Ocenite etot tekst:



                             P'esa v treh aktah

----------------------------------------------------------------------------
     Perevod Andreya CHernova
     Izografus Sintaksis, Moskva-Parizh, 2003
     OCR Bychkov M.N.
----------------------------------------------------------------------------



     Predislovie ko vtoromu izdaniyu

                     Tragediya Gamleta, princa Datskogo

                                   I akt

     Scena 1 - esplanada pered zamkom
     Scena 2 - zal v zamke
     Scena 3 - komnata Poloniya
     Scena 4 - esplanada
     Scena 5 - dvor zamka

                                   II akt

     Scena 1 - komnata Poloniya
     Scena 2 - zal v zamke
     Scena 3 - zal v zamke
     Scena 4 - zal v zamke
     Scena 5 - komnata korolya
     Scena 6 - komnata korolevy
     Scena 7 - komnata korolya
     Scena 8 - komnata Gamleta
     Scena 9 - komnata korolya
     Scena 10 - ravnina

                                  III akt

     Scena 1 - komnata korolya
     Scena 2 - komnata Goracio
     Scena 3 - komnata korolya
     Scena 4 - kladbishche
     Scena 5 - zal v zamke

                            Stat'i i kommentarii

     Kommentarii. A.YU. CHernov
     Zametki o "Gamlete"
     "Gamlet". Poetika zagadok. A.YU. CHernov
     Cvety v "Gamlete". S.L.Nikolaev, A.YU.CHernov
     Polemika. I.O.SHajtanov, S.L.Nikolaev
     Formula SHekspira. A.YU. CHernov
     Prilozhenie




     "Perevodchik  v proze rab, a v stihah sopernik", - obronil Poet. Russkij
perevodchik "Gamleta" obrechen na dvojnoe sopernichan'e - s avtorom originala i
perevodcheskoj  tradiciej. No dazhe esli ty sam osoznaesh', chto vskarabkalsya na
plechi  gigantov,  znakomyj  teatroved  vse  ravno  pointeresuetsya:  "A  chto,
Pasternak uzhe ne ustraivaet?"
     Perevody redko zhivut na scene dolee treh desyatiletij: yazyk, kak strelki
chasov, nezrimo smeshchaetsya vo vremeni. Perevodchikom stanovitsya tot, kto ran'she
drugih zametit, chto chasy otstali.
     Mne  zhal'  yambicheskogo  zatakta  "To be, or not to be...", togo pervogo
bezudarnogo  sloga,  v  kotorom slyshen rezkij vdoh i viden vzmah podnyavshejsya
dlya  udara  ruki.  Na  etom  fone  "Byt'  il'  ne  byt',  vot  v chem vopros"
(Pasternak)  vmeste  s "Byt' ili ne byt' - takov vopros" (Lozinskij) - tupoj
tychok,  slepok s chestnoj versifikacii uchenogo-geodezista M.P.Vronchenko (1828
g.):  "Byt'  il'  ne  byt'  - takov vopros..." i Nikolaya Polevogo (1837 g.):
"Byt' ili ne byt' - vot v chem vopros!".
     V russkih perevodah ya ne slyshu tigrinogo ryka korolya: "Gertrude, do not
drink".  (Esli  eto  "Ne  pej  vina,  Gertruda",  to prav Boris Grebenshchikov,
prodolzhivshij:  "P'yanstvo  ne  krasit  dam!") Ne mogu poverit', chto strazhniki
iz®yasnyayutsya so stol' yavnym nemeckim akcentom: "Kto zdes'?" "Net, sam ty kto,
snachala otvechaj!" I foneticheski nevnyatnoe "Razlazhen zhizni hod..." ne zamenit
podlinnogo  "The  time is out of joint" ("Vek vyvihnut"), v kotorom vyrazhena
ta  zhe  srednevekovaya  ideya  vyvorachivaniya  vremeni,  chto i v "Slove o polku
Igoreve": "Nanich' sya godiny obratisha" ("Obratilis' vremena naiznanku").
     A  perevod "Words. Words. Words" kak "Slova. Slova. Slova" - vsego lish'
podstrochnik.
     CHto  obychno  delaet  chelovek,  kogda  chitaet horoshuyu knigu i chego-to ne
mozhet  v nej ponyat'? Tret perenosicu i, poobeshchav sebe, chto nepremenno v etom
razberetsya (kogda budet vremya), prodolzhaet chtenie. Perevodchiku slozhnej. Esli
on  chesten  pered  soboj  i  tekstom, rabota mozhet vstat' na nedeli ili dazhe
mesyacy.
     U  menya  ne  bylo  ustanovki  otyskat'  v  "Gamlete"  nechto  nikomu  ne
izvestnoe,  ya  prosto  hotel  sdelat'  novyj  perevod p'esy SHekspira. No chem
dal'she  vtyagivalsya  v  rabotu, tem udivitel'nej stanovilos' oshchushchenie razryva
mezhdu  anglijskim  tekstom  i  ego  klassicheskimi  interpretaciyami. Vrode by
Gamlet ostavalsya Gamletom, a Klavdij - Klavdiem, no eto byli drugie Gamlet i
Klavdij. Inymi okazyvalas' logika ih postupkov, a, znachit, i sami postupki.
     XX  vek  s  ego  ustanovkoj  na nauchno-tehnicheskij progress ignoriroval
shekspirovskuyu   logiku   "temnogo"   stilya,   opirayushchuyusya  na  mnogomernost'
poeticheskogo  slova. (Podrobnee ob etom sm. s. 237-242.) Glavnym obrazom eto
kasaetsya  obraza  Goracio  i  tajny gibeli Ofelii. Propustiv cherez ruku ves'
tekst,  ya  smeyu polagat', chto pri vseh svoih otkrytiyah shekspirovedenie tri s
lishnim   veka   povtoryaet   oshibki,  sdelannye  provincial'nymi  anglijskimi
tragikami  eshche  vo  vtoroj  treti  XVII  v., kogda posle vosemnadcatiletnego
zapreta teatrov Britaniya uznala o SHekspire.
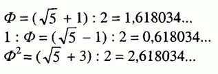
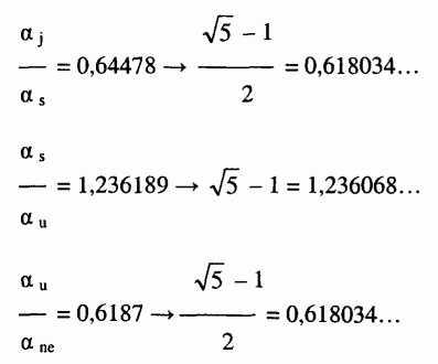
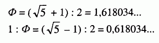
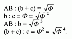
     V  zametke "Formula SHekspira" mnoyu sdelana popytka strukturnogo analiza
teksta "Gamleta". Vidimo, vpervye v proizvedenii izyashchnoj slovesnosti udalos'
obnaruzhit'  fenomen  zolotogo  secheniya.  Pri  etom  okazalos', chto proporcii
"Gamleta"   tayat  v  sebe  ne  tol'ko  klassicheskoe  "zoloto",  no  i  ranee
neizvestnuyu  proizvodnuyu  ot  ego  bazovoj  formuly. Zdes' zhe ya obosnovyvayu,
pochemu "Gamlet" dolzhen byt' razdelen ne na pyat', a na tri akta.
     Tut neobhodimo metodologicheskoe otstuplenie:
     Eshche  N'yuton  prishel  k vyvodu, chto rezul'taty nauchnyh nablyudenij nel'zya
oprovergnut'   ih  kritikoj,  a  gipoteze  sleduet  protivopostavit'  druguyu
gipotezu,  kotoraya  luchshe,  chem  pervaya,  ob®yasnyaet  summu eksperimental'nyh
faktov.  A  v  70-e  gody  XX v. amerikanskij fizik Tomas Kun vypustil knigu
"Struktura   nauchnyh   revolyucij".   |tot   trud   perevernul  predstavleniya
chelovechestva   o   putyah  i  sposobah  razvitiya  nauki.  (Na  russkom  yazyke
"Struktura..."  vyhodila mnogokratno.) Tomas Kun pokazal, chto nauchnoe znanie
uvelichivaetsya  ne  putem  prirashcheniya,  a  v  rezul'tate  revolyucionnoj smeny
nauchnyh paradigm.
     Tak  geocentricheskaya  sistema  byla zamenena geliocentricheskoj, a potom
vyyasnilos', chto Solnce - tozhe ne centr mirozdaniya.
     Smena  paradigmy mirno ne proishodit: snachala v rezul'tate nablyudenij i
eksperimentov  vyyavlyayutsya  fakty,  ne  ukladyvayushchiesya  v prinyatuyu paradigmu.
Kakoe-to vremya na eto starayutsya ne obrashchat' vnimaniya, ssylayas' na netochnost'
priborov,  nekorrektnost' eksperimentov ili na to, chto "etogo ne mozhet byt',
potomu  chto  ne  mozhet  byt'". No chislo "proklyatyh" faktov rastet, i odnazhdy
kto-to   predlagaet  novuyu  paradigmu,  ob®yasnyayushchuyu  odnovremenno  i  fakty,
prinyatye ordinarnoj naukoj i poluchivshie svoe ob®yasnenie v prezhnej paradigme,
i "proklyatye" fakty.
     Proishodit  perestrojka  i pereosmyslenie mesta vseh elementov sistemy.
Tak,  skazhem,  dlya  |jnshtejna  za  ponyatiem massy ili vesa skryvaetsya sovsem
drugaya  real'nost',  nezheli  dlya  N'yutona.  Pri  etom  zakony relyativistskoj
mehaniki  ne  otmenyayut  zakony  mehaniki  klassicheskoj,  a  lish' razvivayut i
dopolnyayut ih.
     |ta   kniga   -  moya  popytka  rekonstrukcii  shekspirovskogo  zamysla i
izmeneniya  nyne  prinyatoj  "gamletovskoj" paradigmy. Mne predstavlyaetsya, chto
privychnye  literaturovedcheskie  formuly,  rabotayushchie na materiale ordinarnoj
dramaturgii  Marlo  ili Kida, okazyvayutsya nesposobnymi opisat' shekspirovskuyu
real'nost', obladayushchuyu drugoj prostranstvennoj mernost'yu.
     Iskusstvo,  v  otlichie  ot  zhizni,  - total'no. I u nego - svoya logika,
ochen'   pohozhaya   na  logiku  mifologicheskuyu.  Zdes'  net  mesta  "sluchajnym
sblizheniyam".  V  poezii dazhe trivial'nye sozvuchiya netrivial'ny: oni - skrepy
poeticheskoj    tkani,    zamenyayushchie    to,    chto   my   privykli   nazyvat'
prichinno-sledstvennymi  otnosheniyami. |to pohozhe na spravedlivo preziraemye v
uchenom  mire  poiski  filosofskogo  kamnya  ili  snezhnogo  cheloveka. Pri etom
pozitivistski  myslyashchij issledovatel' zachastuyu ne prinimaet vo vnimanie, chto
logika  shekspirovskoj dramaturgii otlichna ot ego logiki. V pervoj real'nosti
poiski  filosofskogo  kamnya  - gibrid sharlatanstva i nevezhestva, vo vtoroj -
norma.  (Mnenie  po  etomu povodu moih kolleg i opponentov Igorya SHajtanova i
Sergeya Nikolaeva sm. v konce knigi so s. 315.)
     SHekspirovedenie  nakopilo  bogatyj  zapas  tochnyh  nablyudenij  i smelyh
gipotez,  no  metody,  kotorymi ono pol'zuetsya, smeyu polagat', ustareli: oni
godyatsya  dlya  resheniya  nekotoryh  sugubo tekstologicheskih problem i malo chto
dayut  dlya  ponimaniya  logiki shekspirovskogo povestvovaniya. Tut interpretacii
literaturovedov, kak eto ni stranno, ochen' pohozhi na rezhisserskie traktovki.
Za  chetyre  veka  u  nas  bylo  vremya ubedit'sya, chto v etom vinovat ne teatr
SHekspira  s  ego mnimymi "uslovnostyami", a metod, pri pomoshchi kotorogo nel'zya
najti resheniya postavlennyh tekstom zadach.
     My razreshaem SHekspiru byt' genial'nym rovno nastol'ko, naskol'ko on nam
ponyaten. (|to to poshloe "trehmerie", o kotorom govoril Osip Mandel'shtam.) Ne
vidya  chetvertogo  izmereniya teksta, shekspirovedy analiziruyut ne "Gamleta", a
svoe  o  nem predstavlenie, pohozhee na original tak zhe, kak voskovaya persona
na  zhivogo  cheloveka.  Tekst  rassyhaetsya i nachinaet raspadat'sya, iz-za chego
ostayutsya nevyyavlennymi dazhe prostejshie svyazi. Strukturnye pustoty prihoditsya
zamazyvat' ganchem sobstvennyh domyslov. No poskol'ku shekspirovedenie - vsego
lish'  "vedenie",  a  ne  tochnaya  nauka,  kr izis ne osoznaetsya kak krizis, i
nachinaetsya igra v biser - vyazkaya epoha melkih nablyudenij, kul'turologicheskuyu
cennost' kotoryh nel'zya vzvesit' uzhe potomu, chto oni ne sostavlyayut sistemy.
     Nado  li  udivlyat'sya,  chto delo zakanchivaetsya kul'turnoj (po kitajskomu
obrazcu)  revolyuciej  postmodernizma  i  marginal'nymi  poiskami "podlinnogo
avtora"  shekspirovskih  p'es,  ne  imeyushchimi  nikakogo  otnosheniya  k nauchnomu
poisku? (Anna Ahmatova bolee chem polveka nazad nazyvala takie shtudii "buntom
personazhej protiv avtora".)



     Moya  rabota  nachalas'  v noch' na 25 fevralya 1997 g. s perevoda monologa
Gamleta  "To  be, or not to be...". Utrom pozvonili iz Parizha i skazali, chto
umer  Andrej  Sinyavskij.  V  tot  den'  ya  dal  slovo Andreyu Donatovichu, chto
perevedu   vsyu   p'esu.   Poetomu  svoj  tekst  ya  posvyashchayu  svetloj  pamyati
A.D.Sinyavskogo, russkogo Gamleta XX stolet'ya, pisatelya, kotoryj na publichnom
processe pervym ne priznal viny pered sovetskim pravosudiem. V seredine 60-h
s  dela  Andreya  Sinyavskogo  i  YUliya Danielya v strane nachalos' pravozashchitnoe
dvizhenie.   Vremya,   v  kotorom  roslo  moe  pokolenie,  bylo  perevernuto s
iznanochnoj storony na licevuyu.
     Prinoshu  blagodarnost'  teatrovedu  Ol'ge Korshakovoj i lingvistu Sergeyu
Nikolaevu za perevod i tolkovanie naibolee trudnyh mest podlinnika.
     Spasibo   vsem,  kto  chital  rukopis'  i  sdelal  mnogie  pamyatnye  mne
zamechaniya. Ili prosto pomog dobrym slovom.
     Spasibo  Moskovskomu  dramaticheskomu  teatru  im. K.S.Stanislavskogo, v
kotorom osen'yu proshlogo goda "Gamlet" v moem perevode byl postavlen Dmitriem
Krymovym, i, konechno, vsem akteram, zanyatym v etom spektakle.
     I proshu proshcheniya u chitatelya za te oshibki ili protivorechiya, bez kotoryh,
uvy,  ne  obhoditsya  ni  odno  issledovanie.  CHast'  iz nih v etom izdanii ya
popytalsya  ispravit'. Budu blagodaren kazhdomu, kto prishlet svoi zamechaniya po
adresu achernov@ru.ru

                                                               Andrej CHernov
                                                               6 maya 2003 g.




                    Pamyati Andreya Donatovicha Sinyavskogo
                     posvyashchaet svoj trud avtor perevoda



     Gamlet, syn pokojnogo korolya Gamleta i plemyannik nyneshnego
     Klavdij, korol' Danii, dyadya princa Gamleta
     Prizrak otca princa Gamleta
     Gertruda, koroleva Danii, mat' princa Gamleta i supruga Klavdiya
     Fortinbras, princ norvezhskij
     Polonij, pervyj vel'mozha pri dvore Klavdiya
     Ofeliya, doch' Poloniya
     Laert, syn Poloniya
     Goracio, universitetskij priyatel' princa Gamleta
     SHkol'nye priyateli princa Gamleta:
     Rozenkranc
     Gil'denstern
     SHvejcarskaya strazha:
     Bernardo
     Marcell
     Francisko
     Datskie posly:
     Vol'timand
     Kornelij
     Aktery:
     Pervyj akter, on zhe Prolog
     Akter-korol'
     Akter-koroleva
     Akter-Lucian
     Mogil'shchiki (komiki-prostaki):
     Pervyj
     Vtoroj
     Rejnal'do, chelovek Poloniya
     Ozrik, molodoj vel'mozha
     Kapitan (norvezhskij)
     Sluga
     Pervyj matros, glava piratov
     Pridvornyj
     Svyashchennik
     Pervyj posol (anglijskij)
     Datchane, pridvornye, oficery, damy,
     soldaty, matrosy, slugi.

                         Mesto dejstviya - |l'sinor



                                  Scena 1

                    |splanada pered korolevskim zamkom.
                    Na chasah Francisko. Vhodit Bernardo.

                                  Bernardo

                    Zdes' est' kto?

                                 Francisko

                    Vot tak ya i skazal!.. Parol' skazhi!

                                  Bernardo

                    Zdorov'e korolya!

                                 Francisko

                                      Bernardo?

                                  Bernardo

                                                 Verno.

                                 Francisko

                    Nu, nakonec-to!.. A kotoryj chas?

                                  Bernardo

                    Da za polnoch'. Stupaj, pospi, Francisko.

                                 Francisko

                    Spasibo, chto smenil. Segodnya zyabko.
                    I kak-to mne opyat' ne po sebe.

                                  Bernardo

                    Vse bylo tiho?

                                 Francisko

                                    Tishe ne byvaet.

                                  Bernardo

                    Pokojnoj tebe nochi. Esli vstretish'
                    Marcella i Goracio, skazhi,
                    CHtob pospeshili...

                         Vhodyat Marcell i Goracio.

                                 Francisko

                    A eto kto?.. Stoj, kto idet!

                                  Goracio

                                                 Druz'ya
                    Derzhavy zdeshnej.

                                  Marcell

                                     I opora trona.

                                 Francisko

                    Vot eto lyudi!

                                  Marcell

                                  Dobroj nochi, drug!
                    Kto prinyal post?

                                 Francisko

                                     Bernardo. On ostalsya,
                    A mne pora...
                                  (uhodit)

                                  Marcell

                                   Zdorovo, strazha!

                                  Bernardo

                                                     Ba,
                    Goracio, ty s nami?

                                  Goracio
                               (podaet ruku)

                                        Lish' otchasti.

                                  Bernardo

                    U, kak ya rad!.. Goracio!.. Marcell!..

                                  Goracio

                    A chto, ne ob®yavlyalos' prividen'e?

                                  Bernardo

                    Pokuda - zhdem...

                                  Marcell

                                     Goracio skazal,
                    CHto eto vse igra voobrazhen'ya,
                    I ne poverit on ni v zhizn', chto prizrak
                    Uzhe dva raza prihodil syuda...
                    No soglasilsya s nami podezhurit'
                    I govorit, chto s nim pogovorit,
                    Kogda ono pozhaluet...

                                  Goracio

                                           Nu da,
                    Vot tak ono i yavitsya!

                                  Bernardo

                                          Prisyadem,
                    A ya pokuda vse i rasskazhu...

                                  Goracio

                    YA - ves' vniman'e...

                                  Bernardo

                                          Tak... Von ta zvezda,
                    Levej Polyarnoj, k zapadu klonilas'...
                    Primerno kak sejchas!.. Probilo chas,
                    Tut mne Marcell i...

                                  Marcell

                                         Tss!.. Glyadi!.. Molchi!..

                              Vhodit Prizrak.

                                  Bernardo

                    Nu v tochnosti pokojnyj nash korol'.

                                  Marcell

                    Nachni, student! Tebya uchili, kak
                    Zagovorit' s nim...

                                  Bernardo

                                        CHto, pohozh?.. Pohozh?..

                                  Goracio

                    Do izumleniya... Do chuvstv poteri...

                                  Bernardo

                    Ochnis', Goracio!

                                  Marcell

                                      Davaj, sprosi!

                                  Goracio

                    Otvetstvuj mne, yavivshijsya v nochi
                    V oblich'i Gamleta, pokojnogo monarha,
                    Zachem ty zdes'? I kto ty est'? Otvet',
                    YA zaklinayu Nebom!

                                  Marcell

                                      Oskorbilsya.

                                  Bernardo

                    Uhodit...

                                  Goracio

                               Stoj i otvechaj, kogda
                    YA Nebom zaklinayu!..

                              Prizrak uhodit.

                                  Marcell

                                         Sorvalos'?

                                  Bernardo

                    CHto eto bylo, a?

                                  Goracio

                                      Klyanus' Tvorcom,
                    Takoe vstretit' - um zajdet za razum.
                    Kogda by uslyhal ya - ne poveril!

                                  Marcell

                    No vneshne on na Gamleta pohozh?

                                  Goracio

                    Kak ty na samogo sebya. I pancir',
                    V kotorom on v boyu poverg norvega,
                    I tak zhe on ugryum byl pered tem,
                    Kak, gryanuv iz ukrytiya, razmazal
                    Po l'du zaliva pol'skie obozy...
                    Nepostizhimo!

                                  Marcell

                                  A vcherashnej noch'yu
                    On dvazhdy mimo nas proshel...

                                  Goracio

                                                 Druz'ya,
                    Ne vse zagadki podlezhat otgadke.
                    Odno mne yasno: eto vernyj znak
                    Gryadushchih potryasenij...

                                  Marcell

                                           Tak... Odnako
                    CHto proishodit, ob®yasni ty mne...
                    Zachem i tam i tut torchat dozory?
                    Sobak i p'yanic po nocham pugat'?
                    Zachem vezut rudu iz-za granicy
                    I plavyat, plavyat - polstrany v dymu.
                    Kuyut dospehi. Iz-za nakovalen
                    Kolokolov ne slyshno. A na verfyah -
                    Ni vyhodnyh, ni prazdnikov. V chem delo?
                    S kem drat'sya budem?

                                  Goracio

                                          YA pereskazhu
                    Lish' to, chto znayu ili slyshal sam.
                    Tot, kto nam v vide prizraka yavlyalsya,
                    Pri zhizni vyzvan byl na poedinok
                    Svoim vragom zaklyatym Fortinbrasom
                    Norvezhskim, podstrekaemym gordynej
                    I zavist'yu. I blagorodnyj Gamlet -
                    Za blagorodstvo v dannoj chasti sveta
                    Pred nim i preklonyalis' - zakolol-
                         taki nadmennogo nevezhdu... No
                    Ubityj dolzhen byl po dogovoru,
                    Skreplennomu pechatyami i prochim,
                    Pogibnuv, otkazat'sya ot pretenzij
                    Na vse, chto on zavoeval, a Gamlet,
                    Soglasno soderzhaniyu statej
                    Togo zhe dogovora, ustupal
                    Takie zhe zahvachennye zemli
                    Norvegu, esli b tot ego ubil.
                    A nyne Fortinbras, syn Fortinbrasa,
                    Pustoj yunec, vedomyj samomnen'em,
                    Prizval narod k otmshcheniyu, sobral
                    Tolpu brodyag, gotovyh za pohlebku
                    Hot' v peklo, i, upotrebiv nasil'e -
                    O chem izvestno nashemu pravitel'stvu, -
                    Stal'noj rukoj nameren vozvratit'
                    Te, vysheupomyanutye zemli.
                    Vot vsledstvie chego, druz'ya moi,
                    Teper' i Daniya prishla v dvizhen'e...

                                  Bernardo

                    Pohozhe, chto ty prav... Kak pit' dat', prav!
                    Nedarom prizrak v boevyh dospehah
                    Pred zamkom grobovym dozorom brodit.
                    Pokojnyj gosudar' - vojny vinovnik,
                    A prizrak s nim - odin v odin!

                                  Goracio

                                                O da!
                    V duhovnom oke dazhe i sorinka
                    Sposobna stat' prichinoj krupnyh slez.
                    Tak bylo v Rime - lavry da triumfy,
                    No pered tem, kak pal velikij YUlij,
                    Grobnicy opusteli. Mertvecy
                    Po Forumu slonyalis'. Dnem na solnce
                    YAvlyalis' pyatna. Po nocham viseli
                    Kosmatye komety. I krovavyj
                    SHel dozhd' s nebes... Potom zvezda Neptuna,
                    Luna, v morskuyu kanula puchinu,
                    I vse zakonchilos'... Teper' i nam
                    Podobnyj znak paden'ya i raspada
                    Prirodoyu nisposlan...

                              Vhodit Prizrak.

                                           CHto takoe?
                    Ty vozvrashchaesh'sya?.. Nu, pogodi,
                    Druzhok, ya perejdu tebe dorogu,
                    Hotya by ty raznes menya po kochkam!
                    Stoj, navazhdenie! I esli ty
                    Sposobno govorit', to govori!
                             Skazhi mne,
                             Est' li chto-libo na svete,
                    CHto mozhet uchast' oblegchit' tvoyu,
                    A mne yavit' istochnik blagodati?
                             Otkroj mne,
                             Poyavlenie tvoe
                    Ne predveshchaet li gryadushchih bedstvij?
                    I mozhet li prozrenie moe
                    Predotvratit' gryadushchee?
                             Skazhi,
                    Kogda pri zhizni predal ty zemle
                    Sokrovishcha, - ved', govoryat, za eto
                    Vy, prizraki, i brodite nochami! -

                                Poet petuh.

                    Skazhi ob etom. Stoj! Otkrojsya mne!..
                    Marcsll, ostanovi ego!

                                  Marcell

                                            Ego?..
                    Ostanovit'?.. Mne?.. Alebardoj?..

                                  Goracio

                                                 Bej!
                    Ono ne podchinilos'!..

                                  Bernardo

                                           Est'!

                                  Goracio

                                                 Dostal!

                                  Marcell

                    Ushel...

                              Prizrak uhodit.

                            My slishkom durno oboshlis'
                    S Ego Velichestvom, zateyav draku...
                    Poskol'ku on neuyazvim, kak vozduh,
                    Udary nashi - vrode kak nasmeshka...

                                  Bernardo

                    YA dumayu, vse delo - v petuhe...

                                  Goracio

                    Vne vsyakogo somnen'ya. YA primetil,
                    Kak vzdrognul on, kak budto v chem vinoven,
                    Kogda truba pernataya dennicy
                    Svoej luzhenoj glotkoj probudila
                    Dnevnoe bozhestvo... Pri zvukah sih
                    V ogon' li, v vodu, v tuchu ili v zemlyu,
                    Koroche, - v zatochenie svoe
                    Nishodyat duhi greshnye. I etot
                    Udostoverilsya, chto on - ne isklyuchen'e.

                                  Marcell

                    Da, on pozhuh, kogda zapel petuh.
                    Nedarom zhe v Rozhdestvenskij sochel'nik
                    YA slyshal, petuhi ne umolkayut,
                    A privideniya iz-pod zemli
                    Ne kazhut nosa, i bezvredny zvezdy,
                    I ved'my ne imeyut sily. Vot
                    Skol' svyat i skol' vsemilostiv sochel'nik
                    Pred Rozhdestvom Spasitelya!

                                  Goracio

                                               YA takzhe
                    Slyhal ob etom i chastichno veryu.
                    Odnako - stop. Dovol'no na segodnya.
                    Vzglyanite: utro v pepel'nom i alom
                    Plashche dennicy - shestvuet po sklonam
                    Holmov rosistyh, i pora na otdyh
                    Polnochnoj strazhe... No odin sovet -
                    Svoimi nablyuden'yami nochnymi
                    Dolzhny my podelit'sya s nashim princem.
                    Siya shtukovina gluhonemaya,
                    Klyanus', ona yazyk-to svoj razvyazhet,
                    Kogda my ih svedem nakorotke.
                    A posemu, kol' netu vozrazhen'ya,
                    Iz chuvstva dolga, chuvstva uvazhen'ya
                    K persone princa Gamleta, dolzhny my
                    Pojti i princa v tajnu posvyatit'.

                                  Marcell

                    A chto, nedurno!.. Kstati, mne izvestno,
                    Gde Gamlet nash - nu kak skazat'? - nochuet.
                                 (Uhodyat.)


                                  Scena 2

  Tronnyj zal. Truby. Vhodyat korol' s korolevoj, za nimi Gamlet, Polonij,
                  Laert, Vol'timand, Kornelij i pridvornye

                                   Korol'

                    Eshche ne skoro vyvetritsya skorb'
                    O Gamlete, pokojnom nashem brate,
                    A potomu pristalo obnazhit'
                    Sosud stradan'ya, prisovokupiv
                    K pechali vashej kaplyu nashih slez.
                    No bitva blagochestiya s prirodoj
                    Zashla tak daleko, chto podobaet,
                    Ne zabyvaya o pokojnom, pomnit'
                    I o samih sebe. I posemu
                    Vcherashnyuyu sestru i korolevu,
                    Vdovu, ch'e popechenie hranilo
                    Voinstvennuyu Datskuyu derzhavu,
                    My s radost'yu, otravlennoj pechal'yu,
                    Vostorg stenan'yami uravnovesiv,
                    V toske i nege, s mirtom u odra
                    Suprugoj narekli. I vashi rechi,
                    Mudrejshie, ne otvratili nas.
                    Za chto primite nashu blagodarnost'.
                    Teper' o yunom Fortinbrase. On,
                    Prevratno umozaklyuchiv o nashih
                    Dostoinstvah, oploshno polagaet,
                    CHto Daniya bez Gamleta raspalas'...
                    Voobraziv o sobstvennoj persone
                    Nevest' chego, on pishet nam poslan'e,
                    Gde trebuet vozvrata territorij,
                    Utrachennyh ego otcom, a nyne
                    Hranimyh nami posle blagorodnoj
                    Konchiny brata, no o nem dovol'no.
                    Teper' o tom, zachem ya vas sozval.
                    Sut' dela takova. My otpisali
                    Norvezhcu-korolyu, kotoryj dyadej
                    Prihoditsya - chto kstati! - Fortinbrasu.
                    Starik davno uzhe k odru prikovan
                    I vryad li znaet o prigotovlen'yah
                    Plemyannika. Vot s etim-to pis'mom
                    My napravlyaem vas, nash drug Kornelij,
                    I vas, lyubeznyj Vol'timand, poslami
                    K pravitelyu norvegov. Polagaem,
                    CHto vashih polnomochij hvatit vam
                    V predelah ustanovlennyh. Speshite,
                    I speshka vam zachtetsya. V dobryj put'.

                           Vol'timand i Kornelij

                    My Danii rodnoj ne posramim!

                                   Korol'

                    My v tom ne somnevaemsya. Proshchajte.

                               Posly uhodyat.

                    Laert, chto tam za novosti u vas?
                    Vy chto-to govorili o kakom-to
                    Proshenii? No razve est' takoe,
                    CHto bylo vashej pros'boj i ne stalo
                    Moim zhe predlozhen'em? Golova
                    Ne bolee rodnya plecham i telu,
                    Ruka dlya rta ne bolee sluga,
                    CHem datskij tron dlya tvoego otca.
                    Tak v chem zhe pros'ba vasha?

                                   Laert

                                               Gosudar'!
                    Proshu blagovolen'ya otpustit'
                    Menya vo Franciyu. Po dobroj vole
                    YA k vam na koronaciyu vernulsya.
                    Moj dolg ispolnen. No moya dusha,
                    Kak prezhde, tam, vo Francii...

                                   Korol'

                                                 Odnako
                    Otec ne protiv? Govori, Polonij...

                                  Polonij

                    Milord, moe on vydavil soglas'e.
                    Puskaj uzh edet...

                                   Korol'

                                       V dobryj chas, Laert.
                    I pust' tebe soputstvuet udacha,
                    Blagovolya ko vsem tvoim prichudam.
                    Teper' nash Gamlet, i rodnya, i syn...

                                   Gamlet

                    Rodnee chem rodnya, no ne rodnoj.

                                   Korol'

                    Tak do sih por visyat nad vami tuchi?

                                   Gamlet

                    Otnyud', milord. YA slepnu, kak ot solnca.

                                  Koroleva

                    Moj milyj Gamlet! Skin' nochnoj pokrov.
                    Vzglyani kak drug na Daniyu. K chemu
                    Ves' vek iskat' s opuhshimi glazami
                    Otca nemuyu ten'? Ty znaesh' sam:
                    Vse, chto zhivet, estestvenno stremitsya
                    K mogile. YA prava?

                                   Gamlet

                                        Ne smeyu sporit'.

                                  Koroleva

                    A esli ya prava, togda zachem
                    Tak vydelyat'sya i kazat'sya mrachnym?

                                   Gamlet

                    Kazat'sya? Vy skazali mne "kazat'sya"?
                    YA predpochel by staryj termin "byt'".
                    Kazat'sya mrachnym mozhet plashch moj chernyj,
                    Tyazhelym - vzdoh podavlennyj, glubokim -
                    Potok iz slez... Ni plashch, ni eti slezy -
                    Ne est' ya sam. Vo mne vy primechali
                    Odno oblichie moej pechali.

                                   Korol'

                    Ves'ma pohval'no i otradno, Gamlet,
                    Otdat' svoj dolg usopshemu otcu.
                    Takov poryadok. Prohodili eto
                    I tvoj otec, i ded. I vsyakij raz
                    Na nekij srok sebya my ponuzhdaem
                    Primerit' traur. No tvoe uporstvo
                    Zashlo za gran' postydnogo upryamstva.
                    A eto veshchi raznye. Unyn'e -
                    Ty znaesh' sam - est' vyzov nebesam,
                    Zanyat'e, nedostojnoe muzhchiny,
                    I primitiv, prigodnyj dlya nevezhd.
                    Pri vstreche s tem, chto stol' obyknovenno,
                    K chemu slezlivost' i pryzhki rassudka?
                    Lish' tot, kto obuyan protivoborstvom,
                    Tak blizko k serdcu dopuskaet skorb'.
                    A eto - oskorblenie nebes,
                    ZHivoj prirody i prirody mertvyh.
                    Opasnyj rod absurda. Razum nash -
                    Ot smerti Avelya i do poslednej
                    Segodnyashnej konchiny - utverzhdaet:
                    "Tak dolzhno byt'!" Itak, tebya my prosim:
                    Otbros' nesoobraznye stradan'ya
                    I nas pochti za svoego otca.
                    Da budet vsem izvestno, chto otnyne
                    Ty priblizhennej, chem inye, k tronu,
                    I s toj zhe dolej trepetnoj lyubvi,
                    S kotoroj samyj nezhnyj iz otcov
                    Blagovolit rodnomu synu, my
                    Tebe blagovolim... A chto do pros'by
                    Tvoej - vernut'sya v Vittenberg i dale
                    Uchit'sya - nam ona ne po dushe.
                    Vot nash sovet: skloni sebya ostat'sya.
                    V otradu nam i v uteshen'e nam
                    Ty - pervyj iz vel'mozh, syn i plemyannik.

                                  Koroleva

                    Ne daj prostyt' molitve materinskoj.
                    Ostan'sya zdes', ne ezdi v Vittenberg!

                                   Gamlet

                    Za luchshee pochtu vam podchinit'sya.

                                   Korol'

                    Otvet, dostojnyj lyubyashchego syna.
                    Bud' v Danii pri nas. Pojdem, Gertruda,
                    Ego soglas'e greet dushu mne.
                    A potomu korol' provozglashaet:
                    Vo zdravie p'et Daniya segodnya
                    Pod grohot samoj krupnoj iz mortir!
                    Pust' pushka Nebu vozvestit pro etu
                    Pobedu nashu obshchuyu, i pust'
                    Nebes dostignet grom pobednyh kubkov,
                    A grom nebesnyj vtorit. Vse - k stolu!

                        Vse, krome Gamleta, uhodyat.

                                   Gamlet

                    O, chtob ty lopnula, tugaya plot',
                    Vodoj soshla, rosoyu razreshilas'!
                    Kogda by dvazhdy ne karal Gospod'
                    Samoubijc, nu kto, skazhi na milost',
                    Kto b soglasilsya etu muku dlit',
                    Torcha do sroka na zaglohshej gryadke,
                    Gde bujstvo ternij da krapivy pryt'
                    Navyazyvayut nam svoi poryadki?
                    Dva mesyaca... - da net, otkuda dva?.. -
                    Kak tot korol', titan v sravnen'i s etim
                    Satirom - ustupil svoi prava
                    Na vse. Svershilos'. Nu i chem otvetim?
                    ...Ee li ne lyubili? Bozhe, kak,
                    Kak on umel lyubit' ee! Kazalos',
                    Kogda on vetru v gneve delal znak -
                    Ee shcheki dozhdinka ne kasalas'!
                    Zachem ya dolzhen pominat' ne vprok,
                    Kak veshalas' ona emu na sheyu,
                    Kak teshilas', kak nenasytstvo eyu
                    Ne vspominat'... CHur, chur menya!.. Nu, baby...
                    Kakuyu slabost' nosite v krovi?
                    Hotya by mig pomedlila... Hotya by
                    Stoptala tufli novye svoi,
                    V kotoryh shla ty za otcovskim grobom
                    V slezah, kak Niobeya... CHto zh, teper'
                    V kakom-to isstuplenii osobom...
                    Ved' ne istek i mesyac! Lyutyj zver'
                    Skorbel by dol'she... Ty zh ne mozhesh' dol'she.
                    Za brata moego otca idesh',
                    Kotoryj na otca pohozh ne bol'she,
                    CHem, skazhem, na Gerakla ya pohozh.
                    CHto mozhet byt' postydnej etoj roli?
                    CHto v nizosti svoej posporit s nej?
                    Ona s glazami, krasnymi ot soli,
                    Nyryaet v voroh brachnyh prostynej.
                    Kakaya skorost'!.. Zdes' dobra ne budet.
                    Na vsem krovosmesheniya pechat'.
                    Nu razve chto i pravda - zamolchat',
                    CHtob serdce lopnulo?.. I bud' - chto budet!

                    Vhodyat Goracio, Marcell i Bernardo.

                                  Goracio

                    Pozvol'te vas privetstvovat', milord!

                                   Gamlet

                    Pozvolyu, kak svoim glazam poveryu!..
                    Neveroyatno, eto ty, Goracio,
                    ZHivoj i v dobrom zdravii...

                                  Goracio

                                                 CHego
                    I vam zhelaet vernyj vash sluga.

                                   Gamlet

                    ZHelal by sam sluzhit' tebe, Goracio.
                    Ty ne sluga, ty staryj moj tovarishch.
                    Kakimi vetrami iz Vittenberga?

                                  Marcell

                    Vashe vysochestvo!..
                              (rasklanivaetsya)

                                   Gamlet

                                        YA rad i vam...
                                (k Bernardo)
                    A, dobryj vecher, ser!..
                                (k Goracio)
                                             Tak rasskazhi,
                    Iz-za chego ty brosil Vittenberg?

                                  Goracio

                    Uvy, milord, ya mnogo progulyal.

                                   Gamlet

                    Ochen' smeshno! Takogo anekdota
                    I vrag by o tebe ne sochinil.
                    Ty hochesh', chtoby ya poveril?.. Vprochem,
                    CHemu-chemu, a p'yanstvu my nauchim.
                    Tak chto zh tebya zastavilo vernut'sya?

                                  Goracio

                    Milord, skazat' po pravde, ya priehal
                    Na pohorony vashego otca.

                                   Gamlet

                    Opyat' ty za svoe. Nu skol'ko mozhno!..
                    Skorej - na svad'bu materi moej.

                                  Goracio

                    M-da, promezhutok byl ne slishkom dlinnym.

                                   Gamlet

                    Rachitel'nost', moj drug, tomu prichina.
                    Goryachee pryamehon'ko s pominok
                    V holodnom vide shlo na brachnyj stol.
                    YA etakih zastolij ne lyubitel',
                    Po mne uzh luchshe v rajskih kushchah vypit'
                    S vragom zaklyatym... No sejchas, kogda ya
                    Smotryu na moego otca...

                                  Goracio

                                              Kak eto
                    Vy smotrite?

                                   Gamlet

                                  Duhovnym zren'em, ser.

                                  Goracio

                    YA videl vashego otca odnazhdy,
                    No govoryat, on slavnyj byl korol'.

                                   Gamlet

                    I v polnom smysle slova - chelovek.
                    Teper' takih i netu.

                                  Goracio

                                         Tak, milord.
                    No, kazhetsya, vchera ya s nim vstrechalsya.

                                   Gamlet

                    Vstrechalis'? S kem?

                                  Goracio

                                        S pokojnym gosudarem,
                    Vashim otcom.

                                   Gamlet

                                    Moim otcom?

                                  Goracio

                                                Pri mne
                    Svideteli togo, chto bylo eto
                    Vzapravdu.

                                   Gamlet

                                 Boga radi, govori!

                                  Goracio

                    Moi druz'ya, Marcellus i Bernardo,
                    Podryad dve nochi ohranyali zamok.
                    Nu, karaul est' karaul... No v polnoch',
                    Voobrazite, nekaya figura,
                    Toch'-v-toch' pokojnyj vash otec, pri polnom
                    Vooruzhen'i, v boevyh dospehah,
                    Voznikla niotkuda i nespeshno
                    Proshestvovala dvazhdy mimo nih...
                    Na rasstoyanii, nu, skazhem, zhezla...
                    Estestvenno, oni ocepeneli
                    Ot uzhasa takogo, a potom
                    Otkrylis' mne, no pod bol'shim sekretom,
                    I v tret'yu noch' uzhe my byli vmeste.
                    I tochno! V polnoch' nekoe viden'e,
                    Uveshannoe latami i prochim,
                    Prohodit mimo i ne smotrit dazhe
                    Na nas, na strazhu... Po vsemu vyhodit,
                    CHto eto vash otec.

                                   Gamlet

                                       Gde eto bylo?

                                  Goracio

                    Na esplanade pered zamkom.

                                   Gamlet

                                                Vy
                    Smogli zagovorit' s nim?

                                  Goracio

                                             YA pytalsya,
                    No on i brov'yu ne povel. I tol'ko,
                    Uzhe v konce, nu vrode kak reshilsya
                    Otvetit' mne, no tut propel petuh,
                    I on ischez...

                                   Gamlet

                                  Vse eto slishkom stranno.

                                  Goracio

                    Tem bolee, chto tak ono i bylo,
                    Iz-za chego my i prishli syuda.

                                   Gamlet

                    I vse zhe ya ne znayu, chto i dumat'.
                    ...Kto nynche v karaule?

                             Marcell i Bernardo

                                             My, milord.

                                   Gamlet

                    Vy govorite, byl on tochno v latah?

                             Marcell i Bernardo

                    Ves' v latah.

                                   Gamlet

                                  V latah s nog do golovy.
                    I, znachit, vy lica ne razglyadeli.

                                  Goracio

                    On v shleme byl, no s podnyatym zabralom.

                                   Gamlet

                    I mrachen?

                                  Goracio

                               Da, milord, mrachnee tuchi.
                    Kak pered burej.

                                   Gamlet

                                      Ochen' bleden?

                                  Goracio

                                                     Da,
                    Uzhasno bleden.

                                   Gamlet

                                    I smotrel v glaza?

                                  Goracio

                    Eshche i kak...

                                   Gamlet

                                  Hotel by ya tam byt'.

                                  Goracio

                    O, vas by eto potryaslo!

                                   Gamlet

                                            Vozmozhno.
                    No dolgo li viden'e dlilos'?

                                  Goracio

                                                  Dolgo.
                    YA mog, k primeru, doschitat' do sta.

                             Marcell i Bernardo

                    Da net zhe, dol'she!.. I namnogo dol'she!..

                                  Goracio

                    No ne togda, kogda ya s vami byl.

                                   Gamlet

                    ...I boroda sedaya?

                                  Goracio

                                       Kak pri zhizni,
                    Kak serebristyj sobol'.

                                   Gamlet

                                             Gospoda,
                    Segodnya ya pojdu dezhurit' s vami.
                    Pohozhe, chto ono eshche vernetsya...

                                  Goracio

                    YA eto garantiruyu.

                                   Gamlet

                                       I esli
                    Ono i nyne primet blagorodnyj
                    Vid moego otca, - zagovoryu,
                    Hotya by podo mnoj razverzlas' bezdna...
                    Lish' ob odnom proshu: vy sohranyali
                    Uvidennoe v tajne, pust' i vpred',
                    CHto b ni sluchilos', - budet nasha tajna.
                    A ya... YA vash dolzhnik. Itak, segodnya
                    Bez chetverti dvenadcat' vozle zamka,
                    Na esplanade...

                        Goracio, Marcell i Bernardo

                                      Budem zhdat', milord.

                                   Gamlet

                    Otnyne vy druz'ya moi. Proshchajte!

                    Goracio, Marcell i Bernardo uhodyat.

                    Duh moego otca... Pritom v dospehah...
                    Oh, kak nehorosho... YA oshchushchayu
                    Kakuyu-to nechistuyu igru...
                    Skorej by noch'... I zamolchi, dusha!
                    Ved' zlodeyan'ya, v sushchnosti, netlenny,
                    Ukroj zemleyu - vse ravno vosstanut.
                    Hot' pozdno, a predstanut pred lyud'mi.
                                  (uhodit)


                                  Scena 3

               Komnata v dome Poloniya. Vhodyat Laert i Ofeliya.

                                   Laert

                    Bagazh na korable. Zashel prostit'sya.
                    No budu rad, lyubeznaya sestrica,
                    Kogda prishlesh' hot' vestochku, hot' znak
                    S poputnym vetrom ili prosto tak.

                                   Ofeliya

                    Ne somnevajsya, brat.

                                   Laert

                                         Teper' - ser'ezno
                    O Gamlete. Begi, poka ne pozdno,
                    Ot sladkoj blagosklonnosti ego.
                    Ona - kapriz, i bole nichego.
                    Tam, za fasadom napusknoj lyubovi, -
                    Igra uma da igry yunoj krovi.
                    Tak nezhnaya fialka po vesne
                    Blagouhaet dazhe i vo sne,
                    No leto na porog, i... - ah, kak zhalko! -
                    Gde etot duh? I gde sama fialka?
                    Minutnaya bezdelica, pustyak,
                    Ne bolee...

                                   Ofeliya

                                    Ne bolee, chem tak?

                                   Laert

                    Nu, rassudi sama... Vse ochen' prosto.
                    Tak, nabuhaya, vyzrevaet plod.
                    Tak, esli stroit' hram, po mere rosta
                    Stropil, - molitva neba dostaet.
                    Polozhim, on ne vedaet somnenij
                    I ne zhelaet zla tvoej sud'be...
                    CHto tolku v chistote ego stremlenij,
                    Kogda prinadlezhit on ne sebe?
                    On govorit, chto lyubit? CHto zh, byt' mozhet.
                    No dazhe i lyubov' ego ne vprok.
                    Smotri - on za stolom sebe ne mozhet
                    Otrezat' priglyanuvshijsya kusok.
                    Ego slova vozvyshenny?.. Kto sporit?
                    No vyshe samyh strastnyh slov ego
                    Derzhavnoe velenie togo,
                    CH'ya volya princu Gamletu mirvolit.
                    V otlichie ot nas, prostyh lyudej,
                    On ne hozyain, a nevol'nik doli,
                    I sam pri vsej telesnosti svoej -
                    Vsego lish' golos Danii, ne bole.
                    Tvoi dary zhelanny. Ottogo
                    On zavtrashnee lozhe stelet lest'yu.
                    Zaslushaesh'sya pesenkoj ego,
                    I serdce poteryaesh' vmeste s chest'yu!
                    Ofeliya, sestra moya, begi,
                    Begi podal'she ot ego zhelanij,
                    Sokrovishche svoe uberegi
                    Vdali ot nedostojnyh izliyanij...
                    Ved' poutru sostav nochnoj rosy
                    Gubitelen byvaet dlya rassudka...
                    Toropit yunost' starye chasy,
                    No eto - znaesh' li? - plohaya shutka.

                                   Ofeliya

                    YA vyuchu na pamyat' tvoj urok,
                    No, milyj bratec, esli razobrat'sya,
                    Otkuda eti pomysly ne vprok
                    I pohotlivyj ton, dostojnyj starca?
                    Ukazyvaesh' tropku k nebesam,
                    A sam, besputnik vetrenyj i bravyj,
                    SHagaesh' vniz po sorvannym cvetam
                    V pogone za somnitel'noyu slavoj?

                              Vhodit Polonij.

                                   Laert

                    O, ne pugaj menya!.. Na etot raz
                    Ty nesgovorchiva na udivlen'e...
                    No vot idet otec...
                             (vstaet na koleni)
                                        Otec, u vas
                    Vtorichnogo proshu blagosloven'ya,
                    Ved' esli veshchi pryamo nazyvat',
                    Vtoroj ot®ezd - dvojnaya blagodat'.

                                  Polonij

                    Eshche ty zdes'?.. Da kak tebe ne stydno!..
                    Verhom na machtu sel poputnyj veter,
                    A on chego-to zhdet... Potoropis'.
                    Prinyav povtornoe blagosloven'e,
                       (kladet ruku na golovu Laerta)
                    Roditel'skoe slushaj nastavlen'e:
                    Vo-pervyh, - reputaciya! Derzhi:
                    YAzyk otdel'no, pomysly otdel'no.
                    I to, chto delaesh', ne delaj vsluh.
                    Bud' prost so vsemi, no ne famil'yaren.
                    Priyatelej, kogda ih ispytaesh',
                    Pribliz' i k serdcu cep'yu pricepi.
                    Ne potakaj otvage zheltorotoj:
                    Osteregajsya vvyazyvat'sya v draku,
                    A ezheli ne smozhesh' uklonit'sya -
                    To uklonyat'sya dolzhen tvoj protivnik.
                    Lyubomu mnen'yu podstavlyaya uho,
                    Ne kazhdomu v otvet dari svoj golos.
                    Hrani svoi suzhden'ya pri sebe
                    Da s koshel'kom soizmeryaj privychki.
                    Vo Francii vstrechayut po odezhke,
                    Ved' Franciya - strana aristokratov.
                    Oden'sya pobogache, no so vkusom
                    I bez fantazij. |togo ne lyubyat.
                    V dolg ne beri i ne davaj drugomu,
                    Osobenno druz'yam. Ty poteryaesh'
                    Snachala den'gi, a potom i druga.
                    Odalzhivaya, my sebya stesnyaem
                    V svoih zhe sredstvah, chto dovol'no glupo.
                    Ty pozabot'sya o sebe i etim
                    Drugim pomozhesh'. Vse. Marsh na korabl'!
                    I pomni moj roditel'skij nakaz.

                                   Laert

                    YA zhrebij svoj priemlyu so smiren'em.

                                  Polonij

                    Nu ladno. A teper' i vpryam' - pora!
                    I slugi zhdut, i vremya priglashaet.

                                   Laert
                           (podnimaetsya s kolen)

                    Proshchaj, Ofeliya, i ne zabud'
                    Moi slova.

                                   Ofeliya

                                 YA ih zamknula v serdce,
                    A klyuchik ty s soboyu uvezesh'.
                                (obnimayutsya)

                                   Laert

                    Prostite.
                                  (uhodit)

                                  Polonij

                                Tak o chem on govoril?

                                   Ofeliya

                    O tom, o chem i vy mne tolkovali,
                    O lorde Gamlete.

                                  Polonij

                                      Vot eto kstati,
                    CHto ty o nem napomnila sama.
                    YA tak skazhu: v poslednie nedeli
                    Tebya on slishkom shchedro odaryaet
                    Vnimaniem svoim. A ty i rada.
                    I, znachit, vsya otvetstvennost' na mne.
                    I v celyah, tak skazat', preduprezhden'ya,
                    Skazhu, chto ty sama sebya ne znaesh'.
                    Ne soznaesh', chto mozhno, chto nel'zya.
                    ...Rasskazyvaj, chto bylo mezhdu vami...

                                   Ofeliya

                    Otec, on predlozhil svoyu lyubov'.

                                  Polonij

                    Vot tol'ko etogo i ne hvatalo!
                    Lyubov'... I ty poverila emu?

                                   Ofeliya

                    Po pravde, ya ne znayu, chto i dumat'.

                                  Polonij

                    A ty podumaj i predstan' pred nim
                    V oblichii nevinnogo mladenca,
                    Prinyavshego za chistuyu monetu
                    Ego chekanku nevysokoj proby,
                    I zayavi, chto ty dorozhe stoish'
                    I durakom ne vystavish' menya.

                                   Ofeliya

                    Dlya predlozheniya svoej lyubvi
                    On vybral sposob samyj blagorodnyj!

                                  Polonij

                    Aga, ty nazyvaesh' eto sposob
                    Lyubvi... Nu-nu...

                                   Ofeliya

                                   On klyalsya klyatvami svyatymi!..

                                  Polonij

                    Nu da, chtob zamanit' tebya v silki.
                    Pojmi, kogda dusha ognem ob®yata,
                    Ona vsego shchedrej na treskotnyu.
                    No eti iskry, doch', uvy, ne greyut
                    I bystro gasnut. Upasi tebya
                    Prinyat' fal'shivyj blesk za nastoyashchij.
                    Postav' sebya prevyshe domogatel'stv
                    I milostej svoih ne rastochaj.
                    Da, Gamlet molod. No ego okovy -
                    Potyazhelej tvoih. A eti klyatvy -
                    Kovarnyj rod blagochestivyh svodnic,
                    I chem blagochestivej, tem kovarnej.
                    Koroche, raz i navsegda zapomni:
                    S segodnyashnego dnya ty prekrashchaesh'
                    Obshchen'e s princem Gamletom i vpred'
                    Idesh' svoim putem. Ty ponyala?..
                    CHto skazhesh'?..

                                   Ofeliya

                                   CHto dolzhna povinovat'sya.
                                 (Uhodyat.)


                                  Scena 4

         |splanada pered zamkom. Vhodyat Gamlet, Goracio i Marcell.

                                   Gamlet

                    Nu i moroz! I koletsya, i shchiplet...

                                  Goracio

                    I shchipletsya, i kolet, i kusaet!

                                   Gamlet

                    Kotoryj chas?

                                  Goracio

                                  Da bez chego-to polnoch'.

                                  Marcell

                    Probilo tol'ko chto...

                                  Goracio

                                      YA nichego ne slyshal,
                    No esli tak, to nastupaet vremya
                    Izlyublennoe imi dlya progulok.

                 Za scenoj zvuchat fanfary, strelyaet pushka.

                    Milord, chto oznachayut eti zvuki?

                                   Gamlet

                    A to, chto nash korol' i noch'yu bdit.
                    Na radostyah nadulsya, nu i skachet.
                    I vsyakij raz, kogda on osushaet
                    Svoj kubok, polnyj samym krepkim rejnskim,
                    Vzamen ego i v chest' ego fanfary
                    Perdyat na vsyu okrugu.

                                  Goracio

                                           Takova
                    U vas tradiciya?

                                   Gamlet

                                    Nu, chto-to vrode.
                    Tradiciya, k kotoroj nevozmozhno
                    Privyknut', dazhe esli zdes' rodilsya,
                    A uprazdnit' nel'zya: voshel v obychaj
                    Tupogolovyj datskij nash kutezh
                    I vysoty dostig neimovernoj.
                    My etim znamenity i v sosedyah...
                    Vostok i Zapad horom utverzhdayut,
                    CHto vse datchane - p'yanicy, no my-to
                    Ubezhdeny - ih zaedaet zavist'
                    Vvidu ogromnyh nashih dostizhenij,
                    Predstavlennyh na toj zhe vysote.
                    Neredko edak i s lyud'mi byvaet:
                    Vinovny li oni v rodimyh pyatnah
                    Svoih, ved' estestvo ne vybiraet
                    Oblichiya, no pyatnyshko zhivet
                    I razrastaetsya, podtachivaya koren'
                    Samostoyan'ya... Ili vot - privychka
                    Durnaya, no lyubeznaya vnachale,
                    Iz®yan, priobretennyj po oshibke
                    Tem, kto luchom Fortuny osenen,
                    CH'i pomysly chisty, a blagodat'
                    Stol' gluboka, naskol'ko tol'ko mozhet
                    Vmestit' zemnoe serdce... Bedy nashi
                    V ustah molvy stanovyatsya porokom,
                    I to, chto bylo pyatnyshkom, i tol'ko,
                    Nas zapyatnaet s golovy do pyat.

                            Poyavlyaetsya Prizrak.

                                  Goracio

                    Smotri, ono idet syuda samo!..

                                   Gamlet

                    Da zashchityat nas angely Gospodni!
                    I kto by ni byl ty - poslannik Neba,
                    Ili nechistyj duh - ischad'e ada,
                    I chem by ni grozila vstrecha eta,
                    YA vse ravno s toboj zagovoryu.
                    YA znayu: v sootvetstvii s tvoim
                    Oblichiem - ya dolzhen obratit'sya
                    "Otec moj Gamlet!..", ili "Gosudar'!..",
                    A vot eshche - "Datchanin vseh datchan,
                    Vashe Velichestvo!..", no otvechaj, ne medlya,
                    Inache lopnu ya na etom meste,
                    Zachem ty, vdavlennyj v nebytie
                    Nadgrobnym kamnem, savan razodral
                    I v mir lyudej idesh', i pochemu
                    Tvoya vysokochtimaya grobnica
                    Vdrug mramornye chelyusti razzhala,
                    CHtoby tebya na etot svet istorgnut', -
                    I v novolun'e tyagostnym koshmarom
                    Vo vseoruzh'i ty prihodish' k nam?
                    A my, payacy materi-prirody,
                    Trepeshchem tak, kak budto by dushoj
                    Kosnulis' zapredel'nogo, takogo,
                    CHego ne v silah i voobrazit',
                    Zachem ty zdes', i chto ty nam prikazhesh'?

                       Prizrak delaet znaki Gamletu.

                                  Goracio

                    Milord, ono vas za soboyu manit,
                    Kak budto hochet chto-to soobshchit'
                    Vam odnomu...

                                  Marcell

                                   Nu da, ves'ma uchtivo
                    Ono zovet vas otojti podal'she...
                    No ne hodite!..

                                  Goracio

                                    Vam tuda nel'zya!..

                                   Gamlet

                    Da net zhe, zdes' on govorit' ne stanet.

                                  Goracio

                    Nel'zya, sovsem nel'zya!

                                   Gamlet

                                           No pochemu?
                    CHego boyat'sya? YA ne dorozhu
                    Svoeyu zhizn'yu, a dusha bessmertna
                    Ravno i u nego, i u menya.
                    Aga, vot on opyat' menya zovet!..

                                  Goracio

                    Moj princ, ono utyanet vas v puchinu,
                    A to eshche zamanit na skalu,
                    Navisshuyu nad bezdnoyu, i tam,
                    Koleblya ochertaniya nochnye,
                    Zavorozhit illyuziej svobody
                    I podtolknet k bezumiyu... Milord,
                    Podumajte ob etom horoshen'ko:
                    V takih mestah gnezditsya tol'ko gibel',
                    I svetlyachkami umopomrachen'ya
                    Mercaet vozduh, ezheli do morya
                    Tak daleko, a snizu tol'ko rokot...

                                   Gamlet

                    Nu, ya poshel...

                                  Goracio

                                   Milord, ostanovites'!

                                   Gamlet

                    Proch' ruki!..

                                  Goracio

                                  Princ, poslushajtes' soveta!

                                   Gamlet

                    Protivnogo moej sud'be? O, net.
                    Kak ya mogu, kogda mel'chajshij muskul
                    Vo mne napryagsya, kak Nemejskij Lev?
                    Menya zovut, i dajte mne dorogu,
                         (vyryvaetsya, obnazhaya mech)
                    Inache nastrugayu prividenij
                    Iz kazhdogo, kto vstanet na puti.
                    Proch', gospoda!.. Idi. YA za toboyu.

            Prizrak skryvaetsya v odnoj iz bashen. Gamlet za nim.

                                  Goracio

                    Bezumec. A ved' ya preduprezhdal.

                                  Marcell

                    Posleduem za nim, poka ne pozdno.

                                  Goracio

                    Posleduem, ne uboyas' posledstvij.

                                  Marcell

                    Pahnulo tlenom v Datskom korolevstve.

                                  Goracio

                    Gospod' ego provetrit!..

                                  Mapcell

                                              Pospeshi!
                                 (Uhodyat.)


                                  Scena 5

              Dvor zamka. Dver' v odnoj iz bashen otkryvaetsya.
                      Vyhodit Prizrak, za nim Gamlet,
                    derzhashchij mech krestom poperek grudi.

                                   Gamlet

                    Kuda idem? YA dal'she ne pojdu.

                           Prizrak oborachivaetsya.

                                  Prizrak

                    Togda posleduj za moeyu mysl'yu...

                                   Gamlet

                    YA sleduyu za nej...

                                  Prizrak

                                        Podhodit vremya,
                    Kogda ya dolzhen budu vozvratit'sya
                    V ob®yat'ya smradnogo ognya...

                                   Gamlet

                                               Neschastnyj...

                                  Prizrak

                    ZHalet' menya ne dolzhno. Odolzhi
                    Svoim vniman'em, i tebe otkroyus'.

                                   Gamlet

                    YA vyslushayu, tol'ko ne tyani!

                                  Prizrak

                    No, vyslushav, ty dolzhen budesh' mstit'.

                                   Gamlet

                    O chem ty, ya ne ponimayu...

                                  Prizrak


                    Duh tvoego otca, prigovorennyj
                    Studenoj noch'yu po zemle skitat'sya,
                    A dnem postit'sya v ognennoj temnice,
                    Pokuda pregresheniya moi
                    Goryuchie - ne stanut dyma legche.
                    Kogda b ya mog perestupit' zaklyat'e,
                    Perevernul by ya legchajshim slovom
                    Tvoyu bol'nuyu dushu i umeril
                    Tvoj pyl, i ozaril tvoi glaza
                    Siyan'em vechnosti, sravnimym tol'ko
                    S siyaniem sorvavshejsya zvezdy.
                    Odno lish' slovo,
                    I vstanut dybom volosy, kak budto
                    Ty na plechah, moj milyj Gamlet, nosish'
                    Ne golovu svoyu, a dikobraza,
                    Porosshego bronej krepchajshih igl.
                    No eta tajna ne dlya razglashen'ya
                    Tomu, kto sostoit iz smertnoj ploti...
                    Tak slushaj zhe druguyu... Krepko slushaj,
                    Kogda i vpravdu ty menya lyubil.

                                   Gamlet

                    O Gospodi!..

                                  Prizrak

                                  Ty dolzhen otomstit'
                    Za gryaznoe i gnusnoe ubijstvo.

                                   Gamlet

                    Ubijstvo?

                                  Prizrak

                               Da, kakih i ne byvaet.

                                   Gamlet

                    Togda vykladyvaj - da poskorej,
                    A ya strizhom vzov'yus' na kryl'yah mshchen'ya
                    I doberus' do vozhdelennoj celi
                    Bystree, chem lyubovnik...

                                  Prizrak

                                             Da, ya vizhu,
                    Ty ne rozhden byt' sornoyu travoj,
                    Zatoptannoj u pristani letejskoj.
                    Odnako slushaj. Obo mne skazali,
                    CHto v chas, kogda ya spal v moem sadu,
                    Menya zmeya uzhalila. Uvy,
                    Vse tak i bylo, esli tol'ko znat',
                    CHto hodit ta zmeya v moej korone.

                                   Gamlet

                    Aga, dusha, tak vot chto ty sheptala...
                    Moj dyadya...

                                  Prizrak

                                 Da, krovosmesitel' gnusnyj,
                    CHudovishche, paskudnik, charodej.
                    Ego porochnyj um, ego besstydstvo
                    Nedyuzhinnoe - obladayut siloj,
                    Sposobnoj iskusit' i dobrodetel'.
                    I koroleva pered nim sklonilas'.
                    O, Gamlet, Gamlet, kak mogla ona
                    Menya s moej lyubov'yu blagorodnoj
                    Smenyat' na negodyaya, ch'i talanty -
                    Prodlennoe nichtozhestvo, i tol'ko?
                    I mozhno l' dobrodetel' obol'stit'?..
                    Hotya razvrat pechetsya, chtoby forma
                    Ne razoshlas' s nebesnym soderzhan'em,
                    Bozhestvennyj fial nastol'ko hrupok,
                    CHto praroditel' pohoti, i tot,
                    Pri tom, chto sam on angel'skogo china,
                    Presytitsya dozvolennym i stanet
                    Ohotnik do vonyuchih potrohov.
                    No pozdno... Pahnet utrennej zareyu...
                    Itak, kogda ya spal v moem sadu,
                    Ko mne podkralsya dyadya tvoj i zel'e
                    Prolil v portaly uha moego
                    I tem izbavil ot moej obuzy...
                    Da, tot sostav iz travyanogo soka
                    Davno vrazhduet s chelovech'ej krov'yu,
                    I, popadaya vnutr', bystree rtuti
                    On zapolnyaet vyhody i vhody
                    Prirodnye, vse koridory tela,
                    I vse ego chulany... Kislota
                    Vot tak svorachivaet moloko.
                    Tak bylo i so mnoj: odna lish' kaplya,
                    I v kratkij mig tyazhelaya korosta
                    Pokryla telo strup'yami. Vot tak,
                    Vmig uspokoennyj rukoyu brata,
                    S zhenoyu i koronoj razluchennyj,
                    YA neochishchennyj, ne prichashchennyj,
                    Vo vsem cveten'i vseh moih grehov
                    Obrublen byl. I vse moi iz®yany
                    Prizhiznennye, vse moi dolgi,
                    I prochee - o uzhas, Gamlet, uzhas! -
                    Oni pri mne, i esli krov' tvoya
                    Ne ryb'ya, - ty sterpet' togo ne mozhesh',
                    Kak nevozmozhno, Gamlet, chtoby lozhe
                    Monarhov datskih sdelalos' podstilkoj
                    Dlya prelyubodeyan'ya. Otomsti
                    Tak bystro, kak sumeesh'. No zapomni:
                    Ne smej, moj syn, i v samyh chernyh myslyah
                    Zamyslit' protiv materi svoej.
                    Ostav' ee Vsevyshnemu. Ostav'
                    SHipam, zasevshim v etom slabom serdce,
                    Kolot' ego i zhalit'... Tak... Proshchaj...
                    Uzhe svetlyak bolotnyj na gnilushke
                    Morgaet mne, chto nastupaet utro,
                    I vse blednej ego ogon' holodnyj...
                    Proshchaj. Proshchaj, no pomni obo mne.
            (prizrak ischezaet v zemle, Gamlet padaet na koleni)

                                   Gamlet

                    Nu, chto eshche, Vladyka miloserdnyj?
                    Neuzhto mozhno vynesti i eto?
                    Vot d'yavol!.. Serdce bednoe, derzhis'.
                    Derzhis' i ty, slabeyushchee telo.
                           (podnimaetsya s kolen)
                    |j, prizrak, esli ty sposoben slyshat'
                    Vo chreve obezumevshego globusa,
                    Zapominaj, chto ya tebe skazhu:
                    Otnyne bez zazren'ya vymetayu
                    Iz kartoteki pamyati moej
                    Vse znaniya, vsyu knizhnuyu truhu,
                    Arhivnyj sor, nakoplennyj godami
                    Moej pytlivoj yunosti, ves' opyt
                    Oshibok i neprazdnyh nablyudenij.
                    I - poboku vse zapovedi, krome
                    Odnoj, tvoej. Poka moi mozgi
                    Izgvazdany zhitejskim, ya bessilen,
                    I dazhe Nebo ne pomozhet... Bozhe,
                    O Nebo, o zemlya, kakaya gryaz'!
                    I eta zhenshchina, i tot merzavec
                    S ulybochkoj, ispolnennoj zubami,
                    Rasstroili moi bylye plany.
                    ...No eto delo ya teper' ulazhu.
                      (chto-to pishet na klochke bumagi)
                    Dlya Danii takoj syuzhet - ne novost'.
                    Ah, dyadya, znachit, tak... Parol' i otzyv -
                    Proshchaj. Proshchaj, no pomni obo mne.
            (stanovitsya na koleni, kladet ruku na mech i molitsya)
                    Nu vot i klyatva...

                       Poyavlyayutsya Goracio i Marcell.

                                  Goracio

                                    Princ, vy gde-to zdes'?

                                  Marcell

                    Milord! Milord!

                                  Goracio

                                    Da sohranit vas Nebo!

                                   Gamlet

                    Da budet tak.
                              (vstaet s kolen)

                                  Marcell

                                  Ho-ho, privet, milord.

                                   Gamlet

                    Privet, moj ptenchik. Kak tebe letalos'?
                    Ho-ho, ho-ho...

                                  Marcell

                                    Nu, kak ono, moj princ?

                                  Goracio

                    Milord, kakie novosti?

                                   Gamlet

                                            Kakie?
                    Otmennye.

                                  Goracio

                               A mozhno popodrobnej?

                                   Gamlet

                    Da net, vy razboltaete.

                                  Goracio

                                            Kak mozhno?
                    Klyanus', ya gluh i nem.

                                  Marcell

                                           I ya klyanus'.

                                   Gamlet

                    Vy v samom dele budete molchat'?

                             Goracio i Marcell

                    Da radi vseh svyatyh!

                                   Gamlet

                                          Togda otkroyus'.
                    Eshche ne znala Daniya merzavca,
                    Podobnogo tomu, kogo my znaem.

                                  Goracio

                    Odnako, chtoby eto soobshchit',
                    Ne stoilo yavlyat'sya s togo sveta.

                                   Gamlet

                    Nu vot, ty sam na pravil'nom puti,
                    I potomu, druz'ya, ya umolkayu.
                    YA dumayu, nam luchshe razojtis',
                    Pozhav drug drugu ruki. Mne - tuda,
                    A vam, kuda ukazyvayut vashi
                    ZHelaniya. U kazhdogo - ved' pravda? -
                    Svoi zhelan'ya. Dazhe u menya,
                    Pri vseh moih neschast'yah, pro zapas
                    ZHelan'e est' - pojti i pomolit'sya.

                                  Goracio

                    Vse eto tol'ko vihr' pustyh sloves.

                                   Gamlet

                    Ty prav. Prostite, esli vas obidel.
                    Prostite.

                                  Goracio

                               Nikakih obid, milord.

                                   Gamlet

                    A vot i ty oshibsya. Est' obida,
                    Gotov poklyast'sya Patrikom Svyatym, -
                    Vsego odna obida, no bol'shaya.
                    Iz-za nee chestnyaga etot prizrak
                    I prihodil. (A on i vpryam' - chestnyaga,
                    Inache by navryad li on pozvolil,
                    CHtob vy moyu vypytyvali tajnu.)
                    ...Nu chto zh, druz'ya nadezhnye moi,
                    Moi soratniki, moi soldaty,
                    CHto budet, esli ya vas poproshu?

                                  Goracio

                    Lish' to, milord, chto pros'bu my ispolnim.

                                   Gamlet

                    YA poproshu molchanie hranit'.

                                  Goracio

                    My obeshchaem.

                                   Gamlet

                                 Obeshchan'ya malo.
                    Klyanites'.

                                  Goracio

                                YA klyanus' svoeyu chest'yu.

                                  Mapcell

                    A ya - svoej.

                                   Gamlet

                                 Klyanites' na meche.

                                  Marcell

                    My poklyalis'.

                                   Gamlet

                                  Skaz_a_l ya - na meche.

                                  Prizrak
                                  (snizu)

                    Klyanites'!

                                   Gamlet

                    Ha-ha, druzhok, ty tozhe tak schitaesh'?
                    ...Vy slyshali, chto etot slavnyj paren'
                    Vam prikazal iz pogreba? Klyanites'.

                                  Goracio

                    Togda skazhite, kak dolzhny my klyast'sya?

                                   Gamlet

                    Klyanites' na moem meche ne vydat'
                    Togo, chto zdes' pri vas proizoshlo.

                                  Prizrak
                                  (snizu)

                    Klyanites'!

                                   Gamlet

                    Zdes' i povsyudu. Kstati, perejdem
                    Tuda... Nu-nu, poblizhe, dzhentl'meny.
                    Teper' - po novoj. Vozlozhite ruki
                    Na etot mech i prinesite klyatvu
                    Molchat' o tom, chto bylo zdes', pri vas.

                                  Prizrak
                                  (snizu)

                    Klyanites'!

                                   Gamlet

                    Nedurno, staryj krot, sovsem nedurno.
                    Dyryavish' grunt kuda bystrej sapera.

                  Goracio i Marcell vnov' molcha klyanutsya.

                    Teper' eshche odno peremeshchenie.

                                  Goracio

                    Nu i denek... Net, eto slishkom stranno.

                                   Gamlet

                    Kak strannika ego i prinimajte.
                    Goracio, nash mir kuda chudesnej,
                    CHem snilsya on filosofam tvoim.
                    Odnako vozvratimsya. I poskol'ku
                    Vy poklyalis', - klyanites' eshche raz,
                    I da pomozhet Bozh'e miloserd'e
                    Vam, gospoda, kogda ya pered vami
                    Predstanu ne takim, kakov ya est',
                    Klyanites', chto ni zhestom, ni namekom,
                    Ni slovom, ni polslovom, ni uzhimkoj,
                    Ni zagovorshchickoj uhmylkoj, tipa
                    "Mol, my-to znaem...", ili "Esli b my
                    Mogli skazat', to, verno, rasskazali..." -
                    Menya ne predadite. Poklyanites',
                    I da prebudut s vami Nebesa.

                                  Prizrak
                                  (snizu)

                                              Klyanites'!

                                   Gamlet
                    Nu, polno, upokojsya, duh myatezhnyj!

                  Goracio i Marcell klyanutsya v tretij raz.

                    Primite, gospoda, moyu lyubov',
                    Kak prinyali vy druzhbu. CHto eshche
                    Sposoben dat' takoj bednyak, kak ya?
                    Na vse est' Bozh'ya volya. Pokorimsya.
                    Ujdem, ot gub ne otryvaya pal'ca.
                    Kogda epoha vyvihnet sustav,
                    Otlynivat' ne vprave kostoprav.
                    Nu chto zhe, gospoda, - ujdem, no vmeste.
                                 (Uhodyat.)

                                Konec I akta




                                  Scena 1

            Komnata v dome Poloniya. Vhodyat Polonij i Rejnal'do.

                                  Polonij

                    Otdash' emu i den'gi, i pis'mo.

                                 Rejnal'do

                    Pis'mo i den'gi.

                                  Polonij

                    No ya v tebya poveryu, moj Rejnal'do,
                    Kogda zaranee ty razuznaesh',
                    Kak on sebya vedet.

                                 Rejnal'do

                                        Nu da, milord,
                    YA sam ob etom dumal.

                                  Polonij

                                         Molodec,
                    Ty delaesh' uspehi. Dlya nachala
                    Uznaj, kakie vodyatsya v Parizhe
                    Datchane: kto chto hochet, chto imeet
                    I skol'ko stoit, i kakogo mnen'ya
                    I te, i, skazhem, eti - o Laerte.
                    A posle dejstvuj, no navernyaka.
                    Upomyani, chto ty davno znakom
                    S ego otcom, znakom s ego druz'yami,
                    Otchasti s nim samim... Sledish' za mysl'yu?

                                 Rejnal'do

                    Estestvenno, milord.

                                  Polonij

                    ...Da, s nim samim, no bol'she ponaslyshke.
                    I ne nakorotke, poskol'ku on
                    Ne to, chtob dikij, no kakoj-to strannyj,
                    Podverzhennyj vliyaniyam... A dal'she
                    Ty volen veshat' na nego sobak,
                    No tol'ko teh, chto ne pyatnayut chesti.
                    Navri pro trudnyj nrav ego i bujstvo,
                    I nevozderzhannost', i vse takoe,
                    CHto svojstvenno svobodnoj molodezhi.

                                 Rejnal'do

                    I karty?..

                                  Polonij

                    Nu da, polozhim, karty ili kosti,
                    I nederzhan'e shpagi v nozhnah, i,
                    K primeru, bogohul'stvo, neopryatnost'
                    V bytu, i nerazborchivost', i p'yanstvo...

                                 Rejnal'do

                    Milord, no eto zhe i est' beschest'e...

                                  Polonij

                    Nu, ne skazhi... Beschestie, o, da,
                    Kogda ty sam ego i vovlechesh'
                    V eshche odin skandal, ved' on i vpryam'
                    Vliyaniyam podverzhen... YA ne eto
                    Imel v vidu, a to, chtob ty, druzhok,
                    Mog vystavit' v ves'ma zabavnom svete
                    Ego oploshnosti i nedostatki,
                    Kotorye i svojstvenny svobode,
                    Vse eti vspyshki plamennogo duha
                    Myatezhnoj yunosti...

                                 Rejnal'do

                                        No pochemu?

                                  Polonij

                    Zachem vse eto nuzhno?

                                 Rejnal'do

                                         Da, milord.

                                  Polonij

                    Nu, kak tebe skazat'?.. Vse ochen' prosto.
                    Slegka - no lish' slegka! - oklevetav,
                    Predstavish' ty Laerta v rode veshchi,
                    Kotoraya uzhe byla v rabote,
                    A potomu zapachkana, - no v meru! -
                    I nedrugov ty razom obezvredish',
                    Poskol'ku nedrug storonu tvoyu
                    Voz'met i skazhet: "Ty horoshij paren'!",
                    Ili: "Otmennyj dzhentl'men!.." - slova
                    Zavisyat ot obychaev i nravov
                    Strany konkretnoj, i ot polozhen'ya
                    Togo, s kem predstoit tebe rabotat'.

                                 Rejnal'do

                    Blestyashche, ser!

                                  Polonij

                                   O chem ya govoril?

                                 Rejnal'do

                    ...Voz'met i skazhet: "Ty horoshij paren'!"

                                  Polonij

                    ...Horoshij paren'. A potom pribavit:
                    YA videl tipa etogo vchera
                    S tem ili, mozhet, s etim. On igral
                    Pochti vsyu noch' i malost' perebral,
                    A nakanune proigralsya v tennis...
                    Ili drugoe, deskat', on vhodil
                    V odin torgovyj dom (to est' v bordel').
                    ...O da, Rejnal'do, malen'kaya lozh'
                    Vsegda privodit k istine. Mudrec
                    Idet putem okol'nyh uhishchrenij,
                    CHtoby obmanom pravdu otyskat'.
                    Vot tak i ty, posledovav vo vsem
                    Moim sovetam, - pravdoj ovladeesh'.

                                 Rejnal'do

                    Ispolnyu vse, kak nado.

                                  Polonij

                                         V dobryj put'.
                    Ishchi ego grehi v sebe samom.

                                 Rejnal'do

                    YA postarayus'.

                                  Polonij

                                  Vot i postarajsya,
                    CHtob sam on etu muzyku sygral.

                                 Rejnal'do

                    YA vas ponyal.

                                  Polonij

                                  Udachi!

              Rejnal'do uhodit. Vbegaet vzvolnovannaya Ofeliya.

                                  Polonij

                                          CHto sluchilos',
                    Ofeliya?

                                   Ofeliya

                            Otec, otec,ya tak
                    Napugana!..

                                  Polonij

                                 No, radi Boga, - chem?

                                   Ofeliya

                    YA vyshivala v komnatke moej,
                    I vdrug v nee vryvaetsya lord Gamlet
                    S kolenyami, kotorye ne gnutsya,
                    So spushchennymi gryaznymi chulkami,
                    Podvyazannymi vozle bashmakov,
                    Bez shlyapy, v nezastegnutom kamzole,
                    S licom belee, chem ego rubaha,
                    I vzglyadom stol' tosklivym, budto on
                    Ko mne otpushchen iz puchiny ada,
                    CHtob rasskazat' o mukah preispodnej.

                                  Polonij

                    On pomeshalsya ot tvoej lyubvi?

                                   Ofeliya

                    Ne znayu, no, boyus', chto eto pravda.

                                  Polonij

                    CHto on skazal?

                                   Ofeliya

                                   On szhal moyu ladon'
                    Odnoj rukoyu, a druguyu ruku
                    Derzhal - vot edak! - nad svoeyu brov'yu
                    I stal menya kruzhit', nu tochno v tance,
                    I pyalilsya, kak budto ya model',
                    A on - hudozhnik...
                    Ne znayu, skol'ko eto prodolzhalos',
                    No on opyat' ladon' moyu pozhal
                    I trizhdy golovoj kivnul, i podnyal
                    Svoj vzglyad, stol' bezzashchitnyj, slovno on
                    Sejchas ne zdes', a gde-to v burnom more,
                    I sudno razlomilos', i volna -
                    Navisshaya - ego vot-vot nakroet.
                    ...Potom on pozvolyaet mne ujti
                    I sam uhodit, no pochti na oshchup'.
                    A u poroga tiho zasmeyalsya
                    I brosil nezhnyj vzglyad iz-za plecha...

                                  Polonij

                    Vot etogo i sledovalo zhdat'!..
                    Tipichnaya lyubovnaya goryachka,
                    CHrevataya otchayan'em i bredom,
                    I vspyshkami neistovstva. Netrudno
                    Predugadat', chem eto obernetsya:
                    Zemnye strasti razvrashchayut nravy,
                    No vozderzhanie - put' k pomrachen'yu.
                    ...Prosti, no mne neobhodimo znat',
                    Ty pered tem otkazyvala princu?

                                   Ofeliya

                    Da net zhe, no kak ty i prikazal,
                    YA pis'ma vozvrashchala, a ego
                    I vovse do sebya ne dopuskala.

                                  Polonij

                    Vot eto i svelo ego s uma.
                    YA sozhaleyu sam, chto ne otnessya
                    K nemu so vsem vniman'em, no togda
                    YA opasalsya za tebya i dumal
                    O malom povrezhden'i, o takom,
                    S kotorym on by mog tebya ostavit',
                    No mne i v golovu ne prihodilo
                    Iz-za otcovskoj revnosti moej -
                    CHert by ee pobral! - chto Gamlet sam
                    I povreditsya. Gospodom klyanus',
                    No stariku i podobaet stroit'
                    Dogadki otnositel'no drugih,
                    Kak, skazhem, vam po molodosti vashej
                    Lezt' naprolom, ne dumaya o tom,
                    CHto iz togo poluchitsya potom.
                    Idem zhe k korolyu i vse rasskazhem.
                    Pust' eta tesnota lyubovnyh uz
                    Pechal' umerit, i lyubov' ne stanet
                    Prichinoj nenavisti... Nu, idem!..

                                Oba uhodyat.


                                  Scena 2

         Zal dlya priemov v zamke. Sprava i sleva ot vhoda port'ery.
     V glubine zadnyaya dver'. Fanfary. Vhodyat korol' i koroleva, za nimi
                     Rozenkranc, Gil'denstern i svita.

                                   Korol'

                    Voobrazite, slavnyj Rozenkranc,
                    I vy, moj Gil'denstern, voobrazite,
                    CHto nechto bol'shee, chem dlitel'nost' razluki, -
                    A imenno nuzhda - podvigla nas
                    Poslat' za vami. Vy uzhe slyhali
                    O strannyh, skazhem tak, metamorfozah,
                    Proizoshedshih s princem, i o tom,
                    CHto Gamleta kak budto podmenili,
                    I chto-to, chto ser'eznee, chem smert'
                    Ego otca, - yavlyaetsya prichinoj
                    Stol' yavnogo i dikogo razlada
                    V obshchenii ego s samim soboj.
                    Uma ne prilozhu ya, v chem tut delo,
                    I slezno umolyayu vas oboih,
                    Vas, znayushchih eshche s mladyh nogtej
                    Ego rebyachestvo, ego prichudy, -
                    Ostan'tes' pri dvore, hot' nenadolgo,
                    Razvejtes', otdohnite horoshen'ko
                    V ego kompanii, i zaodno
                    Nu kak by mezhdu prochim otcedite
                    To zel'e, chto ego mozgi svernulo.
                    Tak, vmeste s vami, tajnu i raskroem.

                                  Koroleva

                    On stol'ko nam rasskazyval o vas!..
                    Net, ya ubezhdena, chto nevozmozhno
                    Segodnya otyskat' sredi zhivushchih
                    Drugih stol' predannyh emu druzej,
                    Kotorym on doveritsya vsecelo.
                    I esli vy na eto soglasites'
                    I vykazhete vashe blagorodstvo,
                    I radi nas zaderzhites' pri nas,
                    Estestvenno, chto vashe beskoryst'e
                    Dostojno budet voznagrazhdeno.

                                 Rozenkranc

                    Blagodarya toj bezgranichnoj vlasti
                    Nad zhiznyami i nashimi serdcami,
                    Kotoroj obladayut oba vashih
                    Velichestva, nam sleduet ispolnit'
                    Prikaz, a ne proshen'e.

                                Gil'denstern

                                           No my oba
                    I povinuemsya, i otdaemsya
                    Vsecelo vashej vole, a svoyu
                    Kladem u vashih nog...

                                   Korol'

                                           Blagodarim
                    Vas, Rozenkranc i bravyj Gil'denstern!

                                  Koroleva

                    ...Vas, Gil'denstern i bravyj Rozenkranc!
                    No ubeditel'no vas umolyayu
                    Provedat' moego bol'nogo syna
                    Uzhe segodnya. Kto-nibud', nadeyus',
                    Provodit k princu etih dzhentl'menov?..

                                Gil'denstern

                    Da budet nash priezd emu vo blago!..
                    Da budet volya Bozhiya nad nim!..

                                  Koroleva

                    Amin'!

               Rozenkranc i Gil'denstern s poklonami uhodyat.
                              Vhodit Polonij.

                                  Polonij
                              (korolyu na uho)

                    Horoshie izvest'ya, gosudar'!
                    Vernulos' iz Norvegii s triumfom
                    Posol'stvo nashe.

                                   Korol'

                                      YA vsegda schital
                    Tebya otcom otmennyh novostej.

                                  Polonij

                    Vy ne smeetes', net? YA uveryayu,
                    CHto sluzhbu korolevskuyu blyudu
                    Kak samogo sebya, i pered Bogom
                    Moim, i pered gosudarem
                    YA chist... I vot, hotya moi mozgi
                    Uzhe ne stol' rezvy, ya otyskal
                    Prichinu nevmenyaemosti princa...

                                   Korol'

                    O, govori, ya zhazhdu eto znat'!

                                  Polonij

                    Snachala ugoshchu poslami vas,
                    A na desert - to, chto ya sam pripas.

                                   Korol'

                    Togda stupaj da sam ih prigotov'!

                              Polonij vyhodit.

                    On govorit, Gertruda, chto otryl
                    Istochnik pomracheniya rassudka
                    I koren' porchi syna tvoego.

                                  Koroleva

                    YA ochen' somnevayus', chto vozmozhna
                    Eshche prichina, krome kak konchina
                    Ego otca i nash s toboyu brak
                    Skoropostizhnyj...

                                   Korol'

                                      Ladno, tam posmotrim.

              Vozvrashchaetsya Polonij s Vol'timandom i Korneliem.

                    Dobro pozhalovat', druz'ya moi!
                    Nu chto, kakie novosti iz bratskoj
                    Norvegii?

                                 Vol'timand

                              Priyatnye, milord.
                    Korol' norvezhskij posylaet vam
                    Privetstviya svoi i pozhelan'ya.
                    On vojsko Fortinbrasa raspustil,
                    Edva nas vyslushal i ubedilsya,
                    CHto rekrutov otnyud' ne protiv Pol'shi,
                    No protiv nas verbuyut, a emu
                    Vsej pravdy ne skazali, i Norvezhec
                    Ot etogo byl v yarosti, i prosit
                    Prinyat' ego monarsh'i izvinen'ya.
                    On zaderzhal plemyannika, i tot
                    V raskayan'i torzhestvenno poklyalsya
                    Ne trogat' Daniyu. Za eto staryj
                    Norvezhec polozhil emu dohod
                    (Na radostyah po tridcat' tysyach kron
                    Dva raza v god!) i poruchil nanyat'
                    Vse to zhe vojsko, no protiv polyakov,
                    I molit vas nizhajshe - propustit'
                    Ego plemyannika skvoz' nashi zemli
                    Pri strogom soblyudenii garantij
                    I bezopasnosti dlya naselen'ya.
                             (podaet poslan'e)

                                   Korol'

                    CHto zh, eto my voz'mem i pochitaem,
                    Kak vydastsya svobodnaya minuta,
                    Otvetim na dosuge, porazmyslim...
                    A vami ya dovolen. Otdyhajte,
                    No - chtoby k nochi byli na nogah!
                    Da, my gostepriimny!..

                               Posly uhodyat.

                                  Polonij

                                           Ah, kak slavno
                    Vse eto koncheno. Madam, milord,
                    YA ne otyagoshchu vas rassuzhden'em
                    O dolge i velichii korony,
                    Ved' govorit' o tom, chto den' est' den',
                    A noch' est' noch', a vremya - eto vremya,
                    Vo-pervyh, oznachaet ubivat'
                    Den' ili noch', a vo-vtoryh - i vremya.
                    Poskol'ku ustanovleno, chto kratkost' -
                    Dusha uma, a krasnorech'e - eto
                    Vsego lish' telo brennoe, ya budu
                    Predel'no kratok: da, vash syn bezumen.
                    Bezumen, ibo chto zhe est' takoe
                    Bezumie, i v chem ego sostav,
                    Kogda ne v tom, chto chelovek bezumen?
                    No ne ob etom rech'...

                                  Koroleva

                    Pomen'she krasnorechiya, milord!

                                  Polonij

                    Klyanus', madam, ya ne krasnorechiv:
                    CHto on ves'ma bezumen - eto fakt,
                    I fakt, chto pravda zhal', i zhal', chto pravda...
                    Durackij etot oborot dokazhet,
                    CHto ya vitijstvovat' ne sobiralsya,
                    No bog s nim!.. My uslovimsya, chto Gamlet
                    I v samom dele sumasshedshij. |to
                    Dast pravo takovym ego priznat',
                    I, sledstvenno, my s vami otyskali
                    Nazvanie affekta, a tochnee,
                    Defekta, ibo etot defektivnyj
                    Affekt opredelyaetsya prirodoj
                    Defekta. YA, nadeyus', eto yasno?
                        (dostaet iz kamzola pis'mo)
                    Vy znaete, chto u menya est' doch'.
                    Ona moya, poka ona pri mne,
                    I eta doch', vedoma chuvstvom dolga, -
                    Proshu vniman'ya! - vot chto mne otkryla...
                    Vse vyvody vy sdelaete sami.
                                  (chitaet)
                    "O ty, dushi moej kumir,
                    Ofeliya, iz vseh prekrasnyh
                    Krasnejshaya..." -
                                      net, eto zh nado
                    Tak zavernut', voobrazite -
                    _Krasnejshaya_... - kakaya nizost'!..
                    "Na oslepitel'noj grudi..."
                    M-da, nu i dal'she v tom zhe duhe...

                                  Koroleva

                    Neuzhto eto Gamlet napisal?..

                                  Polonij

                    Madam, zamet'te, ya eshche ne konchil.
                    A, vot:

                    "Ne ver', chto zvezdy noch'yu svetyat,
                    Ne ver', chto solnce svetit dnem,
                    Ne ver', chto pravda est' na svete,
                    No ver', chto v serdce ty moem!

     Dorogaya  Ofeliya,  eti  stihotvornye  metry svedut menya s uma, ya ne umeyu
rasschityvat'  svoi  stony  na  pervyj-vtoroj, no ya tebya lyublyu, lyublyu sil'nee
vseh  na  svete,  pover'  etomu. Orevuar. Tvoj, gospozha, naveki, i uzh tochno,
poka v etoj grudi eshche chto-to tikaet... Gamlet".

                    Pokorstvuya prikazu moemu,
                    Ona sama mne eto pokazala,
                    I sverh togo - uzh izvinite! - znayu
                    Ne ot kogo-nibud', no ot nee.

                                   Korol'

                    No kak ona ego vlyubila?

                                  Polonij

                                          CHto
                    Vy dumaete obo mne?

                                   Korol'

                                         CHto vy -
                    Pryamoj i chestnyj dzhentl'men pochtennyj.

                                  Polonij

                    Pochtu za schast'e eto podtverdit'.
                    No chto by vy podumali, kogda
                    YA stal by ih goryachke potakat',
                    Poskol'ku ya ne skroyu, chto primetil
                    Polet lyubvi zadolgo do togo,
                    Kak doch' moya otkrylas'... CHto by vy
                    Mogli podumat', moj korol', i vy,
                    Drazhajshee Velichestvo moya
                    Vsemilostivejshaya koroleva,
                    Kogda by ya pod partoj, kak shkolyar,
                    Tuda-syuda taskal by ih shpargalki
                    I teshil by sebya... Ili, naprotiv,
                    Bestrepetno vziral na etu svyaz',
                    Nu chto by vy podumali?.. O net,
                    YA stal trudit'sya, ya rastolkoval
                    Vlyublennoj docheri, chto princ lord Gamlet -
                    On ne tvoej zvezdy, i potomu
                    Vse mezhdu vami koncheno, - zapris',
                    Ne prinimaj ni pisem, ni podarkov!..
                    I chto zhe?.. Doch' poslushalas', a on,
                    Otvergnutyj, - nu hot' roman pishi! -
                    Zatoskoval, ne el, ne spal, slabel,
                    A posle vpal v bezumie, v kotorom
                    I prebyvaet nyne, nu a my -
                    Nadeemsya. Sochuvstvuem. Skorbim.

                                   Korol'

                    Ty dumaesh', chto _eto_ - eto _|to_!

                                  Koroleva

                    A chto, po-moemu, tak ochen' gladko.

                                  Polonij

                    Pozvol'te mne uznat', byvalo l' tak,
                    CHto utverzhdal ya, chto vyhodit tak,
                    A vyshlo edak?..

                                   Korol'

                                     CHto-to ne pripomnyu.

                                  Polonij
                (ukazyvaya na svoyu golovu, a posle na plechi)

                    Snimite eto s etogo, kogda
                    YA oshibus', no esli i segodnya
                    Mne obstoyatel'stva blagovolyat,
                    Dobudu pravdu vam, puskaj zapryachut
                    Ee hotya by v centr zemnogo shara!..

                                   Korol'

                    Da, eto nado raskopat' poglubzhe.

                                  Polonij

                    Izvestno l' vam, chto lyubit on brodit'
                    V priemnoj vashej?

                                   Korol'

                                      |to nam izvestno.

                                  Polonij

                    Vot tut ya doch' moyu i podpushchu.
                    My zh s vami spryachemsya za gobelenom
                    I vse uslyshim. Ezheli i pravda,
                    CHto on rehnulsya ne iz-za lyubvi, -
                    Ne byt' mne vashej pravoyu rukoyu:
                    V derevnyu s®edu i zajmus' izvozom.

                                   Korol'

                    ...Po krajnej mere stoit popytat'sya.

                        Vhodit Gamlet, chitaya knigu.

                                  Koroleva

                    Glyadite, vot on!.. I opyat' chitaet...

                                  Polonij

                    Ujdite, umolyayu vas oboih...
                    YA za nego voz'mus', a vy ujdite!..

                     Korol' i koroleva v speshke uhodyat.

                    Kak pozhivaet dobryj moj princ Gamlet?

                                   Gamlet

     Slava Bogu, horosho.

                                  Polonij

     Milord, vy menya pomnite?

                                   Gamlet

     O, da. Vy - rybnik.

                                  Polonij

     Rybnik - eto ne ya.

                                   Gamlet

     Vot chestnyj otvet chestnogo cheloveka.

                                  Polonij

     CHestnogo cheloveka?..

                                   Gamlet

     Da, ser. Takih po nyneshnim vremenam - odin na desyat' tysyach.

                                  Polonij

     Ah, kak eto verno, milord!

                                   Gamlet

     Dazhe solnce plodit chervej v dohloj sobake i, ostavayas' vseobshchim blagom,
sovokuplyaetsya s padal'yu... U vas est' doch'?

                                  Polonij

     Est', milord.

                                   Gamlet

     Derzhite  ee  v  teni.  Zemnye plody blagoslovenny, esli oni ne zreyut vo
chreve vashej docheri. Vy uzh prosledite...
                           (pogruzhaetsya v knigu)

                                  Polonij
                                (v storonu)

     CHto  ya dolzhen otvetit'? Tverdit o moej docheri, a menya i uznal ne srazu,
prinyal  za  rybotorgovca.  Vot  kuda  zashlo...  V  yunosti  ya tozhe dohodil do
krajnostej,  a  ot  lyubvi tak naterpelsya, chto sam chut' ne spyatil... Tipichnyj
sluchaj... Milord, chto vy chitaete?

                                   Gamlet

     Slova, odni slova.

                                  Polonij

     Da net zhe, princ, ya - o soderzhanii...

                                   Gamlet

     Soderzhanii gde?

                                  Polonij

     O soderzhanii vashej knigi.

                                   Gamlet

     Za  klevetu  ona  zasluzhivaet  strogogo soderzhaniya. |tot ostryak-satirik
utverzhdaet, chto stariki sedovlasy, lica ih v morshchinah, iz glaz techet klej, k
tomu zhe im ne hvataet rezvosti uma i prosto rezvosti, - u nih dryablye lyazhki.
Ohotno  veryu, no dlya kogo eto napisano? Esli b vy, ser, dozreli do moih let,
vy by tochno so mnoj soglasilis'. No, boyus', vam uzhe pozdno pyatit'sya rakom.

                                  Polonij

     Hot'  i sumasshedshij, no s logikoj u nego vse v poryadke. Ne sojti li vam
so skvoznyaka, moj princ?

                                   Gamlet

     V mogilu?

                                  Polonij
                                (v storonu)

     I  opyat' v tochku! Ego otvety chrevaty smyslom. Bezumie tak obostrilo ego
nablyudatel'nost', chto zdravomu smyslu ryadom i delat' nechego... Pojdu... Nado
podumat', kak zhe ih vse-taki svesti...
                                 (Gamletu)
     Vysokochtimyj princ, proshu pozvoleniya otklanyat'sya!

                                   Gamlet

     Nichego drugogo ya i ne mog vam predlozhit'. Krome vsej moej zhizni... Vsej
moej zhizni... Moej zhizni...

                                  Polonij

     ZHelayu vam zdravstvovat'!..
                                  (uhodit)

                                   Gamlet

     Oh uzh eti starye boltuny...

                     Vhodyat Rozenkranc i Gil'denstern.

                                  Polonij

     Vy ishchete princa Gamleta? On zdes'.

                                 Rozenkranc

     Da blagoslovit vas Bog, milord!

                              Polonij uhodit.


                                Gil'denstern

     Dostopochtennyj princ!

                                 Rozenkranc

     Dorogoj princ!

                                   Gamlet

     Ba,  starye  druz'ya!..  Kakimi  sud'bami?  Privet tebe, Gil'denstern!..
Zdravstvuj, Rozenkranc!.. Kak pozhivaete?

                                 Rozenkranc

     Kak i polozheno nam, malym sim.

                                Gil'denstern

     ZHivem  tem, chto ne slishkom pozhivaem. To est' ne tak zvonko, kak bubency
na kolpake Fortuny...

                                   Gamlet

     No i ne tak shepelyavo, kak podoshvy etoj damy?

                                 Rozenkranc

     Da net, posredine.

                                   Gamlet

     Na talii ili v samoj prichine vseh ee milostej?

                                Gil'denstern

     V samoj. Imenno tuda my ne perestaem navedyvat'sya.

                                   Gamlet

     Tochno, ved' ona rasputnica... I chto zh tam novogo?

                                 Rozenkranc

     Nichego, krome togo, chto mir na glazah chestneet.

                                   Gamlet

     Znachit,  skoro  Strashnyj  Sud. Vprochem, ya uveren, chto vy oshibaetes'. No
pozvol'te uznat', chem zhe eto vy tak prognevali Fortunu, chto ona upekla vas v
tyur'mu?

                                Gil'denstern

     V tyur'mu?..

                                   Gamlet

     Nu, konechno, ved' Daniya - tyur'ma.

                                 Rozenkranc

     Nu, ser... Togda i ves' mir - tyur'ma.

                                   Gamlet

     Prichem  -  pervoklassnaya,  s  mnozhestvom  kazematov i podzemelij, sredi
kotoryh Daniya - iz samyh skvernyh.

                                 Rozenkranc

     My tak ne dumaem, milord.

                                   Gamlet

     Znachit,  dlya  vas  mir - ne tyur'ma. Nashe otnoshenie delaet veshchi horoshimi
ili plohimi. A dlya menya mir - tyur'ma.

                                 Rozenkranc

     Smeyu  predpolozhit',  chto  tyur'moj  ego sdelalo vashe chestolyubie. On chto,
ochen' vam tesen?

                                   Gamlet

     Gospodi,  da  mne  hvatilo by orehovoj skorlupy. YA by i tam schital sebya
vlastitelem vselennoj... Razumeetsya, esli b tam mne ne snilis' durnye sny...

                                Gil'denstern

     Vam  snitsya  vashe  chestolyubie.  Ibo sama sushchnost' chestolyubca - ten' ego
snov.

                                   Gamlet

     No ved' sny - eto i est' teni.

                                 Rozenkranc

     Da, no chestolyubie skroeno iz stol' legkoj i prozrachnoj materii, chto ono
tol'ko ten' ot teni.

                                   Gamlet

     V  takom  sluchae  veshchestvenny tol'ko nishchie, a koroli i geroi - eto teni
nishchih.  No  - tss! - na eti temy mne vredno diskutirovat'... Ne vernut'sya li
nam ko dvoru?

                         Rozenkranc i Gil'denstern

     Gotovy sluzhit' vam povsyudu!

                                   Gamlet

     Sluzhat mne otvratitel'no, poetomu slugi mne ne nuzhny. A esli vy yavilis'
kak druz'ya, po-druzheski i otkrojte, chto vy poteryali v |l'sinore...

                                 Rozenkranc

     U nas byla odna cel' - provedat' vas.

                                   Gamlet

     YA  nishchij, ya dazhe blagodarnost'yu ne razzhilsya. I vse ravno - spasibo vam.
Vprochem,  moe  spasibo  ne  stoit  i  polpenni...  A  za  vami, sluchajno, ne
posylali?

                                Gil'denstern

     CHto vy hotite uslyshat', milord?

                                   Gamlet

     CHto  ugodno, no pravdu... Nu, konechno, oni posylali za vami... Vot vy i
glaza pryachete... U vas takoj vid, budto vy uzhe priznalis'. Ah, dobrye korol'
i koroleva... ZHelali dobra, a vyshlo, chto prizvali vas...

                                 Rozenkranc

     Milord, no zachem?

                                   Gamlet

     |to  ya i dolzhen uslyshat'. No zaklinayu vas pamyat'yu nashej yunosti, pravami
starinnogo  nashego  druzhestva,  obshchimi  klyatvami  i  vsem  samym  svetlym, -
posylali za vami ili net?

                                 Rozenkranc
                            (tiho Gil'densternu)

     CHto delat'?

                                   Gamlet
                                (v storonu)

     Uvyazli,  golubchiki...  (Gromko.)  Esli  vy  menya  eshche  lyubite, ne taite
nichego!..

                                Gil'denstern

     Milord, za nami dejstvitel'no posylali.

                                   Gamlet

     YA skazhu - zachem, i vam ne potrebuetsya razglashat' vashu tajnu. Ni peryshka
ne upadet iz klyatvy, dannoj vami korolyu i koroleve. S nedavnih por - ne znayu
pochemu  -  u  menya  isportilsya  harakter...  Sprashivayu  sebya:  gde moya bylaya
veselost'? Gde lyubimye zanyatiya?.. Mne tak ploho, chto prekrasnaya nasha planeta
kazhetsya  mne  pustynej,  a  nebesnyj  kupol  -  velikolepnyj  etot baldahin,
rasshityj  zolotymi  ognyami,  -  lish'  sgustkom vonyuchih i zlovrednyh parov...
Kakoe  divnoe  sozdanie  -  chelovek!  Kak  blagoroden i vysok ego razum! Kak
vyrazitel'na  plastika! Stremitel'nost'yu on napominaet angelov, a podobiem -
antichnogo  boga. ZHemchuzhina mirozdaniya, venec tvoreniya!.. Odnako dlya menya eto
-  tvar',  sut'  kotoroj  -  bezdushnyj  prah.  Menya ne raduyut ni muzhchiny, ni
zhenshchiny, hotya ya sovsem ne to imeyu v vidu, chto, sudya po vashim fizionomiyam, vy
podumali.

                                 Rozenkranc

     Milord, u nas ne bylo etogo i v myslyah!

                                   Gamlet

     CHemu zhe vy smeyalis', kogda ya skazal, chto ni muzhchiny, ni zhenshchiny menya ne
raduyut?

                                 Rozenkranc

     Milord,  mne  stalo  zhal'  akterov, kotoryh my obognali po doroge syuda.
Oni-to dumayut, chto najdut v vashem lice istinnogo cenitelya...

                                   Gamlet

     Akteram  ya  vsegda  rad.  Igrayushchij  korolya  budet  prinyat  mnoyu kak ego
velichestvo,  stranstvuyushchij  rycar'  nedarom  pustit  v delo i mech, i kozhanyj
shchit,  i  ne  zadarom  budet  vzdyhat'  lyubovnik.  Melanholik  uteshitsya posle
spektaklya. Komik sam ulybnetsya, a geroinya stol' vol'no izol'et svoi chuvstva,
chto ej ne pomeshaet dazhe svobodnyj stih... Tak chto zhe eto za aktery?

                                 Rozenkranc

     Kak  raz  te  samye,  kotorye  kogda-to  vam tak nravilis', - stolichnye
tragiki.

                                   Gamlet

     Brodyachaya truppa stolichnyh tragikov? Bred kakoj-to...

                                 Rozenkranc

     Polagayu, chto iz stolicy ih gonyat poslednie teatral'nye novshestva.

                                   Gamlet

     Stolichnaya publika ih po-prezhnemu obozhaet?

                                 Rozenkranc

     Boyus', chto net.

                                   Gamlet

     A chto? Ishalturilis'?

                                 Rozenkranc

     Da  net... Igrayut gromko, kak pri vas. No poyavilis', ser, drugie truppy
-   detskie.   U  etih  sokolyat  vysokie  golosa,  im  ustraivayut  ovacii, i
sopernikov  u nih net. K tomu zhe oni tak klyuyut so sceny "teatral'nuyu rutinu"
(eto  ih slovechko!), chto te, kto nosit shpagi, boyatsya skrestit' ih s gusinymi
per'yami naemnyh pisak. Da, milord, dvoryane teper' v teatr ne hodyat.

                                   Gamlet

     Deti  s®eli  tragikov?.. Kto zhe ih na eto nanyal?.. Esli rabotenka u nih
vremennaya,  poka  golos  ne slomalsya, ne stanut li oni branit' svoih hozyaev,
kogda povzrosleyut?.. Polagayu, drugomu remeslu eti deti uzhe ne nauchatsya...

                                 Rozenkranc

     Vy  pravy:  v  stolice  idet  nastoyashchaya teatral'naya vojna, i datchane ne
schitayut  zazornym  stravlivat'  obe  storony.  Odno  vremya publika voobshche ne
hodila v teatr, esli sochinitel' ne napadal na detej ili tragikov.

                                   Gamlet

     Da nu?

                                 Rozenkranc

     O, tam bylo stol'ko krovi!..

                                   Gamlet

     I vse zhe malyshi odolevayut?

                                 Rozenkranc

     Odolevayut, milord. Dazhe Gerakl s ego globusom - v ih plotnoj osade.

                                   Gamlet

     Takova  zhizn'. Moj dyadya stal korolem, i te, kto stroil emu kozu, platyat
po  dvadcat',  sorok,  pyat'desyat,  da  i  po  sotne dukatov za malen'kij ego
portret.   CHert   voz'mi,   tut  pahnet  mistikoj,  a  nashim  filosofam  eto
neinteresno...

                              Truby za scenoj.

                                Gil'denstern

     Vot i aktery.

                                   Gamlet

     Gospoda,  milosti  proshu  v |l'sinor! Nu, dajte zhe ruki!.. Manernost' -
eto  ne  pro  nas.  Budem  zaprosto,  inache  ya ustroyu vam tot priem, kotoryj
imenuetsya  radushnym...  Vy  ved' ne na svetskij raut prikatili, a?.. Togda -
vpered! Oh, kak oshibaetsya moya tetka-mat' vmeste s dyadej-otcom...

                                Gil'denstern

     V chem oni oshiblis', dorogoj princ?

                                   Gamlet

     YA  bezumen  pri  nord-nord-veste.  Kogda veter s yuga, sokola ot capli ya
otlichu.

                              Vhodit Polonij.

                                  Polonij

     Privetstvuyu vas, gospoda!

                                   Gamlet

     Slushajte,  Gil'denstern,  i  vy tozhe. Poblizhe... Na kazhdoe moe uho - po
slushatelyu. |to bol'shoe ditya eshche ne vyshlo iz pelenok.

                                 Rozenkranc

     Mozhet, on prosto uzhe vpal v detstvo?

                                   Gamlet

     Derzhu pari, on prishel skazat' ob akterah. (Gromko.) Vy pravy, ser, utro
bylo imenno v ponedel'nik.

                                  Polonij

     Milord, ya k vam s novostyami!..

                                   Gamlet

     Milord, i ya s novostyami! Kogda Roscij byl v Rime akterom...

                                  Polonij

     Aktery v |l'sinore, milord!

                                   Gamlet

     A kto zhe v Rime?.. Vzdor!

                                  Polonij

     CHestnoe slovo!

                                   Gamlet

                    ...I kazhdyj v®ehal na svoem osle!

                                  Polonij

     Luchshaya   v  mire  truppa!  V  repertuare  -  tragedii,  komedii,  p'esy
istoricheskie,      pastorali,      pastoral'no-komicheskie,      a      takzhe
istoriko-pastoral'nye,     tragiko-istoricheskie,    tragiko-komiko-istoriko-
pastoral'nye,  p'esy  s  soblyudeniem vseh treh edinstv i dramaticheskie poemy
bezo  vsyakogo  edinstva!  U  nih  Seneka ne mrachen, Plavt ne legkomyslen. Ne
imeyut ravnyh, chitayut, kak po pisanomu, i k tomu zhe improviziruyut!

                                   Gamlet

                    O Ieffaj, sud'ya izrail'skij,
                    Kakim sokrovishchem ty obladal!..

                                  Polonij

     CHem zhe on obladal, milord?

                                   Gamlet

     Da kak zhe -
                    Edinstvennaya doch' prekrasnaya,
                    Kotoruyu ty tak lyubil...

                                  Polonij
                                (v storonu)

     Vse o moej docheri...

                                   Gamlet

     Ne prav ya razve, staryj Ieffaj?..

                                  Polonij

     Soglasen,  milord,  ya  -  Ieffaj.  I  u menya est' doch', kotoruyu ya ochen'
lyublyu.

                                   Gamlet

     Odno iz drugogo ne sleduet.

                                  Polonij

     A chto sleduet, milord?

                                   Gamlet

     A vot chto -
                    Rassudit Bog, kak bylo suzhdeno...

     I v konce -
                    Vot tak sluchilos' to, chto i dolzhno...

     Pervyj  zhe  kuplet  blagochestivoj  etoj  pesenki  podskazyvaet, chem eto
konchaetsya... A vot i moya vechernyaya poteha!..

                               Vhodyat aktery.

     Dobro  pozhalovat',  gospoda,  dobro pozhalovat'! Rad obnyat' vas. Privet,
privet  vam, starye druz'ya!.. |to ty?.. A boroda otkuda?.. Narochno otrastil,
chtoby  smeyat'sya  nado  mnoj  v  usy?..  Kak  letit  vremya, sudarynya! Klyanus'
Vladychicej  nebesnoj,  vy stali blizhe k nebu na celyj kabluk! Molites' Bogu,
chtoby  vash  angel'skij golosok ne dal treshchiny, a to i lomanogo grosha za nego
ne  dadut.  Dobro  pozhalovat',  i  za  rabotu! Zdes' i nachnem. Pokazhite, chto
umeete,  nu,  skazhem,  na  primere  kakogo-nibud'  monologa... Tol'ko samogo
strastnogo...

                                Pervyj akter

     S kakogo zhe monologa prikazhete nachat'?

                                   Gamlet

     Ty  chital  mne ego kogda-to... No so sceny on tak i ne zvuchal. A esli i
zvuchal,  to  tol'ko  raz.  Publika  ne  rasprobovala  p'esy i vyplyunula, kak
payusnuyu  ikru. No p'esa-to, esli verit' cenitelyam, byla horosha - dejstvie so
vkusom  vystroeno  i razbito na sceny, slog uprug i bystr. Otmechali, pravda,
chto  stiham  ne  hvatalo  ostroty, a obrazam yarkosti, nazyvali eto dobrotnoj
podelkoj, - krepkoj, no bez izyashchestva. Ne berus' sudit', no odin monolog mne
togda  zapal  v  dushu:  eto  rasskaz  |neya Didone, osobenno to mesto, gde on
govorit o gibeli Priama. Daj bog pamyati...

                    Svirepyj Pirr glyadit girkanskim tigrom...

Net, ne to... Ran'she...

                    Svirepyj Pirr, tot samyj, ch'i dospehi
                    CHernee nochi i chernee dazhe,
                    CHem chernaya dusha ego, vo chreve
                    Kovarnogo troyanskogo konya
                    Sebya razmaleval krovavoj kraskoj.
                    Ne kraska eto, net, no krov' svyataya
                    Otcov i synovej, i materej,
                    I docherej tvoih, o mater'-Troya!..
                    Da, eto krov' zastupnikov tvoih,
                    CHto pogoreli v hizhinah svoih!..
                    O net, ne krov', no zarevo pozhara,
                    Kotoroe krovavo osveshchalo
                    Pogibel' i starejshin, i vozhdej.
                    Svirepyj Pirr sredi drugih troyancev
                    Iskal Priama...

     A teper' - vy.

                                  Polonij

     Ej-bogu, milord, otmenno prochitano. Vse na meste - i vkus, i mera.

                                Pervyj akter

                                     I nashel Priama.
                    Starik mechom starinnym otbivalsya,
                    No tshchetno grekov pogubit' pytalsya -
                    Uzhe ego ne slushalas' ruka.
                    Pirr podnyal mech... Hvatilo dunoven'ya,
                    CHtob starec pal, kak gromom porazhennyj,
                    I pal vosled Priamu Ilion.
                    I porazhennyj gromom ih paden'ya,
                    Pirr tut zhe prekrashchaet napaden'e,
                    I nad Priamom zanesennyj mech
                    Zavis, i golova ne pala dolu.
                    I zamer Pirr, pechal'yu udruchennyj.
                    Tak pered tem kak skoro gryanut' bure -
                    Molchan'ya mig i kratok, i tyaguch,
                    I vetry medlyat v nedrah chernyh oblak...
                    No vnov' ciklopy zloe zamyshlyayut,
                    V dospehi Marsa molotami b'yut,
                    I vnov' uzhasnyj grom vverhu razdalsya, -
                    Svirepyj Pirr s Priamom razobralsya...
                    O ty, Fortuna, styd tebe i sram,
                    Rasputnica, vzyvayu k olimpijcam:
                    Pust' bogi u tebya otymut vlast'
                    Za to, chto ty dala Priamu gibel'!
                    O, luchshe b nebo nad toboj pomerklo,
                    A koleso tvoe perelomilos',
                    I poleteli pryamo v preispodnyu
                    S gory nebesnoj ognennye spicy!..

                                  Polonij

     |to kak-to dlinnovato....

                                   Gamlet

     Otpravim  k  ciryul'niku  vmeste s vashej borodoj. Prodolzhaj, proshu tebya.
Emu  nravyatsya  lish'  hohmy i nepristojnosti, ot prochego on zasypaet. Davaj o
Gekube...

                                Pervyj akter

                    O gore opozorennoj carice!..

                                   Gamlet

     Opozorennoj?..

                                  Polonij

     |to horosho. "Opozorennaya carica" - ochen' horosho!

                                Pervyj akter

                    Nad gorodom svoim, podobno ptahe,
                    Prostovolosaya, po stognam kruzhit,
                    Slezami v dva ruch'ya pozhary gasit.
                    Uvy tebe, o padshaya carica,
                    Ne diadema v volosah, no tryapka,
                    Na stane, vysohshem ot chadorod'ya,
                    To ne tunika - zhalkie lohmot'ya!
                    O, kto b ni poglyadel v sej skorbnyj lik,
                    Tot proklyal by Fortunu v tot zhe chas!
                    No esli by i to uzreli bogi,
                    Kogda ona uvidela, vopya,
                    Kak zlobnyj Pirr bez lishnej provolochki
                    Ee supruga rezhet sladostrastno,
                    To uvlazhnilis' by vo mrake dnya
                    Sih olimpijcev kamennye ochi...

                                  Polonij

     Milord, poglyadite, on sam gotov razrydat'sya!.. Umolyayu, dovol'no!

                                   Gamlet

     Dovol'no.  Dochitaesh' posle. (Poloniyu.) Lyubeznyj, ne voz'mete li na sebya
trud ustroit' etih gospod? Gospodam akteram nuzhno otdyhat'. I skazhite, chtoby
k  nim  byli  vnimatel'ny:  aktery - deti veka i v to zhe vremya ego letopis'.
Luchshe poluchit' skvernuyu epitafiyu po smerti, chem ih "fe" pri zhizni.

                                  Polonij

     Milord, im vozdastsya po zaslugam.

                                   Gamlet

     Net, d'yavol tebya zaderi, beri vyshe! Esli po zaslugam, to kazhdyj dostoin
porki.  Obrashchajtes' s nimi po vashim ponyatiyam o chesti. CHem zaslug men'she, tem
vasha shchedrost' cennee. Provodite ih.

                                  Polonij

     Dzhentl'meny, proshu!

                                   Gamlet

     Stupajte za nim, druz'ya. Zavtra prem'era.

                Uhodit Polonij i vse aktery, krome Pervogo.

     Vot chto, starina... Smozhete sygrat' dlya menya "Ubijstvo Gonzago"?

                                Pervyj akter

     Razumeetsya, milord.

                                   Gamlet

     Vy  sygraete  ego  zavtra  vecherom. A smogli by vy razuchit' i vstavit',
kuda  ya  skazhu,  monolog  stihov  v  dvenadcat'-dvadcat',  esli  ya  uspeyu ih
dopisat'?

                                Pervyj akter

     Razumeetsya, milord.

                                   Gamlet

     Otlichno. Nu, stupajte za tem lordom. Tol'ko ne podkalyvajte ego, kak vy
eto umeete.

                            Pervyj akter uhodit.

     Druz'ya, my proshchaemsya do vechera. Dobro pozhalovat' v |l'sinor!

                                 Rozenkranc

     Vy tak dobry, milord!

                                   Gamlet

                    Dobro pozhalovat'. Stupajte s bogom.

                     Rozenkranc i Gil'denstern uhodyat.

                    ...Vot ya odin, negodnyj nizkij rab.
                    I tot akter s ego zaemnym slogom,
                    I tot menya sil'nee... On hotya b
                    Poryvom vymysla, pustoj mechtoyu,
                    Voobrazhen'em dushu raspalit,
                    I vse poluchitsya samo soboyu -
                    Bezumen vzglyad ego i zhalok vid...
                    Nadlomlen golos, i beskrovny guby,
                    V dvizhen'yah i slovah klokochet bol'...
                    Iz-za chego?.. Ah, da, iz-za Gekuby.
                    Vyhodit iz sebya - i vhodit v rol'.
                    ...CHto on Gekube? CHto emu Gekuba,
                    CHtoby prolit' nad nej potoki slez?
                    Kak by sygral on podlinno i grubo,
                    Kogda by ne na scene, a vser'ez,
                    CHto sdelal by, byla b na to prichina,
                    Beda takaya, kak moya beda?
                    Zalil slezami zal, i polovina
                    Partera utopilas' by togda?
                    Il' pamyatuya o moem, o mnogom,
                    Vperyayas' v tot ziyayushchij proval,
                    On molniepodobnym monologom
                    Tolpu slepuyu v kloch'ya b razorval?
                    Vinovnyh on lishil by ih rassudka,
                    A nevinovnyh blagosti lishil,
                    I stalo by nesvedushchim tak zhutko,
                    CHto i prozreli by po mere sil.
                    ...Nechistyj splav, nichtozhestvo tupoe,
                    Besplodnym umozreniem tomim,
                    YA ne sposoben sovladat' s tolpoyu,
                    Ni dazhe s pohititelem odnim.
                    YA - trus? Hotel by ya togo uvidet',
                    Kto etoj klichkoj nagradit menya,
                    Uzhe umeyushchego nenavidet'
                    I zhalit' zhalom adova ognya...
                    Kto podojdet ko mne, chtob dernut' za nos,
                    Nazvat' podonkom, hlopnut' po plechu?
                    ...Ha, ya sterplyu. Dvulikij, tochno YAnus,
                    Eshche i ne takoe proglochu!..
                    Gde zhelch' moya? Sred' tvarej besslovesnyh
                    K skale prikovan do skonchan'ya dnej
                    Otkarmlivat' stervyatnikov nebesnyh
                    Pechenkoj golubinoyu moej,
                    A tam, na trone, vyrodok krovavyj,
                    Bludlivyj i nevnyatnyj negodyaj
                    Parit sebe nad Datskoyu derzhavoj...
                    I vopiyut k vozmezd'yu ad i raj!
                    ...Net, ya osel. Da kak zhe tak sluchilos',
                    CHto ya, syn izvedennogo otca,
                    Otmshcheniya blistatel'nuyu milost'
                    Smenyal na lavry skvernogo chteca?
                    Branyus', kak nedolizannaya shlyuha,
                    Kak baba voyu - vse-to ob odnom...
                    Fu... fu, kak stydno!.. Trezvo, tochno, suho
                    Problemu raschlenyu svoim umom.
                    V rabotu, mozg!..
                    Aga, ya tozhe slyshal,
                    Sluchalos', i pozhaluj chto ne raz,
                    CHto posle okonchaniya spektaklya
                    Ubijcy priznavalis' v zlodeyan'yah.
                    ...YA poruchu akteram razygrat'
                    Ubijstvo moego otca, i stanu
                    Ochen' vnimatel'no sledit' za dyadej.
                    Sebya on vydast - znachit, budu znat',
                    CHto dal'she delat' dolzhen. Mozhet stat'sya,
                    CHto prizrak - ne otec, no satana,
                    Pohitivshij otcovskoe oblich'e...
                    O, v etom est' svoi rezony. On
                    Bol'shuyu vlast' imeet nad lyud'mi
                    I znaet ih povadki. On by mog
                    Moej dushoj prel'stit'sya, a potom
                    Mne podygrat' v moej toske... A ya
                    Emu legko poveril... Net, snachala
                    Postavim opyt. Umozaklyuchen'ya -
                    Po rezul'tatam... V p'esu, kak v lovushku,
                    My i zagonim sovest' korolya.
                                  (uhodit)


                                  Scena 3

Tam zhe. Vhodyat korol', koroleva, Polonij, Ofeliya, Rozenkranc i Gil'denstern,
                                   svita.

                                   Korol'

                    Da neuzheli vovse nevozmozhno
                    Uznat', puskaj ne pryamo, no okol'no,
                    Prichinu etogo ego pritvorstva?

                                 Rozenkranc

                    On govorit, chto v samom dele bolen;
                    No v chem prichina - govorit' ne hochet.

                                Gil'denstern

                    Ego ne tak-to prosto ulichit'.
                    My tak pytalis' vyvedat', i edak,
                    No kazhdyj raz on uhodil ot temy
                    I zamykalsya v sobstvennom bezum'i,
                    I vse vpustuyu...

                                  Koroleva

                                     Kak on prinyal vas?

                                 Rozenkranc

                    Kak dzhentl'men.

                                Gil'denstern

                                     Uchtivo, no ne slishkom.

                                 Rozenkranc

                    Naplel s tri koroba, no ni o chem
                    Sam ne rassprashival...

                                  Koroleva

                                           A vy pytalis'
                    Razvlech' ego?

                                 Rozenkranc

                                   Da est' odna ideya...
                    Na v®ezde obognali my akterov.
                    Uznav pro eto, on prishel v vostorg.
                    Aktery pribyli, i, polagayu,
                    U nas segodnya vecherom prem'era...

                                  Polonij

                    YA podtverzhdayu. On menya prosil
                    Vas priglasit' ot imeni ego.

                                   Korol'

                    YA - vsej dushoyu. |to horosho,
                    Hot' chem-to on sposoben uvlekat'sya...
                    Proshu vas, prodolzhajte v tom zhe duhe.

                                 Rozenkranc

                    Milord, my tol'ko nachali igru.

                     Rozenkranc i Gil'denstern uhodyat.

                                   Korol'

                    Gertruda, dorogaya, esli mozhno,
                    I vy ostav'te nas, my posylali
                    Za Gamletom... Sejchas, kak by sluchajno,
                    On vstretitsya s Ofeliej, a my
                    S ee otcom nemnogo poshpionim,
                    I, mozhet stat'sya, edak i uznaem,
                    Lyubov' li vinovata ili chto
                    Sovsem inoe...

                                  Koroleva

                                    O, ya povinuyus',
                    A vam, moya Ofeliya, zhelayu,
                    CHtob vasha krasota byla schastlivoj
                    Prichinoyu bezumiya ego,
                    Togda, samo soboyu, v vashej vlasti
                    Bol'nogo iscelit'...

                                   Ofeliya

                                         YA i sama
                    Hotela by nadeyat'sya na eto.

                              Koroleva uhodit.

                                  Polonij

                    Ofeliya, prohazhivajsya zdes'.
                    CHitaj vot etu knigu... Vid takogo
                    Zanyatiya - udachno podcherknet
                    Tvoyu tosku, a znachit, i lyubov'...
                    Izvestno - i dokazano ne raz! -
                    Blagochestivyj vzor i vid smirennyj
                    Sposobny dazhe cherta odurachit'!..

                                   Korol'
                                (v storonu)

                    On govorit, kak budto pro menya.
                    I chto ni slovo - to udar kinzhala.
                    Userdno razmalevannaya shlyuha
                    Tak ne raskrasitsya, kak ya nakrasil
                    Svoi slova... O, bremya vlastelina!..

                                  Polonij

                    Ego shagi!.. Nam vot syuda, milord!

                 Korol' i Polonij pryachutsya. Vhodit Gamlet.

                                   Gamlet

                    Tak byt' ili ne byt'?.. Nu i vopros!..
                    Sposoben razum protivostoyat'
                    Prashcham i strelam spyativshej fortuny,
                    Ili, klinkom oskalyas', polozhu
                    Konec stradaniyam, i - v smert', kak v son...
                    Ne glubzhe, net. Ved' son vrachuet serdce,
                    Vse yazvy i iz®yany bytiya,
                    Kotorym plot' naslednica. Vot gde
                    Predel blagogovejnyh vozhdelenij.
                    V smert'. V son. Sny v smertnom sne smotret'... Odnako,
                    Smotrya kakie eto budut sny.
                    Posle togo, kak istaskaem zhizn',
                    Nuzhna hot' peredyshka. Est' rezon
                    Dlit' tyagoty zemnogo bytiya...
                    Inache kak terpet' tychki, smeshki,
                    Beschestie, nepravdu ugneten'ya,
                    Bol' nelyubvi, zakona promedlen'e,
                    Vlastej vysokomerie, plevki
                    V dostoinstvo iz nedostojnyh ust?
                    Kogda b odnim udarom raskvitat'sya
                    Vozmozhno bylo, kto mycha i preya,
                    Vlachit' by stal postyloe yarmo?
                    No strah - chego? - chego-to posle zhizni,
                    V neznaemoj strane, iz ch'ih prostranstv
                    Ne vozvrashchayutsya, paralizuet volyu,
                    Nasheptyvaya, chto zemnoe zlo
                    Vse zh predpochtitel'nej togo, inogo...
                    I chem razumnej, tem truslivej tvar'.
                    Estestvennoj reshimosti rumyanec
                    Pripudren blednoj nemoch'yu rassudka,
                    I nemoshchnoj myslishkoj pereshiblen
                    Velikogo deyaniya hrebet.
                    I dejstvie utrachivaet smysl.
                    ...Ofeliya, v svoih molen'yah, nimfa,
                    Pomyanesh' li grehi moi?..

                                   Ofeliya

                                             O, Bozhe!
                    Princ, kak sebya vy chuvstvuete, princ?

                                   Gamlet

                    Spasibo za uchastie. Otmenno.

                                   Ofeliya

                    Milord, vy prisylali mne podarki,
                    I ya davno hotela ih vernut',
                    Pozvol'te zhe...

                                   Gamlet

                                     Nu, tut ya ni pri chem!
                    YA nikogda ne delal vam podarkov.

                                   Ofeliya

                    Vy delali, i znaete prekrasno,
                    CHto imenno... Podarki i slova,
                    Stol' nezhnye, chto i podarki vashi
                    Ot etih samyh slov blagouhali...
                    Teper', kogda ih aromat utrachen,
                    Poskol'ku vasha konchilas' lyubov',
                    Svoi slova berete vy nazad,
                    A, znachit, zaberite i podarki!..

                                   Gamlet

                    Aga, vy dobrodetel'ny!

                                   Ofeliya

                                            Milord?..

                                   Gamlet

                    I, nado dumat', chto krasivy?

                                   Ofeliya

                    Milord, ya vas ne ponimayu.

                                   Gamlet

     Poyasnyu:  esli vy dobrodetel'ny i krasivy, luchshe by vashej dobrodeteli ne
obshchat'sya s vashej krasotoj.

                                   Ofeliya

     S kem zhe i obshchat'sya krasote, kak ne s dobrodetel'yu?

                                   Gamlet

     Nu,  razumeetsya,  ved'  skoree  vlast'  krasoty prevratit dobrodetel' v
svodnyu,  chem  sila  dobrodeteli  upodobit  sebe  krasotu.  Kogda-to eto bylo
paradoksom, no v nash vek - sushchaya banal'nost'... YA lyubil vas kogda-to.

                                   Ofeliya

     Da, milord, teper' ya vynuzhdena v eto verit'.

                                   Gamlet

     Vy  ne dolzhny byli mne verit': skol'ko ni privivaj dobrodetel' k nashemu
drevnemu suchku, sok ego vse ravno budet grehovnym. YA vas ne lyubil.

                                   Ofeliya

     Znachit, ya obmanulas'.

                                   Gamlet

     Stupaj  v  monastyr'.  Zachem  plodit'  greshnikov? YA takoe mogu pro sebya
rasskazat',  chto  luchshe b mat' menya vovse ne rozhala. YA chesten pered toboj, i
znaj, chto ya gord, tshcheslaven, mstitelen. V moem arsenale bol'she prestuplenij,
chem  myslej,  chtoby ih obdumat', voobrazheniya, chtoby ih podgotovit', vremeni,
chtoby  realizovat'.  Zachem zhe takim, kak ya, polzat' po zemle i koptit' nebo?
My  vse  podlecy.  Ne  ver'  nikomu. I stupaj v monastyr'... Kstati, gde vash
otec?

                                   Ofeliya

     U sebya, milord.

                                   Gamlet

     Zaprite ego, chtoby on ne krivlyalsya na lyudyah. I proshchajte.

                                   Ofeliya

     O, pomogi emu, Miloserdnoe Nebo!

                                   Gamlet

     Esli  soberesh'sya  zamuzh,  zahvati  v  pridanoe  moe  proklyatie: bud' ty
celomudrenna,  kak  led,  i chista, kak sneg, vse ravno kleveta tebya dogonit.
Stupaj,  stupaj  v  monastyr'!  A esli uzh tebe ne terpitsya pod venec, idi za
duraka.  Potomu  chto  umnye  znayut,  kakih  monstrov  vy  iz  nih  lepite. V
monastyr', da zhivo! I proshchaj navek.

                                   Ofeliya

     Sily nebesnye, vrazumite ego!

                                   Gamlet

     Kak  vy  lyubite  perekrashivat'sya!  Bog  dal vam odno lico, vy zh risuete
drugoe.  Vasha pohodka - to boltanka, to inohod'. Vy syusyukaete i daete klichki
bozh'im tvaryam, a svoe besputstvo vydaete za naivnost'. S menya dovol'no, ya ot
etogo  uzhe  spyatil.  I obeshchayu vam, chto bol'she zdes' brakov ne budet. Te, kto
uzhe  zhenaty,  pust'  zhivut...  Krome  odnogo,  konechno. A prochie vse umrut v
bezbrachii. Uhodi v monastyr'!
                                  (uhodit)

                                   Ofeliya

                    O, skol' kristal'nyj razum pomrachen!..
                    Cvet nacii i roza gosudarstva
                    Prekrasnejshego, i zercalo mody,
                    Mech voina, filosofa yazyk,
                    Nadezhda rycarstva, opora dlya dvoryanstva
                    I obrazec izyashchestva... Kak nizko
                    On pal v svoem bezumii... A ya,
                    Neschastnejshaya zhenshchina zemnaya,
                    Otpivshaya iz carstvennogo kubka
                    Ego obetov, ya glotayu nyne
                    Pomoi sumasshestviya ego...
                    CHto etot golos, nekogda chistejshij?..
                    Nadtresnutogo kolokola zvuk,
                    Kotoryj tol'ko rvet i sluh, i dushu.
                    I etot oblik yunosti cvetushchej,
                    Podrublennyj bezumiem, - kak gor'ko
                    I kak nevynosimo eto videt',
                    I sravnivat' - chto bylo i chto stalo!..

                         Vyhodyat korol' i Polonij.

                                   Korol'

                    Lyubov'?.. Ne dumayu. On govoril
                    Hotya i sbivchivo, no ne bessvyazno.
                    Bezumiem tut dazhe i ne pahnet...
                    Net, tut drugoe - chto-to, chto odnazhdy
                    V nem krepko ugnezdilos' i uzhe
                    Vysizhivaet yajca. YA boyus',
                    CHto ptenchiki dlya nas opasny budut...
                    Nu, znachit, vot chto my predprimem... Pust'
                    On v Angliyu poedet. Anglichane
                    Nam zadolzhali dan', a eto sluchaj
                    Ee potrebovat'. Ves'ma vozmozhno,
                    CHto novye morya ego provetryat,
                    I to, chto um gnetet i gubit dushu,
                    Razveetsya samo soboj. Nu, kak
                    Moj plan?..

                                  Polonij

                              Milord, vash plan prekrasen!
                    Odnako ya po-prezhnemu uveren,
                    CHto koren' zla v otverzhennoj lyubvi...
                    Nu chto zh, Ofeliya, my izbavlyaem
                    Tebya ot povtoreniya vsego,
                    CHto slyshali i sami... Da, milord,
                    Vash plan velikolepen. Soglashus',
                    I s tem, chto promedlenie opasno...
                    Odnako zh esli soblagovolite,
                    Pust' koroleva-mat' naedine
                    Pogovorit s nim posle predstavlen'ya
                    I napryamuyu vysprosit prichinu
                    Ego pechali. S vashego soglas'ya
                    YA spryachus' tam i tut zhe vse uslyshu.
                    A esli uzh i eto ne pomozhet
                    Uznat' vsyu podnogotnuyu, togda
                    Vy budete vol'ny ego otpravit',
                    Hot' v Angliyu, hot' i poblizhe.

                                   Korol'

                                                   Da,
                    Pust' budet tak. Bezum'e pervyh lic,
                    Po krajnej mere, trebuet uchast'ya.
                                 (Uhodyat.)


                                  Scena 4

                   Tam zhe. Vhodyat Gamlet i troe akterov.

                                   Gamlet

     I  chitajte, kak ya vas uchil. Slova dolzhny podprygivat' na dolee. V vashej
manere  orat' vo vsyu glotku, no esli b eto bylo nuzhno, ya vruchil by moi stihi
ulichnomu  zazyvale. Da, i ne nado rubit' rukami vozduh. Myagche, legche... Dazhe
v  bure,  dazhe, skazhem, v vihre strastej vy dolzhny znat' meru. Bez etogo net
plastiki.  Mne  oskorbitel'no slyshat', kak razhij detina v parike rvet dushu v
lohmot'ya.  Vidimo,  on hochet oglushit' parter, no bol'shinstvo v partere gluho
ko  vsemu,  chto  ne  est' durackaya pantomima ili oslinyj or. O, kak ya mechtal
kogda-to,  chtoby  etogo parnya vysekli! CHego zh eshche zasluzhivaet tot, kto mozhet
pereirodit' samogo Iroda?.. Igrajte s dostoinstvom, proshu vas.

                                Pervyj akter

     Za eto, vasha chest', ya ruchayus'.

                                   Gamlet

     No  i  ne  robejte.  Vash  rezhisser  -  vash  zdravyj smysl. Ne nasilujte
prirodu:  slovo  dolzhno  opirat'sya  na  dejstvie, a dejstvie na slovo. Lyuboe
izlishestvo  vredit  teatru,  ved'  cel' teatra - zerkalo. Dobrodetel' dolzhna
sebya  uznat',  porok  -  uzhasnut'sya  sebe,  a  vek,  kakim  by  on ni byl, -
zapechatlet'sya.  Esli  ne  dozhat', i li, naprotiv, perezhat', - mozhno ublazhit'
tolpu  nevezhd, no ogorchit' imenno togo, ch'e mnenie vazhnee vsej etoj publiki.
YA  videl  akterov, kotoryh nosili na rukah, a mezh tem rechi ih i Dvizhen'ya, da
prostit menya Gospod', ne kak u hristian, ne kak u yazychnikov, ni voobshche - kak
u  lyudej... Oni pyzhilis', vyli i tak otvratno podrazhali vsemu chelovecheskomu,
tochno sami sozdany otnyud' ne Tvorcom.

                                Pervyj akter

     Smeyu nadeyat'sya, chto do izvestnoj stepeni etot greh my iskupim.

                                   Gamlet

     Net,  iskuplyat',  tak celikom. I pust' komiki govoryat to, chto napisano.
Oni hohochut, chtoby zarazit' parochku samyh tupyh zritelej, a to, chto v dannom
meste  nado  plakat',  etih tshcheslavnyh durnej absolyutno ne volnuet. |to vse.
Idite, vzhivajtes'.

                               Aktery uhodyat.
                 Vhodyat Polonij, Rozenkranc i Gil'denstern.

     CHto, milord, zhelaet li nash korol' uvidet' nashu p'esu?

                                  Polonij

     I koroleva zhelaet. Prichem nachat' trebuyut nemedlenno.

                                   Gamlet

     Togda vash dolg prosit' ob etom akterov.

                              Polonij uhodit.

     Gospoda, pomogite emu.

                         Rozenkranc i Gil'denstern

     S udovol'stviem, milord!

                     Rozenkranc i Gil'denstern uhodyat.

                                   Gamlet

     |gej, ho-ho, Goracio!..

                              Vhodit Goracio.

                                  Goracio

     YA zdes' i k vashim uslugam.

                                   Gamlet

                    Goracio, ty luchshij izo vseh,
                    Kogo ya znal...

                                  Goracio

                                   Pomilujte, milord!..

                                   Gamlet

                    Aga, vot ty podumal, chto ya l'stec,
                    No chto est' lest'? ZHelanie dohoda.
                    Kakoj zhe mne dohod pol'stit' tomu,
                    Kto sam bednyak, i krome sil duhovnyh
                    Drugogo kapitala ne imeet?
                    Priyatno, esli sladkim yazykom
                    Vylizyvayut zadnicu, ponyatno,
                    Kogda legko sgibayutsya koleni,
                    Edva zapahnet vygodoj... Ved' tak?
                    Odnako s toj pory, kogda uchilas'
                    Dusha moya svobodno vybirat'
                    I razlichat' lyudej, ona vseh ran'she
                    Tebya primetila, poskol'ku ty
                    Stradal, no ne vykazyval stradan'ya,
                    I mnogoe terpel, i vesel byl,
                    I odinakovo blagodaril
                    I nishchetu, i nashi upovan'ya.
                    Blagoslovenny te, ch'i duh i plot'
                    Ediny, i podite-ka sumejte
                    Sygrat' na etih lyudyah, kak na flejte!..
                    Ih dazhe roku ne pereborot'.
                    Igra sud'by - voobshche votshche i vtune,
                    Kogda hranim prezrenie k Fortune.
                    Takov i ty. ZHivesh' poverh strastej,
                    Ne tyagotish'sya doleyu svoej,
                    I v serdcevinu serdca moego
                    YA dopustil tebya lish' odnogo.
                    ...Odnako - slushaj:
                                        vecherom segodnya
                    Zdes' budet dan spektakl'. Odna iz scen
                    Po obstoyatel'stvam napominaet
                    Smert' moego otca. Ty sam uvidish',
                    Ved' ya tebe vsyu pravdu rasskazal.
                    Poetomu hochu ugovorit'sya:
                    Kogda nachnut, vnimatel'no sledi,
                    Kak budet reagirovat' moj dyadya.
                    I esli net na nem viny, i on
                    Smyateniem v tot mig sebya ne vydast,
                    My budem znat', chto nam s toboj yavlyalsya
                    Ne gosudar' pokojnyj moj otec,
                    A nekij duh nechistyj. CHto zh, togda
                    Priznaem, chto moe voobrazhen'e
                    Smerdit ne huzhe kuznicy Vulkana...
                    Smotri, odnako, v oba. Nu i ya
                    V ego lico vop'yus' glazami. Posle
                    My nashi vpechatlen'ya sopostavim.

                                  Goracio

                    Dobro, milord. I esli on sumeet
                    Nas provesti, za proigrysh - plachu.

                                   Gamlet

                    Oni idut syuda smotret' spektakl'.
                    YA, kak i prezhde, pritvoryus', a vy
                    Sebe zajmite mesto poudobnej.

    Igrayut truby. Vhodyat korol' i koroleva, Polonij, Ofeliya, Rozenkranc,
                Gil'denstern, pridvornye, strazha s fakelami.

                                   Korol'

                    Kak pozhivaet nash plemyannik Gamlet?

                                   Gamlet

     Ej-bogu,  velikolepno.  Obedayu,  kak  hameleon  -  vozduhom, nachinennym
obeshchaniyami.  ZHal',  chto  nikto  ne  dogadalsya  otkarmlivat' edak, k primeru,
kaplunov.

                                   Korol'

     |to ne pro menya. YA tebe nichego ne obeshchal.

                                   Gamlet

     YA  vam  tozhe.  (Poloniyu.)  Milord,  vy govorili, chto kogda-to igrali na
universitetskoj scene?

                                  Polonij

     Da, milord, igral, i ves'ma uspeshno.

                                   Gamlet

     Kogo zhe?

                                  Polonij

     YUliya Cezarya. Menya Brut zarezal v Kapitolii.

                                   Gamlet

     Takogo kapital'nogo barashka? |to slishkom brutal'no... Gotovy li aktery?

                                 Rozenkranc

     Gotovy i zhdut vashego prikazan'ya.

                                  Koroleva

     Syad' so mnoj, moj milyj Gamlet.

                                   Gamlet

     O net, zdes' est' predmet poprityagatel'nej.

                                  Polonij

     CHto ya govoril!

                                   Gamlet

     Sudarynya, ya lyagu k vam v nogi?

                                   Ofeliya

     Net, milord.

                                   Gamlet

     YA imel v vidu - u vashih nog...

                                   Ofeliya

     Da, milord.

                                   Gamlet

     Vy dumali, ya hotel skazat' nepristojnost'?

                                   Ofeliya

     Nichego ya ne dumala, milord.

                                   Gamlet

     CHudnaya mysl' - lezhat' mezhdu nog u devicy.

                                   Ofeliya

     CHto takoe, milord?

                                   Gamlet

     Da uzhe nichego.

                                   Ofeliya

     Vy vse shutite...

                                   Gamlet



                                   Ofeliya

     Vy, milord.

                                   Gamlet

     Nu,  konechno,  ved' ya - luchshij shut na svete. CHto ostaetsya cheloveku, kak
ne  smeyat'sya  po  pustyakam? Poglyadite, kak vesela moya mat', a ved' so smerti
moego otca ne proshlo i dvuh chasov.

                                   Ofeliya

     Proshlo uzhe dva raza po dva mesyaca.

                                   Gamlet

     Tak  mnogo? Togda k chertu traur, drapiruem sebya sobolyami! O Nebo! Bolee
dvuh  mesyacev,  a  eshche  ne zabyt. I est' nadezhda, chto pamyati o nem hvatit na
celyh  polgoda.  Vprochem,  nado  posovetovat' emu, chtoby nachal zhertvovat' na
cerkov'. A to konchit, kak tot konek-skakunok:

                             Otkinuty kopyta, -
                             I klichka pozabyta.

     Igrayut    goboi.    Nachinaetsya    pantomima.    Vhodyat   akter-korol' i
akter-koroleva.  Koroleva  obnimaet  korolya, a on ee. Koroleva stanovitsya na
koleni  i  pantomimoj  vyrazhaet svoyu lyubov' k korolyu. Korol' podnimaet ee na
nogi  i  sklonyaet  golovu na ee plecho, a zatem opuskaetsya na lozhe iz cvetov.
Ona,  vidya,  chto  on  zasnul, uhodit. Tut zhe poyavlyaetsya nekto, kto snimaet s
korolya  koronu,  celuet  ee,  dostaet  sklyanku,  vlivaet ee soderzhimoe v uho
korolyu  i  uhodit. Vozvrashchaetsya koroleva. Vidit, chto korol' mertv, i zhestami
vyrazhaet  svoe  otchayanie.  Vhodit  otravitel' s dvumya ili tremya statistami i
delaet vid, chto skorbit vmeste s nej. Mertvogo unosyat. Otravitel' dobivaetsya
blagosklonnosti  korolevy,  podnosya  ej podarki. Ona pokazyvaet, chto ne dast
soglasiya, no, nakonec, prinimaet ego lyubov'. Aktery uhodyat.

                                   Ofeliya

     CHto oni pokazyvali?

                                   Gamlet

     Polzuchee zlodejstvo, a po-datski - zmeyu podkolodnuyu.

                                   Ofeliya

     P'esa ob etom?

                               Vhodit Prolog.

                                   Gamlet

     Sejchas on vse nam rasskazhet. Aktery vsegda vse vybaltyvayut.

                                   Ofeliya

     On rastolkuet etu pantomimu?

                                   Gamlet

     Kak  i  lyubuyu  pozu,  v  kotoruyu  vy  vstanete.  Vy tol'ko ne stydites'
vstavat', a uzh on ne postesnyaetsya rastolkovat'.

                                   Ofeliya

     Vy merzkij, gadkij!.. YA budu smotret' p'esu.

                                   Prolog

                    V nachale predstavlen'ya
                    My prosim snishozhden'ya
                    I vashego terpen'ya.

                                   Gamlet

     |to prolog ili gravirovka na perstne?

                                   Ofeliya

     V lyubom sluchae - korotko.

                                   Gamlet

     Kak lyubov' zhenshchiny.

                   Vhodyat dva aktera: korol' i koroleva.

                                Akter-korol'

                    S teh samyh por, kak kolesnica Feba
                    Uzh tridcat' raz izborozdila nebo
                    I tridcat' dyuzhin lun zaemnym svetom
                    S nebes na zemlyu izoshli pri etom,
                    Skrepila nam na mnogo-mnogo dnej
                    Lyubov' - serdca, a ruki - Gimenej.

                               Akter-koroleva

                    Pust' solnce i luna zastavyat nas
                    Sochest' ih eshche mnogo-mnogo raz!
                    No gore mne, suprug lyubeznyj moj,
                    V poslednee ty vremya sam ne svoj:
                    To bolen, to nevesel, to v toske,
                    Kak budto zhizn' tvoya na voloske.
                    No bespokoit'sya my ne dolzhny.
                    U zhenshchiny strah i lyubov' ravny:
                    Lyubov' bol'shaya, znachit, strah bol'shoj,
                    A bez lyubvi net straha za dushoj.
                    I skol' sil'na moya k tebe lyubov',
                    Po strahu ty uznaesh' vnov' i vnov'.

                                Akter-korol'

                    Dolzhna v glaza ty pravde posmotret':
                    Klyanus', ya dolzhen skoro umeret',
                    Poskol'ku v telo brennoe moe
                    Uzhe vonzilos' smerti ostrie!
                    A ty ostan'sya zhit', moya lyubov',
                    CHtob etim mirom naslazhdat'sya vnov',
                    I, mozhet byt', tebe ne stanet huzhe,
                    Kogda najdesh' sebe vtorogo muzha.

                               Akter-koroleva

                    Ne govori tak! |to vsem izvestno:
                    Predatel'stvo s lyubov'yu nesovmestno.
                    Pust' lyudi proklyanut menya publichno,
                    Kak tol'ko vyjdu zamuzh ya vtorichno!
                    Pust' za vtorogo pod venec pojdet
                    Ta, chto supruga pervogo ub'et.

                                   Gamlet

                    Polyn', polyn'... Oj, gor'ko...

                               Akter-koroleva

                    Da, ko vtoromu braku podvedet
                    Nas ne lyubov', no merzost' i raschet.
                    YA mertvogo supruga ubivayu,
                    Kogda v posteli so vtorym byvayu.

                                Akter-korol'

                    Moj drug, ya veryu v iskrennost' tvoyu,
                    No pozabudesh' klyatvu ty svoyu:
                    Poskol'ku smertnyj ot prirody slab,
                    Svoih zhelanij on poslushnyj rab.
                    Nezrelyj derzhitsya za vetku plod,
                    No perezreet - nazem' upadet,
                    A vernost' i svyatoe chuvstvo dolga
                    Hranyatsya na zemle ne slishkom dolgo.
                    Pokorstvuya fortune neminuchej,
                    Ne vechen mir, i mirom pravit sluchaj.
                    Pechal' odnazhdy v radost' perejdet,
                    Lyubov' - v zabven'e, i naoborot.
                    Edva prohodit trepetnaya strast',
                    I my, kak plod, speshim na zemlyu past':
                    CHrezmernye vostorgi i pechali
                    Neiskrenni uzhe v svoem nachale.
                    Kogda geroj v opale, otchego
                    Begut lyubimcy prezhnie ego?
                    A ezheli vozvysitsya bednyak,
                    S nim podruzhit'sya zhazhdet dazhe vrag.
                    Da, tot, kto ne nuzhdaetsya ni v chem,
                    Na obozhan'e blizhnih obrechen,
                    A tot, kto presmykaetsya v bede,
                    Naprasno stonet: "O druz'ya, vy gde?"
                    Mne rok sud'bu pechal'nuyu naznachil,
                    A potomu zakonchu tem, chem nachal:
                    Uvy, my ne hozyaeva sebe,
                    ZHivem, protivyas' sobstvennoj sud'be...
                    Ty dumaesh', chto zamuzh ne pojdesh',
                    No eto uteshitel'naya lozh'.

                               Akter-koroleva

                    O, da ne dast togda zemlya mne pishchi,
                    I nebo - sveta, a v moe zhilishche
                    Puskaj vovek vesel'e ne vojdet,
                    Kogda sorvu postydnyj etot plod!
                    Da obernutsya uzhasom nadezhdy,
                    Da v kloch'ya razorvu svoi odezhdy,
                    I radosti neprehodyashchij lik
                    Da pomertveet v tot postylyj mig,
                    Kogda vdovoyu na svoyu bedu
                    Vnov' za drugogo zamuzh ya pojdu!..

                                   Gamlet

     A esli ona klyatvu narushit?

                                Akter-korol'

                    O, eta klyatva dlya menya strashna.
                    Ostav' menya, lyubimaya zhena,
                    YA dlinnyj etot den' ukorochu,
                    Poskol'ku slab i ochen' spat' hochu.
                                 (zasypaet)

                               Akter-koroleva

                    Hrani tebya Morfej v sej chutkij chas,
                    I da ne razluchit neschast'e nas!
                                  (uhodit)

                                   Gamlet

     Nravitsya li vam p'esa, madam?

                                  Koroleva

     |ta ledi slishkom mnogo obeshchaet.

                                   Gamlet

     No slovo svoe ona, razumeetsya, sderzhit.

                                   Korol'

     Vy znaete soderzhanie? Ono ne predosuditel'no?

                                   Gamlet

     Da net, oni ved' tol'ko shutyat. Travyat yadom, no tozhe ponaroshku. Net, eto
ne predosuditel'no.

                                   Korol'

     A kak ona nazyvaetsya?

                                   Gamlet

     Nazyvaetsya  "Myshelovka". No v kakom smysle, chert voz'mi! V figural'nom,
poskol'ku  ubijstvo  soversheno  v  Vene.  Korolya  zovut  Gonzago, a ego zhenu
Baptista.  |ta gnusnejshaya istoriya, no nas s vashim velichestvom ona sovershenno
ne kasaetsya. Na vore shapka gorit, no ved' shapka, a ne korona.

                            Vhodit akter-Lucian.

     |to nekto Lucian, korolevskij plemyannik.

                                   Ofeliya

     Milord, vy chudnaya zamena horu.

                                   Gamlet

     A  eshche  -  mog  by stat' tvoim svodnikom, esli b zahotel dosmotret' vash
kukol'nyj fars.

                                   Ofeliya

     Vam ne zhal' menya zhalit'?

                                   Gamlet

     O, vam prishlos' by izryadno postonat', chtoby pritupit' moe zhalo.

                                   Ofeliya

     CHas ot chasu ne legche!

                                   Gamlet

     Kak  i  vashim muzh'yam... Nachinaj, ubijca! Konchaj korchit' rozhi i nachinaj.
Nu, davaj vmeste: "Krik vorona - predvestnik lyutoj mesti..."

                                Akter-Lucian

                    Krepka moya ruka, nadezhen yad,
                    Udachno vremya: vrag moj snom ob®yat.
                    I - nikogo... Buket polnochnyh trav,
                    Smes' gnusnaya, otrava iz otrav,
                    Samoj Gekatoj proklyatoe zel'e,
                    Prervi sej zhizni brennoe vesel'e!
                         (vlivaet yad v uho spyashchemu)

                                   Gamlet

     On  otravil  ego  v  sadu,  chtoby  zavladet'  tronom.  V podlinnike, na
ital'yanskom,  vse  eto  vyglyadit  ves'ma  izyskanno.  Sejchas vy uvidite, kak
ubijca dobivaetsya lyubvi Baptisty.

                                   Ofeliya

     Korol' vstal!..

                                   Gamlet

     |to iskusstvennyj ogon' ego tak podzharil?

                                  Koroleva

     Vam ploho, milord?

                                  Polonij

     Prekratit' predstavlen'e!

                                   Korol'

     Posvetite!.. My ujdem...

                                  Polonij

     Ognya syuda, ognya!..

                    Uhodyat vse, krome Gamleta i Goracio.

                                   Gamlet

                        Pust' plachet ranenyj olen',
                        A nevredimyj skachet,
                        Pust' eti spyat, a te ne spyat, -
                        Na etom mir stoit...

     Esli  rok  budet smotret' na menya turkom, razve eta deklamaciya, ser, da
shlyapa  v  per'yah,  da  dve  provansal'skie rozy na bashmakah ne obespechat mne
cel'nogo paya v akterskoj bande?

                                  Goracio

     Polovinu paya, milord.

                                   Gamlet

     Net, tol'ko celyj.

                    Uznaj, Dam_o_n, chto sovershilos'.
                    Strana YUpitera lishilas'.
                    I nami pravit koe-kak
                    Nu prosto skazochnyj... m-m... pavlin...

                                  Goracio

     Mogli by i v rifmu.

                                   Gamlet

     Stavlyu tysyachu funtov, chto prizrak govoril pravdu. Ty videl?

                                  Goracio

     Otlichno videl, milord.

                                   Gamlet

     I vot imenno, kogda rech' zashla o yade?..

                                  Goracio

     YA smotrel ochen' vnimatel'no.

                                   Gamlet

     Ha-ha! |j, muzyka!.. Flejtisty!..

                         Esli p'esa ne po nravu,
                         Znachit, p'esa pro otravu.

     Muzyku!

                              Goracio uhodit.
                     Vhodyat Rozenkranc i Gil'denstern.

                                Gil'denstern

     Dobrejshij princ, udostojte vashim vnimaniem vsego na odno slovo!

                                   Gamlet

     Hot' na celuyu povest'.

                                Gil'denstern

     Korol', ser...

                                   Gamlet

     S nim chto-to sluchilos', ser?

                                Gil'denstern

     On  udalilsya,  ser,  v svoi pokoi, prichem v ves'ma tyazhelom raspolozhenii
duha.

                                   Gamlet

     Ot vina, ser?

                                Gil'denstern

     Net, milord, skoree ot zhelchi.

                                   Gamlet

     S vashej storony, ser, bylo by mudree soobshchit' ob etom lekaryu. Ibo, esli
ya nachnu ego lechit', boyus', emu stanet tol'ko huzhe.

                                Gil'denstern

     Moj dobryj princ, esli vy budete tak otvechat', ya nikogda ne sumeyu dojti
do suti vizita.

                                   Gamlet

     Smiryayus', ser. Povestvujte!..

                                Gil'denstern

     Vasha matushka-koroleva krajne ogorchena i poslala nas k vam.

                                   Gamlet

     Milosti prosim.

                                Gil'denstern

     Net,  moj  princ, reveransy zdes' neumestny. Esli vam budet ugodno dat'
zdravyj  otvet,  my  vypolnim prikaz vashej materi, esli zhe net, to razreshite
udalit'sya.

                                   Gamlet

     Ser, ya ne mogu.

                                Gil'denstern

     CHego ne mozhete, ser?

                                   Gamlet

     Dat'  zdravyj  otvet. YA bolen. No tot otvet, na kotoryj ya eshche sposoben,
vy poluchite. Ili ne vy, a moya mat'. Itak, k delu: vy utverzhdaete, chto ona...

                                 Rozenkranc

     ...utverzhdaet, chto vashe povedenie poverglo ee v izumlenie.

                                   Gamlet

     O,  izumitel'nyj  syn!  Izumitel'nyj,  ibo  sposoben tak izumlyat'. No k
svoemu izumleniyu hot' chto-to ona pribavila?

                                 Rozenkranc

     Pered snom, milord, ona zhelaet s vami besedovat' u sebya v komnate.

                                   Gamlet

     Bud'  ona  desyat' raz moej mater'yu, ya by vse ravno povinovalsya. U vas k
nam eshche kakoe-to delo?

                                 Rozenkranc

     Milord, vy kogda-to lyubili menya.

                                   Gamlet

     |to  pravda.  (Pokazyvaet  svoi  ruki.)  Klyanus'  vot etimi zagrebushchimi
grabitelyami.

                                 Rozenkranc

     Togda  skazhite,  v  chem  prichina vashego rasstrojstva? Vy sami stesnyaete
sebya, ne delyas' s drugom.

                                   Gamlet

     Ohotno, ser. YA perestal rasti, i kar'era moya konchilas'.

                                 Rozenkranc

     Kak vy mozhete tak govorit'! Sam korol' provozglasil vas naslednikom!..

                                   Gamlet

     O, da. No est' staraya pogovorka: "Pokuda travka podrastet..."

                         Vhodyat aktery s flejtami.

     Vot  i  flejty.  Dajte mne odnu. (Gil'densternu.) Dva slova naedine. Vy
zah_o_dite mne v tyl, tochno gotovite zapadnyu.

                                Gil'denstern

     O, milord, ya nelovok, no eto potomu, chto lyubov' moya bezyskusna.

                                   Gamlet

     CHto-to ya ne ponimayu. Ne sygraete li vy na flejte?

                                Gil'denstern

     YA ne umeyu, milord.

                                   Gamlet

     Nu, ya vas ochen' proshu!..

                                Gil'denstern

     Da net, pravda, ne umeyu.

                                   Gamlet

     Umolyayu vas!

                                Gil'denstern

     YA i pritronut'sya k nej boyus'!

                                   Gamlet

     |to  ne trudnee, chem lgat'. Zakryvajte eti otverstiya, a vot syuda dujte,
i iz nee pol'etsya sladchajshaya muzyka. Vot, glyadite, eto - klapany...

                                Gil'denstern

     No ya ne znayu, kak imi pol'zovat'sya. YA ne uchilsya garmonii.

                                   Gamlet

     Ne  uchilis'?  Kakim  zhe  nichtozhestvom  vy schitaete menya!.. Vy pytaetes'
igrat'  na  mne,  uvereny,  chto znaete moi slabosti, hotite razygrat' menya i
vmeste s serdcem vyrvat' moyu tajnu. V etom malen'kom instrumente more muzyki
i  chistyj  golos, odnako vam on nichego ne rasskazhet. CHert voz'mi, neuzheli vy
dumaete, chto na mne legche igrat', chem na flejte? Schitajte menya chem ugodno...
Vy tol'ko rasstroite menya, no igrat' na mne vam ne dano.

                              Vhodit Polonij.

     Da blagoslovit vas Bog!

                                  Polonij

     Koroleva zhelaet govorit' s vami pryamo sejchas.

                                   Gamlet
                              (podhodya k oknu)

     Vidite to oblako, pohozhee na verblyuda?

                                  Polonij

     Klyanus' obednej, i v samom dele verblyud...

                                   Gamlet

     A mne kazhetsya, chto ono napominaet gornostaya.

                                  Polonij

     Spina, kak u gornostaya.

                                   Gamlet

     Ili kak u kita?

                                  Polonij

     Vylityj kit.

                                   Gamlet

     Uvy,  pridetsya  idti  k materi. (V storonu.) Oni dumayut, chto oni valyayut
duraka. (Vsluh.) Uzhe idu!

                                  Polonij

     Tak i peredam.
                                  (uhodit)

                                   Gamlet

     Legko skazat' "uzhe"! Druz'ya, ostav'te menya.

                         Uhodyat vse, krome Gamleta.

                    Nastalo koldovskoe eto vremya,
                    Razverstyj chas polunochnyh mogil,
                    Razyashchij smradnymi parami ada.
                    Upit'sya by teper' goryachej krov'yu
                    Da v temnote nadelat' gor'kih del,
                    CHtob den' gryadushchij zavtra sodrognulsya!..
                    Spokojstvie. YA k materi idu.
                    O serdce, serdce, - uderzhi menya!
                    Pust' ne vselitsya v etot strashnyj chas
                    V menya dusha Nerona. YA zhestok,
                    No ya ne izverg, i vzamen kinzhala
                    Upotreblyu kinzhaly slov stal'nyh,
                    I pust' yazyk s dushoyu licemeryat
                    Drug pered drugom... Skol'ko b ni vonzil
                    Kinzhalov etih, o moya dusha,
                    Ne soglashajsya s tem, chto ya zamyslil!
                                 (Uhodit.)


                                  Scena 5

         Komnata korolya. Vhodyat korol', Rozenkranc i Gil'denstern.

                                   Korol'

                    YA ne lyublyu ego, i bylo b stranno
                    Ego bezumstvu potakat'. Ono
                    Opasnym stalo... Tak chto sobirajtes'
                    I - dobrogo puti... Vy, to est' oba,
                    Naznacheny ego soprovozhdat'
                    V ego poezdke v Angliyu, poskol'ku
                    Zadety interesy gosudarstva,
                    I zhizni korolya grozit opasnost'.

                                Gil'denstern

                    Milord, schitajte, my uzhe v puti.
                    Dlya nas svyashchenny zhizn' i propitan'e
                    Vseh teh, ch'ya zhizn', a takzhe propitan'e
                    Ot Vashego Velichestva zavisyat.

                                 Rozenkranc

                    Otdel'no vzyatyj kazhdyj iz lyudej
                    Vsej siloyu uma ili oruzh'ya
                    Obyazan zashchitit' svoj interes,
                    Tem bolee obyazan eto sdelat'
                    I tot, kto derzhit Datskuyu derzhavu,
                    Ved' zizhdetsya na zhizni gosudarya
                    Blagopoluch'e poddannyh ego.
                    Smert' korolya - vsegda vodovorot,
                    Gubitel'nyj dlya mnogih chastnyh sudeb.
                    A vot vam allegoriya drugaya:
                    Korol' - chto mel'nichnoe koleso,
                    No ne vnizu, a na vershine gornoj,
                    I tysyachi kolesikov mel'chajshih,
                    Skreplennyh s nim, privodit on v dvizhen'e.
                    Pokatitsya s vershiny koleso -
                    V padenii takogo nalomaet...
                    Vzdohnet korol' - emu otvetit eho
                    Vseobshchim stonom!

                                   Korol'

                                     YA vas poproshu
                    Potoropit'sya. Tol'ko vmeste s vami
                    My zakuem v okovy etot uzhas...
                    On gde-to ryadom...

                         Rozenkranc i Gil'denstern

                                         My uzhe speshim!..

                     Rozenkranc i Gil'denstern uhodyat.
                              Vhodit Polonij.

                                  Polonij

                    Milord, sejchas on k materi pojdet.
                    Tam est' mestechko za kovrom arrasskim,
                    Eshche kogda ego na vsyakij sluchaj
                    YA prismotrel... Nu da... Vot tam i vstanu...
                    Mat' syna vrazumit, ne somnevajtes',
                    Odnako ochen' tochno vy skazali -
                    Tochnej ne skazhesh'! - mat' vsegda est' mat',
                    I bespristrastnost' - ne ee stihiya,
                    Zdes' nuzhen chelovek bez predrassudkov -
                    Skazali vy! - i s vami ya soglasen.
                    Proshchajte zhe, moj dobryj povelitel',
                    YA zaglyanu eshche raz chut' popozzhe,
                    Nadeyus', chto ne budet slishkom pozdno.

                                   Korol'

                    YA vam ves'ma priznatelen, milord.

                              Polonij uhodit.

                    Moj greh smerdit do samyh do nebes...
                    Drevnejshee i glavnoe proklyat'e -
                    Ubijstvo brata. Ne mogu molit'sya.
                    Hochu, no ne mogu, hotya zhelan'e
                    Stol' veliko, chto vporu razrydat'sya.
                    YA polon sil. I ya eshche ne gnus'!..
                    YA dolzhen zhit' dvojnoyu etoj zhizn'yu,
                    I dolzhen sdelat' to, chto sdelat' dolzhen.
                    No kak, skazhi!.. Kogda b moya ruka
                    Byla eshche chernej ot krovi brata,
                    Neuzhto b ne hvatilo nebesam
                    Dozhdya, chtoby omyt' ee?.. Zachem
                    Vse eti rosskazni pro miloserd'e,
                    Kogda neiskupimo prestuplen'e?..
                    Molit'sya?.. |to vot i znachit zhit'
                    Dvojnoyu zhizn'yu - byt' preduprezhdennym
                    Do soversheniya prostupka ili
                    Proshchennym, esli posle pomolilsya.
                    Vot ya molyus'. I chto? Moj greh otpushchen?..
                    Dopustim, ya i pravda ne mogu
                    Skazat' "Prosti mne podloe ubijstvo!",
                    A pochemu? A potomu, chto ya
                    Ne vlasten otkazat'sya ot korony,
                    Ot korolevy da i ot sebya...
                    I razve mozhesh' ty prostit', kogda,
                    Otrinuv greh, ne mozhem my ottorgnut'
                    Ego plodov, kotorye stol' sladki...
                    Ty znaesh' sam: v bezumnom etom mire
                    CHistejshaya dusha obrechena
                    Byt' vtoptannoj v takuyu gryaz', chto luchshe
                    I ne glyadet'. Zakon?.. A chto zakon?..
                    S zakonom my podelimsya, i on
                    Nas vozblagodarit. On osuzhdaet
                    Lish' padshego, togo, kto proigral.
                    No ya ved' pobedil!.. I chto teper'?..
                    CHto ostaetsya mne?.. CHto?.. Pokayan'e?
                    No esli net raskayan'ya, pomozhet
                    Mne pokayan'e? Bozhe, ya takoj,
                    Kakim menya ty sam i sotvoril,
                    Tak ch'ya vina?.. Oj, hudo, oh, kak hudo
                    Glyadet'sya v serdce chernoe, kak noch'.
                    ...Dovolen? Ty pojmal menya? Likuj!
                    Eshche odna dusha v tvoej lovushke.
                    ...Poshli mne angelov tvoih na pomoshch'!
                    Eshche raz ispytaj menya!.. Ne hochesh'?
                    Togda ya sam... Sognites' podo mnoj
                    Moi koleni... Serdce razmyagchu,
                    I, mozhet byt', eshche vse obojdetsya...
                             (vstaet na koleni)

                               Vhodit Gamlet.

                                   Gamlet

                    On molitsya?.. I vpryam', kakoj podarok...
                    YA mog by vse ispolnit', hot' sejchas
                    Na nebesa otpraviv negodyaya,
                    I vot ono, otmshchenie... Odnako
                    Zdes' nado razobrat'sya... Znachit, tak -
                    On ubivaet moego otca,
                    A ya ego za eto posylayu
                    Na nebesa... Net, chto-to ne vyhodit...
                    Nu da, ved' mest' ne mozhet byt' nagradoj...
                    Otec ubit vo sne, v cveten'i majskom
                    Svoih grehov, s nabitym zhivotom,
                    Bez pokayaniya i prichashchen'ya,
                    I tol'ko Nebo znaet, kakovo
                    Emu sejchas prihoditsya... A etot -
                    Kolenopreklonennyj, ves' v molitve,
                    A, znachit, podgotovlennyj uzhe
                    Dlya perehoda v mir inoj... O, net,
                    Mech v nozhny. Mstit' tak mstit'. Dozhdemsya chasa,
                    Kogda nap'etsya on i budet spat'...
                    O, da - i v gneve, i na lozhe strasti
                    Krovosmesitel'noj, i za igroyu
                    Na den'gi, i v inyh grehovnyh igrah,
                    On - moj. On moj, no tol'ko ne sejchas.
                    Sshibit' ego - ne slishkom eto slozhno,
                    Vsya hitrost' v tom, chtob pyatkami svoimi
                    Po vozduhu suchil, no chtob dusha
                    Stol' tyazhela byla, chto pryamo v ad
                    So vseyu merzost'yu i provalilas'!..
                    Mat' zhdet menya. Lechenie otlozhim,
                    A, znachit, i prodlim tvoyu bolezn'.
                                  (uhodit)

                        Korol' podnimaetsya s kopen.

                                   Korol'

                    Slova voznosyatsya, a pomysly gnetut.
                    Do neba te i eti ne dojdut.
                                 (Uhodit.)


                                  Scena 6

                Komnata korolevy. Vhodyat koroleva i Polonij.

                                  Polonij

                    ...I vot sejchas on yavitsya. Primite
                    Ego po-materinski. Nameknite,
                    CHto eti vyhodki - igra s ognem.
                    Poka mogli, ego vy prikryvali,
                    Vstav mezhdu nim i plamenem... YA vstanu
                    Zdes', za kovrom... I zaklinayu vas -
                    Pobol'she iskrennosti!..

                                   Gamlet
                                (za scenoj)

                                              Mama!.. Ma-ma!..

                                  Koroleva

                    Ne bespokojtes', esli chto - ya kriknu.

                 Polonij pryachetsya za kover. Vhodit Gamlet.

                                   Gamlet

                    Tak chto sluchilos', mama?

                                  Koroleva

                    Vy oskorbili svoego otca.

                                   Gamlet

                    Vy oskorbili moego otca.

                                  Koroleva

                    Uvy, chto ni otvet, to nevpopad.

                                   Gamlet

                    Nu da, ved' iz voprosa kaplet yad.

                                  Koroleva

                    Zachem vy tak?

                                   Gamlet

                                   Tak chto sluchilos', mama?

                                  Koroleva

                    Ty uznaesh' menya?

                                   Gamlet

                                     Klyanus' raspyat'em,
                    Vy - koroleva Danii, zhena
                    Otcova brata, mne zh, k neschast'yu, - mat'.

                                  Koroleva

                    Nu, hvatit. Ty otvetish', no ne mne.
                            (poryvaetsya vstat')

                                   Gamlet

                    Syad', gde sidish'. Ty ne ujdesh' otsyuda,
                    Pokuda ya tebe ne pokazhu
                    Tvoe nutro...

                                  Koroleva

                    CHto ty zadumal?.. Ty menya ub'esh'?..
                    Syuda!.. Na pomoshch'!..

                                  Polonij
                       (na mig poyavlyayas' iz-za kovra)

                                      |j, syuda!.. Na pomoshch'!.

                                   Gamlet

                    Zdes' krysy?..
                           (pronzaet mechom kover)
                                  Est'! Stavlyu dukat - dostal.

                                  Polonij
                               (iz-za kovra)

                    YA, kazhetsya, ubit...

                                  Koroleva

                                         CHto ty nadelal!

                                   Gamlet

                    Sam ne mogu ponyat'. Tam chto - korol'?

                                  Koroleva

                    Skol' oprometchivo i skol' krovavo...

                                   Gamlet

                    Krovavo?.. Ne krovavej, chem ubit'
                    Supruga-korolya i vyjti zamuzh
                    Za ego brata.

                                  Koroleva

                                    CHto znachit - "ubit'
                    Supruga-korolya"?..

                                   Gamlet

                                        A to i znachit.
                   (podnimaet kover i vidit telo Poloniya)
                    Tak vot kogo ya v luchshij mir sprovadil.
                    Proshchaj, nesnosnyj glupyj prilipala.
                    Ty za drugogo poluchil svoe.
                    YA oboznalsya, i sejchas ty ponyal,
                    CHto sueta sovsem ne bezopasna.
                                 (koroleve)
                    Vse. Hvatit. Prekratite prichitat',
                    I dajte mne teper' otzhat' vsyu merzost',
                    Nakoplennuyu vami v vashem serdce,
                    Kotoroe vy med'yu oblekli,
                    CHtoby nichto zhivoe ne proniklo.

                                  Koroleva

                    Da chto zhe ya takoe sovershila,
                    CHto tak ty raspuskaesh' svoj yazyk?

                                   Gamlet

                    YA podskazhu: to, chto beschestit chestnost',
                    CHto skromnost' obrashchaet v licemer'e,
                    To, chto venec nevinnosti sryvaet
                    I ostavlyaet yazvu na chele,
                    To, chto pred altarem daet obety,
                    Pohozhie na klyatvy igrokov,
                    To, chto skvozit v poslednem sodrogan'i,
                    Religioznost' svodit k pustoslov'yu,
                    To, ot chego, kak solnce na zakate,
                    Lico nebes sgoraet so styda.
                    CHto eto?.. |to chto-to vrode korki
                    Neprobivaemoj. Ee sostav
                    Ves'ma ne prost i derzhitsya prekrasno
                    Do Strashnogo Suda.

                                  Koroleva

                                          O Bozhe pravyj,
                    Da v chem ya vinovata? Ob®yasni!

                                   Gamlet

                    Syuda vzglyanite. Vot vam dva portreta,
                       (vidimo, demonstriruet ladoni)
                    Dva brata... Pervyj - eto obrazec
                    Izyashchestva, chto zapechatleno
                    V oblichij - YUpitera chelo,
                    I Marsa vzor, i kudri Apollona,
                    Merkuriya letyashchaya osanka -
                    Vse dyshit v nem nebesnym poceluem,
                    Kak budto kazhdyj iz bogov Olimpa
                    Syuda vlozhil bessmertiya chasticu,
                    Zalog samostoyan'ya cheloveka.
                    Uznala?.. Da?.. Takov tvoj pervyj muzh.
                    Teper' vtoroj portret i muzh vtoroj,
                    Pohozhij na zarosshee shchetinoj
                    Svinoe uho. On - bratoubijca.
                    Est' u tebya glaza?.. I ty posmela
                    S gory spustit'sya, chtoby udobryat'
                    Vonyuchee boloto?.. CHem ty smotrish'?
                    Ni slova pro lyubov'... V tvoi-to gody
                    Kipen'e krovi razumu podvlastno,
                    A strast'yu upravlyaet golova.
                    Hot' chto-nibud' skazhi!.. Ved' u tebya
                    Dostatochno mozgov, chtoby otvetit'
                    I za sebya, i za svoi postupki -
                    Apopleksiya ih ne porazila,
                    Bezumie ne vyelo, odnako
                    Plot' obol'stila... No ved' ne nastol'ko,
                    CHto ty utratila i zdravyj smysl?
                    Ved' tak?.. Tak nazovi mne imya besa,
                    Kaznyashchego kurinoj slepotoj.
                    Nezryachih chuvstv bezglazie gluhoe,
                    Bezrukij sluh, lishennyj osyazan'ya,
                    Bezvkusie dushevnoj pustoty -
                    Nichto v sravnenii s tvoej bolezn'yu.
                    O styd, gde tvoj spasitel'nyj rumyanec?..
                    Da, eto - ad.
                    Neuzhto vdov'i kosti stol' uprugi,
                    CHto radi molodogo isstuplen'ya
                    Ty dobrodetel' predpochla rashitit'
                    I rastochit', i rastopit', kak vosk?..
                    I esli slovo obzhigat' sposobno,
                    Priznajsya, ne stydyas', chto ty sgoraesh'
                    V ob®yat'yah sobstvennogo nenasytstva,
                    I razum tvoj - vsego lish' ushlyj svodnik
                    Tvoej zhe pohoti.

                                  Koroleva

                                      Ne nado, Gamlet!
                    Ty vyvernul mne zren'e naiznanku.
                    YA zaglyanula vglub' moej dushi
                    I nichego ne vizhu, krome pyaten,
                    Stol' chernyh, chto i cveta ne izmenyat,
                    Kak ni smotri...

                                   Gamlet

                                      Net, slushajte menya!
                    Kak mozhno spat' v zasalennoj posteli,
                    ZHit' v sladostrastnoj merzosti, v gnien'i
                    Lyubovnyh istorzhenij!..

                                  Koroleva

                                           Zamolchi!
                    Tvoi slova ostree, chem kinzhaly.
                    Dovol'no, milyj Gamlet!

                                   Gamlet

                                            On - ubijca,
                    Zlodej, ne stoivshij odnoj dvuhsotoj
                    Togo, kto pervym vashim muzhem byl.
                    Sredi izvestnyh miru gosudarej
                    On - olicetvorenie poroka,
                    Vor, pokusivshijsya zalezt' vo vlast',
                    Styanuvshij s polki datskuyu koronu
                    I sunuvshij ee v karman.

                                  Koroleva

                                            O, Gamlet!..

                                   Gamlet

                    Korol' zaplat, loskutnyj samoderzhec,
                    Figlyar na trone!...

                          Vhodit Prizrak v halate.

                                        |j, syuda, syuda!
                    Nakroj menya, nebesnyj moj hranitel',
                    Svoim krylom, otvet' mne, chto mne delat'?

                                  Koroleva

     Uvy, on i vpryam' bezumen.

                                   Gamlet

                    A, ty prishel, chtoby menya rugat',
                    Prishel kaznit' medlitel'nost' synov'yu,
                    Lish' potomu prishel, chto ya pozvolil
                    ZHelezu raskalennomu ostyt'?
                    Skazhi!..

                                  Prizrak

                              Ne zabyvajsya. YA prishel
                    Zatem, chtoby eshche raz ottochit'
                    Tvoi nameren'ya. No poglyadi na mat' -
                    Ona v otchayan'i. Voobrazhen'e
                    Vsego sil'nej u teh, kto telom slab.
                    Vstan' mezhdu neyu i ee dushoj.
                    Zagovori s nej, Gamlet!

                                   Gamlet

                    CHt_o_ s vami, gospozha?

                                  Koroleva

                                         Uvy, cht_o_ - s vami?
                    Vy ustremili ochi v pustotu
                    I govorite s vozduhom besplotnym,
                    A v shiroko raspahnutyh glazah
                    Igrayut besy vashego bezum'ya,
                    I vashi volosy, nu tochno zhizn'
                    V ee zhe isprazhnen'yah, shevel'nulis',
                    Kak soldatnya, ulozhennaya pivom,
                    I povskakali, budto uslyhali
                    Signal truby. O, milyj syn, skorej
                    Prolej prohladu samoobladan'ya
                    Na plamya sumasshestviya. Kuda
                    Ty smotrish'?

                                   Gamlet

                                  Nu, konechno, na nego.
                    Smotrite, kak on bleden. Esli b on
                    YAvilsya propovedovat' kamnyam -
                    To i u nih zagovorila b sovest'.
                    ...Otec, ne nado tak glyadet', ne to
                    Razbudish' ty ne muzhestvo, a zhalost'.
                    I s chem zhe ya togda ostanus', papa?
                    Rastaet ledyanaya eta glyba,
                    I ya ne sdelayu togo, chto dolzhen.
                    ...A vmesto krovi - slezy potekut.

                                  Koroleva

                    Komu ty eto govorish'?

                                   Gamlet

                                           Vy chto,
                    Tam nikogo ne vidite?

                                  Koroleva

                                           YA vizhu
                    Odno nichto.

                                   Gamlet

                    I nichego ne slyshite?

                                  Koroleva

                                          YA slyshu
                    Lish' nashi golosa...

                                   Gamlet

                                        Tuda smotrite!
                    Uhodit... I odet on, kak kogda-to...
                    On tol'ko zdes' yavlyalsya v etom plat'e...
                    Smotrite, on uzhe v proeme dveri!..

                             Prizrak ischezaet.

                                  Koroleva

                    Vot obrazec boleznennyh fantazij,
                    Myatezhnyj duh bessonnyh ekzal'tacij,
                    Ves'ma, ves'ma opasnyh...

                                   Gamlet

                                             |kzal'tacij?
                    Ty hochesh' pul's poshchupat'? Ubedis',
                    CHto on moyu podderzhivaet zhizn',
                    Otschityvaya muzyku zdorov'ya
                    Stol' zhe razmerenno, kak tvoj - tvoyu.
                    Net, eto ne bezumie vedet
                    Menya v puchinu ispytanij, mama!
                    Ty mozhesh' ispytat' menya sama:
                    YA izlozhu tebe lyuboe delo,
                    Ne prygaya s predmeta na predmet.
                    Bezumnye takogo ne umeyut.
                    No, radi Boga, tol'ko ne pytajsya
                    Lechit' primochkami samoobmana
                    Svoj greh. Podsohnet chut' - no vse ravno
                    Dyhanie tvoe zarazno budet.
                    ...Vam nado ispovedovat'sya Nebu.
                    Za proshloe svoe pokajtes' i
                    Osteregajtes' budushchih soblaznov.
                    Vypalyvajte sornuyu travu,
                    I plevelam ne razrastis' na gryadke.
                    ...A mne prostite propoved' moyu.
                    V nash vek, gordyashchijsya svoim dostatkom,
                    Dobro dolzhno prisluzhivat' poroku
                    I vsyakij raz proshcheniya prosit'.

                                  Koroleva

                    O, Gamlet, ty mne serdce razrubil...

                                   Gamlet

                    Otbros'te proch' gniluyu polovinu.
                    Dlya zhizni vashej hvatit toj, drugoj.
                    Spokojnoj nochi! Tol'ko ne lozhites'
                    V postel' k moemu dyade. Esli net
                    V vas dobrodeteli, - hot' pritvorites'.
                    Privychka - vot chudovishche. Ona
                    Szhiraet vsyakoe zhivoe chuvstvo,
                    No etot d'yavol stanet angelochkom,
                    Kogda my podchinyaemsya ukladu
                    Estestvennosti da i postupaem
                    Po sovesti. Privychka?.. CHto zh, privychka
                    Dlya dobryh chelovecheskih deyanij
                    Udobna, kak dobrotnaya odezhda.
                    Kogda uderzhites' segodnya noch'yu -
                    Nazavtra legche budet uderzhat'sya,
                    A poslezavtra i sovsem legko.
                    Privychka v sostoyanii slomat'
                    Pechat' prirody - ili priyutit'
                    Nechistogo, ili prognat' ego.
                    Eshche raz - dobroj nochi... A kogda
                    Vy stanete iskat' blagosloven'ya,
                    Pridu, chtob vy menya blagoslovili.
                        (ukazyvaet na telo Poloniya)
                    Ob etom lorde ochen' sozhaleyu.
                    Raskaivayus'. Nebesa hoteli
                    I nakazat' ego cherez menya,
                    I nakazat' menya za nepokornost'.
                    YA za soboyu eto uberu
                    I otyshchu hranilishche poluchshe.
                    Za etu smert' pridetsya mne otvetit'.
                    I vnov' - spokojnoj nochi... Da, ya dolzhen
                    ZHestokim byt', chtob ostavat'sya dobrym.
                    Uzhasnoe nachalo, no eshche
                    Uzhasnej to, chto spryatano vo mrake.
                    ...Eshche dva slova, gospozha moya!..

                                  Koroleva

                    Skazhi, chto delat' mne?

                                   Gamlet

                    Ni v koem sluchae togo ne delat',
                    O chem ya tolkoval tebe polnochi.
                    Tvoj dolg - p'yanchuzhke-korolyu pozvolit'
                    Uvlech' sebya v postel' (i pust' postavit
                    Bol'shoj zasos na rozovuyu shchechku!),
                    Za paru pocelujchikov otdat'sya
                    Emu vnaem na parochku minut
                    I za prikosnoven'e k nezhnoj shejke
                    Otkryt', chto nikakoj ya ne bezumnyj,
                    No tol'ko pritvoryayus' takovym.
                    YA uveryayu - eto on ocenit.
                    Nu razve mozhno mudroj koroleve,
                    Prekrasnoj, skromnoj, nezhnoj koroleve,
                    Skryvat' stol' gosudarstvennuyu tajnu
                    Ot zhaby, ot parshivogo kota?
                    O, net! Idite poperek rassudka,
                    Kak znamenitaya ta obez'yana,
                    S korzinoj, polnoj ptic, top-top na kryshu,
                    I - pust' letyat! A posle zapolzite
                    V korzinu i - pryg-skok! - svernite sheyu.

                                  Koroleva

                    Ne bojsya. Esli slovo sozdaetsya
                    Dyhaniem, nu a dyhan'e - zhizn'yu,
                    To zhizni-to kak raz vo mne i net.
                    I neotkuda mne nabrat'sya duhu,
                    CHtoby uslyshannoe povtorit'.

                                   Gamlet

                    YA dolzhen ehat' v Angliyu. Vam eto
                    Izvestno?

                                  Koroleva

                               Bozhe, ya sovsem zabyla!
                    Tut ya bessil'na...

                                   Gamlet

                                       Pis'ma skrepleny
                    Pechatyami. Tovarishchi moi,
                    Dva byvshih odnoklassnika, kotorym
                    YA doveryayu tak zhe, kak gadyukam,
                    Vezut reskript, ukazyvaya put'
                    Kratchajshij - v zapadnyu.
                    Puskaj potrudyatsya. Vsego smeshnee -
                    Rvanut' sapera na ego zhe mine.
                    YA dolzhen nizhe vzyat' na celyj yard
                    I svoj podkop tak podvesti, chtob sdulo
                    Ih na Lunu. O, eto naslazhden'e
                    Ispytyvat' na uzen'koj dorozhke
                    Protivnika, smotrya glaza v glaza!
                      (naklonyaetsya nad telom Poloniya)
                    Pohozhe, etot gospodin prikazhet
                    Mne potoraplivat'sya. Ottashchu
                    Meshok kishok v sosednyuyu kletushku.
                    A vot teper' i vpryam' - spokojnoj nochi.
                    ...Kak tih i skromen etot soglyadataj,
                    A ved' pri zhizni byl boltliv i glup.
                    Ser, podnimajtes', nam pora na vozduh.
                    Spokojnoj nochi, mama!
                          (Uhodit, unosya Poloniya.)


                                  Scena 7

    Komnata korolya. Vhodyat korol', koroleva, Rozenkranc i Gil'denstern.

                                   Korol'

                    Opyat' vse to zhe... |ti ohi, vzdohi...
                    Tak v chem prichina nyneshnej pechali?
                    I, kstati, gde vash syn?

                                  Koroleva

                    Ostav'te nenadolgo nas odnih.

                     Rozenkranc i Gil'denstern vyhodyat.

                    O, chto segodnya ya perezhila!

                                   Korol'

                    V chem delo? Snova Gamlet?

                                  Koroleva

                                             On bezumen,
                    Kak more s bureyu, kogda oni
                    Dokazyvayut, kto iz nih glavnee.
                    Uslyshav shevelen'e za kovrom,
                    Vskrichal "Zdes' krysa!" i svoeyu shpagoj
                    V bezuderzhnom pripadke zakolol
                    Togo, kto tam skryvalsya...

                                   Korol'

                                              A ved' tam
                    I my mogli stoyat'... Da, on opasen
                    Dlya nas, dlya vas i voobshche dlya vseh.
                    Ne znayu, chto ya dolzhen predprinyat'...
                    Molva pripishet nam ego postupok,
                    A my i v samom dele vinovaty,
                    Ved' sledovalo obuzdat' bezumca
                    I udalit' podal'she ot lyudej...
                    No my ego lyubili toj lyubov'yu,
                    Kotoraya sil'nee, chem rassudok,
                    I ne hoteli v etom priznavat'sya,
                    Nu, tochno te, kotorye stradayut
                    Durnoj bolezn'yu, i, boyas' oglaski,
                    Ee podpityvayut svezhej krov'yu.
                    Kuda zhe on napravilsya?

                                  Koroleva

                                           Pones
                    Ubitogo, daby samo bezum'e,
                    Podobno zolotu, chto vystupaet
                    Nad chernoj gushchej nizkogo metalla,
                    Poplakat' nad sodeyannym moglo.

                                   Korol'

                    Pojdem, Gertruda! Solnce ne uspeet
                    Kosnut'sya gor, kak my ego sprovadim.
                    Korabl' gotov. Teper' nash dolg - pokryt'
                    CHudovishchnoe eto prestuplen'e,
                    Ispol'zuya vse to, chem obladaem, -
                    I status nash monarshij, i iskusstvo
                    Povelevat'... Otyshchem opravdan'e
                    Ubijstvu etomu. |j, Gil'denstern!

                     Vhodyat Rozenkranc i Gil'denstern.

                    Druz'ya, stupajte i voz'mite v pomoshch'
                    Kogo-nibud' eshche. Bezumec Gamlet
                    Ubil Poloniya i uvolok
                    Ego kuda-to... Razyshchite princa
                    Da potolkujte s nim pootkrovennej.
                    A telo spryach'te gde-nibud' v chasovne.
                    Proshu ne medlit'.

                     Rozenkranc i Gil'denstern uhodyat.

                                       Nam pora, Gertruda.
                    My soberem mudrejshih iz mudrejshih,
                    Rasskazhem, chto hoteli predprinyat',
                    I chto segodnya protiv nashej voli
                    Nesvoevremenno proizoshlo.
                    I shepotok, kotoryj, kak iz pushki,
                    Iz zherla nedr pryamoyu b'et navodkoj
                    Muchitel'nym i smradnym izverzhen'em,
                    Vzoshedshim po diametru zemli, -
                    Prosvishchet mimo imeni monarha
                    I porazit neuyazvimyj vozduh.
                    Pojdem. Dusha moya polna smushchen'ya
                    I straha.
                                 (Uhodyat.)


                                  Scena 8

                      Komnata Gamleta. Vhodit Gamlet.

                                   Gamlet

                    ...Ukryt v ukromnom meste.

                         Rozenkranc i Gil'denstern

                    Princ Gamlet! Gamlet!..

                                   Gamlet

                    Potishe!.. Kto tam Gamleta zovet?
                    ...Vot i pozhalovali.

                     Vhodyat Rozenkranc i Gil'denstern.

                                 Rozenkranc

                    Milord, kuda vy spryatali ostanki?

                                   Gamlet

                    Poblizhe k isprazhnen'yam, ved' oni
                    V rodstve...

                                 Rozenkranc

                    Izvol'te iz®yasnyat'sya potochnee.
                    Nam nado prah perenesti v chasovnyu.

                                   Gamlet

                    Ne ver'te etomu.

                                 Rozenkranc

                                      CHemu ne verit'?

                                   Gamlet

     Tomu,  chto  ya svoyu otkroyu tajnu, a vashu ne raskroyu. Razve mozhet derzhat'
otvet pered kakoj-to gubkoj syn korolya?

                                 Rozenkranc

     Itak, milord, ya, po-vashemu, - gubka?

                                   Gamlet

     A  kak,  milord,  po-vashemu nazvat' togo, kto lovko vpityvaet milost' i
vlast', i vse, chto ot nee ishodit? Vy d'yavol'ski polezny korolyu! Korol' ved'
ne  glupee  obez'yany,  a  ta  taskaet gubku za shchekoj: zahochet pit' - nadavit
yazykom, nu i nap'etsya sobstvennoj slyunoyu.

                                 Rozenkranc

     Milord, ya vas ne ponimayu.

                                   Gamlet

     Iskrenne rad. Tonkaya rech' v tolstom uhe zastryanet.

                                 Rozenkranc

     Soobshchite, ser, gde nahoditsya telo, i my provodim vas k korolyu.

                                   Gamlet

     Telo pri korole, no korol' ne pri tele. Korol' - eto rol'.

                                Gil'denstern

     Kakaya eshche rol', milord?

                                   Gamlet

     Poslednyaya.  Vedite  menya k nemu. Lisica, gde tvoya nora? Ohotnik edet so
dvora.
                                 (Uhodyat.)


                                  Scena 9

                   Komnata korolya. Vhodyat korol' i svita.

                                   Korol'

                    Najdut ego, nu i otyshchut telo.
                    Na vole etot gospodin opasen.
                    Odnako nam nel'zya ego sudit',
                    Kak trebuet zakon, ved' on lyubim
                    Tolpoyu bezrassudnoj, dlya kotoroj
                    Glaza kuda vazhnee, chem mozgi.
                    Ih ne volnuet mera prestuplen'ya,
                    No vpechatlyaet tyazhest' nakazan'ya.
                    I chtoby vse proshlo, kak my hotim,
                    Ego otpravku sleduet gotovit'.
                    Tak porazhennyj organ otsekayut
                    Ili ne lechat vovse.

                             Vhodyat Rozenkranc.

                                         Kak uspehi?

                                 Rozenkranc

                    Kuda on spryatal trup - ne govorit.
                    Molchit, kak ryba, ser.

                                   Korol'

                                            Molchit? No gde?

                                 Rozenkranc

                    Za dver'yu. On pod strazheyu i zhdet
                    Reshen'ya vashego.

                                   Korol'

                                     Vvedite princa.

                                 Rozenkranc

                    Ho, Gil'denstern, vedi ego syuda!

                       Vhodyat Gamlet i Gil'denstern.

                                   Korol'

     Gamlet, gde Polonij?

                                   Gamlet

     Na uzhine.

                                   Korol'

     Na kakom uzhine?

                                   Gamlet

     Ne  na  tom, gde on est, a na tom, gde ego edyat. Za nego vzyalas' partiya
politicheskih  chervej. CHerv' - edinstvennyj v mire imperator. My otkarmlivaem
zhivotnyh,  chtoby samim prokormit'sya, a sebya otkarmlivaem dlya chervej. S tochki
zreniya  chervya,  i  zhirnyj  korol',  i  toshchij nishchij - vsego tol'ko dva raznyh
blyuda. No s odnogo stola. Takov itog.

                                   Korol'

     Uvy, uvy.

                                   Gamlet

     Mozhno  udit'  na chervya, kotoryj el korolya, i v rezul'tate pojmat' rybu,
kotoraya proglotit chervya.

                                   Korol'

     CHto ty hochesh' etim skazat'?

                                   Gamlet

     Ne  skazat',  a  pokazat',  kakim obrazom korol' mozhet proshestvovat' po
kishkam oborvanca.

                                   Korol'

     Gde Polonij?

                                   Gamlet

     Na  Nebe.  Poshlite  kogo-nibud',  kogda  ne  verite.  Esli  ego  tam ne
okazhetsya,  znachit,  emu  tam  i ne mesto. A ne najdete za mesyac, on sam sebya
vydast, kogda pojdete v perednyuyu po lestnice.

                                   Korol'

     Stupajte pod lestnicu. Da zhivo!

                                   Gamlet

     Da net, on navernyaka dozhdetsya.

                     Neskol'ko chelovek iz svity uhodyat.

                                   Korol'

     Gamlet,  radi tvoej zhe bezopasnosti, kotoraya stol' zhe nam doroga, skol'
i   priskorben  tvoj  prostupok,  ty  dolzhen  bezhat'  otsyuda  bystree  ognya.
Snaryazhajsya  - i v put'. Korabl' pod parusami. Sputniki gotovy. V Anglii tebya
zhdut.

                                   Gamlet

     V Anglii?

                                   Korol'

     Da, Gamlet.

                                   Gamlet

     Horosho.

                                   Korol'

     Ty mog by tak skazat', esli b videl nashi namereniya.

                                   Gamlet

     YA  vizhu  angela,  kotoryj  ih vidit. Ladno, pust' - v Angliyu. Proshchajte,
matushka.

                                   Korol'

     YA - tvoj lyubyashchij otec, Gamlet.

                                   Gamlet

     V  konechnom  schete,  -  mat'.  Otec  i mat', - muzh i zhena. Muzh i zhena -
edinaya plot'. Good bye, mama. YA uehal.

                                   Korol'

                    Posledujte za nim, poka ne pozdno.
                    Ne pozzhe vechera on otplyvet.
                    Prikazyvayu vam potoropit'sya.
                    Stupajte! |to delo resheno.

                     Rozenkranc i Gil'denstern uhodyat.

                    Korol' Anglijskij, ezheli ty cenish'
                    Moe raspolozhenie, a eto,
                    Priznat'sya, tak i est', i vlast' moya
                    Dostatochna, chtoby tebe napomnit',
                    Skol' svezh rubec ot datskogo mecha,
                    K tomu zhe ty vykazyval pokornost'
                    Ispolnit' vse, chto my tebe velim,
                    Tak vot, ispolni nashe predpisan'e:
                    Ubej ego. Ty dolzhen eto sdelat',
                    Korol' Anglijskij. Sdelaj - i skorej.
                    Odna lish' mysl' o nem - i zakipaet
                    Vo mne goryachka. Isceli menya.
                    Poka ya ne uznayu, chto on mertv,
                    Udacha mne soputstvovat' ne budet.
                                 (Uhodit.)


                                  Scena 10

                              Ravnina v Danii.
          Vhodyat Fortinbras i kapitan, za nimi norvezhskie vojska.

                                 Fortinbras

                    Stupajte i skazhite korolyu,
                    CHto Fortinbras privetstvuet ego
                    I prosit podtverzhdeniya na pravo
                    Svobodnogo prohoda. Vam izvestno,
                    Gde vy menya dogonite. A esli
                    Ego Velichestvu neobhodimo
                    So mnoyu govorit', to my gotovy
                    I lichno zasvidetel'stvovat' nashe
                    Pochtenie. Skazhite i ob etom.

                                  Kapitan

                    Budet ispolneno.

                                 Fortinbras

                    My ne toropimsya, no prodolzhaem
                    Dvizhenie...

                        Fortinbras i soldaty uhodyat.
                 Vhodyat Gamlet, Rozenkranc i Gil'denstern.

                                   Gamlet

                                   CH'e eto vojsko, ser?

                                  Kapitan

     Norvezhskoe, ser.

                                   Gamlet

     I kuda ono sleduet?

                                  Kapitan

     V Pol'shu, ser.

                                   Gamlet

     I kto vedet ego?

                                  Kapitan

                    Vedet plyamyannik starogo Norvega
                    Princ Fortinbras.

                                   Gamlet

                                      Tak eto protiv Pol'shi?
                    Vsej Pol'shi?

                                  Kapitan

                                   Da pozhaluj chto ne vsej.
                    Skazat' po pravde, tot klochok zemli
                    Ne stoit dazhe svoego nazvan'ya,
                    YA, naprimer, ne dam pyati dukatov,
                    Da-da - pyati, chtob vzyat' ego vnaem.
                    Prodat' ego - i to sebe dorozhe
                    I nam, i korolyu polyakov.

                                   Gamlet

                                               Znachit,
                    Korol' ne stanet zashchishchat' ego.

                                  Kapitan

                    Vot imenno, chto stanet. Tam teper'
                    Ego vojska.

                                   Gamlet

                                Itak, dve tyshchi dush
                    I dvadcat' tyshch dukatov - dlya togo,
                    CHtob tol'ko dokazat', chto ty sil'nee.
                    Takov nalog na roskosh' mirnoj zhizni,
                    Gnojnik, ne vyhodyashchij cherez kozhu,
                    No porazhayushchij nas iznutri.
                    Blagodaryu vas, ser.

                                  Kapitan

                                         Hrani vas Bog!
                                  (uhodit)

                                 Rozenkranc

                    Milord, vy razreshite put' prodolzhit'?

                                   Gamlet

                    Stupajte. YA sejchas vas dogonyu.

                        Vse, krome Gamleta, uhodyat.

                    Unyluyu prishporivayut mest'
                    Vse obstoyatel'stva, kakie est'.
                    CHto - chelovek, kogda lish' est da p'et?
                    Domashnee zhivotnoe, ne bole.
                    YA zagnan v ugol, kak poslednij skot,
                    I ne gozhus' dlya otvedennoj roli.
                    No Tot, kotoryj nas i nagradil
                    Umen'em myslit' i stremit'sya k celi,
                    Ne dlya togo potratil stol'ko sil,
                    CHtoby dary ego zaplesneveli.
                    ZHivotnoe bespamyatstvo moe...
                    A, mozhet, trusost' - s samogo nachala
                    Stal'noe ottochila ostrie
                    I smysl otmshcheniya chetvertovala.
                    YA sam ne znayu, dlya chego zhivu -
                    Takoj raschetlivyj, takoj umelyj! -
                    Tverzhu sebe vo sne i nayavu.
                    "Ty dolzhen eto sdelat'!"... Nu tak delaj.
                    Primerov - t'ma. Oni vpolne gruby
                    I zrimy. Vot vosled za yunym princem
                    Pod zvuki barabana i truby
                    Pehota tashchitsya k chuzhim granicam.
                    Ee vedet izyashchnyj mal'chugan.
                    CHto vperedi? Pobeda? Porazhen'e?
                    Bozhestvennym tshcheslav'em obuyan,
                    Myatezhnyj duh ne vedaet somnen'ya.
                    Nu i pojdet do samogo konca
                    Za-radi vyedennogo yajca.
                    Dostoinstvo, dolzhno byt', v tom i est',
                    CHtob popustu ne vvyazyvat'sya v ssoru,
                    No esli uzh zadeta nasha chest' -
                    Dostojno iz sorinki sdelat' goru.
                    Otec ubit. ZHivet v postydstve mat'.
                    A ya vse prodolzhayu rassuzhdat'.
                    CHto smert'? Vsego lish' smert'. V konce koncov
                    Kakim stydom za etot styd zaplatim?
                    Idut za slavoj dvadcat' tyshch samcov
                    K svoim mogilam, kak k chuzhim krovatyam.
                    Na tot klochok zemli idut vojnoj,
                    Gde negde razletet'sya dvum kartecham.
                    Pril'nut mogily ih odna k odnoj,
                    Odnako i zasypat' budet nechem.
                    Ne dlya pustoj potehi, ne dlya slavy -
                    Da budut moi pomysly krovavy,
                    Ili voobshche ne budet nikakih.
                                 (Uhodit.)

                               Konec II akta




                                  Scena 1

                 Komnata korolya. Vhodyat koroleva i Goracio

                                  Koroleva

                    Besedovat' ya s neyu ne hochu.

                                  Goracio

                    Ona nesnosna. Pristaet ko vsem,
                    Boyus', chto eto trebuet uchast'ya.

                                  Koroleva

                    Tak chto ej nuzhno?..

                                  Goracio

                    Vse ee rechi - tol'ko ob otce.
                    Tverdit, chto mirom upravlyaet podlost',
                    V serdcah fyrchit, nevest' chego bormochet,
                    V revnivom zabyt'i solomu topchet.
                    Nevnyatica ee napolovinu
                    Bessmyslenna... Odnako pustotu
                    Vsyak zapolnyaet myslyami svoimi.
                    Poka ej vnemlyut i zapominayut,
                    I k sobstvennym pristegivayut myslyam
                    Ee grimasy, zhesty i pryzhki...

                                  Koroleva

                    V ozloblennyh umah ee posev
                    Ves'ma opasen. Pust' ona vojdet.

                              Goracio vyhodit.

                                       Bol'noj moej dushe,
                    Grehovnoj po samoj svoej prirode,
                    Lyubaya meloch' kazhetsya prologom
                    K neschast'yu. Oshchushchenie viny
                    Privodit k podozritel'nosti glupoj.
                    Kogda boish'sya dushu raspleskat',
                    Togda uzh nepremenno i raspleshchesh'.

                         Vhodyat Goracio i Ofeliiya.

                                   Ofeliya

                    Svetlejshee velichestvo, au!

                                  Koroleva

                    Ofeliya, ty kak?

                                   Ofeliya
                                   (poet)

                    Ah, kak mne milogo uznat',
                    Kogda projdet on mimo?
                    A po klyuke v ego ruke
                    I shlyape piligrima...

                                  Koroleva

     CHto oznachaet tvoya pesenka?

                                   Ofeliya

     Skazat' vam? Net, poslushajte eshche:
                                   (poet)
                    On umer, ledi, on ushel,
                    Ushel - uvy i ah! -
                    V nogah ego zelenyj kust
                    I kamen' v golovah.

                                  Koroleva

     Ne nado, Ofeliya, proshu vas!

                                   Ofeliya

     Togda druguyu...
                                   (poet)
                    Bel ego pokrov, kak sneg v gorah...

                               Vhodit korol'.

                                  Koroleva
                                  (korolyu)

     O Gospodi! Uvy, milord, vzglyanite!

                                   Ofeliya
                                   (poet)

                    On lezhit, pritihshij, ves' v cvetah.
                    V teh cvetah, chto v grob ne polozhili
                    I dozhdyami slez ne orosili...

                                  Koroleva

     Kak vy sebya chuvstvuete, prekrasnaya ledi?

                                   Ofeliya

     Horosho, blagoslovi vas Bog! Vy znaete, chto sova byla docher'yu bulochnika?
Bozhe  moj,  my  znaem,  kto  my  est', no ne znaem, kem mozhem stat'. Gospod'
blagoslovit vashu trapezu.

                                   Korol'

     |to ona ob otce.

                                   Ofeliya

     Proshu vas, ne nado etogo kasat'sya. A esli sprosyat, skazhite vot chto:
                                   (poet)

                        Vstrechala Valentinov den'
                        YA pod tvoim oknom.
                        Hotela valentinku vzyat'
                        I ubezhat' potom.

                        No ty u dveri podstereg,
                        I devushkoj vojdya,
                        Uzhe ne devushkoj, druzhok,
                        Ushla ya ot tebya...

                                   Korol'

     Prekrasnaya Ofeliya!..

                                   Ofeliya

     Vzyal pervuyu notu - i konec. YA pokonchu s etim.
                                   (poet)

                        Kak stydno lyudyam molodym
                        Tak s nami postupat'!
                        Kogda ty devushkoj lyubim,
                        Pri chem zhe tut krovat'?

                        Ne znaya, chto takoe styd,
                        Hotyat lish' odnogo!..
                        Puskaj Iisus ego prostit.
                        A mne ne zhal' ego.

                        Vchera ty zamuzh zval menya,
                        No govorish' teper',
                        CHto ya sama, da-da, sama
                        I postuchala v dver'.

                                   Korol'

     Davno ona edak?

                                   Ofeliya

     Nadeyus',  vse  budet  horosho. Nado tol'ko poterpet'. No kak ne plakat',
kogda  ego  polozhat  v holodnuyu zemlyu? Moj brat Dolzhen ob etom uznat'. On ob
etom  uznaet. Spasibo vam za premudrost'. Pojdem, moya kareta. Pokojnoj nochi,
ledi. Pokojnoj nochi, milye ledi. Pokojnoj nochi, pokojnoj nochi.
                                  (uhodit)

                                   Korol'

                    Posledujte za neyu po pyatam.
                    Proshu vas!..

                              Goracio vyhodit.

                                  Bez somnen'ya, eto yad
                    Ee pechali. Smert' ee otca
                    Tomu vinoj. Gertruda, o Gertruda,
                    Neschast'ya ne prihodyat v odinochku,
                    Podobno nashim bditel'nym shpionam,
                    No valyat batal'onami. Snachala
                    Ubit ee otec. Potom tvoj syn
                    Pokinul nas... Odin svirepyj avtor
                    Tasuet etu gryaznuyu kolodu
                    Iz pomyslov i umyslov opasnyh.
                    My dali mahu, tajno zakopav
                    Dobrejshego Poloniya. Teper'
                    Ego bednyazhka-doch' razluchena
                    Sama s soboyu i so zdravym smyslom,
                    Bez koego my lish' izobrazhen'ya
                    ZHivyh lyudej, nu a po suti - zveri.
                    I, nakonec, - eshche odna beda,
                    Ona pokruche prochih. Iz Parizha
                    Laert vernulsya i ne kazhet nosa,
                    No brodit gde-to ryadom. Govoryat,
                    CHto on mrachnee tuchi. Vkrug nego
                    Zlovrednye royatsya sheptuny.
                    Boyus', chto mozg ego uzhe otravlen
                    Rasskazami o gibeli otca.
                    Kto nichego i ni o chem ne znaet,
                    Sil'nee prochih vlasti oblichaet.
                    Molva, kak yadovitaya zmeya,
                    Polzet iz ust v usta, iz uha v uho.
                    Gertruda, o Gertruda, eto vse
                    Ves'ma pohozhe na razryv kartechi...
                    Desyatki ran, i kazhdaya smertel'na.
                              (shum za scenoj)

                                  Koroleva

                    CHto tam za shum?

                                   Korol'

                                     Kuda shvejcarcy delis'?
                    Derzhite dveri!..

                              Vbegaet Goracio.

                                  Goracio

                    Milord, spasajtes'! Dazhe okean,
                    Kogda iz beregov svoih vyhodit,
                    S takoyu skorost'yu ne pozhiraet
                    Ravninu, kak Laert s ego tolpoj
                    Sminaet vashu strazhu. |ta chern'
                    Ego provozglasila gosudarem,
                    Kak budto mir edva lish' narodilsya,
                    I net ustoev, i zabyt obychaj,
                    I ne dlya nih napisany zakony.
                    Oni krichat "Laerta - v koroli!",
                    "Laert - korol'!" i prochee. Ih shapki,
                    Ih yazyki i ruki - dazhe vyshe,
                    CHem oblaka... "My izberem Laerta!",
                    "Nash gosudar' - Laert!"

                                  Koroleva

                                             Kakoe rven'e!
                    Unyuhali vtihuyu lozhnyj sled
                    Psy datskie i nachali brehat'.
                    Atu! Vy vzyali storonu ne tu!
                              (shum za scenoj)

                                   Korol'

                    Oni vzlomali dver'.

                       Vhodit Laert, za nim datchane.

                                   Laert

                    Nu, gde etot korol'? Vy, gospoda,
                    Ostan'tes' tam.

                                  Datchane

                                    Net! Net! Idti, tak vmeste.

                                   Laert

                    YA umolyayu vas: pozvol'te mne!

                                  Datchane

                    Kak znaete...

                                   Laert

                    Blagodaryu vas. Ohranyajte dver'.
                    Ty, gnus' i negodyaj, otca otdaj!

                                  Koroleva

                    Spokojnee, Laert!

                                   Laert

                                       Kogda v sebe
                    YA otyshchu vsego odnu lish' kaplyu
                    Spokojstviya, pust' krov' moya ob®yavit
                    Laerta vyblyadkom, ego otca -
                    Pervejshim rogonoscem, i puskaj
                    Na nezapyatnannom chele moej
                    Usopshej materi - mezhdu brovej,
                    Vot pryamo zdes'! - klejmo prostupit
                    Deshevoj shlyuhi...

                                   Korol'

                                     Nu i v chem prichina,
                    Laert, chto etot tvoj myatezh pohozh
                    Na obrechennyj zagovor titanov?
                    Molchish'?.. Gertruda, daj emu projti.
                    Za nas ne bojsya. Blagodat' korony
                    Stol' bezgranichna, chto izmena mozhet
                    Lish' tol'ko mel'kom cel' svoyu uzret',
                    Na bol'shee ee uzhe ne hvatit.
                    Tak chem zhe ty vzvolnovan? Otpusti
                    Ego, Gertruda. Govori, Laert.

                                   Laert

                    Gde moj otec?

                                   Korol'

                                  On umer.

                                  Koroleva

                                             No ego
                    Ubil ne on!

                                   Korol'

                                 Pust' zadaet voprosy.

                                   Laert

                    On umer?.. Da?.. A kak?.. YA ne pozvolyu
                    Menya morochit'! K chertu dolg i vernost'
                    Monarhu, k chernym d'yavolam - prisyagu,
                    A sovest' vmeste s vashej blagodat'yu -
                    V geennu ognennuyu! I plevat'
                    Na dushu! YA otkryto zayavlyayu,
                    CHto ni vo chto ne stavlyu etot mir,
                    A ravno i zagrobnyj. Bud' chto budet,
                    No za otca ya otomshchu dostojno.

                                   Korol'

                    I chto zh tebya ostanovit' sposobno?

                                   Laert

                    Odna lish' tol'ko volya. No moya,
                    A ne vselenskaya. I chtob vy znali, -
                    YA sobirayus' dejstvovat' stol' lovko,
                    CHto dazhe pri moih stesnennyh sredstvah
                    Dela pojdut. I ochen' daleko.

                                   Korol'

                    Moj dorogoj Laert! Kogda i vpryam'
                    Ty hochesh' znat' vsyu pravdu, neuzheli
                    YA dolzhen budu ubedit' sebya,
                    CHto mshchenie tvoe povelevaet
                    Krushit' i druga, i vraga?

                                   Laert

                                                 CHego?
                    YA dolzhen otomstit' vragam, i tol'ko.

                                   Korol'

                    I vy hotite znat' ih imena?

                                   Laert

                    Ego druz'yam ya raspahnu ob®yat'ya
                    I napoyu, podobno pelikanu,
                    Svoeyu krov'yu.

                                   Korol'

                                    Vot teper', Laert,
                    Ty s nami govorish' kak dobryj syn
                    I dobryj dvoryanin. Pover', chto ya
                    Niskol'ko ne vinoven v etoj smerti
                    I vozmushchen ne menee tebya.
                    So vremenem ty eto osoznaesh',
                    Poskol'ku eto slishkom ochevidno.

                                  Datchane
                                (za scenoj)

                    Puskaj ona vojdet.

                                   Laert

                    CHego tam rasshumelis'?

                               Vhodit Ofeliya.

                    O zhar otmshchen'ya! Issushi moj mozg
                    I semikratno slezy posoli,
                    I vyzhgi opostylevshee zren'e!
                    Sestrenka, za bezumie tvoe
                    YA broshu na vesy takuyu cenu,
                    CHto strelka otshatnetsya i zashkalit.
                    Buton volshebnyj, dobraya moya
                    Ofeliya, sestra moya nevesta!..
                    O Nebesa! Nu kak vy dopustili,
                    CHtob etot yunyj i prekrasnyj razum
                    Byl stol' zhe smerten, kak poslednij starec?
                    Venec prirody - zhenskaya lyubov',
                    I esli zhenshchina i vpryam' prekrasna, -
                    Priroda darit ej svoi plody,
                    Odarivaya samoe sebya.

                                   Ofeliya
                                   (poet)

                    Nesli ego s licom otkrytym,
                    Hej, non-nonni, hej, non-noni...
                    I slezy kapali pri etom,
                    Hej, non-nonni, hej, non-noni...

     Proshchaj, moj golub'!

                                   Laert

     Kogda  b  ty  byla v svoem ume i vzyvala k otmshcheniyu, ty ne sdelala by i
poloviny sdelannogo toboj.

                                   Ofeliya
                               (poet Laertu)

                    Ty dolzhen pet' vse nizhe, nizhe...
                    I zvat' ego vse nizhe, nizhe...
                    Vereteno zhuzhzhit, zhuzhzhit,
                    A doch' s privratnikom sbezhit.

                                   Laert

     |to bol'she, chem smysl.

                                   Ofeliya

     Vot rozmarin. |to na pamyat'. Proshu tebya, lyubimyj, - ne zabyvaj. A eto -
anyutiny glazki, chtoby ty smotrel i dumal.

                                   Laert

     Mudrost' - v bezumii. Bezumie - eto zhizn' v sobstvennoj pamyati.

                                   Ofeliya
                                  (korolyu)

     Dlya vas ukrop i vodosbor...
                                 (koroleve)
     Dlya  vas  ruta. I dlya menya. Ee zovut voskresnoj blagodatnoj travkoj. O,
vy  dolzhny  znat',  kak ee nosit'. |to margaritka. YA by eshche dala vam fialok,
no, kogda umer moj otec, oni uvyali. Govoryat, u nego byla legkaya smert'.
                                   (poet)

                    Slavnyj Robin, moj malysh, -
                    Vsya radost' moya.

                                   Laert

                    I dazhe iz puchiny preispodnej
                    Ona sposobna krasotu tvorit'!

                                   Ofeliya
                                   (poet)

                    Neuzheli ne vernetsya on?
                    Neuzheli ne vernetsya on?
                    Net, on umer, umiraj i ty,
                    Potomu chto ne vernetsya on.

                    Boroda ego, kak sneg bela.
                    Volosy ego, chto chistyj len.
                    Umer on i ne vernetsya on,
                    Plachem my o tom, chto umer on.

     Da  pomiluet  Gospod'  dushu  ego i dushi vseh hristian. Tol'ko ob etom i
molyu. Gospod' s vami!
                         (Uhodit, za nej Goracio.)

                                   Laert

                    Gospod', ty eto videl?

                                   Korol'

                    Laert, ya dolzhen s vami razdelit'
                    Bol'shoe vashe gore. Ili vy
                    Hotite otkazat' mne v etom prave?
                    Stupajte i pogovorite s kazhdym,
                    S kem vy sochtete nuzhnym govorit'.
                    Iz samyh mudryh i dostojnyh samyh
                    Vy sami izberete sudej, pust'
                    Oni rassudyat mezhdu mnoj i vami.
                    I ezheli vinu moyu dokazhut,
                    YA vam, Laert, vruchu moyu koronu,
                    Moyu derzhavu, zhizn' moyu i chest',
                    I vse, chto ya svoim nazvat' sposoben.
                    No esli net, - terpen'em odolzhite,
                    I my togda potrudimsya sovmestno,
                    CHtob vam vernut' pokoj.

                                   Laert

                                          Pust' dazhe tak.
                    No kak vy ob®yasnite mne prichinu
                    Otcovskoj smerti? Pohorony eti
                    Stol' tajnye, otsutstvie dospehov,
                    Mecha, a takzhe nashego gerba
                    I pochestej, i pyshnyh ceremonij?
                    Vse vopiet o tom, chto ya obyazan
                    Rassledovat' sodeyannoe.

                                   Korol'

                                             Vot!
                    Vy tak i postupite. I otnyne
                    Tam, gde otkryto budet prestuplen'e,
                    Padet topor moguchij palacha.
                    Teper' proshu posledovat' za mnoj.
                                 (Uhodyat.)

                   Vidimo, na etom meste byla intermediya:
 Ofeliya shla k staroj ive, a szadi shel tot, kogo korol' poslal "sledovat' za
                    nej po pyatam" {Remarka moya - A.CH.}.


                                  Scena 2

                  Komnata Goracio. Vhodyat Goracio i sluga.

                                  Goracio

                    I kto zhe govorit' so mnoyu hochet?

                                   Sluga

                    Matrosy, ser. Oni mne rasskazali,
                    CHto privezli vam pochtu.

                                  Goracio

                                             Pust' vojdut.

                               Sluga vyhodit.

                    Ne znayu, kto eshche vo vsej Vselennoj
                    Prishlet mne, krome Gamleta, privet?..

                              Vhodyat matrosy.

                               Pervyj matros

     Blagoslovi vas Gospod', ser!

                                  Goracio

     Ravno kak i vas.

                               Pervyj matros

     On  tak  i sdelaet ser. Konechno, esli togo zahochet. Tut pis'mo dlya vas,
ser,  ot  posla,  uehavshego v Angliyu. Kogda vy i pravda tot samyj Goracio, o
kotorom on mne stol'ko rasskazyval.

                                  Goracio
                                  (chitaet)

     "Goracio,  kak  prochtesh', provodi etih rebyat k korolyu. U nih pis'ma dlya
nego.  Na vtoroj den' za nami pognalsya horosho vooruzhennyj pirat. My ustupali
v  skorosti,  i  ponevole  prishlos'  stat'  hrabrecami.  Kogda  scepilis', ya
pereskochil  na  ih  bort. V tot mig oni otvalili, i ya okazalsya ih plennikom.
Dlya  dushegubov oni dazhe slishkom velikodushny. Teper' ya ih dolzhnik. Organizuj,
chtoby  korol'  poluchil  moi  pis'ma.  I  pospeshi ko mne tak, tochno bezhish' ot
smerti.  YA  shepnu  tebe  na  uho takoe, ot chego ty onemeesh'. Delo eto takogo
kalibra,  chto  lyubye  slova legkovesny. Rozenkranc i Gil'denstern prodolzhayut
put'  v  Angliyu.  O  nih ya dolzhen tebe mnogoe rasskazat'. Tvoj, kak eto tebe
izvestno, Gamlet".

                    Pojdemte, ser, i ya ustroyu tak,
                    CHto pochta popadet po naznachen'yu.
                    Ot vas zhe trebuetsya provodit'
                    Menya k tomu, kto eto napisal.
                                 (Uhodyat.)


                                  Scena 3

                   Komnata korolya. Vhodyat korol' i Laert.

                                   Korol'

                    Teper', ya polagayu, vasha sovest'
                    Udostoverit iskrennost' moyu.
                    Kak drug vojdu ya pryamo v serdce vashe,
                    Ved' uslyhali vy razumnym sluhom,
                    CHto tot, kto vashego ubil otca,
                    Uzhe ko mne podkradyvaetsya...

                                   Laert

                    YA dumayu, vy govorite pravdu.
                    No esli tak, otvet'te, otchego
                    Ego pod strazhu vy ne zaklyuchili?
                    Aresta trebovali zdravyj smysl
                    I bezopasnost', nu i voobshche...

                                   Korol'

                    Tut srazu dve osobye prichiny,
                    I obe dlya menya ves'ma vesomy.
                    Vo-pervyh, koroleva - eto mat',
                    I tem zhiva... YA zh, k moemu neschast'yu,
                    A, mozhet, k schast'yu, - tak privyazan k nej,
                    Kak zvezdy v nebesah k nebesnym sferam,
                    I kazhdoe dvizhenie moe
                    Zavisit ot ee raspolozhen'ya.
                    No est' eshche prichina, pochemu
                    Mne nevozmozhno dejstvovat' otkryto,
                    A imenno - lyubov' prostogo lyuda
                    K plemyanniku. Vse podloe soslov'e
                    V vostorge ot nego. V ego porokah
                    Oni dostoinstva podozrevayut.
                    Tak, pobyvav na dne, dubovyj stvol
                    Okameneet dazhe krepche kamnya.
                    Prostymi strelami ego ne vzyat'...
                    Otskochat - i vernutsya!..

                                   Laert

                                            V rezul'tate
                    YA poteryal otca, da i sestru,
                    Kotoraya umom i sovershenstvom
                    Byla vershinoj nashego stolet'ya.
                    YA otomshchu za eto...

                                   Korol'

                                         Uspokojtes'.
                    ZHivite tak, kak vy sebe privykli.
                    Ne dumajte, chto my podobny tryapke.
                    Tryasti ot straha potnoj borodoj -
                    Somnitel'noe vremyaprovozhden'e.
                    YA vse uzhe ustroil. Ochen' skoro
                    Vse vse uznayut... YA vsegda lyubil
                    I vashego otca, i samogo
                    Sebya. I potomu nadeyus',
                    CHto vy ostavite svoi somnen'ya.

                             Vhodit pridvornyj.

                    V chem delo!.. CHto sluchilos'?..

                                 Pridvornyj

                                              Dva pis'ma
                    Ot Gamleta. Vot - vam. Vot - koroleve.

                                   Korol'

                    Ot Gamleta?.. Da kto zhe ih dostavil?..

                                 Pridvornyj

                    Matrosy, ser. YA, vprochem, ih ne videl,
                    No Klavdio mne dolozhil o nih,
                    On s nimi i obshchalsya.

                                   Korol'

                                            Vot, Laert,
                    Poslushajte i vy...
                               (pridvornomu)
                                        Ostav'te nas!

                     Pridvornyj uhodit. Korol' chitaet:

     "Blagorodnyj  i  mogushchestvennyj!  Uznajte, chto menya vysadili nagishom na
bereg Vashego korolevstva. Zavtra ya budu prosit' milosti predstat' pred Vami.
Togda,  predvaritel'no  isprosiv  na  to  Vashego  soglasiya,  ya  povedayu  Vam
obstoyatel'stva moego vozvrashcheniya, stol' strannogo i vnezapnogo. Gamlet".

                    Kak eto ponimat'?.. A gde drugie?..
                    Zdes' est' obman...

                                   Laert

                                         Vy uznaete ruku?

                                   Korol'

                    On, tochno on... CHto znachit "nagishom"?..
                    A, tut eshche pripiska... "YA odin
                    Na dikom beregu"... Nu kak, poverim?...
                    CHto vy mne posovetuete?

                                   Laert


                    Ne znayu, chto i dumat'. No puskaj
                    Priedet. Moe serdce sogrevaet
                    Vozmozhnost' zaglyanut' emu v glaza,
                    Skazav: "YA delayu, chto sdelal ty!"
                    (delaet vypad voobrazhaemoj rapiroj)

                                   Korol'

                    YA sam ne ponimayu, chto sluchilos'.
                    I vse-taki ono proizoshlo.
                    A esli tak, mogu li ya na vas
                    Rasschityvat'?

                                   Laert

                                   O da, milord, vsecelo.
                    No ezheli ne stanete mirit'.

                                   Korol'

                    YA primiryu tebya s samim soboj.
                    Puskaj, iz puteshestviya vernuvshis',
                    Ne pozhelaet on obratno ehat',
                    Nu chto zh, ya predlozhu emu takoe,
                    CHto, mozhet byt', i ostavlyaet vybor,
                    No vyberi - i vse ravno pogibnesh'.
                    YA vse uzhe obdumal. Dazhe mat'
                    Odobrit nas... Nu da, neschastnyj sluchaj...
                    Uvy, so vsyakim mozhet priklyuchit'sya...
                    Za chto zhe nas s toboyu proklinat'?
                    Ne tak li?

                                   Laert

                                Vot teper', milord, ya s vami.
                    Tem bolee, chto vy menya izbrali
                    Svoim orudiem.

                                   Korol'

                                    Nu i prekrasno!
                    S teh por, kak vy izvolili uehat',
                    Vse razgovory v Danii - o vas.
                    I Gamlet prinimaet v nih uchast'e.
                    Vsya sovokupnost' lichnyh vashih kachestv
                    Ne vozbuzhdaet v nem takuyu zavist',
                    Kak lish' odno umen'e vashe... Vprochem,
                    Ono ne kazhetsya mne samym glavnym...

                                   Laert

                    Milord, o chem vy?

                                   Korol'

                                       |to vrode lenty
                    Na shlyape molodogo cheloveka.
                    Pustyak, no ne bez pol'zy, ibo yunost'
                    Na legkomyslie imeet pravo,
                    Kak zrelost', oblekayas' v sobolya,
                    Imeet pravo dumat' o bolyachkah
                    I o svoem dostoinstve, konechno.
                    Dva mesyaca tomu nazad u nas
                    Gostil odin normandskij dvoryanin.
                    YA znal francuzov, dazhe dralsya s nimi,
                    I ne na poedinkah - na vojne.
                    Skazhu vam, chto v sedle oni neplohi,
                    No etot shchegol', on v konya vrastal
                    I s nim vydelyval takie shtuki,
                    CHto zdes', kak pit' dat', pahlo charodejstvom.
                    YA byl v vostorge!.. On prevoshodil
                    Vse, chto voobrazit' vozmozhno, dazhe
                    Moe umenie menyat' oblich'ya
                    I rasstavlyat' lovushki...

                                   Laert

                                             On normandec?

                                   Korol'

                    Normandec.

                                   Laert

                                I zovut ego Lamor.

                                   Korol'

                    Vot imenno.

                                   Laert

                                  YA s nim nakorotke.
                    On - gordost' Francii.

                                   Korol'

                                           On govoril
                    O vas i vashe voshvalyal iskusstvo.
                    Osobenno - vladenie rapiroj.
                    On dazhe predlozhil mne podyskat'
                    Dostojnogo sopernika, ustroiv
                    Vam ispytanie. Eshche on klyalsya,
                    CHto fehtoval'shchiki ego naroda
                    V stremitel'nosti pravil'nyh atak
                    I v tehnike zashchity ustupayut
                    Opyat' zhe tol'ko vam. Ser, ya primetil,
                    Kak Gamlet, etot slushaya rasskaz,
                    Tak izzavidovalsya, nu, kak budto
                    Ego zmeya kakaya ukusila.
                    On vse svoi zanyatiya zabrosil,
                    I umolyal menya, chtob ya poslal
                    Za vami...

                                   Laert

                                 Nu i chto s togo?

                                   Korol'

                    Laert, otvet'te, tol'ko otkrovenno:
                    Vam dorog vash otec? A to, byt' mozhet,
                    Kak na portrete, vy namalevali
                    Pechal', no oblik est', a serdca net?

                                   Laert

                    Da kak posmeli vy sprosit' ob etom?

                                   Korol'

                    Net, vy menya ne ponyali. YA znayu,
                    CHto vy lyubili vashego otca.
                    No vremya nashi chuvstva ohlazhdaet.
                    Est' mnozhestvo primerov, govoryashchih
                    O tom, chto zhar lyubvi ne beskonechen:
                    Nagar na fitil'ke umen'shit plamya -
                    Ogon' pogasnet, iskry uletyat.
                    Net nichego, chto prebyvaet vechno
                    V svoej zhe sile, ibo dazhe blago
                    Odnazhdy presyshchaetsya soboyu
                    I ot izbytka vesa pogibaet.
                    CHto delaesh', to delaj - i poka
                    Ty sam ne rashotel. Inache - pozdno.
                    Zahvatannyj sluchajnymi rukami,
                    Glagol "hochu" stanovitsya nasmeshkoj
                    Dolzhenstvovaniya, i tak pohozh
                    Na vopli rastochitelya!.. Nu ladno...
                    Vernemsya k nashim bedam. Esli zavtra
                    On yavitsya, chto vy gotovy sdelat',
                    CHtob vse uvideli: o da, Laert -
                    Syn svoego otca?

                                   Laert

                                      Pred altarem
                    Emu gotov ya pererezat' glotku.

                                   Korol'

                    Nu da, ya ponimayu vas, nel'zya
                    Predostavlyat' ubezhishche ubijstvu,
                    Tem bolee - otca. Da i u mesti
                    Ne mozhet byt' obydennyh granic...
                    No, dobryj moj Laert, kogda i vpravdu
                    Takie mysli vas oburevayut,
                    Proshu vas: luchshe uzh sidite doma.
                    Priehav, on uznaet, chto vy zdes',
                    Tut my svoih lyudej i podoshlem...
                    Rashvalivaya vashi sovershenstva,
                    Oni vdvojne umnozhat vashu slavu,
                    Kotoruyu i sozdal tot francuz.
                    Potom my vas svedem i uzh togda
                    Pob'emsya ob zaklad. YA znayu: on
                    Po molodosti i velikodush'yu
                    Ne stanet sravnivat' rapiry vashi...
                    A dal'she - nebol'shaya lovkost' ruk,
                    I vy voz'mete tu, chto s ostrym zhalom.
                    Vot, sobstvenno, i vse.

                                   Laert

                                          Otmennyj plan.
                    No chtoby on navernyaka srabotal,
                    My trepetnoe zhalo smazhem yadom.
                    Ego u znaharki ya priobrel
                    Po sluchayu. Staruha poklyalas',
                    CHto dazhe zel'e iz celebnyh trav,
                    Kakie sobirayut v polnolun'e,
                    Bessil'no protiv etogo sostava:
                    Dostatochno carapiny - i tol'ko.
                    YA ostrie rapiry opushchu
                    V zavetnyj puzyrek. Odnim ukusom
                    Pokonchim s etim...

                                   Korol'

                                       Da, no my eshche
                    Sem' raz obdumaem, obsudim, vzvesim.
                    My ne imeem prava na oshibku,
                    Poskol'ku esli eto stanet yavnym,
                    Togda ne stoit dazhe i pytat'sya.
                    Nash zamysel dolzhny my ukrepit'
                    Drugim, emu podobnym. Esli pervyj
                    Provalitsya, pust' vyruchit vtoroj.
                    Postojte. Dajte zhe i mne podumat'.
                    Nashel!.. Kogda vo vremya poedinka
                    Vam stanet zharko, dejstvujte smelee,
                    CHtob stalo eshche zharche. I kak tol'ko
                    On pozhelaet gorlo promochit',
                    Prikazhem podnesti emu vina.
                    I ezheli zheleznaya gadyuka
                    Promazhet, - bestelesnuyu podpustim...
                    Edva prigubit kubok - i gotov.
                    CHto tam za shum?

                              Vhodit koroleva.

                                    Ah, eto ty, Gertruda...

                                  Koroleva

                    Odna beda druguyu privela.
                    Uvy, Laert, byla u vas sestra,
                    Odnako utonula.

                                   Laert

                                     Utonula?..

                                  Koroleva

                    Vy pomnite povalennuyu ivu,
                    Kotoraya poloshchet nad ruch'em
                    Svoyu listvu?.. Ofeliya tuda
                    Prishla v venke - v nem byli margaritki,
                    YAsnotka da kukushkin goricvet,
                    I dlinnye myasistye cvety -
                    Da vy ih znaete! - prostolyudiny
                    Zovut ih korotko i nepristojno,
                    A devushki - "perstami mertvecov"
                    I dremlikom... Edva vzoshla na stvol,
                    ZHelaya i ego venkom ukrasit',
                    Zavistlivyj suchok i podlomilsya.
                    V cvetah ona upala v tot potok,
                    Pleskalas', budto v nem i rozhdena
                    Rusalkoyu, bedy ne soznavala,
                    I vse-to pela pesenki svoi...
                    No dolgo eto dlit'sya ne moglo:
                    Namoklo plat'ice, otyazhelelo,
                    I zahlebnulsya tot napev prozrachnyj
                    V ob®yat'yah mutnoj smerti.

                                   Laert

                                               Utonula?..

                                  Koroleva

                    Vot to-to i ono, chto utonula.

                                   Laert

                    I bez togo tebe vody hvatilo.
                    Ofeliya, sestra, ya ne zaplachu...
                    I vse zhe... kak zhe trudno... uderzhat'sya...
                    Priroda soblyudaet svoj obychaj,
                    CHtoby stydilis' my svoih deyanij...
                    Nu, znachit, nado otrydat' svoe
                    I perestat' byt' baboyu. Milord,
                    YA vynuzhden ujti. Na yazyke
                    Gotovo vspyhnut' plamya oblichenij,
                    No slezy eti glupye sposobny
                    Vse zagasit'...

                                   Korol'

                                     Pojdem za nim, Gertruda.
                    Kakogo eto stoilo truda
                    Unyat' ego myatezhnuyu naturu!..
                    Odnako ya boyus', chto smert' sestry
                    Opyat' razbudit gnev ego i bujstvo.
                    Poetomu posleduem za nim.
                                 (Uhodyat.)


                                  Scena 4

                      Kladbishche. Vhodyat dva mogil'shchika.

                                   Pervyj

     Stoit li horonit' po-hristianski tu, chto dobrovol'no iskala spaseniya?

                                   Vtoroj

     Kopaj-kopaj. Sledovatel' za tebya reshil.

                                   Pervyj

     |to nezakonno. Nuzhno, chtoby ona utopilas' pri samozashchite.

                                   Vtoroj

     Da uzh sledovatel'-to luchshe znaet.

                                   Pervyj

     Samonapadenie  - vot kak eto nazyvaetsya. Esli ya toplyus' namerenno - eto
deyanie.  A  u  deyaniya  tri  sostavlyayushchih  - dejstvovat', delat' i sovershat'.
Sledovatel'no, utopilas' ona zlonamerenno... Ty zastupom-to - polegche...

                                   Vtoroj

     |h, gospodin zastupnik zakona...

                                   Pervyj

     Net,  daj  skazat'.  Vot  voda.  A  vot  stoit chelovek. Nu, ladno. Esli
chelovek  idet k vode i topitsya, znachit, on sam idet. No esli Ne on k vode, a
voda  k nemu, znachit, on ne utopilsya, no vovse dazhe utoplen. Poetomu, kto ne
vinovat v svoej smerti, tot ne sokrashchal i svoej zhizni.

                                   Vtoroj

     |to gde zhe takoj zakon zapisan?

                                   Pervyj

     A vot tam i zapisan, gde sledstvie vedetsya po zakonu.

                                   Vtoroj

     Hochesh' pravdu? Ne bud' ona dvoryankoj, ne horonili by ee kak hristianku.

                                   Pervyj

     CHto  verno,  to verno. Znatnym vse mozhno. Dazhe topit'sya i veshat'sya. A u
nas,  hot'  my  tozhe  hristiane,  takogo  prava net. Daj-ka tvoj zastup. Net
dvoryan  drevnee, chem kopateli da mogil'shchiki. Tol'ko oni prodolzhayut professiyu
Adama.

                                   Vtoroj

     Ty chego, Adam ne dvoryanin.

                                   Pervyj

     On byl pervym, kto zavel sebe gerb.

                                   Vtoroj

     Da kto tebe skazal etu glupost'?

                                   Pervyj

     Nu  ty  pryamo yazychnik. V Pisanii skazano, chto Adam zemlyu obrabatyval. A
chem?  Rukami.  A  kakimi?  A  kakie  u dvoryan - za_gerb_ushchie. Kuda zh emu bez
gerba?.. YA vot tebya pro drugoe sproshu...

                                   Vtoroj

     Valyaj...

                                   Pervyj

     Kto stroit krepche kamenshchika, korabel'shchika i plotnika?

                                   Vtoroj

     Tot, kto viselicy stroit. Ona vseh svoih zhil'cov perezhivet.

                                   Pervyj

     A  ty shutnik. Viselica tut horosho podhodit. A pochemu? A potomu, chto ona
podhodit  kazhdomu,  kto  durno  postupaet. I tebe tozhe, raz ty schitaesh', chto
viselica krepche cerkvi. Nu, davaj, eshche popytajsya...

                                   Vtoroj

     Kto, znachit, stroit krepche plotnika, kamenshchika i korabel'shchika?

                                   Pervyj

     Nu da, otvet' i malost' peredohni s neprivychki.

                                   Vtoroj

     A vot voz'mu i otvechu!

                                   Pervyj

     Nu?

                                   Vtoroj

     Vot privyazalsya... Nu, ne znayu.

                          Vhodyat Gamlet i Goracio.

                                   Pervyj

     Duren',  mozgi svernesh'. A kogda drugoj raz sprosyat, otvechaj mogil'shchik.
Doma,  kotorye on stroit, dostoyat do Strashnogo Suda. Ladno, sgonyaj k Iogenu,
prinesi ot nego kuvshinchik.

                          Vtoroj mogil'shchik uhodit.

                           Pervyj kopaet i poet.

                          Na yunyh dnyah lyubvi moej
                          Schital ya, chto vsego milej
                          Ogon' v krovi - ej-ej!
                          Ogon' v krovi - ej-ej!

                                   Gamlet

     Kakoe beschuvstvie. Kopaet mogilu - i poet.

                                  Goracio

     Privychka zakalila ego serdce.

                                   Gamlet

     Ty prav. Poka ruka ot raboty ne zagrubeet, i serdce chuvstvitel'no.

                                   Pervyj
                                   (poet)

                          No starost' vorovskoj
                          Klyukoyu podsechet,
                          I to, chto nazhito toboj,
                          Schitaj, uzhe ne v schet.
                            (vybrasyvaet cherep)

                                   Gamlet

     U  etogo  cherepa byl yazyk. I on tozhe mog pet'. A etot plut shvyrnul ego,
kak tu samuyu chelyust', kotoroj Kain sovershil pervoe ubijstvo. Podumaj, mozhet,
eto byla bashka politika, i on samogo Tvorca vodil za nos...

                                  Goracio

     Ves'ma veroyatno.

                                   Gamlet

     Ili  pridvornogo,  chto kazhdoe utro prichital: "Dobrogo vam utra, milord,
kak   vashe   zdorov'e,   milord!.."   A  vsego-to  i  hotel,  chto  vyprosit'
priglyanuvshegosya skakuna... CHto, mozhet takoe byt'?

                                  Goracio

     Mozhet, milord.

                                   Gamlet

     Razumeetsya,  mozhet.  A teper' on sovokuplyaetsya s miledi CHervotochinoj, i
zastup  mogil'shchika  b'et  ego po lbu. Kakaya metamorfoza!.. ZHal', my ne umeem
smotret'  skvoz'  zemlyu.  Neuzheli  stoilo  otrashchivat' kosti, chtoby potom imi
igrali v kegli? Lichno moi - lomit ot odnoj mysli ob etom.

                                   Pervyj
                                   (poet)

                          I kirka, i zastup,
                          Zastup i kirka,
                          ZHdut na novosel'e
                          Bednyaka i princa...
                         (vybrasyvaet vtoroj cherep)

                                   Gamlet

     Vot  eshche  cherep.  Sdaetsya,  chto  -  yurista. Gde teper' ego kazuistika i
kryuchkotvorstvo?  Ili  tolkovaniya vladel'cheskih prav? Pochemu on terpit, kogda
derevenshchina razdelyvaet ego gryaznym zastupom? Pochemu ne ukazhet tomu, chto eto
nazyvaetsya  Prestuplenie  dejstviem?  M-da... A ved' etot malyj v svoe vremya
mog   byt'  zemel'nym  skupshchikom,  znatokom  zakladov  i  najma,  vekselej i
neustoek,  dvojnyh  poruchitel'stv  i  vozmeshcheniya ubytkov. Nu kakie eshche nuzhny
vozmeshcheniya,    chtoby   isklyuchitel'no   zemlej   vozmestit'   pustotu   etogo
isklyuchitel'nogo  cherepa?  A  gde  bylye  poruchiteli?  Ah,  oni  uzhe ne mogut
poruchit'sya za zemlyu, priobretennuyu v dvojnyh sdelkah. Krome vot etoj, chto ne
bol'she  samoj  kupchej.  Da  odni dazhe akty o ego sobstvennosti ne vlezli b v
etot yashchik. Zachem eto vse, esli i nasledniku dostanetsya takoj zhe?

                                  Goracio

     Tochno takoj, milord.

                                   Gamlet

     Pergament vydelyvayut iz baran'ih shkur?

                                  Goracio

     Iz telyach'ih tozhe.

                                   Gamlet

     Znachit,  kazhdyj  sobstvennik  -  telenok  ili  baran. YA rassproshu etogo
malogo. |j, ch'ya eto mogila?

                                   Pervyj

     Moya, ser.
                                   (poet)
                          I kirka, i zastup,
                          Zastup i kirka...

                                   Gamlet

     Razumeetsya, tvoya, raz ty v nee zalez.

                                   Pervyj

     Vy ne zalezli, i, znachit, ona ne vasha. A ya polez, i vse ravno ona moya.

                                   Gamlet

     Hvatit vrat'. Ty sam polez, potomu chto ty v nej. I vresh', chto ona tvoya.
Mogila - dlya mertvyh. Znachit, ty vresh'.

                                   Pervyj

     Vru. No eto zhivaya lozh'. Vot ona opyat' na vas pereskochila.

                                   Gamlet

     Dlya kogo ty roesh'?

                                   Pervyj

     Nu uzh ne dlya muzhchiny.

                                   Gamlet

     Tak dlya kakoj zhenshchiny ty roesh'?

                                   Pervyj

     I ne dlya zhenshchiny.

                                   Gamlet

     Tak dlya kogo?

                                   Pervyj

     Ne  kogo,  a  chego. Ono bylo zhenshchinoj, milord. Toj, chto - slava Bogu! -
uzhe umerla.

                                   Gamlet

     |tot  malyj  znaet  svoe  delo.  Ego  perevertyshi  oboyudoostry,  a inaya
dvusmyslica  sposobna provodit' pryamehon'ko na tot svet. Ej-bogu, Goracio, v
poslednie  tri  goda  ya  stal  zamechat',  chto  vremena  obostrilis', i nosok
krest'yanina nachinaet natirat' pyatku dvoryanina... Davno ty mogil'shchikom?

                                   Pervyj

     S togo dnya, kak pokojnyj korol' Gamlet ubil starogo Fortinbrasa.

                                   Gamlet

     I kogda eto bylo?

                                   Pervyj

     A  to ne znaete... Da kazhdyj durak znaet. V tot den' u nego rodilsya syn
Gamlet. Tot, kotorogo teper' otpravili v Angliyu.

                                   Gamlet

     Zachem zhe ego otpravili?

                                   Pervyj

     Ne  zachem,  a  za  chto.  Za  to,  chto  svihnulsya. Nu, tam-to emu mozgi,
konechno, vpravyat. A net - i tak sojdet.

                                   Gamlet

     Pochemu zhe sojdet?


                                   Pervyj

     A tam vse sumasshedshie.

                                   Gamlet

     Kak zhe on soshel s uma?

                                   Pervyj

     Da v tom-to i delo, chto ochen' neobychno.

                                   Gamlet

     Neobychno - eto kak?

                                   Pervyj

     A tak, chto obezumel.

                                   Gamlet

     Na pochve chego?

                                   Pervyj

     Izvestno  - chego... Na pochve Danii. Tridcat' let na nee rabotayu: byl na
pobegushkah, a teper' vot i sam - master.

                                   Gamlet

     Skol'ko zhe v nashej pochve nado prolezhat', chtoby sovsem sgnit'?

                                   Pervyj

     Nu,  esli  eshche do smerti ne sgnil... A to teper' mnogie i do pogrebeniya
ne dotyagivayut... Let vosem' - eto horosho. A kozhevnik i devyat' osilit.

                                   Gamlet

     |to pochemu zhe kozhevniku privilegiya?

                                   Pervyj

     A chemu tut udivlyat'sya? On sam tak zadubel, chto kozha vody ne propuskaet.
A  bez vody dazhe samyj parshivyj trup gnit' ne hochet. Vot, glyadite, cherep. On
v zemle dvadcat' tri goda.

                                   Gamlet

     I chej on?

                                   Pervyj

     A... odnogo parshivogo sumasshedshego. Mozhet byt', zhelaete sami ugadat'?

                                   Gamlet

     Ne zhelayu.

                                   Pervyj

     Sumasshedshego,  da  eshche  i  pluta, chuma ego zaberi. Odnazhdy vylil mne na
makushku butylku rejnskogo. Da, eto cherep Jorika, korolevskogo shuta.

                                   Gamlet

     Vot etot?

                                   Pervyj

     Imenno, ser.

                                   Gamlet

     A  nu-ka  daj!..  (Beret cherep.) Bednyaga Jorik! YA znal ego, Goracio. On
byl  sochinitel',  fantazer  i  bol'shoj  shutnik. Tysyachu raz garceval ya na ego
plechah.  A  teper' menya mutit ot odnogo tol'ko vzglyada. On celoval menya. Vot
tut  byli  guby...  Gde tvoi shutki, tvoi pesenki i vyhodki? Gde tvoj smeh, v
odin  mig  zarazhavshij vseh, kto sobralsya za trapezoj? Ty chto zhe, ni odnoj ne
pripas,  chtoby  samomu posmeyat'sya nad sobstvennym oskalom? CHego-to ty sovsem
priunyl.  Tak  stupaj  v  buduar  znatnoj damy i skazhi, chto ej ne pomozhet ee
kraska, pust' i tolshchinoyu v dyujm. Vse ravno stanet takoj, kak ty. Stupaj, eta
shutka ej ponravitsya... Goracio, skazhi mne odnu veshch'...

                                  Goracio

     CHto vam skazat', milord?

                                   Gamlet

     Velikij Aleksandr v zemle stal takim zhe?

                                  Goracio

     Odin v odin.

                                   Gamlet

     I ot nego tak zhe pahlo? Brr!..
                               (kladet cherep)

                                  Goracio

     Imenno tak, milord.

                                   Gamlet

     Skol'  nizkaya  uchast' nam ugotovana! A ved' ochen' dazhe mozhno prosledit'
za vsemi prevrashcheniyami Aleksandra, i okazhetsya, chto on - v bochke zatychka.

                                  Goracio

     Da  net  zhe,  ser...  Rassmatrivat'  delo  s etoj tochki zreniya - znachit
peregruzhat' ego vymyslom i nenuzhnymi podrobnostyami.

                                   Gamlet

     Nichut'! Sleduj veroyatnosti: velikij polkovodec umer, ego pohoronili, on
stal  prahom,  prah  - eto zemlya da glina, iz gliny sdelali obmazku, a chast'
poshla na zatychku pivnoj bochki.

                    Sud'ba ne poshchadila ispolina:
                    Pri zhizni - Cezar', a po smerti - glina.
                    I chtob spastis' ot skvoznyaka i stuzhi,
                    ZHilishche im obmazali snaruzhi.

            Vhodit svyashchennik, za nim nesut grob s telom Ofelii.
                  Vhodyat korol', koroleva, Laert i svita.

                    No - tss!.. Syuda pozhaloval korol'...
                    Ogo!.. I dvor, i dazhe koroleva...
                    Kogo eto oni hotyat zaryt'
                    Po usechennomu obryadu?.. A?..
                    Nikak sanovnogo samoubijcu?
                    Davaj-ka spryachemsya da poglyadim!

                                   Laert

                    Eshche obryady budut?

                                   Gamlet

                    Ego zovut Laert. Ves'ma uchtivyj
                    I blagorodnyj yunosha...

                                   Laert

                                            Eshche
                    Obryady budut?

                                 Svyashchennik

                                    Vse, chto pozvolyaet
                    Ustav cerkovnyj, my proizveli.
                    No eta smert' somnitel'na. I esli b
                    Ne ukazan'e svyshe - to, chto strozhe,
                    CHem dazhe i cerkovnye kanony! -
                    Lezhat' by ej v zemle ne osvyashchennoj
                    Do Strashnogo Suda. Vzamen molitv
                    Pokojnuyu - nu tochno b! - zabrosali
                    Kamen'yami da bitoyu posudoj...
                    A tak - chego zh eshche? - nam razreshili,
                    Nu kak pri otpevanii devicy,
                    Girlyandami ukrasit' Bozhij hram,
                    Pozvolili cvety brosat' v mogilu
                    I kolokol'nyj zvon - ne otmenili!

                                   Laert

                    Eshche obryady budut?

                                 Svyashchennik

                                       Sozhaleyu.
                    My tol'ko b oskvernili panihidu,
                    Propev zaupokojnye molitvy
                    I rekviem, poskol'ku zdes' nel'zya
                    Prosit' upokoen'ya so svyatymi,
                    Kak prosim my za vseh, pochivshih s mirom.
                    Takov poryadok.

                                   Laert

                                    Opustite grob.
                    Ne dalee, chem budushchej vesnoyu,
                    Vot zdes', gde my stoim, vzojdut fialki -
                    Zemnoj zalog nevinnosti ee.
                    I pomni, podlyj pop, moya sestra
                    Na nebe stanet angelom, a ty,
                    Ty budesh' vyt' v puchine ada!..

                                   Gamlet

                                                  Kak...
                    Ofeliya!..

                                  Koroleva

                               Sladchajshee - sladchajshej.
                          (brosaet cvety v mogilu)
                    Proshchaj, ya tak tebya hotela videt'
                    ZHenoyu Gamleta... YA tak mechtala
                    Ih lozhe brachnoe ubrat' cvetami!
                    Nu chto zhe... Uberu hotya b mogilku...

                                   Laert

                    Trojnoe gore... Tridcat' bed treklyatyh
                    Puskaj padut na golovu togo,
                    CH'e zlodeyan'e razum tvoj ukralo!
                    Net, stojte!.. YA eshche ne prikazal
                    Zavalivat' ee zemlej. Sestra,
                    Obnimemsya eshche raz!..
                             (prygaet v mogilu)
                                          Vot teper'
                    Zemlej zasyp'te i zhivyh, i mertvyh,
                    CHtob vsya eta nizina vozneslas'
                    Do neba, da i prevzoshla soboyu
                    I Pelion, i sinyuyu vershinu
                    Olimpa!

                                   Gamlet
                             (vystupaet vpered)

                             Nu i ch'e zhe eto gore
                    Stol' gromoglasno?.. Dajte posmotret',
                    CH'ya nesravnennaya pechal' sposobna
                    Ne tol'ko zacharovyvat' zevak,
                    No dazhe i bluzhdayushchie zvezdy?
                    Podzhav hvosty, oni zastyli v nebe...
                    YA zdes'. YA - Gamlet Datskij.
                             (prygaet v mogilu)

                                   Laert

                                              Pust'
                    Toboj zajmetsya d'yavol!

                                   Gamlet

                                           Ty drugih
                    Molitv ne znaesh'? Otpusti mne gorlo...
                    Dobrom proshu... YA ne gnevliv, hotya
                    Sovetuyu menya osteregat'sya...
                    Proch' ruki!

                                   Korol'

                                 Raznimite ih!

                                  Koroleva

                                             Moj Gamlet!

                                    Vse

                    Ho, gospoda!

                                  Goracio

                                  Milord, ostanovites'!

                    Derushchihsya vytaskivayut iz mogily i raznimayut.

                                   Gamlet

                    Za eto ya gotov srazhat'sya s nim,
                    Poka moi glaza eshche morgayut.

                                  Koroleva

                    Za chto "za eto"?

                                   Gamlet
                                  (Laertu)

                                      YA ee lyubil,
                    Tak sil'no, chto i sorok tysyach brat'ev,
                    Takih, kak ty, v odno soediniv
                    Svoyu lyubov', s moeyu ne sravnyatsya.
                    Tak ty gotov?

                                   Korol'

                                    Laert, on - sumasshedshij.

                                  Koroleva

                    O, poshchadite syna moego!

                                   Gamlet

                    Nu, pokazhi nam, chto eshche umeesh'?
                    Rydat'? Srazhat'sya? Mozhet byt', postit'sya?
                    Terzat' fizionomiyu? Pit' uksus,
                    Sushenym zaedaya krokodilom?
                    YA eto vse prodelayu ne huzhe.
                    Ty dlya chego yavilsya? CHtoby vyt'?
                    CHtob vyzov brosit' ili chtob zaprygnut'
                    V ee mogilu? YA mogu i eto.
                    Pust' nas s toboyu zazhivo zaroyut,
                    I esli nado gory gorodit',
                    Mil'ony akrov ya postavlyu dybom,
                    Pokuda nash kurgan svoyu makushku
                    Ne opalit o plamennuyu sferu,
                    I ryadom s nim zaoblachnaya Ossa
                    Ne budet vyglyadet' obyknovennym
                    Pryshchom... A esli ty prishel boltat',
                    Tak ved' i u menya yazyk podveshen.

                                  Koroleva

                    Takoj zhe bred, kak v komnate moej.
                    Pripadok, no, po schast'yu, kratkosrochnyj.
                    ...Vot-vot zatihnet, aki golubica,
                    Smotryashchaya na ptenchikov svoih,
                    Edva proklyunuvshihsya...

                                   Gamlet

                                           Ser, skazhite,
                    Za chto vy tak obhodites' so mnoj?
                    YA vas lyubil... Net, eto ni k chemu...
                    CHego tam Gerkules ni navorotit,
                    Sobaka budet layat' po-sobach'i,
                    A koshka ne razuchitsya myaukat'.
                                  (uhodit)

                                   Korol'

                    YA dolzhen vas, Goracio, prosit'
                    Hotya b nemnogo prismotret' za princem.

                    Goracio uhodit. Korol' tiho Laertu:

                    Najdite muzhestvo pereterpet'.
                    Da vspomnite, o chem my tolkovali
                    Vcherashnej noch'yu. ZHdat' sovsem nedolgo.
                                 (koroleve)
                    I vy, moya drazhajshaya Gertruda,
                    Kogo-nibud' poshlite prismotret'
                    Za vashim synom. YA vam obeshchayu,
                    Vozdvignut' pamyatnik - i nebyvalyj! -
                    Nad etoyu mogiloj. Vot togda
                    My s vami zazhivem, kak prezhde zhili.
                    Nu a teper' - terpen'e i terpen'e.
                               (Vse uhodyat.)


                                  Scena 5

                   Zal v zamke. Vhodyat Gamlet i Goracio.

                                   Gamlet

                    Na etom - vse. Teper' o nashem dele.
                    Nadeyus', vy o nem ne pozabyli?

                                  Goracio

                    Tut pozabudesh'...

                                   Gamlet

                                       YA sidel v kayute
                    Bezvylazno. Zasnut' - i to ne v silah.
                    A na dushe toska, nu tochno ya -
                    Buntar', uzhe zakovannyj v zheleza.
                    I vdrug - reshilsya... Oh uzh eto "vdrug"!..
                    Ono okazyvaet nam uslugu,
                    Kogda ko vsem chertyam letyat raschety
                    I rushatsya namereniya nashi.
                    Iz etogo i sleduet, Goracio,
                    CHto Providen'e dejstvuet samo,
                    Kogda my ne dodumali chego-to.

                                  Goracio

                    Kto b somnevalsya...

                                   Gamlet

                    Sizhu... I vdrug smotryu - matrosskij plashch!
                    Nadel ego i vyshel iz kayuty,
                    I v temnote, prakticheski na oshchup',
                    Prokralsya v ih kayutu. Tam stashchil
                    Paket s poslaniem - i nautek.
                    Strah poborol prilichiya. YA vskryl
                    Paket, dostal poslanie, i chto zhe
                    CHitayu v nem?.. O, carstvennaya nizost'!..
                    Argumentirovanno i podrobno
                    Vo imya blagodenstviya i druzhby
                    Korony etoj i korony toj,
                    YA vystavlen - ty dazhe ne poverish'! -
                    Takim chudovishchem, chto po prochten'i
                    Predpisyvalos' - smozhesh' ugadat',
                    CHto imenno? - citiruyu: "...ne tratya
                    Minuty, chtoby natochit' topor,
                    Snyat' golovu s nego"... Nu da, vot etu.

                                  Goracio

                    Da bros'te!

                                   Gamlet
                    (vynimaet iz karmana prikaz korolya)

                    Voz'mi i oznakom'sya na dosuge.
                    A znaesh', chto ya dal'she sdelal?

                                  Goracio

                                                     CHto?

                                   Gamlet

                    YA ne uspel podumat', kak moj mozg
                    Stal sochinyat' drugoj prikaz. I srazu
                    YA sel rabotat' pod ego diktovku.
                    Kak bol'shinstvo sanovnikov, kogda-to
                    YA po oshibke polagal, chto pocherk
                    Ne dolzhen byt' krasivym - eto nizko.
                    YA dazhe popytalsya razuchit'sya
                    Pisat' krasivo... Nichego ne vyshlo.
                    Vot v burnom more mne i prigodilos'
                    Vysokoe iskusstvo kalligrafa.
                    ...Skazat' tebe, chto ya nasochinyal?

                                  Goracio

                    O, da, milord!

                                   Gamlet

                    "Datchanin - Anglichaninu. Proshu
                    Vashe Velichestvo, poskol'ku Vy -
                    Nash vernyj dannik, i poskol'ku nasha
                    Vzaimnaya lyubov' dolzhna procvest',
                    Podobno vetvi pal'movoj, a takzhe
                    Poskol'ku mir, kotoryj my imeli
                    CHest' utverdit', i dolzhen byt' uvenchan
                    Venkom, spletennym iz pshenichnyh zlakov,
                    A na pis'me ravnyat'sya zapyatoj
                    Mezh druzheskimi chuvstvami oboih..."
                    I v tom zhe duhe, - stol' zhe toshnotvorno,
                    Skol' i torzhestvenno... A pod konec -
                    Nu, vrode kak nevinnaya pripiska:
                    "Podatelej sego bez promedlen'ya
                    I prava ispovedi - umertvit'".

                                  Goracio

                    Kak bylo zapechatano poslan'e?

                                   Gamlet

                    I s etim tozhe povezlo: pri mne
                    Byl persten' moego otca. Na nem -
                    Pechatka. No pechatka ne prostaya,
                    A slepok s gosudarstvennoj pechati.
                    Ne dolgo dumaya, poddelal podpis',
                    Slozhil pis'mo, kak bylo do menya,
                    Pechat' ottisnul i blagopoluchno
                    Vernul paket, nu i k sebe vernulsya.
                    Nikto ne zapodozril nichego.
                    A poutru Gospod' poslal piratov...
                    Dal'nejshee ty znaesh'.

                                  Goracio

                                           |to znachit,
                    CHto Rozenkranc i Gil'denstern speshat
                    K svoej zhe gibeli?

                                   Gamlet

                                        I chto s togo?
                    Oni nashli zanyatie po vkusu
                    I etim sami smert' sebe izbrali.
                    Ih krov' - ona na nih, a ne na mne.
                    Nichtozhestvo dolzhno blyusti prilich'ya,
                    A ne sovat'sya mezh dvumya klinkami,
                    Kogda protivniki derutsya nasmert'.

                                  Goracio

                    Odnako nichego sebe korol'!..

                                   Gamlet

                    A kak ty dumaesh', ya chto, ne dolzhen
                    Vozdat' tomu, kto Daniyu lishil
                    Zakonnogo vlastitelya, tomu,
                    Kto mat' moyu rastlil i vstal mezh mnoyu
                    I tronom, kto raskinul pautinu,
                    CHtoby pojmat' menya i umertvit'?
                    I chto zh, ego kovarstvo ne dostojno
                    Edinogo ryvka moej ruki?
                    I razve ya ne budu proklyat, esli
                    Pozvolyu etoj yazve raspolzat'sya?
                    CHto ty na eto skazhesh'?

                                  Goracio

                                            Ochen' skoro
                    On koe-chto iz Anglii poluchit...

                                   Gamlet

                    Da, skoro. No ostavsheesya vremya -
                    Moe. Podchas dostatochno i miga,
                    CHtoby otnyat' u cheloveka zhizn'.
                    A vot o chem dejstvitel'no zhaleyu...
                    I ty, Goracio, menya pojmesh'...
                    Ne dolzhen byl ya obizhat' Laerta.
                    Zabylsya... A ved' gore u menya
                    I u nego - odno i to zhe gore.
                    Ne znayu kak, a postarat'sya nado
                    Ego raspolozhit'... No ty zhe videl,
                    Kak on kichilsya sobstvennoj bedoj...
                    YA v beshenstvo prishel...

                                  Goracio

                    Tss! (Gromko.) |to kto zhe k nam idet?

                               Vhodit Ozrik.

                                   Ozrik

     Pozvol'te pozdravit' vashu milost' s vozvrashcheniem v Daniyu.

                                   Gamlet

     Pokorno vas blagodaryu, ser. (K Goracio.) Znakom ty s etoj bukashkoj?

                                  Goracio

     Bog miloval.

                                   Gamlet

     Tvoe  schast'e.  Znakomstvo  s  nim - uzhe rod neduga. On zemlevladelec i
zhivotnoe.  A kogda zhivotnoe pravit zhivotnymi, kormushku stavyat na korolevskij
stol.  Bukashka - ptica glupaya, no zemli, ej prinadlezhashchie, i vpryam' veliki i
obil'ny.

                                   Ozrik

     Moj  sladkij  princ, esli vasha milost' raspolagaet vremenem, ya osmelyus'
nechto soobshchit' vam po porucheniyu Ego Velichestva.

                                   Gamlet

     YA  vas  vnimatel'no slushayu, tol'ko naden'te vash kolpak na to mesto, dlya
kotorogo ego skroili.

                                   Ozrik

     Pokornejshe blagodaryu, no ochen' zharko.

                                   Gamlet

     Da net zhe, ochen' holodno, veter s severa.

                                   Ozrik

     Vy pravy, milord. Po bol'shomu schetu - holodno.

                                   Gamlet

     I pri etom mne pri moej komplekcii - dushno.

                                   Ozrik

     V  shirokom  smysle - isklyuchitel'no dushno. I slov net, kak zharko. Tem ne
menee  Ego  Velichestvo  hochet  vam  soobshchit',  chto  postavili na vashu pobedu
bol'shoj zaklad. Vidite li, milord, delo v tom...

                                   Gamlet

     YA zhe vas datskim yazykom prosil...
                      (napyalivaet na Ozrika ego shlyapu)

                                   Ozrik

     Eshche  raz  blagodaryu,  no,  chestnoe  slovo, mne bez nee udobnee. Ser, ko
dvoru  pribyl  Laert.  Pover'te,  on  sovershennyj dzhentl'men. Vnutrennie ego
kachestva  prevoshodny,  vneshnost'  velikolepna,  manery  isklyuchitel'ny.  |to
obrazec  izyashchestva, i dlya lyubogo dzhentl'mena - nastoyashchaya kollekciya dostojnyh
dostoinstv.

                                   Gamlet

     Ser,  ego kachestva ne merknut dazhe v vashem perevode. Sostavlenie polnoj
inventarnoj   opisi   ne   pod   silu   arifmetike   chelovecheskoj  dushi.  My
perevalivaemsya  s  borta  na  bort,  a  on  letit  na vseh parusah. Vozdavaya
dostojnomu  dostojnuyu hvalu, ne mogu ne otmetit', chto u nego bol'shaya dusha, i
chto  kachestva  ee  stol'  zhe  dragocenny,  skol' i redki. Ravnyj emu - budet
tol'ko ego zerkalom, a podrazhatel' - ne bolee, chem oskolkom onogo.

                                   Ozrik

     Slog vashej milosti bezuprechen.

                                   Gamlet

     No  sovershenno bessmyslen. Zachem s nechistymi zubami dyshat' v lico etomu
dzhentl'menu?

                                   Ozrik

     Ser...

                                  Goracio

     Vy mozhete iz®yasnyat'sya po-chelovecheski?

                                   Gamlet

     CHto vy hoteli skazat', vspomniv etogo dzhentl'mena?

                                   Ozrik

     Laerta?

                                  Goracio

     Ego koshelek pust: zoloto slov on uzhe spustil.

                                   Gamlet

     Imenno Laerta.

                                   Ozrik

     YA znayu, chto vy znaete...

                                   Gamlet

     YA-to  znayu.  I hotel by hotet', chtoby znali vy. No esli b vy znali, eto
ne poshlo by mne na pol'zu. Tak chto zhe?..

                                   Ozrik

     Vam nebezyzvestno sovershenstvo Laerta.

                                   Gamlet

     Nichego  ne  mogu  skazat'  ob  etom. YA ne meryalsya s nim nosami. A chtoby
ocenit' drugogo, nado snachala izuchit' sebya.

                                   Ozrik

     YA  govoryu,  ser,  o  ego vladenii oruzhiem. Vse znayut, chto v etom dele u
nego sopernikov net.

                                   Gamlet

     CHem zhe on predpochitaet vladet'?

                                   Ozrik

     Rapiroj i kinzhalom.

                                   Gamlet

     |to ochen' raznye vidy oruzhiya. No dopustim.

                                   Ozrik

     Korol',  ser, postavil shest' berberijskih konej, a Laert, kak ya slyshal,
shest'  francuzskih  rapir  i  shest' kinzhalov so vsemi ih prinadlezhnostyami, a
imenno  poyasami,  portupeyami  i prochimi aksessuarami. Esli merit' parami, to
eto  tri nabora. I vse tri potryasayushchie: i klinki, i rukoyati, i nakinzhal'niki
s narapirnikami - vse garmonichno.

                                   Gamlet

     CHto takoe narapirniki i nakinzhal'niki?

                                  Goracio

     YA zhdal, chto vy stanete pridirat'sya i kommentirovat' kazhdoe slovo.

                                   Ozrik

     Narapirniki  i nakinzhal'niki - eto, ser, vlozhilishche, sirech' derzhalo. Ono
dlya klinka - to zhe, chto lafet dlya mortiry.

                                   Gamlet

     No  my  ne  nosim  mortir  u chresel. Tak chto sie vlozhilishche vpred' budem
zvat' nozhnami. Odnogo ne ponimayu: celaya shesterka afrikanskih skakunov protiv
shesti  francuzskih  rapirishek  i  gorstki  pobryakushek?  |to chto, ravnocennyj
zaklad? I na chto vse eto, kak vy iz®yasnyaetes', "zalozheno"?

                                   Ozrik

     Korol', ser, bilsya ob zaklad, chto v dvenadcati atakah Laert ne operedit
vas  dazhe  na  tri  udara.  Laert  s  nim  ne  soglasilsya. Esli vasha milost'
soizvolit, to udostoverit'sya, kto prav, mozhno pryamo sejchas.

                                   Gamlet

     A esli ne soizvolit?

                                   Ozrik

     YA  imel  v  vidu,  milord, chto vy soizvolite dat' soglasie na uchastie v
poedinke.

                                   Gamlet

     Ser,  ya  prodolzhayu zdes' svoyu progulku. |to moj dosug. Esli u korolya ne
budet  zhelaniya  prikazat'  mne chto-libo drugoe, pust' nesut rapiry. I esli u
etogo  dzhentl'mena ne propala ohota drat'sya, korol' poluchit i svoi rapiry, i
svoi kinzhaly. Esli sumeyu, - odoleyu. Ili spolna sam poluchu.

                                   Ozrik

     Tak i peredat'?

                                   Gamlet

     Rad vam sluzhit'.

                               Ozrik uhodit.

     Bol'shaya  udacha,  chto  on  sam sposoben za sebya poruchit'sya. Drugie by ne
risknuli.

                                  Goracio

     Letit, kak chibisenok, so skorlupkoj na temechke.

                                   Gamlet

     Kakovo  gnezdo,  takov  i  ptenchik.  On  syusyukal s soskom svoej materi,
prezhde  chem  v  nego  vpit'sya.  V nash nichtozhnyj vek on i emu podobnye ves'ma
uspeshny.  U  nih absolyutnyj sluh na vse vneshnee i populyarnoe. Oni - pena, na
pene i vsplyvayut. No stoit dunut' - poletyat puzyryami.

                             Vhodit pridvornyj.

                                 Pridvornyj

     Milord,  Ego Velichestvo prisylal k vam molodogo Ozrika, kotoryj soobshchil
Ego  Velichestvu,  chto  vy ozhidaete zdes', v zale. Ego Velichestvo poslal menya
uznat',  ne izmenilis' li vashi namereniya vyjti na sostyazanie, ili vam ugodno
otlozhit' poedinok?

                                   Gamlet

     YA  ne menyayu svoih namerenij. I v dannom sluchae oni sovpadayut s zhelaniem
korolya.  Esli  korol'  gotov  - ya tem bolee. Zdes' i sejchas, ili kogda i gde
ugodno.

                                 Pridvornyj

     Korol', koroleva i prochie vot-vot syuda spustyatsya.

                                   Gamlet

     Da na zdorov'e.

                                 Pridvornyj

     Koroleva zhelaet, chtoby do poedinka vy sdelali Laertu kompliment.

                                   Gamlet

     |to horoshij sovet.

                             Pridvornyj uhodit.

                                  Goracio

     Milord, vy proigraete zaklad.

                                   Gamlet

     YA  tak ne dumayu. S teh por, kak Laert uehal vo Franciyu, ya praktikovalsya
ezhednevno.  Esli u menya budet fora, poedinok za mnoj. No ty i predstavit' ne
mozhesh', kak tyazhelo u menya na dushe. Vprochem, eto pustyaki.

                                  Goracio

     Nikakie eto ne pustyaki, milord.

                                   Gamlet

     Da glupost' eto. Predchuvstvie dolzhno pugat' zhenshchin.

                                  Goracio

     Esli vasha dusha protiv, prislushajtes' k ee golosu. YA skazhu im, chtoby oni
povorachivali vosvoyasi. Segodnya fehtovat' vy ne budete.

                                   Gamlet

     Budu.   Ved'  my  s  toboj  preziraem  sueveriya.  Dazhe  gibel'  vorob'ya
predopredelena  Promyslom.  Esli  eto  sluchitsya  sejchas, eto ne grozit mne v
budushchem.  Esli  etogo  v  budushchem  ne  sluchitsya, znachit, ono mozhet proizojti
sejchas.  Ili  sejchas,  ili  kogda-nibud'.  Glavnoe  - gotovnost'. Esli nikto
nichego  ne  zaberet  s soboj iz etogo mira, pochemu by ran'she ne rasstat'sya s
etim samym nichego? Bud' chto budet.

  Barabany i truby. Slugi vnosyat stol, a takzhe rapiry i latnye rukavicy na
          podushkah. Vhodyat korol', koroleva, Laert, Ozrik, svita.

                                   Korol'

                    Teper' soedinite vashi ruki.
                     (soedinyaet ruki Laerta i Gamleta)

                                   Gamlet
                                  (Laertu)

                    YA sozhaleyu ser, chto stal prichinoj
                    Stradanij vashih i obidy vashej.
                    Prostite mne kak dzhentl'men, ved' ya
                    V sebe ne vlasten, eto vam izvestno.
                    To, chto tak sil'no oskorbilo vas
                    I zapyatnalo vashu chest' - vsego lish'
                    Proklyatoe bezumie moe,
                    Vash vrag ne Gamlet, no ego bolezn'.
                    YA ne mogu otrech'sya ot bolezni,
                    No otrekayus' ot ee deyanij
                    I zaveryayu vseh, kto zdes' sobralsya,
                    CHto nikakogo zla ne umyshlyal.
                    Prostite mne vinu moyu, kak esli b
                    YA vypustil strelu nad kryshej doma
                    I eyu ranil sobstvennogo brata.

                                   Laert

                    Po-chelovecheski ya vam proshchayu,
                    Hotya dusha i trebuet vozmezd'ya,
                    No delo chesti vyshe vseh drugih,
                    I primirenie zdes' nevozmozhno.
                    Po krajnej mere znayushchie lyudi
                    V istorii eshche ne otyskali
                    Drugoj primer takogo primiren'ya.
                    Vse oskorbleniya smyvalis' krov'yu.
                    No vashe bratskoe raspolozhen'e
                    YA prinimayu i ne zapodozryu
                    Ego ni v chem.

                                   Gamlet

                                   Privetstvuyu vash vybor
                    I vyhozhu na bratskij poedinok
                    S otkrytym serdcem. Dajte nam rapiry,
                    I my nachnem.

                                   Laert

                                  Odnu rapiru mne.

                                   Gamlet

                    Nuzhna i mne vsego odna rapira
                    Vo imya pira vashego iskusstva.
                    Blistatel'noe masterstvo Laerta
                    Nemerknushchej zvezdoj vzojdet na fone
                    Staranij uchenicheskih moih.

                                   Laert

                    Ser, nado mnoyu vy smeetes'?

                                   Gamlet

                                                Net,
                    Klyanus' klinkom.

                                   Korol'

                                     Podaj rapiry, Ozrik.
                    Plemyannik, vam izvestno o zaklade?

                                   Gamlet

                    Izvestno, dyadya, tol'ko to, chto vy
                    Postavili na slabogo.

                                   Korol'

                                          Pustoe.
                    YA videl, kak fehtuete vy oba,
                    Hotya, konechno, ne v primer tebe,
                    Laert ne prekrashchal svoih zanyatij...
                    No fora v tvoyu pol'zu.

                                   Laert

                                           CHto-to slishkom
                    Tyazhelaya... Poprobuem druguyu.

                                   Gamlet

                    A mne tak po ruke. Oni, nadeyus',
                    Odnoj dliny?

                                   Ozrik

                                  Provereno, milord.

                                   Korol'

                    Vino postav'te vot na etot stol.
                    I esli pervym atakuet Gamlet,
                    Ili vtorym, ili skvitat'sya smozhet
                    Hotya by posle tret'ej shvatki, pust'
                    Dadut iz vseh orudij zamka zalp -
                    My budem pit' tvoe zdorov'e, Gamlet,
                    A v kubok my zhemchuzhinu brosaem,
                    CHto bol'she, chem zhemchuzhina korony
                    Vseh chetyreh poslednih korolej.
                    Proshu rasporyadit'sya, chtob cimbaly
                    Skazali trubam, truby - pushkaryam,
                    A pushki - nebesam, i te shepnuli
                    Zemle, mol, eto - sam korol'
                    P'et za zdorov'e Gamleta! Pora.
                    A spravedlivost' - eto delo sudij.

                                   Gamlet

                    Tak nachinaem, ser?

                                   Laert

                                       Nachnem, milord.
                                (srazhayutsya)

                                   Gamlet

                    Est'!

                                   Laert

                           Net!

                                   Gamlet

                                Sud'ya!..

                                   Ozrik

                                           Odin udar proshel.

                                   Laert

                    Nu, nichego, nachnem po novoj.

                                   Korol'

                                                 Stojte!
                    Vino nesite. Gamlet, za tebya!
                    ZHemchuzhina uzhe tvoya.

                      Litavry, truby, pushechnaya pal'ba.

                                        Ty vypej!
                    Podajte kubok princu!

                                   Gamlet

                                          Ne sejchas.
                    Zakonchim shvatku, vot togda i vyp'em.
                                (srazhayutsya)
                    Eshche udar. Ved' pravda?

                                   Laert

                                            Da, kosnulis',
                    YA priznayu.

                                   Korol'
                                 (koroleve)

                                Nash syn ego pob'et.

                                  Koroleva

                    On vzmok i dyshit ochen' tyazhelo...
                                 (Gamletu)
                    Voz'mi platok i vytri pot so lba...
                    P'yu za tvoyu udachu, milyj Gamlet!..

                                   Gamlet

                    Blagodaryu.

                                   Korol'

                                Ne tron' vina, Gertruda!

                                  Koroleva

                    A ya hochu, uzh vy menya prostite!..
                                   (p'et)

                                   Korol'
                                (v storonu)

                    Tot samyj kubok. Pozdno. Slishkom pozdno.

                                   Gamlet

                    Net, gospozha moya, ya vozderzhus'.

                                  Koroleva

                    Idi syuda, ya obotru tebya.

                                   Laert
                                  (korolyu)

                    Teper' udar za mnoyu.

                                   Korol'

                                          Somnevayus'.

                                   Laert
                                (v storonu)

                    Pohozhe, sovest' mne skovala ruku.

                                   Gamlet

                    Prodolzhim poedinok nash. Odnako
                    Boyus', chto vy morochite menya,
                    A drat'sya pochemu-to ne hotite...

                                   Laert

                    Ah, vot kak? Nu, derzhites'!..
                                (srazhayutsya)

                                   Ozrik

                    Udary ne proshli.

                                   Laert

                                       Na, poluchi!

                            Laert ranit Gamleta.
        Menyayutsya rapirami, vyrvav ih drugu druga latnymi rukavicami.

                                   Korol'

                    Dovol'no. Raznimite ih.

                                   Gamlet

                                             Nu, net!
                             (koroleva padaet)

                                   Ozrik

                    YA zanyat, pomogite koroleve.

                            Gamlet ranit Laerta.

                                  Goracio

                    Tot i drugoj v krovi. Milord, chto s vami?

                               Laert padaet.

                                   Ozrik

                    Laert, kak vy?

                                   Laert

                    Kak glupyj val'dshnep v sobstvennyh silkah...
                    I sobstvennym kovarstvom okrovavlen...

                                   Gamlet

                    CHto s korolevoj?

                                   Korol'

                                      Pustyaki, ona
                    Ot vida krovi chuvstv lishilas'...

                                  Koroleva

                                                      Net,
                    Vino... ono... Moj Gamlet, mal'chik moj,
                    Vino otravleno...
                                 (umiraet)

                                   Gamlet

                                       Da zdes' izmena!
                    Zaprite dveri. My ee najdem.

                                   Laert

                    Zachem iskat'? Ona v tvoej ruke.
                    Net, ty ne ranen. Oba my ubity.
                    I poluchasa, Gamlet, ne projdet...
                    Klinok otravlen. YA srazhen svoim zhe
                    Oruzhiem. I v kubke - tot zhe yad.
                    Vzglyani na mat'. Ona mertva. I mne
                    Pora na vyhod. |to vse - vot etot...
                           (ukazyvaet na korolya)

                                   Gamlet

                    Vino otravleno. Rapira tozhe.
                    Nu chto zh, eshche raz porabotaj, yad!
                       (b'et rapiroj v grud' korolya)

                                    Vse

                    Izmena!

                                   Korol'

                    Druz'ya, na pomoshch'! YA ved' tol'ko ranen...

                                   Gamlet

                    YA pomogu tebe. Dopej svoe,
                    Bratoubijca i krovosmesitel',
                    Proklyatoj Danii korol' proklyatyj.
                    Tvoya zhemchuzhina v moem klinke.
                    Stupaj za mater'yu moej - i ty
                    Ee eshche dogonish'...
                            (zakalyvaet korolya)

                                   Laert

                    On poluchil lish' to, chto sam otpravil.
                    Prostim drug drugu, blagorodnyj Gamlet.
                    Da ne padet otnyne na tebya
                    Krov' moego otca i krov' moya,
                    A krov' tvoya da na menya ne lyazhet.
                                 (umiraet)

                                   Gamlet

                    Laert, tebe otpustyat smert' moyu.
                    Mne za toboj idti. YA umirayu.
                    Prosti mne, mat'. Proshchaj i ty, Goracio,
                    I vy, kotorye teper' drozhite
                    Bezmolvnym prilozhen'em ko vsemu,
                    CHto bylo zdes'. Bud' u menya hotya by
                    Te polchasa, ya rasskazal by vse.
                    No etot pristav ne daet otsrochki...
                    Beret pod strazhu... I bez lishnih slov...
                    I pust' ego... Goracio, - tvoj dolg
                    Im rasskazat', iz-za chego vse eto.

                                  Goracio

                    I ne prosite, blagorodnyj princ!
                    YA serdcem rimlyanin, a ne datchanin.
                    Tut est' eshche na donce...

                                   Gamlet

                                              Esli ty -
                    Muzhchina, ty otdash' mne etot kubok...
                    Komu skazal, - otdaj!.. Ne to ya sam
                    Voz'mu ego... Goracio, podumaj,
                    CHto budet s imenem moim, kogda
                    My molcha uberemsya drug za drugom,
                    I tol'ko temnota nakroet nas?..
                    I esli ty i vpryam' lyubil menya,
                    To uderzhis' ot poiskov blazhenstva
                    I v neustrojstve mira prodolzhaj
                    Vsyu bol' ego vdyhat', i etu povest'
                    Povedaj...
                        (vdali voennyj marsh i kriki)
                                |to chto eshche za zvuki?

                                   Ozrik

                    S pobedoj vozvrativshijsya iz Pol'shi
                    Plemyannik Fortinbrasa - Fortinbras
                    Privetstvuet poslov anglijskih.

                                   Gamlet


                    Uzhe ne zdes', Goracio. Tot yad
                    Sil'nej menya. Poslov primite sami.
                    No znajte - Angliya za Fortinbrasa.
                    YA takzhe otdayu emu svoj golos.
                    Skazhi emu ob etom. I eshche
                    O tom, chto zdes' sluchilos' pered nim.
                    Peredo mnoj - molchanie...
                                 (umiraet)

                                  Goracio

                                              Razbilos'
                    Takoe serdce... Dobroj nochi, princ.
                    Da upokoit sladkoj kolybel'noj
                    Hor angelov tvoyu bol'nuyu dushu.
                    ...Pri chem tut barabany?

                Vhodyat Fortinbras, anglijskie posly, svita.

                                 Fortinbras

                                               Nu i gde zhe
                    Obeshchannoe zrelishche?

                                  Goracio

                                       Milord,
                    CHto vy hotite videt'? Esli to,
                    CHto mozhet porazit' i opechalit',
                    To vy uzhe prishli.

                                 Fortinbras

                                      O Bozhe pravyj!..
                    Takaya gruda trupov govorit
                    Lish' o vzaimnom samoistreblen'i...
                    Gordyachka-smert', kakoj roskoshnyj pir
                    Sebe ty prigotovila, sraziv
                    Odnim udarom stol'ko avgustejshih
                    Osob...

                                Pervyj posol

                             Soglasen - zrelishche dlya sil'nyh.
                    Ne ko dvoru prishlos' posol'stvo nashe,
                    I tot, kto zhazhdal poluchit' izvest'e
                    O kazni Rozenkranca s Gil'densternom,
                    Navryad li stanet nas blagodarit'.

                                  Goracio

                    Navryad li by on vas blagodaril,
                    I esli b smog prinyat' posol'stvo vashe:
                    On nikogda ne otdaval prikaza
                    O kazni Gil'densterna s Rozenkrancem.
                    Vy pribyli iz Anglii, a vy
                    Iz Pol'shi - v tu minutu, kak ya nachal
                    Rassledovat' sluchivsheesya zdes'.
                    Tak prikazhite zhe perenesti
                    Ubityh na pomost dlya obozren'ya,
                    I vy togda uslyshite vsyu pravdu
                    O zlodeyan'yah, strashnyh i krovavyh,
                    I o chrede nechayannyh ubijstv,
                    I o smertyah nasil'stvennyh, i prochih,
                    O zamyslah i umyslah uzhasnyh,
                    Sgubivshih dazhe teh, kto ih zamyslil,
                    Ob etom obo vsem lish' mne izvestno.

                                 Fortinbras

                    My vyslushaem vas, kak soberem
                    Svoih sanovnikov. YA prinimayu
                    So vseyu skorb'yu dannuyu udachu,
                    No delat' nechego. YA polagayu,
                    CHto dolzhen pred®yavit' svoi prava,
                    O koih zdes' eshche, dolzhno byt', pomnyat,
                    Na Daniyu. Pust' eto nazovut
                    Stecheniem schastlivyh obstoyatel'stv.

                                  Goracio

                    Ob etom ya osobo rasskazhu
                    Ot imeni togo, chej slavnyj golos
                    Pomozhet vam storonnikov privlech'.
                    No vy dolzhny, moj princ, potoropit'sya,
                    Poka umy nahodyatsya v smyaten'i,
                    CHtob v rezul'tate novyh zabluzhdenij
                    I novyh zagovorov - ne sluchilis'
                    I novye krovavye dela.

                                 Fortinbras

                    Pust' Gamleta chetyre kapitana
                    Kak voina vozlozhat na pomost.
                    Kogda by on vzoshel na svoj prestol,
                    On stal by korolem, kakih nemnogo.
                    I v oznamenovanie ego
                    Konchiny - ya prikazyvayu: pust'
                    Ego oplachut boevye truby.
                    Tela ubrat'. CHto v pole horosho,
                    Zdes' neumestno. Kto-nibud' spustites'
                    I prikazhite dat' proshchal'nyj zalp.

                     Vse uhodyat. Gremit pushechnyj zalp.

                           Konec III akta i p'esy




     "Tragicheskaya istoriya  Gamleta,  princa  Datskogo,  sochinennaya  Uil'yamom
SHekspirom, kak ona byla mnozhestvo raz sygrana truppoj slug Ego Velichestva  v
Londone v dvuh universitetah Oksforda i Kembridzha i v drugih mestah" vyshla v
1603 g. Izdanie eto, poluchivshee iz-za svoego formata nazvanie Pervogo kvarto
(kvarto -  knizhnaya  stranica  v  chetvertushku  lista),  shekspirovedy  ne  bez
osnovaniya schitayut piratskim. Inogda ego nazyvayut "plohim kvarto".
     Na sleduyushchij  god  poyavilos'  Vtoroe  kvarto,  kotoroe  obychno  imenuyut
"horoshim". Na titul'nom liste bylo napisano: "Tragicheskaya  istoriya  Gamleta,
princa Datskogo. Sochinenie Uil'yama SHekspira. Napechatano zanovo  i  uvelicheno
pochti do razmerov  podlinnoj  polnoj  rukopisi".  |ta  kniga  pereizdavalas'
trizhdy: v 1611, 1622 (bez soobshcheniya daty) i v 1637 g.
     Vryad  li  SHekspir  imel  kakoe-libo  otnoshenie  i  k   etomu   izdaniyu.
Predpolagayut, chto ono  napechatano  ili  so  sdelannoj  vo  vremya  postanovki
stenograficheskoj zapisi, ili s ukradennoj v teatre suflerskoj kopii.
     Posle smerti SHekspira v 1616 g. ego druz'ya-aktery Dzhon Heming  i  Genri
Kondel sobrali odnotomnik ego p'es, i tak nazyvaemoe Pervoe  folio  (izdanie
"v list"), v kotorom pomeshchen i "Gamlet", uvidelo svet v Londone v 1823 g.
     Itak,  v  rasporyazhenii  chelovechestva  tri  neidentichnyh  teksta,  sredi
kotoryh net ni odnogo avtorizovannogo.
     Po kosvennym ukazaniyam shekspirovedy ustanovili,  chto  "Gamlet"  vpervye
byl postavlen v znamenitom shekspirovskom "Globuse" v sezon 1600/1601 gg.
     Pererabotannyj SHekspirom syuzhet izvesten po  latinskoj  "Istorii  Danii"
datskogo hronista XII veka Saksona  Grammatika,  opublikovannoj  v  1514  g.
Sobytiya, o kotoryh v nej povestvuetsya, otnosyatsya k  yazycheskim  vremenam,  to
est' proizoshli do serediny IX veka.
     Prototip Gamleta - yutlandskij yunosha Amlet,  zhelayushchij  otomstit'  svoemu
dyade Fengonu, bratu i  sopravitelyu  Gorvendila,  otca  Amleta.  Fengon  ubil
Gorvendila, chtoby stat' edinolichnym pravitelem YUtlandii (pri etom on zhenilsya
na Gerute, docheri korolya Danii Rorika i materi Amleta).  Posle  gibeli  otca
princ pritvoryaetsya  sumasshedshim.  Fengon  v  ego  sumasshestvie  ne  verit  i
podsylaet k Amletu krasavicu-devu, kotoraya, vprochem,  perehodit  na  storonu
princa. Togda Fengon otpravlyaet svoego cheloveka v  pokoi  Geruty  podslushat'
besedu materi s synom. Amlet ubivaet soglyadataya, a posle uprekami probuzhdaet
sovest'  materi.  Fengon  vysylaet  Amleta  v  Angliyu.   V   poezdke   yunoshu
soprovozhdayut dvoe pridvornyh, vezushchih prikaz ego  ubit'.  Amlet  vykradyvaet
poslanie Fengona, zamenyaet svoe imya  imenami  svoih  sputnikov  i  vpisyvaet
proshenie zhenit' ego na docheri anglijskogo korolya. Vernuvshis', Amlet popadaet
na godovshchinu sobstvennoj mnimoj smerti i raspravlyaetsya s dyadej.
     Istochnikom shekspirovskoj p'esy posluzhil  tak  nazyvaemyj  "Pra-Gamlet",
shedshij v Londone v konce 1580-h  -  nachale  1590-h.  Avtorom  ego  byl,  kak
predpolagayut, Tomas Kid (1558-1594 gg.). Vprochem, eshche v 1576 g.  francuzskij
pisatel' Fransua Bel'fore pereskazal hroniku Saksona Grammatika ob Amlete  v
pyatom tome svoih "Tragicheskih istorij".
     Predlagaemyj  chitatelyu  perevod  (dvadcat'   pervyj   russkij   perevod
"Gamleta", schitaya s vypolnennogo A.P.Sumarokovym v 1748 g.) sdelan  mnoyu  po
tekstu Vtorogo kvarto i Pervogo folio. Vybor varianta kazhdyj raz opredelyalsya
logikoj razvitiya syuzheta.
     |ta logika v detalyah otlichaetsya ot toj, kotoroj  tradicionno  sledovali
perevodchiki i shekspirovedy. Glavnym obrazom eto kasaetsya  Goracio,  "luchshego
druga" Gamleta. Skazhem, po Pervomu folio vzyat epizod, v kotorom uzhe poshedshij
na sluzhbu k korolyu Goracio prihodyat k koroleve s donosom na Ofeliyu. Scena, v
kotoroj  Goracio  (a  ne  anonimnyj  Pridvornyj)  preduprezhdaet   korolya   o
nachavshemsya vosstanii Laerta (i tem  daet  Klavdiyu  shans  sohranit'  zhizn'  i
koronu), vzyata mnoj takzhe po Pervomu folio.  Pri  takoj  redakcii,  kak  mne
predstavlyaetsya, stanovitsya bolee ochevidna propast',  razdelyayushchaya  Gamleta  i
ego "luchshego druga". (Sm. stat'yu ""Gamlet". Poetika zagadok".)
     V kommentarii, kak pravilo, daetsya sokrashchennyj v sravnenii  so  stat'ej
variant tolkovaniya teksta.
     Remarki v nashem tekste,  za  isklyucheniem  dvuh-treh,  voshodyat  k  nyne
prinyatym v anglijskoj ili russkoj tradicii. Isklyucheniya - remarka na s.  158,
v kotoroj ya popytalsya rekonstruirovat' nedoshedshuyu intermediyu, i  remarka  na
s. 157 "Ofeliya uhodit. Za nej Goracio".
     Pervaya publikaciya "Gamleta" so spiskom dejstvuyushchih lic poyavilas' tol'ko
v izdanii 1709 g. (pod redakciej Rou). |tot  spisok,  nachinayushchijsya  s  imeni
Klavdiya, segodnya  vyglyadit  dovol'no  stranno,  poetomu  on  sostavlen  mnoyu
zanovo. V spiske tridcat' govoryashchih  personazhej  (plyus  vosstavshie  datchane,
kotorye podayut svoi golosa iz-za kulis).
     Vo vremena SHekspira ne schitalos'  zazornym  sravnivat'  nechto  zhivoe  i
pravil'noe s rabotoj horosho otlazhennogo mehanizma. Vopreki rasprostranennomu
mneniyu ob "uslovnosti" shekspirovskogo teatra, smeyu zaverit', chto v "Gamlete"
kazhdaya stroka prignana k drugoj, kak shesterni v bashennyh  chasah.  I,  kak  v
chasovom mehanizme, odna shesterenka  povorachivaet  druguyu.  |tot  zhe  princip
organicheskogo    edinstva    otnositsya    k    pautine    reminiscencij    i
samoreminiscencij, a  takzhe  k  tonchajshej  sisteme  vsyakogo  roda  smyslovyh
mostikov, pomogayushchih chitatelyu razobrat'sya v tom, chto proishodit na  scene  i
chto etomu predshestvovalo.
     SHekspirovskij tekst ustroen  tak,  chto  odna  nichem  ne  primechatel'naya
detal' v stolknovenii s drugoj, kazalos' by, stol'  zhe  nichtozhnoj,  vysekaet
molniyu smysla, na  mig  osveshchayushchuyu  skrytye  ot  zritel'skih  glaz  istinnye
obstoyatel'stva i motivirovki. Ne berus' sudit', skol' gluboko mog vosprinyat'
takoj sposob scenicheskogo povestvovaniya zritel' "Globusa", no poety pishut ne
dlya tolpy, a prezhde vsego  dlya  sebya  (esli  zhe  poet  genialen,  to  i  dlya
vechnosti). V etom i zaklyuchen sekret mnimyh shekspirovskih  "protivorechij",  o
kotoryh tak lyubyat rassuzhdat' i didakticheskoe shekspirovedenie, i opponiruyushchie
emu skeptiki.



     Eshche  raz  ogovoryus':  menya  menee  vsego  interesuyut  te  traktovki   i
interpretacii, kotorye ne sleduyut iz teksta, no  privnosyatsya,  chtoby  kak-to
svyazat' koncy s koncami. YA ishozhu  iz  togo,  chto  v  kontekste  evropejskoj
kul'tury shekspirovskij tekst samodostatochen, i  delo  issledovatelya  sostoit
tol'ko v tom, chtoby vyyavit' etot kontekst. (Pri takom podhode, skazhem, mif o
boleznennoj refleksii i strannoj nereshitel'nosti Datskogo princa mozhno sdat'
v arhiv chitatel'skih zabluzhdenij.)
     SHekspirovskoe ponimanie edinstva vremeni, mesta i  dejstviya  otlichaetsya
ot pozdnejshego klassicisticheskogo. Ochevidno, kogda v poslednej chetverti XVII
veka  "Gamlet"  byl  razdelen   na   akty,   redaktory   teksta   popytalis'
posledovatel'no vyderzhat' princip "odin akt - odin den'".  I  eto  im  pochti
udalos'. Lish' v IV akte okazalos' srazu  dva  dnya.  (CHto,  vprochem,  slomalo
kazhushchuyusya strojnost' koncepcii.)
     Predlagaya novoe delenie p'esy na akty (sm. stat'yu "Formula  SHekspira"),
ya ne stavil zadachi najti to, chego otyskat' nevozmozhno,  a  prosto  popytalsya
poschitat' chislo dnej, za kotoroe proishodit vse dejstvie.
     Sam togo ne podozrevaya, ya prodelal rabotu, uzhe sdelannuyu do menya  bolee
treh vekov nazad, i tol'ko posle obnaruzhil, chto iz  ukazanij  vnutri  teksta
voznikaet posledovatel'naya  i  strojnaya  sistema  shestidnevnogo  -  to  est'
biblejskogo! -  vremennogo  edinstva.  Ta  sistema,  kotoruyu  vychlenili  moi
predshestvenniki i kotoraya okazalas' imi ne ponyata i ne vostrebovana.
     Ukazaniya vnutri teksta vpolne opredelenny. SHekspir, slovno  dlya  samogo
sebya (ili dlya gryadushchego issledovatelya), zabotitsya  ukazat'  na  vremya  sutok
(chashche vsego eto kasaetsya  polnochi),  ili  na  to,  kogda  dolzhno  sostoyat'sya
sobytie. K primeru, Gamlet soobshchaet Goracio, chto piraty napali na ih korabl'
na vtoroj den'  puteshestviya.  Poskol'ku  iz  slov  korolya,  skazannyh  pered
vysylkoj Gamleta, my znaem,  chto  korabl'  s  opal'nym  princem  dolzhen  byl
otplyt' do vechera, znachit, dlya Gamleta plavanie prodolzhalos' lish' odnu  noch'
i chast' sleduyushchego dnya. Daleko on ne  uplyl.  Vecherom  togo  zhe  dnya  piraty
dostavlyayut korolyu pis'mo, v kotorom Gamlet soobshchaet, chto  zavtra  predstanet
pered korolem. V den', kogda Gamleta net v |l'sinore,  proishodit  vosstanie
Laerta i smert' Ofelii.
     Vse eto stol' ochevidno, chto vryad  li  imeet  smysl  ostanavlivat'sya  na
kazhdom upominanii o vremeni sobytiya. Esli  dejstvie  nachinaetsya  v  noch'  na
voskresen'e (pervyj den' nedeli v zapadnoevropejskoj tradicii; sm.  ob  etom
primechanie k s. 82 na s. 222), to summarnyj rezul'tat govorit sam za sebya.

                                   I akt

                            noch' na voskresen'e

     1 - esplanada pered zamkom. Na chasah Francisko, ego smenyayut  Goracio  s
dvumya priyatelyami-shvejcarcami; yavlenie prizraka, kotorogo Goracio prikazyvaet
udarit' alebardoj. Opisanie utrennej zari.

     1 den'. Voskresen'e. (Sotvorenie sveta.)

     2 - zal v zamke. Priem u korolya, posol'stvo  otpravlyaetsya  v  Norvegiyu,
Gamlet ironichno sravnivaet korolya s solncem; k Gamletu  prihodit  Goracio  i
rasskazyvaet o poyavlenii Prizraka.
     3 - komnata Poloniya. Laert, uezzhaya vo Franciyu, proshchaetsya  s  sestroj  i
otcom; Polonij zapreshchaet Ofelii obshchat'sya s Gamletom.

                            noch' na ponedel'nik

     4 - esplanada, kuda prihodit Gamlet s Goracio i  odnim  iz  strazhnikov.
Vtoroe poyavlenie Prizraka. Prizrak manit Gamleta za soboj vnutr' zamka.
     5 - dvor zamka. Gamlet ot prizraka uznaet tajnu  smerti  otca.  Prizrak
trebuet otmshcheniya. Opisanie  utra  i  "blednogo  ognya"  bolotnogo  svetlyachka.
Klyatva Gamleta. Klyatva Goracio i strazhnika molchat' ob uvidennom.

                                   II akt

     2 den'. Ponedel'nik. (Pervoe utro, sotvorenie "tverdi", otdelyayushchej vodu
nebesnuyu /oblaka/ ot vody nazemnoj /okeana/.)

     1  -  komnata  Poloniya.  Polonij  daet  nastavleniya  Rejnal'do,  Ofeliya
soobshchaet o sumasshestvii Gamleta.
     2 - zal v zamke. Gil'denstern i Rozenkranc poluchayut zadanie shpionit' za
Gamletom; vozvrashchaetsya posol'stvo  iz  Norvegii;  Polonij  chitaet  korolyu  i
koroleve pis'mo Gamleta k Ofelii, a posle beseduet s Gamletom; Rozenkranc  i
Gil'denstern pytayutsya vyvedat' tajnu Gamleta i soobshchayut o pribytii  akterov;
Gamlet beseduet s Poloniem (zvuchat slova ob utre,  kotoroe  bylo  "imenno  v
ponedel'nik") i repetiruet s Pervym akterom, soobshchaya, chto prem'era "zavtra".

     3 den'. Vtornik. (Sotvorenie sushi i rastenij.)

     3 - zal v zamke. Korol' vyslushivaet  otchet  svoih  shpionov;  Polonij  i
korol' pryachutsya za kovrom, "podpuskaya" k Gamletu Ofeliyu; zvuchit monolog "Tak
byt' ili ne byt'...", smysl kotorogo Ofeliya ne  ponimaet,  Gamlet  razryvaet
otnosheniya  s  Ofeliej,  a  posle  ego  uhoda  korol'  s  Poloniem  obsuzhdayut
uslyshannoe.
     4 - zal v zamke. Gamlet daet poslednie nastavleniya akteram,  predlagaet
Goracio sledit' za reakciej korolya  vo  vremya  p'esy;  Gamlet  pikiruetsya  s
Poloniem, korolem i Ofeliej; aktery nachinayut igrat' "Ubijstvo  Gonzago",  no
korol' preryvaet predstavlenie;  Gamlet  govorit  s  Goracio;  Rozenkranc  i
Gil'denstern peredayut Gamletu trebovanie korolevy yavit'sya k nej,  o  tom  zhe
soobshchaet i Polonij.

                               noch' na sredu

     5 - komnata korolya.  Korol'  soobshchaet  Rozenkrancu  i  Gil'densternu  o
reshenii vyslat' Gamleta v Angliyu i prosit ih  soprovozhdat'  princa.  Polonij
soobshchaet korolyu, chto Gamlet idet k materi, a  sam  on  hochet  podslushat'  ih
razgovor, spryatavshis' za kovrom. Korol' molitsya, i Gamlet  otkladyvaet  svoyu
mest'.
     6 - komnata korolevy. Gamlet ubivaet Poloniya i ob®yasnyaetsya  s  mater'yu.
Tret'e poyavlenie Prizraka.

     4 den'. Sreda. (Sotvorenie svetil.)

     7 - komnata korolya. Koroleva rasskazyvaet korolyu ob  ubijstve  Poloniya;
korol' otdaet prikaz Rozenkrancu i Gil'densternu privesti Gamleta.
     8 - komnata Gamleta. Rozenkranc i Gil'denstern ne  mogut  ponyat',  kuda
Gamlet del telo Poloniya, i vedut princa k korolyu.
     9 - komnata korolya.  Ob®yasnenie  Gamleta  s  korolem.  Korol'  soobshchaet
Gamletu, chto tot vysylaetsya  v  Angliyu,  a  posle  uhoda  Gamleta  otkryvaet
zritelyu svoyu cel': anglijskij korol' dolzhen ubit' Gamleta.
     10 - ravnina, po kotoroj prohodit v Pol'shu Fortinbras s vojskom; Gamlet
razgovarivaet s kapitanom  norvezhskogo  vojska  i  eshche  raz  obyazyvaet  sebya
otomstit' korolyu.

                                  III akt

     5 den'. CHetverg. (Sotvorenie ryb, presmykayushchihsya i ptic.)

     1 - komnata korolya. Goracio donosit  na  Ofeliyu;  Ofeliya  poet  pesenki
korolyu i koroleve, a korol' prosit Goracio pozabotit'sya ob  Ofelii.  Goracio
vyhodit  vsled  za  Ofeliej.  Nachinaetsya  narodnoe  vosstanie,   o   kotorom
preduprezhdal Goracio, no Goracio v  poslednij  moment  uspevaet  soobshchit'  o
sluchivshemsya korolyu. Datchane vo glave s Laertom vylamyvayut  dveri,  Laert  ne
puskaet narod v pokoi korolya, a korol' zagovarivaet zuby  vozhdyu  vosstavshih;
Ofeliya vnov' poet prorocheskie pesni i proshchaetsya so vsemi; korol' ugovarivaet
Laerta dejstvovat' vmeste.
     2 - komnata Goracio. Piraty prinosyat  Goracio  pis'ma  ot  Gamleta  dlya
nego, korolya i korolevy.

                              noch' na pyatnicu

     3 - komnata korolya. Korol' ubezhdaet Laerta dejstvovat' na  ego  storone
protiv Gamleta. Laert predlagaet korolyu ubit' Gamleta  otravlennym  klinkom.
Koroleva soobshchaet o gibeli Ofelii.

     6 den'. Pyatnica. (Sotvorenie zhivotnyh i cheloveka iz zemnogo praha.)

     4 - kladbishche. Gamlet i Goracio  slushayut  razgovory  mogil'shchikov,  kogda
poyavlyaetsya pohoronnaya processiya. Gamlet ne znaet, kto v grobu, i  tol'ko  iz
razgovora Laerta so svyashchennikom ponimaet, chto horonyat Ofeliyu. Laert  prygaet
v mogilu Ofelii i oskorblyaet  Gamleta;  Gamlet  i  Laert  derutsya  v  mogile
Ofelii, no ih rastaskivayut.
     5 - zal v zamke. Gamlet rasskazyvaet Goracio, kak  on  podmenil  prikaz
korolya ubit' ego; poyavlyaetsya Ozrik, a posle i Pridvornyj, kotorye predlagayut
Gamletu vyjti na poedinok s Laertom; vo  vremya  poedinka  koroleva  vypivaet
kubok s yadom, Laert otravlennym klinkom ranit Gamleta, a  Gamlet  -  Laerta,
vyrvav u nego ego rapiru; Gamlet  ubivaet  korolya  i  pered  smert'yu  prosit
Goracio peredat' Fortinbrasu ego golos za izbranie Fortinbrasa novym korolem
Danii.  Koroleva,  korol',  Laert  i  Gamlet   mertvy.   Goracio   prinimaet
Fortinbrasa i  anglijskih  poslov,  no  Fortinbras  ignoriruet  ego  pros'bu
perenesti vseh ubityh na pomost i na etom fone vyslushat' rasskaz Goracio. Na
pomost chetyre kapitana perenosyat lish' Gamleta.
     Ostavim  chitatelyu  vozmozhnost'   samostoyatel'nogo   chteniya   biblejskih
reminiscencij "Gamleta". Zametim lish', chto uzhe v  evangel'skoj  tradicii  na
pyatnicu prihodyatsya dva sobytiya - raspyatie i polozhenie vo grob.
     Svoe  "iznanochnoe"  vremya  SHekspir  pishet  na  fone  vremeni  Biblii  i
Evangeliya.



                      Scena 1. |splanada pered zamkom

     S. 13. "Vot tak ya i skazal!.. Parol' skazhi!"
     "Nay, answer me: stand, and unfold yourself".

     Bernardo razbudil p'yanogo Francisko  svoim  voprosom.  Strazhnik  uznaet
smenshchika lish' posle togo, kak tot proiznosit frazu, napominayushchuyu tost, a  ne
parol': "Mnogie leta korolyu!" (Long live the king!). Sm. s. 245.

     S. 15. "Goracio, ty s nami?" - "Lish' otchasti".

     BERNARDO: Say, What, is Horatio there?
     HORATIO: A piece of him.

     Goracio (Horatio) - chelovek racio,  pragmatik.  Na  russkij  imya  etogo
personazha mozhno perevesti kak "Pragmatichnaya blyad'". Podrobnej sm. s. 266.

     S. 18. "...razmazal po l'du zaliva pol'skie obozy..."
     "...he smote the sledded Polacks on the ice".

     Sm. s 297.

     S. 18. "YA pereskazhu lish' to, chto znayu..."
     "That can I; at least, the whisper goes so..."

     Ves' etot ego  monolog  proiznesen  na  kancelyarite.  Udivitel'no,  chto
slushateli Goracio bez truda sumeyut ego "perevesti" na  chelovecheskij  yazyk  i
pojmut, chto imenno Staryj Gamlet -  vinovnik  nadvigayushchejsya  vojny.  Zametim
eshche, chto mnenie Goracio o molodom Fortinbrase  razko  rashoditsya  s  mneniem
Gamleta. (Sm. s. 145.)

     Vot kak zvuchit monolog Goracio:

                                                  That can I;
               At least, the whisper goes so. Our last king,
               Whose image even but now appear'd to us,
               Was, as you know, by Fortinbras of Norway,
               Thereto prick'd on by a most emulate pride,
               Dared to the combat; in which our valiant Hamlet -
               For so this side of our known world esteem'd him -
               Did slay this Fortinbras; who by a seal'd compact,
               Well ratified by law and heraldry,
               Did forfeit, with his life, all those his lands
               Which he stood seized of, to the conqueror:
               Against the which, a moiety competent
               Was gaged by our king; which had return'd
               To the inheritance of Fortinbras,
               Had he been vanquisher; as, by the same covenant,
               And carriage of the article design'd,
               His fell to Hamlet. Now, sir, young Fortinbras,
               Of unimproved mettle hot and full,
               Hath in the skirts of Norway here and there
               Shark'd up a list of lawless resolutes,
               For food and diet, to some enterprise
               That hath a stomach in't; which is no other -
               As it doth well appear unto our state -
               But to recover of us, by strong hand
               And terms compulsatory, those foresaid lands
               So by his father lost: and this, I take it,
               Is the main motive of our preparations,
               The source of this our watch and the chief head
               Of this post-haste and romage in the land.

     S. 19. "V duhovnom oke dazhe i sorinka..."
     "A mote it is to trouble the mind's eye..."

     Goracio  yavno   napugan   tem,   kak   ego   sootechestvennik   Bernardo
interpretiroval ego rasskaz, i staraetsya sgladit' situaciyu patetikoj.

     S. 21. "Bej! Ono ne podchinilos'!.."
     "Do, if it will not stand".

     Goracio hochet, chtoby Marcell ostanovil prizraka, a kogda vidit, chto eto
ne udaetsya, prikazyvaet udarit'  togo  alebardoj.  Gamletu  on  ob  etom  ne
rasskazhet, tol'ko obmolvitsya, chto prizrak proshel "na rasstoyanii  ego  zhezla"
(a ne drevka alebardy Marcella, kotoryj nanes udar mertvomu korolyu).
     Podrobnee sm. na s. 271-272.

     S. 22. "Vzglyanite: utro v pepel'nom i alom..."
     "But, look, the morn, in russet mantle clad, walks o'er the dew of  yon
high eastward hill..."

     Po prozaicheskomu perevodu M. Morozova: "No posmotrite, utro,  odetoe  v
bagryanyj plashch, shagaet po rose toj vysokoj gory na vostoke".
     |ti stroki mozhno ponyat' kak namek na  neuznannogo  Lyucifera,  unosyashchego
posle krika petuha dushu Starogo Gamleta. Lyucifer  -  srednevekovyj  evfemizm
imeni d'yavola. Po-russki eto  mozhno  perevesti  kak  "Svetozarnyj"  (antonim
vyrazheniya - "Begushchij ot sveta").  Ob®yasnimo  i  to,  pochemu  rech'  imenno  o
vostochnoj gore: sklony gor, nahodyashchihsya k zapadu,  uzhe  osveshcheny  voshodyashchim
solncem, poetomu nechistaya sila dolzhna bezhat' ot sveta imenno  na  vostok,  v
ten' gory, eshche sohranyayushchej ostatki nochi.  I  Goracio  putaet  bagryanyj  plashch
Lyucifera s zarej.

                            Scena 2. Zal v zamke

     S. 25. "Moj milyj Gamlet! Skin' nochnoj  pokrov.  Vzglyani  kak  drug  na
Daniyu..."
     "Good Hamlet, cast thy nighted colour off, and let thine eye look  like
a friend on Denmark..."

     Koroleva igraet korolya ne huzhe, chem  svita.  Vspomnim,  chto  Goracio  v
pervoj zhe svoej replike v p'ese attestoval sebya i svoih priyatelej-strazhnikov
"druz'yami etoj strany" (friends to this  ground).  Ochevidno,  chto  v  slovah
korolevy soderzhitsya namek na donosy, v  kotoryh  Gamlet  ob®yavlyalsya  "vragom
Danii".

                          Scena 3. Komnata Poloniya

     S. 36. "Tak, nabuhaya, vyzrevaet plod..."
     "For nature, crescent, does not grow alone..."

     My sochli vozmozhnym tak perevesti sleduyushchie stroki:

                 For nature, crescent, does not grow alone
                 In thews and bulk, but, as this temple waxes,
                 The inward service of the mind and soul...

     V perevode M. Morozova: "Ibo priroda, razvivayas', rastet  ne  tol'ko  v
otnoshenii kreposti myshc i razmerov tela..." No Laert preduprezhdaet sestru ne
o tom, chto v rezul'tate romana s Gamletom ona mozhet potolstet',  skazhem,  ot
edy.

     S. 37. "Vtoroj ot®ezd - dvojnaya blagodat'".

     V originale:

                    A double blessing is a double grace,
                    Occasion smiles upon a second leave.

     V perevode M.Morozova:  "Dvojnoe  blagoslovenie  -  dvojnaya  blagodat'.
Sluchaj ulybnulsya dvojnomu proshchaniyu".
     Laert iz Danii odnazhdy  uzhe  uehal,  odnako  dolzhen  byl  vernut'sya  na
koronaciyu Klavdiya.

     S. 40. "Aga, ty nazyvaesh' eto sposob lyubvi.... Nu-nu..."
     "Ay, fashion you may call it; go to, go to".

     Polonij v silu svoej natury ne mozhet otvazhit'sya  na  pryamoj  vopros,  a
potomu vynuzhden lish' gadat', skol' daleko zashli otnosheniya Ofelii i  Gamleta.
Neglupaya Ofeliya znaet otca i znaet, kak nado otvechat',  chtoby  sberech'  svoyu
tajnu.

                             Scena 4. |splanada

     S. 42. "Vzamen ego i v chest' ego fanfary..."
     "The kettle-drum and trumpet thus bray out the triumph of his pledge".

     "To bray" - izdavat' rezkij nepriyatnyj zvuk, krichat'  oslom.  No  obraz
trub, orushchih  vsyakij  raz,  kak  korol'  osushaet  kubok,  ne  ostavlyaet  nam
vozmozhnosti inogo perevoda, chem tot, kakoj my dali. Sm. s. 298.

                            Scena 5. Dvor zamka

     S. 47. "Odno lish' slovo, i vstanut dybom volosy..."
     "...lightest word... and each particular hair to stand on end..."

     Prizrak soobshchaet, chto ne mozhet narushit'  zaklyatiya  svoego  zatocheniya  i
raskryt'  glavnuyu  tajnu,  "prinadlezhashchuyu  vechnosti"  i  potomu  nedostupnuyu
smertnomu uhu. Strashnaya tajna ada - ego obrechennost' i konechnaya pobeda Sveta
nad T'moj.
     Smertnomu uhu ee raskryl Hristos.
     Staryj Gamlet nahoditsya v adu. |to sleduet iz  upominaniya  o  morgayushchem
emu svetlyachke i tayushchem blednom ogne poslednego. CHto eto za svetlyachok  stanet
ponyatno, esli my ryadom s shekspirovskim tekstom polozhim  tekst  "Bozhestvennoj
komedii": eto v dvadcat' shestoj pesne u Dante  Vos'moj  krug  ada  rascvechen
"plyashushchimi svetlyachkami", kotorye pri etom "tayut, kak podnimayushcheesya oblachko".
Procitiruyu v podstrochnom  perevode  Osipa  Mandel'shtama:  "...Tak  yazykastoe
plamya napolnyalo shcheli grobnic, utaivaya dobro grobov - ih pozhivu, i v obolochke
kazhdogo ognya pritailsya greshnik" (O.|. Mandel'shtam. Ob iskusstve. M, 1995, s.
300).
     |to ne prosto reminiscenciya: v Vos'mom kruge  ada  tomyatsya  razrushivshie
Troyu gnevlivye i kovarnye Uliss (Odissej) i ego drug argosskij car'  Diomed.
|to oni hitrost'yu uvezli na Troyanskuyu vojnu Ahilla.
     No nachinaetsya rasskaz o Vos'mom kruge s upominaniya o scepivshihsya  iz-za
vlasti v Fivah i ubivshih drug druga  |teokle  i  Polinike,  synov'yah  |dipa.
Posle chego gorod popal v rabstvo, dostavshis' ih dyade zhestokomu Kreontu.
     Napomnim, chto Staryj Gamlet ubil Starogo Fortinbrasa, a Klavdij Starogo
Gamleta. Tak chto duh Starogo Gamleta  vpolne  zakonomerno  dolzhen  okazat'sya
imenno v Vos'mom kruge.



                          Scena 1. Komnata Poloniya

     S. 58. "Milord, no eto zhe i est' beschest'e..."
     "My lord, that would dishonour him".

     SHekspir pokazyvaet vsyu chudovishchnost' i bespoleznost' togo, chto v XX veke
nazovut "rabotoj specsluzhb". Okazyvaetsya, chtoby uberech' Laerta ot  soblaznov
parizhskoj zhizni, Rejnal'do dolzhen ego oklevetat' i tem  vojti  v  doverie  k
nedrugam Laerta. Po suti Polonij predlagaet unichtozhit' syna moral'no,  chtoby
spasti ego fizicheski.

     S. 62. "A u poroga tiho zasmeyalsya i brosil nezhnyj vzglyad..."
     "Ne seem'd to find his way without his eyes; for out  o'doors  he  went
without their helps..."

     Gamlet demonstriruet Ofelii, chto on ne sumasshedshij, no lish' razygryvaet
etu rol'. Ofeliya ego ne ponimaet, kak sam  Gamlet  ne  ponyal  preduprezhdeniya
otca ne sledovat' ego slovam o mesti, a obratit'sya k Hristu.

                            Scena 2. Zal v zamke

     S. 67. "CHto zh, eto my voz'mem i pochitaem..."
     "It likes us well; and at our more consider'd time well  read,  answer,
and think upon this business".

     Zamechatel'na posledovatel'nost', s kotoroj Klavdij sobiraetsya  rabotat'
s  vazhnejshim  diplomaticheskim  dokumentom.  Staryj  Norvezhec  prosit   prava
svobodnogo prohoda cherez Daniyu vojskam Fortinbrasa, a reakciya korolya takova:
voz'mem, pochitaem na dosuge, otvetim, a posle i obdumaem. Tol'ko mnogo pozzhe
ot samogo Fortinbrasa my uznaem, chto nikakogo otveta norvezhcy  ne  poluchili.
Bolee togo, vyyasnyaetsya, chto posly Klavdiya prevysili svoi polnomochiya, posuliv
norvezhcam pravo svobodno sledovat' cherez Daniyu v  Pol'shu.  (Fortinbras,  uzhe
vysadivshis' v Danii, prosit lish' obeshchannogo podtverzhdeniya.) Korolyu ego posly
o takoj svoej samodeyatel'nosti ne soobshchili, hotya on povelel  im  dejstvovat'
"v ustanovlennyh predelah". Vmesto togo chtoby reshat' voprosy vojny  i  mira,
korol' zovet vernuvshihsya iz Norvegii poslov na ocherednuyu nochnuyu p'yanku.

     S. 73 "Derzhite ee v teni. Zemnye plody blagoslovenny, esli oni ne zreyut
vo chreve vashej docheri".
     "Let her not walk i' the sun: conception is a blessing: but not as your
daughter may conceive".

     V perevode Sergeya Nikolaeva: "Ne davajte ej  gulyat'  pod  solncem  [eto
idioma -  imeetsya  v  vidu  prosto  "svetit'sya  pered  muzhchinami"];  zachatie
blagoslovenno, no ne v tom sluchae, esli zaberemeneet vasha doch'"
     Gamlet, kak ranee Laert, popadaet v tochku. Oba oni  tak  nikogda  i  ne
uznayut, chto Ofeliya beremenna.

     S. 75. "Na talii ili v samoj prichine vseh ee milostej?"
     "Then you live about her waist, or in the middle of her favours?"

     Skabreznost' tona i vyrazhenij ob®yasnyaetsya tem, chto razgovarivayut  lyudi,
rasstavshiesya podrostkami. Drugogo obshchego yazyka u nih prosto net.  Pozzhe  etu
maneru obshcheniya Gamlet ispol'zuet v razgovore s Ofeliej.

     S. 82. "Vy pravy, ser, utro bylo imenno v ponedel'nik".
     "You say right, sir: o'Monday morning; 'twas so indeed".

     Perevod M. Morozova: "Vy pravy, ser. V ponedel'nik  utrom.  Tak  eto  v
dejstvitel'nosti i bylo".
     |ti slova Gamlet govorit  Rozenkrancu  i  Gil'densternu  gromko,  chtoby
slyshal Polonij. No v takom vide oni pochti bessmyslenny. Krome  togo,  skazav
tak, Gamlet riskuet  byt'  razoblachennym  Poloniem:  kak  shpion  korolya  tot
obyazatel'no  pointeresuetsya  pozzhe  u  kolleg-shpionov   (uzhe   razoblachennyh
Gamletom) Rozenkranca i Gil'densterna, o chem shla rech',  i  obnaruzhitsya,  chto
Gamlet pered Poloniem prosto valyal duraka. Polonij pojmet, chto Gamlet s  nim
lish' igraet, a znachit, on ne soshel s uma i  t.  d.  Na  dele  Gamlet  dolzhen
skazat' chto-to, chto voobshche ne vyzovet interesa u Poloniya. I eto pri tom, chto
tot vidit princa, chto-to nasheptyvayushchego svoim shkol'nym druz'yam. (A shepchet on
kak raz po povodu Poloniya, zastavlyaya tem  priyatelej-stukachej  poverit',  chto
im-to on doveryaet.)
     Predstavlyaetsya, chto est'  lish'  odno  reshenie  dannoj  tekstologicheskoj
problemy. Vidimo, Gamlet demonstriruet Poloniyu, chto so shkol'nymi druz'yami on
vedet  rutinnuyu  sholasticheskuyu  besedu  o   SHestodneve.   (|to   nablyudenie
prinadlezhit moskovskomu filologu Makaru Aleksandrenko.)
     Gospod'  v  Pervyj  den',  to  est'  v  voskresen'e,   sotvoril   svet,
neposredstvenno otdeliv ego ot t'my: "I byl vecher, i bylo utro: den'  odin".
Znachit, pervoe utro prihoditsya  imenno  na  ponedel'nik.  No  esli  tak,  to
shekspirovskaya fraza v ee nachal'nom vide,  skoree  vsego,  byla  takoj:  "The
morning  was  on  Monday;  'twas  so   indeed".   (|to   napominaet   bogato
alliterirovannyj sholasticheskij aforizm ili stihovuyu stroku. My ne  dobavili
ni odnoj novoj bukvy, a lish' "skroili"  novuyu  frazu  iz  sozvuchij  staroj.)
Mozhet  stat'sya,  chto  oshibka,  privedshaya  k  "ispravleniyu"  teksta,  byla  v
odnoj-edinstvennoj bukve, nepravil'no ponyatoj perepischikom  ili  naborshchikom:
vmesto "You say right, sir..." moglo byt' "You say night, sir..."

     C. 84. "Svirepyj Pirr glyadit girkanskim tigrom..."
     "The rugged Pyrrhus, like the Hyrcanian beast..."

     Belym stihom v Anglii stali pisat'  lish'  za  polveka  do  SHekspira.  V
rasskaze |neya o gibeli Priama  parodiruetsya  sovremennaya  SHekspiru  lubochnaya
dramaturgiya: rifm net, no  oni  ugadyvayutsya.  Tak  chto  samo  ih  otsutstvie
privodit k komicheskomu effektu. A v "Ubijstve  Gonzago"  SHekspir  parodiruet
anglijskij variant rifmovannoj virshevoj poezii, nedaleko  ushedshej  ot  togo,
chto v russkoj kul'ture zovetsya raeshnikom.

                            Scena 3. Zal v zamke

     S. 93. "Tak byt' ili ne byt'?.. Nu i vopros!.."
     "To be, or not to be: that is the question..."

     Gamlet ne znaet, chto Ofeliya podoslana k nemu korolem i  Poloniem.  (Oni
hotyat vyvedat' prichinu sumasshestviya Gamleta, a u  Ofelii  svoya  koryst':  ej
nado vyyasnit', dejstvitel'no li bezumen otec ee budushchego rebenka.)
     |tot monolog Gamlet proiznosit ne v pustotu, a obrashchayas' k Ofelii.  Ego
vtoraya popytka  pokazat'  neveste,  chto  on  ne  sumasshedshij,  zakanchivaetsya
provalom. Ofeliya nichego ne pojmet iz skazannogo, primet filosofiyu Gamleta za
bred i uchastlivo osvedomitsya, kak on sebya chuvstvuet?
     Otvet Gamleta pokazyvaet,  chto  illyuzii  ego  razveyany,  i  dal'she  emu
pridetsya v svoej igre opirat'sya tol'ko na Goracio.

     S. 98. "Bezum'e pervyh lic, po krajnej mere, trebuet uchast'ya".
     "Madness in great ones must not unwatch'd go".

     V perevode M. Morozova: "Bezumie znatnyh lyudej ne dolzhno ostavat'sya bez
prismotra". Korol' ubedilsya, chto Gamlet lish'  pritvoryaetsya  bezumnym,  kogda
iz-za arrasskogo kovra vyslushal obrashchennyj  k  Ofelii  monolog  Gamleta.  Na
yazyke Klavdiya "prismotr" - slezhka i prinyatie mer, to est' ubijstvo.

                            Scena 4. Zal v zamke

     S. 100. "|gej, ho-ho, Goracio!.."
     "What ho! Horatio!"

     SHekspir proyavlyaet latinskoe slovo "ratio" (racio,  razum),  zvuchashchee  v
imeni Goracio. Poskol'ku v p'ese  do  etogo  dvazhdy  zvuchit  i  obygryvaetsya
Gamletom mezhdometie "ho-ho!", replika  princa  na  sluh  vosprinimaetsya  kak
"What ho-ho! Ratio!".

     S. 101. "Aga, vot ty podumal, chto ya l'stec..."
     "Nay, do not think I flatter..."

     Ves'  etot  obrashchennyj  k   Goracio   panegirik   Gamleta   tradicionno
prinimaetsya issledovatelyami, chitatelyami, rezhisserami i zritelyami  za  chistuyu
monetu. No Gamlet lyubit Goracio, i emu prostitel'no oshibat'sya v tom, kogo on
naselyaet svoimi myslyami i svoim blagorodstvom. Nichem  iz  etogo  Goracio  ne
obladaet.

     S. 103. "Sudarynya, ya lyagu k vam v nogi?"
     "Lady, shall I lie in your lap?"

     S etogo mesta Gamlet mstit Ofelii, ibo schitaet  ee  povedenie  izmenoj.
Otsyuda i nachinaetsya chreda  ego  skabreznostej,  ne  ostavlyayushchih  somnenij  v
haraktere ih bylyh otnoshenij.
     Cel' oskorblenij, kotorymi Gamlet osypaet Ofeliyu, - razryv s  predavshej
vozlyublennoj. Vidimo, v spektakle, shedshem v "Globuse",  Gamlet  slyshal,  kak
Polonij chitaet korolyu i koroleve ego pis'mo Ofelii,  a  potomu  uveren,  chto
Ofeliya ego predala. No Ofeliya, kak ona sama o tom govorit,  vernula  Gamletu
ego pis'ma. Esli tak, to Polonij ukral odno iz nih, a vse ego uvereniya, mol,
doch' sama ih otdala, - lozh' i licemerie.

     S. 113. "Esli p'esa ne po pravu, // Znachit, p'esa pro otravu".
     "For if the king like not the comedy, // Why then, belike, he likes  it
not, perdy".
     V perevode M. Morozova: "Ibo  esli  korolyu  ne  nravitsya  komediya,  nu,
znachit, po-vidimomu, ona emu, chert voz'mi, ne nravitsya".
     A.N. Gorbunov v svoem kommentarii (Uil'yam  SHekspir.  Gamlet.  Izbrannye
perevody. M., 1985, s. 617) ukazyvaet,  chto  zdes'  parodiruyutsya  stroki  iz
"Ispanskoj tragedii" Tomasa  Kida  (IV,  I),  napisannoj  okolo  1585  g.  i
opublikovannoj v 1594 g.: "And if the world like not this tragedy // Hard is
the hap of old Hieronimo".

                          Scena 5. Komnata korolya

     S. 120. "Moj greh smerdit do samyh do nebes..."
     "O, my offence is rank it smells to heaven..."

     Samoe porazitel'noe  v  molitve  korolya,  chto  Gospod'  emu,  zlodeyu  i
dushegubu, i vpryam' otvechaet. CHego korol', vprochem, ne ponimaet,  dumaya,  chto
eto on sam izlagaet argumenty i  za  sebya,  i  za  Vsevyshnego.  Uvy,  Gamlet
vzyvaet k Nebu lish' ritoricheski, a za sovetom obrashchaetsya ili k Goracio,  ili
k svoemu sobstvennomu racio. Poetomu shansa pobedit' u nego net.

                         Scena 6. Komnata korolevy

     S. 125. "CHto znachit - ubit' supruga-korolya"?.." - "A to i znachit".
     HAMLET: A bloody deed! almost as bad, good mother, as kill a king,  and
marry with his brother.
     QUEEN GERTRUDE: As kill a king!
     HAMLET: Ay, lady, 'twas my word.

     Slova Gamleta -  ne  ogovorka.  Klavdij  ne  stal  by  ubivat'  Starogo
Gamleta, esli b ne byl uveren, chto vdova korolya nemedlenno  pojdet  za  nego
zamuzh. (Inache korona pereshla by  k  princu  Gamletu.)  Sledovatel'no,  roman
Gertrudy i Klavdiya nachalsya eshche pri zhizni Gamleta-starshego. Pojdya na lyubovnuyu
svyaz' s bratom supruga, koroleva obrekla muzha  na  smert'.  V  Drevnem  Rime
pohozhij syuzhet imel mesto pri imperatore Klavdii. Sm. s. 295.

     S. 125. "Vse. Hvatit. Prekratite prichitat'..."

                Leave wringing of your hands: peace! sit you down,
                And let me wring your heart; for so I shall,
                If it be made of penetrable stuff,
                If damned custom have not brass'd it so
                That it is proof and bulwark against sense.

     Posle etogo koroleva vzryvaetsya: "Da chto zhe ya takoe sovershila,  chto  ty
tak raspuskaesh' svoj yazyk?" (What have I done,  that  thou  darest  wag  thy
tongue in noise so rude against me?) Rech'  idet  ne  o  mednyh  latah,  a  o
raznovidnosti naperstka - mednom  protivozachatochnom  kolpachke.  Vmesto  etoj
malouchtivoj po otnosheniyu  k  materi  metafory  Gamlet  vskore  najdet  obraz
"neprobivaemoj korki", chej sostav derzhitsya do Strashnogo Suda:

                   Yea, this solidity and compound mass,
                   With tristful visage, as against the doom,
                   Is thought-sick at the act.

     C. 130. "...Otec, ne nado tak glyadet'..."

     V originale eti slova Gamleta zvuchat tak:

                 Do not look upon me;
                 Lest with this piteous action you convert
                 My stern effects: then what I have to do
                 Will want true colour; tears perchance for blood...

     Vidimo, Staryj Gamlet, nahodyashchijsya vo vlasti ada i lishennyj sobstvennoj
voli, vynuzhden proiznosit' to, chto  dolzhno  pogubit'  dushu  syna,  i  potomu
pribegaet k priemu, vo vse veka ispol'zuemomu  obvinyaemymi  vo  vremya  ochnyh
stavok: on glazami pokazyvaet Gamletu, chto tot ne dolzhen verit'  ego  recham.
Gamlet ego ne ponimaet.

     S. 132. "...Nebesa hoteli i nakazat' ego cherez menya, i nakazat' menya za
nepokornost'..."
     "...but heaven hath pleased it so, to punish me with this and this with
me..."

     Gamlet opravdyvaet svoj postupok tem, chto Nebo  dejstvuet  cherez  nego.
Princ ne ponimaet, chto na samom dele, igraya ego strastyami, s nim igraet bes.

     S. 133. "Ne bojsya. Esli slovo sozdaetsya..."
     "Be thou assured, if words be made of breath, and  breath  of  life,  I
have no life to breathe what thou hast said to me".

     S pervogo svoego poyavleniya v p'ese  Gertruda  vela  sebya  kak  zapisnaya
dura, i tol'ko  zdes'  stanovitsya  yasno,  chto  ee  glupost'  -  lish'  maska,
neobhodimaya, chtoby vyzhit' ryadom s Klavdiem.

                          Scena 7. Komnata korolya

     S. 135. "On bezumen, kak more s bureyu, kogda oni dokazyvayut, kto iz nih
glavnee".
     "Mad as the sea and wind, when both contend which is the  mightier:  in
his lawless fit..."

     |toj frazoj  koroleva  sebya  vydaet,  no  korol'  ne  obrashchaet  na  eto
vnimaniya.  Mezh  tem  zdes'  "more  s  burej"  -  eto  imenno  poedinok  dvuh
protivoborstvuyushchih nachal, kotorye predstavleny Gamletom i Klavdiem.

     S. 136. "I shepotok, kotoryj, kak iz pushki..."

     V originale obraz voshodyashchego po diametru zemli izverzheniya, potryasayushchij
po sile obraz narodnogo vozmushcheniya:

                And what's untimely done; so haply slander,
                Whose whisper o'er the world's diameter,
                As level as the cannon to his blank,
                Transports his poison'd shot, may miss our name,
                And hit the woundless air...

     V pozdnem Srednevekov'e na zapadnoevropejskih  pushkah  inogda  otlivali
nadpis' "ultima ratio regis" (poslednij dovod korolya). Dvazhdy v p'ese korol'
prikazyvaet, chtoby pushki "skazali Nebesam" (2 scena I akta  i  5  scena  III
akta  po  nashemu  deleniyu  teksta).  No  na  takie  "dovody  korolej"   est'
tektonicheskij otvet pushki, strelyayushchej "po diametru zemli".

                          Scena 8. Komnata Gamleta

     S. 137. "...Ukryt v ukromnom meste".
     "Safely stowed".

     V originale: "Nadezhno spryatan". No gde? |tu zagadku ne  razgadyvayut  ni
Rozenkranc s Gil'densternom, ni shekspirovedy.
     Pod lestnicej v zamkah ustraivali tualety. Sm. s. 258-259.

                          Scena 9. Komnata korolya

     S. 139. "Tak porazhennyj organ otsekayut ili ne lechat vovse".
     "...diseases desperate grown by desperate appliance  are  relieved,  or
not at all".

     V doslovnom perevode Mihaila Lozinskogo:

                      ...Otchayannyj nedug
                      Vrachuyut lish' otchayannye sredstva
                      Il' nikakie.

     Iz etogo sleduet, chto Klavdij - radikal. K konstruktivnoj i planomernoj
rabote on ne sposoben.

     S. 141. "Posledujte za nim, poka ne pozdno".
     "Follow him at foot..."

     Bukval'no: "Sledujte za nim po  pyatam..."  |to  pervaya  fraza  monologa
korolya, v kotorom on nazyvaet veshchi svoimi imenami i prikazyvaet  anglijskomu
korolyu ubit' Gamleta. Sm. s. 275-277.

                             Scena 10. Ravnina

     S. 142. "Stupajte i skazhite korolyu..."

     Sm. primechanie k s. 67 na s. 221.

     S. 145. "...izyashchnyj mal'chugan..."
     "...delicate and tender prince..."

     Princ Gamlet nikogda ne videl princa Fortinbrasa, no  predstavlyaet  ego
po sebe - nezhnym i izyashchnym. Bolee strannyh harakteristik podobrat' dlya togo,
ch'e  imya  v  perevode  s  francuzskogo  oznachaet  "Sil'naya  ruka",   vidimo,
nevozmozhno.
     V etom poslednem iz filosofskih monologov Gamleta (dal'she emu budet  ne
do vysokih materij!) SHekspir pokazyvaet tu irracional'nuyu logiku, po kotoroj
ego geroj pytaetsya samogo sebya ugovorit' na dejstvie. Gamlet chuvstvuet,  chto
vse v nem protivitsya mesti, poetomu logika ego samougovorov takova: vot radi
vyedennogo yajca dvadcat' tysyach muzhchin idut na bessmyslennuyu bojnyu. (Gamlet v
desyat' raz uvelichivaet cifru, tol'ko chto im samim i nazvannuyu.) Znachit, i ya,
mol, dolzhen sdelat' to bessmyslennoe, protiv chego vosstaet vse moe sushchestvo.



                          Scena 1. Komnata korolya

     S. 146. "Besedovat' ya s neyu ne hochu".
     "I will not speak with her".

     Po Vtoromu kvarto scena nachinaetsya s togo, chto  k  koroleve  s  donosom
prihodyat dva shpiona: Nekij Pridvornyj  (Gentleman)  i  Goracio.  Po  Pervomu
folio Goracio prihodit odin. Podrobnee sm. s. 272-273.

     S. 149. "Nadeyus', vse budet horosho. Nado tol'ko poterpet'".
     "I hope all will be well. We must be patient: but I cannot  choose  but
weep, to think they should lay him i' the cold ground. My brother shall know
of it: and so I thank you for your good counsel. Come, my coach! Good night,
ladies; good night, sweet ladies; good night, good night".

     Rech' Ofelii stanet ponyatna, esli dopustit',  chto  soblaznennaya  devushka
zhdet rebenka. Sm. s. 249-255.

     S. 150. "Posledujte za neyu po pyatam. Proshu vas!.."
     "Follow her close; give her good watch, I pray you".

     My uzhe znaem, chto  takie  vyskazyvaniya  Klavdiya  zakanchivayutsya  smert'yu
togo, za kem idut "po pyatam" ili "sovsem blizko". (Sm. prim. k s. 141 na  s.
228.) Srazu posle etoj  korolevskoj  pros'by  i  sleduet  remarka:  "Goracio
vyhodit", a korol'-otravitel' govorit o "yade pechali", kotorym  posle  smerti
otca otravlen um Ofelii. Podrobnee ob etom na

     s. 275-277.

     S. 755. "Ty dolzhen pet'  vse  nizhe,  nizhe...  I  zvat'  ego  vse  nizhe,
nizhe..."
     "You must sing a-down a-down, An you call him a-down-a".

     Ofeliya poet eto dvustishie Laertu, predskazyvaya, chto on  sprygnet  v  ee
mogilu i zazovet tuda Gamleta. Vtoroj smysl prorochestva v  tom,  chto  imenno
Laert predlozhit korolyu namazat' svoyu rapiru yadom i ub'et zheniha Ofelii.

     S. 156. "Slavnyj Robin, moj malysh, - Vsya radost' moya".
     "For bonny sweet Robin is all my joy".

     V originale Robin nazvan milashkoj (slavnym milym). Ofeliya poteryala otca
i zheniha. Ponyatno, chto poet ona vnov' o passazhire toj karety, gde loshadkoj -
sama Ofeliya.

                          Scena 2. Komnata Goracio

     My predpolagaem, chto pered etoj scenoj sledovala intermediya,  vozmozhnoe
opisanie kotoroj my vklyuchili v nash perevod (s. 158), a obosnovanie  pomeshchaem
v prilozhenii k perevodu (sm. stat'yu ""Gamlet".  Poetika  zagadok"  i  stat'yu
"Formula SHekspira"). Vprochem, intermediya  mogla  byt'  i  bolee  lakonichnoj:
skazhem, razvesiv venki, Ofeliya uhodila za scenu, a cherez mgnovenie poyavlyalsya
Goracio i vylival vodu iz svoej obuvi.

     S. 158. "I kto zhe govorit' so mnoyu hochet?.."
     "What are they that would speak with me?"

     Iz etoj sceny my uznaem, chto  Goracio  uzhe  zhivet  vo  dvorce.  Eshche  my
uznaem, chto, okazyvaetsya, Goracio  nikto  vo  vsem  mire  ne  lyubit.  Krome,
razumeetsya, Gamleta.

                          Scena 3. Komnata korolya

     S. 160. "...Byla vershinoj nashego stolet'ya".
     "Stood challenger on mount of all the age..."

     Raznica  s  mirovospriyatiem  Gamleta,  dlya  kotorogo  "vremya  vyvihnulo
sustav", slishkom ochevidna, chtoby ee kommentirovat'.

     S. 167. "Vy znaete povalennuyu ivu..."

     Privedem po originalu etot fantasticheskij monolog Gertrudy:

              There is a willow grows aslant a brook,
              That shows his hoar leaves in the glassy stream;
              There with fantastic garlands did she come
              Of crow-flowers, nettles, daisies, and long purples
              That liberal shepherds give a grosser name,
              But our cold maids do dead men's fingers call them:
              There, on the pendent boughs her coronet weeds
              Clambering to hang, an envious sliver broke;
              When down her weedy trophies and herself
              Fell in the weeping brook. Her clothes spread wide;
              And, mermaid-like, awhile they bore her up:
              Which time she chanted snatches of old tunes;
              As one incapable of her own distress,
              Or like a creature native and indued
              Unto that element: but long it could not be
              Till that her garments, heavy with their drink,
              Pull'd the poor wretch from her melodious lay
              To muddy death.

     Sm. s. 277.

                             Scena 4. Kladbishche

     S. 169. "Esli chelovek idet k vode i topitsya, znachit, on  sam  idet.  No
esli ne on k vode, a voda k nemu, znachit, on  ne  utopilsya,  no  vovse  dazhe
utoplen. Poetomu, kto ne vinovat v svoej smerti, tot  ne  sokrashchal  i  svoej
zhizni".
     "...if the man go to this water, and drown himself,  it  is,  will  he,
nill he, he goes, mark you that; but if the water come to him and drown him,
he drowns not himself: argal, he  that  is  not  guilty  of  his  own  death
shortens not his own life".

     Mogil'shchik popadaet v tochku. Ofeliya  ne  utonula,  ej  pomogli  utonut'.
Priem sluchajnogo popadaniya SHekspir eshche dvazhdy ispol'zuet v "Gamlete". I  vse
tri raza svyazany s Ofeliej. Tak i Laert nachinaet ej  chitat'  svoyu  moral'  s
obraza nabuhayushchego ploda ("For nature, crescent, does not grow alone..."), a
Gamlet, tozhe ne znaya, chto Ofeliya beremenna, vygovarivaet  ee  otcu:  "Zemnye
plody blagoslovenny, no ne kogda oni zreyut v chreve vashej docheri".

     S. 179. "Kogo eto oni hotyat zaryt' po usechennomu obryadu?.."
     "...who is this they follow? And with such maimed rites?"

     Goracio ne skazal Gamletu, chto Ofeliya mertva, ved' etim on  mog  vydat'
sebya. Estestvenno, on sdelal vid, chto ego v |l'sinore v tot  moment  uzhe  ne
bylo. Lyubopytno, chto Goracio voobshche nikak ne obnaruzhivaet svoego otnosheniya k
etoj smerti. A ved' on tak zabotilsya ob Ofelii...

     S. 183. "Takoj zhe bred, kak v komnate moej".
     "This is mere madness: and thus awhile the fit will work on him..."

     Koroleva boitsya Klavdiya i vnov' prikidyvaetsya durochkoj.  |tu  rol'  ona
igraet ochen' umno.

     S. 183. "YA dolzhen vas, Goracio, prosit' hotya by malost' prismotret'  za
princem".
     "I pray you, good Horatio, wait upon him".

     Goracio na sluzhbe. Pri etom zametim, chto korol' ne  skazal  "Sleduj  za
nim po pyatam". On ponimaet, chto Goracio  s  Gamletom  spravit'sya  ne  mozhet,
krome togo, plan s otravlennym klinkom i bokalom uzhe  blizok  k  realizacii.
Prismotret' zhe za Gamletom nado, chtoby on nichego ne uchudil do poedinka.

                            Scena 5. Zal v zamke

     S. 187. "Odnako nichego sebe korol'!.."
     "Why, what a king is this!"

     Gamletu prihoditsya opravdyvat'sya pered Goracio za to, chto  on  otpravil
na smert' Rozenkranca i Gil'densterna. Goracio sam navedet ego na etu  temu.
Argumentaciej  Gamleta  on,  vidimo,  budet  udovletvoren,   poskol'ku   ona
opravdyvaet, v chastnosti, i ubijstvo Ofelii:
     "Oni nashli zanyatie po vkusu i etim sami smert' sebe izbrali. Ih krov' -
ona na nih, a ne na mne. Nichtozhestvo dolzhno blyusti prilich'ya, a  ne  sovat'sya
mezh dvumya klinkami, kogda protivniki derutsya nasmert'..."

     S. 188. "Znakomstvo s nim - uzhe rod neduga. On... zhivotnoe".
     "Thy state is the more gracious; for 'tis a vice to know him.  He  hath
much land, and fertile: let a beast be lord of beasts, and  his  crib  shall
stand at the king's mess: 'tis a chough; but, as  I  say,  spacious  in  the
possession of dirt".

     Ozrik  (po  dogadke  peterburgskogo  rezhissera   i   scenografa   Marka
Bornshtejna) priderzhivaetsya netradicionnoj seksual'naoj orientacii.  To,  chto
my pereveli vyrazheniem "rod neduga", v originale zvuchit  kak  "porok".  Ves'
dal'nejshij tekst samogo Ozrika i gamletovskaya parodiya na nego dayut osnovaniya
polagat', chto tot rod "nadutogo pustosloviya", kotoroe demonstriruet Ozrik, i
vpryam' mozhet byt' okrashen  v  golubye  tona.  Odnako  dokazat'  eto  mne  ne
predstavlyaetsya vozmozhnym.
     Pri etom v "Gamlete"  est'  gomoseksual'naya  parochka.  Takovy  shkol'nye
priyateli Gamleta - Rozenkranc (nemeckaya ego familiya perevoditsya kak Venok iz
Roz) i Gil'denstern (po-nemecki eto  mozhno  ponyat'  kak  iskazhennoe  Zolotaya
Zvezda, no po-anglijski stern - zad). I potomu  familiyu  Gil'denstern  mozhno
perevesti kak Zlatozad ili Zlatoguz. Vnimatel'nyj chitatel' sam  obnaruzhit  v
tekste "Gamleta" kak minimum tri podtverzhdeniya etoj nashej traktovki.

     S. 196. GAMLET: Izvestno, dyadya, tol'ko to, chto vy postavili na slabogo.
     KOROLX: Pustoe. YA videl, kak fehtuete  vy  oba,  hotya,  konechno,  ne  v
primer tebe, Laert ne prekrashchal svoih zanyatij...
     HAMLET: Very well, my lord your grace hath laid the odds o' the  weaker
side.
     KING CLAUDIUS: I do not fear it; I have seen you both: but since he  is
better'd, we have therefore odds.

     Na primere etogo fragmenta mozhno pokazat', naskol'ko  opasno  brat'  na
veru samye nevinnye slova shekspirovskih personazhej: imenno Gamlet  ezhednevno
zanimalsya fehtovaniem posle ot®ezda Laerta v Parizh (s. 194).
     Korol' vo vsej p'ese ne skazhet drugim ni slova pravdy. On lish'  "menyaet
lichiny". Da neskol'ko raz sluchajno progovarivaetsya.
     V  plany  Goracio  gibel'  Gamleta  ne  vhodit,  poetomu  on   pytaetsya
rasstroit' poedinok. I  vse  zhe  Klavdij  okazalsya  prav:  "po  molodosti  i
blagorodstvu" Gamlet tak i ne ponyal, chto boj s Laertom - zapadnya.

     S. 198. "KOROLEVA: On vzmok i dyshit ochen' tyazhelo..."
     "QUEEN GERTRUDE: He's fat, and scant of breath..."

     M. Morozov perevodit eto "On tuchen i zadyhaetsya" i v primechanii (| 264)
pishet: "On tuchen". - Dover Vil'son tolkuet "He's fat" - "On vspotel".  Takoe
tolkovanie  predstavlyaetsya  nam  krajne  iskusstvennym.  Tem  bolee,  chto  u
SHekspira v drugih mestah nigde i ni razu slovo fat ne vstrechaetsya v znachenii
"potnyj".
     |to oshibka, iz-za kotoroj  v  russkoj  perevodcheskoj  tradicii  prinyato
schitat', chto Gamlet tolst, korotkonog i t.  d.  Tem  bolee  chto  v  scene  s
Ozrikom Gamlet govorit o sebe: "I, odnako, zdes' ochen'  dushno  i  zharko  dlya
moej komplekcii". No Gamlet otkryto izdevaetsya nad Ozrikom, i iz etih  slov,
skoree vsego, sleduet, chto, tolst imenno  Ozrik,  a  ne  Gamlet.  Kstati,  v
"Genrihe IV" est' vyrazhenie "fat room"  -  dushnaya,  zapotevshaya  komnata.  Do
moskovskogo rezhissera Dmitriya Krymova nikto  ne  obrashchal  vnimaniya  na  odin
ves'ma prostoj fakt: koroleva,  umiraya,  sama  soobshchaet  Gamletu,  chto  vino
otravleno. Znachit, ona ponyala, chto za "zhemchuzhinu" brosil v vino  Klavdij,  i
vypila kubok,  spasaya  syna  (i  odnovremenno  konchaya  schety  s  sobstvennoj
zhizn'yu).

     S. 202. "I ne prosite, blagorodnyj princ!  YA  serdcem  rimlyanin,  a  ne
datchanin. Tut est' eshche na donce..."
     "Never believe it: I am more an antique Roman than a Dane:  here's  yet
some liquor left".

     V etoj scene SHekspir delaet  otsylku  k  poslednej  scene  sobstvennogo
"YUliya Cezarya": eto tam "idejnyj predatel'" Brut konchaet s  soboj,  kinuvshis'
na mech, kotoryj derzhit ego sluga. Posle etogo u SHekspira sluga  perehodit  k
pobeditelyam.

                                                                A. YU. CHernov




                               Andrej CHernov



                                 Words. Words. Words. - Slova. Slova. Slova.
                                 Word. Sword. Swords.  - Slovo. Mech. Mechi.

     Kommentiruya "Povest' vremennyh let", D.S. Lihachev zametil, chto  knyaginya
Ol'ga v svoej mesti drevlyanskomu knyazyu Malu dejstvuet po fol'klornomu kanonu
svadebnyh ispytanij. Ona predlagaet poslam-svatam  zagadki,  kotorye  te  ne
umeyut razgadat'. I potomu gibnut. Priznat'sya, ya menee vsego polagal, chto eto
porazivshee svoej ochevidnost'yu lihachevskoe nablyudenie mozhet  prigodit'sya  pri
sochinenii kommentariya k stihotvornomu perevodu "Gamleta".
     Mirovuyu poeziyu (i, mozhet stat'sya, kul'turu voobshche) mozhno  rassmatrivat'
kak bor'bu "yasnogo" i "temnogo" stilej. Skazhem, dlya XII v. _temnyj stil'_  -
cherta  vsej  ojkumeny  (eto  "magicheskaya  temnota"   skal'dov,   to   zhe   u
minnezingerov i trubadurov, to zhe samoe u avtora "Slova o  polku"  i  t.  d.
vplot' do "trudnogo yazyka" Nizami). |to v nachale XIII v.  Rustaveli  skazhet,
chto budet pisat' yasnym yazykom, i delo pojdet  k  Vozrozhdeniyu  s  ego  pryamoj
perspektivoj v zhivopisi i prochimi radostyami poka eshche  yunogo  i  obayatel'nogo
racionalizma. No SHekspir - reakciya na Vozrozhdenie, i "Gamlet" napisan tem zhe
_temnym stilem_.
     Navernoe, esli b u menya ne bylo tridcatiletnego opyta raboty s _temnym_
"Slovom o polku...", ya b nikogda ne uvidel  v  "Gamlete"  togo,  chto  nazval
poetikoj zagadok.
     _Temnyj_ - vovse ne znachit bessmyslennyj. V XIII v.  Snorri  Sturluson,
avtor "Mladshej  |ddy",  tak  zakanchivaet  svoyu  knigu:  "Sozvuchny  i  slova,
oznachayushchie gnev i korabl'. K  podobnym  vyrazheniyam  chasto  pribegayut,  chtoby
zatemnit' stih, i eto nazyvaetsya dvusmyslicej... Podobnye  slova  mozhno  tak
stavit' v poezii, chtoby voznikala  dvusmyslica  i  nel'zya  bylo  ponyat',  ne
podrazumevaetsya li chto-to drugoe, nezheli to,  na  chto  ukazyvaet  predydushchij
stih". {S. Sturluson. Mladshaya |dda. L.,  1970,  s.  179.  O  _temnom  stile_
poetov Evropy i Azii, zhivshih v XII v., sm. moyu rabotu "Poeticheskaya polisemiya
i sfragida avtora v "Slove o polku Igoreve" (v  sb.  Issledovaniya  "Slova  o
polku Igoreve". Otv. redaktor D.S. Lihachev. Leningrad, 1986).}
     Tradicionnoe  literaturovedenie  bylo  stol'  daleko  ot  sih  "temnyh"
predmetov, chto prosto ne obrashchalo na nih vnimaniya. Ne sluchajno v  "Razgovore
o Dante" Mandel'shtam sovetuet poezii gryzt' nogti, ibo ej otkazyvayut v prave
na "chetvertoe  izmerenie",  otkazyvayut  v  "elementarnom  uvazhenii,  kotorym
pol'zuetsya lyuboj kusok gornogo hrustalya".
     V russkoj poezii XX v. ya znayu dva analoga shekspirovskoj  poezii  ("Oda"
Mandel'shtama 1937 g. i  "Poema  bez  geroya"  Anny  Ahmatovoj).  V  sovetskom
kinematografe edva li ne  edinstvennym  analogom  shekspirovskoj  dramaturgii
stal "Moj drug Ivan Lapshin" Alekseya Germana.
     Zametim,  chto  vo  vseh  treh  sluchayah  obrashchenie  k  "temnomu   stilyu"
sprovocirovano samim predmetom povestvovaniya - zhizn'yu  pod  vlast'yu  tirana.
Kak i u SHekspira, u Germana kazhdaya samaya neznachitel'naya detal'  polyarizovana
smyslom. Skazhem, geroj ne mozhet podnyat' giryu v tridcat'  pyatyj  raz,  i  eto
znak,  chto  on  ne  dozhivet  dazhe  do  tridcat'  shestogo:  ego  otzovut   na
"perepodgotovku". I potomu, rashodyas' s dnya rozhdeniya Lapshina,  chekisty  poyut
ne chto-nibud', a takoe: "V poslednij raz na smertnyj boj //  Letit  stal'naya
eskadril'ya..."
     Dlya geroev Germana epizod s girej i marsh, kotoryj oni horom zapevayut, -
ordinarnyj  fon  ih  byta,  no  dlya  samogo  Germana  -  temnyj  i  strogij,
matematicheski raschislennyj infernal'nyj poryadok.
     Nadezhda  YAkovlevna  Mandel'shtam  vspominala,  chto  v  1937   g.   Osipu
|mil'evichu vpervye  v  zhizni  potrebovalsya  stol,  za  kotorym  on  sidel  s
karandashom "pryamo kak Fedin kakoj-to!".
     CHerez shest'desyat shest' let, 5 marta 2003 g.,  v  druzheskom  zastol'e  v
Peterburgskom  Inter'ernom  teatre,  gde  my  s  druz'yami  pominali  Stalina
negromkim  i  nedobrym  slovom,  Nikolaj  Belyak  zahotel   prochitat'   "Odu"
Mandel'shtama. A pered chteniem skazal, chto v nej est' kakoj-to  shifr.  Potomu
chto stihi nastoyashchie, so zvukom, i, kazalos'  by,  bessmyslennaya  stroka  "Na
shestiklyatvennom prostore" slovno na chto-to namekaet...

                      ...Na shestiklyatvennom prostore.
                      I kazhdoe gumno i kazhdaya kopna
                      Sil'na, uborista, umna - dobro zhivoe -
                      CHudo narodnoe! Da budet zhizn' krupna.
                      Vorochaetsya schast'e sterzhnevoe.
                      I shestikratno ya v soznan'i beregu...

     Itak, v krajnih strochkah dve shesterki. Esli eto otsylka k CHislu  Zverya,
to mezhdu dvumya shesterkami dolzhna byt' eshche odna... A ona i est',  ved'  pered
nami shestaya strofa "Ody".  Da  i  samo  chislo  strok  v  zapovednom  otryvke
(vklyuchaya, razumeetsya, krajnie stroki-signaly) - tozhe shest'.
     Pro chto zhe "Oda"? CHitaem dal'she:

                      ...Uhodyat vdal' lyudskih golov bugry:
                      YA umen'shayus' tam, menya uzh ne zametyat,
                      No v knigah laskovyh i v igrah detvory
                      Voskresnu ya skazat', chto solnce svetit...

     Perevedem na prozaicheskij:  menya  ub'yut  vmesti  s  ushedshimi  v  lagerya
(Bol'shoj Terror nachalsya ne s 1937-go i ne s ubijstva Kirova v  1934-m,  a  s
raskrest'yanivaniya Rossii v 1929 g.), no  ya  voskresnu,  chtoby  skazat',  chto
dobro est' dobro, a zlo - zlo.
     Pisatel'skoe  nachal'stvo  v  30-h  bylo  chutkim  k  stihu,  ono  chto-to
zapodozrilo i reshilo "Odu" ne publikovat'.
     Stavskij skazal, chto stihi "slishkom slozhnye". Odnako on  i  predstavit'
ne mog, skol' byl blizok k istine:

                      kogda b ya ugol' vzyal dlya vysshej pohvaly
                      dlya radosti risunka neprelozhnoj
                      ya b vozduh rasCHERTil na hitrye ugly
                      I OStorozhno, I trevozhno
                      chtob nastoyashchee v CHERTah otozvalOSX
                      v Iskusstve s derzOSt'yu granIcha,
                      ya b rasskazal o tom, kto sdvinul mIra OSX
                      STA soroka narodov chtya obychaj
                      ya b podnyal brovi malyj ugolok
                      i podnyal vnov' i razreshil INache...

     Pered nami poeticheskij  shifr.  Uzhe  chetvertaya  stroka  "Ody"  zaklyuchaet
anagrammu imeni IOS-I-/F/.
     A strokoj vyshe i strokoj nizhe chitaetsya slovo, v  obshchem-to  maloumestnoe
po otnosheniyu k  vozhdyu  pervogo  v  mire  socialisticheskogo  gosudarstva,  no
vpervye upotreblennoe Mandel'shtamom po  povodu  Stalina  eshche  v  1929  g.  v
"CHetvertoj proze".
     V pyatoj, shestoj, sed'moj, vos'moj i desyatoj strokah vnov': OSX - I-OS-I
- I-OSX - STA...L IN.
     Slovo "chert" v "Ode" zashifrovano shestikratno (i, znachit,  soznatel'no):
rasCHERTil - CHERTah - oTca ReCHEj upryamyh - zavTra iz vCHERa -  CHERez  Tajgu  -
CHEm iskRennosT'.
     Vot zachem Mandel'shtamu nuzhen byl stol i karandash.
     "SHestiklyatvennyj prostor" -  reminiscenciya  iz  lyubimogo  Mandel'shtamom
"Slova o polku Igoreve", eto tam "shestikrylichi"-sokoly paryat na  vetrah.  Na
tom zhe "Slove" Mandel'shtam shifroval i ran'she. Vot stihotvorenie  "10  yanvarya
1934":

                   Menya presleduyut dve-tri sluchajnyh frazy.
                   Ves' den' tverzhu: pechal' moya zhirna...
                   O Bozhe, kak zhirny i sineglazy
                   Strekozy smerti, kak lazur' cherna...

     Ne ver'te poetam na slovo. Nichego sebe "dve-tri sluchajnyh  frazy..."  -
pushkinskoe "Pechal' moya svetla..." i iz "Slova": "Pechal'  zhirna  techet  sredi
zemli Russkoj".
     V "Stansah" (1935 g.)  on  pozvolil  sebe  pryamo  nazvat'  istochnik  (a
literaturovedy vse ravno ne zametili!):

                    I ne ograblen ya, i ne nadlomlen,
                    No tol'ko chto vsego pereogromlen...
                    Kak Slovo o polku, struna moya TUGA,
                    I v golose moem posle udush'ya
                    Zvuchit ZEMLYA - poslednee oruzh'e -
                    Suhaya vlazhnost' CHERNOZEMNYH GA!

     "Slovo": "...A vosstonal, brat'ya, Kiev  TUGOYU,  a  CHERNIGOV  napast'mi,
toska razlilas' PO RUSSKOJ ZEMLE, pechal' zhirna techet sredi zemli Russkoj.  A
knyaz'ya sami na sebya kramolu kuyut..."
     Stalin zhdal pokayaniya poeta  za  stihi  "My  zhivem,  pod  soboyu  ne  chuya
strany..."
     On dazhe zvonil Borisu Pasternaku i sprashival, master li Mandel'shtam?
     Pasternak  rasskazal  Mandel'shtamu  o  tom  zvonke,  i  Osip  |mil'evich
prokommentiroval: "Boitsya, chto my nashamanim..."
     Vyhodit, Stalin svoim strahom pered poetom sam i  podskazal  tomu,  chto
nado sdelat'. Skovav sobstvennuyu  kramolu,  Osip  Mandel'shtam  postupil  kak
drevnij skal'd, sochinyayushchij  "vykup  golovy"  (byl  takoj  zhanr,  kogda  poet
vykupal svoyu golovu u pravitelya sochineniem hvaly  tomu),  no  vpisyvayushchij  v
stihi magicheskoe proklyat'e.
     V nachale 1937 g. Mandel'shtam napisal ne panegirik, a strashnye  stihi  o
tirane, "zhnece rukopozhatij", o ego zhertvah i o  sebe,  "medlennom  svidetele
truda, bor'by i zhatvy".
     Poslednij obraz tozhe iz "Slova  o  polku  Igoreve":  "Na  Nemige  snopy
stelyat golovami, molotyat cepami haraluzhnymi, na toku zhizn' kladut,  otvevayut
dushu ot tela, Nemigi krovavye berega ne dobrom byli zaseyany, zaseyany kost'mi
russkih synov..."
     Tak chto ne prav sovremennyj kommentator, utverzhdayushchij, chto  Mandel'shtam
nachal eti stihi "iz straha i  zhelaniya  spastis',  no  postepenno  uvleksya...
CHelovek tridcatyh godov ne byl ubezhden v svoej chelovecheskoj pravote, chuvstvo
pravoty u nego sochetalos' s chuvstvom viny, a krome  togo  -  gipnoz  vlasti,
osobenno - stalinskij gipnoz. |ti  stihi  -  lish'  naibolee  polnoe,  no  ne
edinstvennoe svidetel'stvo kolebanij i somnenij Mandel'shtama".
     Ne bylo ni kolebanij, ni somnenij.
     Byl poedinok poeta i "ryabogo cherta".



     Mozhno vydelit' sem' osnovnyh svojstv temnogo stilya:
     1. Smysl skvoz' smysl - eto igra slovom,  v  svoem  prostejshem  vide  -
kalambur ili dvusmyslica (sm. vyshe  mnenie  Snorri  Sturlusona).  Skazhem,  v
"Slove o polku Igoreve" chitaem: "Tu pir®  dokonchasha  hrabryj  rusichi,  svaty
popoisha..." V glagole "doKONCHAsha" zvuchit i slovo "chasha", i imya hana Konchaka,
kotoryj i vpryam' byl svatom Igorya Svyatoslavicha. A vo vremya pobega  iz  plena
Igor' snachala oborachivaetsya gornostaem. Pochemu? Da  potomu,  chto  obernut'sya
drugim sushchestvom mozhno tol'ko po nekotoromu s nim shodstvu (v dannom  sluchae
po  sozvuchiyu):  "Togda  Igor'  knyaz'  poskochI  GORXnostaem®  k®  trostiyu..."
(Podobnye primery i v "Gamlete" mnogochislenny.)
     2. CHuzhaya citata - otsylka citatoj ili reminiscenciej k kontekstu chuzhogo
teksta. |to pozvolyaet vklyuchit' v  svoj  smysl  opisannuyu  u  drugogo  avtora
situaciyu. V "Gamlete" takovy biblejskie  reminiscencii  (sm.,  naprimer,  to
mesto, gde Gamlet citiruet Poloniyu "O Ieffaj, sud'ya izrail'skij...").
     3. Svoya citata - vklyuchenie v tekst rechevoj samoharakteristiki geroya ili
otsylka k chemu-libo ranee proizoshedshemu.
     4. Ochnaya stavka vyskazyvanij - parallel'nost' dvuh  fragmentov  teksta,
vyyavlyayushchaya neyavnyj ih smysl, a inogda i prosto lozh' personazha.
     5. Raschlenennaya informaciya - takoj sposob  povestvovaniya,  pri  kotorom
chitatel' dolzhen sam sobrat' cepochku informacionnogo koda, vychleniv ee zven'ya
iz raznyh chastej teksta.
     6.   Paradoksalizaciya   obydennogo   -   vyvorachivanie   naiznanku    i
pereosmyslenie ustoyavshegosya v kul'ture klishe ili znaka.
     7. Anagrammirovanie - koncentraciya smyslov na urovne sgushcheniya  zvukovyh
associacij, shifrovka sakral'nogo imeni v nesakral'nom tekste.
     Analiz teksta, kotoryj  predlagaet  nam  klassicheskoe  shekspirovedenie,
etoj sistemy smysloobrazovaniya ne  uchityvaet.  Iz-za  etogo  i  skladyvaetsya
vpechatlenie, chto "Gamlet" izobiluet uslovnostyami i protivorechiyami. No eto te
protivorechiya, kotorye my sami i pripisali tekstu.
     Rezonnyj vopros: a pochemu anglichane ne zamechayut, chto  "Gamlet"  napisan
temnym stilem!
     Da potomu zhe, pochemu russkij chitatel', slysha iz ust Klavdiya slova "...ya
eshche ne gnus'!", schitaet, chto "gnus'"  -  glagol,  a  ne  sushchestvitel'noe.  I
tol'ko dojdya do frazy Laerta "Ty, gnus' i negodyaj, otca otdaj!", mozhet byt',
odin iz sta chitateli zamechaet igru.
     Vprochem,  kak  utverzhdal  molodoj  rezhisser  Gamlet,  p'esy  pishutsya  i
stavyatsya dlya odnogo-edinstvennogo (na ves' zal) nastoyashchego zritelya.



     V kazhdoj shekspirovskoj tragedii  est'  kak  minimum  odna  zagadka,  ne
razgadav kotoruyu, geroj terpit porazhenie. Tak Romeo vypivaet yad posle mnimoj
smerti yunoj svoej vozlyublennoj. Tak Otello,  schitayushchij  YAgo  "chestnejshim  iz
lyudej", gubit Dezdemonu i samogo sebya. Tak Lir ne ponimaet svoih docherej.
     "Korol' Lir" napisan SHekspirom srazu posle "Otello", a  "Otello"  vsled
za "Gamletom". Odnako v "Gamlete" zagadki bukval'no na  kazhdoj  stranice.  I
tol'ko zdes' ih fon sostavlyaet to, chto mozhno nazvat' "poetikoj zagadok".
     Na poetike zagadok stroitsya mifologicheskoe myshlenie cheloveka,  osobenno
drevnego i srednevekovogo. Dumayu, chto SHekspir, obrashchayas' k  povestvuyushchemu  o
prince Amlete syuzhetu Saksona Grammatika,  soznatel'no  sgustil  koncentraciyu
zagadochnogo. Amlet zhil i dejstvoval vo vremena vikingov, i hotya SHekspir, kak
spravedlivo  ukazyvayut  ego  kommentatory,  po  suti  perenosit  dejstvie  v
sovremennuyu emu Angliyu, imenno "poetika zagadok" sozdaet tot aromat arhaiki,
kotoryj stol' oshchutim  v  "Gamlete".  Vspomnim,  chto  sama  poetika  skal'dov
osnovana ne na metaforah i "obrazah", a na zagadkah-kenningah. SHekspir mog i
ne znat' etogo, no, izbrav  materialom  arhaicheskoe  predanie,  on,  vidimo,
orientirovalsya  na  fol'klornuyu  stihiyu   (glavnym   obrazom   derevenskuyu),
sohranyayushchuyu mnogie Drevnie tradicii i pover'ya.
     Po bol'shej chasti zagadki "Gamleta" ostayutsya ne  tol'ko  nerazgadannymi,
no, uvy, dazhe i nezamechennymi.  I  hotya  mnogie  issledovateli  i  rezhissery
govoryat o "zagadochnosti" imenno etoj p'esy  SHekspira,  samih  zagadok  v  ee
tekste, kak pravilo, prosto ne vidyat.
     O "Gamlete" izvestno, chto eto:
     - samaya znamenitaya p'esa SHekspira i mirovoj dramaturgii voobshche;
     - samaya dlinnaya i samaya slozhnaya tragediya SHekspira;
     - i, razumeetsya,  -  samaya  zagadochnaya  ("samaya  slabaya",  esli  verit'
|liotu).
     Avtorskij klyuch k "Gamletu" byl poteryan, poskol'ku:
     - Do nas ne doshlo avtorskoj rukopisi.
     - Net podgotovlennogo avtorom izdaniya. A te, chto  est'  (obe  kvarty  -
Pervaya  1603   g.   i   Vtoraya   1604   g.)   sdelany   piratskim   sposobom
(stenograficheskaya zapis'  iz  zala  libo  izdanie  po  spisku  s  ukradennoj
suflerskoj kopii). Posmertnoe izdanie (Pervoe folio, 1623 g.) -  takzhe,  kak
polagayut nekotorye shekspirovedy, napechatano s suflerskoj kopii.
     - Net ni prizhiznennyh recenzij, ni memuarov sovremennikov o  postanovke
"Gamleta" v "Globuse". Neizvestna  dazhe  data  prem'ery.  A  pervyj  biograf
SHekspira (Rou) poyavilsya tol'ko v nachale XVIII veka.
     - SHekspir-dramaturg pisal dlya SHekspira-rezhissera. Remarki  v  "Gamlete"
skupy i nepolny. V tekste net  intermedij  (u  Marlo  est'!).  Otsutstvie  v
opublikovannyh  tekstah  remarok  i  intermedij  mozhno  ob®yasnit'   zhelaniem
SHekspira sohranit' p'esu ot tirazhirovaniya konkurentami.
     - SHekspir umiraet v 1616 g. V 1642 g. nachinaetsya Anglijskaya  revolyuciya.
Dve grazhdanskie vojny (1642-1646 gg. i 1648 g.), kazn' Karla  I  (1649  g.),
sem' let voennoj diktatury Kromvelya (s 1653 g.) i vosemnadcat'  let  zapreta
teatrov (vplot' do restavracii Styuartov v 1660  g.).  Vspomnili  o  SHekspire
lish' cherez polveka posle ego smerti.
     Itak, tri izdaniya s "tekstom slov" i  nashe  neznanie  avtorskoj  versii
proishodyashchego na scene. Pri takoj situacii klyuchom  k  "Gamletu"  mozhet  byt'
tol'ko sam tekst. Budem zhe ishodit' iz prezumpcii ego hudozhestvennosti  (kak
v podobnyh sluchayah sovetoval postupat' D.S. Lihachev). Kazhushchayasya  nevnyatnost'
i temnota teksta - skoree vsego, svidetel'stvo  nashego  neponimaniya  poetiki
"Gamleta", i ssylki na "uslovnost'" shekspirovskogo teatra tut  ne  prohodyat,
ibo etogo teatra my kak raz i ne znaem.
     SHekspirovskij zritel' prosto by ne vyderzhal dejstviya,  logiku  kotorogo
on ne byl by v sostoyanii prosledit'. Vse, chto  pryamo  ne  sleduet  iz  slov,
dolzhno bylo kompensirovat'sya (i dazhe kommentirovat'sya) igroj aktera.  Zadacha
issledovatelya - vydelit' temnye mesta i opredelit', sostavlyayut li oni  nekuyu
sistemu. My dolzhny, kak skazal  by  Polonij,  ponyat'  logiku  shekspirovskogo
"bezumiya" i, opirayas' na tekst, proizvesti rekonstrukciyu avtorskogo zamysla.
Nas dolzhny interesovat' ne sobstvennye traktovki ili "rezhisserskie nahodki",
a to, chto Vladimir Nabokov, stol' mnogomu nauchivshijsya  u  SHekspira,  nazyval
"uzorom Mnemoziny".
     V pryamom i bukval'nom (to est' fol'klornom) vide zagadka vstrechaetsya  v
"Gamlete" lish' odnazhdy. Vot kak Pervyj mogil'shchik obshchaetsya so Vtorym:

     PERVYJ: Kto stroit krepche kamenshchika, korabel'shchika i plotnika?
     VTOROJ: Tot, kto viselicy stroit. Ona vseh svoih zhil'cov perezhivet.
     PERVYJ: A ty shutnik. Viselica tut horosho podhodit. A pochemu? A  potomu,
chto ona podhodit kazhdomu, kto durno postupaet. I tebe tozhe, raz ty schitaesh',
chto viselica krepche cerkvi. Nu, davaj, eshche popytajsya...
     VTOROJ: Kto, znachit, stroit krepche plotnika, kamenshchika i korabel'shchika?
     PERVYJ: Nu da, otvet' i malost' peredohni s neprivychki.
     VTOROJ: A vot voz'mu i otvechu!
     PERVYJ: Nu?
     VTOROJ: Vot privyazalsya... Nu, ne znayu.
     PERVYJ: Duren', mozgi svernesh'. A kogda drugoj  raz  sprosyat,  otvechaj:
mogil'shchik. Doma, kotorye on stroit, dostoyat Do Strashnogo Suda. Ladno, sgonyaj
k Iogenu, prinesi ot nego kuvshinchik. (V, I) {*}
     {* Zdes' i dalee perevod avtora etih zametok ne  ogovarivaetsya.  Ssylki
dany po tradicionnomu pyatiaktnomu chleneniyu teksta.}

     Vprochem, imenno s zagadki Bernardo nachinaetsya pervaya scena tragedii:

     BERNARDO: Kto zdes'?
     FRANCISKO: Net, sam otvet'. Stoj i otkroj sebya.
     BERNARDO: Dolgoj zhizni korolyu!
     FRANCISKO: Bernardo?
     BERNARDO: On. (per.  M.Morozova.  Sm.  M.Morozov.  Izbrannye  stat'i  i
perevody. M, 1954)

     Rech' stoyashchego na postu Francisko vydaet nekotoruyu  ego  neadekvatnost'.
Vidimo, on prosto spit, i Bernardo  budit  ego  svoim  voprosom.  Vo  vsyakom
sluchae Francisko uznaet smenshchika lish' posle togo, kak tot proiznosit  frazu,
bolee pohozhuyu na tost, chem na parol': "Dolgoj zhizni korolyu!" (Long live  the
king!) (O p'yanstve chasovyh v karaule govoritsya i v "Otello".)
     Esli tak, to zhaloby  Francisko  na  holod  i  skvernoe  samochuvstvie  -
zamechatel'nyj    obrazchik    samoopravdaniya     napivshegosya     na     postu
strazhnika-naemnika.
     O tom, chto v |l'sinore  vse  p'yut,  nachinaya  s  korolya,  Gamlet  dvazhdy
govorit Goracio (2 i 4 sceny  I  akta).  A  koroleva  namekaet  na  p'yanstvo
soldatni v scene svoego ob®yasneniya s Gamletom:

                And, as the sleeping soldiers in the alarm,
                Your bedded hair, like life in excrements,
                Starts up, and stands on end. (Ill, 4)

     V podstrochnom perevode: "I kak spyashchie soldaty po trevoge,  tvoi  gladko
ulozhennye volosy, tochno zhizn' v ee  zhe  isprazhneniyah,  prorastayut  i  vstayut
dybom..."
     Vo vremena SHekspira volosy ukladyvali pri pomoshchi  podogretogo  piva,  a
slovom "excrements" nazyvali otzhimki,  ostavshiesya  v  reshete,  i  eshche  lyubye
fiziologicheskie vydeleniya, v tom chisle i blevotinu. (Vprochem, kak ukazal mne
Sergej Nikolaev,  est'  i  drugoe  znachenie  slova  excrement  -  "otrostok,
vyrost". Oba oni  uchenye  zaimstvovaniya  iz  latyni.  Excrement  "vydelenie,
isprazhnenie" proizvodnoe ot latinskogo glagola ehsegpo "otdelyat'", a  eto  -
ot excresco "otrastat'". Tak chto pered nami eshche odin obrazchik  shekspirovskoj
igry slovom.)
     P'yanyj Francisko nuzhen dramaturgu SHekspiru dlya dvuh  celej:  vo-pervyh,
nam srazu pokazali stepen' razlozheniya rezhima,  vo-vtoryh,  s  samogo  nachala
pred®yavili tu irracional'nuyu formulu chelovecheskogo obshcheniya, po kotoroj geroi
budut vosprinimat' rechi  i  postupki  drug  druga.  Ni  malejshego  shansa  na
vzaimoponimanie u nih net: Gertruda vyjdet  zamuzh  za  ubijcu  svoego  muzha;
Ofeliya poschitaet Gamleta sumasshedshim, soglasitsya shpionit' za nim i  peredast
ego pis'ma Poloniyu; Gamlet prikinetsya sumasshedshim i tem "zarazit" Ofeliyu, on
razgadaet Rozenkranca i Gil'densterna, no ne pojmet,  chto  est'  Goracio;  a
blagorodnyj Laert, pojdya na sdelku s korolem, sam predlozhit  smazat'  ostrie
rapiry yadom.

     Nachinayas' s zagadki, pervaya scena zagadkoj  i  zakanchivaetsya.  Vot  chto
govorit drugoj strazhnik, Marcell: "YA vas umolyayu... etim utrom ya znayu, gde my
bez truda najdem ego" (I pray; and I this morning know  //  Where  we  shall
find him most conveniently).
     Do  etogo  Marcell  zagadyvaet  Goracio  zagadku   o   smysle   voennyh
prigotovleniij, a Bernardo proiznosit kramol'nye slova o tom,  chto  pokojnyj
gosudar' - "prichina vojny". (CHem sil'no smushchaet Goracio, iz ch'ej  vitievatoj
rechi on i sdelal stol' spravedlivoe umozaklyuchenie.)
     I imenno  Bernardo  zagadochno  ischezaet  iz  p'esy  posle  razgovora  s
Gamletom. Hotya i obeshchaet princu prijti v karaul...
     V pervoj zhe scene Goracio razgadyvaet dve  zagadki:  o  smysle  voennyh
prigotovlenij i o tom, chto  predveshchaet  yavlenie  Prizraka.  Ugadyvaet  on  i
pravil'nyj anglijskij perevod francuzskogo imeni Fortinbrasa (Sil'naya ruka).
I daet dovol'no tochnyj psihologicheskij portret norvezhskogo princa:  "Molodoj
Fortinbras, chelovek goryachego i eshche ne obrabotannogo opytom  nrava..."  |togo
dostatochno, chtoby zritel' zhdal prodolzheniya predlozhennoj emu igry.



     Sut' lyuboj zagadki v tom, chto kazhdaya veshch' mozhet prikinut'sya  ne  soboj.
Veshch', no esli verit' Gamletu, - ne chelovek. Ob etom  on  i  govorit  materi:
"Kazhetsya, gospozha? Net, est'. Mne neznakomo slovo "kazhetsya"".
     Pered datskim princem stoyat dve zagadki:
     - Prichina smerti otca. (Ee raskroet Prizrak.)
     - Kto est' Prizrak - pokojnyj otec ili pohitivshij ego oblichiv  nechistyj
duh? Esli vtoroe, to etot duh lzhet, chtoby pogubit' dushu samogo Gamleta.
     CHtoby najti pravil'nyj  otvet,  Gamlet  stavit  na  el'sinorskoj  scene
"Myshelovku". Vo vremya dejstviya  korol'  uznaet  na  scene  sebya  i,  muchimyj
sovest'yu,  pokidaet  zal,  a  princ  delaet  vyvod,  chto  k  nemu   prihodil
dejstvitel'no ego otec i, znachit, vse skazannoe Prizrakom -  pravda.  Odnako
shekspirovskij tekst daet osnovaniya polagat', chto Gamlet  prosto  nekorrektno
postavil svoj vopros. K nemu dejstvitel'no prihodit otec, no  otec  prihodit
iz ada, gde on lishen sobstvennoj voli. (Sm. primechanie k s. 47 na  s.  220.)
Pri etom otec  pytaetsya  (tozhe  zagadkoj)  dat'  Gamletu  ponyat',  chto  delo
nechisto, preduprezhdaet, chto, vyslushav, Gamlet dolzhen budet mstit'. Gamlet ne
ponimaet. Togda otec eshche raz opisyvaet emu svoe polozhenie (noch'yu  on  dolzhen
brodit' po zemle, dnem goret' v sernom  plameni),  govorit  o  "tajne  svoej
temnicy",  o  zaklyatii,  kotoroe  ne  mozhet  perestupit'.  Gamleta  eto   ne
interesuet. Emu nuzhna ne tajna mirozdaniya, a tajna smerti otca, to  est'  on
ne  tol'ko  ne  razgadyvaet  zagadku   Prizraka   (pri   ves'ma   prozrachnoj
podskazke!), no dazhe ne osoznaet, chto emu zagadali zagadku.
     Glavnaya tajna ada - imya ego pobeditelya. To  est'  Hrista.  |to  i  est'
"legchajshee slovo", sposobnoe preobrazit' dushu Gamleta. Uvy, Gamlet etogo  ne
ponimaet. A esli tak, to stanovyatsya ponyatny i slova, skazannye Gamletom  pri
poslednem poyavlenii otca:

                                      Do not look upon me;
                 Lest with this piteous action you convert
                 My stern effects: then what I have to do
                 Will want true colour; tears perchance for blood. (III, 4)

     Perevedem:

                    ...Otec, ne nado tak glyadet', ne to
                    Razbudish' ty ne muzhestvo, a zhalost'.
                    I s chem zhe ya togda ostanus', papa?
                    Rastaet ledyanaya eta glyba,
                    I ya ne sdelayu togo, chto dolzhen.
                    ...A vmesto krovi - slezy potekut.

     Staryj Gamlet, kotoryj pod pytkoj vynuzhden proiznosit' to,  chto  dolzhno
pogubit' dushu syna, glazami pokazyvaet Gamletu, chto tot ne dolzhen verit' ego
recham. (Tak vo vse  veka  postupayut  na  ochnyh  stavkah  te,  kto  ne  hochet
predavat' svoih tovarishchej.) Gamlet vidit etot vzglyad, no  ne  ponimaet  ego.
Emu ne prihodit v golovu, chto otec mozhet govorit'  pravdu  o  svoej  gibeli,
dejstvuya ne po svoej dobroj vole, a po zloj chuzhoj. Poetomu Gamlet propuskaet
mimo ushej preduprezhdenie otca, perecherkivayushchee  vse  ego  prizyvy  otomstit'
Klavdiyu.

     Po SHekspiru ad - eto kogda chelovek  vynuzhden  postupat'  protiv  svoego
zhelaniya i voli, nesya gibel' okruzhayushchim ego lyudyam,  dazhe  samym  blizkim.  Vo
vlasti ada Gamlet okazyvaetsya pri zhizni: ubiv Poloniya, on sdelal sumasshedshej
Ofeliyu, otpravil na smert' Rozenkranca i  Gil'densterna,  lishilsya  materi  i
ubil Laerta. Postepenno Gamlet vse bol'she stanovitsya pohozh na svoih  vragov.
Uzhe i pokojnyj otec dolzhen zastupat'sya pered nim za nevernuyu svoyu suprugu. A
v poslednej scene Gamlet vynuzhden lgat' Laertu, spisyvaya ubijstvo Poloniya na
svoe mnimoe sumasshestvie.

     - Zagadka dlya zritelya (i dlya samogo Gamleta), pochemu princ tak medlit s
mshcheniem. Trus? Slabyj nereshitel'nyj melanholik? Da net, prosto Gamlet dolzhen
sdelat' nechto protivnoe ego chistomu serdcu. I chestno  pytaetsya  iznasilovat'
sobstvennuyu dushu.

     - Gamlet ne dogadalsya,  pochemu  Ofeliya  soglasilas'  shpionit'  za  nim,
pochemu otdala ego pis'mo svoemu otcu. |tu zagadku dolzhny razgadat'  zriteli.
V  p'ese  zhe  ee  razgadaet  tol'ko  sledovatel',  kotoryj   osmotrit   telo
utoplennicy. CHto zhe on mog obnaruzhit' takoe,  chto  zastavilo  cerkov'  pojti
protiv  svetskoj  vlasti  (absolyutnoj  vlasti  Klavdiya)   i,   nesmotrya   na
rasporyazhenie korolya horonit'  Ofeliyu  kak  hristianku,  otmenit'  ispolnenie
rekviema i  penie  pominal'nyh  molitv?  Edinstvennaya  vozmozhnaya  prichina  -
ustanovlennaya sledovatelem beremennost' pokojnicy. Tol'ko eto moglo privesti
k voprosu, a ne razygrala li Ofeliya svoe sumasshestvie, chtoby etim  opravdat'
svoyu beremennost'? I ne utopilas' li ona iz straha gryadushchej oglaski?  Tol'ko
etimi somneniyami cerkovnikov  mozhno  ob®yasnit',  pochemu  Ofeliyu  horonyat  po
"usechennomu obryadu" i pochemu ee mogilu  "dolzhny  byli  zabrosat'  kamnyami  i
bitoj posudoj".

                                   Laert

                                             Eshche
                    Obryady budut?

                                 Svyashchennik

                                   Vse, chto pozvolyaet
                    Ustav cerkovnyj, my proizveli.
                    No eta smert' somnitel'na. I esli b
                    Ne ukazan'e svyshe - to, chto strozhe,
                    CHem dazhe i cerkovnye kanony! -
                    Lezhat' by ej v zemle neosvyashchennoj
                    Do Strashnogo Suda. Vzamen molitv
                    Pokojnuyu - nu tochno b! - zabrosali
                    Kamen'yami da bitoyu posudoj...
                    A tak - chego zh eshche? - nam razreshili,
                    Nu kak pri otpevanii devicy,
                    Girlyandami ukrasit' Bozhij hram,
                    Pozvolili cvety brosat' v mogilu
                    I kolokol'nyj zvon - ne otmenili!

                                   Laert

                    Eshche obryady budut?

                                 Svyashchennik

                                       Sozhaleyu.
                    My tol'ko b oskvernili panihidu,
                    Propev zaupokojnye molitvy
                    I rekviem, poskol'ku zdes' nel'zya
                    Prosit' upokoen'ya so svyatymi,
                    Kak prosim my za vseh, pochivshih s mirom.
                    Takov poryadok.

                                   Laert

                                   Opustite grob.
                    Ne dalee, chem budushchej vesnoyu,
                    Vot zdes', gde my stoim, vzojdut fialki -
                    Zemnoj zalog nevinnosti ee.
                    I pomni, podlyj pop, moya sestra
                    Na nebe stanet angelom, a ty,
                    Ty budesh' vyt' v puchine ada!.. (V, 1)

     Zametim, chto  svyashchennik  ne  nazyvaet  Ofeliyu  samoubijcej.  Pochemu  zhe
"smert' ee somnitel'na"?
     Da potomu, chto tak reshil sledovatel'. (Ob etom nam soobshchat el'sinorskie
mogil'shchiki.) Slova svyashchennika "kak  pri  pogrebenii  devushki..."  -  klyuch  k
razgadke. Laert prekrasno ponimaet, na chto namekaet  svyashchennik,  i  pytaetsya
prorochit', chto vesnoj na etoj mogile vzojdut fialki. Vzojdut i  tem  dokazhut
nevinnost' Ofelii.
     Zagadka Ofelii ne razgadana ni vozlyublennym, ni bratom, ni  otcom.  Mezh
tem Ofeliya sama pytalas' podskazat' Gamletu:

                                   Ofeliya

                    Milord, vy prisylali mne podarki,
                    I ya davno hotela ih vernut',
                    Pozvol'te zhe...

                                   Gamlet

                                     Nu, tut ya ni pri chem!
                    YA nikogda ne delal vam podarkov.

                                   Ofeliya

                    Vy delali, i znaete prekrasno,
                    CHto imenno... Podarki i slova,
                    Stol' nezhnye, chto i podarki vashi
                    Ot etih samyh slov blagouhali...
                    Teper', kogda ih aromat utrachen,
                    Poskol'ku vasha konchilas' lyubov',
                    Svoi slova berete vy nazad,
                    A, znachit, zaberite i podarki!..

     Po originalu:

     OPHELIA: My lord, I have remembrances of yours,
     That I have longed long to re-deliver;
     I pray you, now receive them.
     HAMLET: No, not I;
     I never gave you aught.
     OPHELIA: My honour'd lord, you know right well you did;
     And, with them, words of so sweet breath composed
     As made the things more rich: their perfume lost,
     Take these again; for to the noble mind
     Rich gifts wax poor when givers prove unkind.
     There, my lord. (III, 1)

     Gamlet ne ponyal zagadki Ofelii: "podarki" - eto ne prosto laski. |to ih
sledstvie.
     Tut my vynuzhdeny postavit' vopros, a est' li v p'ese  ukazanie  na  to,
chto Gamlet i Ofeliya - lyubovniki? Est', i ne odno.

     "Gde Gamlet nash - nu kak skazat'? - nochuet".
     "I pray; and I this morning know
     Where we shall find him most conveniently..." (I, 1)

     Zaklyuchitel'noe dvustishie pervoj sceny ostaetsya za naivnym Marcellom:
     Po perevodu M. Morozova: "YA znayu, gde nam vsego  udobnee  povidat'sya  s
nim segodnya utrom".
     Informirovannyj Marcell (ohranyat' zamok, a znachit, i sledit' za nochnymi
peredvizheniyami po nemu  -  ego  rabota)  vydaet  tajnu  Gamleta  tol'ko  chto
priehavshemu v |l'sinor Goracio. Komu, kak ne  Marcellu,  znat',  chto  poutru
Gamleta i vpryam' mozhno vstretit'  v  neposredstvennoj  blizosti  ot  komnaty
Ofelii?

     "Tak, nabuhaya, vyzrevaet plod..."
     "For nature, crescent, does not grow alone..." (I, 3)

     YA schel vozmozhnym tak perevesti sleduyushchie stroki:

     For nature, crescent, does not grow alone
     In thews and bulk, but, as this temple waxes,
     The inward service of the mind and soul

     V perevode M. Morozova:
     "Ibo priroda, razvivayas', rastet ne tol'ko v otnoshenii kreposti myshc  i
razmerov tela..."
     No Laert govorit sestre sovsem ne o grehe chrevougodiya.

     "Derzhite ee v teni. Zemnye plody blagoslovenny, esli oni  ne  zreyut  vo
chreve vashej docheri..."
     "Let her not walk i'the sun: conception is a blessing: but not as  your
daughter may conceive". (II, 2)

     Gamlet, kak ranee Laert, sam togo ne ponimaya, popadaet tochno v yablochko.
Oba oni tak nikogda i ne uznayut, chto Ofeliya beremenna.

     "Aga, ty nazyvaesh' eto sposob lyubvi. Nu-nu..."
     "Ay, fashion you may call it; go to, go to..." (I, 3)

     Polonij v silu svoej natury ne mozhet otvazhit'sya  na  pryamoj  vopros,  a
potomu vynuzhden lish' gadat', skol' daleko zashli otnosheniya Ofelii i  Gamleta.
Neglupaya Ofeliya znaet otca i znaet, kak nado otvechat',  chtoby  sberech'  svoyu
tajnu.

     "Sudarynya, ya lyagu k vam v nogi?"
     "Lady, shall I lie in your lap?" (III, 2)

     S etogo mesta Gamlet mstit Ofelii, ibo schitaet  ee  povedenie  izmenoj.
Vspomnim, chto ona otdala pis'ma Gamleta otcu i soglasilas' shpionit' za svoim
vozlyublennym. Otsyuda i nachinaetsya chreda ego  skabreznostej,  ne  ostavlyayushchih
somnenij v haraktere ih bylyh otnoshenij:

     HAMLET: Do you think I meant country matters?
     OPHELIA: I think nothing, my lord.
     HAMLET: That's a fair thought to lie between maids' legs.
     OPHELIA: What is, my lord?
     HAMLET: Nothing.
     OPHELIA: You are merry, my lord.

     V podstrochnom perevode:

     GAMLET: Vy dumaete, ya hotel skazat' nepristojnost'?
     OFELIYA: Nichego ya ne dumayu, milord.
     GAMLET: CHudnaya mysl' lezhat' mezhdu nog u devicy.
     OFELIYA: CHto takoe, milord?
     GAMLET: Da uzhe nichego.
     OFELIYA: Vy vse shutite, milord.

     V etom kontekste gamletovskoe "Nothing"  oznachaet  ne  to,  chto  Gamlet
ispugalsya strogogo voprosa Ofelii (mol, nichego ya takogo ne hotel  skazat'!),
a to, chto Ofeliya uzhe ne devica, o chem im oboim luchshe vseh i izvestno. Dal'she
Gamlet uzhe ne budet znat' uderzhu: rech' pojdet i o tom, chto  Ofelii  prishlos'
by izryadno postonat', chtoby pritupit' zhalo Gamleta, i  o  pozah,  v  kotorye
Ofelii  nado  "ne  postesnyat'sya  vstat',  a   akter   ne   postesnyaetsya   ih
rastolkovat'".
     Cel' oskorblenij, kotorymi Gamlet osypaet Ofeliyu, - razryv s  predavshej
vozlyublennoj.

     "Nadeyus', vse budet horosho. Nado tol'ko poterpet'. No kak  ne  plakat',
kogda ego polozhat v holodnuyu zemlyu? Moj brat dolzhen ob etom  uznat'.  On  ob
etom uznaet. Spasibo vam za horoshuyu mudrost'. Pojdem, moya  kareta.  Pokojnoj
nochi, ledi. Pokojnoj nochi, milye ledi. Pokojnoj nochi, pokojnoj nochi".
     "I hope all will be well. We must be patient: but I cannot  choose  but
weep, to think they should lay him i' the cold ground. My brother shall know
of it: and so I thank you for your good counsel. Come, my coach! Good night,
ladies; good night, sweet ladies; good night, good night". (IV, 5)

     |tot korotkij, no ves'ma temnyj  monolog  zvuchit  srazu  posle  pesenki
Ofelii  pro  Valentinov  den'.  Rech'  Ofelii  stanet  osmyslennoj,  esli  my
dopustim, chto soblaznennaya devushka zhdet rebenka.  (Izbezhat'  beremennosti  v
takoj situacii mozhno v zhizni, no ne v tragedii.)
     Ofeliya  v  ee  "svyashchennom  bezumii"  poluchaet  dar  prorochestva.  Laert
oshibaetsya v tom, chto ona yakoby zhivet pamyat'yu. Ofeliya  vidit  ne  proshloe,  a
budushchee.
     Ofeliya govorit ne o Polonii, kotorogo uzhe pohoronili. Na  temu  ubitogo
otca Ofeliya govorit' ne hochet, o chem ona tol'ko chto i skazala korolyu. I ne o
brate, ibo brat pryamo nazvan zdes' v drugom kontekste. I ne o Gamlete (o nem
pesenka pro piligrima). |to o tom, chto ponyatno vsem "milym ledi": o  budushchem
rebenke, kotorogo polozhat v zemlyu s nej  i  v  nej  samoj.  Vprochem,  kak  i
podobaet materi, ona o sebe ne dumaet.
     Zdes' upotrebleno biblejskoe slovo "mudrost'", a ne  svetskoe  "sovet".
"Good counsel" -  eto,  nado  polagat',  to,  chto  v  zapadnoj  hristianskoj
tradicii nazyvaetsya  "Evangelical  counsels"  (Evangel'skie  sovety),  sredi
kotoryh dobrovol'naya nishcheta, dobrodetel' i poslushanie starshim. Lish' tot, kto
sleduet Evangel'skim sovetam, i mozhet rasschityvat' na Carstvie Nebesnoe.  Za
etu  istinu  Ofeliya  i  blagodarit  sobravshihsya,  ponimaya,  chto   ej   "nado
pereterpet'" vsego lish' ot smerti do voskreseniya. (|to  nablyudenie  soobshcheno
mne perevodchicej Annoj Makarovoj v chastnoj besede.)
     I eshche ob odnoj fraze iz etogo zagadochnogo monologa Ofelii.
     Ofeliya obrashchaetsya k  sebe:  "Pojdem,  moya  kareta!"  (Ili:  "Syuda,  moya
kareta!")  Kazhetsya,  o  smysle  etogo  vyrazheniya  dogadalsya   tol'ko   Boris
Pasternak. Odnako bez kommentariya i  u  nego  zvuchit  ne  ochen'-to  ponyatno:
"Povorachivaj, moya kareta!"
     "Come, my coach!" nel'zya perevesti kak "Podajte mne karetu!".  U  karet
konca XVI veka ne bylo povorotnyh  ustrojstv.  CHtoby  povernut',  nado  bylo
ostanovit'sya, vzyat' za torchashchee szadi dyshlo i razvernut' zad karety v nuzhnuyu
storonu. Plastika takogo dejstva, vidimo, napominala sovremennikam  plastiku
beremennoj zhenshchiny, kotoraya vperedi sebya neset svoj zhivot, a  esli  sidit  i
hochet razvernut'sya, to snachala  povorachivaet  taz,  a  posle  uzhe  zhivot.  V
metafore Ofelii kareta - zhivot, loshad' - zhenshchina, passazhir - rebenok.
     V p'ese ot ubijstva Starogo Gamleta proshlo  chetyre  mesyaca  (po  slovam
Ofelii). Menee chem cherez mesyac po smerti muzha Gertruda uzhe  vyshla  zamuzh  za
Klavdiya (po slovam Gamleta).
     Goracio priehal v |l'sinor, uznav o konchine otca Gamleta.  Tak  on  sam
govorit. No zhil ne v zamke, a, nado polagat', v gorode i Gamleta  ne  videl.
Znachit, princ Gamlet byl v |l'sinore,  kogda  Klavdij  ubil  brata.  Drugimi
slovami, Gamlet uehal iz Vittenberga ran'she Goracio, eshche do smerti otca.  No
vlyubilsya v Ofeliyu i zastryal v |l'sinore. Znachit, Ofeliya mozhet  byt'  uzhe  na
snosyah.
     Ofeliya soshla s uma ne potomu,  chto  ee  lyubimyj  ubil  ee  otca.  Takaya
situaciya gor'ka i tragichna, no v  nej  net  togo  elektricheskogo  zamykaniya,
kotoroe porazhaet mozg i dushu i  ne  ostavlyaet  zhertve  vozmozhnosti  zdravogo
dejstviya, skazhem, uhoda v monastyr'. Ofeliya shodit s  uma  potomu,  chto  _ee
otca ubivaet otec ee budushchego rebenka_.
     Dazhe samye  professional'nye  kommentatory  SHekspira  podchas  stol'  zhe
naivny v otnoshenii Ofelii, skol' byvayut naivny otcy v otnoshenii svoih goryacho
lyubimyh docherej. Privedu citatu iz kommentariya A.N. Gorbunova: "Kak  zametil
Dzhenkins, i eta pesnya rasskazyvaet  o  neschastnoj  lyubvi.  Molodoj  chelovek,
soblazniv  devushku,  brosil  ee.  V  pesne  sluchilos'  to,  o   chem   Ofeliyu
preduprezhdali otec i brat, prosya izbegat' Gamleta. Ironiya sostoit v tom, chto
na samom dele ih strah okazalsya naprasnym - Gamlet otverg lyubov' Ofelii".
     Zdes' edva li ne kazhdoe slovo  hochetsya  kommentirovat'  vosklicatel'nym
ili voprositel'nym znakom. No vmesto etogo prosto zakonchim  citatu:  "Odnako
byli kommentatory i rezhissery, kotorye usmatrivali zdes' namek na fizicheskuyu
blizost' Gamleta i Ofelii. Mejerhol'd, naprimer,  hotel  pokazat'  Ofeliyu  v
etoj scene beremennoj" (Gorbunov, s. 625).

     "Slavnyj Robin, moj malysh, - vsya radost' moya..."
     "For bonny sweet Robin is all my joy". (IV, 5)

     V originale Robin nazvan milashkoj (slavnym i  milym).  Ofeliya  poteryala
otca i zheniha, no ob otce ona govorit' otkazyvaetsya, a o Gamlete poet sovsem
druguyu pesenku: "Ah, kak mne milogo uznat'..." Iz etogo sleduet, chto Robin -
eto i est' passazhir toj samoj karety, u kotoroj loshadkoj sama Ofeliya.
     Robin dobryj malyj  -  domashnij  sel'skij  el'f,  fol'klornyj  geroj  i
personazh shekspirovskoj p'esy "Son  v  letnyuyu  noch'".  Tam  on  bol'she  vsego
napominaet mal'chishku-prokaznika.
     |l'fy - duhi vozduha.
     Robin - malinovka, nebol'shaya pevchaya krasnogrudaya ptichka. (Drugoe ee imya
- robin redbreast.) Ochevidno, chto samo imya "Robin" associirovalos' s detskoj
dushoj, a v kontekste dramy Ofelii - s nerozhdennym rebenkom. I, nado polagat'
(po  analogii  s  russkim  pover'em  o  tom,  chto   utoplennicy   stanovyatsya
rusalkami), v pozdnesrednevekovoj Anglii dolzhno bylo  sushchestvovat'  pover'e,
soglasno kotoromu dushi  nerodivshihsya  (a  znachit,  i  nekreshchenyh)  mladencev
stanovilis' el'fami.

     - Gamlet razgadyvaet tajnu priezda Rozenkranca i Gil'densterna  ("A  za
vami ne posylali?.. Uvyazli, golubchiki!"). I, projdya eto ispytanie,  ostaetsya
zhiv.

     - Gamlet ne razgadyvaet tajnu vozvrashcheniya v |l'sinor  Goracio.  Kak  ne
razgadyvaet i tajnu natury Goracio (razgadka - v imeni), hotya sam  i  igraet
etim imenem: "|gej, ho, Goracio!" (What ho! Horatio!). (III, 2)

     - Zagadku Fortinbrasa (ona  v  imeni,  ved'  po-francuzski  eto  znachit
"Sil'naya  ruka")  Gamlet,  v  otlichie  ot  Goracio,   ne   razgadyvaet.   On
predstavlyaet Fortinbrasa po  sobstvennoj  mere  (oba  molody  i  oba  princy
krovi):  "izyashchnyj  i  nezhnyj  princ,  duh  kotorogo  podvignut  bozhestvennym
chestolyubiem".

     - Tajnu svoej vysylki Gamlet tut zhe raskryvaet. I vnov' ostaetsya zhiv:

     KOROLX: Gamlet, radi  tvoej  zhe  bezopasnosti,  kotoraya  stol'  zhe  nam
doroga, skol' i priskorben tvoj prostupok, ty dolzhen bezhat'  otsyuda  bystree
ognya. Snaryazhajsya - i v put'. Korabl' pod parusami. Sputniki gotovy. V Anglii
tebya zhdut.
     GAMLET: V Anglii?
     KOROLX: Da, Gamlet.
     GAMLET: Horosho.
     KOROLX: Ty mog by tak skazat', esli b videl nashi namereniya.
     GAMLET: YA vizhu angela, kotoryj ih  vidit.  Ladno,  pust'  -  v  Angliyu.
Proshchajte, matushka. (IV, 3)

     Rozenkranc i Gil'denstern etoj zagadki ne razgadyvayut i potomu gibnut.

     - Gamlet ne razgadal zagadku "poedinka" s Laertom  (eto  ne  sportivnoe
sostyazanie, dazhe ne duel', a ubijstvo!), potomu chto podvoha zhdet ot  korolya,
no ne ot "blagorodnogo yunoshi". To est'  ne  razgadal  samogo  Laerta  i  ego
kovarstva.
     A ved' Laert sam predlozhil korolyu smazat' klinok yadom.

     - Gamlet ne razgadal, kto spryatalsya za kovrom v komnate materi, i  ubil
Poloniya,  tem  samym  predopredeliv  vsyu  dal'nejshuyu  cheredu  nasil'stvennyh
smertej.



     - Zagadku svoego sumasshestviya Gamlet zaranee otkryl Goracio i Marcellu.
Ofelii Gamlet tozhe pytaetsya podskazat':

                Ne seem'd to find his way without his eyes;
                For out o'doors he went without their helps,
                And, to the last, bended their light on me. (II, 1)

     Po Morozovu: "On, kazalos', bez glaz nahodil dorogu; bez ih  pomoshchi  on
vyshel iz dveri, vse vremya ustremlyaya ih  svet  na  menya".  Vtoraya  popytka  -
monolog "Byt' ili ne byt'?..", proiznesennyj special'no dlya  Ofelii.  Ofeliya
ponyala tol'ko to, chto princ i vpryam' spyatil:

                                   Ofeliya

                                             O, Bozhe!
                     Princ, kak sebya vy chuvstvuete, princ?

                                   Gamlet

                     Spasibo za uchastie. Otmenno.

     Po originalu:
     OPHELIA: Good my lord,
     How does your honour for this many a day?
     HAMLET: I humbly thank you; well, well, well. (III, 1)

     CHtoby razgadat' zagadku sumasshestviya Gamleta, beremennaya Ofeliya i  idet
na predatel'stvo.

     - Korol' razgadyvaet, kuda Gamlet spryatal telo  Poloniya.  Rozenkranc  i
Gil'denstern - net.

     "Ukryt v ukromnom meste..."
     "Safely stowed". (IV, 2)

     V originale: "Nadezhno spryatan". No delo sovsem ne  v  tom,  chto  Gamlet
pochemu-to ne hochet govorit', gde imenno on spryatal telo Poloniya. On govorit,
no  ego  zagadku  ne  razgadyvayut  ni  Rozenkranc   s   Gil'densternom,   ni
shekspirovedy.
     SHpionam korolya Gamlet soobshchaet, chto smeshal telo s "prahom".

     ROSENCRANTZ: What have you done, my lord, with the dead body?
     HAMLET: Compounded it with dust, whereto 'tis kin.

     Zato zagadku Gamleta v sleduyushchej scene tut zhe razgadyvaet korol',  edva
Gamlet soobshchaet, chto Polonij sam sebya obnaruzhit cherez  mesyac,  kogda  korol'
pojdet po lestnice v perednyuyu.
     Pod lestnicej v zamkah (a do XIX veka i vo dvorcah) ustraivali tualety,
a esli u obitatelej byli individual'nye nochnye  vazy,  imenno  zdes'  obychno
stavili bochku s parashej.

     - "Ubijstvo Gonzago" (special'no dlya korolya Gamlet pridumyvaet i drugoe
nazvanie etoj p'esy - "Myshelovka") - edakaya _provociruyushchaya zagadka_.  Korol'
ee razgadal. I  vyzhil,  poskol'ku  poshel  k  sebe  i  stal  molit'sya.  Ubit'
molyashchegosya Gamlet ne smog.  Vo  vremya  predstavleniya  "Myshelovki"  i  Gamlet
razgadal Klavdiya.



     Pokazhem, kak pol'zuetsya "temnym stilem" SHekspir.
     K primeru, nigde  ne  skazano,  skol'ko  let  Gamletu.  No  vot  Gamlet
sprashivaet, davno li  mogil'shchik  rabotaet  mogil'shchikom?  Tot  otvechaet,  chto
"vzyalsya za delo kak raz v  tot  den',  kogda  nash  pokojnyj  korol'  pobedil
Fortinbrasa". Gamlet peresprashivaet: "A kogda eto bylo?" Mogil'shchik  udivlen:
"Razve ne znaete? Da eto skazhet kazhdyj durak. V  tot  den'  rodilsya  molodoj
Gamlet".
     Mogil'shchik tak i ne otvetil na vopros. No potom  vse-taki  progovorilsya:
"YA sluzhu zdes' mogil'shchikom, podmaster'em i masterom tridcat' let".
     Pered nami prostejshij sluchaj "raschlenennoj informacii".
     Takim zhe obrazom mozhno otgadat' i  zagadku  proishozhdeniya  Goracio.  Na
vopros Francisko "Stoj, kto idet?" Goracio otvechaet:  "Druz'ya  etoj  strany"
(to est' on sam i eshche Marcell, kotoryj, kstati, tut zhe utochnyaet: "I  vassaly
korolya Danii"). Idut ne poddannye (to est' datchane), no  "druz'ya",  to  est'
inozemcy-naemniki. I Goracio - odin iz etih druzej-vassalov.
     On ne strazhnik, on soplemennik strazhnikov.
     Potomu-to  priehavshemu  iz   universiteta   uchenomu   zemlyaku   prostye
shvejcarskie parni i otkryvayut, chto na esplanadu stal navedyvat'sya prizrak.
     Kto  ohranyaet  |l'sinor,  my  mozhem  srazu  dogadat'sya,  no   esli   ne
dogadaemsya, SHekspir nam podskazhet ustami Klavdiya, kogda  tot  zavopit:  "Gde
moi shvejcarcy?"
     V  srednie  veka  SHvejcariya  vhodila  v  Svyashchennuyu   Rimskuyu   imperiyu.
Fakticheskuyu  nezavisimost'  strana  poluchaet  v  1499  g.  (YUridicheski   eto
proizoshlo lish' v 1648 g.  po  Vestfal'skomu  miru.)  No  uzhe  v  XIV-XV  vv.
SHvejcariya stanovitsya postavshchikom naemnyh vojsk dlya stran Zapadnoj Evropy.
     Imya Goracio okanchivaetsya na "o".  |to  tipichno  ital'yanskoe  okonchanie:
Paolo, Leonardo, Dzhakomo, Domeniko i t.  d.  U  nas  tak  zvuchat  ukrainskie
familii Matvienko, Didenko... I esli v anekdote dejstvuet serzhant Sidorenko,
to nikomu ne pridet v golovu utochnyat', chto on maloross.
     A vot latinizirovannye imena s okonchaniem "us" dlya avtora  "Gamleta"  -
znak obshcheevropejskoj civilizacii. Latyn' v shekspirovskie vremena  byla  tem,
chem dlya nashego veka  stal  anglijskij.  I  strazhnik  "Marcellus"  -  hot'  i
shvejcarec, no ne ital'yanec.
     Goracio - takoj zhe ital'yanskij shvejcarec,  kak  ego  priyateli-strazhniki
Francisko i  Bernardo.  Syuda  zhe  sleduet  otnesti  i  shpiona  Rejnal'do,  i
nachal'nika kancelyarii Klavdiya - Klavdio.
     Obratim vnimanie na etot ryad: strazhniki, shpiony, kancelyarskie krysy. On
ne slishkom politkorrekten, no v srednevekovoj Evrope shvejcarcev  nenavideli,
ibo imenno  oni  byli  professional'nymi  naemnikami  pri  dvorah  monarhov.
(Russkoe "shvejcar" - eto pervonachal'no imenno ob ohrannike-shvejcarce.)
     Sergej Nikolaev spravedlivo obratil moe vnimanie na to, chto tradicionno
shvejcarskie naemniki byli vyhodcami iz Nemeckoj SHvejcarii. Pochemu zhe u troih
iz  chetyreh  (vklyuchaya  Goracio)  priyatelej-shvejcarcev   v   p'ese   SHekspira
"ital'yanskie" imena? Da potomu, chto v 1587 g.  shest'  katolicheskih  kantonov
SHvejcarii zaklyuchili separatnyj "druzheskij soyuz" s Filippom II  Ispanskim.  I
esli by ne gibel' "Nepobedimoj Armady", katolicheskij revansh na konchike kopij
katolikov-shvejcarcev   (prezhde   vsego   ital'yanskogo   proishozhdeniya)   mog
dotyanut'sya i do Anglii
     "Gamlet" pishetsya za chetyre-pyat' let do okonchaniya Anglo-Ispanskoj vojny.
I u soplemennikov SHekspira est' vse  osnovaniya  opasat'sya  kovarstva  imenno
italo-shvejcarcev, ved' SHvejcariya stala placdarmom katolicizma v  Central'noj
Evrope, i soyuz ee s Ispaniej i Papoj Rimskim mog privesti  k  vseevropejskoj
vojne, restavracii katolicizma v stranah Central'noj  i  Severnoj  Evropy  i
peredelu karty Evropy.
     Tol'ko v poslednej scene  tragedii  Goracio  govorit,  chto  on  "bol'she
drevnij rimlyanin, chem datchanin". Pered nami sluchaj,  v  kotorom  rabotayut  i
"raschlenennaya informaciya", i "svoya  citata",  ved'  ustami  Goracio  SHekspir
delaet otsylku k sobstvennomu "YUliyu Cezaryu".
     SHekspir v god rozhdeniya Kromvelya (1599 g.)  ugadal  gryadushchee.  I  potomu
Gamlet govorit, mol, priznayus' tebe, Goracio, uzhe goda tri  ya  zamechayu,  chto
nosok  krest'yanina  stal  natirat'  pyatku  dvoryanina.  Delo  idet  k   krahu
privychnogo miroustrojstva. Vnov' obratimsya  k  istorii  Anglii:  v  1596  g.
krest'yanskie volneniya prokatilis' po Oksfordshiru i nachalis' golodnye bunty v
gorodah i selah Kenta, a takzhe v Vostochnoj i Zapadnoj Anglii. (Na  osnovanii
etogo my mozhem zaklyuchit', chto postavlennyj v sezon  1600/1601  gg.  "Gamlet"
pisalsya v  1599  g.,  to  est'  na  samom  pike  eshatologicheskih  ozhidanij,
tradicionnyh v Srednevekov'e dlya konca lyubogo stoletiya".)
     Goracio - geroj novejshego vremeni, uzhe nastupayushchego po vsem  frontam  i
potomu natirayushchego iznezhennuyu pyatku staroj monarhicheskoj Evropy.
     "|poha vyvihnula sustav".  Na  smenu  fanatikam  prishli  novye  lyudi  -
politiki i _funkcionery_.
     Tak avtor "Slova o polku Igoreve", opisyvaya svoi  "iznanochnye  vremena"
("Na nich' sya godiny obratisha" D.S. Lihachev perevodil kak "naiznanku  vremena
obratilis'"), tozhe prorochil  gibel'  Kievskoj  Rusi.  Po  ego  slovu  vse  i
sluchitsya: ot Kayaly do Kalki - te zhe sorok let, chto ot "Gamleta" do Kromvelya.
     Goracio zanimaet SHekspira, otkryvshego to,  chto  Berdyaev  potom  nazovet
"krizisom gumanizma". Eshche tri veka do kommunizma i  fashizma,  pochti  dva  do
Robesp'era, no Kromvel' uzhe b'et pyatkami v materinskom chreve.
     I zakonomerno, chto lyudi postkromvelevskoj epohi ne  zahoteli  uznat'  v
Goracio togo, kto im byl pokazan i pryamo nazvan po imeni. I  my,  zhivushchie  v
toj  zhe  istoriko-gumanitarnoj  paradigme,  tozhe  ne   hotim   verit',   chto
sovremennym mirom pravyat te  zhe  Goracio  -  politikany  i  mafiozi.  Oni  i
ubivayut-to ne tak, kak ubivali Kain i Klavdij.
     Nichego lichnogo. Tol'ko biznes.
     Ili, kak pel Andrej Mironov v "Obyknovennom chude": "Po obstoyatel'stvam,
a ne so zla..."
     My ne razglyadeli epicheskoj moshchi cheloveka-funkcii, hotya dve  tysyachi  let
nazad nas i predupredili ob Antihriste, kotoryj i pohozh na Hrista,  i  slova
stanet govorit' pravil'nye, no budet "gord, unyl i srebrolyubiv".
     CHetyresta let  nazad  o  tom  zhe  pytalsya  skazat'  chelovechestvu  avtor
"Gamleta". Uzhe pervyj monolog Goracio - parodiya. Ne  ponimaya  etogo,  Mihail
Morozov stremitsya prigladit' rech' Goracio i perevesti parodijno-kancelyarskij
monolog v "knizhnyj" i "yuridicheskij". No  i  emu  eto  ne  ochen'-to  udaetsya,
poskol'ku  smehovaya   struktura   okazyvaetsya   sil'nej   blagih   namerenij
perevodchika:

     "...Nash prezhnij korol', chej obraz tol'ko chto yavilsya nam,  byl,  kak  vy
znaete,  vyzvan   na   poedinok   Fortinbrasom   Norvezhskim,   podzadorennym
zavistlivoj gordynej. V etom poedinke nash doblestnyj  Gamlet,  -  ibo  takim
pochitala ego eta storona nashego issledovannogo  mira,  -  ubil  Fortinbrasa.
Poslednij, v silu skreplennogo pechat'yu soglasheniya,  vpolne  sootvetstvuyushchego
zakonu o poedinkah, poteryal  vmeste  s  zhizn'yu  vse  zahvachennye  im  zemli,
kotorye  pereshli  k  pobeditelyu.  So  svoej  storony,  nashim  korolem   byla
postavlena v zaklad sootvetstvuyushchaya dolya  vladenij,  kotoraya  pereshla  by  v
nasledstvennuyu sobstvennost' Fortinbrasa, esli by on  vyshel  pobeditelem,  -
tochno tak zhe, kak po etomu soglasheniyu i soderzhaniyu ukazannoj stat'i ego dolya
pereshla k Gamletu. I vot, ser, molodoj Fortinbras, chelovek goryachego i eshche ne
obrabotannogo opytom nrava, po okrainam Norvegii, v raznyh mestah, nabral za
pishchu i propitanie nekotoroe chislo bezzakonnyh golovorezov, gotovyh na  lyuboe
predpriyatie, trebuyushchee smelosti. A eto predpriyatie zaklyuchaetsya,  kak  vpolne
yasno nashemu pravitel'stvu, v tom, chtoby vernut' sil'noj rukoj i  navyazannymi
usloviyami dogovora vysheupomyanutye zemli, poteryannye ego otcom..." (I, 1)

     V moem perevode:

                                           YA pereskazhu
                    Lish' to, chto znayu ili slyshal sam.
                    Tot, kto nam v vide prizraka yavlyalsya,
                    Pri zhizni vyzvan byl na poedinok
                    Svoim vragom zaklyatym Fortinbrasom
                    Norvezhskim, podstrekaemym gordynej
                    I zavist'yu. I blagorodnyj Gamlet -
                    Za blagorodstvo v dannoj chasti sveta
                    Pred nim i preklonyalis' - zakolol-
                    taki nadmennogo nevezhdu... No
                    Ubityj dolzhen byl po dogovoru,
                    Skreplennomu pechatyami i prochim,
                    Pogibnuv, otkazat'sya ot pretenzij
                    Na vse, chto on zavoeval, a Gamlet,
                    Soglasno soderzhaniyu statej
                    Togo zhe dogovora, ustupal
                    Takie zhe zahvachennye zemli
                    Norvegu, esli b tot ego ubil.
                    A nyne Fortinbras, syn Fortinbrasa,
                    Pustoj yunec, vedomyj samomnen'em,
                    Prizval narod k otmshcheniyu, sobral
                    Tolpu brodyag, gotovyh za pohlebku
                    Hot' v peklo, i, upotrebiv nasil'e -
                    O chem izvestno nashemu pravitel'stvu, -
                    Stal'noj rukoj nameren vozvratit'
                    Te, vysheupomyanutye zemli.
                    Vot vsledstvie chego, druz'ya moi,
                    Teper' i Daniya prishla v dvizhen'e...

     Voobrazim, chto takim yazykom stal by govorit' Gamlet... Vprochem,  imenno
tak on parodiruet derzhavnyj kancelyarit, kogda  pishet  na  korable  podmennoe
poslanie anglijskomu korolyu: "...poskol'ku korol' Anglii yavlyaetsya ego vernym
dannikom, poskol'ku mezhdu nami,  kak  pal'ma,  dolzhna  procvetat'  lyubov'  i
poskol'ku mir dolzhen vechno nosit' svoj venok iz kolos'ev pshenicy i  yavlyat'sya
zapyatoj mezhdu ih vzaimnymi druzheskimi chuvstvami..." (perevod M. Morozova). I
dal'she sam Gamlet poyasnyaet: "...i  tut  sledovali  eshche  mnogie  tyazhelovesnye
sravneniya". (V, 2)
     Mihail Morozov kommentiruet: "_Tyazhelovesnye_ sravneniya. -  Kalambur  na
slovah as (kak, poskol'ku) i ass (osel). Vtoroj smysl -  tyazhelo  nagruzhennye
osly. Gamlet izdevaetsya nad glupost'yu stilya, polnogo napyshchennyh tyazhelovesnyh
sravnenij".
     Poskol'ku    shekspirovedy    ne    vidyat    ni    parallel'nosti,    ni
vzaimodopolnyaemosti  etih  dvuh  epizodov,  oni  priznayut  monolog   Gamleta
parodiej (ved' Gamlet sam na eto ukazal), a ne menee parodijnuyu rech' Goracio
nejtral'noj knizhnoj (a to i uchenoj yuridicheskoj ili dazhe "golosom predaniya").
(Hotya - ili odno, ili drugoe, ili tret'e!) No  umnyj  Bernardo  iz  monologa
Goracio zaklyuchaet, chto Staryj Gamlet "byl i est' prichina etih vojn" ("...the
king that was and is the question of these wars"). Bernardo  propustil  mimo
ushej vse kancelyarity, ves' steb priyatelya, i, vyslushav  parodijnuyu  traktovku
vzveshennoj oficial'noj versii,  rassudil  prosto:  esli  eto  Staryj  Gamlet
vyzval Starogo Fortinbrasa na poedinok  i  ubil  ego,  zahvativ  zavoevannye
Fortinbrasom zemli (ne skazano ved', chto otnyaty  oni  u  Danii!),  to  on  i
prichina nadvigayushchejsya vojny. I tol'ko uslyshav v  otvet  ser'eznoe  zamechanie
Bernardo (kotoryj sledil za soderzhaniem, a ne formoj),  Goracio  ponyal,  chto
dopustil  politicheskuyu  negramotnost',   i   tut   zhe   zasypal   slushatelej
precedentami iz antichnosti.
     A "bezzakonnye  golovorezy",  kotorye  "za  propitanie"  idut  v  armiyu
Fortinbrasa? |to ne narodnoe predanie, eto agitprop.
     Goracio ssylaetsya ne na molvu, a na mnenie  Klavdiya.  Tot,  kto  zavtra
stanet edinstvennym soyuznikom Gamleta  v  ego  bor'be  s  Klavdiem,  segodnya
namekaet  na  nekuyu  svoyu  blizost'  k  vlasti:  "kak  vpolne  yasno   nashemu
pravitel'stvu...". Pri etom Goracio poka dazhe ne vhozh  v  korolevskij  zamok
(inache tam on neminuemo vstretil by Gamleta, i vo  vtoroj  scene  princu  ne
prishlos' by udivlyat'sya poyavleniyu odnokursnika v |l'sinore).
     CHto zh, pered nami i  vpryam'  "drug  etoj  strany",  sluga  nenavidimogo
datchanami rezhima. Hotya Goracio, v otlichie ot svoih  zemlyakov,  sam  ne  vzyal
alebardu strazhnika, psihologiyu  naemnika  on  usvoil  otmenno.  A  Gamlet  -
glavnyj vrag rezhima Klavdiya. Nedarom zhe mat' prosit ego vzglyanut'  na  Daniyu
glazami druga: "And let thine eye look like a friend on Denmark". (I, 2)
     I tol'ko naivnost' princa, ego "molodost' i velikodushie"  ne  pozvolyayut
emu razglyadet' v byvshem odnokursnike kuda bolee izoshchrennogo  predatelya,  chem
Rozenkranc i Gil'denstern.
     Goracio govorit Gamletu: "I saw him once; he  was  a  goodly  king"  (YA
videl ego odnazhdy, on byl dobryj korol' - 1, 2).
     Kogda eto bylo? Mozhno dogadat'sya, chto Goracio  predstavlyalsya  pokojnomu
korolyu, kogda  pribyl  s  priyatelyami  iz  shvejcarskoj  derevni,  prozyabayushchej
gde-nibud' na beregu ozera Lugano, chtoby  nanyat'sya  na  datskuyu  sluzhbu.  No
uznal, chto u korolya syn uchitsya v Vittenberge, i rvanul po ego dushu, vzyav pri
etom trud peredat' princu poklon, a to i pis'mo.  Ved'  ne  zrya  zhe  Goracio
govorit: "...he was a goodly king".
     Vo vsyakom sluchae, nichego drugogo iz teksta p'esy ne sleduet.



     Izvestno, chto imya Goracio SHekspir vzyal iz "Ispanskoj  tragedii"  Tomasa
Kida (napisana okolo 1585 g. i opublikovana  v  1594  g.).  Stroki  iz  etoj
tragedii SHekspir parodiruet ustami Gamleta: "Ibo  esli  korolyu  ne  nravitsya
komediya, nu,  znachit,  po-vidimomu,  ona  emu,  chert  voz'mi,  ne  nravitsya"
{perevod M.Morozova). A.N. Gorbunov v svoem kommentarii (U.SHekspir.  Gamlet.
Izbrannye perevody. M., 1985. s. 617) privodit parodiruemye stroki: "And  if
the world like not this tragedy // Hard is the hap of old  Hieronimo".  (IV,
1)
     Schitaetsya, chto imenno iz "Ispanskoj  tragedii"  SHekspir  zaimstvoval  i
stil' nasyshchennogo dramatizma "tragedii mesti".
     "U Kida Goracio takzhe predannyj drug", - pishet A.N. Gorbunov.  Po  hodu
p'esy kidovskij Goracio vlyublyaetsya v nevestu svoego druga (vprochem, drug uzhe
ubit i sledit za etim s nebes, sidya  nad  scenoj),  a  posle  vragi  ubivayut
Goracio  i  veshayut  ego  telo  na  dereve.  Po  mneniyu  E.N.   CHernozemovoj,
vyskazannomu v chastnoj besede, zdes' vol'no (ili nevol'no) vystraivaetsya  ta
associativnaya cepochka (poveshennyj na dereve - Iuda - Goracio),  kotoroj  mog
vospol'zovat'sya SHekspir. Kstati, prinyato schitat', chto  ne  doshedshaya  do  nas
p'esa o Gamlete (tak nazyvaemyj "Pra-Gamlet") tozhe prinadlezhala Kidu.
     Poprobuem  pokazat',  chto  shkol'naya  traktovka   obraza   Goracio   kak
"edinstvennogo i vernogo druga Gamleta" -  strannoe,  hotya,  mozhet  byt',  i
zakonomernoe nedorazumenie v istorii shekspirovedeniya. (Napomnyu, chto  ne  byl
postavlen vopros o tom, kak doshedshij tekst sootnositsya s  samoj  p'esoj,  to
est' s sistemoj _avtorskih_ traktovok. Teh traktovok,  pamyat'  o  kotoryh  v
genial'nom proizvedenii sohranyaetsya v samom tekste.)
     Goracio SHekspira - takoe  zhe  vyvorachivanie  naiznanku  obraza  Goracio
Kida, kak "Myshelovka"  -  parodiya  na  kidovskij  priem  "sceny  na  scene".
Parodiruya  svoego  predshestvennika,  SHekspir  iz  predannogo   druga   lepit
predatelya.
     I eto vpolne ob®yasnimo, ved' posle zaklyucheniya  v  1587  g.  "druzheskogo
soyuza" Ispanii i katolicheskih kantonov SHvejcarii, "ital'yanskoe" imya  Goracio
stalo dlya anglijskogo uha "vrazheskim".
     SHekspir lyubit davat' svoim geroyam "govoryashchie imena".  Prinyato  schitat',
chto  imya  Hamlet  voshodit  k  drevnegermanskomu  slovu  amlodi   -   mnimyj
sumasshedshij. U Saksona Grammatika i Bel'fore princa zovut Amleth(us).
     Ofeliya - ot grecheskogo prilagatel'nogo apheles  (prostoj,  pryamodushnyj,
beshitrostnyj) s komichnoj zamenoj nachal'nogo "A-" na "O-" (_prAstushka_, esli
peredavat' etu igru po-russki).
     Fortinbras (v perevode s francuzskogo) "sil'naya ruka" (po-anglijski eto
by zvuchalo strong-in-arm).
     Imya normandskogo fehtoval'shchika Lamora, o  kotorom  korol'  rasskazyvaet
Laertu, po Pervomu folio zvuchit kak "Smert'" (ot francuzskogo la mort).
     Rozenkranc - ot nemeckogo Rosencrantz ("venok iz roz"). No  za  nezhnymi
lepestkami tayatsya shipy. (Rech' ne o bukete, a o venke, i potomu  parallel'  s
ternovym venkom ves'ma prozrachna.) Krome togo,  roza  v  srednie  veka  byla
simvolom molchaniya.
     Prinyato schitat', chto imya Gil'denstern - iskazhennoe  nemeckoe  vyrazhenie
"zolotaya zvezda". Pri etom na yazyke SHekspira guilder - gollandskij  gul'den,
guild - gil'diya, ceh, soyuz. No stern po-anglijski  -  korma,  zad,  zadnica.
(Po-russki takaya familiya zvuchala by Zlatozad; Rublevyj Zad; Gil'diya  Zadnic.
Podrobnej sm. na s. 233.)
     Imya Jorika kak budto "skleeno" iz nazvanij  dvuh  gorodov  -  Uorika  i
Jorka. (SHekspir rodilsya v gorode Stratford-on|jvon v grafstve Uorikshir.)
     A imya Ozrika (Osric) yavstvenno rifmuetsya s osier (iva). Imenno  k  ive,
derevu skorbi i smerti, v poslednyuyu minutu svoej zhizni prihodit i Ofeliya.
     A esli tak, to poyavlenie  Ozrika  v  poslednej  scene  podobno  yavleniyu
angela smerti.
     V p'ese lish' v odnom meste  (no  dvazhdy)  zvuchit  sdvoennoe  mezhdometie
"ho-ho!". V pervyj raz eto proishodit v dialoge Gamleta  i  Goracio.  Gamlet
tol'ko chto uznal pravdu o smerti otca, i k tomu zhe on razdrazhen na priyatelya,
kotoryj pytalsya ne dopustit' ego pogovorit' s Prizrakom:

     HORATIO [Within] Hillo, ho, ho, my lord!
     HAMLET Hillo, ho, ho, boy! come, bird, come.

     Hoboy - goboj,  flejta.  Slovo  eto  francuzskoe  (=  hautbois),  a  iz
ital'yanskogo zaimstvovano sovremennoe anglijskoe oboe.  Ital'yanskoe  oboe  -
tozhe iz francuzskogo hautbois. (V remarke k "Myshelovke" eto  slovo  zapisano
kak hautboys). V znachenii "flejta" vpervye zafiksirovano v 1579-80 gg., a  v
perenosnom znachenii, - vstavka v klistir, mundshtuk  klizmy  zafiksirovano  v
1616 g.: "Wilt thou give me another glister...  where's  thy  hoboy?".  Esli
Gamlet,   obrashchayas'   k    Goracio,    igral    slovechkom,    prishedshim    s
ital'yano-shvejcarskoj rodiny poslednego, to proiznosit' etu frazu  on  dolzhen
byl tak: "Hillo, ho, ho, o-boy!.."
     A v drugoj raz Gamlet obygryvaet imya Goracio tak: "|gej, ho, Ho-racio!"
("What ho! Horatio!" - III, 2).
     Klyuch k razgadke haraktera Goracio - takzhe v samom imeni "Horatio".
     Kak zametil moskovskij lingvist Anton Ivanickij, krome slova "racio"  v
imeni "Goracio" zvuchit eshche i slovco, bytovavshee v XVII veke  i  bytuyushchee  do
sih por:  whore  (shlyuha,  prostitutka).  Pri  etom  "w"  v  slove  whore  ne
proiznositsya. Slovo whore (kak glagol) upotreblyaetsya i Gamletom,  govoryashchim,
chto Klavdij whored ("oblyadil") ego mat'.
     Anton Ivanickij prodemonstriroval shekspirovskuyu igru temnym  stilem  na
dvuh primerah:

     Words. Words. Words. - Slova. Slova. Slova.
     Word. Sword. Swords. - Slovo. Mech. Mechi.

     Kak by eto ni proiznosilos' v zhivoj rechi, pered nami  redchajshij  sluchaj
polnoj graficheskoj rifmy: ne izmeniv ni bukvy, my vnutri odnogo vyskazyvaniya
poluchili drugoe.
     Sravnenie slov s klinkami  v  p'ese  zvuchit  trizhdy  (iz  ust  Gamleta,
Klavdiya i Gertrudy), i etot gamletovskij kalambur, nado dumat',  obygryvalsya
na scene, ved' v nem zvuchit preduprezhdenie Poloniyu, kotoryj  i  pogibnet  ot
mecha Gamleta  iz-za  popytki  podslushat'  ego  slova.  (Skazhem,  Gamlet  mog
shvatit'sya za rukoyat' mecha i trizhdy vonzit' v pol klinok).
     Vtoroj  primer  -  veroyatnoe  poeticheskoe  osmyslenie  imenno  datskogo
zvuchaniya slova |l'sinor - Helsingor (Hel'singer), v kotorom anglichanin mozhet
uslyshat' i sushchestvitel'noe hell (ad), i  sin  (greh),  i  gor,  kotoroe  dlya
soplemennikov SHekspira bylo sozvuchnym rodnomu  to  go  {*}.  (Po-russki  eto
miloe mestechko moglo by nazyvat'sya Adovratsk.)
     {* Polagayu, chto molodoj SHekspir mog nahodit'sya v  |l'sinore  v  sostave
anglijskogo ekspedicionnogo korpusa eshche v  samom  nachale  vojny  s  Ispaniej
(1587-1604 gg.). Ego znanie Danii nesravnimo luchshe, chem, skazhem, ego  znanie
Verony,   kotoraya,   kak   SHekspir   schitaet,    raspolozhena    gde-to    na
sredizemnomorskom poberezh'e. Po otnosheniyu k |l'sinoru geograficheskih  oshibok
SHekspir ne dopuskaet. Bolee togo, on predstavlyaet, chto polyaki otpravlyalis' v
pohod na datchan "v sanyah"  (po  l'du  inogda  zamerzayushchej  u  yuzhnyh  beregov
Baltiki), a norvezhcy, dlya togo chtoby napast' na teh zhe polyakov, dolzhny  byli
poluchat' razreshenie u datchan na prohod cherez ih vladeniya. Krome togo, Gamlet
govorit,  chto  on  bezumen  tol'ko  pri   nord-nord-veste,   no   imenno   s
severo-severo-zapada, obognuv mys Skagen, podhodyat k |l'sinoru  po  prolivam
Kattegata i |risuni korabli iz Anglii. SHekspir  predstavlyaet,  kak  vyglyadit
korolevskij zamok Kronborg, i pomnit ob  aktual'noj  dlya  XVI  v.  starinnoj
bor'be  Danii  s  Norvegiej.  (Semiletnyaya  vojna   so   SHveciej   okonchilas'
SHtettinskim mirom 1570 g. v pol'zu Danii. Norvegiya byla prevrashchena v datskuyu
provinciyu.) A esli tak, to stanovitsya ponyatno, pochemu my nichego ne  znaem  o
neskol'kih godah zhizni SHekspira,  i,  mozhet  byt',  stoit  iskat'  ego  imya,
skazhem, v spiskah anglijskogo voennogo  audita  vremen  gibeli  "Nepobedimoj
Armady" v 1588 g., ved' srazu posle etogo SHekspir i ob®yavlyaetsya v Londone.}
     Goracio -  chelovek  racio  i  kar'erist.  Da,  on  -  filosof-stoik.  I
Makiavelli  takoj  zhe  stoik.  Kak  polagaet  Sergej  Nikolaev,   stoicheskaya
filosofiya v ee vozrozhdencheskom vospriyatii i byla maksimal'no udobnoj  maskoj
dlya politikanstva.
     Vspomnim: "Goracio, ty s nami?" - "Lish' otchasti"  (A  piece  of  him  -
"kusok ego"). Dobavim, chto on eshche i "chastichno verit":  Horatio.  So  have  I
heard and do in part believe it. (I, 1). No "otchasti  verit'"  ili  "otchasti
doveryat'" - znachit i ne verit', i ne doveryat'. CHelovek,  kotoryj  otchasti  s
druz'yami i sposoben chastichno verit', opasen v pervuyu ochered'  dlya  svoih  zhe
druzej.
     A trogatel'naya lozh' Goracio pro to, chto Prizrak proshel  "na  rasstoyanii
ego zhezla", a ne alebardy Marcella, kotoroj po prikazu  Goracio  i  izmerili
rasstoyanie do Prizraka? Ustami Goracio upominaya o zhezle  korolya,  SHekspir  i
obrashchaet nashe vnimanie na to, chto Goracio ne  rasskazal  Gamletu,  kak  liho
rubili strazhniki ten' otca princa.
     A popytka svalit' vse na petuha,  vspugnuvshego  Prizraka  (iz-za  chego,
mol, tot i ne otkryl Goracio svoyu tajnu)?
     Vot lish' nekotorye shtrihi k portretu Goracio:
     - Sudya po povedeniyu v p'ese, Goracio  ne  drug  Gamleta  (hotya  snachala
Goracio attestuet sebya slugoj Gamleta, a tot vozrazhaet i nazyvaet ego imenno
drugom - good friend). Goracio prav: on vsego lish' sluga  i  fellow-student,
odnokashnik princa po universitetu (kak Rozenkranc i Gil'denstern -  shkol'nye
odnokashniki).
     - Pervoe, chto my uznaem pro Goracio, kogda tot prihodit k  princu,  eto
to,  chto  Goracio,  po  mneniyu  Gamleta,   sklonen   k   "mock"   (nasmeshke,
mistifikacii). Po tekstu ponyatno, chto  Gamlet  priehal  v  |l'sinor  eshche  do
smerti otca. Inache by on ne sprashival Goracio, chto zastavilo togo vernut'sya,
i Goracio, kotoryj okazalsya ne gotov k stol' prostomu  voprosu,  ne  otvechal
by: "I came to see your father's funeral" (priehal uvidet'  pohorony  vashego
otca). Na chto Gamlet prosit Goracio ne nasmeshnichat' i ne peredergivat'.
     Ot Vittenberga do |l'sinora poltysyachi kilometrov po pryamoj. Vo  vremena
SHekspira telegrafa ne bylo, samolety ne letali, tak chto uspet'  na  pohorony
Starogo Gamleta fellow-student nikak ne mog. Vot Gamlet i yazvit: "I think it
was to see my mother's wedding" (ya dumayu, ty priehal posmotret' svad'bu moej
materi). So smerti starogo Gamleta proshlo uzhe chetyre  mesyaca  i  bolee  treh
mesyacev s togo dnya, kak Gertruda vyshla zamuzh za  Klavdiya.  Znachit,  vse  eto
vremya Goracio pri dvore ne poyavlyalsya. CHto on delal?  My  ne  znaem.  Ponyatno
tol'ko, chto on zhil ne v zamke, a v gorode, no pochemu-to soshelsya s dvorcovymi
strazhnikami-shvejcarcami. I k Gamletu on prihodit po konkretnomu delu.
     No zapomnim, chto Goracio sfal'shivil v pervom zhe  otvete  na  pervyj  zhe
vopros Gamleta. Za chto tut zhe i byl vysmeyan.
     - Ne poveril Gamlet i tomu, chto Goracio byl  otchislen  iz  universiteta
iz-za progulov. Ibo "gulyat'" (progulivat' i p'yanstvovat') - ne  v  haraktere
Goracio.
     - Goracio - chelovek, umeyushchij sobirat' i  analizirovat'  informaciyu:  on
nedavno v |l'sinore, no prekrasno osvedomlen  o  sobytiyah,  proishodyashchih  ne
tol'ko v Danii, no i v Norvegii. Posle ob®yasneniya Gamleta  s  otcom  Marcell
sprashivaet: "Kak vy, princ?", a Goracio: "Kakie novosti?...  "  I,  poluchiv,
otvet ("Prekrasnye!"), toropit: "Govorite, milord!"
     - V pervoj zhe svoej replike v p'ese Goracio attestoval  sebya  odnim  iz
"druzej etoj strany" (friends to this ground). Skazano  v  shutku,  no  on  i
vpryam' umeet to, chemu nikogda ne nauchitsya Gamlet, kotorogo  koroleva  prosit
"vzglyanut' na Daniyu kak drug" (...let  thine  eye  look  like  a  friend  on
Denmark). Podcherknem, chto shekspirovskoe protivopostavlenie Goracio i Gamleta
nachinaetsya s pervogo poyavleniya i pervyh slov vittenbergskogo gulyaki.
     - Trusovat. Ispugalsya vyvoda  Bernardo  "pokojnyj  gosudar'  -  prichina
vojny" (vyvod logichno sledoval iz rasskaza samogo Goracio) i  naplel  s  tri
koroba  lzheprorochestv.  Perepugalsya,  kogda  uvidel  Prizraka,   no   bystro
osvoilsya, ponyav, chto Prizrak ne obrashchaet na nego vnimaniya, a  znachit,  lichno
emu ne opasen.
     - Ubezhden, chto Prizrak - eto otec Gamleta,  no  popytaetsya  ne  pustit'
Gamleta govorit' s nim, mol, a vdrug otec  zamanit  syna  v  puchinu  ili  na
skalu, tam primet drugoj uzhasnyj obraz i podtolknet k bezumiyu?
     - Mechtaet razbogatet'. Poslednij vopros k Prizraku: ne pryatal li on pri
zhizni v zemlyu sokrovishch?
     - Hochet, chtoby Marcell ostanovil Prizraka, a kogda vidit,  chto  eto  ne
udaetsya,  prikazyvaet  udarit'  togo  alebardoj.  Gamletu  on  ob  etom   ne
rasskazhet, tol'ko obmolvitsya, chto Prizrak proshel "na rasstoyanii  ego  zhezla"
(a ne alebardy Marcella!): "within his truncheon's length". Drugimi slovami,
esli nado, to Goracio soldeet Gamletu dazhe pri svidetelyah.
     Pered nami metafora careubijstva, prichem misticheskogo,  posmertnogo.  I
soversheno ono po  prikazu  Goracio.  Suevernyj  i  sovestlivyj  Marcell  eto
chuvstvuet, i  Goracio  dovol'no  nelovko  pytaetsya  pered  nim  opravdat'sya,
perekladyvaya vinu na samogo starogo Gamleta: "I togda  ono  vzdrognulo,  kak
vinovatoe  sushchestvo,  uslyhavshee  uzhasnyj  prizyv".  Gamletu  on   rasskazhet
sovershenno protivopolozhnoe:

     "Vse zhe odin raz, kak mne pokazalos',  ono  podnyalo  golovu  i  sdelalo
dvizhenie, kak budto sobiralos' zagovorit'. No kak raz v eto mgnovenie gromko
zapel petuh, i pri etom zvuke ono pospeshno  ubezhalo  proch'..."  (perevod  M.
Morozova, I, 2).

     V razgovore s princem pominat' o "vine"  pokojnogo  ego  otca  neglupyj
Goracio ne stanet.
     Polemiziruya so mnoj v al'manahe "Anglistica" (| 9, Moskva-Tambov,  2002
g.), Igor' SHajtanov pishet, chto prikaz Goracio  bit'  Prizraka  alebardoj  ne
mozhet byt' metaforoj careubijstva i chto "alebarda - ne  orudie  misticheskogo
careubijstva,   a   ispytaniya   misticheskogo   sushchestva,   orudie,   kotorym
vospol'zovalis' za neimeniem luchshego".
     |to pravda. No podnyali  topor  na  bezymyannogo  prizraka,  a  popali  v
pokojnogo korolya. Vot priznanie Marcella: "My ne pravy v otnoshenii  k  nemu,
stol' velichestvennomu, kogda grozim emu nasiliem.  Ibo  ono  neuyazvimo,  kak
vozduh, i nashi bespoleznye udary prevrashchayutsya v zlostnuyu nasmeshku  nad  nami
samimi" (perevod M. Morozova, I, 1).
     Takogo zhe mneniya i Klavdij, kotoryj zhaluetsya Gertrude:
     "SHepot  o  sluchivshemsya,  kotoryj  mchit  pryamoj  navodkoj  k  Celi  svoj
otravlennyj snaryad po diametru zemli, kak pushechnyj vystrel, eshche, byt' mozhet,
pronesetsya mimo nashego imeni i porazit lish' neuyazvimyj vozduh"  (perevod  M.
Morozova, IV, 1).
     Vspomnim eshche i slova Klavdiya, skazannye im Laertu:  "Bozhestvennaya  sila
ograzhdaet korolya, i predatel'stvo sposobno lish' mel'kom  vzglyanut'  na  svoyu
cel', no ne v sostoyanii postupit' po svoej vole" (perevod M.  Morozova,  IV,
5).
     Parallel'nost'  etih  tekstov   i   ustanavlivaet   logicheskuyu   svyaz':
misticheskoe careubijstvo - real'naya revolyuciya.
     Marcell, udariv Starogo Gamleta alebardoj, tut zhe ponyal,  chto  sovershil
chto-to strashnoe. I ne tol'ko potomu, chto  mertvyj  korol'  sakralen  vdvojne
(kak korol' i kak duh), no potomu, chto akt oskverneniya chego-to  sakral'nogo,
kak i akt careubijstva, est' nasmeshka nad tem, kto eto sovershaet.
     Marcell raskaivaetsya, no  delo  sdelano.  I  vsem  ne  po  sebe.  Togda
Bernardo i govorit, chto prichina uhoda korolya -  vse-taki  petuh,  i  Goracio
hvataetsya za etu versiyu.
     Vprochem, pojmannyj na vran'e ili nekompetentnosti, Goracio vsegda umeet
vykrutit'sya.

     GORACIO: Mozhno bylo, ne toropyas', doschitat' do sta.
     MARCELL I BERNARDO: Dol'she, dol'she.
     GORACIO: Ne v tot raz, kogda ya videl ego (perevod M. Morozova, I, 2).

     U nego kakoe-to strannoe, otlichnoe ot drugih lyudej chuvstvo vremeni:

     GAMLET: Kotoryj chas?
     GORACIO: Dumayu, chto bez malogo dvenadcat'.
     MARCELL: Net, uzhe probilo.
     GORACIO: Razve? YA ne slyhal. Znachit, priblizhaetsya vremya,  kogda  brodit
Prizrak (perevod M. Morozova, I, 4).

     Pri etom Goracio znaet, chto nado sdelat',  chtoby  ponravit'sya  Gamletu.
Kogda tot govorit,  chto  Goracio  -  "samyj  spravedlivyj  izo  vseh  lyudej,
izvestnyh emu", on  krivitsya:  "O  dorogoj  milord!..",  i  Gamlet  vynuzhden
opravdyvat'sya, mol, on ne hotel l'stit',  zachem,  mol,  l'stit'  bednyaku,  u
kotorogo net dohoda dazhe dlya togo, chtoby kormit'sya i  odevat'sya.  Po  versii
Gamleta Goracio ne yavlyaetsya rabom strastej, poetomu Gamlet dopustil  ego  "v
serdcevinu svoego serdca".
     Krome Gamleta u Goracio vo vsem mire net blizkih lyudej:  "Ne  znayu,  iz
kakoj chasti sveta mozhet mne byt' prislano privetstvie,  esli  ne  ot  princa
Gamleta" (perevod M. Morozova, IV, 6).
     Posle vysylki Gamleta Goracio prihodit s  donosom  na  Ofeliyu.  Po  tak
nazyvaemomu Vtoromu kvarto (izdanie 1604 g.)  -  s  nekim  dzhentl'menom,  po
Pervomu folio (posmertnoe izdanie 1623 g.) - odin. Po Vtoromu kvarto on  sam
proiznosit slova: "'Twere good she were  spoken  with;  for  she  may  strew
dangerous conjectures in ill-breeding minds" ("Horosho by pogovorit'  s  nej,
tak kak ona mozhet poseyat' opasnye predlozheniya v zlobnyh  umah"  (perevod  M.
Morozova, IV, 5).
     Po Pervomu folio on svoim rasskazom podvodit  korolevu  k  proizneseniyu
etih slov, i imenno Goracio soobshchaet i o nachale vosstaniya Laerta i prizyvaet
korolya spasat'sya.
     Po  syroj  shtukaturke  syuzheta  SHekspir  procherchivaet  graf'yu  postupkov
Goracio (vydelim poluzhirnym kursivom  te  sobytiya,  kotorye  my  dostraivaem
ishodya iz logiki teksta):

     Goracio prishel s donosom na Ofeliyu, kotoraya govorit o smerti otca  i  o
tom, chto mir polon podlosti. Potom po prikazu  korolya  ("Follow  her  close;
give her good watch, I pray you") posledoval za Ofeliej,  chtoby  "obespechit'
ej horoshij nadzor".
     Srazu ispolnit' poruchenie novogo  hozyaina  emu  ne  udaetsya,  poskol'ku
vosstanie Laerta uzhe nachalos', i Goracio vynuzhden  speshno  vernut'sya,  chtoby
eshche raz predupredit' korolya.
     Laert vorvalsya v korolevskie pokoi sledom za Goracio.
     Vnov' prihodit  Ofeliya,  chtoby  okonchatel'no  poproshchat'sya  so  vsemi  i
odarit' cvetami vseh, kto posle pogibnet ot yada (Laerta, korolya,  korolevu).
{Kak  zametil  Sergej  Nikolaev,  buket  Ofelii  sostoit  iz   lekarstvennyh
rastenij, tri iz kotoryh yadovity. |to ruta, akvilegiya i (v men'shej  stepeni)
rozmarin.  Pri  etom  sebe  Ofeliya  tozhe  beret  smertnuyu  (i   odnovremenno
"voskresnuyu") rutu.}
     Ofeliya vnov' uhodit.  _Poskol'ku  korol'  svoego  prikaza  ne  otmenyal,
Goracio vnov' posledoval za nej_. (|ta  remarka,  kak  i  mnogie  drugie,  v
tekste propushchena, no ponyatno, chto kogda korol' nachinaet peretyagivat'  Laerta
na svoyu storonu, Goracio na scene uzhe net.)
     Korol' uvodit Laerta besedovat' s pridvornymi.
     _Goracio provozhaet Ofeliyu do ruch'ya, a posle soobshchaet  koroleve  o  tom,
chto Ofeliya utonula, i uhodit  k  sebe  zhdat'  resheniya  svoj  uchasti_.  Sluga
dokladyvaet emu, chto yavilis' kakie-to matrosy s pis'mami. Matros  (na  samom
dele - pirat)  vruchaet  Goracio  tri  pis'ma  ot  Gamleta  (odno  adresovano
Goracio,  drugoe  korolyu,   tret'e   koroleve).   Goracio   chitaet   pis'mo,
adresovannoe emu, no vmesto togo, chtoby, kak prosit Gamlet, "ustroit' dostup
k korolyu"  tem,  kto  prines  pis'ma,  peredaet  dva  pis'ma  cherez  Klavdio
(nachal'nika korolevskoj kancelyarii, popavshego na  etu  dolzhnost',  ochevidno,
blagodarya sozvuchiyu svoego imeni s imenem korolya.)
     Pol'zuyas' sluchaem, Goracio bezhit iz |l'sinora.
     Korol' v eto vremya sklonyaet Laerta na svoyu storonu.
     Korolyu peredayut dva pis'ma ot Gamleta. Poyavlyaetsya koroleva i  _so  slov
Goracio_ rasskazyvaet korolyu i Laertu o smerti Ofelii...

     Malo togo, chto u Goracio net alibi, on eshche i sam sebya ulichaet, kogda  v
scene na kladbishche iz dvuh replik Gamleta my uznaem, chto o  vosstanii  Laerta
(ravno kak i o smerti Ofelii) on princu ne rasskazal. Prav Pervyj mogil'shchik:
"...Esli voda idet k cheloveku i topit ego, eto znachit, chto on ne topilsya  (a
utoplen - A.CH.). Itak, tot, kto ne vinovat  v  svoej  smerti,  ne  sokrashchaet
svoej sobstvennoj zhizni".
     Ne oshiblas' i koroleva: smert' Ofelii - imenno mutnaya i temnaya  smert'.
I eta smert' - vopros zhizni i smerti samogo Klavdiya,  ved'  bezumnaya  Ofeliya
odnim svoim vidom mozhet  podnyat'  i  vtoroe  vosstanie  protiv  nenavistnogo
datchanam rezhima (kak podnyala ona pervoe). I vo vsej Danii  est'  tol'ko  tri
cheloveka, kotorye eto ponimayut: sam korol',  dzhentl'men-soglyadataj  (ot  ego
uslug SHekspir, vprochem, v pozdnih redakciyah otkazyvaetsya) i Goracio, kotoryj
preduprezhdal  korolevu  (a  do  nee,  konechno,  i  korolya)  imenno  ob  etoj
opasnosti.
     Preduprezhdaya  korolya  o  vosstanii  (i  tem   davaya   emu   vozmozhnost'
podgotovit'sya k vstreche s Laertom), Goracio proiznosit  monolog,  v  kotorom
mnogokratno povtoreno imya Laerta.  |ta  mnogokratnost'  SHekspiru  nuzhna  dlya
togo, chtoby zritel'  sopostavil  eti  slova  s  vrode  by  sluchajnoj  frazoj
Gamleta, obronennoj im dlya Goracio vo vremya pohoron Ofelii:

                    Ego zovut Laert. Ves'ma uchtivyj
                    I blagorodnyj yunosha...

     Vernuvshijsya iz ssylki Gamlet ne znaet, chto Goracio prekrasno  izvestno,
kto takoj Laert. Znachit, Goracio  ne  rasskazal  svoemu  drugu  o  vosstanii
Laerta i o sobstvennom povedenii  vo  vremya  onogo.  Vse  eto  nastol'ko  ne
ukladyvaetsya v obraz "blagorodnejshego druga" i "spravedlivejshego iz  lyudej",
chto tot zhe M. Morozov prosto isklyuchaet Goracio iz sceny donosa na Ofeliyu.
     Mezhdu tem vse logichno: Goracio uzhe nachal delat' kar'eru  po  shpionskomu
vedomstvu, zameniv ot®ehavshego vo Franciyu Rejnal'do. (Ved' Gamlet  soslan  v
Angliyu i, skoree vsego, ego uzhe net v  zhivyh!)  Ostavshis'  v  |l'sinore  bez
pokrovitelya i deneg, Goracio vynuzhden pojti na zhalovanie k korolyu.  Net,  on
ne stanet donosit' na Gamleta, ibo  sam  byl  ego  aktivnym  souchastnikom  v
zagovore protiv korolya. No porucheniya korolya ispolnyat' emu pridetsya. Tak  chto
mnenie L.S. Vygotskogo, soglasno kotoromu Goracio -  obraz  nablyudatelya,  ne
prinimayushchego nikakogo uchastiya v razvitii syuzheta, kak mne  predstavlyaetsya,  -
vsego lish' ostroumnaya natyazhka,  obuslovlennaya  psihologicheskoj  "ustanovkoj"
Gamleta (i sochuvstvuyushchego princu zritelya) videt' v Goracio  druga  i  tol'ko
druga. Imenno Goracio spuskaet kurok tragedijnogo syuzheta,  reshaya,  chto  nado
skazat' Gamletu o Prizrake, on otdaet prikaz bit' pokojnogo korolya alebardoj
i t. d.
     Nekij Gospodin i Goracio ne oshiblis', utverzhdaya, chto bezumnaya Ofeliya  -
vyzov gosudarstvennoj bezopasnosti. Skoro nachnetsya myatezh protiv  Klavdiya,  i
povstancy vo glave s Laertom shturmom voz'mut zamok.  No  poka  groza  tol'ko
sobiraetsya.

     _KING. Follow her close; give her good watch, I pray you_.
     "Posledujte za neyu po pyatam, i  obespech'te  ej  horoshij  nadzor,  proshu
vas!.." (IV, 5)

     |to skazano korolem vsled  Ofelii.  No  neskol'kimi  stranicami  ran'she
vsled Gamletu tot zhe Klavdij govorit: "Follow him at foot;  tempt  him  with
speed aboard..." ("Posledujte za nim, Poka ne pozdno..." - IV, 4).
     "Sledujte za nim po pyatam..."  |to  pervaya  fraza  monologa  korolya,  v
kotorom on vpervye nazyvaet veshchi svoimi imenami  i  prikazyvaet  anglijskomu
korolyu ubit' Gamleta. Vidimo, kazhdoe vremya sozdaet  podobnye  evfemizmy  dlya
rasporyazheniya ob ubijstve. Vot nepolnyj nabor iz  drugih  vremen  i  kul'tur:
"Skazhi ej, chtob  ona  carevicha  blyula...",  "Sdelajte  emu  predlozhenie,  ot
kotorogo on ne smozhet otkazat'sya...", "Pozabot'tes'  o  nem...",  "Provodite
ego..." i t. p.
     Zritel' uzhe znaet, chto vyskazyvanie Klavdiya, nachinayushcheesya so  "sledujte
za...", dolzhno zakanchivat'sya smert'yu togo,  za  kem  poshli  "po  pyatam"  ili
"sovsem blizko". Znayut eto i korolevskie slugi. I slovechko "close"  v  svoem
omonimicheskom znachenii - ves'ma prozrachnaya podskazka, chto im nado delat'.
     V "Korole Lire" |dmund, otdavaya oficeru paket s prikazom ubit'  Lira  i
Kordeliyu, govorit pochti temi zhe slovami: "...go follow them to prison" -  V,
2), to est' stupajte provodit' ih v  tyur'mu.  Sovpadaet  i  motivaciya:  esli
Ofeliyu nado "provodit'" potomu, chto  ona  svoim  vidom  pobuzhdaet  datchan  k
vosstaniyu, to Lir i Kordeliya vyzyvayut takoe  sochuvstvie  sredi  soldat,  chto
|dmund boitsya, kak by te ne pereshli  na  storonu  plennikov.  Po  nablyudeniyu
studentki Anastasii Krylovoj, v  tom  zhe  "Korole  Lire"  gercog  Al'banskij
provozhaet na smert' svoyu izmennicu-zhenu  pozhelaniem  "Go  after  her:  she's
desperate; govern her" ("Sledujte za nej,  ona  obezumela,  naprav'te  ee").
Posle chego prihodit Dzhentl'men s krovavym kinzhalom i soobshchaet, chto Goneril'ya
tol'ko chto zakololas'. (I  eto  soobshchenie,  kak  pravilo,  tozhe  prinimaetsya
rezhisserami i zritelyami za chistuyu monetu.)
     V Genrihe IV vsled uvedennomu pod strazhej Glosteru korol' govorit:

                      Milordy, chto najdete nailuchshim,
                      To delajte ot nashego lica... (III, 1)
                                                 (Perevod E.Birukovoj.)

     Netrudno dogadat'sya, chto sluchitsya s Glosterom cherez neskol'ko stranic.
     Itak, pered nami prosto obshchee mesto, shekspirovskij shtamp.
     Posle korolevskoj pros'by _sledovat' po pyatam Ofelii  i  obespechit'  ej
horoshij nadzor_ sleduet  remarka:  "Goracio  vyhodit".  A  korol'-otravitel'
govorit o "yade pechali", kotorym otravlen um Ofelii (IV, 5).
     SHekspirovskij zritel' (vo vsyakom sluchae te neskol'ko  znatokov,  mnenie
kotoryh, po slovam Gamleta, kuda cennee mneniya  vseh  prochih)  pomnil  tekst
Evangeliya, vidimo, chut' luchshe, chem zritel' XX ili XXI veka:

     "I posle sego kuska voshel v nego satana. Togda Iisus  skazal  emu:  chto
delaesh', delaj skoree.
     No nikto iz vozlezhavshih ne ponyal, k chemu On eto skazal emu.
     A kak u Iudy byl yashchik, to nekotorye  dumali,  chto  Iisus  govorit  emu:
"kupi, chto nam nuzhno k prazdniku", ili chtoby dal chto-nibud' nishchim.
     On, prinyav kusok, totchas vyshel; a byla noch'". (Ot Ioanna, gl.  13,  st.
27-30.)

     Na  zritel'skom  neponimanii  togo,  zachem  vyhodit  Goracio   (remarka
sohranilas'), igraet SHekspir. I podskazyvaet nam ustami korolya:

     "Sledujte za nej po pyatam. Vnimatel'no sledite  za  nej,  proshu  vas...
Goracio vyhodit. O, eto yad glubokogo gorya. Prichinoj vsemu smert' ee otca.  O
Gertruda,  Gertruda!  Kogda  prihodyat  pechali,  oni  prihodyat  ne  odinokimi
lazutchikami, a celymi batal'onami!.." (perevod M.Morozova).

     "Odinokie lazutchiki" - eto skazano korolem o neschast'yah, no proizneseno
vsled Goracio i Dzhentl'menu bez lica i imeni, real'nym soglyadatayam Klavdiya.
     Skoro Gertruda pervoj oplachet smert' Ofelii:

     "Nad ruch'em  naiskos'  rastet  iva,  kotoraya  otrazhaet  svoi  list'ya  v
zerkal'nom potoke. Tuda prishla ona s  prichudlivymi  girlyandami  iz  listkov,
krapivy, margaritok i teh dlinnyh purpurnyh cvetov, kotorym  otkrovennye  na
yazyk pastuhi dayut gruboe nazvanie, a nashi holodnye devushki nazyvayut pal'cami
mertvecov. Kogda ona vzbiralas' na ivu, chtoby povesit'  na  svisayushchie  vetvi
spletennye eyu venki iz cvetov i trav, zavistlivyj suchok podlomilsya i  vmeste
so svoimi trofeyami iz cvetov ona upala v plachushchij ruchej. SHiroko  raskinulas'
ee odezhda i nekotoroe vremya derzhala ee na vode, kak rusalku, i v  eto  vremya
ona pela otryvki staryh pesen, kak chelovek, ne soznayushchij svoej bedy, ili kak
sushchestvo, rozhdennoe v vodyanoj  stihii  i  svyksheesya  s  nej.  No  eto  moglo
prodolzhat'sya nedolgo, poka ee odezhda ne otyazhelela  ot  vody  i  ne  potashchila
neschastnuyu ot melodichnoj pesni k tenistoj smerti" (perevod M. Morozova,  IV,
7).
     Kto eto videl i kto slyshal?
     Koroleva govorit so slov Goracio i Nekoego Gospodina. SHekspir yasno daet
eto ponyat', snachala upominaya o nepristojnyh falloobraznyh cvetah, a posle  o
"zavistlivom" ili "predatel'skom" suchke.
     SHekspirovedy neredko otozhdestvlyayut  poeziyu  s  poetichnost'yu.  I  pravyat
togo, ch'ya poeziya poetichna "blednym ognem" svetlyachka (ne zrya zhe  Nabokov  ego
prisvoil!), a ne sentimental'noj romantikoj i tem bolee "ritorikoj".
     S XVI v. do nashih dnej muddy -  gryaznyj,  perepachkannyj,  neprozrachnyj,
mutnyj ili pomutivshijsya" (esli rech' o rassudke). Esli  rech'  o  literaturnom
stile, to etim prilagatel'nym opredelyaetsya "temnyj" stil', esli zhe o  svete,
to eto "tusklyj", a ne "tenistyj" svet. (Tenistyj - shady.)
     V monologe Gertrudy mnogo lzhi i mnogo ot pereskaza chuzhih slov.  Hvataet
v nem i otkrovennoj pohabshchiny. Esli zhe govorit' o  vysokoj  lirike,  to  ona
zvuchit lish' v treh poslednih strokah:

                      Vy pomnite povalennuyu ivu,
                      Kotoraya poloshchet nad ruch'em
                      Svoyu listvu?.. Ofeliya tuda
                      Prishla v venke - v nem byli margaritki,
                      YAsnotka da kukushkin goricvet,
                      I dlinnye myasistye cvety -
                      Da vy ih znaete! - prostolyudiny
                      Zovut ih korotko i nepristojno,
                      A devushki - "perstami mertvecov"
                      I dremlikom... Edva vzoshla na stvol,
                      ZHelaya i ego venkom ukrasit',
                      Zavistlivyj suchok i podlomilsya.
                      V cvetah ona upala v tot potok,
                      Pleskalas', budto v nem i rozhdena
                      Rusalkoyu, bedy ne soznavala,
                      I vse-to pela pesenki svoi...
                      No dolgo eto dlit'sya ne moglo:
                      Namoklo plat'ice, otyazhelelo,
                      I zahlebnulsya tot napev prozrachnyj
                      V ob®yat'yah mutnoj smerti.

     Mozhno, konechno, dopustit', chto "odinokie lazutchiki" poshli "po pyatam" za
Ofeliej bez zadnej mysli. No  togda  pridetsya  poverit',  chto  oni  spokojno
nablyudali, kak ona upala v ruchej (ne v more, ozero  ili  reku,  a  imenno  v
spokojnyj ruchej, v ch'ej zerkal'noj gladi  otrazhaetsya  iva),  lyubovalis'  eyu,
slushali otryvki iz narodnyh pesen, i byli stol'  zacharovany,  chto  pozvolili
Ofelii pojti na dno. Uzhe odnogo etogo rasskaza, po-moemu, dostatochno,  chtoby
ponyat', chto sluchilos' s Ofeliej na  samom  dele.  Ne  obratit'  vnimaniya  na
vopiyushchuyu nesurazicu mozhet lish' Laert, kotoryj v shoke ot  izvestiya  o  gibeli
sestry.
     I razve ne zvuchit izdevatel'stvom to, chto "eto prodolzhalos' nedolgo"?..
     Zametiv pohabshchinu, zvuchashchuyu v monologe Gertrudy, sprosim sebya: chto eto,
esli ne znak chuzhoj, v dannom sluchae muzhskoj  rechi?  Ved'  koroleva  sama  ne
videla, kak utonula Ofeliya, i pereskazyvaet s ch'ih-to slov.
     Posle vysylki Gamleta Goracio ostaetsya zhit' v  zamke,  ego  Obsluzhivayut
korolevskie  lakei,  a  korol',  kotoromu  do  togo  Goracio  ne  byl   dazhe
predstavlen, nazyvaet ego "dobryj Goracio" i na kladbishche prosit  prismotret'
za princem.
     Scene s vizitom piratov, vidimo, predshestvovala ne popavshaya v  doshedshij
do nas "tekst slov" intermediya, v kotoroj Ofeliya vyhodila k ruch'yu,  napevala
i sobirala cvety, a  za  nej  izdaleka  sledili  dvoe  neizvestnyh  lic  (po
poslednej shekspirovskoj redakcii "Gamleta" - odin  neizvestnyj).  Potom  ona
padala v vodu, yakoby prodolzhaya pet' svoi pesenki, a oni  prodolzhali  sledit'
za nej, i tol'ko kogda pesnya preryvalas', dostavali iz ruch'ya i  vynosili  ee
bezdyhannoe telo na bereg. Potom odin iz etih neizvestnyh, skazhem, otkidyval
kapyushon, i potryasennyj zritel' videl, chto eto Goracio.
     Mozhno predpolozhit', chto Goracio sam i utopil  Ofeliyu,  hotya  dlya  takoj
raboty on vryad li prigoden. Da i v tekste my ne  nashli  pryamyh  ukazanij  na
takoe razvitie syuzheta. Vspomnim, CHto i mertvogo  korolya  alebardoj  b'et  ne
Goracio, a Marcell (hotya i po  prikazu  Goracio).  Vprochem,  odno  kosvennoe
ukazanie vse zhe sushchestvuet, no o nem nizhe (sm. s. 287-290).
     Esli  zhe  pantomimy  ne  bylo,  to  my  dolzhny  poverit',  chto  Goracio
proignoriroval "pros'bu" korolya "sledovat' za nej po pyatam" i "obespechit' ej
horoshij nadzor". I korol' pochemu-to ne tol'ko ne razgnevalsya  na  nego,  no,
naprotiv, posle togo i stal zvat' ego "good Horatio".
     Ofeliya  utonula  ochen'   vovremya   (dlya   Klavdiya).   Nu   sovsem   kak
nesostoyavshijsya ee svekor, vot tak zhe vovremya umershij vo sne v sadu.
     Est' li u Goracio alibi?  Net.  I  potomu  on  toropitsya  ischeznut'  iz
|l'sinora prezhde, chem  vse  uznayut  ob  ubijstve  Ofelii.  Emu  bylo  veleno
sledovat' za Ofeliej po pyatam, on opisal koroleve, kak ta utonula, i  teper'
emu nado bezhat'.  (A  vdrug  korol'  naznachit  sledstvie  i  vse  svalit  na
Goracio?) Poetomu on ne ispolnyaet pros'by Gamleta i ne  ustraivaet  matrosam
dostupa k korolyu i koroleve, a sam peredaet pis'ma cherez nekoego Klaudio,  a
tot s pridvornym napravlyaet ih korolyu.
     Posle  vysylki  Gamleta   v   Angliyu   Goracio   idet   na   sluzhbu   k
korolyu-otravitelyu. Napomnim, chto v |l'sinore shvejcarcy (Bernardo, Francisko,
Marcellus) - ne tol'ko strazhniki, no i soglyadatai (Rejnal'do).  Na  kladbishche
Goracio delaet vid, chto ne znaet, kogo horonyat "po  usechennomu  obryadu".  No
proishodit ochen' lyubopytnyj dialog:

     GAMLET: Kakoe beschuvstvie. Kopaet mogilu - i poet.
     GORACIO: Privychka zakalila ego serdce.
     GAMLET:  Ty  prav.  Poka  ruka  ot  raboty  ne  zagrubeet,   i   serdce
chuvstvitel'no. (V, 1)

     Goracio tol'ko chto ubil (ili ne spas) Ofeliyu, a Gamlet ubil  Poloniya  i
otoslal na smert' shkol'nyh priyatelej. Gamletu prihoditsya opravdyvat'sya pered
Goracio za to, chto  on  otpravil  na  smert'  Rozenkranca  i  Gil'densterna.
Goracio sam navedet ego na etu temu. Argumentaciej Gamleta Goracio,  vidimo,
budet udovletvoren, poskol'ku  ona  opravdyvaet,  v  chastnosti,  i  ubijstvo
Ofelii.

                                  Goracio

                                          |to znachit,
                    CHto Rozenkranc i Gil'denstern speshat
                    K svoej zhe gibeli?

                                   Gamlet

                                        I chto s togo?
                    Oni nashli zanyatie po vkusu
                    I etim sami smert' sebe izbrali.
                    Ih krov' - ona na nih, a ne na mne.
                    Nichtozhestvo dolzhno blyusti prilich'ya,
                    A ne sovat'sya mezh dvumya klinkami,
                    Kogda protivniki derutsya nasmert'.

                                  Goracio

                    Odnako nichego sebe korol'!.. (V, 2).

     Goracio zabyl, chto nedavno on ne tol'ko ne udivlyalsya dushevnym kachestvam
korolya, no  i  ironiziroval  po  etomu  povodu  nad  Gamletom.  A  zaodno  i
vyvedyval, chto zhe skazal Prizrak princu:

                                   Gamlet

                                       ...Togda otkroyus'.
                    Eshche ne znala Daniya merzavca
                    Podobnogo tomu, kogo my znaem.

                                  Goracio

                    Odnako, chtoby eto soobshchit',
                    Ne stoilo yavlyat'sya s togo sveta. (I, 5).

     Esli dopustit', chto Goracio -  iskrennij  drug,  to  SHekspir  pri  vsej
obshchepriznannoj genial'nosti ego poezii -  dramaturg-troechnik.  Tol'ko  togda
ponyatno, pochemu on dal "vernomu drugu" samoe nepodhodyashchee imya  (u  Fonvizina
ono zvuchalo by  Kurvec-Razumnik).  I  vypustil  Goracio  s  donosom  ("ne  v
haraktere", kak pishet shekspiroved Igor'  SHajtanov)  v  scene  preduprezhdeniya
korolevy o gotovyashchemsya  vosstanii.  (Na  scene  tri  cheloveka,  a  v  truppe
"Globusa" 12-15, zachem zhe vypuskat'  v  stol'  "neharakternoj  roli"  imenno
Goracio?) Potom tot zhe geroj i  tozhe  "ne  v  haraktere"  preduprezhdaet  (po
Pervomu folio) Klavdiya o tom, chto bunt uzhe nachalsya.
     Kazhdoe poyavlenie Goracio i pochti kazhdaya ego replika  -  ili  otkrovenno
lzhivy, ili prikrovenno dvusmyslenny (Goracio delaet tol'ko to,  chto  vygodno
emu v dannuyu minutu).
     Pochemu-to nikto  ne  zadaet  i  drugogo  voprosa:  chto  zhe  Goracio  ne
otpravilsya v Angliyu vmeste s luchshim svoim drugom? Esli  b  on  sam  vyzvalsya
razdelit' s princem ego izgnanie, razve by Klavdij posmel zapretit'?
     No Gamlet pryamo ne poprosil Goracio,  i  on  prespokojno  ostaetsya  pri
dvore yakoby nenavistnogo emu Klavdiya. (Vspomnim, chto do vstrechi  s  Gamletom
Goracio, po ego sobstvennym slovam, "drug etoj strany" i  poklonnik  "nashego
pravitel'stva".)  SHekspirovedy  ne  zadayut  i   drugogo   prostogo   voprosa
(edinstvennoe  isklyuchenie  tut,  kak  ukazal  Igor'  SHajtanov,   -   Harol'd
Dzhenkins): pochemu eto Goracio, zhivshij po vozvrashchenii v |l'sinor ne v  zamke,
a gde-to ryadom (inache b on vstretil princa  srazu),  posle  vysylki  Gamleta
ostaetsya v zamke? I pochemu on vhozh k koroleve? I pochemu korol', kotoromu  on
pri Gamlete i predstavlen-to ne byl, teper' daet emu porucheniya i  obrashchaetsya
"good Horatio"?
     "Luchshij i edinstvennyj drug Gamleta"  idet  na  sluzhbu  k  korolyu,  uzhe
prekrasno znaya, chto Klavdij - ubijca otca ego edinstvennogo druga.
     Vprochem,  Dzhenkins  zabluzhdaetsya,  govorya,  chto  "rol'  sluzhitelya   ili
sovetnika pri koroleve stranna dlya Goracio, i  dramaturg  skoro  zabyvaet  o
nej". Goracio ne "sluzhitel' pri koroleve", a shpion Klavdiya ("vassal korolya",
kak skazal by Marcell). Iz shekspirovskogo teksta  sleduet,  chto  eto  korol'
poslal Goracio rasskazat' koroleve ob opasnom  sumasshestvii  Ofelii.  I  chto
imenno  po   naushcheniyu   korolya   Goracio   privodit   Ofeliyu   k   koroleve.
Dokazatel'stva? Da to, chto  srazu  vsled  za  Goracio  i  Ofeliej  v  pokoyah
korolevy poyavlyaetsya sam  Klavdij.  I  to,  chto  imenno  Goracio  vyhodit  za
Ofeliej, kogda korol' prosit "sledovat' za nej po pyatam".
     Spor Tomasa Mora i |razma Rotterdamskogo, nado li gumanistu stanovit'sya
sovetnikom pri  pravitele,  razreshen  SHekspirom.  I  avtor  "Gamleta"  beret
storonu |razma, pokazyvaya, chto poluchaetsya iz podobnogo hozhdeniya vo vlast'.
     Goracio, ubedivshijsya, chto Klavdij ubijca,  no  "v  silu  obstoyatel'stv"
idushchij k nemu na sluzhbu, sam vybiraet put' naemnogo ubijcy.
     Goracio - genial'no propisannyj SHekspirom ideal'nyj uchenik  Makiavelli,
kotoryj, kak i Goracio, - ital'yanec. Pri nem net podrugi, ego zhena i muza  -
politika.
     Popytaemsya vosstanovit' put' Goracio k serdcu Gamleta.
     Itak,  Goracio  -  shvejcarec  i  v  |l'sinor  popal  vmeste  s  drugimi
naemnikami-shvejcarcami. Zdes' on probyl sovsem nedolgo.  (Vo  vsyakom  sluchae
Gamleta-otca on "videl lish' odnazhdy".) Uznav, chto  zdeshnij  princ  uchitsya  v
Vittenberge, Goracio sam otpravilsya tuda.
     V Vittenberge on postavil na druzhbu s Gamletom i stal ego  konfidentom.
No Gamlet vernulsya v Daniyu i vlyubilsya v  Ofeliyu.  V  eto  zhe  vremya  Klavdij
zavodit roman s Gertrudoj, ubivaet Gamleta-otca (eto proizoshlo chetyre mesyaca
nazad), a menee chem cherez mesyac zhenitsya na ovdovevshej koroleve i  stanovitsya
korolem. Princ chuet  neladnoe,  hochet  bezhat'  iz  Danii  (universitet  tut,
skoree, lish' povod dlya ot®ezda iz  prognivshej  strany),  no  korol'  ego  ne
otpuskaet.
     Dlya ostavshegosya v Vittenberge Goracio izvestie o smerti Starogo Gamleta
- povod vernut'sya v Daniyu. (Ved' emu nuzhna ne ucheba, a Gamlet.) V  |l'sinore
Goracio idet ne k svoemu drugu, a k zemlyakam-strazhnikam. Te i rasskazyvayut o
poyavlenii Prizraka. Goracio reshaet lichno  ubedit'sya  v  etom  i  lish'  potom
otpravlyaetsya k Gamletu: sud'ba vnov' dala emu shans sblizit'sya s princem.
     Itak,  pri  dvore  Klavdiya  u  Goracio  est'  vybor  -  vzyat'  alebardu
strazhnika, ustroit'sya v kancelyariyu; pojti v shpiony. No pervye  dva  puti  ne
obespechivayut vozmozhnosti obshchat'sya s korolem, a  znachit,  ne  obespechivayut  i
kar'ery.
     Kogda  Gamlet  uzhe  smertel'no  ranen,  Goracio  demonstriruet  zhelanie
otravit'sya:

     GAMLET: ...Pravdivo rasskazhi obo mne, obo vsem, chto so mnoj  proizoshlo,
tem, kto ne znaet.
     GORACIO: Ob etom i ne dumajte. YA bol'she drevnij rimlyanin, chem datchanin.
Tut eshche ostalos' pit'e.
     GAMLET: Esli ty muzhchina, otdaj mne kubok!.." {perevod M.  Morozova,  V,
2).

     Makar Aleksandrenko zametil, chto v etoj scene SHekspir delaet otsylku  k
poslednej scene sobstvennogo "YUliya Cezarya": eto tam "idejnyj predatel'" Brut
konchaet s soboj, kinuvshis' na mech, kotoryj derzhit ego rab.  Posle  chego  rab
perehodit k pobeditelyu po nasledstvu (sovsem kak Goracio, pereshedshij snachala
na sluzhbu k Klavdiyu, a potom k Fortinbrasu).
     "YUliya Cezarya" SHekspir stavit v 1599 g., to est' v to  vremya,  kogda  on
uzhe obdumyvaet (ili dazhe uzhe dopisyvaet) "Gamleta". Vidimo, SHekspir nadeyalsya
na  ponimanie  togo  postoyannogo  i  vernogo   zritelya,   kotoryj   "popytku
samoubijstva" Goracio vosprimet imenno kak parodiyu.
     Vprochem, kak zametil Sergej Nikolaev,  rab  sluzhit  gospodinu  veroj  i
pravdoj i otdaet za nego svoyu zhizn', a Goracio sluzhit tol'ko sebe lyubimomu.
     Derzha pustoj kubok, v kotorom yakoby eshche  ostalas'  kaplya  yada,  Goracio
znaet, chto Gamlet ego ostanovit. Tak i proishodit.
     A vsego cherez paru minut Goracio zabudet o svoem gore.  Vot  on  veshchaet
Fortinbrasu i anglijskomu poslu:

     "Kak raz v minutu rassledovaniya  etogo  krovavogo  dela  vy  pribyli  s
pol'skoj vojny, a vy - iz Anglii, prikazhite zhe, chtoby tela byli polozheny  na
vysokij pomost pered vsemi na vidu. I razreshite mne rasskazat' ne  vedayushchemu
miru o tom, kak vse eto proizoshlo.  I  togda  vy  uslyshite  o  smertonosnyh,
krovavyh  i  protivoestestvennyh  deyaniyah,  o  sluchajnyh  karah,   nechayannyh
ubijstvah, o smertyah, prichinennyh kovarstvom i nasiliem, i, v zaklyuchenie,  o
neudavshihsya zamyslah, pavshih na golovy zachinshchikov.  Obo  vsem  etom  ya  mogu
pravdivo povedat'" (per. M. Morozova, V, 2).

     Gamlet ne razgadal tajnuyu cel' vozvrashcheniya v |l'sinor Goracio.  Kak  ne
razgadal i tajnu natury Goracio.  Naivnyj  Gamlet  budet  do  konca  schitat'
Goracio "luchshim iz lyudej" i  svoim  drugom.  I  pravil'no:  Goracio  byl  za
Gamleta i ni razu ego ne predal (sluchaj s Ofeliej tut ne v schet, ved' Gamlet
pervyj ee brosil, a posle Goracio za  neyu  sledil,  na  nee  donosil,  no  v
kachestve slugi Klavdiya). On rasschityval ubrat' Klavdiya s  Gertrudoj  i  byt'
"Poloniem" pri Gamlete (hot' s Ofeliej,  hot'  bez  nee).  I  "perestroilsya"
tol'ko posle ssylki (fakticheskoj gibeli) svoego druga.
     Cel' zhizni Goracio - stat' vtorym licom v gosudarstve, novym  Poloniem.
U nego ne poluchilos' dorvat'sya vlasti i dobit'sya dostatka  pri  Gamlete,  ne
poluchilos' pri Klavdii. No mozhet poluchit'sya pri Fortinbrase. Goracio s  hodu
pytaetsya podmyat' volyu norvezhca, ch'ya sud'ba teper' otchasti v  ego  rukah.  No
Fortinbras prikazyvaet perenesti  na  pomost  ne  vseh  mertvyh,  kak  etogo
treboval Goracio, a tol'ko Gamleta.
     Pri etom Fortinbras eshche ne znaet, chto Gamlet peredal Goracio svoj golos
za izbranie norvezhskogo princa novym korolem Danii. (Hotya Goracio i nameknul
na takoj povorot sobytij.) Privedu zdes' citatu iz pis'ma Sergeya  Nikolaeva:
"Ot Goracio  zavisit  pravo  Fortinbrasa  na  korolevstvo.  Namek  na  nechto
nedoskazannoe i vazhnoe sdelan, Fortinbras ego ponyal i  speshit  uedinit'sya  v
uzkom krugu znatnejshih, v kotoryj on priglashaet i... Goracio (ved' poslednij
mozhet i ne otdat' golosa  Gamleta,  vdrug  konkurenty  osilyat?).  Fortinbras
srazu zhe beret Goracio v soyuzniki i voznosit ego".



     Zlodej Klavdij za chetyre mesyaca pogubil tri pokoleniya datskih monarhov:
starogo Gamleta, princa Gamleta i ego naslednika. Ubity i dve korolevy: odna
proshlaya, drugaya - ta, chto  mogla  stat'  budushchej.  Razumeetsya,  posle  etogo
dolzhna proizojti smena dinastii.
     Nakazany vse, krome pragmatika Goracio, kotoryj dolzhen  stat'  Poloniem
pri Fortinbrase, no budet huzhe Poloniya. U Poloniya pri vsej ego gluposti byla
dusha.  U  Goracio  ni  dushi,  ni  detej,  ni  druzej.  |to  chelovek-funkciya,
chelovek-chinovnik. Novejshij chelovek nastupayushchego na Evropu novejshego vremeni.
     Vremya Goracio nachnetsya posle smerti SHekspira.  Nachnetsya  s  grazhdanskoj
vojny i Olivera Kromvelya, rodivshegosya v 1599 g., to est' v  tot  samyj  god,
kogda SHekspir pishet "Gamleta", nachnetsya s  otnyud'  ne  teatral'nogo  topora,
obezglavivshego Karla I, s vosemnadcatiletnego zapreta teatrov.  I  tol'ko  v
poslednej  chetverti  XVII  veka   anglichane   vnov'   zainteresuyutsya   svoim
dorevolyucionnym poetom. K tomu vremeni uzhe prakticheski ne ostanetsya teh, kto
videl  dramaturga-SHekspira  v  postanovke  rezhissera-SHekspira.  I  za  p'esu
SHekspira chelovechestvo primet tot "tekst slov",  kotoryj  dojdet  do  nas  po
publikaciyam neavtorizovannyh rukopisej i pochti bez avtorskih remarok.
     Esli verit' SHekspiru, to  dramaturgiya  -  eto  ne  slova,  proiznosimye
akterom so sceny, i dazhe ne samo dejstvie. SHekspirovskaya dramaturgiya  -  eto
nekij energoemkij raz®em, prostranstvo mezhdu dejstviem i slovami.
     Tak chto delo ne v probleme Goracio, kotoryj uzhe ne  vtorostepennyj,  no
poka vse zhe i ne titul'nyj personazh. (My potomu tak mnogo  o  nem  govorili,
chto Goracio bolee prochih - terra incognita "Gamleta".) Delo v  primitivnosti
i alogichnosti toj scenicheskoj tradicii,  kotoruyu  shekspirovedenie  vynuzhdeno
zashchishchat'. Delo v otsutstvii v tekste znachitel'noj  doli  avtorskih  remarok,
kotorye mogut byt' rekonstruirovany, hotya i s raznoj stepen'yu nadezhnosti.
     No, kak mne predstavlyaetsya, opravdat' Goracio uzhe vryad li udastsya. Hotya
by potomu, chto argumenty tradicionalistov ne sostavlyayut sistemy.
     Igor' SHajtanov v al'manahe "Anglistica" (| 9, Moskva - Tambov, 2002 g.)
pishet, chto ya zavozhu "delo Goracio". Obvinenie  neshutochnoe:  mol,  dazhe  esli
kommentator i prav, v ego pravotu my nikogda ne poverim,  poskol'ku  pomnim,
kak v svoe vremya byl v takih situaciyah dokazatelen prokuror Vyshinskij.
     Mne ostaetsya tol'ko soglasit'sya:  na  urovne  pervoj  real'nosti  metod
Vyshinskogo prednaznachen ne dlya  dokazatel'stva  viny,  a  dlya  raspravy  nad
"vragami naroda", naznachennymi na eti svoi roli Stalinym.  (Andrej  Platonov
nazyval eto "vsenarodnoj inscenirovkoj".)
     No dannyj  metod  Stalin  s  Vyshinskim  i  vzyali  dlya  publichnyh  svoih
postanovok iz real'nosti hudozhestvennoj.
     Po zakonam zhizni eshche ne fakt, chto tot,  kto  poshel  za  Ofeliej,  ee  i
utopil. A po zakonam iskusstva  Goracio  -  ubijca  (ibo  inogo  avtorom  ne
ogovoreno).
     Goracio v glazah Gamleta - "filosof-stoik, posledovatel' Seneki". I eshche
- "samyj spravedlivyj iz lyudej". A dlya zritelya "Globusa" - tot samyj rimskij
rab  iz  postavlennogo  v  1599  g.   (neposredstvenno   pered   "Gamletom")
shekspirovskogo "YUliya Cezarya", rab, kotoryj,  kak  i  Goracio,  posle  smerti
hozyaina perehodit k pobeditelyu v kachestve trofeya.  I  nado  krepko  zatknut'
ushi, chtoby vsled za replikoj lomayushchego komediyu s pustym kubkom  Goracio  ("YA
bolee drevnij rimlyanin, chem datchanin!") ne rasslyshat'  gomericheskogo  hohota
SHekspira.
     My nachali etu zametku o Goracio s "Ispanskoj tragedii" Tomasa Kida,  iz
kotoroj,  kak  prinyato  schitat',  SHekspir  i  vzyal  obraz   "druga-Goracio".
Napomnim, chto u Kida vragi ubivayut Goracio i veshayut ego telo na dereve.
     Imenno tak v legendarnye vremena Drevnego Rima dolzhny byli postupit'  s
odnim iz znamenityh brat'ev Goraciev. Tit Livij  stol'  blistatel'no  opisal
etu istoriyu, chto trudno uderzhat'sya ot prostrannoj citaty:

     Bylo togda v kazhdoj  iz  ratej  po  troe  brat'ev-bliznecov,  ravnyh  i
vozrastom, i  siloj.  |to  byli,  kak  znaet  kazhdyj,  Goracii  i  Kuriacii.
/.../Cari obrashchayutsya k bliznecam, predlagaya im obnazhit' mechi, -  kazhdomu  za
svoe otechestvo: toj storone i dostanetsya  vlast',  za  kakoyu  budet  pobeda.
Vozrazhenij net, sgovarivayutsya o vremeni i meste.  Prezhde  chem  nachalsya  boj,
mezhdu rimlyanami i al'bancami byl zaklyuchen dogovor  na  takih  usloviyah:  ch'i
grazhdane pobedyat v shvatke, tot narod budet mirno  vlastvovat'  nad  drugim.
/.../
     Podayut znak, i shest' yunoshej s oruzhiem  naizgotovku  po  troe,  kak  dva
stroya, shodyatsya, vobrav v sebya ves'  pyl  dvuh  bol'shih  ratej.  /.../  Troe
al'bancev byli raneny, a dvoe rimlyan pali. Ih gibel' istorgla krik radosti u
al'banskogo vojska, a rimskie  legiony  ostavila  uzhe  vsyakaya  nadezhda:  oni
sokrushalis' ob uchasti poslednego, kotorogo obstupili troe  Kuriaciev.  Voleyu
sluchaya on byl nevredim, i esli  protiv  vseh  vmeste  bessilen,  to  kazhdomu
porozn' grozen. CHtoby raz®edinit'  protivnikov,  on  obrashchaetsya  v  begstvo,
rasschitav, chto presledovateli bezhat' budut tak, kak pozvolit  kazhdomu  rana.
Uzhe otbezhal on na  kakoe-to  rasstoyan'e  ot  mesta  boya,  kak,  oglyanuvshis',
uvidel, chto dogonyayushchie razdeleny nemalymi promezhutkami i odin sovsem blizko.
Protiv etogo i obrashchaetsya on v yarostnom natiske, i, pokuda al'banskoe vojsko
krichit Kuriaciyam, chtoby potoropilis' na pomoshch'  bratu,  pobeditel'  Goracij,
ubiv vraga, uzhe ustremlyaetsya v novuyu shvatku.  Teper'  rimlyane  podderzhivayut
svoego bojca krikom, kakoj vsegda podnimayut pri neozhidannom oborote poedinka
sochuvstvuyushchie zriteli, i Goracij speshit zakonchit' srazhenie. Itak, on, prezhde
chem smog podospet' poslednij, kotoryj byl nedaleko, prikanchivaet eshche  odnogo
Kuriaciya: i vot uzhe voennoe schast'e sravnyalos' - protivniki ostalis' odin na
odin, no ne ravny u  nih  byli  ni  nadezhdy,  ni  sily.  Rimlyanin,  celyj  i
nevredimyj, oderzhavshij  dvojnuyu  pobedu,  byl  grozen,  idya  v  tretij  boj;
al'banec, iznemogshij ot rany, iznemogshij ot bega, slomlennyj zrelishchem gibeli
brat'ev,  pokorno  stanovitsya  pod  udar.  I  to  ne  bylo  boem.   Rimlyanin
vosklicaet, likuya: "Dvoih ya prines v zhertvu  tenyam  moih  brat'ev,  tret'ego
otdam na zhertvennik togo dela, radi kotorogo idet eta vojna, chtoby  rimlyanin
vlastvoval nad al'bancem". Udarom sverhu vonzaet on mech v gorlo  protivniku,
edva derzhashchemu shchit; s pavshego snimaet dospehi. /.../
     Prezhde  chem  pokinut'  mesto  bitvy,  Mettij,  povinuyas'   zaklyuchennomu
dogovoru, sprosil, kakie budut  rasporyazheniya,  i  Tull  rasporyadilsya,  chtoby
al'banskaya molodezh' ostavalas' pod  oruzhiem:  ona  ponadobitsya,  esli  budet
vojna s vejyanami. S tem oba vojska i udalilis' v svoi goroda.
     Pervym shel Goracij, nesya tri dospeha /.../ Ego vstretila sestra-devica,
kotoraya byla prosvatana za odnogo iz Kuriaciev; uznav na plechah  brata  plashch
zheniha, vytkannyj eyu samoyu, ona raspuskaet volosy i, placha, oklikaet  zheniha
po imeni. Svirepuyu dushu  yunoshi  vozmutili  sestriny  vopli,  omrachavshie  ego
pobedu i velikuyu radost' vsego naroda. Vyhvativ  mech,  on  zakolol  devushku,
voskliknuv pri etom: "Otpravlyajsya k zhenihu  s  tvoeyu  ne  v  poru  prishedshej
lyubov'yu! Ty zabyla o brat'yah - o mertvyh i o zhivom, - zabyla  ob  otechestve.
Tak da pogibnet vsyakaya rimlyanka, chto stanet oplakivat' nepriyatelya!"
     CHernym delom sochli eto i otcy, i narod, no  protivostoyala  prestupleniyu
nedavnyaya zasluga. Vse zhe Goracij byl shvachen i priveden k  caryu  na  sud.  A
tot, chtoby ne brat' na sebya takoj priskorbnyj i neugodnyj tolpe  prigovor  i
posleduyushchuyu kazn', sozval narodnyj shod i ob®yavil: "V  soglasii  s  zakonom,
naznachayu  duumvirov,  chtoby  oni  vynesli   Goraciyu   prigovor   za   tyazhkoe
prestuplenie". A zakon zvuchal ustrashayushche: "Sovershivshego tyazhkoe  prestuplenie
da sudyat duumviry; esli on ot duumvirov obratitsya k narodu,  otstaivat'  emu
svoe delo pered narodom; esli duumviry vyigrayut delo, obmotat'  emu  golovu,
podvesit' verevkoj k zloveshchemu derevu, zasech' ego vnutri gorodskoj cherty ili
vne gorodskoj cherty". Takov byl zakon, v soglasii s kotorym  byli  naznacheny
duumviry.
     Duumviry schitali, chto zakon ne ostavlyaet im vozmozhnosti opravdat'  dazhe
nevinovnogo. Kogda oni vynesli prigovor, to odin  iz  nih  ob®yavil:  "Publij
Goracij, osuzhdayu tebya za tyazhkoe  prestuplenie.  Stupaj,  liktor,  svyazhi  emu
ruki". Liktor podoshel i stal ladit' petlyu. Tut  Goracij,  po  sovetu  Tulla,
snishoditel'nogo istolkovatelya zakona, skazal: "Obrashchayus'  k  narodu".  |tim
obrashcheniem delo bylo peredano  na  rassmotren'e  naroda.  Na  sude  osobenno
sil'no tronul sobravshihsya Publij Goracij-otec, ob®yavivshij, chto doch' svoyu  on
schitaet ubitoj po pravu: sluchis' po-inomu, on sam nakazal by syna  otcovskoyu
vlast'yu. Potom on prosil vseh, chtob ego,  kotoryj  tak  nedavno  byl  obilen
potomstvom, ne ostavlyali vovse bezdetnym. Obnyav yunoshu i ukazyvaya na  dospehi
Kuriaciev, pribitye na meste, chto nyne  zovetsya  "Goracievy  kop'ya",  starik
govoril: "Neuzheli, kvirity, togo zhe, kogo tol'ko  chto  videli  vstupayushchim  v
gorod v pochetnom  ubranstve,  torzhestvuyushchim  pobedu,  vy  smozhete  videt'  s
kolodkoj na shee, svyazannym, mezh: plet'mi i raspyatiem? Dazhe  vzory  al'bancev
edva li mogli by vynesti stol' bezobraznoe zrelishche!  Stupaj,  liktor,  svyazhi
ruki,  kotorye  sovsem  nedavno,  vooruzhennye,  prinesli   rimskomu   narodu
gospodstvo.  Obmotaj  golovu  osvoboditelyu  nashego  goroda;  podves'  ego  k
zloveshchemu derevu; seki ego, hot' vnutri gorodskoj cherty - no nepremenno  mezh
etimi kop'yami  i  vrazheskimi  dospehami,  hot'  vne  gorodskoj  cherty  -  no
nepremenno mezh: mogil Kuriaciev. Kuda ni uvedete  vy  etogo  yunoshu,  povsyudu
pochetnye otlichiya budut zashchishchat' ego ot pozora kazni!"
     Narod ne  vynes  ni  slez  otca,  ni  ravnogo  pered  lyuboyu  opasnost'yu
spokojstviya duha  samogo  Goraciya  -  ego  opravdali  skoree  iz  voshishcheniya
doblest'yu, nezheli po spravedlivosti. A chtoby  yavnoe  ubijstvo  bylo  vse  zhe
iskupleno ochistitel'noj zhertvoj, otcu poveleli, chtoby on  sovershil  ochishchenie
syna na obshchestvennyj schet.

     Itak:
     - Staryj Gamlet poslal svoj vyzov Staromu Fortinbrasu,  predlagaya  tomu
bit'sya na usloviyah, zaklyuchennyh rimskim carem Tullom s diktatorom  al'bancev
Mettiem. Tol'ko vmesto  brat'ev-Goraciev  i  brat'ev-Kuriaciev  dolzhny  byli
srazit'sya sami koroli Danii i Norvegii;
     - Spor dvuh stolic reshil odin iz brat'ev  Goraciev,  kotoryj,  sudya  po
imeni, byl dalekim predkom shekspirovskogo Goracio;
     - Goracij ubil svoyu sestru i dolzhen byl (kak v p'ese Kida, ochevidno, ne
huzhe SHekspira znavshego trud Tita Liviya) byt' poveshen na dereve.
     SHekspir  vyvorachivaet  situaciyu  naiznanku:  ego  Goracio,  kotoryj   v
parodijnoj forme nam i rasskazal  o  poedinke  Gamleta  s  Fortinbrasom,  ne
volnuet slava ego sobstvennogo predka. S antichnym Goraciem ego rodnit tol'ko
odno: esli togo potrebuyut interesy gosudarstva,  on  tozhe,  ne  zadumyvayas',
ub'et devu za odni tol'ko slova, pust' i skazannye eyu v umopomrachenii.
     Pri etom Goracij ubivaet tu, chto oplakivaet vraga  gosudarstva,  a  ego
dal'nij potomok - tu, chto oplakivaet svoego otca,  edinstvennogo  iskrennego
druga rezhima Klavdiya.
     Tak degradiruet gosudarstvennaya ideya.
     Publij Goracij - Geroj.  Goracio  -  podonok,  nasledovavshij  "svirepuyu
dushu" svoego predka. Pererozhdenie geroya v politika  i  issleduet  SHekspir  v
obraze Goracio.
     Ne obratili vnimaniya shekspirovskie kommentatory i na  druguyu  parallel'
iz rimskoj istorii, svyazannuyu s rodom vse teh zhe Goraciev. V 449 g. do n. e.
patricij Mark Goracij vstupilsya za chest'  plebeev,  v  rezul'tate  chego  pal
diktator, uzurpirovavshij vlast' v Rime. Povodom  posluzhil  isk  diktatora  k
zazhitochnomu plebeyu: diktator otsudil u togo doch', ob®yaviv, chto ona  doch'  ne
svoih roditelej, a ego rabyni. Na glazah u rimlyan otec ubil doch', plebei  vo
vtoroj raz v rimskoj istorii ushli iz goroda. Mark Goracij s Luciem  Valeriem
vstali na storonu plebeev i svergli diktatora.
     Diktatora zvali Appij Klavdij. I proishodil on iz togo zhe roda,  chto  i
imperator Klavdij, zhivshij poltysyacheletiya spustya. (Kstati, iz  roda  Klavdiev
poshel i  plebejskij  rod  Marcellov,  tak  chto  imya  odnogo  iz  strazhnikov,
ohranyayushchih Klavdiya, mozhno tozhe ob®yasnit' cherez istoriyu Drevnego Rima.)
     Vot tot istoriko-kul'turnyj fon, na  kotorom  SHekspir  pred®yavlyaet  nam
svoego Goracio, geroya tol'ko-tol'ko nachinayushchegosya novejshego vremeni.
     V tom i drugom rimskom syuzhete povorotnym sobytiem  stanovitsya  ubijstvo
devy. V nachale evropejskoj istorii odin Goracij ubivaet sestru i  utverzhdaet
prioritet sluzheniya gosudarstvu pered sluzheniem cheloveku. A  cherez  dva  veka
drugoj vstupaetsya za chest' devy i daruet grazhdanskie prava polovine rimskogo
naseleniya.
     I eshche cherez tysyachu let ih potomok prichudlivym obrazom sovmestit v  sebe
cherty oboih, stol' nepohozhih Goraciev, i  po  prikazu  korolya  otpravitsya  k
"zloveshchemu derevu", chtoby provodit' v ob®yatiya "mutnoj smerti" nevestu svoego
druga.
     I v etom kontekste fraza Goracio "YA bolee  rimlyanin,  chem  datchanin!.."
govorit o mnogom.



     Tradicionnoe  shekspirovedenie  vynuzhdeno  izobretat'  svoi  sobstvennye
motivirovki povedeniya shekspirovskih geroev. I kol' skoro eti motivirovki  ne
opirayutsya na logiku teksta, oni, kak  pravilo,  prosto  naivny.  Skazhem,  po
Doveru Uilsonu, Gamlet prihodit v yarost', vidya, kak aktery predvaryayut "Myshe-
lovku" pantomimoj, no, k schast'yu, korol' nichego ne ponimaet, ibo  smotrit  v
druguyu storonu...
     Vo-pervyh,  eto  Ofeliya,  sudya  po  ee  replike,  ne   ponimaet,   "chto
pokazyvayut". A korol' poka nichem sebya ne vydaet, on smotrit pantomimu  molcha
i, nado polagat', ochen' vnimatel'no.
     Vo-vtoryh, esli Gamlet i izdevaetsya nad bessmyslennymi pantomimami,  to
ved' imenno chto nad bessmyslennymi. I sovershenno ne  fakt,  chto  u  SHekspira
pantomim i intermedij ne bylo (ih prosto  net  v  doshedshih  do  nas  tekstah
shekspirovskih p'es, no ved' SHekspir-dramaturg pisal dlya SHekspira-rezhissera i
ne byl zainteresovan v tirazhirovanii svoih sekretov).
     V-tret'ih, esli b Klavdij shvatilsya za serdce uzhe  pri  vide  pantomimy
otravleniya Gonzago, Gamlet rukopleskal by akteram, ved'  eto  oznachalo,  chto
otravitel' priznalsya srazu.
     Odnako Klavdij vyderzhivaet pantomimu. I tol'ko  verbal'nyj  tekst,  tot
tekst, chto nakanune vpisan v p'esu samim Gamletom, ego perevorachivaet.
     Klavdiya (i eto  vazhno  SHekspiru)  probivaet  imenno  slovo  -  pust'  i
polugrafomanskoe, no slovo. Igor' SHajtanov pishet,  chto  monolog  Gertrudy  v
moem  perevode  -  svidetel'stvo  prostodushiya   korolevy,   "dohodyashchego   do
idiotizma".
     Zashchishchaya tradiciyu, moj opponent tradicionno  zabyvaet,  chto  pered  nami
sovsem ne ta Gertruda, kotoruyu my videli v pervyh scenah tragedii.
     Posle ob®yasneniya s synom koroleva znaet, chto Klavdij - ubijca ee  muzha.
I ona govorit Gamletu, chto ne doneset na syna, ibo slovo sozdaetsya dyhaniem,
dyhan'e - zhizn'yu, no zhizni-to v nej i net, chtoby povtorit' uslyshannoe. Inymi
slovami, raskryv materi glaza na Klavdiya,  syn  nravstvenno  ee  ubil,  ved'
Gertruda ponyala, chto ona sama podpisala muzhu smertnyj prigovor, kogda  poshla
na intrizhku s ego bratom.
     Stavya   "Myshelovku",   princ   pozhalel   svoyu   mat'   i   invertiroval
posledovatel'nost' sobytij. V p'ese Gamleta Lucian soblaznyaet vdovu  ubitogo
im dyadi. Odnako v p'ese SHekspira vse bylo inache: Klavdij  snachala  soblaznil
korolevu, a posle uzhe otravil ee muzha. Vot  chto  Gamletu  govorit  ten'  ego
otca:

     "Da, eto  krovosmesitel'noe,  eto  prelyubodejnoe  zhivotnoe  koldovstvom
svoego uma, svoimi predatel'skimi podarkami - o nechestivyj um  i  nechestivye
dary, imeyushchie silu soblaznyat'! - sklonil k svoej postydnoj  pohoti  soglasie
moej kazhushchejsya stol' dobrodetel'noj  korolevy.  O  Gamlet,  kakoe  eto  bylo
padenie! Otvernut'sya ot menya, ch'ya lyubov' byla dostojna teh obetov, kotorye ya
dal ej pri  vstuplenii  v  brak,  i  opustit'sya  do  nichtozhestva,  prirodnye
kachestva kotorogo byli bedny  po  sravneniyu  s  moimi!  No  kak  dobrodetel'
nikogda ne vstupit na put' greha, hotya by  sladostrastie  uhazhivalo  za  nej
dazhe v nebesnom oblich'e, tak pohot', hotya by svyazannaya  uzami  s  luchezarnym
angelom, presytitsya na nebesnom lozhe i nachnet pozhirat' otbrosy..."  (perevod
M. Morozova, I, 5).

     |ti slova mog  by  skazat'  rimskij  imperator  Klavdij  o  svoej  zhene
Messaline. Ottogo-to naedine s mater'yu Gamlet budet besposhchaden:

     KOROLEVA. O, kakoj oprometchivyj i krovavyj postupok!
     GAMLET. Krovavyj postupok? Pochti stol' zhe durnoj, dobraya  matushka,  kak
ubit' korolya i vyjti zamuzh za ego brata.
     KOROLEVA. Ubit' korolya?
     GAMLET. Da, gospozha, ya tak skazal... (perevod M. Morozova, III, 4).

     Koroleva poka eshche nichego ne ponyala.  No  Gamlet  govorit,  chto  Klavdij
ubijca brata, i vse vstaet na svoi mesta: "O, Gamlet, zamolchi!  Ty  povernul
mne glaza vglub' dushi..."
     CHto osoznala koroleva, i chto dolzhny ponyat' my?
     Gertruda osoznala, chto ona souchastnica ubijstva muzha, ved' otvergni ona
Klavdiya, tomu ne imelo by smysla ubivat' Starogo  Gamleta.  Rasschityvat'  na
datskuyu koronu Klavdij mog tol'ko, esli u nego uzhe byla garantiya, chto  vdova
pojdet za nego. Tak i Gaj Silij snachala dobilsya, chtoby  Messalina  poshla  za
nego zamuzh,  a  uzhe  posle  stal  gotovit'  zagovor  protiv  imperatora,  no
promedlil. Istoriya imperatricy-shlyuhi  Messaliny  i  ee  vtorogo  braka  byla
slishkom  izvestna,  chtoby  Gertruda  ne  ponyala,  v  chem  smysl   obvineniya,
broshennogo ej Gamletom. (Podrobnej ob etom na s. 295.)
     Posle ob®yasneniya s synom spasti Gertrudu mozhet tol'ko smert'. I ona etu
smert' nahodit, kogda ponimaet, chto  v  kubke,  kotoryj  Klavdij  predlagaet
Gamletu vo vremya poedinka ego s Laertom, ne zhemchuzhina, no yad.
     Ona znaet, chto vino otravleno, i pered smert'yu  sama  govorit  ob  etom
Gamletu. Gertruda p'et yad, spasaya syna i svodya schety s sobstvennoj zhizn'yu.
     Poslednee prochtenie prinadlezhit  ne  mne,  a  moskovskomu  hudozhniku  i
rezhisseru Dmitriyu  Krymovu.  No  mozhno  utverzhdat',  chto  eto  ne  ocherednaya
rezhisserskaya traktovka teksta (ved'  net  takogo  yada,  kotoryj  soobshchal  by
cheloveku o svoem prisutstvii v ego organizme), eto korrektnaya  rekonstrukciya
shekspirovskogo zamysla, proyasnyayushchaya eshche odno temnoe mesto p'esy, doshedshej do
nas bez mnogih avtorskih remarok.
     I esli my budem pomnit', chto koroleva znaet, kto ubil  ee  supruga,  ee
monolog  o  smerti  Ofelii  budet  ne   svidetel'stvom   "prostodushiya"   ili
"idiotizma", a obvineniem Klavdiyu. |to na ee glazah Klavdij poruchil  Goracio
"sledovat' po pyatam" za Ofeliej.
     Gamlet ne znaet, chto Ofeliyu ubili.  No  Gertruda  uzhe  mozhet  o  chem-to
dogadyvat'sya. Vo vsyakom sluchae ona tut zhe ponimaet, chto za zhemchuzhina broshena
v tot samyj kubok, kotoryj korol' stol' nastojchivo predlagaet ee synu. Da, v
nej samoj "net zhizni", no ona sposobna  perehvatit'  rokovoj  kubok,  spasti
syna i pokonchit' s soboj.
     - Staryj Gamlet podoben antichnomu geroyu, sprosivshemu  u  orakula:  "CHto
budet, esli ya perejdu proliv?" i poluchivshemu v otvet: "Ty razrushish'  velikoe
carstvo". Tak i sluchilos', i v sluchae so Starym Gamletom rech' tozhe shla o ego
sobstvennom  carstve.  Perejdya  proliv,  otdelyayushchij  Daniyu  ot  Norvegii,  i
zahvativ kakie-to norvezhskie zemli, Datchanin vyzyvaet na poedinok Norvezhca i
ubivaet togo. Projdet tridcat' let. Staryj  Gamlet  ne  razgadaet  otnoshenij
sobstvennoj zheny s sobstvennym bratom i  pogibnet,  a  ego  korona  v  konce
koncov dostanetsya synu Fortinbrasa.

     - Koroleva ne razgadala  zagadki  smerti  Gamleta-otca.  |tu  tajnu  ej
raskryvaet Gamlet:

     QUEEN GERTRUDE O, what a rash and bloody deed is this!
     HAMLET A bloody deed! almost as bad, good mother,
     As kill a king, and marry with his brother.
     QUEEN GERTRUDE As kill a king!
     HAMLET Ay, lady, 'twas my word. (III, 4)

     Perevedem:

                                  Koroleva

                    Skol' oprometchivo i skol' krovavo...

                                   Gamlet

                    Krovavo?.. Ne krovavej, chem ubit'
                    Supruga-korolya i vyjti zamuzh
                    Za ego brata.

                                  Koroleva

                                   CHto znachit - "ubit'
                    Supruga-korolya"?..

                                   Gamlet

                                         A to i znachit.

     Samo imya Klavdiya - eto eshche i napominanie o rimskom  imperatore  Klavdii
(iz  roda  Klavdiev),  zhenivshemsya  na  svoej  plemyannice  Agrippine  (materi
Nerona).
     Do Agrippiny zhenoyu Klavdiya byla  Messalina,  rodivshaya  imperatoru  syna
Britannika i posle etogo, esli verit' Tacitu, ne tol'ko ob®yavivshaya  o  svoem
razvode, no i vyshedshaya zamuzh za Gaya Siliya.
     Opasnost' gosudarstvennogo perevorota byla  velika:  v  silu  togdashnih
zakonov Siliyu,  chtoby  stat'  imperatorom,  nado  bylo  vsego-navsego  ubit'
byvshego supruga Messaliny.
     V 48 g. n. e. Klavdij kaznil Siliya, a Messalinu ubili ego storonniki. A
potom Neron otravil Britannika.
     Rimskaya para Klavdij - Messalina parallel'na "datskoj" pare  Klavdij  -
Gertruda. I ne tol'ko potomu, chto  izvestnye  vsemu  Rimu  lyubovnye  podvigi
Messaliny voshli v pogovorku, i  ee  imya  stalo  naricatel'nym  imenem  bluda
(Gamlet govorit, chto Klavdij sdelal ego mat' shlyuhoj), no i potomu,  chto  obe
zhenshchiny v konechnom schete pogibli iz-za svoih muzhej-Klavdiev.
     Gertruda sprovocirovala ubijstvo svoego muzha,  pojdya  na  roman  s  ego
bratom. Bez etogo  Klavdiyu  ne  bylo  by  nikakogo  rezona  ubivat'  Starogo
Gamleta, ved' emu nuzhna byla garantiya togo, chto koroleva  nemedlenno  pojdet
za nego zamuzh. (V protivnom sluchae na prestol dolzhen byl vzojti ee syn.)
     V pervom zhe svoem monologe Klavdij ob®yasnyaet mehaniku svoej  koronacii,
soobshchaya pridvornym, chto on stal gosudarem, zhenivshis' na "vladychice Danii".

     - Laert i Gamlet ne ugadali ni zagadki polozheniya Ofelii, ni zagadki  ee
smerti. Oni tak i ne uznayut, chto  ona  beremenna  i  chto  po  nameku  korolya
provodil ee na smert' Goracio.

     - Laert ne razgadal smysla pesen Ofelii. On schitaet, chto ona  poet  pro
proshloe, a Ofeliya predskazyvaet budushchee. Vot chto ona soobshchaet bratu:

     "Ty dolzhen pet' vse nizhe, nizhe... I zvat' ego vse nizhe, nizhe..."
     "You must sing a-down a-down, An you call him a-down-a". (IV, 5)

     Ofeliya poet eto dvustishie Laertu, predskazyvaya, chto on  sprygnet  v  ee
mogilu i zazovet tuda Gamleta.
     Vtoroj smysl prorochestva v  tom,  chto  imenno  Laert  predlozhit  korolyu
namazat' svoyu rapiru yadom i ub'et zheniha svoej sestry.
     Ne razgadyvaet smysla ee pesen i korol'.

     - Laert ne razgadal zagadku smerti otca, hotya poveril,  chto  togo  ubil
Gamlet. Ne razgadal  Laert  i  zamysel  korolya  izbavit'sya  razom  ot  oboih
buntovshchikov - Laerta i Gamleta. Hotya Klavdij pri nem progovorilsya, rassuzhdaya
o Lamore ("On prevzoshel vse, chto ya mog predstavit' sebe, i ya namnogo ustupayu
emu v umen'e  prinimat'  raznye  oblichiya  i  stroit'  ulovki!").  Ne  ugadav
namerenij Klavdiya, Laert gibnet. No pered smert'yu otkryvaet Gamletu, chto  yad
i v kubke, i na ostrie rapiry. Korol' razoblachen, i Gamlet ego ubivaet.

     - Goracio razgadyvaet mehanizm vosstaniya Laerta. (Povod k buntu - sluhi
ob ubijstve Poloniya korolem, k tomu zhe bezumnaya Ofeliya nevol'no  provociruet
svoim vidom i  svoimi  rechami  datchan  na  vystuplenie  protiv  nenavistnogo
Klavdiya.) Hotya preduprezhdenie Goracio i zapozdalo, korol' uspevaet vnutrenne
podgotovit'sya k psihologicheskomu poedinku s Laertom i pereigryvaet yunca.

     "Posledujte za neyu po pyatam. Proshu vas!.."
     "Follow her close; give her good watch, I pray you". (IV, 5)

     Goracio, kak my uzhe znaem, tut zhe ponyal smysl etoj frazy korolya.

     - Strazhniki-shvejcarcy - naemniki. Korol' platit im,  i  potomu  oni  za
korolya.
     Vidimo, vse oni (mozhet byt', krome Bernardo) gibnut, zashchishchaya korolya  ot
vosstavshih datchan. Oni prosto postavili ne na togo gosudarya,  to  est'  tozhe
"ne ugadali". Vernost' za den'gi - ne menee opasnoe zanyatie, chem  lyubov'  za
den'gi.



                    "...razmazal po l'du zaliva pol'skie sani..."
                    "...he smote the  sledded Polacks on the ice". (I, 1)

     Temnaya eta fraza Goracio proyasnyaetsya, esli vzglyanut' na kartu  zapadnoj
Baltiki. Samym korotkim i udobnym dlya napadeniya polyakov na datchan byl sannyj
put' po zamerzayushchemu u beregov Baltijskomu moryu. Al'ternativa -  put'  cherez
Germaniyu, no dlya prohoda cherez nemeckie zemli nuzhno bylo poluchit'  takoe  zhe
razreshenie, kakoe u Klavdiya prosil Staryj  Norvezhec  dlya  svoego  plemyannika
Fortinbrasa. Ochevidno, Staryj Gamlet nanes po polyakam udar sboku, iz zasady,
kogda ih armiya nahodilas' ne v boevom stroyu, a v sanyah, to est' v obozah.
     Tak chto pasternakovskie "vybornye Pol'shi", kotoryh  on  posadil  v  eti
sani, absolyutno ni pri chem.

                    "I shepotok, kotoryj, kak iz pushki..." (IV, 1)

     V originale obraz voshodyashchego po diametru zemli izverzheniya, potryasayushchij
po sile obraz narodnogo vozmushcheniya:

                    And what's untimely done; so haply slander,
                    Whose whisper o'er the world's diameter...

     V moem perevode:

                    I shepotok, kotoryj, kak iz pushki,
                    Iz zherla nedr pryamoyu b'et navodkoj
                    Muchitel'nym i smradnym izverzhen'em,
                    Vzoshedshim po diametru zemli, -
                    Prosvishchet mimo imeni monarha
                    I porazit neuyazvimyj vozduh.

     Eshche odna klyuchevaya metafora "Gamleta" - metafora tlena, gnili i  smrada.
Ona ne raz voznikaet, esli  rech'  idet  ob  |l'sinore  ili  o  ego  nyneshnem
pravitele.
     Kogda Gamlet s Goracio  i  Marcellom  otpravlyaetsya  na  esplanadu,  oni
slyshat grom pushki, i proishodit takoj razgovor:

                                  Goracio

                    Milord, chto oznachayut eti zvuki?

                                   Gamlet

                    A to, chto nash korol' i noch'yu bdit.
                    Na radostyah nadulsya, nu i skachet.
                    I vsyakij raz, kogda on osushaet
                    Svoj kubok, polnyj samym svetlym rejnskim,
                    Vzamen ego i v chest' ego fanfary
                    Perdyat na vsyu okrugu.

                                  Goracio

                                            Takova
                    U vas tradiciya?

                                   Gamlet

                                    Nu, chto-to vrode.
                    Tradiciya, k kotoroj nevozmozhno
                    Privyknut', dazhe esli zdes' rodilsya... (I, 4)

     Govorya o fanfarah, Gamlet  proiznosit  glagol  "to  bray",  chto  znachit
izdavat' rezkij nepriyatnyj zvuk ili krichat' po-oslinomu. No  predstavlyaetsya,
chto sam obraz  trub,  orushchih  vsyakij  raz,  kak  korol'  osushaet  kubok,  ne
ostavlyaet vozmozhnosti bolee myagkogo perevoda.
     Nachinayas'  s  voni,  eta  scena  tem  zhe  dolzhna   i   zakonchit'sya.   I
dejstvitel'no: Marcell govorit, chto v Datskom korolevstve pahnulo tlenom. Na
eto Goracio otvechaet: "...heaven will direct it" ("Nebo ego napravit"). No v
originale rech' ne prosto o  gnienii,  a  imenno  o  tlene,  mogil'nom  tlene
datskogo  gosudarstva,  prostupivshem  na  poverhnost'  vmeste   s   yavleniem
Prizraka.
     Polagayu,  chto  v  etom  meste  akter,  igravshij  Goracio,  vyhodil   na
avanscenu, nahodivshuyusya pod otkrytym nebom (potolka v "Globuse" ne bylo),  i
mahal rukoj pered sobstvennym nosom. Esli voobrazit' spertyj duh zritel'nogo
zala "Globusa", gde u sceny stoyali  kadki  s  parashej  i  tol'ko  otsutstvie
potolka obespechivalo i svet, i ventilyaciyu,  stanet  yasno,  chto  eta  repriza
dolzhna byla pol'zovat'sya oglushitel'nym uspehom.
     Vprochem, verit'  shekspirovskim  geroyam  na  slovo  mozhet  tol'ko  ochen'
naivnyj chitatel'. |to neredko otnositsya dazhe k tomu, chto  proiznosit  Gamlet
(ne govorya uzhe o Klavdii, kotoryj sam progovarivaetsya,  chto  umeniem  menyat'
lichiny ego prevoshodit lish' normandec Lamor).
     Za nerazgadannuyu zagadku geroi SHekspira platyat odnim - zhizn'yu.
     Iz  chetyrnadcati  znachimyh   personazhej   "Gamleta"   odinnadcat'   ili
dvenadcat' ne  prohodyat  ispytaniya  zagadkami  i  gibnut.  |to  Gamlet-otec,
Gamlet-syn,  Klavdij,  Gertruda,  Polonij,  Ofeliya,  Laert,   Rozenkranc   i
Gil'denstern, a takzhe, veroyatno, Bernardo, Marcell  i  Francisko.  I  tol'ko
odin vyzhivaet. |to Goracio, kotoryj razgadal vse zagadki.



     Klyuch k zamyslu "Gamleta" -  Vtoraya  glava  Vtorogo  Sobornogo  Poslaniya
apostola Petra, gde premudrost' Evangel'skih sovetov protivostoit  zhitejskoj
"mudrosti mira sego".

     "Ih  rech'  polna  mudrosti  mira  sego  /.../  Ibo  proiznosya   nadutoe
pustoslovie, oni ulovlyayut v plotskie pohoti  i  razvrat  teh,  kotorye  edva
otstali ot nahodyashchihsya v zabluzhdenii..." (Gl.2, 17, 18)

     "Nadutoe pustoslovie"  -  eto  Klavdij  i  Polonij,  Goracio  i  Ozrik,
bezdarnye  tragedii,  razygryvaemye  bezdarnymi  stolichnymi  tragikami,  eto
svyashchennik, dlya kotorogo "ukazanie svyshe" ishodit  azh  ot  korolya,  eto  slog
mezhgosudarstvennyh dogovorov, v koih lyubov'  ravnyaetsya  venku  iz  pshenichnyh
kolos'ev, a takzhe zapyatoj, eto Rozenkranc i  Gil'denstern.  Nu  a  "plotskie
pohoti edva otstavshih ot nahodyashchihsya  v  zabluzhdenii"  -  eto  o  Gamlete  i
Ofelii.
     A vot eshche o Klavdii:

     "Oni poluchat vozmezdie za bezzakonie: ibo oni polagayut udovol'stvie  vo
vsednevnoj roskoshi;  sramniki  i  oskverniteli,  oni  naslazhdayutsya  obmanami
svoimi, pirshestvuya s vami". (Gl. 2, 13)

     Petr, kak i Ofeliya, znaet o gryadushchej svoej muchenicheskoj smerti.
     Ofeliya, kak  i  Petr,  vidya  svoe  strashnoe  budushchee,  polna  optimizma
istinnoj very. Petr pishet o nastuplenii vremeni lzheprorokov, vremeni,  kogda
mnogie propoveduyushchie Hrista otpadut ot nego.
     V takoe zhe  "perelomnoe"  vremya  zhivet  i  SHekspir.  Za  sorok  let  do
grazhdanskoj vojny i diktatury Kromvelya on vidit, chto delo pryamym hodom  idet
k katastrofe: vremya vyvihnulos' i svihnulos'.
     Vtoraya  glava  Poucheniya   apostola   Petra   oblichaet   lzheprorokov   i
lzheuchitelej. V roli odnogo iz takih deyatelej vystupaet  v  1  scene  I  akta
Goracio, ves'ma komichno prorochashchij padenie Danii i sravnivayushchij svoe vremya s
kanunom padeniya Rima.
     Ochevidno, chto vtoraya glava etogo  Poucheniya  ves'ma  zanimala  SHekspira.
"Plohaya mudrost'" teh, kogo Svyatoj Petr nazyvaet "synami proklyatiya",  -  eto
to, chto v konechnom schete sdelalo Ofeliyu  sumasshedshej,  pogubilo  ee  otca  i
brata.
     To, chto v Vethom Zavete bylo istinnoj "mudrost'yu",  stalo  novozavetnoj
Blagoj  Vest'yu  o  voskresenii  mertvyh  (otsyuda  cerkovnoslavyanskaya  kal'ka
"Blagovestvovanie" s grecheskogo  "Evangelie").  Na  eto  i  upovaet  Ofeliya,
okonchatel'no proshchayas' so vsemi: "Da pomiluet Gospod' dushu ego  i  dushi  vseh
hristian. Tol'ko ob etom i molyu. Gospod' s vami!"
     Lzheuchitelya "vyvihnuvshego sustav vremeni" - Klavdij,  Polonij,  Goracio,
Ozrik i prochie. Ibo oni "obeshchayut to, chego sami ne  imeyut"  (Gl.  2,  17-18).
Takih apostol Petr sravnivaet s "bezvodnymi istochnikami".
     Utoplenie Ofelii v  ruch'e  -  zhest  pochti  ritual'nyj:  v  evangel'skom
kontekste ruchej, v kotorom pogibla Ofeliya, vyglyadit kaplej novogo vsemirnogo
potopa. V tom zhe Vtorom Poslanii apostola Petra chitaem:

     "I esli ne poshchadil pervogo mira, no v vos'mi dushah  sohranil  semejstvo
Noya, propovednika pravdy, kogda navel potop na mir nechestivyh". (Gl. 2, 5)

     Semejstvo datskoj korony gibnet imenno "v vos'mi  dushah":  Gamlet-otec,
Gamlet-syn, Gertruda, Klavdij, Ofeliya, ee nerozhdennyj syn Robin, ee  otec  i
brat. Vo vremena Noya  -  vosem'  spasennyh,  vo  vremena  Gamleta  -  vosem'
zagublennyh (vklyuchaya i ne rozhdennogo Ofeliej Robina, princa Datskogo). |to i
est' shekspirovskaya realizaciya metafory "vyvihnuvshegosya vremeni".
     Gamlet govorit o  "zhivotnom  bespamyatstve",  a  Fortinbras  nad  grudoj
avgustejshih trupov - o "samoistreblenii". Imenno ob etom i u apostola Petra:

     "Oni,  kak  besslovesnye  zhivotnye,  vodimye  prirodoyu,  rozhdennye   na
ulovlenie i istreblenie, zloslovya to, chego ne ponimayut,  v  rastlenii  svoem
istrebyatsya". (Gl. 2, 12)

     Povtorimsya: SHekspir imel pravo  pisat'  tak,  chtoby  v  rukopisi  smysl
intrigi byl ponyaten lish' emu samomu, ibo ne otdaval p'es drugim  rezhisseram,
on sam stavil to,  chto  sam  i  napisal.  Otsyuda  i  chrezvychajnaya  skudnost'
remarok, i otsutstvie intermedij v p'esah SHekspira.
     Ochevidno,  pytayas'  obezopasit'  sebya  ot  krazhi  teksta  konkurentami,
SHekspir zapisyval lish' tekst, kotoryj dolzhen byt' proiznesen so sceny.
     Esli  ya  prav  v  svoej  rekonstrukcii   shekspirovskogo   zamysla,   to
chetyrehvekovaya istoriya s traktovkoj obraza Goracio pokazyvaet, chto  u  etogo
poeta mozhno bylo ukrast' razve chto "tekst slov". I  kogda  na  shekspirovskie
spektakli  prihodili  agenty  ego  konkurentov  i  pryamo  v  zale   pytalis'
stenografirovat' p'esu, oni poluchali ne p'esu, a vsego lish'  proiznosimye  v
nej slova. I ne poluchali dramaticheskogo klyucha k nim.
     Otsutstvie shekspirovskoj rukopisi "Gamleta" (ili podgotovlennogo po nej
samim avtorom izdaniya) sygralo durnuyu shutku s chitatelem.
     Delo bylo usugubleno tem, chto SHekspir vse vremya vyvorachivaet  naiznanku
klishe i shtampy  svoih  predshestvennikov  i  sovremennikov.  I,  kak  my  uzhe
ubedilis', nel'zya verit' ego geroyam na slovo: geroj mozhet vydavat'  zhelaemoe
za  dejstvitel'noe  ili  lgat',  mozhet  govorit'  odno,  a  sovershat'  nechto
protivopolozhnoe.
     Hudozhestvennyj zazor mezhdu slovami i dejstviem, sobstvenno,  i  sleduet
nazyvat' dramaturgiej SHekspira.
     Tkan' shekspirovskoj p'esy stol' organichna, chto sama pomogaet  chitayushchemu
razgladit' ee skladki i razglyadet' tajnyj ee ornament.  Nado  lish'  pomnit',
chto u kazhdoj shekspirovskoj zagadki est' razgadka, i  sam  avtor  sochuvstvuet
vzyskuyushchemu smysla  chitatelyu,  stremyas'  podskazat'  pravil'nyj  otvet.  Tot
otvet, kotoryj ponachalu i v golovu ne mozhet prijti imenno iz-za ego prostoty
i paradoksal'nosti.
     Esli  sudit'  po  "Gamletu",   obshcheprinyatoe   mnenie   ob   "uslovnosti
shekspirovskoj dramaturgii" - problema nashego umeniya chitat' SHekspira.
     |ta problema,  razumeetsya,  kuda  shire,  chem  dazhe  sama  shekspirovskaya
dramaturgiya.
     Nashe kul'turnoe znanie na devyat' desyatyh osnovyvaetsya na mifologicheskoj
modeli, predlozhennoj nam opytom i razumeniem  predshestvuyushchih  pokolenij.  No
genij - sovremennik ne svoih sovremennikov, a  teh  pokolenij,  kotorye  ili
sposobny ego ponyat', ili hotya by priblizit'sya k ponimaniyu.
     "Gamletovskij" mif v tom vide, v kotorom on slozhilsya za chetyresta  let,
proshedshih  s  pervogo   piratskogo   izdaniya   p'esy   SHekspira,   kak   mne
predstavlyaetsya,  bolee  ne  mozhet  byt'  pitatel'noj  sredoj  i   istochnikom
vdohnoveniya novyh hudozhnikov: etot kolodec vycherpan do dna.
     V teatral'no-ekrannom "Datskom korolevstve", esli sudit'  po  poslednim
mirovym postanovkam i ekranizaciyam, chto-to prognilo: vrode by vse na  meste,
a zametnyh otkrytij pochemu-to net.
     |to znachit, chto otkrytie "Gamleta" eshche vperedi.




     V  russkih  izdaniyah  i  buket,  i   venok   Ofelii   podrobnee   vsego
otkommentirovany A. Gorbunovym (Uil'yam SHekspir. Gamlet. Izbrannye  perevody.
M, 1985).
     Otmechaya,  chto  "scena  s  buketom  do   konca   ne   proyasnena",   etot
issledovatel' priderzhivaetsya tradicii  anglijskih  kommentariev  i  privodit
simvolicheskie znachenie trav i cvetov v shekspirovskoe vremya:
     Rozmarin - emblema  pamyati,  anyutiny  glazki  (ot  francuzskogo  pensee
'mysl'') - simvol mysli i lyubovnyh dum. (|ti cvety Ofeliya vruchaet Laertu.)
     Ukrop - emblema lesti i pritvorstva,  a  vodosbor  -  izmena  v  lyubvi,
supruzheskaya nevernost' (vidimo, nachal'nyj smysl  -  voobshche  predatel'stvo  -
A.CH.)
     Zametim, chto Moris Meterlink v svoih  etyudah  "Razum  cvetov"  nazyvaet
vodosbor  "pechal'nym".  (Vprochem,  eto  mozhet  byt'  i  otsylkoj  k   tekstu
"Gamleta".)
     A. Gorbunov pishet: "Nekotorye issledovateli schitayut, chto  Ofeliya  darit
eti cvety Klavdiyu, poskol'ku on s pomoshch'yu lesti soblaznil zhenu svoego brata.
Drugie - chto ona darit ih Gertrude kak nevernoj supruge".
     Pravy, kak netrudno ubedit'sya, - pervye (eto yasno po  naboru  iz  ruty,
margaritok i fialok,  kotoryj  prednaznachaetsya  koroleve,  potomu  chto  rutu
Ofeliya ostavlyaet i dlya sebya).
     Bezuslovnym podtverzhdeniem peredachi ruty imenno Gertrude mozhet  sluzhit'
i kommentarij A. Gorbunova k with a difference: "Difference - geral'dicheskij
termin - ukazyvayushchij na priznak mladshej linii  roda.  Odnako  Ofeliya  skoree
vsego imeet v vidu 'inache', 'po-drugomu'. Ona ostavlyaet  rutu  i  dlya  sebya,
davaya pri etom ponyat', chto ee pechal' i raskayanie inogo roda".
     No Klavdij -  i  vpryam'  mladshij  brat,  s  kotorym  koroleva  izmenila
starshemu.
     Ruta - emblema pechali i raskayaniya. U A. Gorbunova  chitaem:  "Voskresnoj
travoj blagodati ee, vidimo, nazyvali potomu, chto kayavshiesya v grehah  nosili
ee po voskresen'yam  v  cerkov'.  Otnositel'no  togo,  komu  Ofeliya  v  svoem
prozorlivom bezumii darit rutu, mneniya takzhe razdelilis'. Odni schitayut,  chto
Gertrude, chtoby ona oplakala izmenu muzhu,  drugie,  chto  Klavdiyu,  chtoby  on
raskayalsya v sodeyannom".
     Usomnivshis' v dostovernosti nosheniya ruty greshnikami, otmetim, chto pravy
(chastichno) vnov' pervye.
     Margaritka (a znachit, skoree vsego, i pohozhaya na nee "sadovaya  romashka"
-  nivyanik)  -  emblema   neschastnoj   lyubvi.   (Vot   pochemu   eti   cvety,
prednaznachennye koroleve, budut potom vpleteny i v  venok  samoj  Ofelii!  -
A.CH.)
     Fialki - simvol vernosti v lyubvi. Uvyadshie  fialki  (po  A.Gorbunovu)  -
simvol togo, chto "vernost' ischezla pri datskom  dvore".  (No  dlya  Laerta  -
simvol chistoty Ofelii. Sm. scenu na kladbishche.)
     Teper' o gibeli Ofelii i ee venke.
     Iva, k kotoroj prihodit Ofeliya, - derevo pechali i traura.
     Crow-flowers (A.Gorbunov perevodit ih kak "drema") - unynie, krapiva  -
bol' i predatel'stvo (uvy, nettle - ne krapiva, a "gluhaya krapiva",  kotoraya
ne zhzhetsya, no cvetet belymi cvetami), margaritka - neschastnaya lyubov'.
     N. F. Zolotnickij, izdavshij v nachale XX v.  populyarnyj  trud  "Cvety  v
legendah i predaniyah" (sm. reprintnoe izdanie M., 1991), pishet, chto  anyutiny
glazki - cvetok YUpitera i Valentinova dnya (chto vazhno dlya nas, ved'  odna  iz
pesen Ofelii imenno  o  Valentinovom  dne).  Kak  ukazyvaet  etot  avtor,  v
hristianskom mire anyutiny glazki  schitalis'  cvetkom  Svyatoj  Troicy  (iz-za
temnogo treugol'no pyatnyshka  v  centre  cvetka,  kotoroe  osmyslivalos'  kak
Vsevidyashchee Oko).
     Po moej pros'be lingvist i biolog  Sergej  Nikolaev  utochnil  atribuciyu
cvetov  Ofelii.  V  svoej  rabote  on  pol'zovalsya  special'nymi  slovaryami,
spravochnikami i svedeniyami s angloyazychnogo sajta "Sad SHekspira":

http://nths.newtrier.kl2.il.us/academics/science/~goralb/shakespeare_garden

     Nabor trav i cvetov, opredelennyj S. Nikolaevym, neskol'ko  otlichen  ot
"obshcheprinyatogo". YA lish' dopolnil ego kommentarij neobhodimymi svedeniyami  iz
kommentariya A.  Gorbunova  i  nekotorymi  ranee  ne  otmechennymi  tekstovymi
parallelyami. Sm. s. 305.


                       Sergej NIKOLAEV, Andrej CHERNOV





     Vot chto Ofeliya govorit, poyavlyayas' s cvetami  pered  bratom,  korolem  i
korolevoj:

     There's rosemary, that's for remembrance; pray,
     love, remember: and there is pansies, that's for thoughts.
     . . . . . . . . . . . . . . . . . . . . . . . .
     There's fennel for you, and columbines;
     there's rue for you; and here's some for me:
     we may call it herb-grace o' Sundays:
     O you must wear your rue with a difference.
     There's a daisy: I would give you some violets,
     but they withered all when my father died:
     they say he made a good end...

     Do nas  ne  doshli  shekspirovskie  remarki,  no  po  kontekstu  netrudno
dogadat'sya, chto imenno Ofeliya daet korolyu, a  chto  koroleve  (dvazhdy  Ofeliya
dobavlyaet slova for you, i stanovitsya ponyatno, chto fenhel'  i  vodosbor  ona
prinesla dlya Klavdiya, a rutu i margaritki dlya Gertrudy):

     (Laertu) Vot rozmarin, dlya pamyati; proshu tebya, lyubi,
     pomni: a eto anyutiny glazki, oni, chtoby mechtat'...
     (Korolyu) Dlya vas fenhel' i vodosbor...
     (Koroleve): A eto ruta dlya vas; i tut eshche nemnogo dlya menya,
     ved' my mozhem zvat' ee buketom voskresnoj blagodati.
     Tol'ko vashu rutu vy dolzhny nosit' ne tak, kak prezhde.
     |to nivyanik... A eshche ya hotela podarit' vam fialki,
     no oni uvyali, kogda umer moj otec.
     Govoryat, u nego byla legkaya smert'.

     Rozmarin  (rosemary)  -  Rosmarinus  officinalis  L.   -   vechnozelenyj
polukustarnik iz semejstva  gubocvetnyh.  List'ya  uzkolinejnye,  kozhistye  s
zavorochennymi krayami.
     Svetlo-fioletovye   cvety   sobrany   puchkami   v   pazuhah    list'ev.
Vozdelyvaetsya kak pryanoe i medicinskoe  rastenie.  Polnoe  russkoe  nazvanie
(perevod s latyni) - rozmarin  aptechnyj.  Simvolika  rozmarina  ob®yasnena  v
slovah Ofelii (for remembrance - dlya vospominanij, pamyati).

     Anyutiny glazki (pansy) i (dushistye, vesennie) fialki (violets)
     Fialka - Viola, rod rastenij  semejstva  fialkovyh.  Mnogoletnie,  rezhe
odnoletnie travy, inogda polukustarniki. Cvetki  fioletovye,  zheltye,  belye
ili raznocvetnye, odinochnye.
     U nas (i po vsej srednej polose Evropy, v tom chisle i v Anglii)  fialka
dushistaya (Viola odoratd) yavlyaetsya dikorastushchej, no  s  drevnosti  razvoditsya
kak dekorativnoe, inogda kak efirnomaslichnoe rastenie.
     Fialka trehcvetnaya (Viola tricolor)  -  sornyak,  rastet  v  Evropejskoj
chasti Rossii i na yuge Zapadnoj Sibiri; vmeste s gornoj fialkoj altajskoj (V.
altaica) i nekotorymi drugimi ona posluzhila  odnim  iz  ishodnyh  vidov  dlya
sozdaniya  sadovoj  fialki  Vitrokka,  ili  sadovyh  anyutinyh  glazok  (Viola
wittrockiana), mnogochislennye sorta kotoroj rasprostraneny v cvetovodstve.
     V perevode u Mihaila Lozinskogo sadovaya trehcvetnaya  fialka  nazyvaetsya
"Troicyn cvet". |to  odno  iz  narodnyh  nazvanij  anyutinyh  glazok  (fialki
trehcvetnoj, Viola  tricolor).  Ochevidno,  u  SHekspira  pod  slovom  violets
imeyutsya v vidu odnocvetnye fialki, protivopostavlennye trehcvetnym (anyutinym
glazkam, pansy).
     Fialka  dushistaya  (violet)   -   rannee   vesennee   rastenie,   simvol
vernosti/pokornosti/skromnosti (kak i prochie fialki).  Na  pohoronah  Ofelii
Laert govorit: "And from her fair and unpolluted flesh May violets  spring!"
("I pust' iz ee prekrasnogo i neporochnogo tela v mae prorastut fialki!")  Iz
etogo sleduet, chto dlya SHekspira fialka - eshche i simvol chistoty i nevinnosti.
     V Anglii rozmarin (rosemary) isklyuchitel'no i fialki (violet, pansy)  po
preimushchestvu  rasteniya  sadovye,  oba   anglijskih   nazvaniya   francuzskogo
proishozhdeniya, tak kak  ih  kul'tura  byla  zavezena  iz  Francii.  Vse  oni
aromaticheskie i lekarstvennye (i potomu otnositel'no yadovitye  -  neyadovityh
lekarstvennyh rastenij krajne malo).

     Ruta dushistaya (rue) - Ruta graveolans  L.  (v  Anglii  i  Danii  tol'ko
sadovaya) na svoej rodine rastet na suhih kamenistyh sklonah, yadovita. List'ya
ispeshchreny  prosvechivayushchimi  zhelezkami,  soderzhashchimi  aromaticheskie   efirnye
masla. Cvetki 4-5chlennye, v poluzontichnyh  socvetiyah.  Plod  -  4-5-gnezdnaya
korobochka. Izdavna  kul'tiviruetsya  v  Evrope  kak  pryanoe  i  lekarstvennoe
rastenie. Vladimir Dal' otmechaet ee pahuchest' i pryanuyu gorech'. Ruta (gae) iz
starofrancuzskogo rue i dalee iz latinskogo ruta - eto ne tol'ko cvetok,  no
i sushchestvitel'noe, oznachayushchee "zhalost', raskayanie, sozhalenie,  sostradanie".
Vo vremena SHekspira eta travka -  simvol  repentance  (pokayaniya,  sozhaleniya,
raskayaniya), a takzhe devstvennosti.

     Nivyanik i margaritka (daisy)
     Nivyanik - Chrysanthemum leucanthemum. Mnogoletnee rastenie iz semejstva
slozhnocvetnyh. V  traktovke  anglichan  sadovye  daisies  -  kak  pravilo  ne
margaritki i ne romashki (kak eto prinyato  v  botanicheskoj  nomenklature),  a
nivyanik. U nas on tozhe kul'tiviruetsya  pod  nazvaniem  "(sadovaya)  romashka".
Naibolee rasprostranen nivyanik obyknovennyj, ili popovnik, imeyushchij mahrovye,
dekorativnye  sadovye  formy.  Socvetiya  -  krupnye  odinochnye  korzinki   s
cherepitchatoj obertkoj, pohozhi na krupnuyu romashku. Kraevye cvetki  pestichnye,
yazychkovye, belye; sredinnye - oboepolye, trubchatye, zheltye. Plod - semyanka s
prodol'nymi rebrami. Rastet v  umerennom  poyase  Evrazii  po  lugam,  lesnym
polyanam, kustarnikam, zalezham, inogda kak sornoe na polyah i  v  ogorodah;  v
sostave sena poedaetsya skotom. CHasto razvoditsya kak  dekorativnoe  rastenie,
imeet mahrovye sadovye formy, izdavna ispol'zuetsya v  medicine  (tak  chto  v
etom smysle tozhdestvenno  margaritke).  Simvolika  nevedoma,  odnako  skoree
vsego blizka ili tozhdestvenna simvolike margaritki.
     Margaritka (daisy). Latinskoe nazvanie - Bellis  perennis.  Mnogoletnee
rastenie iz semejstva slozhnocvetnyh s  kornevoj  rozetkoj  lopatchatyh  tupyh
list'ev i odinochnoj  golovkoj  s  belymi  ili  rozovymi  kraevymi  cvetkami.
Razvoditsya neredko v sadah vo mnogih raznovidnostyah i chasto dichaet.
     Mihail Lozinskij perevodit daisy kak "margaritka", Boris Pasternak  kak
"romashka". Tak kak  vse  rasteniya,  sobrannye  Ofeliej  dlya  ee  "buketa"  -
sadovye, mozhno predpolozhit', chto  i  daisies  sadovye.  Slovo  daisy  sejchas
znachit  "cvetkovoe  rastenie  semejstva  slozhnocvetnyh",  to  est'  romashka,
margaritka, astra (i dazhe podsolnuh v Amerike). V  Anglii  pod  dikoj  daisy
sejchas obychno  ponimaetsya  margaritka  (tak  kak  konkretno  romashka  -  eto
camomile), pod kul'turnoj daisy - kak nivyanik  ("sadovaya  romashka"),  tak  i
(sadovaya) margaritka, no chto imel  v  vidu  SHekspir,  my  ne  znaem.  Cvetet
margaritka v aprele - iyune, nivyanik chut' pozdnee. Simvol neschastnoj lyubvi.

     Fenhel' (fennel) - Foeniculum vulgare -  eto  ne  ukrop,  kak  polagali
russkie perevodchiki "Gamleta", a tak  nazyvaemyj  "dushistyj  ukrop",  sovsem
drugoe rastenie (ukrop po-anglijski dill), redko vyrashchivaemoe  v  rossijskih
ogorodah. Anglijskoe fennel  v  konechnom  schete  iz  latinskogo  foeniculum,
veroyatno,  cherez  nemeckoe  ili  francuzskoe   posredstvo.   Dikij   fenhel'
obyknovennyj rastet na suhih  sklonah,  vozdelyvaetsya  kak  efirnomaslichnoe,
lekarstvennoe i pryanoe rastenie, v Anglii ne vstrechaetsya, no  kul'tiviruetsya
kak sadovo-ogorodnoe rastenie. Anglichane ne putayut ukrop s fenhelem,  kak  i
my morkov' s petrushkoj.
     V Evrope naibolee rasprostranen fenhel' obyknovennyj (F. vulgare).  |to
moshchnoe  (do  dvuh  metrov  vysotoj)  dvuhletnee  ili  mnogoletnee   rastenie
semejstva zontichnyh, vneshne pohozhee na  tmin  lugovoj.  Socvetie  -  slozhnyj
ploskij zontik. Melkie zheltye  cvetki  socvetiya  ochen'  aromatnye.  Plody  -
aromatnye dvusemyanki, prodolgovatye, oval'nye.
     Rodina fenhelya - YUzhnaya Evropa, oblast' Sredizemnomor'ya  i  Maloj  Azii.
Eshche drevnie greki, rimlyane, egiptyane, indijcy i kitajcy ispol'zovali ego kak
pryanost' i lekarstvo. Fenhel' vozdelyvayut  radi  plodov  so  sladkim  pryanym
aromatom,  napominayushchim  anis,  i   sladkovatym,   slegka   ostrym   vkusom.
Letomosen'yu sobirayut zrelye zontiki, sushat i obmolachivayut. V nastoyashchee vremya
kul'tiviruyut v Severnoj  Evrope,  v  Sredizemnomor'e,  v  Severnoj  i  YUzhnoj
Amerike, Kitae, Vostochnoj Indii.
     Fenhel' okazyvaet otharkivayushchee i dezinficiruyushchee dejstvie. V  narodnoj
medicine otvar fenhelya p'yut pri meteorizme (vzdutii  zhivota  iz-za  gazov  v
kishechnike), kashle, bessonnice.

     Vodosbor; orlik; akvilegiya (columbine) - Aquilegia vulgaris - rastet po
lesnym polyanam, opushkam, izdavna vyrashchivaetsya kak dekorativnoe. Otnositsya  k
semejstvu lyutikovyh. Razvoditsya  v  sadah,  vsego  chashche  A.  vulgaris  L.  s
fioletovymi cvetami, rezhe krasnymi, rozovymi  i  belymi;  izvestny  sorta  s
prostymi i mahrovymi cvetkami. Russkoe  "vodosbor"  -  kal'ka  s  latinskogo
nauchnogo nazvaniya roda Aquilegia,  no  pochemu  ono  tak  po  latyni  nazvano
Linneem, ne ochen' ponyatno. Odni avtory proizvodyat nazvanie roda ot latinskih
aqua "voda" i lego "sobirayu", po sposobnosti list'ev i  cvetkov  sobirat'  i
sohranyat' dozhdevuyu vodu i rosu; drugie -  ot  aquila  "orel",  po  izognutym
shporcam cvetka vodosbora,  napominayushchim  kogti  orla  (otsyuda  bolee  redkoe
russkoe nazvanie orlik). SHekspir  ne  vkladyvaet  v  eto  nazvanie  nikakogo
"vodnogo" smysla: s vodoj eto rastenie svyazano tol'ko  u  botanikov  (Linnej
nazval etot cvetok "akvilegiej" cherez poltora veka posle  smerti  SHekspira).
Plod - pyatilistovka. Semena melkie, chernye, blestyashchie.
     YAdovitoe i lekarstvennoe rastenie.
     Dlinnye   stebli   akvilegii   simvoliziruyut    lyubovnuyu    nevernost',
predatel'stvo, neblagodarnost' (columbine v etom smysle  -  antonim  violet,
dushistoj fialki).



     Dushistye (lekarstvennye, otchasti  yadovitye)  cvetochki,  kotorye  Ofeliya
daet Laertu, korolyu i koroleve, - vse isklyuchitel'no sadovye. Ruta - rastenie
po vsej Evrope magicheskoe. Ruta i fenhel' v Angliyu zavezeny  kak  kul'turnye
rasteniya (v dikom vide ne vstrechayutsya). V Anglii est' svoya dikaya  akvilegiya,
no ona imeet drugoe nazvanie  (i  cvetki  u  nee  nevzrachnye),  a  roskoshnaya
sadovaya aromatnaya columbine, sudya po nazvaniyu, zavezena iz Italii.  Tak  chto
Ofeliya prinesla s soboj celuyu apteku, prichem napolovinu ochen' yadovituyu.
     Ofeliya sama govorit o herb-grace, to est' lekarstvennom sbore (herb-) v
roli "voskresnoj blagodati". I  vruchaet  Laertu,  korolyu  i  koroleve  nabor
yadovityh travok (vse oni i pogibnut ot yada). Ne yadovity tut  tol'ko  fialki,
kotorye Ofeliya i ne vruchila, poskol'ku "posle smerti otca oni zavyali".
     Vruchenie korolyu i koroleve  _antonimichnyh_  svezhej  yadovitoj  akvilegii
("predatel'stvo") i uvyadshih fialok (zavyadshaya "vernost'")  -  eto  i  est'  i
otkrovennyj kommentarij Ofelii k smyslu ee cvetov. Vse  "aptechnye"  rasteniya
sadovye, etimologiya u  nih  franko-ital'yanskaya  par  excellence,  pohoronnoj
simvoliki oni ne imeyut.
     Naprotiv, venok Ofelii sostavlen iz dikorastushchih rastenij s anglijskimi
imenami i s yavno pohoronnymi konnotaciyami (plyus  fallicheskaya  u  yatryshnika),
chto v kontekste p'esy ponyatno. Iz nih  lish'  yatryshnik  lekarstvennyj,  no  v
otlichie ot rastenij iz buketa  ne  yadovit,  a,  naprotiv,  ispol'zuetsya  kak
protivoyadie.



     There with fantastic garlands did she come
     Of crow-flowers, nettles, daisies, and long purples
     That liberal shepherds give a grosser name,
     But our cold maids do dead men's fingers call them...

     Ofeliya  prishla  k  ive  ne  s   "girlyandami"   ili   "venkami",   a   s
odnim-edinstvennym venkom: po-anglijski garland znachit "venok, spletennyj iz
odnogo  vida  cvetov",  a  garlands,  naryadu  s  "venki",  takzhe  i  "venok,
spletennyj iz neskol'kih vidov rastenij". Vot sostav ee venka:

     Goricvet; goricvet  kukushkin;  kukushkin  cvet  (crowflower  -  "voron'i
cvety") - sinonimy, na latyni  eto  Lychnis  flos-cuculi  (russkoe  nazvanie
"kukushkin  cvet",  po-vidimomu,  perevod  s  latyni).  Nichego  krome   etogo
crow-flower poanglijski  ne  znachit.  Goricvet  -  mnogoletnee  rastenie  iz
semejstva gvozdichnyh (Caryophyllaceae). Nazvano ono  tak  za  yarkie  cvetki.
Socvetie - ryhlaya metelka. Cvety rozovye, s bahromchatymi lepestkami.  Cvetet
v mae - iyune.
     Pohoronnaya simvolika zvuchit v anglijskom nazvanii goricveta,  poskol'ku
voron (raven) i vorona - "pticy smerti".

     YAsnotka (nettle). Latinskoe nazvanie - Lamium.
     Po anglijskim botanicheskim spravochnikam nettle - eto kak  yasnotka  (ona
zhe "gluhaya krapiva"), tak i krapiva, a vovse ne isklyuchitel'no  krapiva,  kak
polagayut nespecializirovannye slovari. V Anglii obshchee nazvanie dlya krapivy i
yasnotki nettle, krapiva - stinging nettle, a belaya yasnotka -  nettle,  white
nettle ili  dead  nettle,  "mertvaya  krapiva/yasnotka"  (standartnye  slovari
perevodyat russkuyu yasnotku imenno kak dead nettle).  Na  vid  ona  pohozha  na
krapivu, no ne zhguchaya,  s  krasivymi  belymi  (belyj  cvet  -  cvet  traura)
cvetami. Prisutstvie ee v devich'em venke - delo na  redkost'  strannoe,  tem
bolee chto cvetki  nevzrachny,  rastenie  obladaet  nepriyatnym  zapahom  i  ne
uchastvuet v "yazyke cvetov". Takzhe kak i crow-flowers, yasnotka v medicine  ne
ispol'zuetsya i ne yadovita.
     Pohoronnaya simvolika ochevidna (belyj cvet cvetkov i  "polnoe"  nazvanie
rasteniya dead-nettle).

     YAtryshnik, dremlik (dead man's  finger  -  palec  mertveca)  -  odna  iz
severnyh orhidej. |to mnogoletnie travy srednej velichiny,  kotorye  imeyut  v
zemle odin ili dva klubnya - ot okruglogo do yajcevidnogo i  dazhe  chlenistogo.
Cvetki  raspolagayutsya  na  verhushke  steblej  v  pryamostoyashchih   kolosovidnyh
socvetiyah. Cvetut s aprelya po iyun' v zavisimosti  ot  vida.  Vstrechayutsya  na
lugah, po otkosam, v lesah - v zavisimosti ot vida. Cvety yatryshnika  priyatno
pahnut i dolgo ne vyanut.
     Naibolee  rasprostranen  yatryshnik  pyatnistyj  (Orchis  maculata  L.)  -
mnogoletnee travyanistoe rastenie iz semejstva orhidnyh, vysotoj 15-60 sm,  s
dvumya utolshchennymi v vide klubnej  kornyami.  Stebel'  prostoj,  oblistvennyj,
zakanchivayushchijsya  dlinnym  kolosom  purpurovyh  ili  fioletovyh   cvetkov   s
prodolgovatym,    kolosoobraznym    socvetiem.    List'ya    linejno-     ili
shirokolancetnye, suzhennye v chereshok ili obhvatyvayushchie stebel'. Cvetki  samyh
razlichnyh krasok.  Cvetet  v  iyune  -  iyule.  Rasprostranen  pochti  na  vsej
territorii Rossii i  Evropy,  za  isklyucheniem  Krajnego  Severa.  Rastet  po
vlazhnym  lugam,  opushkam  lesov,  na  lesnyh  polyanah,  mezhdu  kustarnikami.
Ispol'zuyutsya molodye klubni, nosyashchie nazvanie "klubni salepa",  sobrannye  v
konce cveteniya rasteniya,  v  iyule  -  avguste.  Slovo  salep  proishodit  ot
arabskogo salab. Salep obladaet obvolakivayushchim dejstviem  blagodarya  nalichiyu
bol'shogo kolichestva slizi, krahmala, a takzhe pektinovyh veshchestv. Primenyaetsya
pri zabolevaniyah zheludochno-kishechnogo trakta, gastritah,  enteritah,  diaree,
dizenterii, osobenno u detej; pri ostryh i hronicheskih bronhitah, otravlenii
nekotorymi yadami.
     |lektronnaya "|nciklopediya  lekarstvennyh  rastenij"  otmechaet:  "Klubni
yatryshnika, osobenno uprugo nalitye dochernie klubni, v narodnoj  medicine  so
vremen  Pliniya,  Dioskorida  i   Teofrasta   -   avtoritetov   dlya   avtorov
srednevekovyh  travnikov  -  iz-za  svoej  formy,  napominayushchej  moshonku,  i
soglasno ucheniyu o signaturah, po kotoromu kazhdaya veshch' opoveshchaet oblikom  ili
cvetom, dlya chego ona prednaznachena, schitayutsya sredstvom, usilivayushchim polovoe
chuvstvo. Polagayut, chto potreblenie svezhih klubnej povyshaet potenciyu.  Odnako
eto ne bolee chem blagie pomysly".
     I eshche: eti klubni imenno potomu i napominayut moshonku,  chto  sam  cvetok
pohozh na fallos. Nedarom zhe koroleva soobshchaet, chto  eto  "dlinnye  purpurnye
cvety, kotorye derzkie na yazyk prostolyudiny  nazyvayut  nepristojno,  a  nashi
holodnye devy  perstami  mertvecov".  Russkie  narodnye  nazvaniya  yatryshnika
_lyubzha_ i _Ivanovy ruki_ govoryat o svyazi ego s  kupal'skoj  obryadnost'yu  (po
Dalyu _lyubzha_ - privorotnoe zel'e, lyubovnyj napitok).
     Venok Ofelii vklyuchaet dva rasteniya, odno  iz  kotoryh  yavno,  a  drugoe
"implicitno" soderzhit v sebe slovo  dead  (mertvyj):  dead  man's  finger  i
(dead) nettle. Cvety gvozdiki  (v  dannom  sluchae  crow-flower)  tradicionno
ispol'zuyutsya v evropejskoj tradicii kak "pohoronnye", krome  togo,  obrashchaet
na sebya vnimanie prisutstvie v nazvanii cvetka slova crow (vorona - odna  iz
"ptic smerti").
     K ive Ofeliya prinesla pohoronnyj venok, chtoby povesit' ego na vetku nad
potokom, kak nad mogiloj.

                            eti-      dikoe      lekarst-   yadovi
       komu       chto       mo-       ili        ven-       tost'     simvolika
                            logiya     sadovoe    nost'



       Laertu     rosemary  franc.    sadovoe      +         (+)      pamyat'
                  (rozmarin)

       Laertu     pansy     franc.    sadovoe      +          -       lyubov';
               (anyutiny glazki)       i dikoe                         mysli

       korolyu      fennel   franc.    sadovoe      +          -       lest',
                  (fenhel')                                           pritvorstvo

       korolyu    columbine
                 (vodosbor, ital.     sadovoe      +          +       predatel'stvo
                 akvilegiya)

       koroleve     rue     franc     sadovoe      +          +       pokayanie,
       i sebe      (ruta)                                             sozhalenie

                                                                      vernost'
                   violet                                             pokornost',
                  (fialka   franc.    sadovoe      +          -       skromnost',
       koroleve   dushistaya)           i dikoe                         chistota,
                                                                      lyubov'

       koroleve    daisy    angl.     sadovoe      +          -       neschastnaya
                 (nivyanik             i dikoe                         lyubov'
                 ili mar-
                 garitka)



       sebe      dead's man angl.     dikoe        +      protivoyadie fallicheskaya
                   finger                                             + pohoronnaya
                 (yatryshnik)                                           (dead man's)

       sebe   (dead) nettle angl.     dikoe        -          -       pohoronnaya
              (yasnotka belaya)                                         (dead + belaya)

       sebe   crow-flowers  angl.     dikoe        -          -       pohoronnaya
                (goricvet)                                            (crow-flowers,
                                                                      gvozdika)

       sebe      daisy      angl.     sadovoe      +          -       neschastnaya
             (nivyanik ili             i dikoe                         lyubov'
             margaritka)

     Vryad li Goracio, s ch'ih  slov  rasskazyvaet  Gertruda,  sochinil  sostav
venka Ofelii. My dolzhny polagat', chto ego otchet o cvetah Ofelii tochen,  ved'
venok Ofelii organichen, v nem stroga vyderzhana obryadovaya simvolika pohoron.
     Sudya  po  naboru  cvetov  (kak,   vprochem,   po   pesenkam   i   pryamym
vyskazyvaniyam) Ofelii, ona znaet, chto dolzhna umeret', i gibnet  pri  popytke
ukrasit' pogrebal'nym venkom mesto svoej smerti.
     Drugoe delo, chto Ofeliya imenno prigovorena k smerti (i prezhde  vsego  v
ee gibeli vinoven Gamlet, kotoryj do etogo  nazyvaet  Ofeliyu  nimfoj  i  tem
nevol'no podskazyvaet rod  ee  gibeli  i  ej  samoj,  i  podslushivayushchemu  ih
ob®yasnenie korolyu).
     SHekspir vnov' shifruet svoj tekst  evangel'skim  kodom,  ved'  i  Hristu
izvestno, chto Kuda ego predast. Izvestno i to, chto on umret na kreste, i to,
chto dva razbojnika budut raspyaty po obe storony ot nego. ("Ne  znaete,  chego
prosite!" - govorit on, kogda dvoe uchenikov  prosyat,  chtoby  on  posadil  ih
sleva i sprava ot sebya.) Pri etom nikomu  v  golovu  ne  pridet  govorit'  o
samoubijstve Hrista. Zametim, chto  i  koroleva  govorit  ne  o  samoubijstve
Ofelii, a o  neschastnom  sluchae.  (Motiv  samoubijstva  voznikaet  tol'ko  v
dialoge mogil'shchikov, kotorye ssylayutsya na sledovatelya.)
     U Ofelii v ee "svyashchennom bezumii" tot zhe dar yasnovideniya  (razdaet  yady
tem, kto ot nih i umret, i sebe tozhe beret yadovituyu rutu, ved' samu  ee  uzhe
ubil, kak korol' vyrazilsya, "yad ee gorya") i ta zhe pokornost' Bozh'ej vole.
     Vyhodya iz zamka,  ona  vsem  pozhelala  spokojnoj  nochi,  osobenno  vsem
zhenshchinam ("Spokojnoj  nochi,  milye  ledi!"),  oplakala  svoego  nerozhdennogo
Robina, kotorogo "polozhat v syruyu zemlyu" (s nej i v  nej),  poshla  k  ruch'yu,
splela pogrebal'nyj venok, vzobralas' na ivu, chtoby povesit' ego na vetku...
     Vse tak i bylo. Tol'ko s toj lish' podrobnost'yu, chto za vsem etim sledyat
dve pary glaz (po izdaniyu 1604 g.) ili odna para (po izdaniyu 1623 g.).
     V lyubom sluchae, _odin iz_ ili _edinstvennyj_ nablyudatel' i rasskazchik -
Goracio.



     OT PEREVODCHIKA: Neobhodimost' v etoj  glave  voznikla  posle  poyavleniya
polemiki, kotoruyu my nachali s shekspirovedom Igorem  SHajtanovym  v  al'manahe
"Anglistica" (| 9, Moskva - Tambov, 2002 g.).
     S lyubeznogo razresheniya Igorya Olegovicha  privozhu  ego  tekst  i  zametku
Sergeya Nikolaeva, sochinennuyu special'no dlya etogo izdaniya.

                                                              Igor' SHAJTANOV



     Puskovym  mehanizmom  dlya  novogo  prochteniya  tragedii  stal   Goracio.
SHkol'naya traktovka obraza Goracio kak edinstvennogo i vernogo druga  Gamleta
- strannoe, hotya i zakonomernoe nedorazumenie v istorii  shekspirovedeniya,  -
schitaet A.CHernov. Goracio - zlodej novogo tipa, starshij brat YAgo, edva li ne
ubijca Ofelii. Neozhidanno?
     Prezhde chem udivlyat'sya ili negodovat', vernemsya k  tekstu  tragedii.  Na
chem mozhno stroit' delo po  obvineniyu  Goracio?  Naskol'ko  ya  znayu  (hotya  v
ogromnom  more  shekspirovskoj  literatury  ni  za  chto  poruchit'sya  nel'zya),
ser'eznyh narekanij Goracio prezhde ne  vyzyval,  no  nekotoraya  neyasnost'  v
svyazi s ego rol'yu sushchestvuet.
     Vo-pervyh, sovershenno neponyatno ego proishozhdenie  -  on  datchanin  ili
inostranec pri datskom dvore? Ego sobstvennoe svidetel'stvo  na  etot  schet,
esli ne  v  otnoshenii  ego  biograficheskogo,  to  duhovnogo  rodstva,  takzhe
dvusmyslenno: I am more an antique Roman than a  Dane  (V,  2,  346).  On  -
filosof, stoik, posledovatel' Seneki.  V  perevode  M.Lozinskogo  eta  mysl'
zvuchit eshche bolee kategorichno: "YA rimlyanin,  ne  datchanin  dushoyu..."  V  etom
samom meste v sobranii  sochinenij  1959-1960  gg.  byla  dopushchena  opechatka,
kotoraya prodolzhaet gulyat' iz  izdaniya  v  izdanie  i  uzhe  polnost'yu  delaet
Goracio rimlyaninom po proishozhdeniyu i datchaninom (chtoby  eto  oznachalo?)  po
duhu: "YA rimlyanin, NO datchanin dushoyu".
     Est' nechto i eshche bolee strannoe.  Vspomnim,  kul'minaciya  gamletovskogo
doveriya i lyubvi k drugu - scena "Myshelovki" Pryamo pered vyhodom v  zal,  gde
dolzhna  igrat'sya  p'esa,  Gamlet  proiznosit  neharakternyj  dlya   nego   po
iskrennosti vyskazannogo slova monolog-hvalu Goracio, cheloveku, umeyushchemu  ne
byt' igrushkoj v rukah sud'by (III, 2, 63-74). Zatem sleduet  "Myshelovka",  v
hode  kotoroj  Goracio  -  edinstvennyj,  kto  dopushchen  v  plan   princa   i
sposobstvuet ego  ispolneniyu,  sledya  za  korolem.  Potom  oba  obmenivayutsya
mneniyami. I chto dalee? Gamlet poslan  na  smert'  v  Angliyu.  Goracio  -  vo
dvorce. Kto on zdes'? Kakova ego rol'? On poyavlyaetsya (IV, 4) vmeste s Pervym
Dvoryaninom (a Gentleman) ili  dazhe  odin  (soglasno  Pervomu  Folio),  chtoby
ob®yavit' koroleve o sostoyanii  Ofelii  i  prosit'  prinyat'  ee.  Sovremennyj
kommentator (Harold Jenkins - The Arden  Shakespeare)  zamechaet,  chto  "rol'
sluzhitelya {attendant) ili sovetnika pri  koroleve  stranna  dlya  Goracio,  i
dramaturg skogo  zabyvaet  o  nej...".  |ta  strannost'  mozhet  byt'  vpolne
ob®yasnena obychnoj scenicheskoj ekonomiej,  kogda  ispolniteli  vtorostepennyh
rolej v sravnitel'no nebol'shoj truppe dolzhny  byli  ispolnyat'  ne  po  odnoj
roli. V takom sluchae Goracio zdes' poyavlyaetsya ne v haraktere. Odnako  imenno
on otklikaetsya na repliku korolya,  prikazyvayushchego  posledit'  za  pokidayushchej
scenu bezumnoj Ofeliej: "Goracio uhodit".
     A.CHernov eto poyavlenie kladet v osnovu haraktera Goracio, podchinyaya  vsyu
ego rol' etomu udachno nachatomu - srazu posle ot®ezda Gamleta -  sluzheniyu  vo
dvorce. Sluzheniyu, kotoroe, kak on polagaet, nezamedlitel'no voznagrazhdaetsya:
u Goracio svoya komnata vo dvorce i svoj sluga (IV, 6). |to yavnyj domysel:  o
komnate v remarke  voobshche  rechi  net,  a  sluga  -  odin  iz  mnogochislennoj
dvorcovoj chelyadi, komu poruchili dostavit' Goracio pis'mo.
     Vovse fantastichna versiya s vozmozhnoj  pantomimoj  -  smert'  Ofelii,  -
kotoraya i dolzhna byla by naglyadno predstavit'  Goracio  v  podlinnom  svete,
ved' inache vse skazannoe o ego prevrashchenii  v  eshche  odnogo  Rozenkranca  ili
Gil'densterna nikak ne podtverzhdaetsya ni v tekste, ni v dejstvii.
     Odna iz samyh yarkih interpretacij Gamleta v XX v. byla osnovana kak raz
na novom prochtenii pantomimy, sygrannoj kak chast' p'esy ob ubijstve Gonzago,
to est' "Myshelovki". YA imeyu v vidu knigu  Dovera  Uilsona  What  happens  in
Hamlet (1935). Nas Uilson interesuet kak specialist po pantomime u SHekspira.
     Vo-pervyh,  on  napominaet,   chto,   v   otlichie   ot   ego   blizhajshih
predshestvennikov, SHekspir k pantomime  ne  pribegaet.  Gamlet  v  znamenitom
monologe, obrashchennom k  akteram,  govorit  prezritel'no  o  nevrazumitel'nyh
pantomimah {inexplicable dumbshows, III, 2,  12).  Zachem  zhe  togda  on  sam
dopuskaet pantomimu v "Myshelovke"? Gamlet  (i  eto  chast'  koncepcii  Dovera
Uilsona) ne tol'ko ne zakazyval pantomimy, no  prihodit  ot  nee  v  yarost',
poskol'ku ona mozhet sorvat' ego plan, slishkom rano obnaruzhiv ego. Ee igrayut,
kak oni  privykli  eto  delat',  aktery.  Pantomima  -  chast'  shekspirovskoj
nasmeshki nad  sovremennymi  teatral'nymi  nravami  i  obychayami.  K  schast'yu,
Klavdij, kak, veroyatno, eto chasto sluchalos', na  pantomimu  ne  obrashchaet  ni
malejshego vnimaniya: prosto v etot moment ne smotrit na scenu.
     Vo-vtoryh, SHekspir ne mog pribegnut' k pantomime, kotoraya ne svyazana  s
tekstom, ee podderzhivayushchim i  ob®yasnyayushchim,  a  esli  predpolozhit'  vmeste  s
A.CHernovym pantomimu o smerti Ofelii, to v tekste kak raz i  net  ni  odnogo
slova, k nej obrashchennogo (... there is not a word in the text  that  can  be
quoted in support of it...) {Wilson D.J. What happens in Hamlet.  L.;  N.Y.;
Melbourne, 1976. P. 151-152.}.
     A  eto,  po  mneniyu  Dovera  Uilsona,  vyskazannomu  po  povodu  drugoj
pantomimy v "Gamlete", isklyuchaet soznatel'noe ee ispol'zovanie.
     Mozhno li schitat' takoj tekstovoj podderzhkoj monolog  Gertrudy?  Lish'  v
tom sluchae, esli ego podvergnut' stilisticheskoj transformacii, podobnoj toj,
chto v perevode A.CHernova preterpevayut i vse repliki  Goracio,  okazyvayushchiesya
ispolnennymi zloveshchego potaennogo ili, naoborot, izoblichayushchego smysla. Slova
Gertrudy, po versii A.CHernova, svidetel'stvuyut ne o zlodejskom umysle, no  o
prostodushii, dohodyashchem do idiotizma,  s  kotorym  koroleva  peredaet  ch'e-to
(Goracio?) svidetel'stvo o smerti Ofelii.
     CHto ushlo iz etogo monologa? Ushla magiya slov, krasota,  kotoroj  stol'ko
raz vdohnovlyalis' hudozhniki (prerafaelit D.|.Milles) i  poety  (rannij  cikl
A.Rembo na smert' Ofelii). Poeziya lish' namekom zvuchit v perevode poslednih -
velikih - strok: Till that her garments, heavy with their  drink,  /  Pull'd
the poor wretch from her melodious lay / To muddy death... Takie slova nikak
ne mogut zvuchat' tekstovkoj k pantomime na zadnem fone (i kak etu  pantomimu
predstavit': Goracio bagrom ottalkivaet Ofeliyu?).
     Snizhennyj ton monologu v perevode zadan  koroten'kim  voprosom  Laerta,
kotoromu i otvechaet Gertruda. Uslyshav ot  nee,  chto  Ofeliya  utonula,  Laert
delovito otklikaetsya: "Utonula?.. Gde?.."
     Original otlichen ot  perevoda  na  odnu  bukvu,  na  odno  vosklicanie,
lomayushchee frazu popolam: "Drown'd! O, where?.." V etom O!  -  ritorika  boli,
zhest  potryasennosti,  utrachennyj  v  perevode.  I,  dobavim,  v  nem  -   ne
predusmotrennyj i neumestnyj.
     Vnosimye v tekst izmeneniya, kak  vidim,  mogut  byt'  minimal'nymi,  no
tekst posle nih imeet sovershenno inoj vid i smysl. Mozhno bylo by projtis' po
kazhdomu iz shtrihov, kak ih nazyvaet  A.CHernov,  k  portretu  Goracio,  chtoby
pokazat', kakim obrazom on byl nanesen, dobavlen na pravah  togo  chut'-chut',
kotoroe dostatochno, chtoby izmenit' celoe. Vot nekotorye iz shtrihov.
     CHernov pishet, chto pervyj monolog Goracio ("YA  pereskazhu  lish'  to,  chto
slyshal...") postroen na kancelyarite. Otnyud' net. K tomu zhe  on  opredelyaetsya
ne stol'ko harakterom Goracio,  skol'ko  svoej  funkciej:  eto  svoego  roda
istoricheskoe vvedenie v sobytiya, to, chto prezhde u  SHekspira  i  do  SHekspira
soobshchal Hor pered nachalom dejstviya.  Ob®ektivnoe,  bezlichnoe  znanie,  golos
predaniya, s kotorogo v etot moment i  govorit  Goracio.  Govorit  nikogo  ne
obvinyaya, tem menee - pokojnogo korolya, no soobshchaya o ego  podvige  i  pobede.
Perepugalsya do onemeniya, kogda uvidel Prizraka... Kak tut ne onemeesh', a vot
chto kasaetsya vsego posleduyushchego i ego, Goracio, i oficerov strazhi  povedeniya
v otnoshenii Prizraka, to ono, dejstvitel'no, neposledovatel'no. I  ne  mozhet
byt' drugim, poskol'ku oni ne znayut, kakova priroda Prizraka, a otsyuda i  ne
ponimayut, kak sebya vesti: pochitat' li v nem pokojnogo  korolya  ili  izgonyat'
d'yavola, dlya chego vse sredstva horoshi, vklyuchaya udar alebardoj.
     "Pered nami metafora careubijstva, prichem misticheskogo, posmertnogo..."
|to, razumeetsya, chistaya fantaziya.  Pered  nami  prosto  situaciya  absolyutnoj
neyasnosti v otnoshenii prizrakov. Do 1535  goda  s  nimi  bylo  vse  ponyatno:
prizraki - dushi teh nedavno umershih lyudej, kto, ozhidaya resheniya svoej sud'by,
vremenno prebyvayut v  CHistilishche.  Odnako  Reformaciya  otmenila  CHistilishche  i
zagadala zagadku. Ne verit'  v  prizrakov  znachilo  proyavlyat'  nemyslimoe  i
opasnoe vol'nodumstvo (lyudi za eto byvali i osuzhdeny). A esli verit', to kak
ih ob®yasnit'? Predpolozhenie o d'yavole, prinimayushchem milyj oblik, chtoby vernee
pogubit' dushu zhivushchego (eta mysl' ne raz prihodit na um Gamletu), bylo ochen'
rasprostraneno. Tak chto alebarda - ne orudie  misticheskogo  careubijstva,  a
ispytaniya  misticheskogo  sushchestva,  orudie,   kotorym   vospol'zovalis'   za
neimeniem luchshego.
     "Odinokie lazutchiki (tochnee,  shpiony),  -  eto  skazano  korolem  vsled
Goracio i Dzhentl'menu bez lica i imeni" - dobavlyaet Andrej CHernov  eshche  odin
shtrih, uzhe fakticheski zavershayushchij portret. "Skazano vsled..." - oni vyhodyat,
a korol' govorit Laertu,  sovershenno  bezotnositel'no  ushedshih,  chto  pechali
podobny ne otdel'nym  lazutchikam,  a  batal'onam,  to  est'  osnovnym  silam
protivnika. A slovo "lazutchik" zdes' kak raz tochnee,  chem  "shpion",  ibo  na
yazyke SHekspira spy - slovo s raznoobraznym i sovsem ne negativnym znacheniem.
Tak, korol' Lir pamyatno upotreblyaet ego, govorya o sebe i ob Kordelii,  kogda
ih vedut v tyur'mu, gde oni teper' smogut zanyat'sya tajnym smyslom veshchej:  "As
if we were God's spies..."(V, 3, 17).
     I tak dalee... Vo vsem proishodit etot sdvig na chut'-chut', vedomyj dazhe
ne volej i namereniem A.CHernova, a tem, chto on smenil registr stilya, i srazu
zhe  izmenilis'  akcenty.  Filosof-stoik  Goracio  mgnovenno  prevratilsya   v
Molchalina,  a  v   usloviyah   prezhde   tragicheskogo   syuzheta,   estestvenno,
evolyucioniroval v melodramaticheskogo zlodeya. Proizoshla  smena  vsej  sistemy
istoricheskih, kul'turnyh predstavlenij i  cennostej.  Gumanisticheskij  spor,
dlivshijsya  na  protyazhenii  XVI  veka,  -  stoit  li  gumanistu   stanovit'sya
sovetnikom pri gosudare (kak izvestno, |razm  Rotterdamskij  govoril  "net",
Tomas Mor  -  "da")  nevozmozhen  v  russkom  intelligentskom  soznanii,  dlya
kotorogo lyuboe priblizhenie k vlasti -  gubitel'nyj  kompromiss.  Goracio  vo
dvorce?  Znachit,  podlec  i  predatel'.  Da  i  mozhet  li   byt'   inache   v
perevode-interpretacii, kotoryj, kak okazalos',  byl  nachat  v  noch'  smerti
Andreya  Donatovicha  Sinyavskogo  i  posvyashchen  pamyati   etogo   proslavlennogo
dissidenta.
     CHernov neskol'ko raz chital svoj perevod. Snachala v  uzkom  teatral'nom,
akademicheskom krugu. Pervoe publichnoe chtenie sostoyalos' 31  maya  2001  g.  v
Muzee Mayakovskogo,  gde  my  i  obmenyalis'  s  nim  razvernutymi  replikami,
literaturnaya  versiya  kotoryh  predlagaetsya  zdes'.  YA  zhe  hochu  zavershit',
soslavshis' na mnenie, prozvuchavshee togda v kuluarah: eto skoree  ne  perevod
Gamleta, a novaya p'esa - "Goracio", pohozhaya na p'esu Stopparda o Rozenkrance
i Gil'densterne.
     Budet li eto "Gamlet" ili eto budet "Goracio", no to, chto delaet Andrej
CHernov, imeet odno bezuslovnoe  preimushchestvo  v  sravnenii  s  beschislennymi
shekspirovskimi ili pushkinskimi zagadkami-razgadkami poslednego vremeni,  gde
nepremenno  glavnymi  geroyami  okazyvayutsya  to  Dantes,  to   Retlend:   nas
vozvrashchayut k tekstu. I dazhe esli my ostanemsya pri svoem prezhnem  mnenii,  my
dolzhny budem nauchit'sya zashchitit'  ego,  a  dlya  etogo  -  prochest'  izvestnoe
zanovo, uvidet' ostree  i  otvetit'  na  voprosy,  nad  kotorymi  prezhde  ne
zadumyvalis'.


                                                             Sergej NIKOLAEV



     Mne ponyatno, pochemu Andreya CHernova zainteresoval Goracio. YA ni  v  koem
sluchae ne soglasen s issledovatelyami, kritikuyushchimi CHernova za  to,  chto  on,
sleduya mode, prepodnosit nam ocherednuyu fantaziyu na  temu  "Gamleta".  CHernov
nikoim obrazom ne presleduet etu cel'. Central'noe mesto  v  drame  SHekspira
ostaetsya za Gamletom, drugoe delo, chto na nem i ego  "zagadke"  po  tradicii
sosredotochivalis'   osnovnye    usiliya    shekspirovedov    i    prakticheskih
interpretatorov,  a  Andrej  CHernov   obratil   vnimanie   na   sushchestvennye
"strannosti povedeniya" schitavshegosya  v  obshchem-to  vtorostepennym  personazhem
Goracio, "predannogo druga"  Gamleta,  "filosofa-stoika",  postanovshchikami  i
zritelyami  vosprinimayushchegosya  to  bezobidnym   shutom,   to   bezobidnym   zhe
zanudoj-rezonerom.
     No "Gamlet" - nesomnenno slozhnoe po svoej  strukture  "mnogomernoe"  (a
otchasti i "poverennoe algebroj" - sm. stat'yu A.CHernova "Formula SHekspira"  o
zolotom sechenii)  proizvedenie,  imeyushchee  chetkuyu  strukturu,  v  kotoroj,  v
chastnosti, otnosheniya personazhej strogo strukturirovany.
     Obraz Goracio kak politika (vernee, politikana) i ego svyaz' s drevnej i
novoj istoriej Evropy podrobno razobrany v stat'e CHernova.  YA  pozvolyu  sebe
sdelat' tol'ko neskol'ko dopolnitel'nyh zamechanij.
     Mesto dejstviya  dramy  narochito  uslovno  -  yakoby  Daniya,  odnako  dlya
anglichan i voobshche zapadnyh evropejcev eta strana ne dal'nij svet. A v  drame
i nazvanie konkretnogo mesta dejstviya (zamok  Helsingor,  cherez  francuzskoe
posredstvo doshedshij v Angliyu v vide Elsinore - i  v  takom  iskazhennom  vide
ostavshijsya v "Gamlete",  hotya  SHekspir,  vidimo,  znal,  kak  etot  portovyj
gorodishko zvuchit po-datski), i imena dejstvuyushchih lic ves'ma uslovny. Nizhe  v
tablice vydeleny  i  podcherknuty  real'nye  dlya  kazhdogo  iz  yazykov  imena,
ostal'nye - stilizacii.

  Grecheskie       latinskie       "ital'yan-     drevnegerman-      "nemeckie"
  imena i         imena i         skie"         skie/skandin.      familii
  stilizovannye   stilizovannye   imena         imena i stilizov.
  pod nih         pod nih         pod nih

  Ophelia (doch'   Claudius        Horatio       Gertrude            Rosencranz
  Poloniya)        (korol')        (drug         (koroleva)          (pridvornyj)
                                  sem'i)

  Laertes (syn    Lucianus (ple-  Bernardo      Hamlet              Guildensten
  Poloniya)        myannik vensko-  (oficer)      (korol' i princ)    (pridvornyj)
                  go
                  korolya Gonzago)

                  Polonius        Francisco     Fortinbras
                  (ministr)       (soldat)      (norvezhskie
                                                korol' i princ)

                  Cornelius       Reynaldo      Osric
                  (pridvornyj)    (sluga)       (pridvornyj)

                  Marcellus (ofi- Claudio       Voltimand
                  cer)            (sluga)       (pridvornyj)

                                  Gonzago
                                  (venskij
                                  korol')

                                  Baptista
                                  (venskaya
                                  koroleva)

     Iz  "grecheskih  po  forme"  Ophelia   ne   imeet   pryamogo   grecheskogo
sootvetstviya. Sravnenie s "odnokorennymi" ophelos "pol'za, vygoda,  pomoshch'",
ophello "narashchivat', usilivat', priumnozhat', vozvelichivat'",  opheilo  "byt'
dolzhnym, schitat' sebya obyazannym" ne delaet ee imya  "govoryashchim".  Vidimo,  ee
imya sleduet schitat' iskazhennym (s zamenoj ozhidaemogo  A-  na  O-)  grecheskim
sushchestvitel'nym apheleia, proizvodnym ot  prilagatel'nogo  apheles  "rovnyj,
gladkij;    bezukoriznennyj;    prostoj;     neprihotlivyj,     pryamodushnyj,
beshitrostnyj". U ee brata Laerta - imya carya Itaki, otca  Odisseya;  otec  zhe
Polonius - latinizirovannyj "Polyak". Iz "latinskih" (ih priznak -  okonchanie
-us) nastoyashchimi drevnerimskie imena - eto  Claudius,  Cornelius,  Marcellus.
Lucianus - latinizirovannyj v antichnosti grecheskij Lukianos (a mozhet byt', u
SHekspira - ital. Luciano), Polonius - "polyak" (srednevekovoe  slovo).  Nemcy
pochemu-to zovutsya  po  familiyam.  Imena,  stilizovannye  pod  skandinavskie,
napominayut romany Tolkiena:  iz  nih  real'noe,  pozhaluj,  tol'ko  Gertrude,
ostal'nye (i v  pervuyu  ochered',  vidimo,  imeyushchee  francuzskuyu  "govoryashchuyu"
etimologiyu Fortinbras - sil'naya ruka) sozdayut "skandinavskij fler", ne bolee
togo. Harakterno, chto sredi  nih  net  ni  odnogo  drevneanglijskogo  imeni.
"Ital'yanskie"  imena  mogut  byt'  nazvany  takovymi  tol'ko  po  oformleniyu
(okonchanie  -o):  Horatio  i  Claudio  -  eto  "ital'yanizirovannye"  rimskie
Horatius i Claudius; Bernardo i Reynaldo - germanizmy,  obretshie  etu  formu
pri franko-provansal'skom posredstve (iz nih ital'yanskuyu formu imeet  tol'ko
Bernardo); Francisco -  imya  germansko-pozdnerimskogo  proishozhdeniya,  no  v
ital'yanskom ono imeet vid Francesco. Poetomu kazhetsya neumestnym  utverzhdenie
o konkretno-shvejcarskom proishozhdenii  Goracio  -  onomasticheski  on  prosto
"grazhdanin  prosveshchennoj  Evropy".  "Ital'yanskimi"   imenami   zovut   takzhe
"venskih" korolya i korolevu iz "Myshelovki" - Gonzago (v Italii eto ne imya, a
familiya)  i  latinizirovannoe  zhenskoe  (!)  imya   Baptista   (po-ital'yanski
Battista, franc. Batiste i Baptiste, prichem v Srednie veka, vidimo, i v  XVI
v. - isklyuchitel'no muzhskoe imya,  tak  kak  oznachaet  "[Ioann]  Krestitel'").
Sredi imen net ni odnogo biblejskogo i  evangelicheskogo.  "Govoryashchie"  imena
(imeyushchie istoricheskie analogi) iz nih, pozhaluj, tol'ko Claudius, Marcellus i
Horatio (vozmozhno, znachenie imeyut takzhe Polonius - slavyaninpolyak  na  sluzhbe
"datskogo" korolya s imenem rimskogo imperatora i Fortinbras, esli imeetsya  v
vidu  prochtenie  po-francuzski,  "fort-en-bras").   V   tablicu   ne   voshel
fehtoval'shchik "francuz" Lamord - navernoe, eto iskazhennoe la mort "smert'".
     Mozhno bylo by vozrazit', chto SHekspir ne znal ital'yanskogo, i potomu emu
dostatochno  bylo  pristavit'  okonchanie  -o  dlya  togo,  chtoby   imya   stalo
ital'yanskim (kak dlya nas anekdoticheskij Toyama Tokanava - yaponec).  Odnako  v
drugih p'esah ital'yanskie  imena  i  familii  u  nego  dostatochno  pravil'ny
(naprimer, v "Romeo i Dzhul'ette"). Datskie i nemeckie  imena  on  nesomnenno
znal - pochemu by emu bylo  ne  nazvat'  svoih  "datchan"  |rikom,  Amundom  i
Val'demarom, Ofeliyu - Aspaziej,  ital'yanca  Franchesko,  a  ne  Francisko,  a
Poloniya ne "polyakom", a klassicheskim rimskim ili datskim imenem? Delo v tom,
chto on dal eti "sozvuchnye", no iskusstvennye imena umyshlenno (kak  umyshlenno
sohranil nuzhnye dlya istoricheskih allyuzij  rimskie!),  i  zhivut  eti  lyudi  v
"Danii", "Italii", "SHvejcarii", a ne v Danii,  Italii,  SHvejcarii,  i  ne  v
Helsingere, a v "|l'sinore". I zdes' pokazatel'no,  chto  v  "nekanonicheskih"
versiyah "Gamleta" i bol'shinstvo kazhushchihsya "real'nymi" imen predstavleny libo
v vymyshlennom, ne imeyushchem pryamogo sootvetstviya ni  v  odnom  iz  evropejskih
yazykov vide, libo s bolee chem strannymi znacheniyami: Laert (grech. Laertes)  -
v Pervom kvarto (1603 g.) Leartes; Gertrude - v Pervom  kvarto  Gertred,  vo
Vtorom Gertrad; Rosencrantz (nemeckoe "venok iz  roz")  -  v  Pervom  kvarto
Rossencraft ("loshadinaya sila"?!); Guildenstern (zdes', pri neyasnom Guilden-,
vtoroj chlen kompozita nemeckoe Stern "zvezda";  ili  eta  familiya  -  slegka
zagrimirovannaya anglijskoe gilded stern  "zolochenaya  zadnica")  -  v  Pervom
kvarto Gilderstone (formal'no anglijskaya familiya  so  strannym  znacheniem  -
"kamen'  pozolotchika"?);  Reynaldo  -  v  Pervom  kvarto   Montano   (takogo
ital'yanskogo imeni net).  "Govoryashchej"  familii  Lamord  (vo  Vtorom  kvarto)
sootvetstvuet bessmyslennoe Lamound v Folio.
     V tekste mel'kom upominayutsya eshche dva imeni - kabatchika Iogena (Yaughan)
i korolevskogo shuta Jorika (Yorick). Yaughan -  rasprostranennaya  irlandskaya
familiya; irlandcy v predstavlenii anglichan -  fol'klornye  gor'kie  p'yanicy,
poetomu  familiya   Iogen   "govoryashchaya".   Yorick   -   britanskaya   familiya,
"nacional'nuyu prinadlezhnost'"  kotoroj  v  predelah  Velikobritanii  mne,  k
sozhaleniyu, ustanovit' ne udalos'. Vo vsyakom sluchae zdes'  obrashchaet  na  sebya
vnimanie "pochvennost'" imeni i ego sozvuchie s rodinoj SHekspira - Uorikshirom.
Oba imeni, razumeetsya, k Danii otnosheniya ne imeyut.
     Itak, mesto dejstviya i nacional'nost' dejstvuyushchih lic narochito uslovny,
i shekspirovskaya "Daniya"  -  eto  nekaya  usrednennaya  evropejskaya  strana,  a
sobytiya v  nej  -  predpolagaemaya  avtorom  obshchaya  model'  "obshcheevropejskoj"
politicheskoj situacii i, sudya  po  vsemu,  prognoz  ee  razvitiya  v  budushchem
(prichem ne tol'ko v blizhajshem, ajv ves'ma otdalennom - sudya po parallelyam  s
drevnerimskoj istoriej, prognoz mozhet otnosit'sya k epohe  cherez  stol'ko  zhe
stoletij v budushchem).
     YA ne mogu vo vsem  soglasit'sya  s  Andreem  CHernovym  otnositel'no  ego
tolkovaniya teksta i vyvodov. Odnako v odnom sluchae ego gipoteza, vydvinutaya,
kak mozhet  pokazat'sya,  na  pustom  meste,  vidimo,  imeet  tekstologicheskoe
osnovanie. Rech' idet o tom, chto koroleva v svoem soobshchenii o  gibeli  Ofelii
(po krajnej mere v ego pervoj chasti)  pereskazyvaet  Goracio.  Poslednemu  v
p'ese prinadlezhat lish' dva dlinnyh teksta, pozvolyayushchih sdelat' vyvody o  ego
yazykovyh  harakteristikah  -  eto  rasskaz  ohrannikam   o   raspryah   mezhdu
Gamletom-otcom i Fortinbrasom i "doklad" princu Fortinbrasu o proizoshedshih v
|l'sinore tragicheskih sobytiyah. Bezuslovnoe pripisyvanie Goracio "donosa" na
Ofeliyu (vernee, obosnovanie pros'by, chtoby Gertruda, otkazyvayushchayasya obshchat'sya
s  Ofeliej,  s  nej  pobesedovala  i  ugovorila  ne  smushchat'   publiku),   v
prizhiznennyh  izdaniyah  p'esy  proiznosimogo  nekim  Gospodinom  (prishedshego
vmeste s Goracio), neobosnovanno vvidu  yazykovyh  osobennostej  -  obraznyj,
"poskonno-anglijskij" yazyk provincial'nogo pomeshchika s "kudryavymi vyrazheniyai"
polugramotnogo provinciala (Which, as her  winks,  and  nods,  and  gestures
yield them, indeed would make one  think  there  might  be  thought,  though
nothing sure, yet much  unhappily)  -  v  etom  donose  lish'  odin  latinizm
(gesture), a prochie  tri  zaimstvovannyh  francuzskih  slova  (v  tom  chisle
enviously) k XVI veku davno uzhe vosprinimalis'  kak  "svoi".  Naprotiv,  dlya
Goracio harakterno chastoe upotreblenie imenno  latinizmov,  chto  estestvenno
dlya "universitetskogo zhargona" togo vremeni, kogda  prepodavanie  velos'  na
latyni i  etot  yazyk  byl  sredi  uchenoj  publiki  razgovornym.  Latinizmami
perepolneny obe ego dlinnye repliki. Odnako v "sage o  Starom  Gamlete"  oni
makaronisticheski vpleteny vo vpolne slengovuyu rech', dlya  kotoroj  harakterny
razgovornye allegrovye formy (appear'd, prick'd, in't, design'd i t.  p.)  i
oksyumoronnye ("stebnye") sochetaniya raznostilevoj leksiki (Hath <...> shark'd
up a list of lawless resolutes to some enterprise that hath a stomach in't -
v etom passazhe grubovatye razgovornye shark'd up i  to  have  a  stomach  in
something sosedstvuyut s a list of lawless  resolutes  to  some  enterprise).
"Doklad" Goracio,  v  otlichie  ot  "sagi",  stilisticheski  "ser'ezen"  i  ne
soderzhit razgovornyh allegrovyh  form,  odnako  tak  zhe  perepolnen  uchenymi
latinizmami. Dlya rechi Gertrudy latinizmy v takom kolichestve, razumeetsya,  ne
harakterny - ih u nee rovno stol'ko, skol'ko bylo neobhodimo  intelligentnoj
zhenshchine dlya vyrazheniya neperedavaemyh "prostym anglijskim yazykom" abstraktnyh
ponyatij. No v rasskaze o smerti Ofelii ona neozhidanno upotreblyaet celyj  ryad
na pervyj vzglyad nenuzhnyh v dannoj situacii "uchenyh" sinonimov obychnyh slov,
pri etom v strannom dlya nee (no harakternoj dlya "sagi"  Goracio  o  poedinke
Starogo Gamleta i Starogo Fortinbrasa) sopolozhenie protivopolozhnyh po  stilyu
slov (latinskoe + anglijskoe) dazhe v samoj poeticheskoj ego chasti  (fantastic
garlands - liberal shepherds - pendent boughs -  weedy  trophies  -  coronet
weeds - chanted snatches - creature native ... indued unto  that  element  -
melodious lay). Razumeetsya, eta stilisticheskaya strannost' mozhet  ob®yasnyat'sya
krajnim volneniem zhenshchiny, odnako ne isklyucheno i to, chto v svoej osnove etot
rasskaz - pereskaz tol'ko chto uslyshannogo soobshcheniya  Goracio,  dlya  kotorogo
imenno takoj stil' byl harakteren.
     Pri  analize  strukturnyh  svyazej  mezhdu  dejstvuyushchimi   licami   dramy
okazyvaetsya, chto glavnyj geroj dramy - "datskij" princ  Gamlet  -  nahoditsya
vne sistemy oppozicij, inymi slovami, "nadsistemen" ili dazhe  "vnesistemen".
Esli dazhe snyat' kazhushchiesya  "prityanutymi  za  ushi"  argumenty  A.CHernova,  to
ostanetsya ryad neosporimyh, ranee ne zamechennyh ili kazavshihsya ne  svyazannymi
mezhdu soboj faktov, kotorye pozvolyayut schitat'  Goracio  strukturnym  centrom
"vnegamletovskoj"  kompozicii,  tak  kak  imenno  on  nahoditsya  v  binarnyh
oppoziciyah  s  prochimi  glavnymi  dejstvuyushchimi  licami,  togda   kak   mezhdu
poslednimi pryamye  sootnosheniya  ne  ustanavlivayutsya.  Goracio  -  Klavdij  -
politiki novoj i staroj formacii, Goracio - Laert -  novye  politiki  raznyh
tendencij  ("konservativnoj"  i  "revolyucionnoj":  iz  Goracio   "prorastet"
Rishel'e, a iz Laerta Kromvel'), dazhe Goracio  -  Ofeliya  -  postrenessansnyj
racionalizm  i  renessansnyj  "artistizm".  Poetomu  ne   tol'ko   "vneshnie"
soobrazheniya, no i formal'nyj strukturnyj analiz zastavlyaet nas  otnestis'  k
figure Goracio s bol'shim vnimaniem.  V  to  zhe  vremya  Gamlet  -  ne  tol'ko
"social'no-literaturovedcheski",  no  i  strukturno   -   "lishnij   chelovek".
Vozmozhno, eto - pervaya v  literature  formal'naya  model'  romana  o  "lishnem
cheloveke";  nevol'no  vspominaetsya  postroennyj  po  etoj  zhe  modeli  roman
Dostoevskogo "Idiot".
     Ot poeta-perevodchika trebuetsya slishkom mnogo - malo togo, chto on obyazan
sotvorit' sobstvennoe  krupnoe  po  ob®emu  proizvedenie,  kotoroe  bylo  by
priyatno i polezno chitat'. On dolzhen adekvatno peredat'  sovremennym  russkim
yazykom duh i po vozmozhnosti bukvu originala. Dlya etogo on dolzhen obladat' ne
tol'ko poeticheskim talantom, no i  sovershennym  znaniem  yazyka,  na  kotorom
napisano perevodimoe proizvedenie, istorii, byta toj epohi, ponyatnyh dlya toj
epohi namekov i konnotacij. Razumeetsya, zhdat', chto  na  kazhdoe  klassicheskoe
proizvedenie najdetsya svoj poet-enciklopedist,  -  besperspektivnoe  zanyatie
(horoshij primer -  ne  ochen'  horoshij  poeticheski,  no  akademicheski  tochnyj
perevod  "Iliady",  i  netochnyj,  no   poeticheski   "kachestvennyj"   perevod
"Odissei"). V sluchae s "Gamletom" my imeem horoshie (s tochki  zreniya  russkoj
poetiki)  perevody,  dayushchie,  odnako,  neadekvatnoe  predstavlenie   kak   o
poeticheskom (v shirokom smysle)  yazyke  podlinnika,  tak  i  o  ego  istinnom
soderzhanii  (k  sozhaleniyu,  takovy  obshcheizvestnye  perevody  M.Lozinskogo  i
B.Pasternaka). Otsyuda  vyvod  o  neobhodimosti  sozdaniya  kvalificirovannyh,
snabzhennyh  obshirnymi  kommentariyami  russkih  podstrochnikov  hotya  by   dlya
velichajshih tvorenij mirovoj poezii, opirayas' na kotorye russkie poety  mogli
by po vozmozhnosti peredat' ih "duh" i  "bukvu".  K  sozhaleniyu,  sushchestvuyushchij
podstrochnik M.Morozova dalek ot etogo  ideala:  on  daet  ves'ma  iskazhennoe
vpechatlenie kak o smysle, tak i o yazykovom stile.  |tot  perevod-podstrochnik
proizvodit takoe vpechatlenie, chto ego avtor pol'zovalsya pochti  isklyuchitel'no
standartnym anglo-russkim slovarem, v bol'shinstve  sluchaev  ne  zadumyvayas',
chto tekst SHekspira izobiluet "lozhnymi druz'yami perevodchika".
     Poeticheskaya intuiciya CHernova v nekotoryh sluchayah pozvolila  emu  "cherez
golovu"  dvuh  podstrochnikov  (M.Morozova  i  teatroveda   O.Korshakovoj)   i
izvestnyh perevodov vernut'sya k shekspirovskomu tekstu, to est' k  "duhu".  K
primeru, "saga o Starom Gamlete i Starom Fortinbrase", izlagaemaya Goracio, u
SHekspira imeet nesomnenno izdevatel'ski-parodijnyj harakter (chego stoit odna
fraza na togdashnem slenge, peremeshannom s "kancelyarizmami": young Fortinbras
<.. .> shark'd up a list of lawless resolutes <...> that hath a stomach in't
<...> - v tekste, dolzhenstvuyushchem proiznosit'sya sine ira et studio). Morozov,
vidimo, uboyalsya neumestnyh pereboev v stile velikogo anglichanina i reshil ego
"prigladit'" - v rezul'tate poluchilsya kancelyarskij otchet,  a  CHernov  ugadal
yazyk "sagi Goracio" i verno peredal ego po-russki.
     K sozhaleniyu, v inyh sluchayah ozarenie ne prishlo.

                                                               Andrej CHERNOV



     Fenomen zolotoj proporcii (zolotogo secheniya) - samyj drevnij  i,  mozhet
byt', samyj zagadochnyj  iz  matematicheskih  fenomenov.  Ego  issledovanie  i
soznatel'noe ispol'zovanie  prodolzhaetsya  uzhe  ne  menee  pyati  tysyacheletij.
Osnovannuyu  na  sqrt(5)  proporciyu  eshche v XXVII veke do n.e. znal  stroitel'
egipetskih  piramid  zodchij  Hesi-Ra,  ch'ya  pryamougol'naya grobnica v Sakkare
imeet   zolotye  proporcii. Antichnost' vozvela  po  proizvodnoj  ot  sqrt(5)
sotni   shedevrov  (sredi  nih i Parfenon). Vizantijskie matematiki imenno po
zolotoj   proporcii  rasschitali  sistemu   antropomorfnyh  stroitel'nyh  mer
(na   Rusi   oni   stali  nazyvat'sya   sazhenyami).  Zolotoj  proporciej  byli
uvlecheny    genii    epohi  Vozrozhdeniya.  (Leonardo  da  Vinchi  imenoval  ee
Bozhestvennoj proporciej.)
     Geometricheski sut' zolotogo secheniya ochen'  prosta.  |to  takoe  delenie
celogo otrezka na dva, pri kotorom ves' otrezok otnositsya  k  bol'shej  svoej
chasti, kak bol'shaya k men'shej.
     U zolotoj proporcii dve ravnopravnyh formuly i dva chisla:
     
gde F i 1 : F - chisla zolotogo secheniya. Umnozhaya na chislo F, ili delya na (1 : F), my poluchim odinakovyj rezul'tat. K zolotoj proporcii stremitsya otnoshenie smezhnyh chlenov lyubogo ryada, v kotorom kazhdyj sleduyushchij chlen est' summa dvuh predydushchih. Mozhno vzyat' dva lyubyh chisla, i cherez poltora desyatka slozhenij my poluchim paru smezhnyh chisel, otnoshenie kotoryh budet priblizheno k zolotomu chislu 1,618034 s tochnost'yu do shesti znakov po zapyatoj. V poslednie gody poyavilsya ryad issledovanij, otkryvshih zolotoe sechenie ne tol'ko v arhitekture i muzyke, no i v mnogoobraznyh prirodnyh formah {I.SH. SHevelev, M.A. Marutaev, I.P. SHmelev. Zolotoe sechenie. M, 1990.}. Nachnem s osmeyannoj Novejshim vremenem antichnoj idei "muzyki sfer". Predpolozhim, chto:
gde Rn - radius planety Rs - radius Solnca (696 tys. km) Sn - srednee rasstoyanie planety ot Solnca an - radial'nyj koefficient dannoj planety Preobrazuem etu zavedomuyu banal'nost' takim obrazom:
Dlya planet Zemnoj gruppy (chetyre blizhajshih k Solncu planety, nahodyashchiesya do poyasa asteroidov) an < 2 i Sn < 2a. e. (1 a. e. - srednij radius orbity Zemli, ravnyj 149, 6 mln. km). Sostavim tablicu, vzyav radiusy planet i srednie radiusy ih orbit iz "Sovetskogo enciklopedicheskogo slovarya" (M., 1988) i dobaviv novejshie dannye po Kvaoaru: I. Planety zemnoj gruppy: Merkurij 0,387 a.e. - sr. R 2439 km -> ame 0,2914982 Venera 0,723 a.e. - sr. R 6050 km -> av 1,3508489 Zemlya 1 a.e. - sr. R 6371,032 km -> az 1,9675369 Mars 1,524 a.e. - sr. R 3390 km -> ama 1,5955036 II. Planety-giganty: YUpiter 5,203 a.e. - ekv. R 71400 km -> aj 114,72687 Saturn 9,539 a.e. - ekv. R 60400 km -> as 177,93152 Uran 19,18 a.e. - ekv. R 24300 km -> au 143,93552 Neptun 30,07 a.e. - ekv. R 25050 km -> ane 232,62387 III. Nebol'shie sverhdal'nie planety Pluton 39,44 a.e. - R 1500 km -> ar 18,270115 Kvaoar (2002 LM 60) 43,4492 a.e. - R 640 km -> ak 8,58766 Zametim, chto
Znachit, sravnivaya radial'nye koefficienty smezhnyh planet, my sravnivaem proizvedeniya srednih radiusov ih orbit na radiusy samih planet. V Zemnoj gruppe otnoshenie radial'nogo koefficienta Zemli k radial'nomu koefficientu Marsa daet udvoennuyu zolotuyu proporciyu {Pervuyu popytku obnaruzhit' zolotoe sechenie v stroenii solnechnoj sistemy predprinyal sovetskij kompozitor M.A. Marutaev (sm. kollektivnuyu monografiyu "Zolotoe sechenie", vypushchennuyu moskovskim izdatel'stvom "Strojizdat" v 1990 g.). Issledovatel' pytalsya svesti otnosheniya rasstoyanij planet k muzykal'noj gamme, predlozhiv stol' slozhnuyu sistemu preobrazovanij, chto rabota eta ne poluchila dolzhnogo otklika. Krome togo, za modul' avtor vzyal rasstoyanie Plutona ot Solnca. Kogda osen'yu 2002 g. byla otkryta desyataya planeta Solnechnoj sistemy - Kvaoar, stalo ponyatno, chto sistema Marutaeva Solnechnoj sisteme ne sootvetstvuet.}:
Po publikaciyam konca 1990-h srednij radius Zemli raven 6378 km. Pri takom radiuse otnoshenie radial'nyh koefficientov Zemli i Marsa priblizitsya k ideal'nomu s pogreshnost'yu v odnu tysyachnuyu:
No eto zhe chislo my poluchaem, peremnozhiv radial'nye koefficienty vseh chetyreh planet Zemnoj gruppy:
Pri etom lyubopytno, chto
V gruppe planet-gigantov vse otnosheniya "zolotye":
YUpiter i Saturn - zhidkie planety, razbuhshie pod dejstviem centrobezhnyh sil (s raznym koefficientom) po ekvatorial'nomu radiusu. Tak chto pervaya chast' otnosheniya
mozhet byt' skorrektirovana, kogda my voz'mem srednie radiusy YUpitera i Saturna. (No sejchas budem dovol'stvovat'sya dannym priblizheniem {Esli brat' dannye ne po izdaniyu S|S 1988 g., a po "Bol'shomu enciklopedicheskomu slovaryu" 1994 g., dva iz treh rezul'tatov v gruppe planet-gigantov dadut menee tochnoe (na poryadok!) priblizhenie k zolotoj proporcii. Odnako delo ne v oshibke izmerenij, a v tom, chto zhidkie planety-giganty, vrashchayas' po vytyanutym orbitam, dolzhny deformirovat'sya, prohodya dve naibolee udalennye drug ot druga tochki, i dlya opredeleniya srednego radiusa neobhodimo znat', gde imenno nahodilas' planeta, kogda ee sfotografirovali. Za eto raz®yasnenie prinoshu glubokuyu blagodarnost' moskovskomu himiku Valeriyu Nikanorovu.}.) Pered nami nekaya zakonomernost', vozmozhno, proyavlenie kakogo-to eshche neotkrytogo fizicheskogo zakona. K sozhaleniyu, zolotoj metod, ne tol'ko horosho izvestnyj issledovatelyam arhitekturnyh, muzykal'nyh i prirodnyh form, no i davshij na ogromnom i raznorodnom materiale zamechatel'nye rezul'taty, do poslednego vremeni pochemu-to prakticheski ne byl vostrebovan tekstologami. |to tem bolee stranno, chto na principe zolotoj proporcii kak raz i derzhitsya struktura garmonichnyh yavlenij toj zhe arhitektury ili muzyki. Mne predstavlyaetsya, chto nekotorye iz problem, nad kotorymi lomaet golovu sovremennoe shekspirovedenie, mogut byt' resheny imenno putem proporcional'nogo analiza tekstov. Dlya dokazatel'stva etogo tezisa ya obratilsya k "Gamletu", samoj znamenitoj p'ese vsej mirovoj dramaturgii. Okazalos', chto proporcii "Gamleta" nastroeny na garmoniyu zolotogo secheniya. Rech' idet o proporciyah dramaticheskogo dejstviya, no nachnem nashe issledovanie s tekstovyh proporcij. Poskol'ku nikto ne hronometriroval shekspirovskuyu postanovku v "Globuse", nichego drugogo nam, sobstvenno, i ne ostaetsya. Dlya predvaritel'nogo analiza ya vzyal proporcii po russkomu prozaicheskomu perevodu M. Morozova {M. Morozov. Izbrannye stat'i i perevody. M, 1954.}. |tot perevod maksimal'no udoben dlya podobnoj raboty: esli tekst zapisan "v stroku", to ne nado otdel'no schitat' stihi i prozu, dostatochno vooruzhit'sya linejkoj da kal'kulyatorom. Remarok pri podschetah ya ne izymal. V perevode M. Morozova ih chislo minimal'no, i v proporcional'nom otnoshenii imi mozhno prenebrech' {Kak vyyasnilos' uzhe na materiale anglijskogo teksta, iz®yatie ukazanij na prinadlezhnost' rechi tomu ili inomu personazhu privodit k rezkomu (do 0,1) otkloneniyu proporcij. |to oznachaet, vo-pervyh, chto dve repliki po odnomu stihu, proiznesennye dvumya personazhami, v proporcional'nom otnoshenii neskol'ko vesomej, chem dvustishnaya replika odnogo personazha, a vo-vtoryh, chto v III akte temp dejstviya vzvinchivaetsya, i rech' geroev koroche, chem v I akte.}. Rezul'taty, poluchennye na prozaicheskom russkom perevode, byli provereny na anglijskom tekste, vzyatom iz Interneta {Adres v Internete: http://tech-two.mit.edu/Shakespeare/hamlet/index.html}. |to elektronnaya versiya teksta na osnove izdaniya 1604 g., kotoroe neskol'ko otlichno ot tak nazyvaemogo "Pervogo folio", vyshedshego cherez sem' let posle smerti SHekspira. (V Pervom folio, v chastnosti, uzhe sdelana popytka deleniya teksta na akty i sceny. Vprochem, obryvaetsya ona na 2 scene II akta.) Vpervye "Gamlet" byl razdelen na akty i sceny v 1676 g., to est' cherez shest'desyat let posle smerti SHekspira. V sootvetstvii s togdashnej modoj aktov bylo vydeleno pyat'. Pri chlenenii teksta na pyat' aktov dostigaetsya otnositel'noe ih ravenstvo. Uvy, eto, kazhetsya, edinstvennoe dostoinstvo takogo deleniya. Na afishah i na titul'nyh listah pod nazvaniem "Gamlet" my privykli chitat' "Tragediya v pyati aktah", no eshche M. Morozov polveka nazad otmechal, chto tradicionnoe chlenenie shekspirovskoj tragedii "krajne neudachno". Nevozmozhno, skazhem, ob®yasnit', pochemu posle antrakta mezhdu II i III, a eshche mezhdu III i IV aktami ne proishodit smeny scenicheskogo prostranstva: zakonchili akt v zale i nachali v zale sleduyushchij, zakonchili v komnate, v komnatu i vernulis'. Dinamichnogo i izobretatel'nogo SHekspira, obozhavshego perelicovki i perevoploshcheniya, takoe "postoyanstvo", pozhaluj, moglo lish' rassmeshit'. So vremen SHekspira i do serediny XIX veka chislo aktov bylo nechetnym. P'esy mogli libo byt' pyatiaktnymi, libo trehaktnymi. Esli pyatiaktnoe delenie "Gamleta" neudachno, ostaetsya predpolozhit', chto my imeem delo s trehaktnoj p'esoj. Dlya etogo, v chastnosti, i trebuetsya proporcional'noe issledovanie vsego teksta. Schitaetsya, chto v "Globuse" p'esy igrali bez antraktov. Na etom osnovanii tot zhe M. Morozov voobshche otkazalsya ot deleniya p'esy na akty i sceny. (CHto tozhe oblegchalo nashi podschety.) No edva li takoj otkaz korrekten: rezhisser SHekspir byl vprave stavit' spektakl' bez antraktov, no dramaturg SHekspir vryad li mog prenebregat' zakonami dramaturgii. Tak chto samo otsutstvie antraktov nichego ne dokazyvaet. Klyuchom k proporcional'nomu issledovaniyu "Gamleta" neozhidanno dlya menya samogo stal shekspirovskij princip organizacii scenicheskogo prostranstva. V "Gamlete" tri tipa scenicheskogo prostranstva: dejstvie proishodit to na prirode (pod otkrytym nebom), to v zale |l'sinorskogo zamka, to v ego komnatah. Zal v zamke - eto imenno odin zal (paradnyj tronnyj zal, gde korol' prinimaet poslov, gde zaezzhie aktery igrayut spektakl' i gde proishodit poedinok Gamleta i Laerta). Prostranstvo zala kazhdyj raz markirovano remarkoj "Zvuchat truby" (Morozov, s. 337; 357; 381; 431). Remarka "Komnata" dolzhna oznachat' raznye komnaty v zamke - ot pokoev Poloniya i pokoev korolevy do komnaty, gde korol' oglashaet zamysel ubit' Gamleta (v poslednem sluchae eto imenno komnata ili kabinet, a ne paradnyj zal). Vo-pervyh, otsutstvuet markiruyushchaya ego remarka "Trubyat truby". Vo-vtoryh, to, chto oglashaet korol', v paradnyh pokoyah prosto ne mozhet byt' proizneseno. Pered nami zagovor korolya protiv Gamleta, i zdes' oficial'nyj status proishodyashchego nevozmozhen. A on neizbezhno poyavlyaetsya, esli dejstvie proishodit v tronnom zale zamka. No est' eshche odin sposob otlichit' prostranstvo zala ot prostranstva komnat: zal bol'she, no ne tol'ko po prostranstvu, a i po vremeni. Sceny v zale v srednem v 3,2 raza dlinnee, chem sceny v komnatah. Na materiale perevoda M. Morozova stalo yasno, chto dlina dejstviya pod otkrytym nebom (to est' summa vseh scen na esplanade, vo dvore zamka, na ravnine i na kladbishche) prakticheski ravna dline I akta {Schitaetsya, chto SHekspir ne delil svoi p'esy na akty, no eto oshibka: pervyj akt vydelen uzhe v izdanii 1623 goda, a esli byl pervyj akt, znachit, byli i posleduyushchie.}. Posle etogo ya popytalsya razdelit' vsyu p'esu po proporciyam scenicheskogo prostranstva. |to privelo k neozhidannomu rezul'tatu - obnaruzheniyu unikal'noj modifikacii formuly zolotogo secheniya. Togda i prishlos' okonchatel'no otkazat'sya ot tradicionnogo (no ne avtorskogo!) deleniya p'esy na pyat' aktov. Struktura "Gamleta" yazykom matematiki svidetel'stvuet, chto aktov v tragedii SHekspira tri, i kazhdyj iz nih sootvetstvuet opredelennomu tipu prostranstva: I akt - summe scen, dejstvie kotoryh proishodit na prirode, II akt - summe scen, proishodyashchih v paradnom zale zamka, III - summe dejstviya v komnatah zamka. Po odnotomniku M. Morozova proporcii perevoda "Gamleta" takovy: - Dejstvie pod otkrytym nebom - 21,85 s. (21,4%); - I akt - 22,14 s. (21,7%). Raznost' 0,3%. - Dejstvie v zale zamka - 49,54 s. (48,5%); - II akt - 48,95 s. (47,9%). Raznost' 0,6%. - Dejstvie v komnatah - 30,71 s. (30,1%); - III akt - 31,01 s. (30,4%). Raznost' 0,3%. - Vse dejstvie v zamke - 80,25 s. (78,6%); - II i III akt - 79,96 s. (78,3%). Raznost' 0,3%. Otnoshenie II akta k III aktu, a takzhe dejstviya v zale zamka k dejstviyu v komnatah blizko k chislu zolotogo secheniya: 1,618... (V nashem sluchae 1,6.) Obratimsya teper' k anglijskomu tekstu. My proanalizirovali ego proporcii po dvum parametram - kolichestvu slov i chislu tipografskih znakov. Otkloneniya ot formul'nyh znachenij zolotoj proporcii bol'she po slovam, chem po znakam. Skazhem, otnoshenie II k III aktu po slovam ravno 1,607, a po znakam 1,6181... Statistika po kolichestvu slov ne mozhet byt' nadezhnym pokazatelem. Srednyaya dlina slova, vzyatogo vmeste so znakami prepinaniya, no bez probelov, kolebletsya ot 4,6 znaka (1 scena IV akta i 1 scena IV akta po tradicionnomu deleniyu teksta) do 4,2 znaka (2 scena III akta, a po tradicionnoj razbivke 6 scena IV akta). Rashozhdenie s chislom zolotogo secheniya po slovam zdes' ves'ma sushchestvenno (odna sotaya, to est' 1%), zato po znakam - menee odnoj desyatitysyachnoj. V poslednem sluchae tochnost' proporcii otdaet esli ne mistikoj, to uzh tochno vidom schastlivogo loterejnogo bileta. Razdeliv summu znakov II akta na osnovnoe chislo zolotogo secheniya (1,618...), poluchaem 42 743 znaka, a real'no v III akte 42 745 znakov. Znachit, dlya ideal'nogo rezul'tata dostatochno ubrat' paru vosklicanij "O!" (ili vsego dve zapyatye). |to, konechno, - sluchaj. No sluchaj zakonomernyj. Vprochem, v drugom meste nam pomogla imenno prostaya sluchajnost', to est' obyknovennoe vezenie. Po perevodu M. Morozova dlina vsej p'esy otnositsya k scenam, dejstvie kotoryh proishodit v zamke, kak sqrt(F) : 1, to est' koren' iz chisla zolotogo secheniya (sqrt(1,618034...)) k edinice, ili kak ploshchad' kvadrata k ploshchadi vpisannogo kruga (4 : pi). |to zastavilo menya obratit' vnimanie na to, chto v anglijskom originale vsya p'esa otnositsya k dejstviyu v zale zamka kak sqrt(F^3) : 1. (Otklonenie menee 30 znakov, ili menee 0,0008.) Pered nami proporcional'nyj kalambur na temu zolotogo secheniya, kotoryj my i privedem po formul'nym, to est' ideal'nym ego znacheniyam (s okrugleniem lish' pyatogo znaka po zapyatoj):
a = I akt = dejstvie pod otkrytym nebom = 21,38486%; b = II akt = dejstvie v zale zamka = 48,58683%; s = III akt = dejstvie v komnatah = 30,02831%.
Otmetim, chto
gde F i 1 : F - chisla zolotogo secheniya.
Real'no zhe po anglijskomu tekstu: a = dejstvie pod otkrytym nebom = 21,122%. I akt = 21,915%. Raznost' 0,793%. Otklonenie ot formul'nogo: - 0,263% i + 0,53%. b = dejstvie v zale zamka = 48,568%. II akt = 48,258%. Raznost' 0,31%. Otklonenie ot formul'nogo: - 0,019% i - 0,202%. s = dejstvie v komnatah = 30,31%. III akt = 29,827%. Raznost' 0,487%. Otklonenie ot formul'nogo: + 0,282% i - 0,202%. Pri etom proporcii teksta, vzyatye po kolichestvu pechatnyh znakov (bez probelov), takovy {Razumeetsya, kolichestvo pechatnyh znakov teksta ne mozhet byt' absolyutnym pokazatelem. Poet ne izmeryaet dlinu dyhaniya bukvami (skorej uzh slogami i udareniyami). K tomu zhe vremya dejstviya ne svoditsya k odnomu tol'ko proizneseniyu tekstov. No, esli vvodit' popravku na velichinu neverbal'nogo dejstviya, chislo tipografskih znakov - vpolne nadezhnyj pokazatel' dlya proporcional'nogo issledovaniya. Osobenno esli eto kasaetsya krupnyh poeticheskih, dramaticheskih i prozaicheskih form.}: Statistika po anglijskomu tekstu 1 - esplanada pered zamkom - 1409 slov; 6452 znaka 2 - zal v zamke - 2175 9713 3 - komnata Poloniya - 1121 4987 4 - esplanada - 767 3465 5 - dvor zamka - 1540 6790 Vsego v I akte 7012 slov i 31407 znakov (bez probelov) 1 - komnata Poloniya - 1018 4415 2 - zal v zamke - 4989 22549 3 - zal v zamke - 1607 7175 4 - zal v zamke - 3328 14946 5 - komnata korolya - 831 3669 6 - komnata korolevy - 1872 8263 7 - komnata korolya - 396 1821 8 - komnata Gamleta - 254 1126 9 - komnata korolya - 597 2723 10 - ravnina - 553 2473 Vsego vo II akte 15 445 slov i 69160 znakov (bez probelov). 1 - komnata korolya - 1721 7817 2 - komnata Goracio - 309 1308 3 - komnata korolya - 1662 7309 4 - kladbishche - 2514 11090 5 - zal v zamke - 3408 15221 Vsego v III akte 9614 slov i 42 745 znakov (bez probelov). Vsego v tekste 32 071 slovo i 143 312 znakov. Svedem rezul'taty v tablicu, chtoby naglyadno pokazat' otklonenie ot formul'nyh znachenij zolotogo secheniya: I akt II akt III akt Vsego Vsego Otkl. znakov v% v% Priroda 16707 2473 11090 30270 21,122 -0,263 Zal 9713 44670 15221 69604 48,568 -0,019 Komnaty 4987 22017 16434 43438 30,31 +0,282 Vsego znakov 31407 69160 42745 143312 100% Vsego v % 21,915 48,258 29,827 100% Otkl. v % +0,53 -0,328 -0,202 My imeem delo s tem, chto v nauke prinyato nazyvat' netrivial'nymi sootvetstviyami. CHtoby v etom ubedit'sya, dostatochno sravnit' rezul'taty po vertikali s rezul'tatami po gorizontali. Oni na udivlenie blizki. V I akte "lishnih" tol'ko 0,53% teksta, a v sootvetstvuyushchem emu po proporcii dejstvii pod otkrytym nebom obnaruzhivaetsya nehvatka v 0,263%. Vo II akte do formul'nogo absolyuta nedostaet 0,328% teksta, i v parallel'nyh po proporcii scenah v zale takzhe ziyaet nehvatka (hotya i edva zametnaya, vsego v 0,019%). V III akte ne hvataet 0,202%, a v summe dejstviya, proishodyashchego v komnatah, izlishek v 0,282%. YAvnoe i vryad li sluchajnoe ziyanie (dve "dyry" prakticheski odnogo diametra) obnaruzhivaetsya v proporcional'no neparallel'nyh drug drugu III akte (ne hvataet 0,202%) i v summe dejstviya na prirode (ona men'she formul'noj na 0,263%). Raznica diametra etih "dyr" sostavlyaet 0,0006 (shest' desyatitysyachnyh). Esli vsya p'esa shla chetyre chasa, to eto devyat' sekund. Rezonno predpolozhit', chto rech' idet ne o dvuh, a ob odnom propuske teksta. Nahoditsya on v III akte, i propushchennoe dejstvie proishodilo na prirode. Nalico sistema: kakie-to utraty, ne prevyshayushchie 0,3% ot vsego teksta, est' vo II akte (dejstvie v zale) i v III akte (dejstvie na prirode). Lyuboj hudozhestvennyj tekst "dyshit" otnositel'no garmonicheskoj svoej formuly i v tom sluchae, kogda avtor metodami tvorcheskoj raboty napominaet pushkinskogo Sal'eri, soznatel'no orientirovavshegosya na nekuyu algebraicheskuyu formulu, i v tom, kogda my imeem delo s SHekspirom, u kotorogo genial'noe chuvstvo garmonii voploshchaetsya v kongenial'nom hudozhestvennom proizvedenii bezo vsyakih dopolnitel'nyh "izmerenij". Tochnogo sovpadeniya proporcij s ideal'nymi ne mozhet byt' hotya by potomu, chto zolotye chisla irracional'ny i otnosheniem celyh chisel ne vyrazhayutsya. Odnako interesno ustanovit' predely dyhaniya teksta. My mogli ozhidat', chto imenno v proporciyah raznyh prostranstv pogreshnost' dolzhna byt' bol'she, chem v proporciyah aktov, ved' v pervom sluchae my imeem delo ne s nepreryvnym, a s diskretnym dejstviem. Oshibka pri slozhenii opredelyaetsya ne neumeniem poeta schitat', a tem, chto hudozhnik, kak i lyuboj chelovek, - sistema otkrytaya, izmenchivaya v svoem fiziologicheskom i dushevnom samochuvstvii, podverzhennaya vliyaniyu zemnyh stihij i kosmosa. Nashe vnutrennee vremya to rastyagivaetsya, to ubystryaetsya, i v zavisimosti ot etogo ne tol'ko verbal'nyj tekst SHekspira ili Pushkina, no i muzykal'nyj tekst Mocarta mozhet "dyshat'". V "Gamlete" amplituda dyhaniya anglijskogo teksta +0,003, no v real'nosti ona mogla byt' i na poryadok men'she, ved' krome antropomorfnyh i kosmotropnyh sboev, opredelyayushchih dyhanie novorozhdennogo teksta, est' i drugie prichiny - sugubo tekstologicheskie. Vo II akte nedostayushchie 0,328% teksta - eto, ochevidno, nedostayushchee vremya pantomimy, razygrannoj brodyachimi akterami. Poskol'ku nevozmozhno perebrosit' izbytok teksta tuda, gde oshchutim ego nedostatok, my dolzhny snachala vzyat' za osnovu tekst I akta: 31 407 ego nabornyh znakov dolzhny sootvetstvovat' ne 21,915%, no formul'nym 21,385%. Togda 1% sootvetstvuet 1468,65 uslovnogo znaka. Vo II akte dolzhno byt' 71 357 uslovnyh znakov, iz kotoryh 69 160 tekstovye, a 2197 znakov "nemye". ("Nemoj" znak - eto vremennoj pokazatel' tekstovogo ekvivalenta v teh mestah p'esy, gde dejstvie idet bez slov.) V III akte po proporcii zolotogo secheniya 44 101 uslovnyj znak. Dobavka sostavila 1358 "nemyh" znakov. 2197 : 1358 = 1,618, pri F = (sqrt(5) + 1):2 = 1,618. |to "strannoe sblizhenie" obnaruzhivaet, mozhet byt', i mnimuyu, no vse zhe ves'ma zagadochnuyu svyaz' mezhdu tekstom, opisyvayushchim pantomimu, i vremenem ee voploshcheniya na scene. Tekst s pereskazom pantomimy mog ne prinadlezhat' samomu SHekspiru, a byt' vsego lish' vol'nym izlozheniem dejstviya na scene, sdelannym piratom-stenografom. V prizhiznennyh izdaniyah "Gamleta", poyavivshihsya, vidimo, piratskim obrazom, v pantomime 200 znakov (Pervaya kvarta) i 515 znakov (Vtoraya kvarta). S proporcional'noj tochki zreniya eti chisla sluchajny. No v Pervom folio 581 znak. My uchityvali eti znaki pri opredelenii proporcii II i III aktov, i proporciya okazalas' "zolotoj", da eshche i na udivlenie vysokoj proby: otklonenie ot ideal'nogo - lish' na chetvertom znake po zapyatoj. No esli prostaya statistika privodit k stol' sochnym matematicheskim mirazham, znachit, tekst s pereskazom pantomimy v Pervom folio i vpryam' _znakovyj_. Pochemu? Da potomu, chto garmoniya zolotoj proporcii govorit o prinadlezhnosti ego peru avtora, to est' SHekspiru. Ne bud' v etom pereskaze 581 znaka, proporciya II i III akta ushla by ot zolotoj. Schitat' ustojchivuyu garmonicheskuyu svyaz' sluchajnost'yu u nas net osnovanij. O tom zhe svidetel'stvuet korrelyaciya vsej dliny pantomimy iz II akta s razmerami tekstovoj lakuny v III akte. |to proporciya (2,05 : 1), blizkaya k otnosheniyu vsego teksta "Gamleta" ko II aktu(sqrt(F^3) : 1 = 2,06 : 1). Netrudno podschitat', chto pri chetyrehchasovom spektakle pantomima brodyachih akterov byla (v ideal'nom s matematicheskoj tochki zreniya sluchae) na 3 minuty 35 sekund bol'she, chem ee tekstovyj ekvivalent. Pri prochtenii vsluh ona zvuchit chut' men'she minuty, no nastol'ko nasyshchena dejstviem, chto vryad li ee mozhno sygrat' bez poter' i akterskoj speshki, skazhem, za dve minuty. Esli nashi raschety korrektny, vsya pantomima ravnyalas' 1,89% vsego dejstviya tragedii i dlilas' okolo 4 minut 30 sekund. (Ili chut' men'she, esli spektakl' shel menee chetyreh chasov.) Teper' rassmotrim lakunu, nahodyashchuyusya v III akte. Vidimo, eto ta zhe lakuna, chto obnaruzhivaetsya i v dejstvii pod otkrytym nebom. Summa dejstviya na prirode v neskorrektirovannom tekste men'she formul'noj na 0,263%, a v III akte na 0,202%. Esli ishodit' iz dliny skorrektirovannogo III akta, eto - 1356 uslovnyh znakov tekstovogo ekvivalenta, chto pri chetyrehchasovom dejstvii ravno 2 minutam 10 sekundam akterskoj raboty. Kolichestvennoe sovpadenie dvuh etih "nehvatok" (raznica vsego 0,06%) slishkom znamenatel'no, chtoby ne obratit' na nego vnimaniya. Nikakoj pantomimy v III akte (da eshche i v scene na prirode!) byt' ne moglo. V III akte lish' odna scena pod otkrytym nebom - eto scena na kladbishche. Konechno, pohoronnaya processiya dolzhna byla vhodit' medlenno, no Gamlet kommentiruet ee poyavlenie i tem kompensiruet vozmozhnuyu pauzu v dejstvii. Polagayu, chto vremennoj (no ne verbal'nyj) probel v III akte - eto intermediya, ne vpisannaya SHekspirom v tekst (kak, vprochem, i mnogie melkie remarki, bez kotoryh v suflerskom spiske mozhno bylo obojtis'). Itak, dva usloviya: iskomaya intermediya dolzhna nahodit'sya v III akte (po nashemu deleniyu) i dejstvie ee dolzhno proishodit' na prirode. Po-moemu, est' tol'ko odna vozmozhnost' vypolnit' oba eti usloviya. Esli sledovat' logike shekspirovskogo teksta, Ofeliya ne utonula. Ee utopili po ukazaniyu korolya. Intermediya v III akte i dolzhna izobrazhat' ubijstvo Ofelii ili to, chto nazyvaetsya "neokazaniem pomoshchi". Esli takaya intermediya byla, to ona predshestvovala vtoroj scene, gde svezheispechennyj dushegub vstrechaetsya glazami s professional'nym dushegubom piratom. Posle pantomimy dolzhny po-inomu zazvuchat' i slova korolya: "Nu, teper' vasha sovest' dolzhna skrepit' pechat'yu moe opravdanie, i vy dolzhny pomestit' menya v vashem serdce kak druga. Ved' vy slyshali razumnym uhom, chto tot, kotoryj ubil vashego blagorodnogo otca, zamyshlyal i protiv moej zhizni". {Perevod M. Morozova.) Esli do togo, kak razdalsya etot golos, my uvideli, chto sdelali s Ofeliej, to vsya scena, v kotoroj Klavdij, kak mal'chishku, obstavlyaet Laerta, - budet po-inomu smotret'sya. (V konce etoj sceny i pridet koroleva, chtoby so slov ubijc rasskazat', kak prekrasna byla Ofeliya v vodah ruch'ya, kak pela ona tam svoi pesenki, i kak otyazhelevshee ot vody plat'e uvoloklo ee na dno.) Prizhiznennye izdaniya "Gamleta" (1603 i 1604, 1609 i 1611 gg.) byli lisheny razbivki na akty i sceny. Spisok dejstvuyushchih lic poyavlyaetsya tol'ko v izdanii 1709 g. (pod redakciej Rou). Remarki prizhiznennyh izdanij ochen' lakonichny i svidetel'stvuyut ne o tom, chto samogo SHekspira ne interesovalo, kak ego izdayut, a, skoree, o tom, chto publikaciya "Gamleta", ne prinesya dohoda, mogla byt' ispol'zovana rezhisserami-konkurentami. V etom sluchae ona podryvala kassovyj uspeh postanovki v "Globuse". Esli eto tak, to pervye prizhiznennye izdaniya byli piratskimi, i tol'ko posmertnoe izdanie 1623 g., v kotorom, kak my vyyasnili, proporcii pantomimy sootvetstvuyut proporciyam I i II aktov, sdelano po spisku suflerskoj rukopisi. V suflerskom spiske opisanie slozhnoj pantomimy (etogo plasticheskogo pereskaza p'esy "Ubijstvo Gonzago") bylo neobhodimo, a opisanie prostoj i korotkoj intermedii ubijstva Ofelii vpolne moglo otsutstvovat'. Odnako imenno logika razvitiya teksta (ravno kak i logika shekspirovskoj dramaturgii) privodit nas k vyvodu o nasil'stvennoj (po prikazu korolya) smerti Ofelii. Intermediya vypala, i prozrachnyj zamysel velikogo dramaturga ne byl ponyat ni rezhisserami, ni shekspirovedami, ni zritelem. Vosstanovlenie intermedii, pokazyvayushchej gibel' Ofelii, v III akte opravdano, na moj vzglyad, proporcional'no i tekstologicheski. Eshche raz ogovorimsya, chto SHekspir ne poveryal garmonii algebroj. Prosto ego muza (i ego lira) sami byli nastroeny na garmonicheskuyu volnu. Verbal'nyj podschet i daet nam lish' verbal'nuyu sostavlyayushchuyu shekspirovskoj tragedii. My v etom i ubedilis', proizvedya korrektirovku proporcij dobavleniem vremeni pantomimy vo II akte i vosstanovleniem intermedii III akta. Razumeetsya, sovershenno neobyazatel'no, chto real'nye proporcii shekspirovskoj tragedii tochno sootvetstvovali formul'nym. Poet ne proschityvaet garmoniyu, on dyshit eyu. Oshibka pushkinskogo Sal'eri v tom, chto on, raz®yav muzyku, "kak trup", voobrazil, chto struktural'noe znanie sposobno nauchit', kak sozdavat' mocartovskie shedevry. Hudozhestvennyj tekst "dyshit", dazhe esli on odet v kamen'. (Tak v domongol'skom drevnerusskom zodchestve norma stroitel'nyh dopuskov - otklonenie ot sazhennyh znachenij na dve-tri tysyachnyh.) Vvedya popravku na "nemye" znaki, my lish' neskol'ko skorrektirovali rezul'taty, poluchennye po proporciyam perevoda M. Morozova i anglijskogo teksta. Dlya primera: zolotoe sechenie vsego teksta po russkomu prozaicheskomu perevodu prihoditsya na remarku "Vhodit Prizrak" (6 scena II akta po nashej razbivke i 4 scena III akta po tradicionnoj). |to poslednee poyavlenie Prizraka v p'ese. Po skorrektirovannomu originalu zolotoe sechenie prihoditsya na slova Prizraka: "O, step between her and her fighting soul..." Raznica tut, vprochem, vsego v desyat' strok (337 znakov). I eshche neskol'ko soobrazhenij. Srednevekovyj obraz mira - Krug Zemnoj, a |l'sinorskij zamok v plane predstavlyaet soboj kvadrat. No sqrt(F) lish' na odnu tysyachnuyu (pogreshnost', sopostavimaya s pogreshnost'yu nashih izmerenij) otlichaetsya ot proporcii 4 : pi (otnoshenie perimetra kvadrata k dline vpisannoj okruzhnosti, a takzhe ploshchadi kvadrata k ploshchadi vpisannogo kruga). |to znachit, chto poputno (i vryad li otdavaya sebe v etom otchet) SHekspir reshaet samuyu znamenituyu iz matematicheskih zadach Srednevekov'ya - zadachu o kvadrature kruga. Itak, dlina vsej p'esy (so scenami na prirode) otnositsya k scenam, dejstvie kotoryh proishodit pod kryshej zamka, kak sqrt(F) : 1, ili kak 4 : pi, to est' kak ploshchad' kvadrata k ploshchadi vpisannogo v nego kruga. Znachit, Krug Zemnoj kvadraten ("Daniya - tyur'ma!"), a kvadratnyj zamok krugl. Ili kvadrat zaklyuchaet v sebe krug, kotoryj po ploshchadi... bol'she kvadrata. Ob etom mozhno skazat' slovami Gamleta: "|poha svihnulas'!" Geometriya SHekspira absurdna, no v ee sumasshestvii yavno "est' logika". I eta logika napryamuyu korreliruet s logikoj shekspirovskoj dramaturgii. Podytozhim. S proporcional'noj tochki zreniya, unikal'nost' formuly SHekspira v tom, chto tekst delitsya po zolotomu secheniyu na tri otrezka, a ne na dva, chto delaetsya obychno pri rabote s zolotymi otnosheniyami. Vprochem, delenie na tri otrezka, hotya i po drugoj modifikacii toj zhe formuly zolotogo secheniya, nedavno bylo obnaruzheno v proporciyah hrama Pokrova na Nerli I.SH. SHevelevym, ch'ya rabota sejchas tol'ko gotovitsya k pechati. V osnovu proporcional'noj garmonii "Gamleta" polozheny i klassicheskoe zolotoe sechenie, i proizvodnaya ot "zolotoj" formuly, edakoe "kornevoe zoloto" (sm. formuly, opisyvayushchie summu matematicheskih uslovij shekspirovskoj garmonii). Propoporcional'noe issledovanie teksta tragedii privelo k rezul'tatu, svidetel'stvuyushchemu, chto v "Gamlete" ne pyat' aktov, a tri. A scen rovno stol'ko, skol'ko bylo vydeleno eshche v izdanii 1676 g., - dvadcat'. (Po pyat' v krajnih aktah, i desyat' v central'nom. Takoe vpechatlenie, chto dramaturg i rezhisser SHekspir zagibal pal'cy, kogda pisal, a posle stavil "Gamleta".) V "Globuse" scena vdavalas' v zritel'nyj zal, vklinivayas' v parter. Vyskazhem predpolozhenie, chto pri postanovke "Gamleta" scena v "Globuse" byla podelena na tri chasti. Dejstvie "pod otkrytym nebom" proishodilo, nado polagat', na avanscene, to est' i vpryam' pod otkrytym nebom, ved' kryshi u "Globusa" ne bylo. Srednyaya (i osnovnaya) chast' sceny, na kotoroj proishodit bolee 48% vsego dejstviya, eto - zal zamka. Zadnik sceny, vidimo, byl razdelen na dva prostranstva (nalichie peregorodki mezhdu nimi vovse ne obyazatel'no). |ti dva prostranstva - komnaty zamka. Ponyatno, pochemu v shekspirovskom teatre ne bylo zanavesa. Ochevidno, dejstvie shlo v osveshchennom prostranstve sceny, a v zatemnennom v eto vremya rabochie mogli menyat' dekoracii. Pri takoj scenografii zanaves prosto ne nuzhen. V kazhdom iz treh aktov predstavleny vse tri tipa scenicheskogo prostranstva. V pervyh treh scenah pervogo akta proishodit posledovatel'noe obzhivanie prostranstva (ot bol'shego k men'shemu: esplanada - zal v zamke - komnata Poloniya). I lish' malyj klochok prostranstva ostaetsya zakrytym do serediny vsej p'esy (do 5 sceny II akta po nashej razbivke, sootvetstvuyushchej 3 scene III akta po tradicionnomu chleneniyu). |to prostranstvo tajny korolya, prostranstvo ego komnaty, a znachit, i samoj ego dushi. SHekspir priberegaet eto prostranstvo do sroka i otkryvaet volshebnym klyuchom svoej dramaturgii v tot moment, kogda korol' sbrasyvaet masku - otdaet prikaz o vysylke Gamleta v Angliyu i pytaetsya molit'sya. Sceny raspredelyayutsya po principu odnorodnosti scenicheskogo prostranstva v toj zhe proporcii, chto i po aktam: - na prirode - 5 scen; - v komnatah - 10 scen; - v zale zamka - 5 scen. Otlichie lish' v tom, chto proporcional'no sceny v komnatah sootvetstvuyut proporciyam II akta, a sceny v zale - proporciyam III akta. Polagayu, esli by issledovateli obratili vnimanie na etu simmetriyu (i etot hiazm), tekst "Gamleta" davno byl by razdelen v sootvetstvii s zamyslom samogo dramaturga na tri akta {Vprochem, M. Morozov soobshchaet, chto v postanovke V.M. Bejbutova v Voronezhe (1941 g.) i v Vitebske (1946 g.) "Gamlet" byl razdelen imenno na tri akta (Morozov, s. 442).}. Esli verit' podskazke Gamleta (v scene ob®yasneniya s korolevoj), universal'noj meroj dlya SHekspira bylo ne proiznesennoe slovo, a scenicheskoe vremya v edinicah sobstvennogo pul'sa poeta. Uil'yam SHEKSPIR Prizval by izbavitel'nicu-smert': Na chto mne mirazhi zemnoj yudoli I nishchie, kotorym umeret' V ob®yatiyah nepravdy i nevoli, I po deshevke skuplennaya chest', I devstvo, chto rastlili dlya prodazhi, I pravdoyu pripravlennaya lest', I sila u bessiliya na strazhe, Kosnoyazych'e nedomasterstva Pod pristal'nym priglyadom idiota, I prostota, chto huzhe vorovstva, I duh tyur'my, zabavnyj dlya kogo-to... Prizval by smert', dopiv bokal do dna, No kak ty s etim spravish'sya odna? Perevel A. CH. To be, or not to be... To be, or not to be: that is the question: Whether 'tis nobler in the mind to suffer The slings and arrows of outrageous fortune, Or to take arms against a sea of troubles, And by opposing end them? To die: to sleep; No more; and, by a sleep to say we end The heart-ache and the thousand natural shocks That flesh is heir to, 'tis a consummation Devoutly to be wish'd. To die, to sleep; To sleep: perchance to dream: ay, there 's the rub; For in that sleep of death what dreams may come When we have shuffled off this mortal coil, Must give us pause. There 's the respect That makes calamity of so long life; For who would bear the whips and scorns of time, The oppressor's wrong, the proud man's contumely, The pangs of dispriz'd love, the law's delay, The insolence of office, and the spurns That patient merit of the unworthy takes, When he himself might his quietus make With a bare bodkin? who would fardels bear, To grunt and sweat under a weary life, But that the dread of something after death, The undiscover'd country from whose bourn No traveller returns, puzzles the will, And makes us rather bear those ills we have Than fly to others that we know not of? Thus conscience does make cowards of us all; And thus the native hue of resolution Is sicklied o'er with the pale cast of thought, And enterprises of great pith and moment With this regard their currents turn awry, And lose the name of action. Soft you now! The fair Ophelia! Nymph, in thy orisons Be all my sins remember'd. Byt' ili ne byt', vot v chem vopros. Blagorodnee li molcha terpet' prashchi i strely yarostnoj sud'by, ili podnyat' oruzhie protiv morya bedstvij i v bor'be pokonchit' s nimi? Umeret' - usnut' - ne bolee togo. I podumat' tol'ko, chto etim snom zakonchitsya bol' serdca i tysyacha zhiznennyh udarov, yavlyayushchihsya udelom ploti, - ved' eto konec, kotorogo mozhno ot vsej dushi pozhelat'! Umeret'. Usnut'. Usnut', mozhet byt', videt' sny; da, vot v chem prepyatstvie. Ibo v etom smertnom sne kakie nam mogut prisnit'sya sny, kogda my sbrosim mertvyj uzel suety zemnoj? Mysl' ob etom zastavlyaet nas ostanovit'sya. Vot prichina, kotoraya vynuzhdaet nas perenosit' bedstviya stol' dolgoj zhizni, nespravedlivosti ugnetatelya, prezrenie gordeca, bol' otvergnutoj lyubvi, provolochku v sudah, naglost' chinovnikov i udary, kotorye terpelivoe dostoinstvo poluchaet ot nedostojnyh, esli by mozhno bylo samomu proizvesti raschet prostym kinzhalom? Kto by stal tashchit' na sebe bremya, kryahtya i poteya pod tyazhest'yu iznuritel'noj zhizni, esli by ne strah chego-to posle smerti - neotkrytaya strana, iz predelov kotoroj ne vozvrashchaetsya ni odin puteshestvennik, - ne smushchal by nashu volyu i ne zastavlyal by skoree soglashat'sya perenosit' te bedstviya, kotorye my ispytyvaem, chem speshit' k drugim, o kotoryh my nichego ne znaem? Tak soznanie delaet nas vseh trusami; i tak vrozhdennyj cvet reshimosti pokryvaetsya boleznenno-blednym ottenkom mysli, i predpriyatiya bol'shogo razmaha i znachitel'nosti v silu etogo povorachivayut v storonu svoe techenie i teryayut imya dejstviya. No tishe! Prekrasnaya Ofeliya! Nimfa, v tvoih molitvah da budut pomyanuty vse moi grehi! Perevod Mihaila Morozova Tradicionnoe delenie teksta "GAMLETA" po izdaniyu 1676 g. I akt Scena 1 - esplanada pered zamkom Scena 2 - zal v zamke Scena 3 - komnata Scena 4 - esplanada Scena 5 - dvor zamka II akt Scena 1 - komnata Scena 2 - zal v zamke III akt Scena 1 - zal v zamke Scena 2 - zal v zamke Scena 3 - komnata Scena 4 - komnata IV akt Scena 1 - komnata Scena 2 - komnata Scena 3 - komnata Scena 4 - ravnina Scena 5 - komnata Scena 6 - komnata Scena 7 - komnata V akt Scena 1 - kladbishche Scena 2 - zal v zamke

Last-modified: Tue, 04 Apr 2006 19:00:43 GMT
Ocenite etot tekst: