---------------------------------------------------------------
53
- . , . *
. , .
. . .
. .
"" , 1966
OCR: .
---------------------------------------------------------------
: --
, , ,
- ,
. . , " "
- :
-- ! . ,
, ,
( ) ,--
, .
. . , ,
, ,
-- ,
, . ,
. !
, ; ,
"
, ,-- .
,
. .
. , - (
), , (
!), ,
, , .
, ,
".
. .
( )
-- ?
-- !
" ". ............. --
-- , ?
-- " ".
-- ?!
-- !
-- .
-- , , .
-- , ... , ?
-- .
...
-- , !
.
... ,
,
. --
--
.
. , " "
. ( :
; "",
-- "". - ,
. -
. .
, .)
. ( !),
, , ,
, , :
, , ,
. ,
"The Journal of Jocular Physics", " ,
"", --
. "",
,
.
? --
" " --
. " ", "
" " " "
-- , . " " ,
, , ,
: " ", . "",
1966, . ., ., . 0000000000 ."
""
-- . ,
. - ,
. ,
" -- ", , ,
,
, : "-, ...
, -, ?"
, , ,
,
. . :
, ;
,
;
- .
( ?),
. ,
, ,
, ,
- ( ,
, , - ), ,
, .
.
. - ,
. -
- : ) , ) , )
.
.
"" , .
"" , .
"", .
, , , , ,
, .
, ,
, , ,
.
, .
, .
. ,
- , ,
, .
, ,
. , ,
. . ,
. ( , ,
, .)
.
( ).
,
. . .
. . . , . .
, . . , . . , . . , . .
, . . , . . , . . , . ,
. . -, . . - . .
.
,
, : " .
".
- , ?
: . , .
,
,
, (!)
.
, 1965 .
. . . .
:
. * .
- ... . . ... . , .
, . -. .
-. ... . . -.
( ) ... . . .
... . . .
- ...
"
20-
, , ,
. , ,
, -
. , , , "",
, "", .
.
" ,
, , , , , ,
, ".
,
, "".
.
, , , , -,
=2,
,
.
, ,
.
, - ,
, .
" ",
. .
.
, " "
, ,
" " ,
.
,
,
, , -. " "
,
. " " ,
.
" "
, , " ",
, " ",
, -
. " ".
,
, ,
. ,
.
, , . , , ,
, " ", ,
, - " ".
, ,
, -
. ,
- ; , "" .
, ""
,
"
".
. "" ,
, "" ,
. - ,
.
, , .
, , , ,
, , " " , -
, , . ,
, ,
, - .
.
, ,
. , ,
"" ; ,
. ,
, ,
. ,
. ,
, ,
,
. ? :
) (
- ),
) ( ),
) ( ).
,
, ,
, , ,
. .
, .
.
,
, ,
,
-, ,
, ...
"" ""
"" "". . -
, . "
" , - .
,
-. -
, ,
- . -
.
- ,
,
" ", , ,
- , "".
" " .
.
, , , .
, . -
, , ; ,
, .
, ,
?
,
,
. , ,
, ,
. ,
.
, , ,
, .
.
, ,
- ,
, .
, .
, , .
,
,
?
,
. ,
.
. ,
.
.
, .
, ,
, ,
.
. ,
, .
, ;
, ; ,
, , ,
, ,
.
,
. ,
, .
,
. ,
,
,
,
. , --
, , ,
, .
. "" ,
, , ,
- , . , -
, , - ,
. " .
.
. ,
. , a
.
,
. - ,
- . ,
( ),
, .
.
,
. ,
" ;
, .
, , ,
, .
.
.
? , , ?
- , . ,
, ,
. ,
100 49 . ,
, -39, 59 99 .
, 51
. -
, - !
, , , ,
, ,
,
500 . ? !
,
,
.
, ,
- . ,
, .
, .
, ,
, - ,
, .
: ,
- ,
, . ,
, ,
. , ,
, . , , ,
, .
, -, , -
! -
, , ,
: -
, .
" ", ,
, , ,
- .
? , , ,
, - "
" . , .
, ,
-
.
"Physics Today", 4, No 11 (1951)
(. - -, "
". 1941 .
.)
- ,
.
( 1882
), 1925 , :
- *, : "
? , ?" -
: " : , ,
. , ".
* (1856-1927) - .
(1862-1943) .
- , -? - . - .
.
: -
.
. : "
".
- , - . .
( . )
|
|
|
|
1958 |
,
|
|
|
|
|
|
|
|
1958 |
, |
|
|
|
|
1958-1959 |
, |
|
|
|
|
1959 |
, ... |
|
|
|
! |
1959-1960 |
--- I ! ! |
-... .
.
-
, ,
, . ""
,
, ,
. ,
.
,
- .
- , ,
, ...
. : "
, , ".
, ...
, ,
.
, . ,
- . .
, ,
, ,
, , ,
. ,
,
* (, , )
" ". ""
, ,
, , -
. -, ,
.
.
,
.
, ,
.
, .
,
,
.
, . ,
^ .
. , -
. ,
, . , ,
, , ,
, .
, , ,
, .
, -.
, , .
- . , ,
.
"W Transactions on Audio", 9, No (1961).
(. - "
".)
* * * *
, .
, ,
,
- : "- !" - .
* * * *
70- ,
* * * *
,- ,-
, ...
?!
* * * *
,
,
.
,
, - 110 220 - ,
.
,
.- , ,- . - ,
110 , - ", !" -
220, .
,
: " , , ,
440!"
.
(Fells
leo), .
,
.
1.
1. .
, .
. , - .
2. .
. ,
- , .
,
3. - . ,
. ,
. , .
, .
, . ,
, , .
,
.
,
.
4. . ,
. ,
,
. ,
, , .
5. .. ,
, .
. [1],
,
.
.
6. , -.
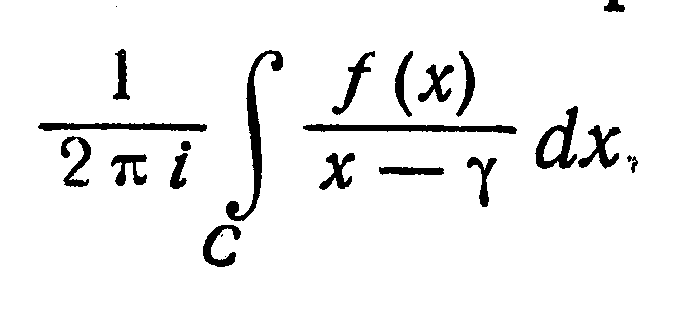
f(x)
- , , - ,
. /(),
.
2.
1. . ,
. ,
- .
.
2. . ,
, . .
3. .
[2]. ,
, .
, .
3.
1. .
, , .
2. . - .
, .
, .
1. . S e i f t, W. h 1 f a 11, Lehrbuch der Topologie, 1934.
2. . . t h e, R. F. h e r, Rev. Mod. Phys., 8, 82 (1936).
"The Journal of Irreproducible Results", 8, No 2 (1959).
(. - , -.)
- , , ,
"
"Natur-wissenschaften". "
" , ,
, .
. , . , .
()
.
, ,
,
. , ,
, . ,
, 1/ , -
.
,
, 1/
. ,
,
( ),
( ), - (2/ - 1)
(Freiheitsgrade). ,
.
, T = -(2/-1)
(Grade). T = -273, , = 1/137.
. ,
.
"Naturwissenschaften", 19, No 2 (1931).
(. - -, .
--.
. - -, . ,
.
, . . -
, ,)
.
, ,
1961
-
, ,
.
, ,
, D-D D-.
,
. (, , .)
, 1000
, . , , ,
. ,
. , 1 50
, 1 - 100 . , 1
5 , ,
2500 2,5 . , ?
,
()?
.
. -
,
.
.
, .
.
. . -
, ,
, { ).
;
*:
- - .
, , , .
, ,
.
, .
, , -
.
, , ...
, .
,
.
, -
, .
--,
.
, .
... ! ? -
-, ...
,,
, .
?
? - , .
, .
, ,
X -
!
, . .
- ,
. ( )*,
, ,
. ,
- . ,
.
, ,
, ? -
. ,
, . ,
, .
( ).
?
* - ,
, , ,
... - .
:
- . ,
, 1038 , ,
,
- . ,
. 3 ... 1010
, 100 , ,
100 . ,
, ?
,
. , 2,4 ... 1040 ,
, .
. ,
- .
1042 , , ,
.
. 1000
SiCb -,
4% . ,
.
:
. , ,
, ,
.
:
4->4. ,
. .
: .
: . , ,
.
"Physics Today", 15, No 7 (1962).
(. - 1962 .
- .)
. .
[1, 2].
. , ,
.
.
. "" .
.
,
( ).
,
, ,
. ;
.
,
, ,
. ,
, , , ,
, " ".
.
( ) .
( ) ,
, . ,
, - ,
;
-, .
. "",
.
, , ,
,
.
. . .
"" ,
.
. .
, , ,
- ""
. , "" -
, "", , ,
.
. , ,
,
, , ,
.
. ,
. ,
,
(, , -),
,
.
( )
. .
, ,
,
, ,
, -
.
. , ,
,
.
:
(,
).
- .
, : " ...
( ) ...",
- ,
.
:
. ,
"", " ",
" " . .
.
.
, :
"", " ", " " "
". - ,
, ,
- ...
: " ( )
- ( )". 50%
,
.
.
( , )
, , , ,
, , , .
, ,
, , . . ,
, ,
, .
1. ( -
2. .)
"The Journal of Irreproducible Results", 7, No2 (1959). (. -
-, "The Journal
of Irreproducible Results" * M, -
-.)
( )
: "Professor Tomson will not meet his classes today"
( ).
""
"classes". , , , ,
, .
* Classes - , lasses - , asses - .
" " ("The Journal
of Irreproducible Results", 9, 1960)
, -
.
. ,
.
-
. .
1. . V(r) = e~r/r12.
) ,
.
) 12 ->.
2. .
, , , , ,
, .
3. . -,
, .
" - ", +1,
, -1, . ,
.
4. .
:
) , ;
) , .
5. . ,
-.
:
) ( - *, - ),
) (, ) ( -
),
) (, 2) ( , - ),
) (, ) ( , - ),
) (, ) ( - , - -).
6. .
- .
0,999 ,
.
, :
-, - -. -
, ,
.
7. .
.
8. .
,
"Physical Review".
,
,
, - .
* - 5 .
"The Journal of frreproducible Results", 7, No 2 (1959).
.
* * * *
. .
, .
* * * *
. ,
.
- ? - .
- , - .
- ?
- , , - .
- ?
- , , , - ,
.
:
- , ?
* * * *
:
* . .
... . -. ... .
* . . .
* . . , ... , ,
? *
- ,
. . - ,
. (
).
" , ..." ( ,
.)
" ". (
.)
" ..."
( , .)
" ..." ( .
30 .)
" ..." ( ,
.)
"..." ( , ...)
" ..." (
" .)
"
..." ( ,
, , .)
" ..." (
- , .)
" ,
". (
.)
"... ..." ( .)
" ". (,
, .)
"... ..." ( .)
".. . ..." ( .)
" ..." ( .)
"... ..." ( .)
"......" ( .)
"......" ( .)
" ..." ( .)
" ,
..." (
.)
" ..." (
)
", ,
..." ( -.)
" :
... (...) ... (...) ...
(...) ... (...) ,
, ..." (
.)
" ..." ( , .)
" ..." (
.)
" ..." ( "
.)
" , ..." ( ,
.)
" ..." (...)
" ,
..." (
, ,
.)
" ..." (
, ,
.)
"
". ( , ,
.)
- , ,
- -, , .
* * * *
, .
- ! - . -
, .
* * * *
,
.
, ,
.
:
) ,
;
) ,
,
;
) , ;
) , ,
;
) ,
;
) ,
, .
* * * *
, 26. 11
, :
.
,
. ,
,
,
. , , ,
(" ", " ", " " .
.), ("
", "
", " 10 X 15 " . .).
, ,
.
,
,
.
,
(
)
.
: 1)
; 2) ; 3)
; 4) .
, ,
-, .
, , .
,
, .
- - ,
.
-
. ,
,
.
. ,
-
. -
, ,
. , ,
, ,
,
. ,
, , (
) .
,
, . ,
" "
, . ,
,
.
.
. , ,
,
, .
, .
- .
. ,
, , ,
,
.
, .
(, " "), .
,
, (,
" ").
.
, (
) .
- -
,
.
,
. ,
,
. ,
,
, ,
. ,
, ,
.
,
.
,
. (
),
.
?
,
, ( ). ,
, , , ,
.
- ,
.
,
, ,
,
. ,
, ,
.
, "",
, "".
,
"", ,
"". .
8 12 , (
, ),
.
.
,
( ),
- ( ).
, ,
.
.
.
, .
, ,
.
( , ),
.
, -
.
.
1) (
).
2) "" .
3) ( !),
.
4) (
).
5) : . ( )
(
) . ,
, ,
. .
,
) !
.
"Proceedings of the IEEE", 51, No 4 (1963).
( -* , .)
. :
- , , , , ?
, :
- , , ?
- , .
? - "
- - ,
.
. .
,
, , 1960
-
.
.
, .
,
" "
, , 8
, ,
, ! " ,
, ", "
, ,
".
.
- "
", . : "
" " ".
. ,
, ,
. ., , ,
, , "". ,
,
, .
,
.
,
,
.
"3-2-1". ,
,
, , :
" , ",
. : " , ". (
:
.)
, , -
" ".
, ,
. ,
,
. "3-2-1",
. , , , ,
, . ,
, , : ", ,
. ,
". : " " , :
" , ".
"
", ,
. . ,
: , .
. ,
, , , - .
. : "
, ".
: ", , ,
,
, , ,
". .
.
,
" ".
( , , )
,
. ,
, ,
, "
, ,
" !" ,
. "
", ,
, -
. ,
. .
, , , "
". .
, ,
.
, , , , ,
. ,
", ", " ",
. " :
, !" - ,
, , .
, ,
, , - .
,
. ,
, ,
, ...
. - .
. , ,
.
- ,
. , ,
.
: " ".
:
- .
, ,
.
. .
-
, , .
...
.
: , -
. ,
: "
". : " "
( ).
" ".
, ,
.
: ", . .
, ". , 1)
( , -,
) 2)
.
" ".
"",
"".
(, , , ,
) , : " ,
". ( : !)
,
, ,
, , ,
. , ,
,
, ,
( , , )
, , ,
.
, , -
,
.
" ".
( , ) : "
- - ,
--,
,
". , : "
, .
, "*
, , ,
,
. ,
...
,
,
.
, ,
.
, . ,
,
, ,
, ,
- .
- ,
, : ",
, ? -",-
: " -, ,
-!"
Proc. of the International Conference on Nuclear Structure Kingston,
Kanada, 1960
(. - , ,
,)
* * * *
. - :
- . .
:
* * * *
. , .
, ,
.
* * * *
,
, : 24361.
* * * *
(1868-1953)
. ,
- "" . ,
, ,
* * * *
RCA-301 .
- 130 . .
, :
" -", : "RCA-301".
.
No 929
,
, ,
.
RCA-301
* * * *
,
,
. RCA-301 150
.
* * * *
, .
, , ,
. .
,
( ). -
, . ,
, . ,
, ,
, ,
,
.
,
, , -
. ,
. , ,
, (
). , ,
.
.
? "",
,
. ,
. , ,
.
( ) - ,
, ,
, , . ,
, , ,
.
-
? , ,
,
,
. -, , "",
- ,
, ?
? , ,
,
.
1. , .
, .
, , . , ,
-, ,
. ,
. ,
,
. ,
.
, , .
. ,
- ,
. .
, - , ,
.
2. .
, . ,
. , , ,
. ,
- ,
. ,
. , , , ,
, , , .
, ,
. , ,
? ,
,
, - .
3. , .
- ,
. .
.
. ,
,
. ,
,
, , ,
. .
( ). .
4. "
, , .
. .
.
5. . ,
, ,
. , ,
, - ,
. .
. ,
,
- .
, , , -
, .
,
. , .
6. ,
. ,
- ,
, ,
, .
7. . ,
. ,
. , ,
.
- .
. ,
. ,
. , ,
. , ,
. ,
, .
, .
, ,
,
,
. ,
,
. , .
8. .
. ,
, , (
).
, . ,
. ,
.
9. "". "" ", ,
, - .
.
, ,
,
, , ,
- . , ,
, ,
, , - .
, , ,
-.
, "" "",
"", ,
.
. ,
, ,
. ,
, , .
, "Physical Review"
, . , -
.
10. . ,
, , ,
. , ,
.
- "Physical Review".
-, .
.
.
160-180 . ,
, . ,
.
, ,
. ,
, - .
"Physics Today", 14, No 7 (1961).
- , R
: " ?".
~ ...
- , -
. - , .
- ? - .
.
- , .
" - ?" - :
" ". "
?" - "0 ,..".
, :
- , .
. .
, ,
. ,
, ,
"". .
. , .
.
,
.
, (
, , ).
, -
, .
,
- , .
( -
).
, .
, .
. ,
. , .
. ,
.
"The Journal of Irreproducible Results", 7. No2 (1959).
(. . - ,
.)
, ... , ,
.
.
- ,
. , ""
,
, .
,
.
,
, , .
, - "
" ,
-
,
, ,
, . ,
. , ,
,
. , :
" " " . XXIX".
: " 1927 . . ,
-, - -".
, " , ...",
,
. , -
, ,
, .
.
.
, ,
,
. ,
,
"", ,
. ,
, .
,
.
- ", , "
,
, .
, ,
,
,
. , ,
, , ,
.
,
.
,
. :
- ,
, ,
, ,
, , ,
, ,
.
:
- . .
, ?
,
", , ". ""
.
,
,
. "
".
( ) -
, , ,
, ,
, ,
,
,
,
, ,
( ) -
- .
, ,
, ,
.
,
-
" " -".
: " ,
". ,
.
.
, " , " , "
", " " , "".
(
) , " , ", "
, " ..
,
. ,
oro , ,
,
.
3. " "
,
.
,
, .
, ,
,
, . ,
, . -
" "
,
. , ,
- .
, : " . ,
, ".
, , ,
. ,
, ,
.
-
(
):
1. .
2. .
3. .
,
, .
- -
.
, ,
, ,
.
, , ""
, ,
, - ,
.
"Physics Today", 13, No 11 (I960).
( . - (
.)
": ?'1.
"":
52000000
:
65 11 750 000
40 250 000
18 14 120 000
26 130 000
17 315 000
8 815 000
275 000
8 540 000
3 830 000
4710000
,
1 380 000
3 330 000
780 000
2 550 000
, , ,
,
1 310 000
1 240 000
, , . . 880000
360 000
, , ,
. .240 000
120 000
, , ,
119 998
2
? .
, , .
, ,
, .
- ! !!!
- , , ?
.
//000
- , ,
,
,
,
.
, .
,
, .
.
,
( //1003).
- /1
: -- -- - .
:
......................................................................
,............
,
,
:
..... .......................... .........................
.........................., (1)
..................................
. , , :
........................................
,................... -
, ..............................-,
, ( ) .
, ,
" ...... ...... ........................ . ....
.................................. ....... , (2)
, , X2/2
i(i+1), [1].
,
. , ,
................................................. ,
"___^,(3)
., , -....................
......................................... .
(. . 1),
( , ,
) [2].
............................ -
...............................-..... .
(.........,............................ )
'......................................... ,
.....................................................................
2.
...........................................................................,
.
2. / 3
: ................................................
.
: ...........................................................
: ,,,,,,,,,,,,,,,,,,,,,,,,,,,,,,,,,,,,,,, (1)
,,,,,,,,,,,,,,,,,,,,,,,,,,,,,,,,,,,,,,,,,,,,,,,,,,,,,,,,,,,,,,,,,(2)
............................................................(3)
,
,,,,,,,,,,,,,,,,,,,,,,,,,,,,,,,,,,,,,,,,,,,,,,,,,,,,,,,,,,,,,,,,,,,,,,,,,(4)
, -, ,
,,,,,,,,,,,,,,,,,,,,,,,,,,,,,,,,,,,,,,,,,,,,,,,,,,,"____^,(5)
.......................................................................(6)
...............................................................(7)
..........................................................................
(8)
................................. (9)
,
...................... .
............................................ .
3-
"The Journal of Jocular Physics",
Personalia
:
:
1- "The Journal of Jocular Physics" . .
. * ,
* . ( ) 6 . .
...
:
50- f . . . . . . .
( , , ,
) "The
Journal of Jocular Physics" (" "),
.
1- "The Journal of Jocular Physics"
, ,
, , - ,
,
. , ,
, , ,
:
-"The Jocular Physics". , ,
. ,
,
. <
,
, (
,
), "".
, "",
, , ,
. ,
'
,
.
" "" -,
, -
.
. .
. "The Journal of Unclear Physics"), "
".
.
.
, , ,
, . -
1929 - ; .
.
,
. ,
: (" ",
) ,
.
, : "
, !"
. ,
" " . ,
. , ,
( ),
.
.
, : " ".
.
-
" " ( ,
) .
.
,
,
. , ,
. ,
( )
.
. ,
. . . "
, , ,
, - - .
.
. ,
,
. .
. , , ,
.
, , .
- ,
. .
,
. , , .
, , . ,
, . , ,
, .
,
. . ,
, ,
. ,
, ,
, - (
""
).
,
( )
. ,
.
. ,
, ,
,
.
, - "", ,
"!"
, ,
, .
. ,
- .
.
, .
.
, , ,
,
. ,
,
.
, ,
.
.
.
"" ,
. , , ( ) ,
" " .
, , ,
.
,
. ", -
,- !" ,
.
,
. ,
,
, , .
, . ,
,
. , ,
. ,
,
, .
, ,
- ,
, ,
, .
.
, ,
, . ,
, ,
,
. , ,
.
(. -
, "Nuclear Physics".)
- .
. -
, :
-, , ?
, , : "
, , , ,
,
", :
:
" , -
, -
".
, . , ,
:
-.
, , -
.
- ,- , . -
, .
-, ,
.
.
- : 10, 9, 8, 7.. .
, , ,
,
, . ) ,
,
, ,
.
, poro ,
- . -
- ,
.
, .
, ,
, , , .
- - -
.
-*, ,
- , -
.
, , * *
. -
, .
, .
,
, .
,
. , , ,
, .
, , ,
.
,
. ,
.
, .
,
: ,
. ,
. ,
,
, .
* . . .
** - , -
.
, .
... , ! ,
.
,
. .
, .
- ,
,
. ,
, ,
. -,
, ,
,
. -,
, , -, ,
, ,
. ,
-, , , -, -,
, ,
. ,
, -,
, , -, ,
,
,
. .
,
. , ,
- ,
,*
,
,
,
,
,
,
,"
,
,
,
,
,
,
,
,
.
, , ,
, , -,
, , -, ,
, ,
!

- - , ?
2
, , , .
, ,
,
, "
", - .
.
( )
Paee ,
, . ,
,
, .
.
, .
,
. ,
, (. ).
:
1. ; ,
.
2. , ,
,
.
3. ,
.
, 1
i-, i i . i - . ,
0 .
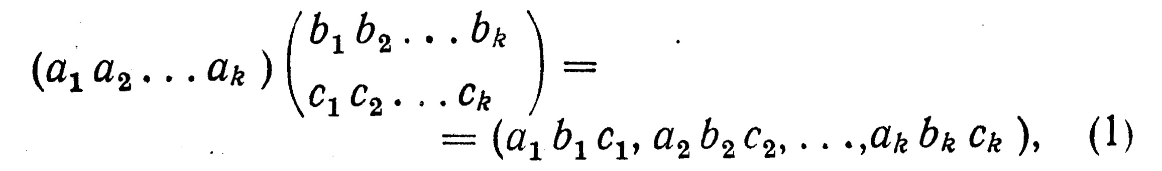
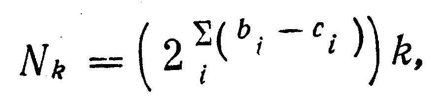
:
b = , c<b
>, abc = 1 - a. , (1, 2...
a k)
.
, ,
(b/c) .
, (),
, (O/O)
. (2) (3) k
- , .
.
. , ,
. ( ,
- .)
,
, ::
1) ,
;
2)
.
,
, .
, , ,
, . , (11111)
(10000/ 11111) = 5 . n
. - .
,
. ,
ak = bk = Ck = 1. ,
.
.
, ,
.
: ,
;
.
.
.
40905
, . 1001.
, -
, ^
, .
. (,
) "
.
, , -,
.
,
,
, 0,0000001 - . , ,
, , -, , , I
.
.
, , 50
,
.
.
. ,
, . , ,
, ,
.
.
. ,
, ,
.
, .
. , -,
, ,
, ,
. ,
- , - -,
.
. ,
, , .
. ,
, . 78%
. ,
,
(. ).
.
(988 ). ,
30 .
,
.
- ,
,
.
,
, ,
.
. 1000
, , , ,
, .
.
, , ,
.
.
.
, ,
, , .
,
.
.
,
.
.
, ,
- .
.
,
. , , ,
.
(. - -, -
, , .)
50-
" "
1907 ,
, .
, /
, ,
, .
.
, ,
, .
. , ,
, , "Der Peierls
hat immer Quatsch gerechnet" *.
,
,
. , , , -,
, ,
: ", ,
, ... ".
.
,
" ".
. ,
, ,
. (,
.) ,
, , ,
-,
. . . . , ,
. "" 30
, 15, ,
...
. . . . .
( 1932 , 1951 )
.
25
. ,
[, ,
.
, .
,
. -
.
.
- ..... -
" - ()".
, ,
, ,
, ,
, () .
.
. W,
, .
, 0,8<W<2,2 "1.
,
.
,
,
.
, , . ,
.
.
,
. ,
, .
,
. . ,
, ,
, .
,
, ,
- .
,
"Ganz dumm", "Sind Sie noch immer da?" *,
.
(
) -
: "Ach so, warum haben Sie das nicht gleich
gesagt!"**. ,
. :
"Ganz falsch", "Sie sind schon wieder so
bdumm", "Naturlich, wieder falsch"***-, .
: "Hab ich nur auch schon uberkgt?", "Das kann man besser
machen"****,-- , ,
.
,
.
* . ?
** ? !
*** . . , .
**** ? .
, , . -
, .
,
.
.
.....,
. ,
,
.
.
, (,
5 ,
700,
20-30 )
, ,
, .
, , ... (
.)
(. - -,
,
.)
:
. . ...
. * . ...
, " " (.
" " No 6 1959 ).
, "New Scientist" "
".
.
, , , ,
, , ,
, ,
*
. , , -
, , ,
, ,
. , ,
.
, -
, - , - - .
, ,
. , -
.
" ?" - . "
, , ",- - .
. .
.
?
- , - - - . . ,
.
, , ,
. .
, . ,
, , .
, .
.
, ? ,
. , . .
? , ,
, . ? ,
. .
- ,
, ,
..
, - ,
, , ,
. -
,
. .
-
,
. ?
? ,
,
- : .
, (
) , ,
, ^
.
. , ,
. -
( -
, ). :
, , ,
,
, . ,
(, , ,
).
,
. ?
,
,
, .
. ,
( No 1)
.
( , , ,
, ). .
- ( !), ,
, .
- , -
.
, .
, , "", ,
-.
,
. No 2.
,
, ,
, .
. , , ,
,
; ,
. ,
, . (
:
.) , ,
<
. , No 1
No 2, No 3,
.
, . , ,
, .
. , ,
, , ,
.
, ,
.
( !),
. - -
, .
No 4. - !
,
. ( , , .) ,
, . ( ,
, .) ,
. , No 4
, ,
. .
,
, No 5.
,
.
,
. ,
, ,
, .
-, ,
, . ,
- , ,
( ), ,
. ,
, - ,
.
, ,
, . .
,
.
? ,
, .
-,
. ,
1938 !
, , ,
, - .
,
. , ,
, (
) (,
). .
, ,
- .
, 432 , 138
, 214 , 80
! . , ,
, - .
,
- .
,
, ,
. . . .
"
". : "
, ".
"New Scientist", 13, No 271 (1962).
"
. ,
. - ,
,- (
: )
. ,
, ,
.
- :
".
( , " ")
1941
100- ,
- () ,
. ,
, ,
, ,
" ". ,
1917
, , , ,
.
,
, , . ,
- .
. ,
, ,
, 1940
" " , "
24 300 .
, 230 000 000
". -
, - , ,
186000 (300000 ) . ,,
" " 1 049 970 980
000 000 000 000 ...
, !
, , ,
,
, , "
". ,
, " ",
.
,
;
, .
, ,
. ,
( ,
). ...
, - :
, ;
273
-, , ,- .
- ? ?
: ", , ,
". ,
.
, ,
( )
. , ,
,
273 , ,
.
, , ...
, , ,
"-" , "
".
. -, , .
. , -
.
1824
. ,
- , .
, .
;
.
.
, ,
. , , ,
.
, , , , -
, . .
, , 1 500 000 000 .
.
,
, , ,
.
; ,
, , ,
. , , , .
, , ,
,
, , , , -
. ,
1794 . ,
- ,
, .
(, ,
).
1880 , .
- .
. ,
.
.
. -
, . ,
, . ,
. ,
, , ,
, ,
, , .
, ,
, , , .
,
.
.
. -
,
, . "
", .
? ,
-
? "", ,
, ,
.
, XX .
, , -.
,
. , ,
, " " ,
.
, . .
.
,
. -
- - ,
.
, .
, .
.
, , ,
, .
( 1923 ,
), . ", ! - . -
!" , ,
, , ,
, :
", ".
. 1905
, . .
,
" ".
,
.
. , , "". "
- ,- . - - ,
". ! , .
, - "
", 26 000 .
- ""? ?
. : ",
, ",
: " ". ""!
, - ' .
, ,
( :
, ,
), ,
. ,
. , ,
, . (
,
. ,
: ,
). " ,- 1927
,- . ".
, , ,
, . , -,
. ,
, : " ,
, , ,
,
, , -, ".
-. ,
. , ,
: ", - , ?"
"The World of Mathematics", New York, 1956.
(. - -, -*
, - .)

- , ,
.
.
, - .
,
, ,
.
. ,
, ,
.
, , 10
.
, 95%
, 5 %
. 10
.
, , ,
.
-
;
,
,
, , ,
. , ,
.
,
. 10 ,
, ,
. 10 ,
.
,
. ,
,
, ,
, BIG,
.
.
.
, ,
" ", ,
. ,
.
" ".
, " " .
,
. ,
. ,
,
- .
,
. 12
.
.
, , ,
, .
.
"The Journal of Irreproducible Results" (1959). (H. -
.)
. : "
" " ,
. ".
: " .
, -
. ".
- ! !
................................................5
( ) ......7
......................................13
...................................59
PERSONALIA ......................................................111
............................143
.
. . . .
15/VII 1965 .
4/1II 1966 . 70108"/32. 2,62 . . 7,35 . .
.-. . 5,7. . No 2/3162, SO . . 557.
( 1965 . - "", , No 66)
" " , 1- ., 2
, . , 97
P.S. 1966 ,
. 60- ,
.
.
Last-modified: Sat, 18 Aug 2001 16:53:08 GMT