimer, dvizhenie elektronov v lyubom atome. Poka mister Tompkins nablyudal za bil'yardnym sharom, mechushchimsya v treugol'noj zagorodke, kak tigr v kletke, proizoshlo nechto ves'ma neobychnoe: shar "prosochilsya" skvoz' stenku derevyannogo treugol'nika i v sleduyushchij moment pokatilsya v dal'nij ugol bil'yardnogo stola. Samoe strannoe bylo v tom, chto shar ne pereprygnul skvoz' derevyannuyu stenku, a proshel skvoz' nee, ne podnimayas' nad urovnem bil'yardnogo stola.
- Vot vam vashe "nulevoe dvizhenie", - s uprekom skazal mister Tompkins. - Ne uspeli oglyanut'sya, a shar "sbezhal". |to kak, po pravilam? - Razumeetsya, v polnom sootvetstvii s pravilami, - soglasilsya professor. - V dejstvitel'nosti vy vidite pered soboj odno iz naibolee interesnyh sledstvij kvantovoj teorii. Esli energii dostatochno dlya togo, chtoby telo moglo projti skvoz' stenku, to uderzhat' ego za stenkoj nevozmozhno: rano ili pozdno ob容kt "prosochitsya" skvoz' stenku i budet takov. - V takom sluchae ya ni za chto na svete ne pojdu v zoopark, - reshil pro sebya mister Tompkins, i ego zhivoe voobrazhenie totchas zhe narisovalo uzhasayushchuyu kartinu l'vov i tigrov, "prosachivayushchihsya" skvoz' stenki svoih kletok. Zatem mysli mistera Tompkinsa prinyali neskol'ko inoe napravlenie: emu prividelsya avtomobil', "prosochivshijsya" iz garazha skvoz' steny, kak dobroe staroe prividenie vo vremena Srednevekov'ya. - A skol'ko mne ponadobitsya zhdat', - pointeresovalsya mister Tompkins u professora, - poka avtomashina, sdelannaya ne iz togo, iz chego delayut avtomashiny zdes', a iz obychnoj stali, "prosochitsya" skvoz' stenu garazha, postroennogo, skazhem, iz kirpichej? Hotel by ya svoimi glazami uvidet' takoe "prosachivanie"! Naskoro proizvedya v ume neobhodimye vychisleniya, professor privel otvet: - ZHdat' vam pridetsya kakih-nibud' 1 000 000 000...000 000 let. Dazhe privykshij k vnushitel'nym chislam v bankovskih schetah mister Tompkins poteryal schet nulyam v chisle, privedennom professorom. Vprochem, on neskol'ko uspokoilsya: chislo bylo dostatochno dlinnym dlya togo, chtoby mozhno bylo ne bespokoit'sya o tom, kak by avtomashina ne sbezhala, "prosochivshis'" skvoz' stenku v garazhe. - Predpolozhim, chto vse, o chem vy mne rasskazali, ne vyzyvaet u menya ni malejshih somnenij. Odnako mne vse zhe ostaetsya neponyatno, kak mozhno bylo by nablyudat' takie veshchi (razumeetsya, ya ne govoryu ob etih bil'yardnyh sharah). - Razumnoe vyrazhenie, - zametil professor. - Konechno, ya ne utverzhdayu, budto kvantovye yavleniya mozhno bylo by nablyudat' na takih bol'shih telah, s kakimi vam obychno prihoditsya imet' delo. Dejstvie kvantovyh zakonov stanovitsya gorazdo bolee zametnym primenitel'no k ochen' malym massam - takim, kak atomy ili elektrony. Dlya takih chastic kvantovye effekty nastol'ko sil'ny, chto obychnaya mehanika stanovitsya sovershenno neprimenimoj. Stolknovenie dvuh atomov vyglyadit tochno tak zhe, kak stolknovenie dvuh bil'yardnyh sharov, kotoroe vy zdes' nablyudali, a dvizhenie elektronov v atome ochen' napominaet "nulevoe dvizhenie" bil'yardnogo shara, kotoryj ya pomestil vnutr' derevyannogo treugol'nika. - A chasto li atomy vybegayut iz svoego garazha? - sprosil mister Tompkins. - O da, ves'ma chasto. Vam, konechno, prihodilos' slyshat' o radioaktivnyh veshchestvah, atomy kotoryh preterpevayut spontannyj raspad, ispuskaya pri etom ochen' bystrye chasticy. Takoj atom ili, tochnee, ego central'naya chast', nazyvaemaya atomnym yadrom, ochen' napominaet garazh, v kotorom stoyat avtomashiny, t. e. drugie chasticy. I chasticy ubegayut iz yadra, prosachivayas' cherez stenki, - poroj vnutri yadra oni ne ostayutsya ni sekundy! V atomnyh yadrah kvantovye yavleniya - delo sovershenno obychnoe! Mister Tompkins poryadkom ustal ot stol' dlinnoj besedy i rasseyanno oglyanulsya po storonam. Ego vnimanie privlekli bol'shie dedovskie chasy, stoyavshie v uglu komnaty. Ih dlinnyj staromodnyj mayatnik sovershal medlennye kolebaniya to v odnu, to v druguyu storonu. - YA vizhu, vy zainteresovalis' chasami, - skazal professor. - Pered vami ne sovsem obychnyj mehanizm, hotya nyne on neskol'ko ustarel. |ti chasy mogut sluzhit' prekrasnoj illyustraciej togo, kak lyudi snachala myslili sebe kvantovye yavleniya. Mayatnik chasov ustroen tak, chto amplituda ego kolebanij mozhet vozrastat' tol'ko konechnymi shagami. Teper' vse chasovshchiki predpochitayut pol'zovat'sya patentovannymi rasplyvayushchimisya mayatnikami. - O, kak by ya hotel razobrat'sya v stol' slozhnyh voprosah! - voskliknul mister Tompkins. - Net nichego proshche, - otvetstvoval professor. - YA zashel v pab po puti na svoyu lekciyu o kvantovoj teorii, potomu chto uvidel v okno vas. A teper' mne pora otpravlyat'sya dal'she, chtoby ne opozdat' na lekciyu. Ne hotite li pojti so mnoj? - S prevelikim udovol'stviem! - soglasilsya mister Tompkins. Bol'shaya auditoriya kak obychno byla do otkaza zapolnena studentami, i mister Tompkins schital, chto emu ochen' povezlo, kogda on koe-kak primostilsya na stupenyah prohoda. - Ledi i dzhentl'meny, - nachal professor. - V dvuh moih predydushchih lekciyah ya popytalsya pokazat' vam, kakim obrazom otkrytie sushchestvovaniya verhnego predela vseh fizicheskih skorostej i analiz ponyatiya pryamoj privel nas k polnomu peresmotru klassicheskih predstavlenij o prostranstve i vremeni. Odnako kriticheskij analiz osnov fiziki ne ostanovilsya na etoj stadii i privel k eshche bolee porazitel'nym otkrytiyam i vyvodam. YA imeyu v vidu razdel fiziki, poluchivshij nazvanie kvantovoj teorii. |tot razdel zanimaetsya izucheniem ne stol'ko samih prostranstva i vremeni, skol'ko vzaimodejstviya i dvizheniya material'nyh ob容ktov v prostranstve i vremeni. V klassicheskoj fizike vsegda schitalos' samoochevidnym, chto vzaimodejstvie mezhdu lyubymi dvumya material'nymi telami mozhet byt' sdelano nastol'ko malym, naskol'ko eto trebuetsya po usloviyam eksperimenta, i dazhe, esli eto neobhodimo, prakticheski svedeno k nulyu. Naprimer, esli pri issledovanii tepla, vydelyayushchegosya v nekotoryh processah, voznikaet opasenie, chto vvodimyj termometr mozhet zabrat' na sebya nekotoroe kolichestvo teploty i tem samym vnesti vozmushchenie v normal'noe techenie processa, to eksperimentator prebyvaet v uverennosti, chto, ispol'zuya termometr men'shih razmerov ili miniatyurnuyu termoparu, on vsegda smozhet ponizit' vnosimoe vozmushchenie do urovnya, kotoryj ukladyvaetsya v predely dopustimoj tochnosti izmerenij. Ubezhdenie v tom, chto lyuboj fizicheskij process mozhet byt' v principe nablyudaem s lyuboj trebuemoj tochnost'yu bez kakih-libo vozmushchenij, vnosimyh nablyudeniem, bylo ves'ma sil'nym, i nikomu dazhe v golovu ne prihodilo sformulirovat' stol' ochevidnoe dopushchenie v yavnom vide. Vse problemy, svyazannye s vnosimymi pri nablyudenii vozmushcheniyami, schitalis' chisto tehnicheskimi trudnostyami. Odnako novye eksperimental'nye fakty, nakoplennye s nachala XX stoletiya, postoyanno vynuzhdali fizikov prihodit' k vyvodu, chto v dejstvitel'nosti vse obstoit gorazdo slozhnee i _v prirode sushchestvuet opredelennyj nizhnij predel vzaimodejstviya, kotoryj nikogda ne mozhet byt' prevzojden_. |tot estestvennyj predel tochnosti prenebrezhimo mal dlya vsevozmozhnyh processov, s kotorymi my stalkivaemsya v povsednevnoj zhizni, no stanovitsya sushchestvennym pri rassmotrenii vzaimodejstvij, proishodyashchih v takih mikroskopicheski-mehanicheskih sistemah, kak atomy i molekuly. V 1900 g. nemeckij fizik Maks Plank, zanimayas' teoreticheskimi issledovaniyami uslovij ravnovesiya mezhdu izlucheniem i veshchestvom, prishel k udivitel'nomu vyvodu: _takoe ravnovesie nevozmozhno, esli vzaimodejstvie mezhdu izlucheniem i veshchestvom proishodit ne nepreryvno, kak vsegda predpolagalos', a v vide posledovatel'nosti otdel'nyh "soudarenij"_. Pri kazhdom takom elementarnom akte vzaimodejstviya ot veshchestva izlucheniyu i ot izlucheniya veshchestvu peredaetsya opredelennoe kolichestvo - "porciya" - energii. Dlya dostizheniya trebuemogo ravnovesiya i soglasiya s eksperimental'nymi faktami Planku ponadobilos' vvesti prostoe matematicheskoe sootnoshenie - predpolozhit', chto mezhdu kolichestvom energii, peredavaemom pri kazhdom elementarnom akte vzaimodejstviya, i chastotoj (velichinoj, obratnoj periodu) processa, privodyashchego k peredache energii, sushchestvuet pryamaya proporcional'nost'. Inache govorya, esli koefficient proporcional'nosti oboznachit' cherez h, to, soglasno prinyatoj Plankom gipoteze, minimal'naya porciya, ili kvant, peredavaemoj energii opredelyaetsya vyrazheniem E = hv, (1) gde v - chastota. Postoyannaya L imeet chislovoe znachenie 6,547 h 10^27 erg.s i obychno nazyvaetsya postoyannoj Planka, ili kvantovoj postoyannoj. Maloe chislovoe znachenie postoyannoj Planka ob座asnyaet, pochemu kvantovye yavleniya obychno ne nablyudayutsya v povsednevnoj zhizni. Dal'nejshee razvitie idej Planka svyazano s imenem |jnshtejna, kotoryj cherez neskol'ko let prishel k vyvodu, chto _izluchenie ne tol'ko ispuskaetsya opredelennymi diskretnymi porciyami, no i vsegda sushchestvuet v vide takih diskretnyh "porcij energii", kotoruyu |jnshtejn nazval kvantami sveta_. Poskol'ku kvanty sveta dvizhutsya, oni pomimo energii hv dolzhny obladat' i opredelennym mehanicheskim impul'som, kotoryj, soglasno relyativistskoj mehanike, dolzhen byt' raven ih energii, delennoj na skorost' sveta s. Vspominaya, chto chastota sveta svyazana s ego dlinoj volny lyambda sootnosheniem v = s/(lyambda), mehanicheskij impul's kvanta sveta mozhno zapisat' v vide
(2) Poskol'ku mehanicheskoe dejstvie, proizvodimoe soudareniem dvizhushchegosya ob容kta, opredelyaetsya ego impul'som, my zaklyuchaem, chto dejstvie kvantov sveta vozrastaet pri ubyvanii dliny volny. Odno iz luchshih eksperimental'nyh podtverzhdenij pravil'nosti predstavleniya o kvantah sveta, a takzhe o pripisyvaemyh im energii i impul'se bylo polucheno v rabote amerikanskogo fizika Artura Komptona. Issleduya stolknovenie kvantov sveta i elektronov, Kompton pokazal, chto elektrony, privedennye v dvizhenie pod dejstviem lucha sveta, vedut sebya tochno tak zhe, kak esli by stolknulis' s chasticej, obladayushchej energiej i impul'som, zadavaemymi formulami (1) i (2). Kak pokazali eksperimenty Komptona, sami kvanty preterpevayut posle stolknoveniya s elektronami nekotorye izmeneniya (izmenyaetsya ih chastota) v polnom soglasii s predskazaniem teorii. V nastoyashchee vremya my vprave utverzhdat', chto v chasti, kasayushchejsya vzaimodejstviya s veshchestvom, kvantovye svojstva izlucheniya nadlezhit schitat' tverdo ustanovlennym eksperimental'nym faktom. Dal'nejshee razvitie kvantovyh idej svyazano s imenem znamenitogo datskogo fizika Nil'sa Bora, kotoryj v 1913 g. vpervye vyskazal ideyu o tom, chto _vnutrennee dvizhenie lyuboj mehanicheskoj sistemy mozhet obladat' tol'ko diskretnym naborom dopustimyh znachenij energii i dvizhenie mozhet izmenyat' svoe sostoyanie tol'ko konechnymi shagami_, prichem pri kazhdom iz takih perehodov izluchaetsya lish' opredelennoe kolichestvo energii. Matematicheskie pravila, opredelyayushchie vozmozhnye sostoyaniya mehanicheskih sistem, bolee slozhnye, chem v sluchae izlucheniya, i my ne budem privodit' ih zdes'. Upomyanem lish' o tom, chto, kak i v sluchae kvantov sveta, impul's opredelyaetsya dlinoj volny sveta, poetomu v mehanicheskoj sisteme impul's lyuboj dvizhushchejsya chasticy svyazan s geometricheskimi razmerami toj oblasti prostranstva, v kotoroj ona zaklyuchena, i sostavlyaet velichinu poryadka
, (3) gde l - linejnye razmery oblasti, v kotoroj proishodit dvizhenie. Iz-za chrezvychajno malogo znacheniya kvantovoj postoyannoj kvantovye yavleniya stanovyatsya sushchestvennymi tol'ko dlya dvizhenij, proishodyashchih v ochen' malyh oblastyah prostranstva, naprimer vnutri atomov i molekul, i igrayut vazhnuyu rol' v nashih znaniyah o vnutrennem stroenii veshchestva. Odno iz naibolee pryamyh dokazatel'stv sushchestvovaniya posledovatel'nosti diskretnyh sostoyanij etih krohotnyh mehanicheskih sistem bylo polucheno v eksperimentah Dzhejmsa Franka i Gustava Gerca. Bombardiruya atomy elektronami razlichnoj energii, eti fiziki zametili, chto opredelennye izmeneniya v sostoyanii atoma proishodyat, tol'ko kogda energiya naletayushchih elektronov dostigala opredelennyh diskretnyh znachenij. Esli energiya elektronov byla nizhe opredelennogo predela, to soudareniya voobshche nikak ne skazyvalis' na sostoyanii atoma, tak kak energiya, perenosimaya kazhdym elektronom, byla nedostatochna dlya togo, chtoby podnyat' atom s pervogo kvantovogo sostoyaniya vo vtoroe. Rezyumiruya, mozhno skazat', chto k koncu opisannoj mnoj pervoj, predvaritel'noj stadii razvitiya kvantovoj teorii byla dostignuta ne modifikaciya fundamental'nyh ponyatij i principov klassicheskoj fiziki, a bolee ili menee iskusstvennoe ogranichenie ves'ma zagadochnymi kvantovymi usloviyami, vybirayushchimi iz nepreryvnogo mnozhestva klassicheski vozmozhnyh dvizhenij diskretnoe podmnozhestvo "razreshennyh", ili "dopustimyh", dvizhenij. Odnako esli my glubzhe vniknem v svyaz' mezhdu zakonami klassicheskoj mehaniki i kvantovymi usloviyami, nalagaemymi nashim obobshchennym opytom, to obnaruzhim, chto teoriya, poluchaemaya pri ob容dinenii klassicheskoj mehaniki s kvantovymi usloviyami, stradaet logicheskoj neposledovatel'nost'yu i chto empiricheskie kvantovye ogranicheniya delayut bessmyslennymi te fundamental'nye ponyatiya, na kotoryh osnovana klassicheskaya mehanika. Dejstvitel'no, osnovnoe predstavlenie klassicheskoj mehaniki otnositel'no dvizheniya zaklyuchaetsya v tom, chto lyubaya dvizhushchayasya chastica zanimaet v lyuboj dannyj moment vremeni opredelennoe polozhenie v prostranstve i obladaet opredelennoj skorost'yu, harakterizuyushchej vremennye izmeneniya v polozhenii chasticy na traektorii. Takie fundamental'nye ponyatiya, kak polozhenie, skorost' i traektoriya, na kotorye opiraetsya vse velichestvennoe zdanie klassicheskoj mehaniki, postroeny (kak i vse drugie nashi ponyatiya) na nablyudenii yavlenij v okruzhayushchem mire i, podobno klassicheskim ponyatiyam prostranstva i vremeni, dolzhny byt' sushchestvenno modificirovany, kogda nash opyt vtorgaetsya v novye, ne issledovannye ranee, oblasti. Esli ya sproshu kogo-nibud', pochemu on (ili ona) verit, chto lyubaya dvizhushchayasya chastica zanimaet v lyuboj dannyj moment opredelennoe polozhenie, opisyvaet vo vremya dvizheniya opredelennuyu liniyu, to v otvet moj sobesednik skoree vsego skazhet: "Potomu, chto ya vizhu vse eto imenno tak, kogda nablyudayu za dvizheniem". Proanaliziruem takoj metod obrazovaniya klassicheskogo ponyatiya traektorii i popytaemsya vyyasnit', dejstvitel'no li on privodit k opredelennomu rezul'tatu. Dlya etogo predstavim sebe myslenno fizika, osnashchennogo vsevozmozhnoj chuvstvitel'nejshej apparaturoj i pytayushchegosya prosledit' dvizhenie malen'kogo material'nogo tela, broshennogo so steny laboratorii. Nash fizik reshaet proizvodit' nablyudeniya, glyadya, kak dvizhetsya telo, i ispol'zuet dlya etogo nebol'shoj, no ochen' tochnyj teodolit. Razumeetsya, chtoby uvidet' dvizhushcheesya telo, fiziku neobhodimo osveshchat' ego. Znaya, chto svet okazyvaet davlenie na osveshchaemoe telo i poetomu vozmushchaet dvizhenie tela, fizik reshaet osveshchat' telo korotkimi vspyshkami tol'ko v te momenty, kogda on proizvodit nablyudeniya. V pervom eksperimente fizik namerevaetsya nablyudat' tol'ko desyat' polozhenij tela na traektorii i vybiraet istochnik, dayushchij vspyshki sveta, nastol'ko slabyj, chto integral'nyj effekt svetovogo davleniya v techenie desyati posledovatel'nyh seansov nablyudeniya lezhit v predelah trebuemoj tochnosti eksperimenta. Takim obrazom, osveshchaya padayushchee telo desyat'yu vspyshkami, nash fizik poluchaet v predelah trebuemoj tochnosti desyat' tochek na traektorii.
Zatem on hochet povtorit' eksperiment i poluchit' sto tochek. Fizik znaet, chto sto posledovatel'nyh vspyshek slishkom sil'no vozmutyat dvizhenie i, gotovyas' ko vtoroj serii nablyudenij, vybiraet fonar', dayushchij v desyat' raz menee intensivnoe osveshchenie. Dlya tret'ej serii nablyudenij, gotovyas' poluchit' tysyachu tochek na traektorii, fizik vybiraet fonar', dayushchij v sto raz menee intensivnoe osveshchenie, chem istochnik sveta, kotoryj byl ispol'zovan v pervoj serii nablyudenij. Prodolzhaya v tom zhe duhe i postoyanno umen'shaya intensivnost' osveshcheniya, davaemogo istochnikom, fizik mozhet poluchit' na traektorii stol'ko tochek, skol'ko sochtet nuzhnym, ne uvelichivaya eksperimental'nuyu oshibku vyshe ustanovlennogo s samogo nachala predela. Opisannaya mnoj sil'no idealizirovannaya, no principial'no vpolne osushchestvimaya procedura predstavlyaet soboj strogo logicheskij sposob, pozvolyayushchij postroit' dvizhenie po traektorii, "glyadya na dvizhushcheesya telo", i, kak vy vidite, v ramkah klassicheskoj fiziki takoe postroenie vpolne vozmozhno. Popytaemsya teper' vyyasnit', chto proizojdet, esli my vvedem kvantovye ogranicheniya i uchtem, chto dejstvie lyubogo izlucheniya mozhet peredavat'sya tol'ko v forme kvantov sveta. My videli, chto nablyudatel' postoyanno umen'shal kolichestvo sveta, padayushchego na dvizhushcheesya telo, i teper' nam sleduet ozhidat', chto, dojdya do odnogo kvanta, nash fizik ne smozhet prodolzhat' v tom zhe duhe i dal'she. Ot dvizhushchegosya tela budet otrazhat'sya libo ves' kvant sveta celikom, libo nichego, i v poslednem sluchae nablyudenie stanovitsya nevozmozhnym. My znaem, chto v rezul'tate stolknoveniya s kvantom sveta dlina volny sveta umen'shaetsya i nash nablyudatel', takzhe znaya ob etom, zavedomo popytaetsya ispol'zovat' dlya svoih nablyudenij svet so vse uvelichivayushchejsya dlinoj volny, chtoby kompensirovat' chislo nablyudenij. No tut ego podsteregaet drugaya trudnost'. Horosho izvestno, chto pri ispol'zovanii sveta opredelennoj dliny volny nevozmozhno razlichit' detali, razmery kotoryh men'she dliny volny: nel'zya narisovat' persidskuyu miniatyuru malyarnoj kist'yu! No ispol'zuya vse bolee dlinnye volny, nash fizik isportit ocenku polozheniya kazhdoj tochki i vskore dostignet toj stadii, kogda kazhdaya ocenka budet soderzhat' pogreshnost', ili neopredelennost', velichina kotoroj sravnima s razmerami vsej ego laboratorii i prevyshaet ih. Tem samym nash nablyudatel' budet vynuzhden v konce koncov pojti na kompromiss mezhdu bol'shim chislom nablyudaemyh tochek i neopredelennost'yu v ocenke polozheniya kazhdoj tochki i ne smozhet poluchit' tochnuyu traektoriyu - v vide linii v matematicheskom smysle v otlichie ot svoih klassicheskih kolleg. V luchshem sluchae kvantovyj nablyudatel' poluchit ves'ma shirokuyu razmazannuyu polosu, i esli on popytaetsya postroit' ponyatie traektorii, opirayas' na svoj opyt, to ono budet sil'no otlichat'sya ot klassicheskogo ponyatiya traektorii.
Predlozhennyj vyshe metod postroeniya traektorii byl opticheskim, a teper' my mozhem isprobovat' druguyu vozmozhnost' i vospol'zovat'sya mehanicheskim metodom. Dlya etogo nash eksperimentator mozhet postroit' kakoj-nibud' miniatyurnyj mehanicheskij pribor, naprimer, kolokol'chiki na pruzhinah, kotoryj budet registrirovat' prohozhdenie material'nyh tel, esli telo prohodit dostatochno blizko. Bol'shoe chislo takih "kolokol'chikov" on razveshivaet v toj oblasti prostranstva, gde ozhidaetsya prohozhdenie dvizhushchegosya tela, i "zvon kolokol'chikov" budet ukazyvat' traektoriyu, opisyvaemuyu telom. V klassicheskoj fizike "kolokol'chiki" mozhno sdelat' skol' ugodno malymi i chuvstvitel'nymi. V predel'nom sluchae beskonechno bol'shogo chisla beskonechno malen'kih kolokol'chikov ponyatie traektorii i v etom sluchae mozhet byt' postroeno s lyuboj trebuemoj tochnost'yu. Odnako, kak i v predydushchem sluchae, kvantovye ogranicheniya na mehanicheskie sistemy portyat vse delo. Esli "kolokol'chiki" slishkom maly, to velichina impul'sa, kotoruyu oni smogut zabrat' u dvizhushchegosya tela, soglasno formule (3), budet slishkom bol'shoj i dvizhenie okazhetsya sil'no vozmushchennym dazhe posle togo, kak telo zadenet odin-edinstvennyj kolokol'chik. Esli zhe kolokol'chiki veliki, to neopredelennost' v polozhenii kazhdogo budet ochen' bol'shoj. V etom sluchae postroennaya v rezul'tate nablyudeniya okonchatel'naya traektoriya, kak i v predydushchem sluchae, okazhetsya shirokoj polosoj! Boyus', chto vse eti rassuzhdeniya ob eksperimentatore, zhelayushchem nablyudat' traektoriyu, pokazhutsya vam slishkom special'nymi i vy budete sklonny dumat', chto esli ispol'zuemye sredstva ne pozvolyayut nashemu nablyudatelyu ocenit' traektoriyu, to zhelaemyj rezul'tat udastsya poluchit' s pomoshch'yu kakogo-nibud' drugogo bolee slozhnogo ustrojstva. Odnako ya dolzhen vam napomnit', chto my rassmatrivali ne konkretnyj eksperiment, vypolnennyj v kakoj-to fizicheskoj laboratorii, a nekuyu idealizaciyu samogo glavnogo voprosa fizicheskogo izmereniya. Poskol'ku lyuboe sushchestvuyushchee v nashem mire dejstvie mozhno otnesti libo k chislu dejstvij polya izlucheniya, libo k chisto mehanicheskim, lyubaya skol' ugodno slozhnaya shema izmereniya nepremenno svoditsya k elementam, opisyvaemyh temi dvumya metodami, o kotoryh ya uzhe upominal ran'she - opticheskom i mehanicheskom, i v konechnom itoge privodit k tomu zhe rezul'tatu. A poskol'ku ideal'nyj "izmeritel'nyj pribor" mozhet vmestit' ves' fizicheskij mir, my v konce koncov prihodim k vyvodu, chto v mire, gde dejstvuyut kvantovye zakony, net ni tochnogo polozheniya, ni traektorii, imeyushchej strogo opredelennuyu formu linii. No vernemsya teper' snova k nashemu eksperimentatoru i popytaemsya oblech' v matematicheskuyu formu ogranicheniya, vytekayushchie iz kvantovyh uslovij. My uzhe videli, chto v oboih metodah - opticheskom i mehanicheskom - vsegda sushchestvuet konflikt mezhdu ocenkoj polozheniya i vozmushcheniem skorosti dvizhushchegosya ob容kta. V opticheskom metode stolknovenie s kvantom sveta (v silu zakona sohraneniya impul'sa, dejstvuyushchego v klassicheskoj mehanike) porozhdaet neopredelennost' v impul'se chasticy, sravnimuyu s impul'som samogo kvanta sveta. Takim obrazom, ispol'zuya formulu (2), zapishem dlya neopredelennosti impul'sa chasticy
(4) Pamyatuya o tom, chto neopredelennost' polozheniya chasticy opredelyaetsya dlinoj volny ((del'ta)q = lyambda), poluchaem
(5) V mehanicheskom metode impul's stanovitsya neopredelennym na velichinu, peredavaemuyu "kolokol'chikom". Ispol'zuya nashu formulu (3) i pomnya o tom, chto v etom sluchae neopredelennost' polozheniya opredelyaetsya razmerami kolokol'chika ((del'ta)q = l), my prihodim k toj zhe okonchatel'noj formule, chto i v predydushchem sluchae. Sootnoshenie (5), vpervye vyvedennoe nemeckim fizikom Vernerom Gejzenbergom, opisyvaet fundamental'nuyu neopredelennost', sleduyushchuyu iz kvantovoj teorii: _chem tochnee opredeleno polozhenie, tem neopredelennee skorost', i naoborot_. Tak kak impul's est' proizvedenie massy dvizhushchejsya chasticy i ee skorosti, my mozhem zapisat', chto
(6) Dlya tel, s kotorymi nam obychno prihoditsya imet' delo, neopredelennost' (6) do smeshnogo mala. Tak, v sluchae legkoj pylinki s massoj 0,0000001 g i polozhenie, i skorost' mogut byt' izmereny s tochnost'yu 0,00000001 %! Odnako v sluchae elektrona (s massoj 10^-27 g) proizvedenie (del'ta)u * (del'ta)q dostigaet velichiny poryadka 100. Vnutri atoma skorost' elektrona neobhodimo opredelyat' po krajnej mere v predelah +-10^8 sm/s, v protivnom sluchae elektron okazhetsya vne atoma. |to daet dlya polozheniya elektrona neopredelennost' 10^8 sm, t. e. neopredelennost', sovpadayushchuyu s polnymi razmerami atoma. Takim obrazom, "orbita" elektrona v atome rasplyvaetsya do takoj stepeni, chto "tolshchina" traektorii stanovitsya ravnoj ee "radiusu" - _elektron okazyvaetsya odnovremenno vsyudu vokrug yadra_. Na protyazhenii poslednih dvadcati minut ya pytalsya narisovat' vam kartinu razrushitel'nyh posledstvij nashej kritiki klassicheskih predstavlenij o dvizhenii. Izyashchnye i chetko opredelennye klassicheskie ponyatiya okazyvayutsya vdrebezgi razbitymi i ustupayut mesto tomu, chto ya nazval by besformennoj razmaznej. Estestvenno, vy mozhete sprosit' menya, kak fiziki sobirayutsya opisyvat' kakie-nibud' yavleniya, esli kvantovyj mir bukval'no zahlestyvayut volny okeana neopredelennosti. Otvet sostoit v tom, chto do sih por nam udalos' lish' razrushit' klassicheskie ponyatiya, no my eshche ne prishli k tochnoj formulirovke novyh ponyatij. Zajmemsya etim teper'. YAsno, chto my ne mozhem, voobshche govorya, opredelit' polozhenie material'noj chasticy s pomoshch'yu material'noj tochki, a traektoriyu ee dvizheniya - s pomoshch'yu matematicheskoj linii, poskol'ku v kvantovom mire vse ob容kty rasplyvayutsya. Nam neobhodimo obratit'sya k drugim metodam opisaniya, dayushchim, tak skazat', "plotnost' razmazni" v razlichnyh tochkah prostranstva. Matematicheski eto oznachaet, chto my ispol'zuem nepreryvnye funkcii (takie kak, naprimer, v gidromehanike), a fizicheski trebuet, chtoby pri opisanii kvantovogo mira my upotreblyali takie oboroty rechi, kak "etot ob容kt v osnovnom nahoditsya zdes', chastichno tam i dazhe von tam" ili "eta moneta na 75% nahoditsya v moem karmane i na 25% - v vashem". YA ponimayu, chto takie utverzhdeniya kazhutsya vam dikimi, no v nashej povsednevnoj zhizni iz-za malosti kvantovoj postoyannoj v nih net nadobnosti. No esli vy voznamerites' izuchat' atomnuyu fiziku, to ya nastoyatel'no rekomenduyu vam predvaritel'no privyknut' k takogo roda vyrazheniyam. Schitayu svoim dolgom predosterech' vas ot oshibochnogo predstavleniya o tom, budto funkciya, opisyvayushchaya "plotnost' prebyvaniya" ob容kta v razlichnyh tochkah prostranstva, obladaet fizicheskoj real'nost'yu v nashem obychnom trehmernom prostranstve. Dejstvitel'no, esli my opisyvaem povedenie, naprimer, dvuh chastic, to nam neobhodimo otvetit' na vopros, nahoditsya li odna chastica v odnom meste i, odnovremenno, vtoraya chastica v drugom meste. Dlya etogo nam neobhodima funkciya shesti peremennyh (koordinat dvuh chastic), kotoruyu nevozmozhno "lokalizovat'" v trehmernom prostranstve. Dlya opisaniya bolee slozhnyh sistem nam ponadobilis' by funkcii eshche bol'shego chisla peremennyh. V etom smysle "kvantovo-mehanicheskaya funkciya" analogichna "potencial'noj funkcii", ili "potencialu", sistemy chastic v klassicheskoj mehanike ili "entropii" sistemy v statisticheskoj mehanike: ona tol'ko opisyvaet dvizhenie i pozvolyaet nam predskazyvat' rezul'tat lyubogo konkretnogo dvizheniya pri dannyh usloviyah. Fizicheskaya real'nost' ostaetsya za chasticami, dvizhenie kotoryh my opisyvaem. Funkciya, kotoraya opisyvaet, kakaya "dolya" chasticy ili sistemy chastic prisutstvuet v razlichnyh mestah prostranstva, trebuet special'nogo matematicheskogo oboznacheniya. Sleduya |rvinu SHredingeru, kotoryj pervym napisal uravnenie, opredelyayushchee povedenie takoj funkcii, ee stali oboznachat' . YA ne stanu sejchas vdavat'sya v detali matematicheskogo vyvoda fundamental'nogo uravneniya SHredingera. Hochu lish' obratit' vashe vnimanie na trebovaniya, kotorye priveli k ego vyvodu. Samoe vazhnoe iz etih trebovanij ves'ma neobychno: _uravnenie dolzhno byt' zapisano v takom vide, chtoby funkciya, opisyvayushchaya dvizhenie material'nyh chastic, obladala vsemi svojstvami volny_. Na neobhodimost' nadelit' dvizhenie material'nyh chastic volnovymi svojstvami vpervye ukazal francuzskij fizik Lui de Brojl' na osnove svoih teoreticheskih issledovanij stroeniya atoma. V posleduyushchie gody volnovye svojstva dvizheniya material'nyh chastic byli nadezhno podtverzhdeny mnogochislennymi eksperimentami, prodemonstrirovavshimi takie yavleniya, kak _difrakciya_ puchka elektronov pri prohozhdenii cherez maloe otverstie i _interferencionnye yavleniya_, proishodyashchie dazhe s takimi sravnitel'no bol'shimi i slozhnymi chasticami, kak molekuly. |ksperimental'no ustanovlennye volnovye svojstva material'nyh chastic byli sovershenno neponyatny s tochki zreniya klassicheskih predstavlenij o dvizhenii, i de Brojl' byl vynuzhden prinyat' ves'ma neobychnuyu (chtoby ne skazat' neestestvennuyu) tochku zreniya: po de Brojlyu, vse chasticy "soprovozhdayutsya" opredelennymi volnami, kotorye, tak skazat', "napravlyayut" ih dvizheniya. No kak tol'ko my otkazyvaemsya ot klassicheskih ponyatij i perehodim k opisaniyu dvizheniya s pomoshch'yu nepreryvnyh funkcij, trebovanie o volnovom haraktere stanovitsya gorazdo bolee ponyatnym. Ono prosto utverzhdaet, chto rasprostranenie nashej -funkcii analogichno (naprimer) nerasprostraneniyu tepla skvoz' stenku, nagrevaemuyu s odnoj storony, a rasprostraneniyu skvoz' tu zhe samuyu stenku mehanicheskoj deformacii (zvuka). Matematicheski eto oznachaet, chto my ishchem uravnenie opredelennogo (a ne ogranichennogo) vida. |to fundamental'noe uslovie vmeste s dopolnitel'nym trebovaniem, chtoby nashi uravneniya, esli ih primenyat' k chasticam bol'shoj massy, perehodili v uravneniya klassicheskoj mehaniki, poskol'ku kvantovye effekty dlya takih chastic stanovyatsya prenebrezhimo slabymi, prakticheski svodyat problemu vyvoda uravneniya k chisto matematicheskomu uprazhneniyu. Esli vas interesuet, kak vyglyadit okonchatel'nyj otvet - fundamental'noe uravnenie SHredingera, to ya mogu vypisat' ego. Vot ono:
(7) Zdes' U oznachaet potencial sil, dejstvuyushchih na nashu chasticu (s massoj m), i porozhdaet opredelennoe reshenie zadachi o dvizhenii chasticy pri lyubom zadannom raspredelenii sily. "Volnovoe uravnenie SHredingera" (tak prinyato nazyvat' vyvedennoe SHredingerom fundamental'noe uravnenie) pozvolilo fizikam v posleduyushchie sorok let ego sushchestvovaniya postroit' naibolee polnuyu i logicheski neprotivorechivuyu kartinu yavlenij, proishodyashchih v mire atomov. Nekotorye iz vas, dolzhno byt', udivlyayutsya, pochemu ya do sih por ni razu ne upotrebil slovo "matrica", kotoroe chasto prihoditsya slyshat' v svyazi s kvantovoj teoriej. Dolzhen priznat'sya, chto lichno ya pitayu sil'nuyu nepriyazn' k matricam i predpochitayu obhodit'sya bez nih. No chtoby ne ostavlyat' vas v absolyutnom nevedenii otnositel'no etogo matematicheskogo apparata kvantovoj teorii, ya skazhu o matricah neskol'ko slov. Kak vy uzhe znaete, dvizhenie chasticy ili slozhnoj mehanicheskoj sistemy vsegda mozhno opisat' s pomoshch'yu nekotoryh nepreryvnyh volnovyh funkcij. |ti funkcii chasto byvayut ochen' slozhnymi i predstavimy v vide nabora iz nekotorogo chisla bolee prostyh kolebanij (tak nazyvaemyh "sobstvennyh funkcij") podobno tomu, kak slozhnyj zvuk mozhno sostavit' iz nekotorogo chisla prostyh garmonicheskih tonov. Slozhnoe dvizhenie mozhno opisyvat', zadavaya amplitudy ego razlichnyh komponent. Poskol'ku chislo komponent (obertonov) beskonechno, my vypisyvaem beskonechnuyu tablicu amplitud vida
(8) Nad takimi tablicami mozhno proizvodit' matematicheskie operacii po sravnitel'no prostym pravilam. Kazhdaya takaya tablica i nazyvaetsya "matricej", i nekotorye fiziki vmesto togo, chtoby imet' delo neposredstvenno s volnovymi funkciyami, predpochitayut operirovat' s matricami. Takaya "matrichnaya mehanika", kak ee inogda nazyvayut, predstavlyaet soboj ne bolee chem matematicheskuyu modifikaciyu obychnoj "volnovoj mehaniki". V nashih lekciyah, posvyashchennyh glavnym obrazom principial'nym voprosam, bylo by izlishne vhodit' v eti problemy bolee podrobno. Ochen' zhal', chto nedostatok vremeni ne pozvolyaet mne rasskazat' vam o dal'nejshem progresse kvantovoj teorii v svyazi s teoriej otnositel'nosti. |ta glava v razvitii kvantovoj teorii, svyazannaya glavnym obrazom s rabotami britanskogo fizika Polya Adriena Morisa Diraka, privodit ko mnogim interesnejshim problemam i stala osnovoj nekotoryh chrezvychajno vazhnyh eksperimental'nyh otkrytij. Vozmozhno, kogda-nibud' v drugoj raz ya eshche vernus' k etim problemam, a poka ya dolzhen ostanovit'sya. Nadeyus', chto prochitannaya mnoj seriya lekcij pozvolila vam sostavit' bolee yasnoe predstavlenie o sovremennoj koncepcii fizicheskogo mira i probudila v vas interes k dal'nejshim nauchnym zanyatiyam. Glava 8 Kvantovye dzhungli Na sleduyushchee utro mister Tompkins eshche nezhilsya v posteli, kak vdrug pochuvstvoval, chto v komnate est' eshche kto-to. Oglyadevshis' vokrug, on obnaruzhil svoego starogo druga professora. Tot sidel v kresle, utknuvshis' v rasstelennuyu na kolenyah kartu i vnimatel'no izuchal ee. - Tak vy so mnoj? - sprosil professor, podnimaya golovu. - A kuda eto vy sobralis'? - pointeresovalsya mister Tompkins, razmyshlyaya nad tem, kakim obrazom professor okazalsya u nego v komnate. - Razumeetsya, dlya togo chtoby polyubovat'sya na slonov i drugih obitatelej dzhunglej. Vladelec bil'yardnoj, gde my s vami nedavno pobyvali, soobshchil mne po sekretu, otkuda on beret slonovuyu kost' dlya svoih bil'yardnyh sharov. Vidite rajon, kotoryj ya obvel na karte krasnym karandashom? Imeyutsya osnovaniya polagat', chto vnutri nego vse podchineno kvantovym zakonam s ochen' bol'shoj kvantovoj postoyannoj. Mestnye zhiteli schitayut, chto v teh krayah poselilis' d'yavoly, i ya boyus', chto nam budet ochen' trudno najti sebe provodnika. No esli vy hotite otpravit'sya so mnoj v put', vam nado potoraplivat'sya. Sudno othodit cherez chas, a nam eshche nuzhno po doroge v port zaehat' za serom Richardom. - A kto eto ser Richard? - sprosil mister Tompkins. - Kak, vy nikogda ne slyhali o nem? - professor byl yavno izumlen. - Ser Richard izvestnyj ohotnik na tigrov. On reshil otpravit'sya vmeste s nami, kogda ya obeshchal emu interesnuyu ohotu. Na prichal uchastniki ekspedicii pribyli kak raz vovremya dlya togo, chtoby nablyudat' za pogruzkoj na bort sudna gruza iz neskol'kih dlinnyh yashchikov s ruzh'yami sera Richarda i special'nymi pulyami, izgotovlennymi iz svinca, kotoryj professor poluchil ot upravlyayushchego svincovymi rudnikami, raspolozhennymi nepodaleku ot kvantovyh dzhunglej. Mister Tompkins eshche raskladyval veshchi v kayute, kogda mernaya vibraciya korpusa sudna vozvestila emu, chto parohod otoshel ot prichala. V morskom puteshestvii vsegda est' nechto neotrazimo privlekatel'noe, i mister Tompkins ne zametil, kak ih sudno prishvartovalos' v ocharovatel'nom vostochnom gorode - blizhajshem k tainstvennym kvantovym dzhunglyam naselennom punkte. - Dlya puteshestviya po sushe nam nuzhno priobresti slona, - ob座avil professor. - Ne dumayu, chto kto-nibud' iz mestnyh zhitelej risknet otpravit'sya s nami, poetomu upravlyat' slonom pridetsya nam samim. Polagayu, chto vy, mister Tompkins, prekrasno spravites' s etoj zadachej. YA budu slishkom pogloshchen nauchnymi nablyudeniyami, a ser Richard dolzhen budet upravlyat'sya so vsem ohotnich'im snaryazheniem. Na dushe u mistera Tompkinsa bylo ochen' nespokojno, kogda pridya na slonovyj rynok, raspolozhennyj na okraine goroda, on uvidel ogromnyh zhivotnyh, odnim iz kotoryh emu predstoyalo upravlyat'. Ser Richard, velikolepno razbiravshijsya v slonah, vybral krasivogo krupnogo slona i sprosil u vladel'ca, skol'ko tot hochet za zhivotnoe. - Hrap hanvek o hobot ham. Hagori ho, o Hohohohi, - otvetil tuzemec, obnazhiv v ulybke oslepitel'no belye zuby. - On prosit za nego ujmu deneg, - perevel ser Richard, - no govorit, chto ego slon iz kvantovyh dzhunglej i poetomu stoit dorozhe. Tak kak, kupim etogo slona? - Nepremenno, - skazal professor. - Na parohode mne dovelos' slyshat', chto slony inogda zahodyat iz kvantovyh territorij i tuzemcy ih lovyat. Takie slony gorazdo luchshe svoih sorodichej iz drugih oblastej, i sejchas nam prosto povezlo, chto my mozhem kupit' zhivotnoe, kotoroe chuvstvuet sebya v kvantovyh dzhunglyah, kak doma. Mister Tompkins osmotrel slona so vseh storon. CHto i govorit', eto bylo ochen' krasivoe, ogromnoe zhivotnoe, odnako, mister Tomtgkins ne zametil v povadkah slona kakih-libo otlichij po sravneniyu s temi slonami, kotoryh emu dovodilos' videt' v zooparke. - Vy govorite, chto eto kvantovyj slon, a dlya menya on vpolne obychnyj slon i vedet sebya ne tak zanyatno, kak bil'yardnye shary, sdelannye iz bivnej nekotoryh iz ego sorodichej. Naprimer, pochemu on ne rasplyvaetsya po vsem napravleniyam? - obratilsya mister Tompkins k professoru. - Vy medlenno shvatyvaete sut' dela, - zametil professor. - Slon ne rasplyvaetsya iz-za svoej ochen' bol'shoj massy. Nekotoroe vremya nazad ya uzhe ob座asnyal vam, chto neopredelennost' v polozhenii i skorosti zavisit ot massy. CHem bol'she massa, tem men'she neopredelennost'. Imenno poetomu kvantovye zakony ne nablyudayutsya v obychnom mire dazhe dlya takih legkih tel, kak pylinki, no stanovyatsya vpolne zametnymi dlya elektronov, kotorye v milliardy milliardov raz legche pylinok. No v kvantovyh dzhunglyah kvantovaya postoyannaya gorazdo bol'she, no vse zhe nedostatochno velika, chtoby porozhdat' porazitel'nye effekty v povedenii stol' tyazhelogo zhivotnogo, kak slon. Neopredelennost' v polozhenii kvantovogo slona mozhno zametit', tol'ko esli pristal'no vglyadet'sya v ego ochertaniya. Vozmozhno, vy zametili, chto poverhnost' slonovoj kozhi ne vpolne opredelenna i kazhetsya neskol'ko neotchetlivo vidimoj. So vremenem eta neopredelennost' uvelichivaetsya ochen' medlenno. Mne kazhetsya, chto imenno s etim obstoyatel'stvom svyazana mestnaya legenda, budto u staryh slonov iz kvantovyh dzhunglej dlinnaya sherst'. YA polagayu, chto na ne stol' krupnyh zhivotnyh, obitayushchih v kvantovyh dzhunglyah, zamechatel'nye kvantovye effekty budut bolee zametnymi. - Horosho, chto v etu ekspediciyu my otpravlyaemsya ne verhom na loshadyah, - podumal mister Tompkins. - Ved' esli by my vzdumali otpravit'sya v kvantovye dzhungli na loshadyah, ya nikogda ne mog by skazat' s uverennost'yu, gde moya loshad' - u menya pod sedlom ili v sleduyushchej doline. Posle togo, kak professor i ser Richard so svoimi ruzh'yami vzgromozdilis' v korzinu, ukreplennuyu na spine slona, a mister Tompkins v novoj dlya sebya dolzhnosti pogonshchika zanyal svoe mesto na shee slona, krepko szhimaya v ruke nekoe podobie bagra - strekalo, kotorym _nastoyashchie_ pogonshchiki upravlyayut svoim podopechnym; ekspediciya tronulas' v put' k tainstvennym dzhunglyam. Ot zhitelej goroda nashi puteshestvenniki uznali, chto dobrat'sya do dzhunglej mozhno primerno za chas, i mister Tompkins, izo vseh sil pytayas' sohranit' ravnovesie mezhdu ushami slona, voznamerilsya s pol'zoj ispol'zovat' vremya, chtoby porassprosit' u professora o kvantovyh yavleniyah. - Skazhite, pozhalujsta, - nachal mister Tompkins, povernuvshis' k professoru, - _pochemu_ tela s maloj massoj vedut sebya stol' neobychno i kak mozhno istolkovat' s tochki zreniya obychnogo zdravogo smysla tu kvantovuyu postoyannuyu, o kotoroj vy vse vremya govorite? - O, - voskliknul professor, - ponyat' eto ne tak uzh trudno. Neobychnoe povedenie vseh ob容ktov v kvantovom mire ob座asnyaetsya prosto tem, chto vy na nih smotrite. - Oni nastol'ko stydlivy? - ulybnulsya mister Tompkins. - "Stydlivy" - ne to slovo, - surovo otvetstvoval professor. - Sut' dela v tom, chto vsyakij raz, proizvodya lyuboe nablyudenie, vy nepremenno vozmushchaete dvizhenie nablyudaemogo ob容kta. Raz vy uznaete chto-to o dvizhenii kakogo-to tela, to eto oznachaet, chto dvizhushcheesya telo proizvelo kakoe-to dejstvie na vashi organy chuvstv ili na pribor, kotoryj vy ispol'zovali pri nablyudenii. V silu ravenstva dejstviya i protivodejstviya my prihodim k zaklyucheniyu, chto vash izmeritel'nyj pribor takzhe vozdejstvoval na telo i, tak skazat', "isportil" ego dvizhenie, vvedya neopredelennost' v polozhenie i skorost' tela. - Esli by ya tronul bil'yardnyj shar pal'cem, to, konechno, vnes by vozmushchenie v ego dvizhenie, - nedoumenno proiznes mister Tompkins. - No ya tol'ko posmotrel na nego. Neuzheli etogo dostatochno, chtoby vozmutit' dvizhenie bil'yardnogo shara? - Razumeetsya, vpolne dostatochno! Vy zhe ne mozhete videt' bil'yardnyj shar v kromeshnoj t'me. A esli vy vynesete shar na svet, to luchi sveta, otrazhayushchiesya ot shara i delayushchie ego vidimym, vozdejstvuyut na nego (my govorim o takom vozdejstvii kak o "davlenii sveta") i "portyat" dvizhenie shara. - A chto esli ya vospol'zuyus' ochen' tonkimi i ochen' chuvstvitel'nymi priborami? Razve ne smogu ya sdelat' vozdejstvie moih priborov na dvizhushcheesya telo prenebrezhimo malym? - Imenno tak my schitali, kogda u nas byla tol'ko klassicheskaya fizika, do otkrytiya _kvanta dejstviya_. No v nachale XX stoletiya stalo yasno, chto dejstvie na lyuboj ob容kt ne mozhet byt' nizvedeno do urovnya nizhe opredelennogo predela, nazyvaemogo kvantovoj postoyannoj i oboznachaemogo simvolom h. V obychnom mire kvant dejstviya ochen' mal; v obychnyh edinicah on vyrazhaetsya chislom s dvadcat'yu sem'yu nulyami posle desyatichnoj zapyatoj. Kvant dejstviya stanovitsya sushchestvennym tol'ko dlya takih legkih chastic, kak elektrony: iz-za ih ochen' maloj massy na dvizhenii takih chastic zametno skazyvayutsya i ochen' slabye vozdejstviya. V kvantovyh dzhunglyah, k kotorym my sejchas priblizhaemsya, kvant dejstviya ochen' velik. |to grubyj mir, v kotorom delikatnye dejstviya nevozmozhny. Esli kto-nibud' v takom mire popytaetsya pogladit' kotenka, to tot libo voobshche ne oshchutit nikakoj laski, libo ego sheya budet slomana pri pervom zhe prikosnovenii. - Vse eto horosho, - zadumchivo progovoril mister Tompkins, - no vedut li tela sebya prilichno, t.e. tak, kak obychno prinyato dumat', kogda na nih nikto ne smotrit? - Kogda na tela nikto ne smotrit, - otvetil professor, - nikto ne mozhet skazat', kak oni sebya vedut. Vash vopros ne imeet fizicheskogo smysla. - Dolzhen priznat'sya, - zametil mister Tompkins, - chto vse eto izryadno smahivaet na filosofiyu, a ne na fiziku. - Mozhete nazyvat' eto filosofiej, - professor byl yavno zadet, - no, v dejstvitel'nosti, rech' idet o fundamental'nom principe sovremennoj fiziki - _nikogda ne govorit' o tom, chego ne znaesh'_. Vsya sovremennaya fizicheskaya teoriya osnovana na etom principe, mezhdu tem, kak filosofy obychno upuskayut ego iz vidu. Naprimer, znamenityj nemeckij filosof Kant provel nemalo vremeni, razmyshlyaya o svojstvah tel, ne takih, kakimi oni "vidyatsya nam", a takih, kakie oni est' " v sebe". Dlya sovremennogo fizika imeyut smysl tol'ko tak nazyvaemye "nablyudaemye" (t. e. principial'no nablyudaemye svojstva), i vsya sovremennaya fizika osnovana na otnosheniyah mezhdu nablyudaemymi svojstvami. To, chto nevozmozhno nablyudat', horosho tol'ko dlya prazdnyh razmyshlenij: vy mozhete pridumyvat' chto ugodno, i plody vashih razmyshlenij nel'zya ni proverit' (t. e. ubedit'sya v ih sushchestvovanii), ni vospol'zovat'sya imi. Dolzhen skazat', chto...
V etot moment uzhasnyj rev potryas vozduh. Slon ostanovilsya kak vkopannyj tak vnezapno, chto mister Tompkins chut' ne svalilsya. Ogromnaya staya neskol'ko razmazannyh tigrov napala na slona, vyprygnuv iz zasady so vseh storon. Ser Richard shvatil svoe ruzh'e i, pricelivshis' blizhajshemu tigru mezhdu glaz, spustil kurok. V sleduyushchij moment mister Tompkins otchetlivo uslyshal, kak ser Richard proburchal sebe pod nos nekoe krepkoe vyrazhenie, prinyatoe sredi ohotnikov. Eshche by! Vystrel byl metkim, no pulya proshla skvoz' golovu tigra, ne prichiniv tomu ni malejshego vreda! - Strelyaj eshche! - zakrichal professor. - Ne cel'tes'! Postarajtes' sozdat' vokrug sebya kak mozhno bol'shuyu plotnost' ognya! Na nas napal tol'ko odin tigr, no on raspredelen vokrug nashego slona, i nash edinstvennyj shans na spasenie sostoit v tom, chtoby podnyat' gamil'tonian. Professor shvatil drugoe ruzh'e, i grohot vystrelov smeshalsya s revom kvantovogo tigra. Misteru Tompkinsu pokazalos', chto proshla celaya vechnost' prezhde, chem ves' etot uzhasnyj shum zatih. Odna iz pul' "popala v cel'", i k velichajshemu udivleniyu mistera Tomtpsinsa tigr, vnezapno prevrativshijsya v odnogo-edinstvennogo titra, byl s siloj otbroshen nazad, i ego mertvoe telo, opisav dugu v vozduhe, prizemlilos' gde-to za mayachivshej v otdalenii pal'movoj roshchej. - A kto etot Gamil'tonian? - sprosil mister Tompkins, kogda vse nemnogo uspokoilos'. - Znamenityj ohotnik, kotorogo vy hoteli podnyat' iz mogily, chtoby on spas nas? - O, proshu velikodushno prostit' menya! - skazal professor. - V pylu bitvy ya pereshel na nauchnuyu terminologiyu, kotoruyu vy ne ponimaete! Gamil'tonianom prinyato nazyvat' matematicheskoe vyrazhenie, opisyvayushchee kvantovoe vzaimodejstvie mezhdu dvumya telami. Ono poluchilo svoe nazvanie v chest' irlandskogo matematika Gamil'tona, kotoryj pervym nachal ispol'zovat' etu matematicheskuyu formu. YA hotel skazat', chto, vypuskaya kak mozhno bol'she pul', my mozhem uvelichit' veroyatnost' vzaimodejstviya mezhdu pulej i telom tigra. V kvantovom mire vy ne mozhete tochno pricelit'sya i byt' uvereny, chto popadete v cel'. Iz-za rasplyvaniya puli i celi vsegda sushchestvuet lish' otlichnaya ot nulya veroyatnost' popadaniya v cel', no eta veroyatnost' nikogda ne ravna edinice. V nashem sluchae my vypustili po krajnej mere tridcat' pul', prezhde chem dejstvitel'no popali v tigra, i togda dejstvie puli okazalos' stol' sil'nym, chto tigra otbrosilo daleko nazad. To zhe samoe, tol'ko v men'shih masshtabah, proishodit i v nashem privychnom mire. Kak ya uzhe upominal, v obychnom mire, chtoby zametit' nechto podobnoe, neobhodimo issledovat' povedenie takih malyh chastic, kak elektrony. Vozmozhno, vam prihodilos' slyshat' o tom, chto kazhdyj atom sostoit iz sravnitel'no tyazhelogo yadra i neskol'kih elektronov, obrashchayushchihsya vokrug nego. Snachala prinyato bylo dumat', chto dvizhenie elektronov vokrug yadra sovershenno analogichno dvizheniyu planet vokrug Solnca, no bolee glubokij analiz pokazal, chto obychnye ponyatiya, otnosyashchiesya k dvizheniyu, slishkom gruby dlya takoj miniatyurnoj sistemy, kak atom. Dejstviya, igrayushchie vazhnuyu rol' vnutri atoma, po poryadku velichiny sravnimy s elementarnym kvantom dejstviya, i poetomu vsya kartina v celom sil'no rasplyvaetsya. Dvizhenie elektrona vokrug atomnogo yadra vo mnogih otnosheniyah analogichno dvizheniyu nashego kvantovogo tigra, kotoryj v odinochku okruzhil nashego slona so vseh storon. - A ne strelyal li kto-nibud' v elektron tak, kak my strelyali v tigra? - sprosil mister Tompkins. - Strelyali i ne raz! YAdro samo ispuskaet inogda kvanty sveta vysokoj energii, ili, chto to zhe, elementarnye porcii dejstviya sveta. V elektron mozhno vystrelit' i snaruzhi atoma, osveshchaya atom puchkom sveta. Pri etom vse proizojdet tak zhe, kak s tigrom: mnogie kvanty sveta projdut cherez to mesto, gde nahoditsya elektron, ne okazav na togo ni malejshego dejstviya, poka, nakonec, odin iz kvantov sveta ne stolknetsya s elektronom i ne vyb'et ego iz atoma. Na kvantovuyu sistemu nel'zya vozdejstvovat' chut'-chut'; ona libo voobshche ne ispytyvaet nikakogo vozdejstviya, libo preterpevaet v rezul'tate vozdejstviya sil'nye izmeneniya. - Kak tot neschastnyj kotenok, kotorogo nel'zya prilaskat' v kvantovom mire, ne riskuya nanesti emu smertel'noe uvech'e, - zaklyuchil mister Tompkins. - Vzglyanite von tuda! Gazeli! Mnozhestvo gazelej! - voskliknul ser Richard, podnimaya svoe ruzh'e. I, dejstvitel'no, ogromnoe stado gazelej pokazalos' iz bambukovoj roshchi. - Dressirovannye gazeli, - podumal mister Tompkins. - Begut stroem, kak soldaty na parade. Hotel by ya znat', uzh ne kvantovyj li eto effekt?
Gruppa gazelej bystro priblizhalas' k slonu, na kotorom vossedali nashi puteshestvenniki, i ser Richard izgotovilsya bylo strelyat', kak vdrug professor ostanovil ego. - Ne trat'te ponaprasnu vashi ohotnich'i pripasy, - skazal professor. - Ochen' malo shansov popast' v zhivotnoe, kogda ono dvizhetsya v difrakcionnoj kartine. - Pochemu vy govorite ne o zhivotnyh, a ob odnom zhivotnom, udivlenno sprosil ser Richard. - Zdes' po krajnej mere neskol'ko dyuzhin gazelej! - Vy gluboko zabluzhdaetes', - vozrazil professor. - Zdes' pered nami tol'ko odna malen'kaya gazel', kotoraya, ispugavshis' chego-to, mchitsya skvoz' bambukovuyu roshchu. Delo v tom, chto "rasplyvanie" vseh tel obladaet odnim svojstvom, analogichnym svojstvu obychnogo sveta: prohodya cherez pravil'nuyu sistemu otverstij ("reshetku"), naprimer mezhdu stvolami bambuka v roshche, ono porozhdaet yavlenie difrakcii, o kotorom vam, veroyatno, prihodilos' slyshat' v shkole. Poetomu my govorim o volnovom haraktere materii. No ni ser Richard, ni mister Tompkins ne mogli vspomnit', chto zhe, sobstvenno govorya, oznachaet zagadochnoe slovo "difrakciya" i razgovor oborvalsya. Uglubivshis' v debri kvantovyh dzhunglej, nashi puteshestvenniki povstrechali mnozhestvo drugih interesnejshih yavlenij, naprimer, poznakomilis' s kvantovymi moskitami. Opredelit' mestonahozhdenie etih nasekomyh v prostranstve bylo pochti nevozmozhno iz-za ih maloj massy. Ochen' zabavny byli kvantovye obez'yany. No vot vperedi pokazalos' chto-to napominayushchee tuzemnoe selenie. - YA ne znal, chto v etih mestah zhivut lyudi, - zametil professor. - Sudya po shumu, u nih kakoe-to prazdnestvo. Vy tol'ko prislushajtes' k neumolkaemomu zvonu kolokol'chikov. Razlichit' otdel'nye figury tuzemcev, ispolnyavshih vokrug bol'shogo kostra kakoj-to dikij tanec, bylo ochen' trudno. Iz tolpy, kuda ni glyan', vsyudu podnimalis' temno-korichnevye ruki s kolokol'chikami vseh razmerov. Kogda puteshestvenniki priblizilis', vse, vklyuchaya hizhiny i okruzhavshie selenie bol'shie derev'ya, nachalo rasplyvat'sya. Zvon kolokol'chikov stal nevynosimym dlya mistera Tompkinsa. On protyanul ruku, shvatil chto-to i otbrosil v storonu. Budil'nik razbil stakan s vodoj, stoyavshij na nochnom stolike, i potok holodnoj vody privel mistera Tompkinsa v chuvstvo. On vskochil i prinyalsya bystro odevat'sya. CHerez polchasa emu nuzhno bylo byt' v banke. Glava 9 Demon Maksvella Uchastvuya na protyazhenii mnogih mesyacev v neveroyatnyh priklyucheniyah, v hode kotoryh professor ne upuskal udobnogo sluchaya posvyatit' mistera Tompkinsa v tajny fiziki, mister Tompkins vse bolee pronikalsya ocharovaniem miss Mod. Nakonec, nastal den', kogda mister Tompkins, zaikayas' i krasneya ot smushcheniya, robko predlozhil miss Mod ruku i serdce. Predlozhenie bylo s radost'yu prinyato, i vskore mister Tompkins i miss Mod stali muzhem i zhenoj. V novoj dlya sebya roli testya professor schital svoej nepremennoj obyazannost'yu vsyacheski sposobstvovat' rasshireniyu poznanij svoego zyatya v fizike i znakomit' ego s novejshimi dostizheniyami etoj uvlekatel'noj nauki. Odnazhdy mister i missis Tompkins, s udobstvom ustroivshis' v kreslah, predavalis' voskresnomu otdyhu v svoej uyutnoj kvartirke. Missis Tompkins s golovoj pogruzilas' v izuchenie zhurnala mod "Vogue", a ee suprug s uvlecheniem chital stat'yu v zhurnale "Esquire" {Esli byt' tochnym, to sleduet skazat', chto vnimanie mistera Tompkinsa privlekla stat'ya v yanvarskom nomere etogo zhurnala za 1940 g.}. - Podumat' tol'ko! - vnezapno voskliknul mister Tompkins. - Okazyvaetsya, v azartnyh igrah sushchestvuyut besproigryshnye strategii! - Siril, neuzheli ty vser'ez dumaesh', chto takoe vozmozhno? - sprosila missis Tompkins, zadumchivo podnimaya glaza ot prikovavshih ee vnimanie stranic modnogo zhurnala. - Pomnitsya, papa ne raz govoril nam o tom, chto v azartnyh igrah besproigryshnyh strategij net i byt' i ne mozhet.
- Vzglyani sama, Mod, - predlozhil mister Tompkins, pokazyvaya svoej supruge stat'yu, kotoruyu on izuchal s takim interesom v techenie poslednego poluchasa. - YA nichego ne znayu o drugih vyigryshnyh strategiyah, no ta, o kotoroj govoritsya v etoj stat'e, osnovana na ochen' prostyh matematicheskih raschetah bez vsyakih obmanov i podvohov, i ya prosto ne znayu, gde zdes' v rassuzhdeniya mozhet vkrast'sya kakaya-nibud' oshibka. CHtoby vyigrat', nuzhno lish' vypisat' na listke bumagi chisla i neukosnitel'no priderzhivat'sya prostyh pravil, privodimyh v toj zhe stat'e. - Poprobovat', konechno, mozhno, - soglasilas' Mod, nachinaya proyavlyat' priznaki interesa. - A chto eto za pravila? - Dlya bol'shej naglyadnosti ya budu sledovat' primeru, privodimomu v stat'e, ved', kak ty znaesh', uchit'sya luchshe vsego na primerah. V kachestve illyustracii besproigryshnoj strategii avtor stat'i vybral igru v ruletku. Kak tebe, dolzhno byt', izvestno, igroki v ruletku delayut stavku na krasnoe ili na chernoe, t. e., po sushchestvu, kak by zaklyuchayut mezhdu soboj pari otnositel'no ishoda brosaniya monety - vypadet li moneta vverh orlom ili reshkoj. YA nachinayu s togo, chto vypisyvayu na listke bumagi chisla Pervoe pravilo sostoit v tom, chto, delaya stavku, ya dolzhen vylozhit' na stol chislo fishek, ravnoe summe pervogo i poslednego i vypisannyh chisel (a v tom sluchae, esli na listke bumagi ostanetsya odno-edinstvennoe chislo, stavka dolzhna byt' ravna odnomu chislu). Sleduya etomu pravilu, ya dolzhen vylozhit' na stol chetyre (odnu plyus tri) fishki. Predpolozhim, chto ya stavlyu na krasnoe. Po pravilam igry, v sluchae vyigrysha mne nuzhno zacherknut' pervoe i poslednee iz vypisannyh chisel. V nashem primere eto chisla 1 i 3, poetomu, delaya sleduyushchuyu stavku, ya dolzhen vylozhit' na stol dve fishki (poskol'ku posle vycherkivaniya chisel 1 i 3 na listke bumagi ostanetsya odno-edinstvennoe chislo 2). V sluchae proigrysha chislo fishek v predydushchej (proigrannoj) stavke neobhodimo pripisat' sprava k uzhe vypisannym chislam, a pri opredelenii velichiny sleduyushchej stavki priderzhivat'sya prezhnego pravila, t. e. vystavit' chislo fishek, ravnoe summe pervogo i poslednego iz vypisannyh chisel (libo, esli na listke bumagi ostanetsya tol'ko odno chislo, to etomu chislu). Predpolozhim, chto ruletka ostanovitsya na chernom i krup'e special'noj lopatkoj podvinet k sebe vystavlennye mnoj chetyre fishki. Poskol'ku ya proigral, novyj ryad chisel, vypisannyh na listke bumagi, vyglyadit teper' tak: (chislo vylozhennyh na stol fishek, ravnoe 4, pripisano sprava). Delaya sleduyushchuyu stavku, ya dolzhen vylozhit' na stol pyat' (odnu plyus chetyre) fishek. V stat'e govoritsya, chto i vo vtoroj raz ya snova proigryvayu i chto, nesmotrya na povtornyj proigrysh, mne nadlezhit priderzhivat'sya prezhnej strategii, t. e. pripisat' k uzhe vypisannym chislam sprava chislo 5 i vylozhit' na stol shest' (odnu plyus pyat') fishek. - Na etot raz ty nepremenno dolzhen vyigrat', - voskliknula Mod, vse bolee vhodya v azart. - Ne mozhesh' zhe ty vse vremya proigryvat'! - Eshche kak mogu! - zaveril suprugu mister Tompkins. - V detstve ya chasten'ko igral s drugimi mal'chishkami v orlyanku - zaklyuchal pari otnositel'no togo, kakoj storonoj vverh vypadet broshennaya moneta i, hochesh' ver', hochesh' ne ver', odnazhdy stal svidetelem togo, kak moneta desyat' raz podryad vypala vverh orlom. No predpolozhim, kak eto delaetsya v stat'e, chto na etot raz ya dlya raznoobraziya vyigral. V etom sluchae po pravilam igry ya dolzhen poluchit' svoyu udvoennuyu stavku - dvenadcat' fishek - i po sravneniyu so svoim pervonachal'nym kapitalom stanu na tri fishki bogache. Sleduya rekomenduemoj strategii, ya dolzhen vycherknut' chisla 1 i 5, posle chego zapis' na listke bumagi primet sleduyushchij vid: 1 (zacherknuto), 2, 3, 4, 5 (zacherknuto) Delaya sleduyushchuyu stavku, ya dolzhen vylozhit' na stol shest' (dve plyus chetyre) fishek. - Zdes' v stat'e napisano, chto ty snova proigral, - vzdohnula Mod, zaglyadyvaya v zhurnal cherez plecho muzha. - Znachit, teper' ty dolzhen pripisat' k chislam sprava shesterku i, delaya sleduyushchuyu stavku, vylozhit' na stol vosem' fishek. Pravil'no? - Ty absolyutno prava, no i na etot raz menya podsteregaet proigrysh, i zapis' na listke bumagi vyglyadit teper' tak: 1 (zacherknuto), 2, 3, 4, 5 (zacherknuto), 6, 8 Delaya ocherednuyu stavku, ya dolzhen teper' vylozhit' na stol desyat' (dve plyus vosem') fishek. V stat'e govoritsya, chto na etot raz ya vyigral. Znachit, ya dolzhen zacherknut' chisla 2 i 8 i, delaya sleduyushchuyu stavku, vylozhit' na stol devyat' (tri plyus shest') fishek. No tut menya (tak govoritsya v stat'e) snova podsteregaet proigrysh. - Kakoj vse-taki neudachnyj primer! - posetovala, naduv gubki, Mod. - Ty uspel proigrat' tri raza, a vyigral vsego lish' odin raz! - Nevazhno, - uspokoil ee mister Tompkins so snishoditel'noj uverennost'yu fokusnika. - Vse ravno v samom konce cikla vyigrysh ostanetsya za nami. Poslednij zapusk ruletki prines mne (po utverzhdeniyu avtora stat'i) proigrysh v devyat' fishek. Poetomu teper' ya dolzhen pripisat' k uzhe vypisannym chislam sprava devyatku, posle chego zapis' na moem listke budet vyglyadet' tak: 1 (zacherknuto), 2 (zacherknuto), 3, 4, 5 (zacherknuto), 6, 8 (zacherknuto), 9 Na stol mne nuzhno vylozhit' dvenadcat' (tri plyus devyat') fishek. Na etot raz vyigrysh ostaetsya za mnoj, poetomu ya vycherkivayu chisla 3 i 9 i, delaya novuyu stavku, vykladyvayu na stol desyat' (chetyre plyus shest') fishek. Posleduyushchij vyigrysh zavershaet cikl, tak kak vse chisla, vypisannye na listke bumagi, okazyvayutsya zacherknutymi. YA stal bogache na shest' fishek, hotya vyigral v ruletku tol'ko chetyre raza, a proigral pyat' raz! - A ty dejstvitel'no stal na shest' fishek bogache? - nedoverchivo sprosila Mod. - V etom ne mozhet byt' nikakih somnenij. Strategiya postroena tak, chto vsyakij raz po zavershenii cikla ty, hochesh', ne hochesh', nepremenno vyigryvaesh' shest' fishek. V etom netrudno ubedit'sya s pomoshch'yu neslozhnyh vychislenij, poetomu ya nazyvayu etu strategiyu matematicheskoj. Kak vidish', ona besproigryshna. Esli ugodno, mozhesh' vzyat' listok bumagi i proverit' vse vykladki sama. - Veryu tebe na slovo, chto strategiya dejstvitel'no besproigryshna, - zadumchivo skazala Mod, - no ved' shest' fishchek - ne takoj uzh bol'shoj vyigrysh. - Kak skazat', - vozrazil mister Tompkins, - ved' vyigrysh shesti fishek v konce kazhdogo cikla _garantirovan_. Povtoryaya proceduru snova i snova (nachinaya kazhdyj raz s vypisyvaniya chisel 1, 2, 3), ty mozhesh' vyigrat' skol'ko tvoej dushe ugodno deneg, a eto sovsem neploho. - |to prosto velikolepno! - soglasilas' Mod. - Teper' ty smozhesh' ostavit' sluzhbu v banke, my smozhem pereehat' v bolee prostornuyu kvartiru, a ne dalee, kak vchera, ya videla v vitrine odnogo mehovogo magazina chudesnoe manto. I stoit ono kakih-nibud'... - Razumeetsya, my kupim tebe eto manto, dorogaya, - pospeshil zaverit' zhenu mister Tompkins. - No snachala nam nuzhno kak mozhno skoree otpravit'sya v Monte-Karlo. Ved' stat'yu, opublikovannuyu v zhurnale "Esquire", prochitaet mnozhestvo lyudej, i bylo by ochen' dosadno pribyt' v Monte-Karlo lish' dlya togo, chtoby zastat' tam schastlivchika, kotoryj operedil nas i dovel kazino do polnogo razoreniya. - YA sejchas pozvonyu v aeroport, - predlozhila Mod, - i uznayu, kogda otpravlyaetsya blizhajshij rejs v Monte-Karlo. - CHto za speshka? - razdalsya v prihozhej znakomyj golos, i v komnatu voshel staryj professor. Ostanovivshis' v dveryah, on s udivleniem smotrel na supruzheskuyu chetu Tompkinsov, neskol'ko razgoryachennyh vnezapno otkryvshimisya pered nimi perspektivami finansovogo blagopoluchiya. - My namerevaemsya otpravit'sya blizhajshim zhe rejsom v Monte-Karlo i nadeemsya vernut'sya osnovatel'no razbogatevshimi, - poyasnil mister Tompkins, podnimayas' iz kresla navstrechu testyu. - Ah, vot v chem delo! Togda vse ponyatno, - ulybnulsya professor, s komfortom ustraivayas' v staromodnom kresle u kamina. - U vas est' novaya besproigryshnaya strategiya? - No, papa, eta strategiya dejstvitel'no besproigryshnaya, - s uprekom skazala Mod, vse eshche derzha ruku na telefonnoj trubke. - Mod sovershenno prava, - podtverdil mister Tompkins, protyagivaya professoru zhurnal. - Predlagaemaya strategiya prosto ne mozhet ne vyigrat'! - Tak-taki i ne mozhet? - ironicheski peresprosil professor s ulybkoj. - Sejchas uvidim! Beglo oznakomivshis' so stat'ej, professor prodolzhal: - Otlichitel'naya osobennost' predlagaemoj strategii sostoit v tom, chto pravilo, reguliruyushchee velichinu stavok, zastavlyaet vas uvelichivat' stavku posle kazhdogo proigrysha i snizhat' stavku posle kazhdogo vyigrysha. Sledovatel'no, esli vy budete poperemenno vyigryvat' i proigryvat', prichem vyigryshi i proigryshi budut cheredovat'sya s absolyutnoj regulyarnost'yu, to vash kapital budet kolebat'sya, prichem kazhdoe uvelichenie kapitala budet chut' bol'she ego umen'sheniya. V etom sluchae vy, nesomnenno, dostatochno skoro stanete millionerom. No, kak vy ponimaete, absolyutnaya regulyarnost' vstrechaetsya nechasto. V dejstvitel'nosti veroyatnost' poyavleniya pravil'no chereduyushchejsya posledovatel'nosti vyigryshej i proigryshej stol' zhe mala, kak i veroyatnost' poyavleniya odinakovoj po dline serii odnih tol'ko vyigryshej. Takim obrazom, neobhodimo vyyasnit', chto proizojdet, esli neskol'ko vyigryshej (ili neskol'ko proigryshej) sleduyut podryad drug za drugom. Esli vam, kak govoryat igroki, ulybnulas' fortuna, to pravila besproigryshnoj strategii vynuzhdayut vas libo ponizhat', libo po krajnej mere ne povyshat' stavku posle kazhdogo vyigrysha, poetomu obshchij vyigrysh okazhetsya ne slishkom bol'shim. S drugoj storony, te zhe pravila zastavlyayut vas posle kazhdogo proigrysha povyshat' stavku, poetomu polosa neudach mozhet imet' dlya vas katastroficheskie posledstviya i dazhe pobudit' vas vyjti iz igry. Krivaya kolebanij vashego kapitala na etot raz sostoit iz neskol'kih medlenno vozrastayushchih uchastkov, smenyayushchihsya rezkimi spadami. V nachale igry vy s bol'shej veroyatnost'yu popadaete na dlinnuyu medlenno vozrastayushchuyu chast' krivoj i v techenie kakogo-to vremeni naslazhdaetes' priyatnym oshchushcheniem togo, chto vash kapital medlenno, no neuklonno uvelichivaetsya. No esli vy prodolzhaete igru dostatochno dolgo v nadezhde na poluchenie vse bol'shej i bol'shej pribyli, to sovershenno neozhidanno dlya vas vnezapno nastupaet rezkij spad, kotoryj mozhet okazat'sya dostatochno glubokim dlya togo, chtoby vy, sdelav ocherednuyu stavku, poteryali poslednij penni. Mozhno pokazat', prichem v sovershenno obshchem vide, chto v predlagaemoj avtorom stat'i strategii, ravno kak i v lyuboj drugoj vyigryshnoj strategii, veroyatnost' togo, chto krivaya dostignet dvojnoj otmetki, ravna veroyatnosti dostignut' nulevogo znacheniya. Inache govorya, vy imeete tochno takoj zhe shans na okonchatel'nyj vyigrysh, kak esli by postavili vse svoi den'gi na krasnoe ili chernoe i udvoili svoj kapital ili spustili vse, chto imeli, za odin-edinstvennyj zapusk ruletki. Vse "besproigryshnye" strategii sposobny lish' prodlit' igru i tem samym dat' vam vozmozhnost' poluchit' za svoi den'gi bol'she udovol'stviya. No dazhe esli vy ne trebuete ot igry nichego bol'shego, to i togda igru ne sleduet tak uslozhnyat'. Kak vy znaete, na obode kolesa ruletki naneseny tridcat' shest' chisel. Nichto ne meshaet postavit' po fishke na kazhdoe iz chisel, krome kakogo-nibud' odnogo. V etom sluchae vy imeete tridcat' pyat' shansov iz tridcati shesti na vyigrysh i na to, chto bank vyplatit vam za odnu fishku bol'she, chem te tridcat' pyat' fishek, kotorye vy, delaya stavku, vylozhili na stol. Odnako v odnom iz tridcati shesti zapuskov ruletochnogo kolesa sharik ostanovitsya na tom chisle, na kotoroe vy reshili ne stavit' svoyu fishku, i vy poteryaete vse svoi tridcat' pyat' fishek. Esli vy budete priderzhivat'sya takoj strategii v dostatochno prodolzhitel'noj igre, to krivaya vashego fluktuiruyushchego kapitala budet vyglyadet' tochno tak zhe, kak krivaya, kotoruyu vy poluchili, sleduya strategii, predlozhennoj zhurnalom. Razumeetsya, v svoih rassuzhdeniyah ya ishodil iz predpolozheniya o tom, chto bank ne predprinimaet nikakih mer, chtoby iskusstvenno ponizit' shansy igroka na vyigrysh. V dejstvitel'nosti zhe na kazhdom ruletochnom kolese, kotoroe mne prihodilos' videt', byl nul' - "zero", a inogda dazhe dva nulya, chto ponizhaet shansy igroka na vyigrysh. Takim obrazom, nezavisimo ot vybrannoj igrokom strategii ego denezhki malo-pomalu perekochevyvayut iz ego karmana v karman vladel'ca kazino. - Vy hotite skazat', - udruchenno progovoril mister Tompkins, - chto nadezhnoj besproigryshnoj strategii ne sushchestvuet i chto vyigrat' den'gi bez riska proigrat' s veroyatnost'yu chut' bol'she, chem veroyatnost' vyigrysha, prosto nevozmozhno? - Imenno eto ya hotel skazat'! - podtverdil dogadku mistera Tompkinsa professor. - Bolee togo, vyskazannye mnoj soobrazheniya otnosyatsya ne tol'ko k takim v sushchnosti pustyakovym problemam, kak azartnye igry, no i ko mnogim razlichnym fizicheskim yavleniyam, kotorye, na pervyj vzglyad, ne imeyut nikakogo otnosheniya k veroyatnostnym zakonam. Poetomu esli by vam udalos' izobresti nadezhnuyu vyigryshnuyu strategiyu dlya preodoleniya zakonov sluchaya, to dlya nee nashlos' by nemalo gorazdo bolee uvlekatel'nyh primenenij, chem igra na den'gi v kazino. Naprimer, takaya strategiya pozvolila by sozdavat' avtomashiny, sposobnye sovershat' probegi lyuboj protyazhennosti bez kapli benzina, stroit' fabriki, rabotayushchie bez uglya, i osushchestvlyat' mnozhestvo drugih ne menee fantasticheskih proektov. - YA gde-to chital o takih fantasticheskih mashinah. Kazhetsya, oni nazyvayutsya vechnymi dvigatelyami? - zametil mister Tompkins. - Esli ya pravil'no pomnyu, vechnye dvigateli po zamyslu ih sozdatelej dolzhny byli by rabotat' bez topliva. Prinyato schitat', chto oni nevozmozhny potomu, chto energiyu nevozmozhno proizvodit' iz nichego. No kak by to ni bylo, vechnye dvigateli ne imeyut nikakogo otnosheniya k azartnym igram. - Vy sovershenno pravy, molodoj chelovek, - soglasilsya professor, neskazanno dovol'nyj tem, chto ego zyat' nachinaet ponemnogu razbirat'sya v fizike. - Takie vechnye dvigateli (ih prinyato nazyvat' vechnymi dvigatelyami pervogo roda) ne mogut sushchestvovat' potomu, chto ih sushchestvovanie protivorechilo by zakonu sohraneniya energii. Odnako mashiny, rabotayushchie bez topliva, kotorye ya imeyu v vidu, sovershenno drugogo tipa i ih prinyato nazyvat' vechnymi dvigatelyami vtorogo roda. Ih proektiruyut ne dlya togo, chtoby poluchat' energiyu iz nichego, a dlya togo, chtoby izvlekat' ee iz teplovyh rezervuarov, skrytyh vokrug nas v nedrah zemli, v more i v vozduhe. Voobrazite sebe parohod, na kotorom par v kotlah poluchaetsya ne pri szhiganii uglya, a pri izvlechenii tepla iz okruzhayushchej sudno vody. V samom dele, esli by teplo mozhno bylo zastavit' tech' ot bolee holodnogo tela k bolee teplomu, a ne v obratnom napravlenii, kak obychno, to mozhno bylo by postroit' sistemu, kotoraya zakachivala by zabortnuyu morskuyu vodu, izvlekala by iz nee teplo i stalkivala za bort poluchayushchiesya iz vody glyby l'da. Pri prevrashchenii v led odnogo gallona vody, vydelyaetsya stol'ko tepla, chto ego dostatochno dlya togo, chtoby dovesti do kipeniya drugoj gallon holodnoj vody. Propuskaya s pomoshch'yu nasosov neskol'ko gallonov morskoj vody v minutu, mozhno legko poluchit' kolichestvo teploty, dostatochnoe dlya raboty dvigatelya prilichnyh razmerov. Dlya vseh prakticheskih celej vechnye dvigateli vtorogo roda nichem ne ustupali by vechnym dvigatelyam pervogo roda, prednaznachennym dlya polucheniya energii iz nichego. Esli by vechnye dvigateli vtorogo roda dejstvovali, to vse v mire mogli by sushchestvovat' stol' zhe bezzabotno, kak chelovek, obladayushchij besproigryshnoj strategiej dlya igry v ruletku. K sozhaleniyu, ni vechnye dvigateli vtorogo roda, ni besproigryshnye strategii sushchestvovat' ne mogut, ibo i te, i drugie odinakovo narushayut zakony veroyatnosti. - YA mogu dopustit', chto pytat'sya izvlekat' teplo iz morskoj vody dlya podogreva sudovyh kotlov - sumasshedshaya ideya, - skazal mister Tompkins. - Odnako ya ne usmatrivayu nikakoj svyazi mezhdu etoj problemoj i zakonami sluchaya. Razumeetsya, esli vy ne stanete predlagat' ispol'zovat' igral'nye kosti ili koleso ruletki v kachestve dvizhushchihsya chastej mashin, rabotayushchih bez topliva. No vy zhe nichego takogo, nadeyus', i ne predlagaete? - Razumeetsya, ne predlagayu! - rassmeyalsya professor. - Ne dumayu takzhe, chtoby samye sumasshedshie izobretateli vechnyh dvigatelej predlagali nechto podobnoe. Delo sovsem v inom: teplovye processy sami ochen' pohozhi po svoej prirode na igru v kosti, i nadeyat'sya na to, chto teplo potechet ot bolee holodnogo tela k bolee goryachemu, vse ravno, chto nadeyat'sya na to, chto monety iz banka kazino potekut k vam v karman. - Vy hotite etim skazat', chto bank holodnyj, a moj karman goryachij? - sprosil mister Tompkins, polnost'yu zaputavshijsya v ob座asneniyah. - V kakom-to smysle da, - soglasilsya professor. - Esli by vy ne propustili moyu lekciyu na proshloj nedele, to znali by, chto teplo predstavlyaet soboj ne chto inoe, kak bystroe besporyadochnoe dvizhenie beschislennyh chastic, izvestnyh pod nazvaniem atomov i molekul, iz kotoryh sostoyat vse material'nye tela. CHem sil'nee eto molekulyarnoe dvizhenie, tem teplee telo. Poskol'ku eto molekulyarnoe dvizhenie sovershenno besporyadochno, ono podchinyaetsya zakonam sluchaya. Netrudno pokazat', chto naibolee veroyatnoe sostoyanie sistemy, sostoyashchej iz bol'shogo chisla chastic, sootvetstvuet bolee ili menee ravnomernomu raspredeleniyu vsej imeyushchejsya energii po chasticam. Esli kakaya-to chast' material'nogo tela nagreta, t. e. esli chasticy v etoj chasti tela dvizhutsya bystree, to, prinimaya vo vnimanie ogromnoe chislo sluchajnyh stolknovenij, mozhno ozhidat', chto izbytok energii vskore ravnomerno raspredelitsya mezhdu vsemi ostal'nymi chasticami. No poskol'ku stolknoveniya mezhdu chasticami chisto sluchajnye, sushchestvuet takzhe veroyatnost' togo, chto sovershenno sluchajno znachitel'naya chast' energii okazhetsya sosredotochennoj v kakoj-to gruppe chastic v ushcherb vsem ostal'nym chasticam. Takaya spontannaya koncentraciya teplovoj energii v kakoj-to odnoj chasti tela sootvetstvovala by potoku tepla, napravlennomu protiv perepada, ili gradienta, temperatury, i v principe otnyud' ne isklyuchaetsya. No esli my popytaemsya vychislit' otnositel'nuyu veroyatnost' takoj spontannoj koncentracii tepla, to poluchim stol' maloe chislovoe znachenie, chto podobnoe yavlenie s polnym osnovaniem mozhno nazvat' prakticheski nevozmozhnym. - Teper' mne ponyatno, - obradovalsya mister Tompkins. - Vy hotite skazat', chto hotya vechnye dvigateli vtorogo roda mogut izredka rabotat', veroyatnost' takogo sobytiya stol' zhe mala, kak veroyatnost' vypadeniya semi ochkov sto raz podryad pri igre v kosti. - V dejstvitel'nosti shansy vstretit' dejstvuyushchij vechnyj dvigatel' vtorogo roda eshche men'she, - skazal professor. - Veroyatnosti vyigrysha v azartnoj igre protiv prirody stol' maly, chto trudno najti podhodyashchie slova dlya ih opisaniya. Naprimer, ya mogu podschitat' veroyatnost' togo, chto vozduh v etoj komnate samoproizvol'no soberetsya pod stolom, ostaviv povsyudu absolyutnyj vakuum. CHislo igral'nyh kostej, kotorye vy dolzhny byli by brosat' odnovremenno, ekvivalentno chislu molekul vozduha v komnate, kotoroe mne bylo by neobhodimo znat'. Naskol'ko ya pomnyu, odin kubicheskij santimetr vozduha pri atmosfernom davlenii soderzhit dvadcatiznachnoe chislo molekul, poetomu vo vsej komnate naberetsya dvadcatisemiznachnoe chislo molekul vozduha. Prostranstvo pod stolom sostavlyaet primerno okolo odnogo procenta ob容ma komnaty, i shansy lyuboj dannoj molekuly okazat'sya imenno pod stolom, a ne gde-nibud' eshche, sostavlyayut poetomu odin k sta. Sledovatel'no, vychislyaya veroyatnost' togo, chto vse molekuly okazhutsya pod stolom, ya dolzhen umnozhit' odnu sotuyu na odnu sotuyu, na odnu sotuyu i t. d. stol'ko raz, skol'ko molekul v komnate. V rezul'tate ya poluchu desyatichnuyu drob' s pyatidesyat'yu chetyr'mya nulyami posle zapyatoj. - Uf! - vzdohnul mister Tompkins. - Ne hotel by ya delat' stavku so stol' malymi shansami na vyigrysh! A ne oznachaet li eto, chto otkloneniya ot ravnoraspredeleniya molekul po prostranstvu poprostu nevozmozhny? - Vy sovershenno pravy, - soglasilsya professor. - Mozhno schitat' tverdo ustanovlennym faktom, chto smert' ot udush'ya iz-za togo, chto ves' vozduh soberetsya pod stolom, nam ne ugrozhaet i zhidkost' v bokale ne zakipit vdrug sama soboj. No esli my sosredotochim vnimanie na gorazdo men'shih oblastyah, soderzhashchih sushchestvenno men'shee chislo nashih igral'nyh kostej - molekul, to otkloneniya ot statisticheskogo raspredeleniya stanut znachitel'no bolee veroyatnymi. Naprimer, v etoj zhe samoj komnate molekuly vozduha to i delo gruppiruyutsya neskol'ko bolee plotno v odnih tochkah prostranstva, chem v drugih, obrazuya slabye neodnorodnosti, kotorye poluchili nazvanie statisticheskih fluktuacij plotnosti. Kogda solnechnyj svet prohodit cherez zemnuyu atmosferu, takie neodnorodnosti privodyat k rasseyaniyu golubyh luchej spektra i pridayut nebu znakomyj vsem goluboj cvet. Esli by ne bylo etih fluktuacij plotnosti, to nebo vsegda bylo by sovershenno chernym i zvezdy byli by otchetlivo vidny dazhe pri polnom dnevnom svete. Pri nagrevanii zhidkosti do tochki kipeniya oni slegka mutneyut, chto takzhe ob座asnyaetsya temi zhe samymi fluktuaciyami plotnosti, voznikayushchimi iz-za haotichnosti dvizheniya molekul. No v bol'shih masshtabah fluktuacii nastol'ko maloveroyatny, chto my mogli by naprasno prozhdat' ih milliardy let i tak i ne uvidet' ni odnoj fluktuacii. - Tem ne menee u nas est' shans stat' svidetelyami kakogo-nibud' neobychnogo sobytiya pryamo sejchas v etoj samoj komnate, - nastaival mister Tompkins. - Ved' tak? - Razumeetsya, takoj shans vsegda est', i bylo by nerazumno utverzhdat', budto polovina soderzhimogo supnicy ne mozhet vyplesnut'sya na skatert' potomu, chto polovina vseh molekul vnezapno priobrela teplovye skorosti v odnom i tom zhe napravlenii. - Imenno takoe sobytie proizoshlo lish' vchera, - vmeshalas' v razgovor Mod, zakonchivshaya prosmatrivat' svoj zhurnal i s interesom slushavshaya besedu professora i mistera Tompkinsa. - Sup prolilsya pryamo na skatert', hotya gornichnaya utverzhdala, chto ne pritragivalas' k stolu. Professor tiho rassmeyalsya. - V etom konkretnom sluchae, - zametil on, - ya sklonen vinit' v sluchivshemsya vse zhe gornichnuyu, a ne demona Maksvella. - Demona Maksvella? - povtoril mister Tompkins v velichajshem izumlenii. - A ya-to dumal, chto uchenye menee vsego pomyshlyayut o vsyakih tam demonah i prochej chertovshchine. - Po pravde govorya, my vosprinimaem ego ne slishkom ser'ezno, - poyasnil professor. - Znamenityj fizik Dzhejms Klerk Maksvell vvel predstavlenie o takom statisticheskom demone dlya bol'shej naglyadnosti. Demon ponadobilsya Maksvellu pri rassmotrenii nekotoryh yavlenij, svyazannyh s teplotoj. Demon Maksvella - sushchestvo ves'ma provornoe i uspevaet izmenyat' napravlenie dvizheniya kazhdoj molekuly v otdel'nosti lyubym obrazom, kakim vy tol'ko pozhelaete. Esli by takoj demon sushchestvoval v dejstvitel'nosti, to teplo mozhno bylo by zastavit' tech' protiv gradienta temperatury i za fundamental'nyj zakon termodinamiki, izvestnyj pod nazvaniem _principa vozrastaniya entropii_, nikto by ne dal i lomanogo grosha. - |ntropii? - peresprosil mister Tompkins. - Mne prihodilos' slyshat' eto slovo i prezhde. Odin iz moih kolleg odnazhdy priglasil gostej, i posle neskol'kih tostov prisutstvovavshie sredi priglashennyh studenty-himiki speli na motiv "Ah, moj milyj Avgustin" kuplety, kotorye nachinalis' tak: "Vozrastaet, ubyvaet, Ubyvaet, vozrastaet - Himiki togo ne znayut. |ntropiya vozrastaet?" Kstati, a chto takoe entropiya? - Ponyat' eto sovsem netrudno. |ntropiya - eto prosto termin, ispol'zuemyj dlya opisaniya stepeni besporyadochnosti dvizheniya molekul v lyubom fizicheskom tele ili v sisteme tel. Mnogochislennye sluchajnye stolknoveniya mezhdu molekulami vsegda sposobstvuyut uvelicheniyu entropii, tak kak polnyj haos yavlyaetsya naibolee veroyatnym sostoyaniem lyubogo statisticheskogo ansamblya. No esli by za rabotu prinyalsya demon Maksvella, to on dovol'no skoro smog by navesti koe-kakoj poryadok v dvizhenii molekul tak zhe, kak horoshaya storozhevaya sobaka ne daet razbezhat'sya i paset stado ovec, i togda entropiya sistemy poshla by na ubyl'. Dolzhen skazat' vam takzhe, chto soglasno tak nazyvaemoj N-teoreme, kotoroj my obyazany Lyudvigu Bol'cmanu... YAvno zabyv o tom, chto on razgovarivaet s chelovekom, kotoryj prakticheski nichego ne ponimaet v fizike, a ne chitaet lekciyu studentam-starshekursnikam, professor s uvlecheniem prodolzhal svoj monolog i bez malejshih kolebanij pribegal dazhe k takim malovrazumitel'nym dlya neposvyashchennyh terminam, kak "obobshchennye parametry" i "kvaziergodicheskie sistemy". Emu kazalos', chto v takom izlozhenii fundamental'nye zakony termodinamiki i ih svyaz' so statisticheskoj mehanikoj Gibbsa stanovyatsya kristal'no yasnymi. Mister Tompkins uzhe uspel privyknut' k tomu, chto ego test' iz座asnyaetsya na neskol'ko nedostupnom dlya nego urovne, i poetomu s filosofskim spokojstviem potyagival viski s sodovoj, pytayas' pridat' licu umnoe vyrazhenie. No ves' blesk i krasota statisticheskoj fiziki yavno uskol'zali ot Mod, uyutno svernuvshejsya kalachikom v svoem kresle i s geroicheskimi usiliyami borovshayasya s dremotoj. Daby okonchatel'no razveyat' sonlivost', ona reshila vstat' i pojti posmotret', kak idut prigotovleniya k obedu. - Madam chto-nibud' zhelaet? - s poklonom sprosil ee vysokij tshchatel'no odetyj dvoreckij, edva Mod poyavilas' na poroge stolovoj. - Blagodaryu vas, nichego. Prosto reshila posmotret', kak idut prigotovleniya k obedu, - otvetila ona, lihoradochno pytayas' ponyat', otkuda on vzyalsya. Poyavlenie metrdotelya bylo ochen' strannym, poskol'ku prislugi Tompkinsy ne derzhali, dvoreckogo u nih nikogda ne bylo, oni i podumat' ne mogli o takoj roskoshi. Dvoreckij byl hudoshchav, stroen, so smugloj olivkovoj kozhej, dlinnym kryuchkovatym nosom i zelenovatymi glazami, v kotoryh tlel strannyj ogonek. Murashki probezhali u Mod po spine, kogda na lbu u dvoreckogo ona zametila dva simmetrichnyh vystupa, tshchatel'no prikrytyh chernymi, kak smol', volosami. - Libo ya splyu, libo predo mnoj Mefistofel' sobstvennoj personoj pryamo s opernyh podmostkov, - podumala ona. - Vas nanyal moj muzh? - sprosila Mod lish' dlya togo, chtoby chto-nibud' skazat'. - Ne sovsem, - otvetil neobychnyj dvoreckij, zavershaya velikolepnuyu servirovku stola. - Esli byt' tochnym, ya yavilsya syuda po sobstvennomu zhelaniyu, daby pokazat' vashemu batyushke, izvestnomu svoimi poznaniyami, chto ya ne mif, kak on dumaet. Pozvol'te predstavit'sya: ya demon Maksvella. - O! - vymolvila Mod s oblegcheniem. - Togda vy, dolzhno byt', ne zlokoznenny, kak drugie demony, i ne imeete namerenij prichinyat' vred komu-nibud'. - Razumeetsya, - uspokoil ee s shirokoj ulybkoj demon, - no ya lyublyu razygryvat' s lyud'mi shutki i hochu podshutit' nad vashim uchenym batyushkoj. - A chto vy namerevaetes' sdelat'? - s trevogoj sprosila Mod, kotoraya nikak ne mogla otdelat'sya ot muchivshih ee podozrenij.
- Prosto prodemonstrirovat' emu, chto esli ya zahochu, to mogu narushit' princip vozrastaniya entropii. A chtoby i vy mogli ubedit'sya v etom, ya byl by ochen' priznatelen vam, esli by vy sostavili mne kompaniyu. Smeyu uverit' vas, chto vam ne ugrozhaet nikakaya opasnost'. Pri etih slovah Mod pochuvstvovala, kak demon krepko vzyal ee pod ruku i vse predmety vokrug slovno soshli s uma. Stol, stul'ya i vsya prochaya obstanovka stolovoj vdrug nachali s chudovishchnoj skorost'yu uvelichivat'sya, i na ee glazah spinka kresla, vyrosshaya do gigantskih razmerov, zakryla gorizont. Kogda vse vokrug postepenno uspokoilos', Mod obnaruzhila, chto plavaet v vozduhe, podderzhivaemaya svoim neobychnym sputnikom. Kakie-to tumannye shary razmerom s tennisnyj myach so svistom pronosilis' mimo po vsem napravleniyam. Demon Maksvella predusmotritel'no predotvrashchal ih ot stolknoveniya so vsemi malo-mal'ski opasnymi predmetami. Vzglyanuv vniz, Mod uvidela nechto vrode rybackoj lodki, do samyh uklyuchin gruzhenoj trepyhayushchejsya, bleshchushchej serebrom ryboj. Prismotrevshis' povnimatel'nee, Mod uvidela, chto eto byli ne ryby, a mnozhestvo tumannyh sharov, vrode teh, chto to i delo proletali mimo, so svistom rassekaya vozduh. Demon, po-prezhnemu krepko derzha ee pod ruku, vlek ee za soboj do teh por, poka oni ne ochutilis' v more kakoj-to zernistoj zhidkosti, besformennoj i v to zhe vremya podvizhnoj. SHary pryamo-taki kipeli u samoj poverhnosti morya, a nekotoryh zhidkost' zasasyvala, i oni skryvalis' v puchine. Vremya ot vremeni nekotorye shary vsplyvali k samoj poverhnosti s takoj skorost'yu, chto otryvalis' ot poverhnosti morya i vzmyvali v prostranstvo. Drugie shary priletali otkuda-to iz prostranstva, vrezalis' v zhidkost' i ischezali pod tysyachami drugih sharov. Vglyadevshis' v prostiravsheesya vokrug more, Mod uvidela, chto tumannye shary v dejstvitel'nosti byli dvuh razlichnyh sortov. Bol'shinstvo sharov napominalo po vneshnemu vidu tennisnye myachi, odnako vstrechalis' i shary pokrupnee. Oni byli bolee prodolgovatymi i po forme napominali myachi dlya amerikanskogo futbola. Vse shary byli poluprozrachnymi i imeli slozhnuyu vnutrennyuyu, strukturu, kotoruyu Mod nikak ne udavalos' razglyadet'. - Gde my? - proiznesla Mod, zadyhayas'. - Neuzheli tak vyglyadit ad? - Net, - ulybnulsya v otvet demon. - Vse gorazdo bolee prozaichno. Prosto my s vami vidim pod ochen' bol'shim uvelicheniem krohotnyj uchastok poverhnosti zhidkosti v bokale, s pomoshch'yu kotorogo vash muzh dovol'no uspeshno pytaetsya ne usnut', poka vash batyushka razglagol'stvuet o kvaziergodicheskih sistemah. Vse eti shary - molekuly. Te, chto pomen'she, - molekuly vody, te, chto pobol'she, - molekuly spirta. Podschitav, esli ugodno, proporciyu mezhdu temi i drugimi, vy smozhete opredelit' krepost' napitka, kotoryj smeshal sebe vash muzh. - _Ochen'_ interesno! - zametila Mod kak mozhno bolee strogim golosom. - A chto eto za shtukoviny plavayut tam vdali? Oni napominayut paru rezvyashchihsya kitov. Mozhet byt', eto kakie-nibud' atomnye kity? Demon vzglyanul v tom napravlenii, kuda ukazyvala Mod.
- Net, eto ne kity, - zametil on. - |to krohotnye kusochki podgorevshego yachmenya - togo samogo ingredienta, kotoryj pridaet viski osobyj vkus i cvet. Kazhdyj takoj kusochek sostoit iz millionov i millionov slozhnyh organicheskih molekul, imeet sravnitel'no bol'shie razmery i dovol'no tyazhel. To, chto oni prygayut na poverhnosti zhidkosti, ob座asnyaetsya dejstviem teh udarov, kotorye oni poluchayut ot molekul vody i spirta, sovershayushchih teplovoe dvizhenie. Imenno izuchenie takih chastic srednih razmerov, dostatochno malyh dlya togo, chtoby oshchushchat' dvizhenie molekul, i vmeste s tem dostatochno bol'shih dlya togo, chtoby ih mozhno bylo nablyudat' v sil'nyj mikroskop, dalo uchenym pervoe pryamoe dokazatel'stvo pravil'nosti osnovnyh polozhenij kineticheskoj teorii gazov. Izmeryaya intensivnost' tarantelly, ispolnyaemoj krohotnymi chasticami, vzveshennymi v zhidkosti, - ih brounovskogo dvizheniya, kak obychno prinyato nazyvat' besporyadochnoe dvizhenie takih chastic, fiziki nauchilis' izvlekat' neposredstvennuyu informaciyu ob energii dvizheniya molekul. Demon snova povlek za soboj Mod. Oni neslis' po vozduhu do teh por, poka pered nimi ne voznikla gigantskaya stena, slozhennaya iz beschislennyh molekul vody. Molekuly byli podognany drug k drugu tochno i plotno, kak kirpichi. - Kakoe porazitel'noe zrelishche! - vskrichala Mod. - Kakoj prekrasnyj fon dlya portreta, kotoryj ya sejchas risuyu! Kstati, a chto eto za zdanie? - Pered vami fragment kristalla l'da, odin iz mnogih kristallikov, obrazuyushchih kubik l'da v stakane vashego muzha, - skazal demon. - A teper', proshu proshcheniya, samoe vremya nachat' pridumannyj mnoj rozygrysh i podshutit' nad starym samouverennym professorom. S etimi slovami demon ostavil Mod na rebre kristalla l'da, napodobie al'pinista, vzgromozdivshegosya na gornyj hrebet, i pristupil k rabote. Vooruzhivshis' instrumentom napodobie tennisnoj raketki, demon prinyalsya otbivat' proletavshie mimo molekuly. Bystro peremeshchayas' s mesta na mesto, on pospeval vovremya, chtoby otbit' upryamuyu molekulu, uporno prodolzhavshuyu dvigat'sya v nepravil'nom napravlenii. Nesmotrya na opasnost' svoego polozheniya Mod ne mogla ne voshishchat'sya provorstvom i lovkost'yu demona i dazhe podbadrivala ego vozglasami, kogda emu udavalos' otbit' osobenno bystruyu i trudnuyu molekulu. Po sravneniyu s tem, chto vytvoryal demon, samye znamenitye chempiony po tennisu vyglyadeli zhalkimi, beznadezhno neuklyuzhimi uval'nyami. Ne proshlo i neskol'kih minut, kak rezul'taty raboty Demona stali zametny. Teper', hotya chast' poverhnosti zhidkosti byla pokryta ochen' medlenno dvizhushchimisya spokojnymi molekulami, drugaya chast' poverhnosti, raspolozhennaya pryamo u Mod pod nogami, kishela molekulami, yarostno snovavshimi po vsem napravleniyam. CHislo molekul, pokidavshih poverhnost' v processe ispareniya. bystro narastalo. Molekuly pokidali zhidkost' bol'shimi gruppami po tysyache molekul i bolee, proryvayas' skvoz' poverhnost' zhidkosti v vide bol'shih puzyrej. Vskore oblako para skrylo ot Mod vse i lish' vremya ot vremeni ona mogla razlichit' razyashchie vzmahi raketki i faldy fraka, v kotoryj byl oblachen demon, sredi besnuyushchihsya molekul. Nakonec, molekuly na tom fragmente l'da, na kotorom ona vossedala, poddalis', i Mod stala padat' skvoz' tyazhelye oblaka para, rasstilavshiesya pod nej...
Kogda oblaka rasseyalis', Mod obnaruzhila, chto sidit v tom samom kresle, v kotorom sidela pered tem, kak vyjti v stolovuyu. - Svyataya entropiya! - voskliknul vdrug otec Mod, glyadya na vysokij bokal, stoyavshij pered misterom Tompkinsom. - Da ved' zhidkost' kipit! Dejstvitel'no, zhidkost' v bokale pokrylas' lopayushchimisya puzyryami, i k potolku nad bokalom medlenno podnimalas' tonkoe oblachko para. Bylo stranno, odnako, chto napitok v stakane kipel lish' na sravnitel'no malom uchastke vokrug kubika l'da. Ves' ostal'noj napitok byl sovershenno holodnym. - Net, vy tol'ko podumajte! - prodolzhal professor sevshim ot volneniya drozhashchim golosom. - YA rasskazyvayu vam o statisticheskih fluktuaciyah v vozrastanii entropii, i, pozhalujsta, takaya fluktuaciya pered nami! V rezul'tate neveroyatnogo stecheniya obstoyatel'stv vpervye s sotvoreniya Zemli bolee bystrye molekuly sluchajno sobralis' na odnom uchastke poverhnosti zhidkosti, i zhidkost' sama soboj zakipela! V blizhajshie milliardy let my s vami ostanemsya edinstvennymi lyud'mi, kotorym poschastlivilos' videt' eto neobychajnoe yavlenie. Professor ne otryval glaz ot napitka, kotoryj teper' medlenno ostyval. - Kakaya udacha! - vzdohnul on s schastlivoj ulybkoj. - Kakoe neobyknovennoe vezenie! Mod ulybnulas', no nichego ne skazala. Zachem ej bylo sporit' s otcom, esli na etot raz ona tochno znala, chto istinnaya prichina yavleniya byla izvestna ej luchshe, chem emu. Glava 10 Veseloe plemya elektronov CHerez neskol'ko dnej, zakanchivaya obed, mister Tompkins vspomnil, chto vecherom dolzhna sostoyat'sya lekciya professora o stroenii atoma, kotoruyu on obeshchal posetit'. No malovrazumitel'nymi ob座asneniyami svoego testya mister Tompkins byl syt po gorlo, i poetomu reshil propustit' lekciyu i skorotat' vecherok doma. No kogda on ustraivalsya poudobnee v svoem kresle, mechtaya pochitat' interesnuyu knigu, Mod otrezala etot put' k otstupleniyu: vzglyanuv na chasy, ona zayavila myagko, no tonom, ne dopuskayushchim vozrazhenij, chto misteru Tompkinsu pora otpravlyat'sya na lekciyu. I cherez kakih-nibud' polchasa mister Tompkins sidel na zhestkoj derevyannoj skam'e vmeste s tolpoj gorazdo bolee molodyh studentov. - Ledi i dzhentl'meny, - nachal professor, strogo glyadya na slushatelej poverh ochkov, - na proshloj lekcii ya obeshchal vam podrobnee rasskazat' o vnutrennem stroenii atoma i ob座asnit', kakim obrazom te ili inye konkretnye osobennosti ego stroeniya obuslavlivayut razlichnye fizicheskie i himicheskie svojstva atoma. Vy, konechno, znaete, chto atomy ne rassmatrivayutsya bolee kak elementarnye nedelimye sostavnye chasti materii i chto eta rol' nyne pereshla k gorazdo men'shim chasticam - elektronam, protonam i t. d. Predstavlenie ob elementarnyh sostavlyayushchih materii kak o poslednej stupeni v delimosti material'nyh tel voshodit k drevnegrecheskomu filosofu Demokritu, zhivshemu v IV veke do n. e. Razmyshlyaya o skrytoj prirode veshchej, Demokrit prishel k probleme stroeniya materii i stolknulsya s voprosom o tom, mozhet ili ne mozhet sushchestvovat' beskonechno malaya porciya materii. Poskol'ku v tu dalekuyu epohu lyubuyu problemu imeli obyknovenie reshat' lish' odnim-edinstvennym sposobom - s pomoshch'yu chistogo myshleniya i k tomu zhe vopros v to vremya nahodilsya daleko za ramkami vozmozhnostej resheniya ego eksperimental'nymi metodami, Demokrit v poiskah pravil'nogo otveta opustilsya v glubiny sobstvennogo razuma. Ishodya iz nekotoryh dovol'no smutnyh filosofskih soobrazhenij, on v konce koncov prishel k vyvodu o tom, chto "nemyslimo", chtoby materiya bezgranichno delilas' na vse bolee i bolee melkie porcii, i chto poetomu neobhodimo prinyat' predpolozhenie o sushchestvovanii "naimen'shih chastic, kotorye ne dopuskayut dal'nejshego deleniya". Takie chasticy Demokrit nazval atomami, chto, kak vy, vozmozhno, znaete, oznachaet po-grecheski "nedelimye". YA otnyud' ne hochu priumen'shat' velichie vklada Demokrita v razvitie estestvennyh nauk, odnako spravedlivosti radi hotel by obratit' vashe vnimanie na to, chto naryadu s Demokritom i ego posledovatelyami v drevnegrecheskoj filosofii sushchestvovala i drugaya shkola, priverzhency kotoroj schitali, chto process deleniya _neogranichenno prodolzhaem_. Poetomu nezavisimo ot togo, kakoj otvet na etot vopros dast v budushchem tochnoe estestvoznanie, drevnegrecheskoj filosofii obespecheno pochetnoe mesto v istorii fiziki. Vo vremena Demokrita i dazhe mnogo stoletij spustya sushchestvovanie takih nedelimyh porcij materii rassmatrivalos' kak chisto filosofskaya gipoteza, i tol'ko v XIX veke uchenye reshili, chto im, nakonec, udalos' obnaruzhit' te nedelimye kirpichiki materii, sushchestvovanie kotoryh bylo predskazano drevnegrecheskimi filosofami za dve tysyachi let do razygravshihsya sobytij. V 1808 g. anglijskij himik Dzhon Dal'ton ustanovil tak nazyvaemyj zakon kratnyh otnoshenij. On pokazal, chto... Pochti s samogo nachala lekcii mistera Tompkinsa neuderzhimo klonilo v son. Emu ochen' hotelos' somknut' glaza i, prebyvaya v priyatnoj dremote, dosidet' do konca lekcii, no meshala lish' surovaya zhestkost' universitetskoj skam'i. No otkrytyj Dal'tonom zakon kratnyh otnoshenij okazalsya poslednej solominkoj, perelomivshej spinu verblyudu, i v pritihshej auditorii vskore mozhno bylo otchetlivo razlichit' tonkoe posvistyvanie, donosivsheesya iz ugla, gde sidel mister Tompkins.
Kogda mister Tompkins ochnulsya ot sna, neudobstvo sideniya na zhestkoj skam'e smenilos' priyatnym oshchushcheniem pareniya v vozduhe. Otkryv glaza, mister Tompkins s udivleniem obnaruzhil, chto mchitsya v prostranstve s legkomyslenno, kak emu pokazalos', bol'shoj skorost'yu. Oglyanuvshis' po storonam, mister Tompkins uvidel, chto on ne odinok v svoem fantasticheskom puteshestvii. Nepodaleku ot nego neskol'ko rasplyvchatyh smutnyh sushchestv obrashchalis' vokrug bol'shogo tyazhelogo na vid ob容kta v centre horovoda. |to strannye prizrachnye sushchestva mchalis' parami, veselo gonyayas' drug za drugom po krugovym i ellipticheskim traektoriyam. Vnezapno mister Tompkins pochuvstvoval sebya ochen' odinokim, osoznav, chto lish' u nego odnogo net partnera. - Pochemu ya ne vzyal s soboj Mod? - tosklivo podumal mister Tompkins. - My by chudesno proveli vremya v etom horovode. Traektoriya, po kotoroj dvigalsya mister Tompkins, prolegala v storone ot traektorij ostal'nyh sushchestv, ohvatyvaya ih snaruzhi, i hotya misteru Tompksinsu ochen' hotelos' prisoedinit'sya k ostal'noj kompanii, nepriyatnoe chuvstvo postoronnego uderzhivalo i meshalo emu sdelat' shag navstrechu veselym puteshestvennikam. Odnako kogda odnomu iz elektronov (k tomu vremeni mister Tompkins okonchatel'no ponyal, chto nepostizhimym i chudesnym obrazom prisoedinilsya k soobshchestvu elektronov, naselyavshih kakoj-to atom) sluchilos' proletet' nepodaleku ot nego po sil'no vytyanutoj orbite, mister Tompkins reshil pozhalovat'sya na svoi neudachi. - Pochemu u menya net partnera dlya igr i zabav? - prokrichal on vsled elektronu. - Potomu, chto eto nechetnyj atom, a vy valentnyj elektro-o-n, - doneslos' v otvet. S etimi slovami elektron povernul i ustremilsya v tolpu plyashushchih elektronov. - Valentnye elektrony zhivut v odinochku ili nahodyat sebe kompan'onov v drugih atomah, - propishchal vysokim fal'cetom drugoj elektron, pronosyas' mimo mistera Tompkinsa. "Esli nuzhen kompan'on, Znajte: v hlore zhdet vas on", - nasmeshlivo propel tretij. - Vizhu, vy zdes' novichok, syn moj, i ochen' odinoki, - razdalsya nad misterom Tompkinsom druzheskij golos, i, vozvedya glaza gore, nash geroj uvidel plotnuyu figuru monaha v korichnevoj sutane. - YA otec Paulini, - prodolzhal monah, dvigayas' po traektorii vmeste s misterom Tompkinsom, - i moya missiya v etoj zhizni sostoit v tom, chtoby nablyudat' za moral'yu i social'nym povedeniem elektronov v atomah i povsyudu. Moj dolg - sledit' za tem, chtoby vse eti bezzabotnye i igrivye elektrony byli nadlezhashchim obrazom raspredeleny po razlichnym kvantovym kel'yam etogo prekrasnogo atomnogo stroeniya, vozdvignutogo nashim velikim arhitektorom Nil'som Borom. Daby podderzhivat' poryadok i sohranyat' svojstva, ya nikogda ne razreshayu nahodit'sya na odnoj i toj zhe traektorii bolee chem dvum elektronam. Stoit im sobrat'sya vtroem, kak hlopot ne oberesh'sya. Poetomu elektrony vsegda sgruppirovany v pary s protivopolozhnym "spinom", i esli takaya para poselyaetsya v kel'e, to tret'emu elektronu ne razreshaetsya narushat' ih pokoj. |to horoshee pravilo, i ya mogu dobavit', chto do sih por ni odin elektron ne narushil vvedenogo mnoj rasporyadka.
- Mozhet byt', eto _ochen'_ horoshee pravilo, - vozrazil mister Tompkins, - no v dannyj moment ya terplyu iz-za nego bol'shie neudobstva. - Vizhu, syn moj, - ulybnulsya monah, - no vam prosto ne povezlo. Ugorazdilo zhe vas stat' valentnym elektronom v atome s nechetnym atomnym nomerom. Atom natriya, kotoromu vy prinadlezhite, obyazan imet' iz-za elektricheskogo zaryada svoego yadra (toj bol'shoj temnoj massy, kotoruyu vy vidite v centre) odinnadcat' elektronov. K velichajshemu sozhaleniyu dlya vas, odinnadcat' - chislo nechetnoe, chto samo po sebe ne takaya uzh redkost', esli prinyat' vo vnimanie, chto rovno polovina vseh celyh chisel nechetna i tol'ko drugaya polovina chetna. Tak chto vam pridetsya kak poyavivshemusya poslednim po krajnej mere kakoe-to vremya pobyt' odnomu. - Vy hotite skazat', chto pozdnee u menya, vozmozhno, poyavitsya shans obzavestis' partnerom? - s nadezhdoj sprosil mister Tompkins. - Naprimer, vybit' s orbity kogo-nibud' iz elektronov-pervoposelencev? - |to delaetsya ne tak, - vozrazil monah, grozya misteru Tomgasinsu korotkim tolstym pal'cem, - no vsegda est' shans, chto kakoj-nibud' iz elektronov, obrashchayushchihsya po vnutrennim orbitam, budet vybroshen vneshnim vozmushcheniem i ostavit posle sebya ne zanyatoe mesto, ili vakansiyu. No na vashem meste ya ne stal by na eto osobenno rasschityvat'. - |lektrony skazali mne, chto bylo by luchshe, esli by ya pronik v atom hlora, - skazal mister Tompkins, neskol'ko obeskurazhennyj slovami otca Paulini. - Mozhete li vy posovetovat' mne, kak eto luchshe sdelat'? - Molodoj chelovek, molodoj chelovek! - s sozhaleniem pokachal golovoj monah. - Nu chto vam tak ne terpitsya najti kompan'ona? Pochemu vy ne mozhete po dostoinstvu ocenit' prelest' odinochestva i nasladit'sya etoj nisposlannoj nebom vozmozhnost'yu sozercat' s mirom sobstvennuyu dushu? Pochemu chetnye elektrony tak sil'no l'nut k mirskoj zhizni? No esli vy nastaivaete na priobretenii kompan'ona, ya pomogu vam osushchestvit' vashe zhelanie. Vzglyanuv v tom napravlenii, kuda ya ukazyvayu, vy uvidite priblizhayushchijsya k nam atom hlora, i dazhe so stol' bol'shogo rasstoyaniya vy mozhete legko razlichit' svobodnoe mesto, gde vas, nesomnenno, ozhidaet samyj teplyj priem. |to svobodnoe mesto nahoditsya vo vneshnej gruppe elektronov, tak nazyvaemoj M-obolochke, kotoraya sostoit iz vos'mi elektronov, razbityh na chetyre pary. No, kak vy vidite, chetyre elektrona vrashchayutsya vokrug svoih osej v odnom napravlenii i tol'ko tri - v drugom, poetomu odno mesto ostaetsya vakantnym. Vnutrennie obolochki, nazyvaemye K- i Z-obolochkami, polnost'yu zapolneny, i atom budet rad zapoluchit' vas i zapolnit' svoyu vneshnyuyu obolochku. Kak tol'ko dva atoma sblizyatsya, vy dolzhny prosto pereprygnut' s odnogo atoma na drugoj, kak eto obychno delayut valentnye elektrony. Da budet mir s vami, syn moj! S etimi slovami vnushitel'naya figura elektronnogo pastyrya vnezapno rastvorilas' v razrezhennom vozduhe. Obodrennyj mister Tompkins sobralsya s silami i sovershil golovolomnyj pryzhok na orbitu proletavshego mimo atoma hlora. K svoemu udivleniyu, on prizemlilsya na atome hlora ne bez izyashchestva i srazu zhe okazalsya v druzheskom okruzhenii elektronov M-obolochki atoma hlora. - Dobro pozhalovat'! Rady, chto vy prisoedinilis' k nam! - obratilsya k nemu novyj partner s protivopolozhnym spinom, izyashchno skol'zya vdol' orbity. - Teper' nikto ne mozhet skazat', chto nashe soobshchestvo nepolno. Teper' my mozhem velikolepno poveselit'sya vse vmeste! Mister Tompkins ne mog ne soglasit'sya, chto bylo dejstvitel'no veselo (vesel'e bilo cherez kraj!), no tut emu v golovu zakralas' odna bespokojnaya mysl'. - A kak ya ob座asnyu vse eto Mod, kogda snova uvizhu ee? Vprochem, chuvstvo viny u mistera Tompkinsa vskore rasseyalos'. - Mod vryad li stala by vozrazhat', - reshil on, - ved' v konce koncov eto lish' elektrony. - Pochemu pokinutyj vami atom ne uletaet proch'? - sprosil u mistera Tompkinsa s nedovol'noj grimasoj ego kompan'on. - On vse eshche nadeetsya na vashe vozvrashchenie? Dejstvitel'no, poteryav svoj valentnyj elektron, atom natriya _nakrepko_ prilepilsya k atomu hlora, kak by v nadezhde, chto mister Tompkins peredumaet i snova vernetsya na svoyu orbitu, po kotoroj on mchalsya v polnom odinochestve. - Net, kak vam eto nravitsya! - serdito probormotal mister Tompkins, hmuro glyadya na atom, kotoryj ponachalu prinyal ego tak holodno. - Ne atom, a kakaya-to sobaka na sene! - O, oni vsegda vedut sebya tak, eti atomy s nechetnymi nomerami, - zametil bolee opytnyj chlen M-obolochki. - Naskol'ko ya ponimayu, vashego vozvrashcheniya zhazhdet ne stol'ko soobshchestvo elektronov atoma natriya, skol'ko samo yadro etogo atoma. Mezhdu central'nym yadrom i ego elektronnym eskortom vsegda sushchestvuyut nekotorye raznoglasiya. YAdro hochet imet' vokrug sebya stol'ko elektronov, skol'ko ono mozhet uderzhat' svoim elektricheskim zaryadom, v to vremya kak sami elektrony predpochitayut byt' v takom kolichestve, kotoroe pozvolyaet im do konca zapolnyat' obolochki. Sushchestvuet lish' neskol'ko vidov atomov, tak nazyvaemye _redkie gazy_, ili, kak nazyvayut ih nemeckie fiziki, _blagorodnye gazy_, v kotoryh zhazhda vlasti so storony atomnogo yadra i stremleniya poddannyh-elektronov nahodyatsya v polnoj garmonii. Naprimer, takie atomy, kak gelij, neon i argon ochen' dovol'ny caryashchim v nih soglasiem mezhdu yadrom i elektronami i nikogda ne izgonyayut svoih elektronov i ne priglashayut novyh. Oni himicheski inertny i derzhatsya v storone ot vseh ostal'nyh atomov. No vo vseh ostal'nyh atomah elektronnye soobshchestva vsegda gotovy obmenyat'sya svoimi chlenami. V atome natriya, vashem prezhnem obitalishche, svita yadra naschityvaet na odin elektron bol'she, chem neobhodimo dlya garmonii v obolochkah. S drugoj storony, v nashem atome normal'naya chislennost' elektronnogo naseleniya nedostatochna dlya polnoj garmonii, poetomu my ochen' rady vashemu pribytiyu, nesmotrya na to, chto vashe prisutstvie peregruzhaet nashe yadro. No pokuda vy ostaetes' s nami, nash atom perestaet byt' nejtral'nym i poluchaet dopolnitel'nyj elektricheskij zaryad. Poetomu atom natriya, kotoryj vy pokinuli, prilip k nashemu atomu, uderzhivaemyj siloj elektricheskogo prityazheniya. Odnazhdy mne dovelos' slyshat' nashego pervosvyashchennika otca Paulini, i on skazal, chto atomnye soobshchestva s lishnimi ili nedostayushchimi elektronami nazyvayutsya sootvetstvenno otricatel'nymi i polozhitel'nymi _ionami_. Otec Paulini ispol'zoval takzhe termin molekula dlya oboznacheniya grupp iz dvuh ili bolee atomov, uderzhivaemyh vmeste elektricheskoj siloj. V chastnosti, kombinaciyu iz odnogo atoma natriya i odnogo atoma hlora otec Paulini nazval molekuloj _povarennoj soli_, hotya ya reshitel'no ne ponimayu, chto by eto moglo oznachat'. - Vy hotite skazat', budto ne znaete, chto takoe povarennaya sol'? - udivlenno sprosil mister Tompkins, zabyv o tom, s kem on razgovarivaet. - |to tot samyj belyj poroshok, kotorym vy za zavtrakom posypaete yajco vsmyatku. - A chto takoe yajco vsmyatku i chto takoe zavtrak? - s interesom sprosil elektron. Mister Tompkins probormotal chto-to nevnyatnoe i tut tol'ko so vsej yasnost'yu ponyal vsyu tshchetnost' lyubyh popytok ob座asnit' svoim kompan'onam dazhe samye nezamyslovatye detali povsednevnoj zhizni lyudej. - Pochemu-to mne ne udaetsya pocherpnut' dlya sebya nichego novogo iz vseh etih razgovorov o valentnosti i zapolnennyh obolochkah, - skazal sebe mister Tompkins, reshiv naslazhdat'sya svoim vizitom v fantasticheskij mir atoma i ne zabivat' sebe golovu neponyatnymi voprosami. No otdelat'sya ot razgovorchivogo elektrona bylo ne tak-to legko. Sobesednik mistera Tomtpsinsa yavno gorel zhelaniem peredat' svoemu partneru vse poznaniya, nakoplennye za dolguyu elektronnuyu zhizn'. - Ne sleduet dumat', - prodolzhal elektron, - chto svyazyvanie atomov v molekuly vsegda osushchestvlyaetsya tol'ko odnim valentnym elektronom. Sushchestvuyut atomy, naprimer, atomy kisloroda, kotorym dlya dostraivaniya ih obolochek neobhodimo dva elektrona, a drugim atomam dlya zapolneniya obolochek nedostaet tri i dazhe bolee elektronov. S drugoj storony, v nekotoryh atomah yadro uderzhivaet dva ili bolee lishnih, ili valentnyh, elektronov. Pri stolknovenii takih atomov, mnogie elektrony pereprygivayut s odnogo atoma na drugoj, i v rezul'tate obrazuyutsya ves'ma slozhnye molekuly, sostoyashchie iz tysyach atomov. Sushchestvuyut takzhe tak nazyvaemye gomopolyarnye molekuly, t. e. molekuly, sostoyashchie iz dvuh odinakovyh atomov, no eto ochen' nepriyatnaya situaciya. - Nepriyatnaya, no pochemu? - sprosil mister Tompkins, u kotorogo vnov' probudilsya interes k teme besedy. - Slishkom trudno uderzhivat' ih vmeste, - poyasnil elektron. - Kak-to raz mne prishlos' zanimat'sya etim neblagodarnym delom, i poka ya nahodilsya v gomopolyarnoj molekule, u menya ne bylo ni sekundy pokoya. Sovsem drugoe delo v takom atome, kak nash, kogda valentnyj elektron pereprygnul sebe i prochno privyazal pokinutyj im atom k drugomu atomu, ispytyvavshemu elektricheskij golod. CHtoby uderzhivat' vmeste dva odinakovyh atoma, neschastnomu elektronu prihoditsya prygat' tuda i obratno, s odnogo atoma na drugoj i nazad, snova na pervyj atom. CHestnoe slovo! CHuvstvuesh' sebya, kak pint-pongovyj sharik. Mister Tompkins nemalo udivilsya, uslyshav ot elektrona, ne znavshego, chto takoe yajco vsmyatku, stol' neprinuzhdennoe upominanie o ping-pongovom sharike, no ne stal zadavat' voprosov. - Ni za chto na svete ya ne soglasilsya by na takuyu rabotu opyat'! - provorchal lenivyj elektron, podavlyaya v sebe volnu nepriyatnyh vospominanij. - Zdes' zhe mne vpolne udobno i pokojno. - Minutku! - voskliknul on vnezapno. - Kazhetsya, ya vizhu mestechko poudobnee. Po-ka-a! I gigantskim pryzhkom elektron otpravilsya kuda-to v glub' atoma. Brosiv vzglyad v tom napravlenii, v kotorom ischez ego sobesednik, mister Tompkins ponyal, chto proizoshlo. Odin iz nahodivshihsya na vnutrennej obolochke elektronov byl vyrvan iz atoma kakim-to chuzhim elektronom, neozhidanno pronikshim izvne v obolochku s vysokoj skorost'yu, i v K-obolochke obrazovalos' uyutnoe svobodnoe mestechko. Rugaya sebya za upushchennuyu vozmozhnost' prisoedinit'sya k elektronam vnutrennej obolochki, mister Tompkins s ogromnym interesom nablyudal za poletom elektrona, s kotorym tol'ko chto besedoval. Schastlivyj elektron vse glubzhe i glubzhe vnedryalsya vnutr' atoma, i yarkie luchi sveta soprovozhdali ego triumfal'nyj polet. Lish' kogda elektron dostig vnutrennej obolochki, eto pochti nesterpimoe siyanie prekratilos'. - CHto eto bylo? - sprosil mister Tompkins, osleplennyj neozhidanno otkryvshimsya emu zrelishchem novogo, neizvestnogo ranee yavleniya. - Otkuda ves' etot blesk? - O, eto vsego lish' ispuskanie gamma-izlucheniya, svyazannoe s perehodom s odnoj orbity na druguyu, - poyasnil partner po orbite, ulybayas' pri vide rasteryannosti mistera Tompkinsa. - Vsyakij raz, kogda odin iz nas pronikaet glubzhe vnutr' atoma, lishnyaya energiya nepremenno ispuskaetsya v vide izlucheniya. |tot schastlivchik sovershil gigantskij pryzhok i ispustil pri etom ogromnuyu energiyu. Gorazdo chashche nam prihoditsya dovol'stvovat'sya men'shimi pryzhkami na okraine atoma, i ispuskaemoe nami izluchenie nazyvaetsya "vidimym svetom". Po krajnej mere tak nazyvaet ego otec Paulini. - No gamma-izluchenie, ili kak tam vy ego nazyvaete, takzhe vidimo, - vozrazil mister Tompkins. - Mne kazhetsya, chto vasha terminologiya sposobna lish' vvodit' v zabluzhdenie. - Vidite li, my elektrony i chuvstvitel'ny ko vsyakogo roda izlucheniyu. No otec Paulini rasskazyval nam o tom, chto sushchestvuyut gigantskie sushchestva, ili kak on ih nazyval, lyudi, kotorye mogut videt' izluchenie tol'ko v uzkom intervale energij, ili kak lyubit govorit' otec Paulini, intervale dlin voln. V odnoj iz svoih propovedej otec Paulini upomyanul o tom, chto velikij chelovek po imeni, kazhetsya, Rentgen otkryl gamma-izluchenie, ili rentgenovskoe izluchenie, i teper' ono shiroko ispol'zuetsya v chem-to, chto lyudi nazyvayut medicinoj. - YA dovol'no horosho osvedomlen ob etom, - zametil mister Tompkins, oshchushchaya gordost' pri mysli, chto i emu est' chto povedat' drugomu. - Hotite, ya rasskazhu vam nemalo interesnogo ob etoj samoj medicine? - Net, blagodaryu vas, - otvetil elektron, shiroko zevaya. - Mne kak-to vse ravno. Razve vy ne mozhete byt' schastlivy, esli ne budete govorit' o medicine? Dogonyajte menya! Dovol'no dolgo mister Tompkins naslazhdalsya priyatnym oshchushcheniem svobody, sovershaya vmeste s drugimi elektronami udivitel'nejshie perelety v prostranstve, slovno iskusnyj akrobat, pereletayushchij s trapecii na trapeciyu. Vnezapno on oshchutil, chto ego volosy podnyalis' dybom. Podobnoe oshchushchenie emu prihodilos' ispytyvat' i ran'she vo vremya grozy v gorah. Misteru Tompkinsu stalo yasno, chto k ih atomu priblizhaetsya kakoe-to sil'noe elektricheskoe vozmushchenie, narushayushchee garmoniyu dvizheniya elektronov i zastavlyayushchee elektrony sushchestvenno otklonyat'sya ot ih obychnyh orbit. S tochki zreniya fizika-cheloveka vozmushchenie predstavlyalo soboj volnu ul'trafioletovogo sveta, prohodivshuyu cherez to mesto, gde nahodilsya atom, no s tochki zreniya krohotnyh elektronov eto byla sil'nejshaya elektricheskaya groza. - Derzhites' pokrepche, - prokrichal misteru Tompkinsu odin iz ego kompan'onov, - inache vas otorvut sily fotoeffekta! No bylo slishkom pozdno. Mistera Tompkinsa otorvalo ot partnera i, zakrutiv, s chudovishchnoj skorost'yu brosilo v prostranstvo. Oshchushchenie bylo takoe, slovno ego shvatili ch'i-to sil'nye pal'cy. Bezdyhannyj, on unosilsya vse dal'she i dal'she v prostranstvo, proletaya skvoz' vsyakogo roda razlichnye atomy tak bystro, chto edva uspeval razglyadet' otdel'nye elektrony. Vnezapno pryamo pered nim pokazalsya bol'shoj atom, i mister Tompkins ponyal, chto stolknovenie neizbezhno. - Proshu izvinit', no menya zafotoeffektilo i ya ne mogu... - vezhlivo nachal mister Tompkins, no ostatok frazy potonul v oglushitel'nom treske, s kotorym mister Tompkins vrezalsya v odin iz vneshnih elektronov. Oba uchastnika stolknoveniya kuvyrkom poleteli v raznye storony. Odnako mister Tompkins poteryal pri stolknovenii znachitel'nuyu chast' svoej skorosti i teper' mog bolee detal'no obsledovat' svoe novoe okruzhenie. Gromozdivshiesya vokrug atomy byli gorazdo bol'she teh, kotorye emu prihodilos' videt' prezhde, i v kazhdom iz atomov mister Tompkins naschital po dvadcat' devyat' elektronov. Esli by Tompkins luchshe razbiralsya v fizike, to on raspoznal by v nih atomy medi, no so stol' blizkogo rasstoyaniya atomy sovsem ne pohodili na med'. Oni byli raspolozheny vplotnuyu drug k drugu i obrazovyvali pravil'nyj uzor, prostiravshijsya do samogo gorizonta. No bolee vsego mistera Tompkinsa udivilo to, chto eti atomy, po-vidimomu, ne osobenno stremilis' uderzhivat' pri sebe svoyu dolyu elektronov, v osobennosti vneshnih elektronov. Vneshnie orbity pochti vseh atomov byli pusty, a tolpy kochuyushchih elektronov lenivo brodili po vsemu prostranstvu, vremya ot vremeni ostanavlivayas', no nigde ne zaderzhivayas' podolgu, na okraine to odnogo, to drugogo atoma. Utomlennyj golovokruzhitel'nym poletom cherez prostranstvo mister Tompkins popytalsya snachala nemnogo otdohnut' na stacionarnoj, t. e. ne podverzhennoj kakim-libo vremennym izmeneniyam, orbite odnogo iz atomov medi, no vskore poddalsya brodyazhnicheskim nastroeniyam tolpy i prisoedinilsya k ostal'nym elektronam v ih bescel'nyh bluzhdaniyah. - Poryadok zdes' ostavlyaet zhelat' luchshego, - prokommentiroval pro sebya mister Tompkins. - Slishkom mnogo elektronov shatayutsya bez dela. YA schitayu, chto otcu Paulini sledovalo by navesti poryadok. - Pochemu vy dumaete, chto ya dolzhen vmeshat'sya? - razdalsya znakomyj golos monaha, kotoryj vnezapno materializovalsya iz nichego. - Vse eti elektrony otnyud' ne narushayut moih predpisanij i k tomu zhe delayut ochen' poleznoe delo. Mozhet byt', vam budet nebezynteresno uznat', chto esli by vse atomy stremilis' uderzhat' pri sebe svoi elektrony, kak eto delayut nekotorye iz nih, to ne bylo by takogo yavleniya, kak provodimost'. U vas v dome ne bylo by elektricheskogo dvernogo zvonka, ne govorya uzhe ob elektricheskom osveshchenii i telefone. - Vy hotite skazat', chto brodyachie elektrony perenosyat elektrichestvo? - sprosil mister Tompkins, ceplyayas' za nadezhdu, chto razgovor pojdet o bolee ili menee znakomom predmete. - No chto-to ya ne vizhu, chtoby oni dvigalis' v kakom-to opredelennom napravlenii. - Prezhde vsego, drug moj, - surovo promolvil monah, - ne govorite "oni", "my" zvuchit gorazdo luchshe. Dolzhno byt', vy zabyli, chto vy sami takzhe prinadlezhite k plemeni elektronov i chto stoit komu-nibud' nazhat' knopku zvonka, s kotorym soedinena eta mednaya provoloka, kak elektricheskoe napryazhenie zastavit vas vmeste s drugimi elektronami provodimosti opromet'yu brosit'sya, chtoby vyzvat' gornichnuyu ili vypolnit' kakuyu-nibud' druguyu sluzhbu. - No ya ne hochu delat' etogo! - tverdo zayavil mister Tompkins ne bez razdrazheniya v golose. - I voobshche ya ustal byt' elektronom i ne vizhu v etom bolee nichego privlekatel'nogo. CHto za zhizn' vechno vypolnyat' vse eti elektronnye obyazannosti! - Ne obyazatel'no vechno, - vozrazil otec Paulini, kotoromu yavno ne ponravilos' neposlushanie so storony prostyh elektronov. - U vas vsegda est' shans byt' unichtozhennym i prekratit' sushchestvovanie. - B-b-byt' unichtozhennym? - povtoril mister Tompkins, chuvstvuya, kak po spine u nego polzut murashki. - No ya vsegda dumal, chto elektrony vechny! - Fiziki tozhe tak dumali vplot' do nedavnego vremeni, - soglasilsya otec Paulini, yavno zabavlyayas' effektom, proizvedennym ego slovami, - no podobnaya tochka zreniya okazalas' ne vpolne vernoj. |lektrony mogut rozhdat'sya i umirat', kak lyudi. Razumeetsya, elektron ne mozhet umeret' ot starosti, ona nastupaet pri stolknoveniyah. - No ya perezhil stolknovenie lish' nedavno, i, dolzhen vam skazat', pretyazheloe eto bylo stolknovenie, - skazal mister Tompkins, vnov' obretaya nekotoruyu uverennost'. - Esli i takoe stolknovenie ne vyvelo menya iz stroya, to kakim zhe ono dolzhno byt', chtoby unichtozhit' menya? - Vopros ne v tom, kak sil'no vy stalkivaetes', - popravil mistera Tompkinsa otec Paulini, - a v tom, s kem vy stalkivaetes'. V svoem nedavnem stolknovenii vy, veroyatno, naskochili na drugoj otricatel'no zaryazhennyj elektron, ochen' pohozhij na vas. Takie stolknoveniya ne tayat v sebe nikakoj opasnosti. Vy, elektrony, mozhete stalkivat'sya drug s drugom skol'ko ugodno, kak dva barana, eto ne prichinit nikomu iz vas ni malejshego vreda. No sushchestvuet drugaya raznovidnost' elektronov - polozhitel'nye elektrony, lish' sravnitel'no nedavno otkrytye fizikami. |ti polozhitel'no zaryazhennye elektrony, ili pozitrony, vyglyadyat v tochnosti tak zhe, kak vy, s tem lish' otlichiem, chto ih elektricheskij zaryad polozhitelen, togda kak vash otricatelen. Pri vide priblizhayushchegosya k vam pozitrona vy polagaete, chto pered vami odin iz nevinnyh vashih soplemennikov i ustremlyaetes' navstrechu, chtoby privetstvovat' ego. No tut vy vnezapno oshchushchaete, chto vstrechnyj elektron ne ottalkivaet vas slegka, chtoby izbezhat' stolknoveniya, kak eto sdelal by lyuboj normal'nyj elektron, a prityagivaet vas k sebe i togda sdelat' chto-nibud' pozdno. - Uzhasno! - voskliknul mister Tompkins. - I skol'ko neschastnyh obychnyh elektronov mozhet poglotit' odin pozitron? - K schast'yu, tol'ko odnogo, poskol'ku unichtozhaya otricatel'no zaryazhennyj elektron, pozitron gibnet i sam. Pozitrony mozhno opisat' kak chlenov kluba samoubijc, ishchushchih partnerov po vzaimounichtozheniyu. Oni ne prichinyayut vreda drug drugu, no stoit lish' kakomu-nibud' otricatel'no zaryazhennomu elektronu vstretit'sya im na puti, kak shansov ucelet' u nego ochen' malo. - K schast'yu, do sih por mne ne popadalis' eti chudovishcha, - proiznes mister Tompkins, na kotorogo slova otca Paulini proizveli sil'noe vpechatlenie. - Nadeyus', oni ne slishkom mnogochislenny? - Ne slishkom. Po toj prostoj prichine, chto vsegda ishchut sebe nepriyatnostej i pogibayut vskore posle rozhdeniya. Vprochem, podozhdite minutochku, ya, kazhetsya, smogu pokazat' vam odin pozitron, - prodolzhal otec Paulini posle korotkoj pauzy. - Esli vy vnimatel'no vglyadites' von v to yadro, to uvidite, kak rozhdaetsya odin iz pozitronov. Atom, na kotoryj ukazyval otec Paulini, preterpeval sil'noe elektromagnitnoe vozmushchenie iz-za upavshego na nego izvne sil'nogo izlucheniya. Vozmushchenie bylo gorazdo bolee sil'nym, chem to, kotoroe vybilo mistera Tompkinsa iz atoma hlora, i semejstvo atomnyh elektronov, okruzhavshih yadro, bylo rasseyano i uneseno proch', kak suhie list'ya uraganom. - Vglyadites' vnimatel'no v yadro, - skazal otec Paulini, i, sosredotochiv vse svoe vnimanie, mister Tompkins uvidel neobychnoe yavlenie, proishodivshee v glubinah razrushennogo atoma. Vblizi yadra, v glubine vnutrennej elektronnoj obolochki, dve smutnye teni postepenno obretali vse bolee otchetlivye ochertaniya, i sekundoj pozzhe mister Tompkins uvidel dva blestyashchih, noven'kih s igolochki elektrona, s ogromnoj skorost'yu razletayushchihsya ot mesta svoego rozhdeniya. - No ya vizhu dve chasticy, a ne odnu, - skazal mister Tompkins, zahvachennyj otkryvshimsya emu zrelishchem.
- Sovershenno verno, - soglasilsya otec Paulini. - |lektrony vsegda rozhdayutsya parami, inache rozhdenie elektronov protivorechilo by zakonu sohraneniya elektricheskogo zaryada. Odna iz etih dvuh chastic, rodivshihsya pod dejstviem sil'nogo gamma-izlucheniya na yadro, - obychnyj elektron s otricatel'nym zaryadom, drugaya chastica - elektron s polozhitel'nym zaryadom, ili pozitron-ubijca. Teper' on ryshchet po prostranstvu v poiskah zhertvy. - Nu chto zh, - zadumchivo proiznes mister Tompkins, - esli rozhdenie kazhdogo pozitrona, kotoromu na rodu napisano stat' ubijcej elektrona, soprovozhdaetsya rozhdeniem odnogo obychnogo elektrona, to dela obstoyat ne tak uzh ploho. Po krajnej mere ne prihoditsya opasat'sya za ischeznovenie elektronnogo plemeni, i ya... - Ostorozhno! - prerval mistera Tompkinsa otec Paulini, ottalkivaya svoego sobesednika v storonu, v to vremya kak novorozhdennyj pozitron so svistom pronessya v kakom-nibud' dyujme ot nih. - Nuzhno vse vremya byt' nacheku, kogda eti ubijstvennye chasticy nahodyatsya gde-to poblizosti. No, prostite, ya slishkom zaderzhalsya, beseduya s vami, i menya zhdut drugie dela. Mne neobhodimo navestit' milyh moemu serdcu _nejtrino_... I otec Paulini ischez, ostaviv mistera Tompkinsa v nevedenii otnositel'no togo, chto takoe nejtrino i sleduet li ih opasat'sya. Lishivshis' duhovnogo otca, mister Tompkins pochuvstvoval sebya eshche bolee odinokim, chem prezhde, i vsyakij raz, kogda na ego dolgom puti cherez prostranstvo; k nemu priblizhalsya tot ili inoj soplemennik-elektron, v serdce mistera Tompkinsa nachinala teplit'sya nadezhda na to, chto pod nevinnoj vneshnost'yu mozhet skryvat'sya serdce ubijcy. Vremya tyanulos' nesterpimo medlenno (misteru Tompkinsu kazalos', chto proshlo neskol'ko stoletij), a ego nadezhdam i chayaniyam vse nikak ne suzhdeno bylo sbyt'sya, i misteru Tompkinsu ne ostavalos' nichego drugogo, kak ispolnyat' skuchnye obyazannosti elektrona provodimosti. Vse proizoshlo sovershenno neozhidanno, kogda mister Tompkins menee vsego rasschityval vstretit' pozitron. Oshchushchaya ostruyu potrebnost' pobesedovat' s kem-nibud', dazhe s kakim-nibud' glupym elektronom provodimosti, on priblizilsya k chastice, medlenno proletavshej mimo i yavno byvshej novichkom v dannoj chasti mednoj provoloki. No dazhe na rasstoyanii mister Tompkins ponyal, chto oshibsya v vybore sobesednika i chto neodolimaya sila prityazheniya uvlekaet ego, ne davaya otstupit' ni na shag. Kakoj-to mig on pytalsya borot'sya i vyryvat'sya, no rasstoyanie mezhdu nim i drugoj chasticej vse sokrashchalos', i misteru Tompkinsu pokazalos', chto on uzhe vidit torzhestvuyushchuyu ulybku na lice svoego protivnika. - Pustite menya! Pustite menya nemedlenno! - zakrichal mister Tompkins vo ves' golos, izo vseh sil otbivayas' rukami i nogami. - YA ne hochu annigilirovat'! YA hochu vechno provodit' elektricheskij tok! No vse bylo tshchetno, i okruzhayushchee prostranstvo vnezapno ozarilos' oslepitel'noj vspyshkoj sil'nejshego izlucheniya. - Itak, menya bol'she net, - podumal mister Tompkins, - no kak zhe v takom sluchae ya mogu myslit'? Mozhet byt' annigilirovalo tol'ko moe telo, a dusha moya uletela na kvantovye nebesa? Tut on oshchutil novuyu silu, na etot raz dejstvovavshuyu myagche, kotoraya tverdo i reshitel'no tryasla ego. Otkryv glaza, mister Tompkins uvidel pered soboj universitetskogo sluzhitelya. - Prostite, ser, - skazal tot, - no lekciya uzhe davno zakonchilas' i nam nuzhno zakryt' auditoriyu. Mister Tompkins s trudom podavlyal zevotu i chuvstvoval sebya ves'ma nelovko. - Spokojnoj nochi, ser, - pozhelal emu sluzhitel' s sochuvstvennoj ulybkoj. Glava 10 1/2 CHast' predydushchej lekcii, kotoruyu prospal mister Tompkins V 1908 g. anglijskij fizik Dzhon Dal'ton otkryl zakon kratnyh otnoshenij. On pokazal, chto otnositel'nye proporcii razlichnyh himicheskih elementov, neobhodimyh dlya obrazovaniya bolee slozhnyh himicheskih veshchestv, vsegda mogut byt' vyrazheny kak otnosheniya celyh chisel i ob座asnil svoj zakon tem, chto vse slozhnye himicheskie veshchestva sostoyat iz razlichnogo chisla chastic, sootvetstvuyushchih prostym himicheskim elementam. Bezuspeshnye popytki srednevekovoj alhimii prevratit' odin himicheskij element v drugoj sluzhat eshche odnim dokazatel'stvom kazhushchejsya nedelimosti mel'chajshih chastic veshchestva, kotorye bez osobyh kolebanij byli nazvany svoim drevnegrecheskim imenem - atomy. Dannoe edinozhdy, eto nazvanie zakrepilos', i hotya teper' tverdo ustanovleno, chto atomy Dal'tona otnyud' ne nedelimy i v dejstvitel'nosti sostoyat iz bol'shogo chisla bolee melkih, subatomnyh chastic, obychno my predpochitaem zakryvat' glaza na filologicheskuyu neposledovatel'nost' etogo nazvaniya. Itak, to, chto v sovremennoj fizike prinyato nazyvat' atomami, otnyud' ne yavlyaetsya elementarnymi i nedelimymi sostavnymi chastyami materii, o kotoryh govoril v svoih umozritel'nyh postroeniyah Demokrit, i termin "atom" byl by bolee obosnovan primenitel'no k bolee melkim subatomnym chasticam, takim kak elektrony i protony, iz kotoryh sostoyat atomy Dal'tona. No takoe izmenenie terminologii porodilo by slishkom bol'shuyu putanicu, i ni odin fizik ne zabotitsya osobenno o filologicheskoj neposledovatel'nosti sushchestvuyushchej nyne terminologii. Poetomu my upotreblyaem staroe nazvanie "atomy" v tom zhe smysle, v kakom ego upotreblyal Dal'ton, a elektrony, protony i drugie subatomnye edinicy materii nazyvaem _elementarnymi chasticami_. |to nazvanie svidetel'stvuet o tom, chto v nastoyashchee vremya my schitaem eti subatomnye chasticy dejstvitel'no elementarnymi i nedelimymi v smysle Demokrita, i vy, estestvenno, mozhete sprosit' u menya, ne povtoritsya li istoriya i ne vyyasnitsya li v hode dal'nejshego razvitiya sovremennoj fiziki, chto tak nazyvaemye elementarnye chasticy v dejstvitel'nosti obladayut ves'ma slozhnoj vnutrennej strukturoj. Moj otvet sostoit v tom, chto hotya net absolyutnoj garantii, chto nichego takogo ne proizojdet, imeyutsya dostatochno veskie osnovaniya polagat', chto na etot raz my ne oshiblis'. Dejstvitel'no, sushchestvuyut devyanosto dve raznovidnosti atomov (sootvetstvuyushchie devyanosto dvum razlichnym himicheskim elementam), i kazhdyj takoj atom obladaet ves'ma slozhnymi harakternymi svojstvami. V podobnoj situacii samo soboj naprashivaetsya uproshchenie - stremlenie svesti slozhnuyu kartinu k bolee prostoj. S drugoj storony, v sovremennoj fizike izvestny lish' neskol'ko razlichnyh tipov elementarnyh chastic: _elektrony_ (otricatel'no i polozhitel'no zaryazhennye legkie chasticy), _nuklony_ (zaryazhennye ili nejtral'nye tyazhelye chasticy, izvestnye pod nazvaniem _protonov_ i _nejtronov_) i, vozmozhno, tak nazyvaemye _nejtrino_, priroda kotoryh polnost'yu ne vyyasnena. Svojstva etih elementarnyh chastic chrezvychajno prosty, i dal'nejshee delenie materii ne privedet k skol'ko-nibud' sushchestvennomu uproshcheniyu. Krome togo, kak vy ponimaete, vsegda neobhodimo imet' neskol'ko elementarnyh ponyatij, s kotorymi mozhno bylo by igrat', esli vy hotite postroit' nechto bolee slozhnoe. Dva ili tri takih elementarnyh ponyatiya - otnyud' ne mnogo. YA schitayu, chto vy mozhete spokojno postavit' poslednij dollar, derzha pari, chto elementarnye chasticy sovremennoj fiziki ostanutsya dostojnymi svoego nazvaniya. No vernemsya k voprosu o tom, kakim obrazom atomy Dal'tona postroeny iz elementarnyh chastic. Pervyj pravil'nyj otvet na etot vopros byl dan v 1911 g. znamenitym britanskim fizikom |rnestom Rezerfordom (vposledstvii Rezerford lord Nel'son). Rezerford issledoval stroenie atoma, bombardiruya razlichnye atomy bystro dvizhushchimisya krohotnymi snaryadami, izvestnymi pod nazvaniem _al'fa-chasticy_, ispuskaemymi pri raspade radioaktivnyh elementov. Nablyudaya za otkloneniyami (rasseyaniem) snaryadov posle prohozhdeniya kusochka materii (listochka fol'gi), Rezerford prishel k vyvodu, chto vse atomy dolzhny obladat' ochen' plotnoj polozhitel'no zaryazhennoj serdcevinoj (atomnym yadrom), okruzhennoj gorazdo bolee razrezhennym otricatel'no zaryazhennym oblakom (atomnoj atmosferoj). Nyne my znaem, chto atomnoe yadro sostoit iz opredelennogo chisla protonov i nejtronov, izvestnyh pod sobiratel'nym nazvaniem nuklonov. Nuklony tesno svyazany mezhdu soboj sil'nymi silami scepleniya. Atomnaya atmosfera sostoit iz razlichnogo chisla otricatel'no zaryazhennyh elektronov, kotorye roem okruzhayut atomnoe yadro pod dejstviem elektrostaticheskogo prityazheniya ego polozhitel'nogo zaryada. CHislo elektronov, obrazuyushchih atomnuyu atmosferu, opredelyaet vse fizicheskie i himicheskie svojstva atoma i izmenyaetsya vdol' estestvennoj posledovatel'nosti himicheskih elementov ot odnogo elektrona (dlya vodoroda) do devyanosto dvuh elektronov (dlya samogo tyazhelogo iz izvestnyh elementov urana). Nesmotrya na kazhushchuyusya prostotu atomnoj modeli Rezerforda, ee detal'nyj analiz okazalsya daleko ne prostym. Dejstvitel'no, soglasno odnomu iz naibolee gluboko ukorenivshihsya predstavlenij klassicheskoj fiziki, otricatel'no zaryazhennye elektrony, obrashchayas' vokrug atomnogo yadra, dolzhny teryat' svoyu energiyu v vide ispuskaemogo imi izlucheniya (sveta). Kak pokazyvayut vychisleniya, iz-za postoyannyh poter' energii vse elektrony, obrazuyushchie atomnuyu atmosferu, dolzhny byli by za nichtozhno maluyu dolyu sekundy upast' na yadro. |to, kazalos' by, vpolne zdravoe rassuzhdenie klassicheskoj teorii nahoditsya v rezkom protivorechii s tem empiricheskim faktom, chto atomnye atmosfery ochen' stabil'ny i atomnye elektrony ne padayut na yadro, a beskonechno dolgo kruzhatsya roem vokrug central'nogo tela. Takim obrazom, mezhdu osnovnymi predstavleniyami klassicheskoj mehaniki i empiricheskimi dannymi otnositel'no mehanicheskogo povedeniya krohotnyh sostavnyh chastej mira atomov voznikaet glubokoe protivorechie. Razmyshleniya nad etim protivorechiem priveli izvestnogo datskogo fizika Nil'sa Bora k zaklyucheniyu, chto klassicheskaya mehanika, na protyazhenii stoletij pretendovavshaya na osoboe nezyblemoe polozhenie v sisteme estestvennyh nauk, dolzhna otnyne rassmatrivat'sya kak ogranichennaya teoriya, primenimaya k makroskopicheskomu miru povsednevnogo opyta, no utrachivayushchaya silu pri popytke primenit' ee k gorazdo bolee tonkim tipam dvizheniya proishodyashchego vnutri razlichnyh atomov. V kachestve probnogo fundamenta novoj obobshchennoj mehaniki, primenimoj i k dvizheniyu krohotnyh podvizhnyh chastej atomnogo mehanizma, Bor predlozhil gipotezu o tom, chto _iz vsego beskonechnogo raznoobraziya tipov dvizheniya, rassmatrivaemyh v klassicheskoj mehanike, v prirode realizuetsya tol'ko neskol'ko special'no vybrannyh tipov_. |ti razreshennye tipy dvizheniya (nazyvaemye takzhe razreshennymi traektoriyami, ili orbitami) otbirayutsya v sootvetstvii s opredelennymi matematicheskimi usloviyami, izvestnymi pod nazvaniem _uslovij kvantovaniya_ v teorii Bora. YA ne stanu vhodit' zdes' v podrobnoe obsuzhdenie etih uslovij kvantovaniya, no hochu lish' upomyanut' ob odnom obstoyatel'stve: vse eti usloviya vybrany takim obrazom, chto nalagaemye imi ogranicheniya ne imeyut prakticheskogo znacheniya v teh sluchayah, kogda massa dvizhushchejsya chasticy vo mnogo raz bol'she mass, s kotorymi my vstrechaemsya v strukture atoma. Sledovatel'no, primenitel'no k makroskopicheskim telam novaya _mikromehanika_ privodit k tem zhe rezul'tatam, chto i staraya klassicheskaya teoriya (_princip sootvetstviya_) i tol'ko pri perehode k mikroskopicheskim atomnym mehanizmam raznoglasiya mezhdu staroj i novoj teoriyami stanovyatsya sushchestvennymi. Ne vdavayas' v detali, ya hochu udovletvorit' vashe lyubopytstvo i prodemonstrirovat' stroenie atoma s tochki zreniya teorii Bora, a imenno shemu raspolozheniya kvantovyh orbit v atome po Boru (pervyj slajd, pozhalujsta!). Vy vidite (sm. ris. na s. 163), razumeetsya, v sil'no uvelichennom masshtabe, sistemu krugovyh i ellipticheskih orbit. Oni predstavlyayut edinstvenno "razreshennye" usloviyami kvantovaniya Bora tipy dvizhenij dlya elektronov, obrazuyushchih atomnuyu atmosferu. V to vremya kak klassicheskaya mehanika razreshaet elektronu dvigat'sya _na lyubom_ rasstoyanii ot yadra i ne nakladyvaet ogranichenij na ekscentrisitet (t. e. na udlinenie, ili vytyanutost') orbity, razreshennye orbity v teorii Bora obrazuyut diskretnoe mnozhestvo s vpolne opredelennymi harakternymi razmerami. CHisla i latinskie bukvy, stoyashchie u kazhdoj orbity, ukazyvayut nazvanie sootvetstvuyushchej orbity v obshchej klassifikacii. Vy mozhete, naprimer, zametit', chto bol'shie chisla sootvetstvuyut orbitam s bol'shimi diametrami.
Hotya predlozhennaya Borom teoriya stroeniya atoma okazalas' neobychajno plodotvornoj dlya ob座asneniya razlichnyh svojstv atomov i molekul, osnovnoe ponyatie - diskretnaya kvantovaya orbita - ostavalos' ves'ma neyasnym, i chem glubzhe fiziki pytalis' vniknut' v analiz stol' neobychnogo ogranicheniya klassicheskoj teorii, tem bolee neyasnoj stanovilas' obshchaya kartina. Nakonec, fiziki osoznali, v chem imenno zaklyuchaetsya slabaya storona teorii Bora: vmesto osnovatel'noj _perestrojki_ klassicheskoj mehaniki teoriya Bora prosto nalozhila _ogranicheniya_ na ee rezul'taty, vvedya dopolnitel'nye usloviya, v principe chuzhdye vsej strukture klassicheskoj teorii. Pravil'noe reshenie vsej problemy bylo polucheno lish' trinadcat' let spustya v vide tak nazyvaemoj _volnovoj mehaniki_, izmenivshej samye osnovy klassicheskoj mehaniki v sootvetstvii s novym kvantovym principom. Nesmotrya na to, chto na pervyj vzglyad sistema volnovoj mehaniki mozhet pokazat'sya eshche bolee "sumasshedshej", chem teoriya Bora, eta novaya mikromehanika predstavlyaet soboj odnu iz naibolee posledovatel'nyh i priznannyh chastej sovremennoj teoreticheskoj fiziki. Poskol'ku fundamental'nyj princip novoj mehaniki i, v chastnosti, ponyatiya "neopredelennost'" i "rasplyvanie traektorij" byli rassmotreny mnoj v odnoj iz predydushchih lekcij, ya obrashchayus' teper' k vashej pamyati ili k vashim konspektam i hotel by vernut'sya k probleme stroeniya atoma. Na sheme, kotoruyu vy sejchas uvidite (sleduyushchij slajd, pozhalujsta!) (sm. ris. vnizu), izobrazheno dvizhenie atomnyh elektronov, rassmatrivaemoe s pozicij volnovoj mehaniki, ili s tochki zreniya "rasplyvaniya orbit". Vy vidite zdes' te zhe samye tipy dvizheniya, kotorye v ramkah klassicheskoj teorii byli predstavleny na predydushchem slajde (edinstvennoe razlichie sostoit lish' v tom, chto po chisto tehnicheskim prichinam kazhdyj tip dvizheniya teper' izobrazhen otdel'no), no vmesto chetkih linij, izobrazhayushchih traektorii v teorii Bora, teper' pered nami rasplyvchatye pyatna v polnom soglasii s fundamental'nym _principom neopredelennosti_. Razlichnye sostoyaniya dvizheniya imeyut takie zhe oboznacheniya, kak na predydushchem slajde, i sravnivaya oba slajda, vy zametite, esli slegka napryazhete voobrazhenie, chto rasplyvchatye oblaka na vtorom slajde ochen' tochno peredayut obshchie harakternye osobennosti staryh orbit Bora.
Oba slajda otchetlivo pokazyvayut, chto proishodit s dobrymi staromodnymi traektoriyami klassicheskoj mehaniki, kogda v igru vstupaet kvant, i hotya cheloveku neposvyashchennomu vse eto mozhet pokazat'sya fantasticheskim snom, uchenye, rabotayushchie v mikrokosmose atomov, ne ispytyvayut osobyh trudnostej v vospriyatii takoj kartiny. Zavershiv na etom kratkij obzor vozmozhnyh sostoyanij dvizheniya v elektronnoj atmosfere atoma, my obrashchaemsya teper' k vazhnoj probleme, kasayushchejsya raspredeleniya razlichnyh atomnyh elektronov po razlichnym dopustimym sostoyaniyam dvizheniya. Zdes' my stalkivaemsya s novym principom, sovershenno neznakomym v makroskopicheskom mire. |tot princip vpervye byl sformulirovan moim molodym drugom Vol'fgangom Pauli. On utverzhdaet, chto _v soobshchestve elektronov dannogo atoma nikakie dva elektrona ne obladayut dvizheniem odnogo i togo zhe tipa_. |to ogranichenie ne imelo by osobogo znacheniya, esli by chislo vozmozhnyh dvizhenij bylo beskonechno veliko, kak v klassicheskoj mehanike. No poskol'ku pravila kvantovaniya sushchestvenno umen'shayut chislo "razreshennyh" sostoyanij dvizheniya, princip Pauli igraet ochen' vazhnuyu rol' v atomnom mire: on obespechivaet bolee ili menee ravnomernoe raspredelenie elektronov vokrug atomnogo yadra i meshaet elektronam skaplivat'sya v kakom-to odnom meste. No iz privedennoj vyshe formulirovki novogo principa ne sleduet delat' vyvoda o tom, chto rasplyvchatye kvantovye sostoyaniya dvizheniya, izobrazhennye na vtorom slajde, mogut byt' "zanyaty" tol'ko odnim elektronom. Dejstvitel'no, pomimo dvizheniya po orbite kazhdyj elektron obladaet _spinom_, t.e. vrashchaetsya vokrug sobstvennoj osi, i doktora Pauli otnyud' ne razocharuet, esli dva elektrona okazhutsya na odnoj orbite, esli ih spiny budut napravleny v protivopolozhnye storony. Issledovanie spina elektronov pokazyvaet, chto skorost' vrashcheniya elektronov vokrug sobstvennoj osi vsegda odna i ta zhe i chto napravlenie spina vsegda dolzhno byt' perpendikulyarno ploskosti orbit. |to oznachaet, chto vozmozhny tol'ko dva razlichnyh napravleniya spina, kotorye sootvetstvenno mozhno schitat' proishodyashchimi "po chasovoj strelke" i "protiv chasovoj strelki". Takim obrazom, primenitel'no k kvantovym sostoyaniyam princip Pauli mozhet byt' sformulirovan sleduyushchim obrazom: _v kazhdom kvantovom sostoyanii dvizheniya mogut nahodit'sya ne bolee dvuh elektronov, spiny kotoryh dolzhny byt' napravleny v protivopolozhnye storony_. Prohodya vsyu estestvennuyu posledovatel'nost' elementov k atomam so vse bol'shim i bol'shim chislom elektronov, my obnaruzhim, chto razlichnye kvantovye sostoyaniya dvizheniya postepenno zapolnyayutsya elektronami i diametr atoma monotonno vozrastaet. V etoj svyazi nel'zya ne upomyanut' o tom, chto s tochki zreniya sily svyazi razlichnye kvantovye sostoyaniya atomnyh elektronov mogut byt' ob容dineny v otdel'nye gruppy (ili obolochki) s priblizitel'no ravnoj siloj svyazi. Po mere prodvizheniya vdol' estestvennoj posledovatel'nosti elementov, my vidim, chto odna gruppa zapolnyaetsya za drugoj i v rezul'tate posledovatel'nogo zapolneniya elektronnyh obolochek svojstva atomov periodicheski izmenyayutsya. |to ob座asnyaet horosho izvestnuyu periodichnost' svojstv elementov, otkrytuyu empiricheski znamenitym russkim himikom Dmitriem Ivanovichem Mendeleevym. Glava 12 Vnutri yadra Sleduyushchaya lekciya, kotoruyu posetil mister Tompkins, byla posvyashchena vnutrennemu stroeniyu yadra kak centra, vokrug kotorogo vrashchayutsya atomnye elektrony. - Ledi i dzhentl'meny, - nachal professor. - Vse bolee uglublyayas' v stroenie materii, my popytaemsya teper' proniknut' nashim myslennym vzorom vnutr' yadra, v zagadochnuyu oblast', zanimayushchuyu lish' odnu tysyachnuyu ot milliardnoj doli obshchego ob容ma atoma. I vse zhe, nesmotrya na stol' neveroyatno malye razmery novoj oblasti nashih isssledovanij, my obnaruzhili v nej samuyu ozhivlennuyu deyatel'nost'. Ved' atomnoe yadro - serdce atoma, i imenno v nem, nesmotrya na sravnitel'no malye razmery, sosredotocheno 99,97% vsej massy atoma. Vstupaya v oblast' atomnogo yadra posle sravnitel'no bedno naselennoj elektronnoj atmosfery atoma, my srazu zhe budem porazheny ee neobychnoj perenaselennost'yu. Esli elektrony atomnoj atmosfery dvizhutsya v srednem na rasstoyaniyah, prevyshayushchih ih sobstvennyj diametr primerno v neskol'ko tysyach raz, to chasticy, zhivushchie vnutri yadra, bukval'no tesnilis' by plechom k plechu, bud' u nih plechi. V etom smysle kartina, kotoraya otkryvaetsya nam vnutri yadra, ochen' napominaet kartinu obyknovennoj zhidkosti s tem lish' razlichiem, chto vnutri yadra my vmesto molekul vstrechaem gorazdo bolee melkie i gorazdo bolee elementarnye chasticy, izvestnye pod nazvaniem _protony_ i _nejtrony_. Umestno zametit', chto, nesmotrya na razlichnye imena, protony i nejtrony mozhno rassmatrivat' prosto kak dva razlichnyh zaryadovyh sostoyaniya odnoj i toj zhe tyazheloj elementarnoj chasticy, izvestnoj pod nazvaniem nuklon. Proton predstavlyaet soboj polozhitel'no zaryazhennyj nuklon, nejtron - elektricheski nejtral'nyj nuklon. Ne isklyuchena vozmozhnost', chto sushchestvuyut takzhe otricatel'no zaryazhennye nuklony, hotya ih poka nikto ne nablyudal. CHto kasaetsya ih geometricheskih razmerov, nuklony ne slishkom otlichayutsya ot elektronov: diametr nuklona sostavlyaet okolo 0,000 000 000 0001 sm. Odnako nuklony gorazdo tyazhelee: na chashkah vesov proton ili nejtron mozhno uravnovesit' 1840 elektronami. Kak ya uzhe govoril, chasticy, obrazuyushchie atomnoe yadro, upakovany ochen' plotno i eto ob座asnyaetsya dejstviem osobyh _yadernyh sil scepleniya_, analogichnyh silam, dejstvuyushchim mezhdu molekulami v zhidkosti. Tak zhe kak v zhidkosti sily yadernogo scepleniya ne dayut nuklonam polnost'yu otdelit'sya drug ot druga, no ne meshayut otnositel'nym peremeshcheniyam nuklonov. Takim obrazom, yadernaya materiya v kakoj-to stepeni obladaet tekuchest'yu i, ne buduchi vozmushchaema vneshnimi silami, prinimaet formu sfericheskoj kapli, kak obychnaya kaplya zhidkosti. Na sheme, kotoruyu ya vam sejchas pokazhu, uslovno izobrazheny razlichnye tipy atomnyh yader, obrazovannyh iz protonov i nejtronov. Prostejshee yadro vodoroda sostoit vsego lish' iz odnogo protona, v to vremya kak samoe slozhnoe yadro urana sostoit iz 92 protonov i 142 nejtronov. Razumeetsya, razglyadyvaya eti kartinki, ne sleduet upuskat' iz vidu, chto pered vami lish' ves'ma uslovnye izobrazheniya real'nyh yader, poskol'ku v silu fundamental'nogo principa neopredelennosti kvantovoj teorii polozhenie kazhdogo nuklona v dejstvitel'nosti "razmazano" po vsemu ob容mu yadra. Kak ya uzhe upominal, chasticy, obrazuyushchie atomnoe yadro, uderzhivayutsya vmeste moshchnymi silami scepleniya, no pomimo etih sil prityazheniya sushchestvuyut takzhe sily drugogo roda, dejstvuyushchie v protivopolozhnom napravlenii. Dejstvitel'no, protony, na dolyu kotoryh prihoditsya primerno polovina nuklonnogo naseleniya, nesut polozhitel'nyj zaryad. Sledovatel'no, mezhdu nimi dejstvuyut sily ottalkivaniya - tak nazyvaemye kulonovskie sily. Dlya legkih yader, elektricheskij zaryad kotoryh sravnitel'no mal, eto kulonovskoe ottalkivanie ne imeet osobogo znacheniya, no v bolee tyazhelyh yadrah s b_o_l'shim elektricheskim zaryadom kulonovskie sily nachinayut sostavlyat' ser'eznuyu konkurenciyu silam yadernogo scepleniya. Kak tol'ko eto proizojdet, yadro utrachivaet stabil'nost' i mozhet ispustit' kakie-nibud' iz sostavlyayushchih ego chastic. Imenno tak vedut sebya nekotorye elementy, raspolozhennye v samom konce Periodicheskoj sistemy i izvestnye pod nazvaniem _radioaktivnye elementy_.
Iz privedennyh vyshe obshchih soobrazhenij vy mozhete zaklyuchit', chto takie tyazhelye nestabil'nye yadra dolzhny ispuskat' protony, tak kak nejtrony ne nesut nikakogo elektricheskogo zaryada, i poetomu na nih ne dejstvuyut sily kulonovskogo ottalkivaniya. Odnako, kak pokazyvayut eksperimenty, nekotorye radioaktivnye yadra ispuskayut tak nazyvaemye _al'fa-chasticy_ (yadra geliya), t. e. slozhnye obrazovaniya, kazhdoe iz kotoryh sostoit iz dvuh protonov i dvuh nejtronov. Ob座asnyaetsya eto osoboj gruppirovkoj chastic, obrazuyushchih atomnoe yadro. Delo v tom, chto kombinaciya dvuh protonov i dvuh nejtronov, obrazuyushchaya al'fu-chasticu, otlichaetsya povyshennoj stabil'nost'yu, i poetomu legche otorvat' takuyu gruppu celikom, chem razdelit' ee na otdel'nye protony i nejtrony. Kak vy, veroyatno, znaete, yavlenie radioaktivnogo raspada bylo vpervye otkryto francuzskim fizikom Anri Bekkerelem, a znamenityj britanskij fizik lord Rezerford, ch'e imya ya uzhe upominal v drugoj svyazi, kotoromu nauka stol' mnogim obyazana za ego vazhnye otkrytiya v fizike atomnogo yadra, predlozhil ob座asnenie radioaktivnogo raspada kak spontannogo, t. e. samoproizvol'nogo, raspada atomnogo yadra na chasti. Odna iz naibolee zamechatel'nyh osobennostej al'fa-raspada sostoit v inogda neobychajno dolgih periodah vremeni, neobhodimyh al'fa-chasticam, chtoby "vybrat'sya" iz atomnogo yadra na svobodu. Dlya _urana_ i _toriya_ etot period sostavlyaet, po ocenkam, milliardy let, dlya radiya - okolo shestnadcati stoletij, i hotya sushchestvuyut elementy, dlya kotoryh al'fa-raspad proishodit v doli sekundy, prodolzhitel'nost' ih zhizni mozhno takzhe schitat' ochen' dolgoj po sravneniyu s bystrotoj ih vnutriyadernogo dvizheniya. CHto zhe zastavlyaet al'fa-chasticu ostavat'sya vnutri yadra na protyazhenii inogda mnogih milliardov let? I esli al'fa-chastica tak dolgo nahoditsya vnutri yadra, to chto zastavlyaet ee vse zhe pokinut' ego? Dlya otveta na eti voprosy nam neobhodimo predvaritel'no uznat' nemnogo bol'she o sravnitel'noj intensivnosti sil vnutriyadernogo scepleniya i elektrostaticheskih sil ottalkivaniya, dejstvuyushchih na chasticu, kotoraya pokidaet atomnoe yadro. Tshchatel'noe eksperimental'noe izuchenie etih sil bylo provedeno Rezerfordom, kotoryj vospol'zovalsya metodom tak nazyvaemoj _atomnoj bombardirovki_. V svoih znamenityh eksperimentah, vypolnennyh v Kavendishskoj laboratorii, Rezerford napravlyal puchok bystro dvizhushchihsya al'fa-chastic, ispuskaemyh kakim-nibud' radioaktivnym veshchestvom, na mishen' i nablyudal otkloneniya (rasseyanie) etih atomnyh snaryadov pri stolknovenii ih s yadrami bombardiruemogo veshchestva. |ksperimenty Rezerforda ubeditel'no pokazali, chto na bol'shih rasstoyaniyah ot atomnogo yadra al'fa-chasticy ispytyvali sil'noe ottalkivanie elektricheskimi silami zaryada yadra, no ottalkivanie smenyalos' sil'nym prityazheniem v teh sluchayah, kogda al'fa-chasticy proletali vplotnuyu ot vneshnih granic yadernoj oblasti. Vy mozhete skazat', chto atomnoe yadro v kakoj-to mere analogichno kreposti, okruzhennoj so vseh storon vysokimi krutymi stenami, ne pozvolyayushchimi chasticam ni popast' vnutr', ni bezhat' naruzhu. No samyj porazitel'nyj rezul'tat eksperimentov Rezerforda sostoyal v ustanovlenii sleduyushchego fakta: _al'fa-chasticy, vyletayushchie iz yadra pri radioaktivnom raspade ili pronikayushchie vnutr' yadra pri bombardirovke izvne, obladayut men'shej energiej, chem trebovalos' by dlya preodoleniya vysoty sten kreposti, ili potencial'nogo bar'era_, kak my obychno govorim. |to otkrytie Rezerforda polnost'yu protivorechilo vsem fundamental'nym predstavleniyam klassicheskoj mehaniki. V samom dele, kak mozhno ozhidat', chto myach perekatitsya cherez vershinu holma, esli vy brosili ego s energiej, nedostatochnoj dlya pod容ma na vershinu holma? Klassicheskaya fizika mogla lish' shiroko raskryt' glaza ot udivleniya i vyskazat' predpolozhenie o tom, chto v eksperimenty Rezerforda gde-to vkralas' kakaya-to oshibka. No v dejstvitel'nosti nikakoj oshibki ne bylo, i esli kto-nibud' i oshibalsya, to ne lord Rezerford, a... klassicheskaya mehanika! Situaciyu proyasnili odnovremenno moj dobryj drug doktor Gamov i doktora Ronal'd Gernej i |. U. London. Oni obratili vnimanie na to, chto nikakih trudnostej ne voznikaet, esli podojti k probleme s tochki zreniya sovremennoj kvantovoj teorii. Dejstvitel'no, kak my znaem, sovremennaya kvantovaya fizika otvergaet chetko opredelennye traektorii-linii klassicheskoj teorii i zamenyaet ih rasplyvchatymi prizrachnymi sledami. Podobno tomu, kak dobroe staromodnoe prividenie moglo bez truda prohodit' skvoz' tolstye kamennye steny starinnogo zamka, tak prizrachnye traektorii mogut pronikat' skvoz' potencial'nye bar'ery, kotorye s klassicheskoj tochki zreniya kazalis' sovershenno nepronicaemymi. Ne dumajte, pozhalujsta, budto ya shuchu: pronicaemost' potencial'nyh bar'erov dlya chastic s nedostatochnoj energiej yavlyaetsya pryamym matematicheskim sledstviem iz fundamental'nyh uravnenij novoj kvantovoj mehaniki i sluzhit ves'ma ubeditel'noj illyustraciej odnogo iz naibolee sushchestvennyh razlichij mezhdu starymi i novymi predstavleniyami o dvizhenii. No hotya novaya mehanika dopuskaet stol' neobychnye effekty, ona delaet eto tol'ko pri ves'ma sil'nyh ogranicheniyah: v bol'shinstve sluchaev veroyatnost' peresecheniya bar'era chrezvychajno mala, i popavshej v temnicu yadra chastice pridetsya neveroyatno bol'shoe chislo raz brosat'sya na steny, prezhde chem ee popytki vybrat'sya na svobodu uvenchayutsya uspehom. Kvantovaya teoriya daet nam tochnye pravila dlya vychisleniya veroyatnosti takogo pobega. Bylo pokazano, chto nablyudaemye periody al'fa-raspada nahodyatsya v polnom sootvetstvii s predskazaniyami teorii. V sluchae al'fa-chastic, bombardiruyushchih atomnoe yadro izvne, rezul'taty kvantovo-mehanicheskih raschetov nahodyatsya v velikolepnom sootvetstvii s eksperimentom. Prezhde chem ya prodolzhu svoyu lekciyu, mne hotelos' by pokazat' vam nekotorye fotografii processov raspada razlichnyh yader, bombardiruemyh atomnymi snaryadami vysokoj energii (pervyj slajd, pozhalujsta!). Na etom slajde (sm. ris. na s. 174) vy vidite dva razlichnyh raspada, sfotografirovannyh v puzyr'kovoj kamere, o kotoroj ya govoril v svoej predydushchej lekcii. Na snimke (A) vy vidite stolknovenie yadra azota s bystroj al'fa-chasticej. |to pervyj iz kogda-libo sdelannyh snimkov iskusstvennoj transmutacii (prevrashcheniya) elementov. |tim snimkom my obyazany ucheniku lorda Rezerforda Patriku Blekketu. Otchetlivo vidno bol'shoe chislo trekov al'fa-chastic, ispuskaemyh moshchnym istochnikom al'fa-chastic. Bol'shinstvo al'fa-chastic proletayut vse pole zreniya, ne preterpevaya ni odnogo ser'eznogo stolknoveniya. Trek al'fa-chastic ostanavlivaetsya vot zdes', i vy vidite, kak iz tochki stolknoveniya vyhodyat dva drugih treka. Dlinnyj tonkij trek prinadlezhit protonu, vybitomu iz yadra azota, v to vremya kak korotkij tolstyj trek sootvetstvuet otdache samogo yadra. No eto bolee uzhe ne yadro azota, poskol'ku, poteryav proton i poglotiv naletevshuyu al'fa-chasticu, yadro azota prevratilos' v yadro kisloroda. Takim obrazom, my stanovimsya svidetelyami alhimicheskogo prevrashcheniya azota v kislorod s vodorodom v kachestve pobochnogo produkta. Na snimkah (B), (V) vy vidite raspad yadra pri stolknovenii s iskusstvenno uskorennym protonom. Puchok bystryh protonov sozdaetsya special'noj mashinoj, rabotayushchej pod vysokim napryazheniem i izvestnoj publike pod nazvaniem "atomnaya drobilka", i postupaet v kameru cherez dlinnuyu trubku, konec kotoroj viden na snimkah. Mishen', v dannom sluchae tonkij sloj bora, pomeshchaetsya u otkrytogo konca trubki s takim raschetom, chtoby oskolki yadra, voznikshie pri stolknovenii, dolzhny byli proletat' skvoz' vozduh v kamere, obrazuya tumannye treki. Kak vy vidite na snimke (V), yadro bora pri stolknovenii s protonom, raspadaetsya na tri chasti, i, s uchetom sohraneniya elektricheskogo zaryada, my prihodim k zaklyucheniyu, chto kazhdyj iz oskolkov deleniya predstavlyaet soboj al'fa-chasticu, t. e. yadro geliya. |ti dva yadernyh prevrashcheniya predstavlyayut ves'ma tipichnye primery neskol'kih soten drugih yadernyh prevrashchenij, issledovannyh sovremennoj eksperimental'noj fizikoj. Vo vseh prevrashcheniyah takogo roda, izvestnyh pod nazvaniem _yadernye reakcii zameshcheniya_, naletayushchaya chastica (proton, nejtron ili al'fa-chastica) pronikaet v yadro, vybivaet kakuyu-to druguyu chasticu i ostaetsya na ee meste. Sushchestvuet zameshchenie protona al'fa-chasticej, al'fa-chasticy protonom, protona nejtronom i t.d. Vo vseh takih prevrashcheniyah novyj element, obrazovavshijsya v rezul'tate reakcii, yavlyaetsya blizkim sosedom bombardiruemogo elementa v Periodicheskoj sisteme. No lish' sravnitel'no nedavno, pered vtoroj mirovoj vojnoj, dva nemeckih himika O. Gan i F. SHtrassman otkryli sovershenno novyj tip yadernogo prevrashcheniya, v kotorom _tyazheloe yadro raspadaetsya na dve ravnye poloviny s vysvobozhdeniem ogromnogo kolichestva energii_. Na sleduyushchem slajde (sleduyushchij slajd, pozhalujsta!) vy vidite (sm. s. 175) na snimke (B) dva oskolka yadra urana, razletayushchihsya v raznye storony ot tonkoj uranovoj provolochki. |to yavlenie, poluchivshee nazvanie _rasshcheplenie yadra_, vpervye nablyudalos' pri bombardirovke urana puchkom nejtronov, no vskore fiziki obnaruzhili, chto i drugie elementy, raspolozhennye v konce Periodicheskoj sistemy, obladayut analogichnymi svojstvami. |ti tyazhelye yadra uzhe nahodyatsya u poroga svoej stabil'nosti i malejshee vozmushchenie, vyzyvaemoe stolknoveniem s nejtronom, dostatochno, chtoby oni raspalis' na dva oskolka, kak raspadaetsya na chasti chrezmerno krupnaya kaplya rtuti. Nestabil'nost' tyazhelyh yader prolivaet svet na vopros o tom, pochemu v prirode sushchestvuet tol'ko 92 elementa. Lyuboe yadro tyazhelee urana ne mozhet sushchestvovat' skol'ko-nibud' prodolzhitel'noe vremya i nemedlenno raspadaetsya na bolee melkie oskolki. YAvlenie rasshchepleniya yadra predstavlyaet nemalyj interes i s prakticheskoj tochki zreniya, tak kak otkryvaet opredelennye vozmozhnosti dlya ispol'zovaniya yadernoj energii. Delo v tom, chto pri raspade yadra na dve polovinki iz yadra vyletaet neskol'ko nejtronov, kotorye mogut vyzvat' rasshcheplenie sosednih yader. Dal'nejshee rasprostranenie takogo processa mozhet privesti k vzryvnoj reakcii, pri kotoroj vsya energiya, zapasennaya v yadrah, vysvobozhdaetsya za maluyu dolyu sekundy. Esli vspomnit', chto yadernaya energiya, hranyashchayasya v odnom funte urana, ekvivalentna energeticheskomu soderzhaniyu desyati tonn uglya, to stanet yasno, chto vozmozhnost' vysvobozhdeniya yadernoj energii mogla by vyzvat' glubokie peremeny v nashej ekonomike.
Odnako vse eti yadernye reakcii mogut byt' osushchestvleny lish' v ochen' malom masshtabe, i, hotya oni pozvolyayut nam poluchit' bogatejshuyu informaciyu o vnutrennem stroenii yadra, vplot' do sravnitel'no nedavnego vremeni ne bylo ni malejshej nadezhdy na to, chto udastsya vysvobodit' ogromnoe kolichestvo yadernoj energii. I lish' v 1939 g. nemeckie himiki O. Gan i F. SHtrassman otkryli sovershenno novyj tip yadernogo prevrashcheniya: tyazheloe yadro urana pri stolknovenii s odnim-edinstvennym nejtronom raspadaetsya na dve primerno ravnye chasti s vysvobozhdeniem ogromnogo kolichestva energii i vyletom dvuh ili treh nejtronov, kotorye v svoyu ochered' mogut stolknut'sya s yadrami urana i rasshchepit' kazhdoe iz nih na dve chasti s vysvobozhdeniem novoj energii i novyh nejtronov. Cepnoj process, deleniya yader urana mozhet privodit' k vzryvam ili, esli sdelat' ego upravlyaemym, stat' pochti neischerpaemym istochnikom energii. Schastliv soobshchit' vam, chto doktor Tallerkin, prinimavshij uchastie v rabotah po sozdaniyu atomnoj bomby i izvestnyj takzhe kak otec vodorodnoj bomby, lyubezno soglasilsya pribyt' k nam, nesmotrya na svoyu chrezvychajnuyu zanyatost', i vystupit' s korotkim soobshcheniem o principah ustrojstva yadernyh bomb. My ozhidaem ego pribytiya s minuty na minutu. Edva professor uspel proiznesti eti slova, kak dver' otvorilas' i v auditoriyu voshel chelovek ves'ma vnushitel'nogo vida s goryashchimi glazami i navisshimi kustistymi brovyami. Obmenyavshis' s professorom rukopozhatiyami, chelovek obratilsya k auditorii: - Hoolgyeim es Uraim, - nachal on. - Roviden kell beszelnem, mert nagyon sok a dolglom. Ma reggel tubb megbeszelesem volt a Pentagonban es a Feher Hazban. Delutan... O, proshu proshcheniya! - voskliknul neznakomec. - Inogda ya putayu yazyki. Pozvol'te mne nachat' eshche raz. Ledi i dzhentl'meny! YA budu kratok, poskol'ku ochen' zanyat. Segodnya utrom ya prisutstvoval na neskol'kih soveshchaniyah v Pentagone i v Belom dome, a dnem mne neobhodimo byt' v French Flete, shtat Nevada, gde predstoit provesti podzemnyj vzryv. Vecherom ya dolzhen proiznesti rech' na bankete, kotoryj sostoitsya na baze VVS SSHA Vandenberg v Kalifornii. Teper' o glavnom. Delo v tom, chto v atomnyh yadrah podderzhivaetsya ravnovesie mezhdu silami dvoyakogo roda - yadernymi silami prityazheniya, kotorye stremyatsya uderzhat' yadro v celosti, i elektricheskimi silami ottalkivaniya mezhdu protonami. V tyazhelyh yadrah, takih kak yadra urana ili plutoniya, sily ottalkivaniya preobladayut, i yadra pri malejshem vozmushchenii gotovy raspast'sya na dva oskolka - produkty deleniya. Takim vozmushcheniem mozhet byt' odin-edinstvennyj nejtron, stalkivayushchijsya s yadrom. Obernuvshis' k doske, gost' prodolzhal: - Vot delyashcheesya yadro, a vot stalkivayushchijsya s nim nejtron. Dva oskolka deleniya razletayutsya v storony, i kazhdyj iz nih unosit okolo odnogo milliona elektron-vol't energii. Krome togo, raspadayas', yadro vystrelilo neskol'kimi novymi nejtronami deleniya (obychno ih byvaet dva v sluchae legkogo izotopa urana i tri v sluchae plutoniya). Reakciya - bac, bac! - prodolzhaetsya, kak ya izobrazil zdes' na doske. Esli kusok delyashchegosya materiala mal, to b_o_l'shaya chast' nejtronov deleniya vyryvaetsya iz ego poverhnosti prezhde, chem oni imeyut shans stolknut'sya s drugim delyashchimsya yadrom, i cepnaya reakciya tak i ne nachinaetsya. No esli kusok delyashchegosya materiala imeet dostatochno bol'shie razmery (my nazyvaem takoj kusok kriticheskoj massoj), dyujma tri-chetyre v diametre, to bol'shinstvo nejtronov okazyvayutsya zahvachennymi, i vsya eta shtuka vzryvaetsya. Takoe ustrojstvo my nazyvaem bomboj deleniya (v pechati ee dovol'no chasto nepravil'no nazyvayut atomnoj bomboj).
Gorazdo luchshih rezul'tatov mozhno dostich', esli obratit'sya k drugomu koncu Periodicheskoj sistemy elementov, gde yadernye sily prevoshodyat elektricheskoe ottalkivanie. Kogda dva legkih yadra prihodyat v soprikosnovenie, oni slivayutsya, kak dve kapel'ki rtuti na blyudechke. Takoe sliyanie mozhet proizojti tol'ko pri ochen' vysokoj temperature, tak kak elektricheskoe ottalkivanie - meshaet legkim yadram sblizit'sya i prijti v soprikosnovenie. No kogda temperatura dostigaet desyatkov millionov gradusov, elektricheskoe ottalkivanie uzhe ne v silah pomeshat' sblizheniyu atomov i process sliyaniya, ili termoyadernogo sinteza, nachinaetsya. Naibolee podhodyashchimi yadrami dlya termoyadernogo sinteza yavlyayutsya dejtrony, t. e. yadra atomov tyazhelogo vodoroda. Sprava na doske ya izobrazil prostuyu shemu termoyadernoj reakcii v dejterii. Kogda my vpervye pridumali vodorodnuyu bombu, nam kazalos', chto ona stanet blagosloveniem dlya vsego mira, tak kak pri ee vzryve ne obrazuyutsya radioaktivnye produkty deleniya, kotorye potom raznosyatsya po vsej zemnoj atmosfere. No nam ne udalos' sozdat' "chistuyu" vodorodnuyu bombu, potomu chto dejterij, luchshee yadernoe toplivo, kotoroe legko izvlekaetsya iz morskoj vody, nedostatochno horosho gorit sam po sebe. Nam prishlos' okruzhit' dejterievuyu serdcevinu uranovoj obolochkoj. Takie obolochki porozhdayut mnozhestvo oskolkov deleniya, i lyudi prozvali nashu konstrukciyu "gryaznoj" vodorodnoj bomboj. Analogichnye trudnosti voznikli i pri proektirovanii upravlyaemoj termoyadernoj reakcii s dejteriem i, nesmotrya na vse usiliya, nam tak i ne udalos' osushchestvit' ee. No ya uveren, chto rano ili pozdno problema upravlyaemogo termoyadernogo sinteza budet reshena. - Doktor Tallerkin, - sprosil kto-to iz auditorii, - mogut li oskolki deleniya yader pri ispytaniyah gryaznoj vodorodnoj bomby vyzvat' opasnye dlya zdorov'ya cheloveka mutacii u naseleniya vsego zemnogo shara? - Ne vse mutacii vredny, - ulybnulsya doktor Tallerkin. - Nekotorye mutacii sposobstvuyut uluchsheniyu nasledstvennosti. Esli by v zhivyh organizmah ne proishodili mutacii, to i vy, i ya vse eshche byli by amebami. Razve vy ne znaete, chto evolyuciya zhizni na Zemle proishodit isklyuchitel'no blagodarya mutaciyam i vyzhivaniyu naibolee prisposoblennyh mutantov? - Uzh ne hotite li vy skazat', - istericheski zakrichala kakaya-to zhenshchina v auditorii, - chto my dolzhny rozhat' detej dyuzhinami i, otobrav nailuchshih, umervshchlyat' ostal'nyh? - Vidite li... - nachal doktor Tallerkin, no v etot moment dver' otvorilas' i v auditoriyu voshel chelovek v letnoj forme. - Potoraplivajtes', ser! - skorogovorkoj dolozhil on. - Vash vertolet priparkovan u vhoda i, esli my ne vyletim sejchas zhe, vy ne smozhete vovremya pribyt' v aeroport, gde vas ozhidaet special'nyj reaktivnyj samolet! - Proshu menya izvinit', - obratilsya doktor Tallerkin k auditorii, - no mne pora idti. Isten veluk! I oni oba, doktor Tallerkin i pilot, pospeshili iz auditorii. Glava 13 Rezchik po derevu
Dver' byla bol'shaya i massivnaya. Posredine na nej krasovalas' nadpis', sdelannaya krupnymi bukvami: "Ostorozhno! Vysokoe napryazhenie!". No pervoe vpechatlenie negostepriimstva neskol'ko smyagchalos' krupnoj nadpis'yu "Dobro pozhalovat'!" na kovrike u dveri, i posle minutnogo kolebaniya mister Tompkins nazhal na knopku dvernogo zvonka. Dver' otkryl molodoj assistent, i mister Tompkins okazalsya v ogromnom pomeshchenii, dobruyu polovinu kotorogo zanimala zamyslovataya mashina samogo fantasticheskogo vida. - |to nash ciklotron, ili "atomnaya drobilka", kak ego nazyvayut v gazetah, - poyasnil assistent, lyubovno poglazhivaya vitki odnoj iz katushek gigantskogo elektromagnita, sostavlyayushchego osnovnuyu chast' ves'ma vnushitel'no vyglyadevshego orudiya sovremennoj fiziki. - On pozvolyaet poluchat' chasticy s energiej do desyati millionov elektron-vol't, - s gordost'yu prodolzhal assistent, - i nemnogo najdetsya yader, kotorye sposobny vyderzhat' stolknovenie s chasticej, dvizhushchejsya s takoj nevoobrazimoj energiej! - Potryasayushche interesno! - otozvalsya mister Tompkins. - |ti yadra, dolzhno byt', ochen' prochny! Trudno poverit', chto etakaya mahina byla postroena tol'ko dlya togo, chtoby raskololos' krohotnoe yadro krohotnogo atoma. A kak rabotaet eta mashina? - Vy byli kogda-nibud' v cirke? - sprosil mistera Tompkinsa ego test', vnezapno voznikaya otkuda-to iz-za gigantskogo ciklotrona. - Razumeetsya, byl, - otvetil mister Tompkins, neskol'ko udivlennyj neozhidannym voprosom. - Vy hotite predlozhit' mne pojti s vami segodnya v cirk na vechernee predstavlenie? - Ne sovsem, - ulybnulsya professor. - Prosto, esli vam sluchalos' byvat' v cirke, eto pomozhet vam ponyat', kak rabotaet ciklotron. Vzglyanite mezhdu polyusov etogo ogromnogo magnita i vy uvidite kruglyj mednyj kozhuh. On sluzhit kol'com, v kotorom uskoryayutsya razlichnye zaryazhennye chasticy, ispol'zuemye v eksperimentah po bombardirovke yader. V centre kozhuha raspolozhen istochnik, ispuskayushchij vse eti zaryazhennye chasticy, ili iony. Vyletaya iz istochnika, iony dvizhutsya s ochen' malen'kimi skorostyami, i sil'noe pole, sozdavaemoe magnitom, izgibaet ih traektorii v nebol'shie okruzhnosti vokrug centra. Zatem my nachinaem pogonyat' chasticy i razgonyaem ih do vse bol'shih i bol'shih skorostej. - YA ponimayu, kak pogonyat' loshad', - zametil mister Tompkins, - no kak vam udaetsya pogonyat' krohotnye zaryazhennye chasticy, vyshe moego razumeniya. - A mezhdu tem eto ochen' prosto. Esli chastica dvizhetsya po krugu, to vse, chto neobhodimo delat', eto soobshchat' ej ryad posledovatel'nyh elektricheskih tolchkov vsyakij raz, kogda chastica budet prohodit' cherez opredelennuyu tochku svoej traektorii, podobno tomu, kak v cirke trener hlystom podgonyaet loshad' vsyakij raz, kogda ta, opisyvaya po arene krug za krugom, probegaet mimo nego.
- No trener vidit loshad', - vozrazil mister Tompkins. - A razve vy vidite chasticu, opisyvayushchuyu krug za krugom v toj mednoj korobke, chtoby podtolknut' ee v nuzhnyj moment? - Razumeetsya, ne vizhu, - soglasilsya professor, - no eto i neobyazatel'no. Vsya hitrost' ustrojstva ciklotrona sostoit v tom, chto, hotya uskoryaemaya chastica dvizhetsya vse bystree i bystree, ona vsegda sovershaet polnyj oborot za odno i to zhe vremya. Delo v tom, chto po mere uvelicheniya skorosti chasticy radius, a sledovatel'no, i dlina ee krugovoj traektorii takzhe sootvetstvenno uvelichivayutsya. V rezul'tate uskoryaemaya chastica dvizhetsya po raskruchivayushchejsya spirali i vsegda prihodit v odno i to zhe mesto "kol'ca" cherez odinakovye promezhutki vremeni. Vse, chto neobhodimo sdelat', eto pomestit' v dannom meste kakoe-nibud' elektricheskoe ustrojstvo, kotoroe podtalkivalo by chasticu cherez odinakovye promezhutki vremeni. My delaem eto s pomoshch'yu kolebatel'nogo elektricheskogo kontura, ochen' pohozhego na te shemy, kotorye vy mozhete videt' na lyuboj radiostancii. Kazhdyj elektricheskij tolchok ne ochen' silen, no kumulyativnyj effekt mnogih tolchkov pozvolyaet razgonyat' chasticu do ochen' bol'shih skorostej. V etom ogromnoe preimushchestvo ciklotrona: on pozvolyaet dostigat' takogo zhe effekta, kak napryazhenie vo mnogie milliony vol't, hotya nigde v ciklotrone vy ne najdete vysokih napryazhenij. - Ochen' ostroumno, - zadumchivo proiznes mister Tompkins, - A ch'e eto izobretenie? - Pervyj ciklotron byl postroen neskol'ko let nazad nyne pokojnym |rnestom Orlando Lourensom v Kalifornijskom universitete, - otvetil professor. - S teh por ciklotrony znachitel'no vyrosli v svoih razmerah i rasprostranilis' po fizicheskim laboratoriyam so skorost'yu sluhov. Oni okazalis' udobnee, chem starye uskoriteli s celym kaskadom transformatorov ili drugie uskoriteli, rabotavshie kak elektrostaticheskie mashiny. - A nel'zya li razbit' atomnoe yadro vdrebezgi, ne pribegaya ko vsem etim slozhnym mashinam? - sprosil mister Tompkins, tverdo ubezhdennyj storonnik prostoty, s nedoveriem otnosivshijsya k lyubym ustrojstvam slozhnee molotka. - Razumeetsya, mozhno. Kogda Rezerford provodil svoi pervye eksperimenty po iskusstvennomu prevrashcheniyu elementov, on kak raz ispol'zoval obychnye al'fa-chasticy, ispuskaemye estestvennymi radioaktivnymi istochnikami. No eto bylo bolee dvadcati let nazad, i, kak vy mozhete ubedit'sya, s teh por metody deleniya atoma sushchestvenno usovershenstvovalis'. - A ne mozhete li vy pokazat' mne, kak razbivayut atom? - poprosil mister Tompkins, vsegda predpochitavshij uvidet' svoimi glazami vmesto togo, chtoby vyslushivat' dlinnye ob座asneniya. - S udovol'stviem, - otvetil professor. - My kak raz pristupaem k eksperimentu po dal'nejshemu issledovaniyu deleniya yadra bora pri stolknovenii s bystrymi protonami. Kogda yadro bora stalkivaetsya s protonom i eto stolknovenie dostatochno sil'no dlya togo, chtoby bombardiruyushchaya chastica pronikla skvoz' potencial'nyj bar'er i okazalas' vnutri yadra, ono raspadaetsya na tri primerno ravnyh oskolka, kotorye razletayutsya vo vse storony. Ves' process mozhno nablyudat' neposredstvenno v tak nazyvaemoj puzyr'kovoj kamere, delayushchej vidimymi traektorii vseh chastic, uchastvuyushchih v stolknovenii. Takaya kamera s nebol'shim kusochkom bora v seredine ustanovlena u vyhoda uskoritel'noj sistemy, i kak tol'ko ciklotron zarabotaet, vy uvidite delenie yadra sobstvennymi glazami. - Vklyuchite, pozhalujsta, tok, - obratilsya professor k svoemu assistentu, - a ya poka zajmus' regulirovkoj magnitnogo polya. CHtoby zapustit' ciklotron, ponadobilos' nekotoroe vremya, i predostavlennyj samomu sebe mister Tompkins prazdno brodil po laboratorii. Ego vnimanie privlekla slozhnaya sistema usilitel'nyh lamp, tlevshih slabym golubovatym svetom. Ne znaya v tochnosti, kakie elektricheskie napryazheniya ispol'zuyutsya v ciklotrone (napryazhenie mozhet byt' malo dlya togo, chtoby rasshchepit' atomnoe yadro, no vpolne dostatochno, chtoby svalit' byka!), mister Tompkins ostorozhno naklonilsya nad lampami. Posledoval rezkij shchelchok, slovno ukrotitel' l'vov vzmahnul svoim hlystom, i mister Tompkins pochuvstvoval uzhasnuyu bol', pronzivshuyu vse ego telo. V tot zhe mig t'ma okutala vse, i on poteryal soznanie. Kogda mister Tompkins, nakonec, otkryl glaza, on obnaruzhil, chto lezhit na polu v tom samom meste, gde ego srazil elektricheskij razryad. Pomeshchenie vrode by ostavalos' prezhnim, no bylo obstavleno sovershenno po-drugomu. Vmesto vozvyshavshegosya napodobie bashni ciklotronnogo magnita, siyayushchih mednyh kontaktov i desyatkov slozhnyh elektricheskih ustrojstv, torchavshih tut i tam, mister Tompkins uvidel derevyannyj stol, na kotorom byli razbrosany plotnickie instrumenty. Na staromodnyh polkah, visevshih po stenam, mister Tompkins zametil mnozhestvo vyrezannyh iz dereva figur strannyh i neobychnyh form. Za stolom sidel privetlivyj starichok. Priglyadevshis' k ego chertam, mister Tompkins byl porazhen sil'nym shodstvom so starikom Dzhepetto iz fil'ma "Pinokkio" Uolta Disneya i s portretom pokojnogo Rezerforda lorda Nel'sona, visevshim v laboratorii u professora. - Proshu proshcheniya za nevol'noe vtorzhenie, - skazal mister Tompkins, podnimayas' s pola. - Vidite li, ya byl na ekskursii v yadernoj laboratorii i tam so mnoj priklyuchilos' chto-to strannoe. - A, tak vy interesuetes' atomnym yadrom? - ozhivilsya starichok, otkladyvaya v storonu derevyannuyu figurku, kotoruyu on vyrezal. Togda vy popali kak raz tuda, kuda nado! YA izgotovlyayu vsevozmozhnye yadra i budu rad pokazat' vam svoyu masterskuyu. - YA ne oslyshalsya? - peresprosil mister Tompkins s ozadachennym vidom. - Vy skazali, chto zanimaetes' izgotovleniem yader? - Da, vy ne oslyshalis'. Pravda, eto trebuet izvestnoj snorovki, v osobennosti izgotovlenie radioaktivnyh yader. Ved' ne uspeesh' ih vykrasit', kak oni mogut raspast'sya. - _Vykrasit'_? - Da, polozhitel'no zaryazhennye chasticy ya obychno okrashivayu v krasnyj cvet, a otricatel'no zaryazhennye - v zelenyj. Vy, dolzhno byt', znaete, chto krasnyj i zelenyj cveta prinadlezhat k chislu tak nazyvaemyh _dopolnitel'nyh cvetov_ i pri smeshivanii unichtozhayut drug druga {CHitatel' dolzhen imet' v vidu, chto, govorya o smeshivanii cvetov, my imeem v vidu tol'ko luchi sveta sootvetstvuyushchej okraski, a ne sami cveta. Esli smeshat' krasnuyu i zelenuyu kraski, to poluchitsya nekij gryaznyj cvet. Esli zhe polovinu verhnej storony volchka vykrasit' v krasnyj cvet, a druguyu polovinu - v zelenyj, to, zakrutiv volchok, my uvidim, chto on belyj.}. Dopolnitel'nye cveta sootvetstvuyut polozhitel'nym i otricatel'nym elektricheskim zaryadam, kotorye nejtralizuyut drug druga. Esli atomnoe yadro sostoit iz odinakovogo chisla polozhitel'nyh i otricatel'nyh zaryadov, bystro dvigayushchihsya v odnu i v druguyu storonu, to takoe yadro budet elektricheski nejtral'nym i pokazhetsya vam belym. Esli zhe polozhitel'nyh ili otricatel'nyh chastic budet bol'she, to vsya sistema budet okrashena v krasnyj ili v zelenyj cvet. Ne pravda li, prosto? - Zdes', - prodolzhal starichok, pokazyvaya misteru Tompkinsu dva bol'shih derevyannyh yashchika, stoyavshih vozle stola, - ya hranyu materialy, iz kotoryh mozhno izgotovit' razlichnye yadra. V pervom yashchike u menya hranyatsya _protony_ - vidite eti krasnye shary? Oni ochen' stabil'ny i sohranyayut svoj krasnyj cvet, dazhe esli vy vzdumaete poskoblit' ih nozhom ili chem-nibud' pocarapat'. S _nejtronami_ vo vtorom yashchike hlopot gorazdo bol'she. Obychno oni belye, ili elektricheski nejtral'nye, no obnaruzhivayut sil'nuyu tendenciyu prevrashchat'sya v krasnye protony. Poka yashchik plotno zakryt, vse v poryadke, no stoit lish' vynut' odin nejtron iz yashchika, kak proishodit sleduyushchee. Vot, polyubujtes' sami. Otkryv yashchik, staryj rezchik po derevu izvlek iz nego odin iz belyh sharov i polozhil ego na stol. Kakoe-to vremya nichego ne proishodilo, no kak raz v tot moment, kogda mister Tompkins nachal teryat' terpenie, shar vnezapno ozhil. Na ego poverhnosti poyavilis' krasnovatye i zelenovatye polosy, i vskore nekogda belyj shar vyglyadel, kak odin iz teh pestryh mramornyh sharikov, v kotorye tak lyubyat igrat' deti. Zelenyj cvet nachal koncentrirovat'sya na odnoj storone shara, kotoraya nachala vypyachivat'sya i zatem polnost'yu otdelilas' ot shara, obrazovav blestyashchuyu zelenuyu kaplyu, kotoraya upala na pol. SHar posle etogo stal krasnym i po vneshnemu vidu nichem ne otlichalsya ot krasnyh sharov-protonov v pervom yashchike.
- Vidite, chto proishodit, - skazal rezchik, podnimaya s pola zelenuyu kaplyu, stavshuyu tverdoj i krugloj. - Belyj cvet nejtrona prevratilsya v zelenyj i krasnyj, a sam nejtron raspalsya na dve otdel'nye chasticy - proton i otricatel'no zaryazhennyj elektron.
- Da, da, - dobavil starichok, vidya izumlennoe vyrazhenie na lice mistera Tompkinsa, - eta chastica cveta nefrita - ne chto inoe, kak obyknovennyj elektron, nichem ne otlichayushchijsya ot drugih elektronov v lyubom atome i v chem ugodno. - Podumat' tol'ko! - voskliknul mister Tompkins. - |to dejstvitel'no prevoshodit vse fokusy s raznocvetnymi nosovymi platkami, kakie tol'ko mne prihodilos' videt'. A mozhete li vy vernut' sharam ih ishodnuyu okrasku? - Da, ya votru zelenuyu krasku v poverhnost' krasnogo shara, ot chego shar snova stanet belym. Razumeetsya, dlya etogo pridetsya zatratit' opredelennoe kolichestvo energii. Drugoj sposob sostoit v tom, chtoby soskresti s shara krasnuyu krasku, no i on trebuet zatrat energii. Soskoblennaya s poverhnosti protona krasnaya kraska obrazuet krasnuyu kaplyu, t. e. polozhitel'no zaryazhennyj elektron, o kotorom vam, dolzhno byt', prihodilos' slyshat'. - O da, kogda ya byl elektronom, - nachal bylo mister Tompkins, no vo vremya spohvatilsya, - t. e. ya hochu skazat', chto slyshal, budto polozhitel'nye i otricatel'nye elektrony pri stolknovenii annigiliruyut, t. e. vzaimno unichtozhayutsya. Ne mogli by vy prodelat' etot tryuk dlya menya? - S udovol'stviem, - otvetil staryj master. - Delaetsya eto ochen' prosto. YA ne stanu soskrebat' krasku s etogo protona. U menya i tak ostalas' parochka-drugaya protonov ot utrennej raboty. Otkryv odin iz yashchikov, on izvlek iz nego nebol'shoj yarko-krasnyj shar i, krepko derzha ego mezhdu ukazatel'nym i bol'shim pal'cami, prizhal k zelenomu sharu, lezhavshemu na stole. Posledoval gromkij tresk, slovno vzorvalas' hlopushka, i oba shara odnovremenno ischezli. - Videli? - sprosil rezchik, duya na slegka obozhzhennye pal'cy. - Poetomu iz elektronov i nel'zya stroit' yadra. Odnazhdy ya popytalsya, no potom brosil etu zateyu i teper' stroyu yadra tol'ko iz protonov i nejtronov. - No ved' nejtrony tozhe nestabil'ny, esli ya ne oshibayus'? - sprosil mister Tompkins, vspominaya prevrashcheniya belogo shara. - Esli brat' nejtrony poodinochke, to oni dejstvitel'no nestabil'ny. No kogda oni plotno upakovany v yadre i okruzheny drugimi chasticami, to stanovyatsya stabil'nymi. Esli zhe nejtronov ili protonov stanovitsya slishkom mnogo, to oni mogut preterpevat' prevrashcheniya i ispuskat' iz yadra lishnyuyu krasku v vide polozhitel'no ili otricatel'no zaryazhennyh elektronov. Takie sobytiya my nazyvaem beta-raspadom. - Ispol'zuete li vy pri izgotovlenii yader klej? - pointeresovalsya mister Tompkins. - Net, nikakoj klej mne ne nuzhen, - otvetil staryj master. - |ti chasticy, izvol'te videt', sami slipayutsya, stoit lish' podnesti ih drug k drugu. Poprobujte sami, esli hotite. Posledovav etomu lyubeznomu priglasheniyu, mister Tompkins vzyal v odnu ruku proton, v druguyu nejtron i ostorozhno nachal ih sblizhat'. On srazu zhe pochuvstvoval sil'noe prityazhenie i, vzglyanuv na chasticy, zametil chrezvychajno strannoe yavlenie: chasticy nachali obmenivat'sya okraskoj, stanovyas' poperemenno to krasnymi, to belymi. Kazalos', budto krasnaya kraska "pereprygivaet" s shara v pravoj ruke na shar v levoj ruke, a zatem s shara v levoj ruke snova na shar v pravoj ruke. "Perekraska" sharov proishodila tak bystro, chto kazalos', budto mezhdu sharami protyanulas' rozovataya lenta, po kotoroj to v odnu, to v druguyu storonu peretekala kraska. - Moi druz'ya-teoretiki nazyvayut eto obmennym vzaimodejstviem, - zametil staryj master, posmeivayas' nad udivleniem mistera Tompkinsa. - Esli ugodno, mozhno skazat', chto oba shara hotyat byt' krasnymi, no poskol'ku oni ne mogut byt' krasnymi odnovremenno, shary kak by poperemenno peretyagivayut krasnuyu okrasku k sebe. Ni odin iz sharov ne zhelaet ustupat' drugomu, i poetomu shary vynuzhdeny prilipnut' drug k drugu i sosushchestvovat', pokuda vy ne razdelite ih nasil'no. A teper' ya hochu pokazat' vam, kak prosto izgotovit' lyuboe yadro, kakoe vy tol'ko pozhelaete. Kakoe yadro vam nravitsya bol'she drugih? - Zoloto, - otvetil mister Tompkins, pomnya ob ambiciyah srednevekovyh alhimikov. - Zoloto? Sejchas posmotrim, - probormotal sebe pod nos staryj master, oborachivayas' k ogromnoj tablice, visevshej na stene. - YAdro zolota vesit 197 edinic i neset 79 polozhitel'nyh elektricheskih zaryadov. Znachit, dlya izgotovleniya yadra zolota ya dolzhen vzyat' 79 protonov i 118 nejtronov - togda massa yadra poluchitsya pravil'noj. Otschitav nuzhnoe kolichestvo sharov kazhdogo sorta, master pomestil ih v vysokij cilindricheskij sosud i vstavil v nego tyazhelyj derevyannyj porshen'. Zatem izo vseh sil on naleg na porshen', pytayas' sdvinut' ego vniz. - |to neobhodimo dlya togo, - poyasnil on misteru Tompkinsu, - chtoby preodolet' sil'noe elektricheskoe ottalkivanie mezhdu polozhitel'no zaryazhennymi protonami. Lish' posle togo, kak szhatie porshnem preodoleet ottalkivanie protonov, protony i nejtrony slipnutsya pod dejstviem obmennyh sil i obrazuyut yadro zolota. S siloj opustiv porshen' do otkaza vniz, master vynul ego i bystro perevernul cilindricheskij sosud. Blestyashchij rozovatyj shar vykatilsya iz sosuda na stol, i, prismotrevshis' povnimatel'nee, mister Tompkins ponyal, chto rozovatyj cvet voznikal iz-za smesheniya krasnyh i belyh vspyshek, to i delo proskakivavshih mezhdu bystro dvizhushchimisya chasticami. - Kak krasivo! - voskliknul mister Tompkins. - Tak vot on kakoj, atom zolota! - Eshche ne atom, a tol'ko atomnoe yadro, - popravil ego staryj master. - CHtoby zavershit' postroenie atoma, neobhodimo dobavit' nadlezhashchee kolichestvo elektronov. Oni nejtralizuyut polozhitel'nyj zaryad yadra i sozdadut vokrug nego obychnuyu elektronnuyu obolochku. Vprochem, sdelat' eto ne sostavlyaet osobogo truda, tak kak yadro samo zahvatyvaet svoi elektrony, kak tol'ko te okazhutsya poblizosti. - Interesno, - zametil mister Tompkins. - Moj test' nikogda ne upominal o tom, chto izgotovit' zoloto tak prosto. - Vash test' i vse eti tak nazyvaemye fiziki-yadershchiki! - voskliknul staryj master s notkami razdrazheniya v golose. - Ochen' uzh oni vazhnichayut, hotya delat' umeyut ochen' malo. Oni utverzhdayut, budto protony nel'zya szhat' v sostavnoe yadro, tak kak dlya etogo potrebovalos' by slishkom bol'shoe davlenie. Odin iz nih dazhe podschital, chto dlya sblizheniya protonov ponadobilos' by prilozhit' silu, ravnuyu vesu Luny. Tak pochemu by ne dostat' s neba Lunu, esli im bol'she nechego delat'? - No oni vse zhe nauchilis' osushchestvlyat' _nekotorye_ yadernye prevrashcheniya, - myagko zametil mister Tompkins. - Da, no s kakim trudom dayutsya im eti reakcii! A novye elementy oni poluchayut v takih nichtozhnyh kolichestvah, chto sami zhe edva mogut ih rassmotret'! YA sejchas prodemonstriruyu vam, kak oni eto delayut. I shvativ proton, staryj master chto bylo sil zapustil im v yadro atoma zolota, lezhavshee na stole. U samogo yadra proton chut' zamedlil svoe dvizhenie, pokolebalsya kakoj-to moment i zatem nyrnul vnutr' yadra. Poglotiv proton, yadro zatryaslos', slovno ot oznoba, a zatem ot nego s treskom otkololas' nebol'shaya chast'. - Vidite, - skazal master, podbiraya oskolok. - |to to, chto nazyvaetsya al'fa-chasticej! Esli prismotret'sya povnimatel'nee, to vidno, chto ona sostoit iz dvuh protonov i dvuh nejtronov. Takie chasticy obychno ispuskayutsya tyazhelymi yadrami tak nazyvaemyh radioaktivnyh elementov, no al'fa-chasticu mozhno vybit' i iz obychnyh stabil'nyh yader, esli stuknut' po nim dostatochno sil'no. Hochu obratit' vashe vnimanie na to, chto ostavshijsya lezhat' na stole bolee krupnyj oskolok uzhe ne yavlyaetsya yadrom atoma zolota. On utratil odin polozhitel'nyj zaryad, i teper' pered nami yadro atoma platiny, predydushchego elementa v periodicheskoj tablice. Odnako v nekotoryh sluchayah proton, proniknuv v yadro, ne privodit k raspadu yadra na dva oskolka. V etom sluchae vy poluchite yadro elementa, sleduyushchego za zolotom v periodicheskoj tablice, t. e. yadro rtuti. Kombiniruya eti i analogichnye processy, mozhno prevrashchat' lyuboj element v lyuboj drugoj. - Teper' ya ponimayu, pochemu v yadernoj fizike ispol'zuyut puchki bystryh protonov, razognannyh do vysokih energij na ciklotrone, - zadumchivo proiznes mister Tompkins. - A pochemu vy schitaete, chto etot metod nehorosh? - Potomu chto effektivnost' ego ochen' nizka. Prezhde vsego fiziki-yadershchiki ne umeyut tak tochno popadat' v yadro, kak ya: u nih s yadrom stalkivaetsya lish' odna chastica iz tysyachi. Vo-vtoryh, dazhe v tom sluchae, esli chastica popala v yadro, ona s bol'shoj veroyatnost'yu ne pronikaet vnutr' yadra, a otskakivaet ot nego. Vy, dolzhno byt', zametili, chto kogda ya zapustil protonom v yadro atoma zolota, proton nemnogo pomedlil, prezhde chem vojti vnutr' yadra i ya uzhe bylo podumal, chto proton otskochit nazad. - A chto meshaet chasticam pronikat' v yadra? - pointeresovalsya mister Tompkins. - Ob etom vy mogli by dogadat'sya i sami, - skazal staryj master. - Esli vy pomnite, i yadra, i bombardiruyushchie ih protony nesut polozhitel'nye zaryady. Sily ottalkivaniya, dejstvuyushchie mezhdu etimi zaryadami, obrazuyut svoego roda bar'er, preodolet' kotoryj ne tak-to legko. Esli bombardiruyushchie protony vse zhe pronikayut v yadernuyu krepost', to proishodit eto tol'ko potomu, chto oni ispol'zuyut priem, napominayushchij Troyanskogo konya: prohodyat skvoz' yadernye steny, kak volny, a ne kak chasticy. - Boyus', chto eto vyshe moego razumeniya, - pechal'no zametil mister Tomgasins. - Iz vashih ob座asnenij ya ne ponyal ni slova. - Boyus', chto eto tak, - skazal rezchik s ulybkoj. - Skazat' vam po pravde, ya i sam ne ochen' razbirayus' vo vsem etom. Ved' ya master. YA mogu delat' vse eti veshchi rukami, no v teoreticheskoj abrakadabre ya ne slishkom silen. Glavnoe zdes' v tom, chto poskol'ku vse eti yadernye chasticy sdelany iz kvantovogo materiala, oni legko prohodyat, ili prosachivayutsya, skvoz' prepyatstviya, kotorye obychno schitayutsya nepronicaemymi. - O, ya kazhetsya ponimayu, chto vy imeete v vidu! - voskliknul mister Tompkins. - Pomnitsya, odnazhdy, eshche do togo, kak ya vstretil Mod, mne dovelos' pobyvat' v odnom strannom meste, gde bil'yardnye shary veli sebya v tochnosti tak, kak vy sejchas skazali. - Bil'yardnye shary? Vy imeete v vidu bil'yardnye shary iz slonovoj kosti? - povtoril s gorech'yu staryj master. - Da, naskol'ko ya znayu, shary byli vytocheny iz bivnej kvantovyh slonov, - otvetil mister Tompkins. - Nichego ne podelaesh', takova zhizn', - pechal'no skazal staryj master. - Podumat' tol'ko, kto-to vyrezaet kakie-to durackie shary, rashoduya stol' dragocennyj material dlya ch'ej-to zabavy, a mne prihoditsya vyrezat' protony i nejtrony, fundamental'nejshie chasticy Vselennoj, iz prostogo kvantovogo duba! - Vprochem, - prodolzhal on bodrym tonom, chtoby skryt' razocharovanie, - moi neschastnye derevyannye igrushki nichut' ne ustupayut vsem etim dorogim fintiflyushkam iz slonovoj kosti. Kak ya sejchas pokazhu vam, oni legko prohodyat skvoz' lyuboj bar'er. Vzobravshis' na stul, master dostal s verhnej polki reznuyu figurku neobychnogo vida, napominavshuyu model' vulkana. - Vot, ne ugodno li vzglyanut', - prodolzhal master, ostorozhno smahivaya pyl'. - Pered vami model' bar'era sil ottalkivaniya, kotoryj okruzhaet lyuboe atomnoe yadro. Vneshnie sklony sootvetstvuyut ottalkivaniyu elektricheskih zaryadov, a krater - silam scepleniya, uderzhivayushchim chasticy vnutri yadra. Esli tolknut' sharik vverh po sklonu, no ne slishkom sil'no, chtoby on ne dostig kraya kratera, to vy, estestvenno, ozhidaete, chto sharik skatitsya nazad. A vot chto proishodit na samom dele.
Master slegka podtolknul sharik vverh po sklonu. - Ne vizhu nichego neobychnogo, - zametil mister Tompkins, kogda sharik, podnyavshis' primerno do serediny sklona, skatilsya nazad. - Ne toropites', - spokojno skazal master. - Ne vse i ne vsegda poluchaetsya s pervogo raza. On eshche raz tolknul sharik vverh po sklonu, i sharik snova skatilsya vniz. I lish' s tret'ej popytki sharik, podnyavshis' primerno do serediny sklona, vnezapno ischez. - Kak vy dumaete, gde teper' sharik? - torzhestvuyushche sprosil staryj master s chuvstvom fokusnika, udachno vypolnivshego trudnyj tryuk. - Navernoe, v kratere? - vyskazal predpolozhenie mister Tompkins. - Vy sovershenno pravy, imenno v kratere, - podtverdil ego dogadku staryj master, vynimaya sharik iz uglubleniya dvumya pal'cami. - A teper' poprobuem zapustit' ego v obratnom napravlenii, - predlozhil on misteru Tompkinsu, - i posmotrim, smozhet li sharik vybrat'sya iz kratera, ne perekatyvayas' cherez kraj. V techenie kakogo-to vremeni nichego ne proishodilo, i mister Tompkins mog tol'ko slyshat' pogromyhivanie sharika, katavshegosya to v odnu, to v druguyu storonu vnutri kratera. Zatem, kak po manoveniyu volshebnoj palochki, sharik vdrug poyavilsya na seredine sklona i tiho skatilsya na stol. - To, chto vy sejchas videli, mozhet sluzhit' horoshej illyustraciej togo, chto proishodit pri radioaktivnom al'fa-raspade, - skazal rezchik, stavya model' na polku, - tol'ko tam vmesto bar'era iz obychnogo kvantovogo duba sushchestvuet bar'er sil ottalkivaniya elektricheskih zaryadov. V principe nikakoj raznicy mezhdu model'yu i nastoyashchim al'fa-raspadom net. Inogda eti elektricheskie bar'ery v atomah stanovyatsya nastol'ko "prozrachnymi", chto chasticy pokidayut yadra za nichtozhnuyu dolyu sekundy. V drugih sluchayah yadernye bar'ery nastol'ko "neprozrachnye", chto perehod iz yadra naruzhu zatyagivaetsya na mnogie milliardy let, kak naprimer v yadre urana. - No pochemu ne vse yadra radioaktivny? - pointeresovalsya mister Tomtpsins. - Potomu chto u bol'shinstva yader dno kratera raspolozheno nizhe urovnya podoshvy vulkana, i tol'ko u samyh tyazhelyh iz izvestnyh yader dno kratera podnyato dostatochno vysoko dlya togo, chtoby "pobeg" chasticy mog sostoyat'sya. Trudno skazat', skol'ko chasov provel mister Tomtpsins v masterskoj u milogo starogo mastera, s gotovnost'yu delivshegosya s nim svoimi poznaniyami na lyubuyu temu, kotoruyu oni zatragivali v besede. Master pokazal misteru Tompkinsu mnozhestvo neobychnyh veshchej, v tom chisle tshchatel'no zakrytuyu, no, po-vidimomu, pustuyu shkatulku s nadpis'yu "NEJTRINO. _Obrashchat'sya s ostorozhnost'yu_". - Tam vnutri chto-nibud' est'? - s lyubopytstvom sprosil mister Tompkins, vstryahivaya shkatulku u samogo uha. - Ne znayu, - priznalsya staryj master. - Odni govoryat, chto est', drugie, chto net. No vnutri shkatulki vy vse ravno nichego ne uvidite. |tu zanyatnuyu shkatulku podaril mne odin priyatel', fizik-teoretik, i, po pravde govorya, ya ne znayu, chto s nej delat'. Luchshe vsego poka ostavit' ee v pokoe. Prodolzhaya osmatrivat' masterskuyu, mister Tompkins uvidel na verstake pokrytuyu pyl'yu starinnuyu skripku. Ona kazalas' takoj staroj, slovno ee izgotovil dedushka Stradivari. - Vy igraete na skripke? - povernulsya k rezchiku mister Tompkins. - Tol'ko gamma-melodii, - otvetil staryj master. - |to kvantovaya skripka, i nichego drugogo na nej ispolnit' nel'zya. Kogda-to u menya byla kvantovaya violonchel'. Na nej mozhno bylo ispolnyat' melodii v opticheskom diapazone, no kto-to poprosil ee u menya poigrat', da tak i ne udosuzhilsya vernut'.
- Sygrajte mne, pozhalujsta, kakuyu-nibud' gamma-melodiyu, - poprosil mister Tompkins. - Mne ne prihodilos' slyshat' takie melodii prezhde. - YA sygrayu vam "Nukleat v tonal'nosti Th S diez", - skazal staryj master, berya skripku, - no prigotov'tes', eto ochen' pechal'naya melodiya. Muzyka, dejstvitel'no, zvuchala ochen' stranno. Nichego pohozhego misteru Tompkinsu slyshat' ne prihodilos'. Melodiya napominala neumolchnyj shum morskih voln, nakatyvayushchihsya na peschanyj bereg. Vremya ot vremeni shum priboya preryval rezkij zvuk, napominavshij svist proletevshej mimo puli. Mister Tompkins ne byl zavzyatym melomanom, no ispolnyaemaya masterom melodiya zacharovala i skovala ego. On potyanulsya, ustroilsya poudobnee v starom kresle i zakryl glaza... Glava 14 Dyry v pustote Ledi i dzhentl'meny! Segodnya ya proshu vas byt' osobenno vnimatel'nymi, poskol'ku problemy, o kotoryh pojdet rech' v moej lekcii, stol' zhe trudny, skol' i uvlekatel'ny. YA namerevayus' rasskazat' vam o novyh chasticah, izvestnyh pod nazvaniem pozitrony i obladayushchih bolee chem neobychnymi svojstvami. Ves'ma pouchitel'no, chto sushchestvovanie etoj novoj raznovidnosti chastic bylo predskazano na osnove chisto teoreticheskih soobrazhenij za neskol'ko let do togo, kak oni byli obnaruzheny eksperimental'no, otkrytiyu pozitronov v znachitel'noj mere sposobstvovalo teoreticheskoe predskazanie ih osnovnyh svojstv. CHest' sdelat' eti predskazaniya prinadlezhit britanskomu fiziku Polyu Diraku, o kotorom vam uzhe prihodilos' slyshat'. K svoim zaklyucheniyam Dirak prishel na osnove teoreticheskih soobrazhenij, stol' neobychnyh i fantasticheskih, chto bol'shinstvo fizikov dolgoe vremya otkazyvalos' verit' v nih. Osnovnuyu ideyu teorii Diraka mozhno sformulirovat' v sleduyushchih prostyh slovah: "V pustom prostranstve dolzhny byt' dyry". YA vizhu, vy udivleny. Ne menee vas byli udivleny i fiziki, kogda Dirak vpervye proiznes eti slova. Kak mogut byt' dyry v pustom prostranstve? Est' li v podobnom utverzhdenii kakoj-nibud' smysl? Okazyvaetsya, est', esli vspomnit', chto tak nazyvaemoe pustoe prostranstvo v dejstvitel'nosti ne tak pusto, kak nam kazhetsya. V samom dele, osnovnym ishodnym punktom teorii Diraka sluzhit predpolozhenie o tom, chto _tak nazyvaemoe pustoe prostranstvo, ili vakuum, v dejstvitel'nosti plotno zapolneno beskonechno mnogimi elektronami (obychnymi otricatel'no zaryazhennymi elektronami), upakovannymi ves'ma pravil'no i ravnomerno_. Net neobhodimosti govorit' o tom, chto eta staraya gipoteza prishla Diraku v golovu ne prosto kak igra fantazii. K prinyatiyu ee Diraka vynudil celyj ryad soobrazhenij, svyazannyh s teoriej obychnyh otricatel'no zaryazhennyh elektronov. |ta teoriya privodit k neizbezhnomu zaklyucheniyu o tom, chto pomimo kvantovyh sostoyanij dvizheniya v atome sushchestvuet takzhe beskonechno mnogo osobyh _otricatel'nyh kvantovyh sostoyanij_, prinadlezhashchih chistomu vakuumu i chto elektrony, esli nichto ne meshaet im perehodit' v eti "bolee udobnye" sostoyaniya dvizheniya, pokinut svoi atomy i, tak skazat', rastvoryatsya v pustom prostranstve. Bolee togo, poskol'ku sushchestvuet tol'ko odin sposob vosprepyatstvovat' elektronu perehodit', kuda emu zablagorassuditsya, a imenno zanyat' to sostoyanie, v kotoroe sobiraetsya perehodit' elektron, drugim elektronom (vspomnite princip Pauli!), vse sostoyaniya v vakuume dolzhny byt' zapolneny beskonechno mnogimi elektronami, ravnomerno raspredelennymi po vsemu prostranstvu. Boyus', chto moi slova zvuchat dlya vas, kak svoego roda nauchnaya abrakadabra i chto golova u vas ot vsego etogo vdet krugom. Dolzhen zametit', chto predmet moej lekcii segodnya osobenno truden, no ya nadeyus', chto esli vy budete vnimatel'no slushat' menya, to v konce koncov vam udastsya sostavit' opredelennoe predstavlenie o haraktere teorii Diraka. No vernemsya k teme lekcii. Tak ili inache Dirak prishel k zaklyucheniyu o tom, chto pustoe prostranstvo do otkaza zapolneno elektronami, raspredelennymi ravnomerno, no s beskonechno bol'shoj plotnost'yu. Kak moglo sluchit'sya, chto my voobshche ne zamechaem stol' gustogo skopleniya elektronov i rassmatrivaem vakuum kak absolyutnoe prostranstvo? Vy smozhete luchshe ponyat' otvet na eti voprosy, esli voobrazite sebya glubokovodnoj ryboj, nahodyashchejsya v tolshche vod. Ponimaet li ryba, razumeetsya, esli ona nadelena dostatochno razvitym intellektom dlya togo, chtoby zadat' sebe vopros, chto ona okruzhena vodoj? |ti slova vyveli mistera Tompkinsa iz dremoty, v kotoruyu on pogruzilsya v nachale lekcii. On byl zayadlym rybakom i dazhe pochuvstvoval na svoem lice svezhee dyhanie morskogo vetra i voochiyu uvidel plavno katyashchiesya volny. No hotya mister Tompkins neploho plaval, pochemu-to na etot raz emu bylo trudno uderzhat'sya na poverhnosti i on nachal medlenno idti ko dnu, opuskayas' vse glubzhe i glubzhe. Kak ni stranno, no on ne oshchushchal nehvatki vozduha i chuvstvoval sebya vpolne komfortno. - Mozhet byt', - podumal on, - so mnoj proizoshla kakaya-nibud' osobaya recessivnaya mutaciya? Po dannym paleontologov, zhizn' zarodilas' v okeane i pervymi, kto vybralsya iz vody na sushu, byli tak nazyvaemye _dvoyakodyshashchie_ ryby, hodivshie na plavnikah. Po mneniyu biologov, eti pervye dvoyakodyshashchie ryby, kotoryh nazyvayut po-raznomu (v Avstralii rogozubami, v Afrike protopterami, v YUzhnoj Amerike cheshujchatnikami ili lepidosirenami), postepenno prevratilis' v suhoputnyh zhivotnyh, takih kak myshi i koshki, i v lyudej. Nekotorye iz zhivotnyh, naprimer, kity i del'finy, oznakomivshis' so vsemi trudnostyami zhizni na sushe, vernulis' v okean. No i posle vozvrashcheniya v vodu oni sohranili kachestva, priobretennye vo vremya bor'by za sushchestvovanie na sushe, naprimer, ostalis' mlekopitayushchimi, ih samki vynashivayut potomstvo vnutri svoego tela, a ne otkladyvayut ikru, kotoruyu zatem oplodotvoryayut samcy. Razve znamenityj vengerskij uchenyj Leo Scilard {Avtor imeet v vidu nauchno-fantasticheskuyu novellu Leo Scilarda "Golos del'finov".} ne skazal kak-to, chto del'finy obladayut bolee razvitym intellektom, chem lyudi? Tut razmyshleniya mistera Tompkinsa byli prervany razgovorom, proishodivshim gde-to gluboko pod poverhnost'yu okeana mezhdu del'finom i tipichnym gomo sapiensom, v kotorom Tompkins (po nekogda vidennoj fotografii) srazu uznal fizika iz Kembridzhskogo universiteta Polya Adriena Morisa Diraka. - Poslushaj, Pol', - govoril del'fin, - ty schitaesh', chto my nahodimsya ne v vakuume, a v material'noj srede, sostoyashchej iz chastic s otricatel'noj massoj. YA lichno schitayu, chto voda nichem ne otlichaetsya ot pustogo prostranstva. Ona sovershenno odnorodna, i smogu svobodno dvigat'sya v nej po vsem napravleniyam. Odnako ot svoego dalekogo predka - pra-pra-pra-pra-pradedushki - ya slyshal legendu o tom, chto na sushe vse inache. Tam est' gory i ushchel'ya, preodolet' kotorye stoit nemalyh usilij. Zdes', v vode, ya mogu dvigat'sya v lyubuyu storonu, kuda zahochu.
- Esli govorit' o morskoj vode, to vy pravy, drug moj, - otvechal P.A.M. - Voda sozdaet trenie o poverhnost' vashego tela, i esli vy ne budete dvigat' hvostom i plavnikami, to ne smozhete dvigat'sya voobshche. Krome togo, poskol'ku davlenie vody izmenyaetsya s glubinoj, vy mozhete vsplyvat' ili pogruzhat'sya, rasshiryaya ili szhimaya svoe telo. No esli by voda ne byla vyazkoj i ne sozdavala treniya o poverhnost' vashego tela i esli by ne bylo gradienta davleniya, to vy byli by stol' zhe bespomoshchny, kak astronavt, u kotorogo issyaklo raketnoe toplivo. Moj okean, sostoyashchij iz elektronov s otricatel'nymi massami, absolyutno lishen vyazkosti i poetomu nenablyudaem. Fizicheskie pribory pozvolyayut nablyudat' tol'ko _otsutstvie_ odnogo iz elektronov, tak kak otsutstvie otricatel'nogo elektricheskogo zaryada ekvivalentno prisutstviyu polozhitel'nogo elektricheskogo zaryada, poetomu dazhe Kulon mog by zametit', chto odnogo elektrona ne hvataet. Odnako pri sravnenii moego okeana elektronov s obychnym okeanom sleduet imet' v vidu odno vazhnoe otlichie, chtoby eta analogiya ne zavela nas slishkom daleko. Delo v tom, chto elektrony, obrazuyushchie moj okean, podchinyayutsya principu Pauli. Ni odnogo elektrona nevozmozhno dobavit' k okeanu, esli vse vozmozhnye kvantovye sostoyaniya zapolneny. Takoj "lishnij" elektron vynuzhden byl by ostat'sya nad poverhnost'yu moego okeana i legko mog by byt' obnaruzhen eksperimentatorami. |lektrony byli vpervye otkryty serom Dzh. Dzh. Tomsonom. |lektrony, kotorye vrashchayutsya vokrug atomnyh yader ili letyat v vakuumnyh trubkah, kak raz i prinadlezhat k chislu takih "lishnih" elektronov. Do togo kak ya opublikoval svoyu pervuyu rabotu v 1930 g., ostal'noe prostranstvo schitalos' pustym. Po obshchemu mneniyu, fizicheskoj real'nost'yu obladali togda tol'ko sluchajnye vspleski, vzdymayushchiesya nad poverhnost'yu energii. - No esli vash okean nenablyudaem, - zametil del'fin, - iz-za svoej nepreryvnosti i otsutstviya treniya, to kakoj smysl tolkovat' o nem? - Smysl est', da eshche kakoj! - vozrazil P.A.M. - Predpolozhim, chto kakaya-to vneshnyaya sila podnyala odin iz elektronov s otricatel'noj massoj iz glubin okeana nad ego poverhnost'yu. CHislo nablyudaemyh elektronov pri etom uvelichilos' na edinicu, chto mozhno rassmatrivat' kak narushenie zakona sohraneniya energii. No i pustaya dyrka v okeane, obrazovavshayasya v tom meste, otkuda byl izvlechen elektron, takzhe budet nablyudaema, poskol'ku otsutstvie otricatel'nogo zaryada v ravnomernom raspredelenii vosprinimaetsya, kak prisutstvie ravnogo po velichine polozhitel'nogo zaryada. |ta polozhitel'no zaryazhennaya chastica budet k tomu zhe obladat' polozhitel'noj massoj, i napravlenie ee dvizheniya budet sovladat' s napravleniem sily tyazhesti. - Vy hotite skazat', chto dyrka, ili polozhitel'no zaryazhennaya chastica, budet vsplyvat', a ne tonut'? - s udivleniem sprosil del'fin. - Sovershenno verno. Ne somnevayus', chto vam prihodilos' neodnokratno videt', kak razlichnye predmety opuskayutsya na dno, uvlekaemye siloj tyazhesti, inogda eto byli predmety, broshennye za bort s sudna, inogda sami suda. - No poslushajte, - prerval samogo sebya P.A.M. - Vidite eti krohotnye serebristye predmety, podnimayushchiesya k poverhnosti? Ih dvizhenie takzhe obuslovleno dejstviem sily tyazhesti, no dvizhutsya oni v protivopolozhnuyu storonu. - No ved' eto zhe puzyr'ki, - zametil del'fin. - Oni, dolzhno byt', otorvalis' ot chego-to, chto soderzhalo vozduh, kogda ono perevernulos' ili razbilos', udarivshis' o kamenistoe dno. - Vy sovershenno pravy, eto dejstvitel'no puzyr'ki, no ved' vam ne prihodilos' videt', chtoby puzyr'ki vsplyvali v vakuume? Sledovatel'no, moj okean ne pust. - CHto i govorit', teoriya ochen' ostroumna, - soglasilsya del'fin, - tol'ko verna li ona? - Kogda ya predlozhil ee v 1930 g., - otvetil P.A.M., - nikto v nee ne poveril. V znachitel'noj mere v etom nedoverii byl vinovat ya sam, poskol'ku pervonachal'no predpolagal, chto polozhitel'no zaryazhennye chasticy predstavlyayut soboj ne chto inoe, kak horosho izvestnye eksperimentatoram protony. Vy, konechno, znaete, chto proton v 1840 raz tyazhelee elektrona, no ya togda pital nadezhdu na to, chto s pomoshch'yu odnogo matematicheskogo tryuka mne udastsya ob座asnit' vozrosshee soprotivlenie uskoreniyu pod dejstviem dannoj sily i poluchit' chislo 1840 teoreticheski. No iz moej zatei nichego ne vyshlo, i material'naya massa puzyr'kov v moem okeane okazalas' v tochnosti ravnoj masse obychnogo elektrona. Moj kollega Pauli, kotoromu ya ne mogu otkazat' v chuvstve yumora, nosilsya s ideej togo, chto on nazyval "Vtorym Principom Pauli". Po ego vychisleniyam vyhodilo, chto esli obychnyj elektron priblizitsya k dyrke, obrazovavshejsya pri izvlechenii odnogo elektrona iz moego okeana, to za nichtozhno maloe vremya on zapolnit soboj dyrku. Sledovatel'no, esli proton atoma vodoroda dejstvitel'no byl by "dyrkoj", to obrashchayushchijsya vokrug nego elektron mgnovenno zapolnil by etu dyrku, i obe chasticy annigilirovali by so vspyshkoj sveta, ili, luchshe skazat', so vspyshkoj gamma-izlucheniya. To zhe samoe proizoshlo by i s atomami vseh drugih elementov. Vtoroj Princip Pauli treboval takzhe, chtoby lyubaya vydvinutaya fizikom teoriya byla primenima i k materii, iz kotoroj sostoit telo samogo fizika, poetomu ya annigiliroval by prezhde, chem uspel by povedat' svoyu ideyu komu-nibud' eshche. Vot tak! I s etimi slovami P.A.M. ischez, ispustiv yarkuyu vspyshku sveta. - Ser, - poslyshalsya nad uhom mistera Tompkinsa chej-to razdrazhennyj golos, - vy mozhete skol'ko ugodno spat' na lekcii, esli vam tak nravitsya, no ne hrapite tak gromko! YA ne mogu rasslyshat' ni slova iz togo, chto govorit professor. Otkryv glaza, mister Tompkins uvidel snova perepolnennuyu lekcionnuyu auditoriyu i starogo professora, kotoryj prodolzhal: - Posmotrim, chto proizojdet, kogda stranstvuyushchaya dyrka vstrechaet na svoem puti lishnij elektron, zanyatyj poiskom mestechka poudobnee v okeane Diraka. YAsno, chto v rezul'tate takoj vstrechi lishnij elektron neizbezhno svalitsya v dyrku, zapolnit ee i udivlennyj fizik, nablyudaya etot process, otmetit yavlenie _vzaimnoj annigilyacii_ polozhitel'nogo i otricatel'nogo elektronov. Vysvobodivshayasya pri padenii elektrona v dyrku energiya ispuskaetsya v vide korotkovolnovogo izlucheniya i predstavlyaet soboj lish' ostatok ot dvuh elektronov, poglotivshih drug druga, kak dva volka iz izvestnoj detskoj skazki. No mozhno predstavit' sebe i obratnyj process, v kotorom para chastic, sostoyashchaya iz otricatel'nogo i polozhitel'nogo elektronov, rozhdaetsya iz nichego pod dejstviem moshchnogo vneshnego izlucheniya. S tochki zreniya teorii Diraka, rozhdenie pary predstavlyaet soboj prosto vybivanie elektrona iz nepreryvnogo raspredeleniya, i rassmatrivat' ego sledovalo by ne kak rozhdenie, a kak razdelenie dvuh protivopolozhnyh po znaku elektricheskih zaryadov. Na risunke, kotoryj ya sejchas pokazhu vam (s. 205), eti dva processa rozhdeniya i unichtozheniya elektronov izobrazheny ves'ma uslovno i shematichno, no, kak vy vidite, nichego zagadochnogo v nih net. Dolzhen zametit', chto hotya process rozhdeniya pary, strogo govorya, dolzhen proishodit' v absolyutnom vakuume, veroyatnost' ego ochen' mala. Mozhno skazat', chto raspredelenie elektronov v vakuume slishkom gladko, chtoby raspast'sya. S drugoj storony, v prisutstvii tyazhelyh material'nyh chastic, sluzhashchih tochkoj shory dlya gamma-izlucheniya, vnedryayushchegosya v raspredelenie elektronov, veroyatnost' rozhdeniya pary sil'no vozrastaet, i process stanovitsya nablyudaemym.
YAsno, chto pozitrony, rozhdennye opisannym vyshe obrazom, ne mogut sushchestvovat' ochen' dolgo i vskore annigiliruyut pri vstreche s odnim iz otricatel'nyh elektronov, obladayushchih v nashem ugolke Vselennoj bol'shim chislennym preimushchestvom. Imenno etim ob座asnyaetsya sravnitel'no pozdnee otkrytie takih zamechatel'nyh chastic, kak pozitrony: pervoe soobshchenie o polozhitel'no zaryazhennyh elektronah bylo sdelano lish' v avguste 1932 g. (teoriya Diraka byla opublikovana v 1930 g.) kalifornijskim fizikom Karlom Andersonom, kotoryj, zanimayas' issledovaniem kosmicheskogo izlucheniya, obnaruzhil chasticy, vo vseh otnosheniyah napominavshih obychnye elektrony, no imevshih odno vazhnoe otlichie: vmesto otricatel'nogo zaryada eti chasticy nesli polozhitel'nyj zaryad. Vskore posle otkrytiya Andersona my nauchilis' ochen' prosto poluchat' elektron-pozitronnye pary v laboratornyh usloviyah, propuskaya skvoz' kakoe-nibud' veshchestvo moshchnyj potok vysokochastotnogo izlucheniya (radioaktivnogo gamma-izlucheniya).
Na sleduyushchem slajde, kotoryj ya hochu pokazat' vam, vy uvidite snimki pozitronov, obnaruzhennyh v kosmicheskom izluchenii s pomoshch'yu kamery Vil'sona, i samogo processa rozhdeniya pary. Kamera Vil'sona - odin iz samyh poleznyh priborov sovremennoj eksperimental'noj fiziki. Dejstvie ee osnovano na tom, chto lyubaya chastica s nenulevym elektricheskim zaryadom, proletaya cherez gaz, obrazuet vdol' svoego treka mnozhestvo ionov. Esli gaz nasyshchen vodyanymi parami, to krohotnye kapel'ki vody kondensiruyutsya na etih ionah, obrazuya tonkij sloj tumana, tyanushchijsya vdol' vsego treka. Osveshchaya etu polosku tumana sil'nym puchkom sveta na temnom fone, my poluchaem velikolepnye kartiny, na kotoryh otchetlivo razlichimy vse detali dvizheniya. Na pervoj iz dvuh kartinok, sproecirovannyh na ekran, vy vidite original snimka pozitrona, obnaruzhennogo Andersonom v kosmicheskom izluchenii. Zamechu, chto eto samyj pervyj iz kogda-libo sdelannyh snimkov pozitrona. SHirokaya gorizontal'naya polosa, idushchaya cherez ves' snimok, - sled tolstoj svincovoj plastiny, polozhennoj poperek kamery Vil'sona, a trek pozitrona vyglyadit, kak tonkaya iskrivlennaya carapina, idushchaya cherez snimok. Trek iskrivlen potomu, chto vo vremya eksperimenta kamera Vil'sona byla pomeshchena v sil'noe magnitnoe pole, vliyavshee na dvizhenie pozitrona. Svincovaya plastina i magnitnoe pole ponadobilis' Andersonu dlya togo, chtoby opredelit' znak elektricheskogo zaryada, perenosimogo chasticej. Sdelat' eto mozhno na osnove sleduyushchih soobrazhenij. Izvestno, chto proizvodimoe magnitnym polem izgibanie traektorii zavisit ot znaka zaryada dvizhushchejsya chasticy. V eksperimente Andersona magnit raspolozhen tak, chto otricatel'no zaryazhennye elektrony otklonyayutsya ot pervonachal'nogo napravleniya dvizheniya vlevo, a polozhitel'no zaryazhennye elektrony - vpravo. Sledovatel'no, esli chastica na snimke dvigalas' vverh, to ona dolzhna byla nesti otricatel'nyj zaryad. No kak uznat', v kakuyu storonu dvigalas' chastica? Dlya etogo i ponadobilas' Andersonu svincovaya plastina. Projdya skvoz' svincovuyu plastinu, chastica neizbezhno teryaet nekuyu chast' svoej pervonachal'noj energii, i poetomu izgibayushchee dejstvie magnitnogo polya usilivaetsya. Na snimke, kotoryj vy vidite na slajde, trek izognut sil'nee pod svincovoj plastinoj (razlichie v izgibah ne slishkom vidno na glaz, no otchetlivo zametno pri izmerenii). Sledovatel'no, chastica dvigalas' sverhu vniz i nesla polozhitel'nyj zaryad. Na pravom snimke (s. 206), poluchennom Dzhejmsom CHedvikom iz Kembridzhskogo universiteta, vy vidite rozhdenie pary v kamere Vil'sona. Sil'noe gamma-izluchenie postupaet v kameru snizu i, ne ostavlyaya na snimke vidimyh sledov, porozhdaet v centre kamery paru chastic, kotorye razletayutsya v sil'nom magnitnom pole v raznye storony. Glyadya na etot snimok, vy mozhete gadat', pochemu pozitron (na snimke on sleva) ne annigiliruet na svoem puti cherez gaz. Otvet na etot vopros takzhe daet teoriya Diraka, i etot otvet ponyaten kazhdomu, kto igraet v gol'f. Esli, postaviv shar na travyanoe pole, vy udarite po nemu slishkom sil'no, to shar ne popadet v lunku, dazhe esli vy tochno pricelilis'. Proizojdet nechto inoe: bystro dvizhushchijsya shar prosto pereprygnet cherez lunku i pokatitsya dal'she. Tochno tak zhe bystro dvizhushchijsya pozitron ne popadet v dyrku Diraka, pokuda ego skorost' sushchestvenno ne umen'shitsya. Poetomu pozitron imeet bol'shuyu veroyatnost' annigilirovat' v konce traektorii, kogda stolknoveniya s drugimi chasticami po doroge osnovatel'no zamedlyat ego. I, kak pokazyvayut tshchatel'nye nablyudeniya, izluchenie, soprovozhdayushchee lyuboj process annigilyacii, dejstvitel'no obnaruzhivaetsya v konce traektorii pozitrona. V etom - eshche odno podtverzhdenie teorii Diraka. Nam ostaetsya eshche obsudit' dva obshchih voprosa. Do sih por ya rassmatrival otricatel'no zaryazhennye elektrony kak lishnie bryzgi perepolnennogo okeana Diraka, a pozitrony - kak dyrki v nem. No vpolne dopustima i protivopolozhnaya tochka zreniya, soglasno kotoroj obychnye elektrony nadlezhit rassmatrivat' kak dyrki, a pozitrony - kak vybroshennye chasticy. Dlya etogo nam neobhodimo lish' predpolozhit', chto okean Diraka ne perepolnyaetsya, a, naoborot, vsegda ispytyvaet nedostatok chastic. V etom sluchae raspredelenie Diraka mozhno naglyadno predstavit' kak nechto napominayushchee kusok shvejcarskogo syra s mnozhestvom dyr v nem. Iz-za obshchej nehvatki chastic dyrki budut sushchestvovat' vsegda, i dazhe esli kakaya-nibud' chastica okazhetsya vybroshennoj iz raspredeleniya, ona vskore snova upadet v odnu iz dyrok. Sleduet skazat', odnako, chto kak s fizicheskoj, tak i s matematicheskoj tochki zreniya obe kartiny absolyutno ekvivalentny, i poetomu sovershenno bezrazlichno, kakoj iz kartin my otdadim predpochtenie. Vtoroe zamechanie mozhno sformulirovat' v vide sleduyushchego voprosa: "Esli v toj chasti Vselennoj, gde my obitaem, sushchestvuet yavnoe chislennoe preobladanie otricatel'no zaryazhennyh elektronov, to mozhno li predpolozhit', chto gde-to v drugoj chasti Vselennoj chislennoe preimushchestvo nablyudaetsya za polozhitel'no zaryazhennymi elektronami?" Inache govorya, kompensiruetsya li perepolnenie okeana Diraka v nashej okrestnosti nedostatkom otricatel'no zaryazhennyh elektronov gde-to v drugom meste? Otvetit' na etot chrezvychajno interesnyj vopros ochen' trudno. Dejstvitel'no, tak kak atomy, sostoyashchie iz polozhitel'no zaryazhennyh elektronov, kotorye obrashchayutsya vokrug otricatel'no zaryazhennogo yadra, davali by takie zhe opticheskie kartiny, kak i obychnye atomy, ne sushchestvuet sposoba otvetit' na etot vopros s pomoshch'yu spektroskopicheskih nablyudenij. Sudya po vsemu, chto my znaem, vpolne vozmozhno, chto obrazovanie veshchestva gde-nibud' v Tumannosti Andromedy proishodit "naoborot" po otnosheniyu k privychnoj dlya nas sheme, no edinstvennyj sposob podtverdit' ili oprovergnut' podobnuyu dogadku sostoit v tom, chtoby razdobyt' kusochek togo veshchestva i proverit', ne annigiliruet li ono pri soprikosnovenii s zemnym veshchestvom. Razumeetsya, v sluchae annigilyacii posleduet uzhasnyj vzryv! V poslednee vremya stali pogovarivat' o tom, chto nekotorye meteority, vzorvavshiesya pri vhozhdenii v zemnuyu atmosferu, vozmozhno, sostoyali iz takogo "perevernutogo" veshchestva, no ya ne dumayu, chtoby podobnye razgovory sledovalo prinimat' vser'ez. Ne isklyucheno, chto vopros o perepolnenii okeana Diraka v odnih chastyah Vselennoj i nehvatke chastic v drugih ee chastyah navsegda ostanetsya bez otveta. Glava 15 Mister Tompkins znakomitsya s yaponskoj kuhnej Odnazhdy Mod otpravilas' na vyhodnoj navestit' tetushku v Jorkshire, i mister Tompkins priglasil professora otobedat' s nim v znamenitom yaponskom restorane. Raspolozhivshis' na myagkih podushkah za nizkim stolikom, oni probovali delikatesy yaponskoj kuhni i potyagivali iz chashechek sake. - Skazhite, pozhalujsta, - obratilsya k professoru mister Tompkins, - doktor Tallerkin upomyanul v svoej lekcii, chto protony i nejtrony uderzhivayutsya v yadre osobymi silami scepleniya. |to te samye sily, kotorye uderzhivayut elektrony v atome? - O, net! - vozrazil professor. - YAdernye sily predstavlyayut soboj nechto sovershenno drugoe. Atomnye elektrony prityagivayutsya k yadru obychnymi elektrostaticheskimi silami, vpervye podrobno issledovannymi francuzskim fizikom SHarlem Opostenom de Kulonom v konce XVIII veka. |to sravnitel'no slabye sily, ubyvayushchie obratno proporcional'no kvadratu rasstoyaniya ot centra. YAdernye sily imeyut sovershenno inuyu prirodu. Kogda proton i nejtron sblizhayutsya vplotnuyu, no ne soprikasayutsya, to mezhdu nimi yadernye sily prakticheski ne dejstvuyut. No kak tol'ko chasticy vhodyat v pryamoj kontakt, mezhdu nimi voznikaet neobychajno moshchnaya sila, kotoraya uderzhivaet ih vmeste. V etom smysle proton i nejtron napominayut dva kusochka lipkoj lenty, kotorye ne prityagivayut drug druga dazhe na malyh rasstoyaniyah, no stanovyatsya nerazluchnymi, kak brat'ya, stoit lish' im soprikosnut'sya. Fiziki nazvali sily, uderzhivayushchie protony i nejtrony v yadre, _sil'nym vzaimodejstviem_. |ti sily ne zavisyat ot elektricheskogo zaryada dvuh chastic i s odinakovoj intensivnost'yu dejstvuyut i mezhdu dvumya nejtronami, i mezhdu protonom i nejtronom, i mezhdu dvumya protonami. - Sushchestvuyut li kakie-nibud' teorii, ob座asnyayushchie sil'noe vzaimodejstvie? - sprosil mister Tompkins. - Sushchestvuyut. V nachale 30-h godov yaponskij fizik Hideki YUkava vyskazal gipotezu o tom, chto sil'noe vzaimodejstvie obuslovleno obmenom kakoj-to neizvestnoj chasticej mezhdu dvumya nuklonami (nuklon - eto sobiratel'noe nazvanie protona i nejtrona). Kogda dva nuklona sblizhayutsya, mezhdu nimi tuda i obratno nachinayut prygat' kakie-to zagadochnye chasticy, chto i privodit k vozniknoveniyu sil'noj svyazi, uderzhivayushchej nuklony vmeste. YUkave udalos' teoreticheski ocenit' massu gipoteticheskih chastic. Okazalos', chto ona primerno v 200 raz bol'she massy elektrona, ili primerno v 10 raz men'she massy protona ili nejtrona. Takie chasticy poluchili nazvanie _mezatronov_. No otec Vernera Gejzenberga, byvshij professorom klassicheskih yazykov, vozrazil protiv stol' grubogo narusheniya drevnegrecheskogo yazyka. Delo v tom, chto nazvanie _elektron_ proishodit ot grecheskogo ῆλεκτρον (yantar'), a nazvanie _proton_ proishodit ot grecheskogo πρῶτον (pervyj). Nazvanie zhe chasticy YUkavy bylo obrazovano ot grecheskogo μέσον (seredina), v kotorom net bukvy ρ. Vystupiv na Mezhdunarodnoj konferencii fizikov, Gejzenberg-otec predlozhil zamenit' nazvanie mezatron na mezon. Nekotorye francuzskie fiziki vozrazhali potomu, chto nesmotrya na drugoe napisanie novoe nazvanie zvuchit, kak francuzskoe slovo maison (dom, domashnij ochag). Odnako ih dovody ne byli prinyaty vo vnimanie kollegami iz drugih stran, i novyj termin prochno ukorenilsya v yadernoj fizike. No vzglyanite na scenu. Sejchas nam pokazhut mezonnoe predstavlenie! Dejstvitel'no, na scene poyavilis' shest' gejsh, kotorye nachali igrat' v bil'boke: v kazhdoj ruke u gejsh bylo po chashke i oni lovko perebrasyvali sharik iz odnoj chashki v druguyu i obratno. Mezhdu tem na zadnem plane poyavilsya muzhchina i zapel:
For a meson I received the Nobel Prize, An achievement I prefer to minimize. Lambda zero, Yokohama, Eta keon, Fujiyama - For a meson I received the Nobel Prize. They proposed to call it Yukon in Japan, I demurred, for I'm a very modest man. Lambda zero, Yokohama, Eta keon, Fujiyama - They proposed to call it Yukon in Japan. (Za mezon ya poluchil Nobelevskuyu premiyu, No hotel by, chtoby ob etom pomen'she shumeli. Lyambda nol', Iokogama, |ta kaon, Fudziyama - Za mezon ya poluchil Nobelevskuyu premiyu. V YAponii mezon predpochitayut nazyvat' yukonom, YA protivlyus' etomu, tak kak chelovek ya ochen' skromnyj. Lyambda nol', Iokogama, |ta kaon, Fudziyama - V YAponii mezon predpochitayut nazyvat' yukonom.) - A pochemu vystupayut tri pary gejsh? - sprosil mister Tompkins. - Oni izobrazhayut tri vozmozhnyh varianta obmena mezonami, - poyasnil professor. - Mezony byvayut treh tipov: polozhitel'no zaryazhennye, otricatel'no zaryazhennye i elektricheski nejtral'nye. Vozmozhno, chto yadernye sily porozhdeny mezonami vseh treh tipov. - Itak, nyne sushchestvuyut vosem' elementarnyh chastic, - podvel itog svoim razmyshleniyam mister Tompkins i prinyalsya schitat' na pal'cah, - nejtrony, protony (polozhitel'no i otricatel'no zaryazhennye), polozhitel'no i otricatel'no zaryazhennye elektrony i mezony treh sortov. - Net! - voskliknul professor. - |lementarnyh chastic sejchas izvestno ne vosem', a blizhe k vos'midesyati. Snachala vyyasnilos', chto sushchestvuyut dve raznovidnosti mezonov, tyazhelye i legkie. Tyazhelye mezony fiziki oboznachili grecheskoj bukvoj pi i nazvali _pionami_, a legkie - grecheskoj bukvoj myu i nazvali _myuonami_. Piony rozhdayutsya na granice atmosfery pri stolknovenii protonov ochen' vysokoj energii s yadrami gazov, obrazuyushchih vozduh. No piony ochen' nestabil'ny i raspadayutsya, prezhde chem dostignut poverhnosti Zemli, na myuony i nejtrino (samye zagadochnye iz vseh chastic), kotorye ne obladayut ni massoj, ni zaryadom, a tol'ko perenosyat energiyu. Myuony zhivut neskol'ko dol'she, okolo neskol'kih mikrosekund, poetomu oni uspevayut dostignut' poverhnosti Zemli i raspadayutsya na nashih glazah na obychnyj elektron i dva nejtrino. Sushchestvuyut takzhe chasticy, oboznachaemye grecheskoj bukvoj ka i nazyvaemye _kaonami_. - A kakie iz chastic ispol'zuyut eti gejshi v svoej igre? - pointeresovalsya mister Tompkins. - Po-vidimomu, piony, skoree vsego nejtral'nye (oni igrayut naibolee vazhnuyu rol'), no ya ne vpolne uveren. Bol'shinstvo novyh chastic, otkryvaemyh nyne pochti kazhdyj mesyac, nastol'ko korotkozhivushchie, dazhe esli oni dvizhutsya so skorost'yu sveta, chto raspadayutsya na rasstoyanii neskol'kih santimetrov ot mesta rozhdeniya, i poetomu dazhe chuvstvitel'nye pribory, zapuskaemye v atmosferu na sharah, "ne zamechayut" ih. No teper' u nas est' moshchnye uskoriteli chastic, sposobnye razgonyat' protony do stol' zhe vysokih energij, kakie te dostigayut v kosmicheskom izluchenii, t. e. do mnogih tysyach millionov elektron-vol't. Odna iz etih mashin pod nazvaniem lourenstron raspolozhena zdes' nepodaleku, blizhe k vershine holma, i ya budu rad pokazat' ee vam.
Posle neprodolzhitel'noj poezdki na avtomashine professor i mister Tompkins pod容hali k ogromnomu zdaniyu, vnutri kotorogo nahodilsya uskoritel'. Vojdya v zdanie, mister Tompkins byl potryasen slozhnost'yu gigantskogo sooruzheniya. No po zavereniyu professora, uskoritel' v principe byl ne bolee slozhen, chem prashcha, iz kotoroj David ubil Goliafa. Zaryazhennye chasticy inzhektirovalis' (postupali) v centre gigantskogo barabana i, dvigayas' po raskruchivayushchimsya spiralyam, uskoryalis' peremennymi elektricheskimi impul'sami. Dvizheniem chastic upravlyaet sil'noe magnitnoe pole. - Mne kazhetsya, ya uzhe videl nechto podobnoe, - skazal mister Tompkins, - kogda neskol'ko let nazad posetil ciklotron, kotoryj nazyvalsya "atomnoj drobilkoj". - Vy sovershenno pravy, - podtverdil professor. - Ciklotron, kotoryj vy togda videli, byl izobreten doktorom Lourensom. Uskoritel', kotoryj vy vidite zdes', osnovan na tom zhe principe, no on mozhet razgonyat' chasticy uzhe ne do neskol'kih millionov elektron-vol't, a do mnogih tysyach millionov elektron-vol't. Dva takih uskoritelya byli nedavno sooruzheny v Soedinennyh SHtatah. Odin iz nih nahoditsya v Berkli (shtat Kaliforniya) i nazyvaetsya _bevatron_, poskol'ku razgonyaet chasticy do energij v milliardy elektron-vol't. |to chisto amerikanskoe nazvanie, tak kak tol'ko v Amerike tysyachu millionov prinyato nazyvat' billionom. V Velikobritanii billionom nazyvaetsya million millionov, i nikto v dobroj staroj Anglii eshche ne pytalsya dostich' stol' vysokih energij. Drugoj amerikanskij uskoritel' chastic nahoditsya v Brukhejvene, Long-Ajlend, i nazyvaetsya _kosmotron_. |to nazvanie neskol'ko pretenciozno, tak kak energii, dostizhimye v kosmicheskom izluchenii, chasto namnogo prevyshayut te, do kotoryh razgonyaet chasticy kosmotron. V Evrope, v Evropejskom centre yadernyh issledovanij (CERN) bliz ZHenevy, postroeny uskoriteli, sravnimye s dvumya amerikanskimi uskoritelyami. V Rossii, nedaleko ot Moskvy, postroen eshche odin uskoritel' takogo zhe tipa, obshcheizvestnyj pod nazvaniem _hrushchevtron_. Vozmozhno, chto teper' on budet pereimenovan v _brezhnevtron_. Oglyadevshis' po storonam, mister Tompkins obratil vnimanie na dver', na kotoroj krasovalas' nadpis': VANNOE OTDELENIE - A chto za etoj dver'yu? - sprosil on. - O! - otvetil professor. - Vidite li, lourenstron proizvodit vse bol'she i bol'she razlichnyh elementarnyh chastic vse bol'shej i bol'shej energii. Ih prihoditsya analizirovat', nablyudaya traektorii i vychislyaya massy, vremena zhizni, vzaimodejstviya i mnogie drugie svojstva, takie kak strannost', chetnost' i t. d. V davnie vremena dlya nablyudeniya traektorij ispol'zovalas' tak nazyvaemaya kamera Vil'sona, za sozdanie kotoroj CH. T. R. Vil'son v 1927 g. poluchil Nobelevskuyu premiyu. V to vremya bystrye elektricheski zaryazhennye chasticy s energiej v neskol'ko millionov elektron-vol't, issleduemye fizikami, propuskalis' cherez kameru so steklyannoj kryshkoj, napolnennuyu vozduhom, pochti do predela nasyshchennym vodyanymi parami. Kogda dno kamery rezko opuskalos', vozduh vsledstvie rasshireniya ohlazhdalsya i vodyanoj par stanovilsya _perenasyshchennym_. V rezul'tate nekotoraya dolya para kondensirovalas' v krohotnye vodyanye kapel'ki. Vil'son obnaruzhil, chto takaya kondensaciya parov v vodu proishodit gorazdo bystree vokrug ionov, t. e. elektricheski zaryazhennyh chastic gaza. No vdol' traektorij elektricheski zaryazhennyh chastic, proletayushchih skvoz' kameru, gaz ioniziruetsya. V rezul'tate neprozrachnye poloski tumana, osveshchaemye istochnikom sveta, raspolozhennym na stenke kamery, stanovyatsya vidimymi na vykrashennom v chernyj cvet dne kamery. Vspomnite snimki, kotorye ya pokazyval vam na proshloj lekcii.
V sluchae chastic iz kosmicheskih luchej s energiyami, tysyachekratno prevoshodyashchimi energii chastic, kotorye my izuchali do sih por, situaciya inaya potomu, chto treki chastic stanovyatsya ochen' dlinnymi i kamery Vil'sona, zapolnennye vozduhom, slishkom maly dlya togo, chtoby mozhno bylo prosledit' ves' trek chasticy ot nachala do konca, poetomu nablyudeniyu dostupna lish' nebol'shaya chast' traektorii. Bol'shoj shag vpered byl nedavno sdelan amerikanskim fizikom Donal'dom A. Glezerom, kotoromu v 1960 g. byla prisuzhdena za eto Nobelevskaya premiya. Kak rasskazyvaet sam Glezer, odnazhdy on sidel v bare i ugryumo nablyudal za puzyr'kami, podnimavshimisya v stoyavshem pered nim bokale piva. Vnezapno emu prishla v golovu ideya: "Esli CH. T. R. Vil'son mog izuchat' kapel'ki zhidkosti v gaze, to pochemu by mne ne zanyat'sya izucheniem puzyr'kov gaza v zhidkosti?" - Ne stanu vdavat'sya v tehnicheskie detali, - prodolzhal professor, - i kasat'sya trudnostej, voznikshih na puti k tehnicheskomu voploshcheniyu idei Glezera. Vam vse ravno oni byli by neponyatny. Skazhu tol'ko, chto dlya nadlezhashchego funkcionirovaniya puzyr'kovoj kamery (takoe nazvanie poluchilo izobretenie Glezera) naibolee podhodyashchej zhidkost'yu okazalsya zhidkij vodorod, temperatura kotorogo sostavlyaet okolo dvuhsot pyatidesyati gradusov po Farengejtu nizhe temperatury zamerzaniya vody. V sosednej komnate stoit bol'shoj kontejner; postroennyj Luisom Al'varesom i zapolnennyj zhidkim vodorodom. Obychno ego nazyvayut "vannoj Al'varesa". - Br-r-r! - poezhilsya mister Tompkins. - Dlya menya holodnovato! - Vam vovse ne nuzhno lezt' v vannu. Vpolne dostatochno nablyudat' za traektoriyami chastic skvoz' prozrachnye stenki. Vannaya funkcionirovala kak vsegda, i kamery so vspyshkoj, raspolozhennye vokrug nee, nepreryvno delali snimok za snimkom. Sama vanna byla pomeshchena vnutri bol'shogo elektromagnita, izgibavshego traektorii chastic, chtoby zatem po izgibu eksperimentatory mogli ocenivat' skorost' ih dvizheniya. - Proizvodstvo odnogo snimka zanimaet neskol'ko minut, - poyasnil Al'vares. - V den' poluchaetsya do neskol'kih soten snimkov, esli ustanovka ne vyhodit iz stroya i ne trebuet kakogo-nibud' remonta. Kazhdyj snimok podvergaetsya tshchatel'nomu izucheniyu, vse treki analiziruyutsya, a ih krivizna tshchatel'no izmeryaetsya. Analiz i izmereniya zanimayut ot neskol'kih minut do chasa v zavisimosti ot togo, naskol'ko interesen snimok i naskol'ko bystro spravlyaetsya s rabotoj devushka. - Pochemu vy skazali "devushka"? - prerval ego mister Tompkins. - Razve eto chisto zhenskoe zanyatie? - Razumeetsya, net, - otvetil Al'vares. - Mnogie iz nashih devushek v dejstvitel'nosti mal'chiki. No kogda my govorim o teh, kto zanimaetsya obrabotkoj snimkov, to nazyvaem ih devushkami nezavisimo ot pola. Termin "devushka" oznachaet edinicu effektivnosti i tochnosti. Kogda vy govorite "mashinistka" ili "sekretar'", to obychno predstavlyaete sebe zhenshchinu, a ne muzhchinu. Tak vot, dlya analiza vseh snimkov, poluchaemyh v nashej laboratorii, nam ponadobilis' by sotni devushek, chto prevratilos' by v nelegkuyu problemu. Poetomu my rassylaem mnozhestvo nashih snimkov v drugie universitety, ne imeyushchie dostatochno sredstv, chtoby postroit' lourenstrony i puzyr'kovye kamery, no raspolagayushchie summami deneg, kotoryh vpolne hvataet na pokupku priborov dlya analiza nashih snimkov.
- Takogo roda snimki poluchaete tol'ko vy ili kto-nibud' eshche? - pointeresovalsya mister Tompkins. - Analogichnye uskoriteli imeyutsya v Brukhejvenskoj Nacional'noj Laboratorii na Long-Ajlende v N'yu-Jorke, v CERNe (Evropejskom centre yadernyh issledovanij) bliz ZHenevy i v Laboratorii "SHCHelkunchik" nepodaleku ot Moskvy v Rossii. Vse eti laboratorii zanyaty poiskom igolki v stoge sena i, chto samoe udivitel'noe, vremya ot vremeni im vse zhe udaetsya najti igolku! - A dlya chego vedetsya eta kropotlivaya rabota? - sprosil v udivlenii mister Tompkins. - CHtoby iskat' i nahodit' novye elementarnye chasticy (najti kotorye, kstati skazat', gorazdo trudnee, chem igolku v stoge sena!) i issledovat' vzaimodejstvie mezhdu nimi. Zdes' na stene tablica izvestnyh elementarnyh chastic i ona uzhe sejchas soderzhit bol'she chastic, chem elementov v Periodicheskoj sisteme Mendeleeva. - A pochemu stol' chudovishchnye usiliya predprinimayutsya lish' dlya togo, chtoby najti novye chasticy? - prodolzhal udivlyat'sya mister Tompkins. - Takova nauka, - otvetil professor, - popytka chelovecheskogo razuma ponyat' vse, chto nas okruzhaet, bud' to gigantskie zvezdnye galaktiki, mikroskopicheskie bakterii ili elementarnye chasticy. Poznavat' okruzhayushchij mir zahvatyvayushche interesno, i poetomu my zanimaemsya etim. - A ne sposobstvuet li razvitie nauki dostizheniyu prakticheskih celej, uvelichivaya blagosostoyanie lyudej i delaya ih zhizn' bolee udobnoj? - Razumeetsya, sposobstvuet, no eto lish' vtorostepennaya cel'. Ne dumaete zhe vy, chto osnovnoe naznachenie muzyki sostoit v tom, chtoby uchit' gornistov budit' po utram soldat, szyvat' ih na zavtraki, obedy i uzhiny ili prizyvat' ih na bitvu? Govoryat: "Lyubopytstvo sgubilo koshku". YA govoryu: "Lyuboznatel'nost' rozhdaet uchenogo". S etimi slovami professor pozhelal misteru Tompkinsu spokojnoj nochi. Zamechatel'nyj fizik-teoretik Georgij Antonovich (Dzhordzh) Gamov (1904-1968) ne byl uzkim specialistom. On ostavil zametnyj sled v kvantovoj mehanike, atomnoj i yadernoj fizike, astrofizike, kosmologii i biologii. Ego idei, yarkie i original'nye, ne raz prokladyvali novye napravleniya nauchnyh issledovanij. Emu prinadlezhat pionerskie raboty po kvantovoj teorii al'fa-raspada i tunnel'nomu effektu, urovnyam energii v yadre, modelyam zvezd s termoyadernymi istochnikami energii, roli nejtrino pri vspyshkah sverhnovyh i novyh, obrazovaniyu himicheskih elementov putem zahvata nejtronov, reliktovomu izlucheniyu i geneticheskomu kodu. Ne menee obshirno, original'no i yarko literaturnoe nasledie G. A. Gamova. Ego peru prinadlezhit uvlekatel'naya avtobiografiya "Moya mirovaya liniya" i celaya rossyp' zamechatel'nyh nauchno-populyarnyh knig, takih, kak "Mister Tompkins v Strane CHudes", "Mister Tompkins issleduet atom", "Raz, dva, tri... beskonechnost'", "Tridcat' let, kotorye potryasli fiziku", "Sotvorenie Vselennoj", "Biografiya fiziki", "Zvezda pod nazvaniem Solnce", "Biografiya Zemli", "Planeta pod nazvaniem Zemlya". Predlagaemaya vnimaniyu chitatelya kniga - pervaya publikaciya proizvedenij G. A. Gamova na russkom yazyke.

Last-modified: Sat, 25 Mar 2006 06:35:31 GMT
Ocenite etot tekst: