:



                           
                          

----------------------------------------------------------------------------
         
         
      .
     .,  , 1993
     OCR  .. mailto:bmn@lib.ru
----------------------------------------------------------------------------

                                

      1938          
(    -)  ,          
            
   .  ,       
         
         -  . .
.  {   (  ) C.  G.  H.
Tompkins             
:     ,      G    
  h.        ,  
        .},      ,
  .
           "Harper's Magazine" ,    
 ,         
 .             
 -    .           
      .
                
 ,       .  -
                
    ,       
( " ").     .   
       ,   
  :
     - ,    , ?        
                .    
 -  "Discovery",   
 .
        .           .    
: "        .  
".     "Discovery"     
  ,       
 .          
,      ,        
      ,        
    .     " 
  "       1940 .  
    16 .       -
"   ".      1944 .   
    10 .            
  ( ),   -    .
              
           
      ,    
              .
,           ,  
            .   
     .
            .      
 ,    "Discovery",       
       ,         
  .        ,  
           
  .              
 .       .

                                                                
                            , ,  , 


                                       

                                  

             ,      
  ;         
  ,   .    
      ,            
           
           .  
               
           
    ,      ""         
,        ,
  ,         
         
    - ,   .
            ,      
 ,  ,     ,  
,        .    
  ,       ,   
    ,            
,       ,    
()   ,     ,    
            ,
     .    ,    
                 
              
 .
      ,       ,  
    ,  ,    ,
      ,               
 .  ,      ("")  
           (
            ),    
   ,        
, ,  ,      ,
    . .
     ,                
         
 ,    .

                               


                                   -----


        .  
       ", !" (", 
 --!", . 75)   ", !" ("  
", . 80)   " "     . 
  175  " "  . .   . .
                                  .


                             

     
- , , , . , , . , , . . , . , , , - ! - ! - . . , . . ! , - ! , , ? : . , ! , . ( ), , . , - - , , . , , , 300000 , (.. ) . , , , , , . - , , , . , , , , , . , . , , , , , , . , . . , : , , . , , -, - , . , , : , , . , , - , , . - , , , - , - : , .
, , , , , , , -. , , . , , - , , . , , . , . , , , - . - , - , - , , , ! "". , , , !
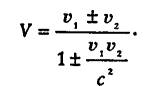
. , . , . , , . , . , . , - . , , . , , , , , , . - , , , - : - , ! - . - , ? - ? - . - . , , , , , , ! - , - , - -. . - ? - . - , , , , . ? - , - . - , ? , , , . , . . : . - , - , - - , . , ! - , ? - . , . , , , . - ! - . - ? - , - , . ? , ? - . , , . , -, , . , . , , , . . , , , . , . - , - , - , - . . , , . , , , , " ". . . - , , - , - ? , , ... - , - . - , - . . , , , , , . , ! , , - , . , , , . - , - , , - , , , , , : " !" , , , . - , - , - , , , ? - , , - . - ! - . - , . , . - ? - , - , , . - . - ! - , , - . - , ... , ? - ! , , , . - , - , - , , . - , , ? - . - , , - , - , . , , . , - " (, ) ". - ? - ? - -, - , , . - , , , , , , . , . : - , ! , . . , ! , . , . , -, , " ": "_ _ , , " "_, _ , - , " { . . - . .. . ... - .: , 1989. - . 30. (. .)}. - , - . XX , , , , . : , , ; , , . , , . , , , , , , . , , . , , , . , , , , , , , , . , . , - , , , . , , , , , . , , , , , , , , , , , . _ _. , . , , : 300000 / ( ) , . - , - , - , , ? (, , 3/4 ) , , 3/4 . , , , . , , , , , - . , , . , , . u1 u2 - ,
(1) , ( " "), (1) . u1, u2 , . , , , u1 = (3/4)c u2 = (3/4)c F = (24/25) , , , . , , (1) , , , . , , . , , (1) , .
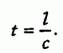
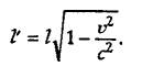
, . __, . : - , , - , . , , , , , , , , . , , ? , , , , , , , , , . , , , , , , - . , , . ( , ) , , . , , , . , ( ), __ , . ? , , ( ), , . , , , ? , . , , , , , , ( ), . , "" (, ) . , , . , , , , ? . ( ) , , , ( ) . , , , , 2 2 , 1 1. , 2, 1B , 1B, . , 1 , , 2 , 1 . 1 , 2, , , . , , , . , , , , , . , , , - , , , "" . , , , -__ , _ , , _. , , , , , , - , -, , ? : _ , , _. "" "" , , , "" "" ( ). : , " , - , " (), "- ", . , . , l t , l' t' . , , -, , , , . , , , "", "", " " - , , , .. 0,00000000003 . , , , , , . , , , , , , , - , , , , , . , , - ( , ). , , . , , , . , , , , __ . , l, u, , ,
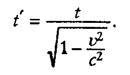
(2) , , t, , - t',
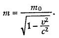
(3) " " " " . , u , , , , , __ - . , , - , - , , , , . . , , , , : , . , , , , , , , , , . , (2) (3). m0 - , m u
(4) , , c. , . , , ( , 99 % ), , , , 99,98 % , 1000 . , . , , , , , , , , , : ? , , , . , , . , - . , , . . , ... , . , , , . - . -, , . - , , - . - ! - . - , ! ? - , . - , - . - , , - . - , , , , . - , - . - , . , , , . , . - , - . - , , . , - , , , . - , ? - - , - . - , , . (, , , ) , , , , , . , - . , , , , , , , , . , , , - , : . , , _ _. - , , ? - , . , , "", . , , , , . , (, ), . , . , , . . - , ? - . , . . , , , , . - , , , ? - . . , , . - . , , , , . -, . , . - , - , , , , : - . - , - . - , . , , , . - , - , - , , . . - , - , , - . . , , ? , - . - , , - , - , , . : . . , , , . , . , , ? , . , , - , , __, , , , , . , , . , , - . , , , . . - , - , - 37, 12, : " , +-cd ( - , d - ) ". - , , - , : - , , . . . . : - ! , . , ! - , , - , , - ? - ? - , - , - , -. , , . , , . , , , , , , - . , - , . , . , , , , , . , - - , , . , , , . - ? - . - , - . . , , , . - , - , - , , . - . ? - , . : , , , , , , . , . - ? - . - , , , . . , , ... , , , , . , : , - , , . - , , , - , , - , . , - . , , . - , , , , , - , . - , . . - , , - , . - , . - -, - . - , ? - , ! , , , . - , , - . - , , , . , , ? - , - , , - , . - , , , - , . - , , , , . . , ( , , - , " ") - , - , , . , - ( , , -), , , . . . , , , , 1; 4; 9; 16 .. " " , , , , , 1; 3,8; 8,5; 15,0 ..
- , - , - ! , -? ? - , ? - , - . - , - . - , , , , , , . ? ? , . , , , , . , , . , , ? - , , - , , . - ? - . , , . . - ? - . - , , . , , , , . , , , . . , , , , , , , . , . , , , . , - . - , , - . - , , . - ! - . - . , , , . , , , . - ? - . , - . , . , , . , . , .
- , , , , - , ? - . - ! - . - , . , , . , , , , , . . - , ? - , - , - . , , . . , , . . , , , , , .. . , , , , . . , : , , , , , . : , , ? - , - , - ! . , , , : - ! ! , , . , . - ? - . , , , , , . , . - , ! - . - , . , . , , , . - -, , - . - , . , . - , - , . , . , . , , , . , . - , , - . - ? . , . - , - , . - ? , ! . , () , , . ""? , ? , , , , - : " ", , , , , . , , , . , , , , , , . , , , . , , - , . "" ( ) , . , , , (.. ), . , , , . , , , , , . , _ , _. . , , . , . , , , , , . , , . , _ , _, , , , , .
, , . , , - , , , . , , , { " " , - . , .}, 2 . , 5 , , . , . - , , , (, , ), , , . , , . , . , _ , _. , , , , , . , , , , . , , , . , , , "" , , . , , , . , , . , , , , , . , , "" : _ _ _ _ . , , . _ _, ( ), . . , (3 4) , . 3 , . , 4 , , . , 4, , 3, , , . . . , , , , , . (4 5) , 5 - , , , . 5 , . , , . , , . " ", ? " ", , , - , . , , , , , . , . . " "? , , ? , , - , . , , , "" , , , . , , , - , . , . , . ? , , , , , . , , ( ) - , , . . , , , . , . , , : "" - , , , . , , ( ) , - , . _ , . , , , , , _.
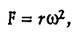
, , , , . , , , . , , . : , , , - . , . . , , . , , , ? , , , , ? , , , . , , , , . , , , . , . , : . . , , r , ,
(1) - . , ,
(2) R - . F , W - . , , , , u,
(3) u , . r = R*, " "
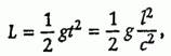
(4) (4) , . , - ( 300 ), , , , 0,99999999999997 . , , 0,9999995, . , ! . , . , (4), , . " " , , , . , , , , - . , (.51). l - , , ,
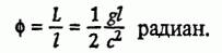
(5) , g, L,
(6) . , , ,
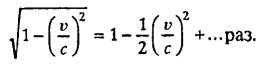
(7) , l, , (7) g . , l 1000 . g 981 /2, = 3 * 10^10 /
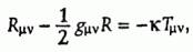
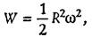
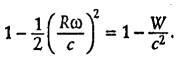
(8) , . g = 27000 /2, , , . , , , 1,75". . , . . , , , , , . , , . , , _ , _. , , . , . , , , , , g , W. , , R.
(9) T , , . (9). , , , , , , _ _. . _, _, - _ , _, . (9) , . , , , . , , . . , "" . , , , , , . , , , , - , , . " " {, , - -. (. )} , , . . , . , , , , , . , , . , , , ... : , - . -, . , , , . , - . - . , , , . . . . : , , . , , . , , . , , . - , , , , . , - , , , - . , . , , - , . : , . ! , , . : ! - , - , , .
. - , - , - , . , - , . - . : , , ! : , , . - , - , , , , . - ! - . - , , , . , ! , , . , , , . , , , , , , 10000000000000000000000 , . , . , , . , , , , . , . - , - , - , , , , ? - , - . - , , - , , . , - . , . ( , , , ) , , , . , , , , . , - . , . , . , , , . , , , . - , - , - , . - , - , - . , , , . . , , , , , . , , - - , . , , , , , , , , . , , , , . , - , . , . , , . - , - , - . , , . ! , , , , , , , . - , - , - , , , . , , , . , . - , - , - . , , . . , , . , . - ? - . - , - . - , , , , , , , . , , , . , , , , . , . - , - . - , , , , , ? - , - , - . - , ? . . , , "" . , , . - , - , - , , , , . , . - , , , - , - . , , . , , . - , ? - . - , , - , - , , . , , , , , . , . , - , , , - , . , , . , , . . , , , , , , , . - , - , - , . - , ? - , . - , - . - , , . , . - , , - , - ?
- , , - , - , , ? : . , , , , . , , , . , . , , , , , , . , - - 0,05 %- , , . , 15 %- , . , , , . 0,00000001 % , _ _ . ( ) , 1 % . - ? - . - , , - , - . . - , - . , . , ? , , , , , . - , - , - , , . , . . , , . , , . . - , , , , ? - . - , , - , - , , , - . , , , . - ! - . - , , , ! ! - , - . - . , . . . , , , . , , .
- ? - . , . . , , - . - ! - , . - , ! , . , , . - , - , - , , , , , . , , - , , . , . , : , , . , - , , . , - - , - . ?
, , , , , , . precipitevol issimevolmente, , . , , , , - . , , , . , , , , , . , , . , , , ( " "). : , Aiome prreemorrdialel All-containeeng Atome! Deessolved eento fragments exceedeengfy small Galaxies forrmeeng, Each wizprrimal energy! Ot rradioactif Atome! Ot all-containeeng Atome! O, Univairrsale Aiome - Worrk of Z'Lorrd! Z long evolution Tells of mightyfirreworrks Zat ended een ashes and smouldairreeng weesps. We stand on z'ceendairres Fadeengsuns confironteengus, Attempteeng to rremembairre Z'splendeurofz brigine, Q, Univairrsale Atome - Worrkof Z'Lorrd {*}
(, ! {*} ! , , - ! , ! ! , - ! , . , , , . , - !) {* , , , , , , , . (. .)} , , ( ) , . : Good Abbe, ourrunderrstandink It is same in many ways. Univerrse has been expandink Frrom the crradle of its days. Univerrse has been expandink Frrom the crradle of its days. You have told it gains in motion, Irregrret to disagrree, And we differr in ourr notion As to how it came to be. And we differr in ourr notion As to how it came to be. It was neutrron fluid-neverr Primal Atom, as you told. It is infinite, as everr It was infinite of old. It is infinite, as everr It was infinite of old. On a limitless pavilion In collapse, gas met its fate, Yearrs ago (some thousand million) Having come to densest state. Yearrs ago {some thousand million) Having come to densest state. All the Space was then rresplendent At that crrucialpoint in time. Light to matterr was trranscendent Much as meterr is, to rrhyme. Light to matterr was trranscendent Much as meterr is, to rrhyme. For each ton ofrradiation Then of matterr was an ounce, Till the impulse t 'warrd inflation In thatgrreatprrimeval bounce. Till the impulse t 'warrd inflation In that grreat prrimeval bounce. Light by then was slowly palink, Hundrred million yearrsgo by... Matterr, over lightprrevailink, Is in plentiful supply. Matterr, overlightpirevailink, Is in plentiful supply. Matterr then began condensink (Such are Jeans 'hypotheses). Giant, gaseous clouds dispensink Known asprrotogalaxies. Giant, gaseous clouds dispensink Known as prrotogalaxies. Prrotogalaxies were shatterred, Flying outward thrrough the night Starrs werreforrmedfrom them, andscattemd And the Space was filled with light. Starrs werreforrmedfrrom them, andscattered And the Space was filled with light Galaxies arre everrspinnink, Starrs will burrn to final sparrk. Till ourr univerrse is thinnink And is lifeless, cold and dank. Till ourr univerrse is thinnink And is lifeless, cold and darrk.
( , . . . , . , . , . , . , , . . . , - ( ) . - ( ) . . , . , . , - . - . , ... . . ( ). , . , . . , . , . , , , , . , , .) , , , . :
The universe, by Heaven's decree, Was never formed in time gone by, But is, has been, shail ever be - For so say Bondi, Gold and I. Stay, Cosmos, O Cosmos, stay the same! We the Steady State proclaim! The aging galaxies disperse, Burn out, and exit from the scene. But all the while, the universe Is, was, shall ever be, has been. Stay, Cosmos, Cosmos, stay the same! We the Steady State proclaim! And still new galaxies condense From nothing, as they did before. (Lemaitre and Gamow, no offence!) All was, will be for evermore. Stay, Cosmos, Cosmos, stay the same! We the Steady State proclaim! ( , , . , , , . , , , ! ! , . , . , , , ! ! , ( - !) . , . , , . - , , - , - , , - - ! ! , , , "Monthly Notices" ( " "). - ? - . - ! - . - . ! - , - . - " , "? , , , . , , . - , - , - , , , ? - , - . - , - , , . , , , . - ( , , ; ) - , . , , , , , . , , , , . , , , , , , , , . , , . , , , . - , - , , - , , . : "Your years of toil", Said Ryle to Hoyle, "Are wasted years, believe me. The steady state Is out of date. Unless my eyes deceive me, My telescope Has dashed your hope; Your tenets are refuted. Let me be terse: Our universe Grows daily more diluted!" Said Hoyle, "You quote Lemaitre, I note, And Gamow. Well, forget them! That errant gang And their Big Bang - Why aid them and abet them? You see, my friend, It has no end And there was no beginning, As Bondi, Gold, And I will hold Until our hair is thinning." "Not sol "cried Ryle With rising bite And straining at the tether; "Far galaxies Are, as one sees, More tightly packed together!" "You make me boil!" Exploded Hoyle, His statement rearranging; "New matter's born Each night and morn The picture is unchanging!" "Come off it, Hoyle! I aim to foil You yet" (The fun commences) "And in a while", Continued Ryle, "I'll bring you to your sensed" (" , - , - , . . , ; . : !" " , - , - , . ! - ? , , , , , !" "! - , , - , , !" " ! - , -. - , !" " , ! ( !), , - , - !" {*}) {* " " (Nature, October 9, 1965, p. Ill), : " ... , , ". , , - " ", , , , : , , .} - , - , - . , , . 7 , . , , . , , . , . , , - - . , . - ! . , , "". , ; , , , . , , , . , , . - , - , - .
, , , : , . , - ( , ) - " ". , , : , , ( - __ ) , 0o 180o . , . , , . - S-, - , , , . - - , - , - ? - , - , - , , , . - , ! - . - , , - . - , , , " ". , , , : . , , ( ), , . . - , - , - , . , , . - , - , - , . - , "", - . - , . , . , " " " - ". - , - . - , - , - , . - , . , - , , . . , , . , . - ! - . - , , . . - . - , ! - ? - . - ! , - . - , , . , , . , , . , , , : "" . , , , .
- " ", - . - , "". , ? - , , - . - . , , : "" . - , - , , "" . : , "" , . - , - , - , , , , "" , , , ? ""! , : - - 1 000 000 000...000 000 . , . , : , , , "" . - , , , . , (, ). - , - . - , , , . - , . , . , , , " " , . - ? - . - , . , , , , . , , , , , , . . . , , - ! - ! . , . , . - , , - . - , . , . , . . - , ! - . - , - . - , . , . ? - ! - . , , , - . - , - . - , . . , . , . , , , , , . , , , , , , , , , . , - , , , . , , . , XX , , _ , _. , , , - , . 1900 . , , : _ , , , ""_. - "" - . - , , , (, ) , , . , h, , , , , E = hv, (1) v - . 6,547 10^27 . , . , . , , _ , " ", _. , hv , , , , . , v = /(),
(2) , , , , . , . , , , , , , , (1) (2). , ( ) . , , , . , 1913 . , _ _, . , , , , . , , , , , ,
, (3) l - , . - , , , . . , , , . , , , , , . , , , , , "", "", . , , , , , , . , , , . , , , , ( ) , , , , , . -, ( ) , , , : ", , ". , . , , . , , , , . , , . , , , . , , , . , , .
. , , , , . , , , , , . , , , , . , , , " ", , , . , , , . , , , , , , . , , . , , , , . . , , : ! , , , , . - . , , , .
, . - , , , , . "" , , " " , . "" . . , , . "" , , , (3), , - . , . , , ! , , , , , - . , , - , . , , , , - , . " " , , , , , , . , . , - - . ( , ) , . , (2),
(4) , (()q = ),
(5) , "". (3) , (()q = l), , . (5), , , : _ , , _. , ,
(6) , , (6) . , 0,0000001 , 0,00000001 %! ( 10^-27 ) ()u * ()q 100. +-10^8 /, . 10^8 , . . , . , "" , "" "" - _ _. . , . , , - , . , , . . , , , , - , . , , , " " . , ( , , ), , , " , " " 75% 25% - ". , , - . , . , , " " , . , , , , , , , . ( ), "" . . "- " " ", "", "" : . , . , , "" , . , , , . . , . : _ , , , _. . , , __ _ _, , . , ( ) : , "" , , , "" . , . , - () , , (). , ( ) . , , , , , . , - , . :
(7) U , ( m), . " " ( ) , . , , , "", . , . , . , . ( " ") , . , . () ,
(8) . "", , , . " ", , " ". , , . , . , , . , - , . , . 8 , , -. , . , . - ? - , . - ? - , , . - , . , , , . , ? , . , , , . , . , . - ? - . - , ? - . - . , . , , , , . , , . , , - . - , - . - , - , . , , , . , . , , , , . , , , . - . , , - , . - , - , - , . , ? - , - . - , . , , , , . . , , , , - , . - , , , , . , ? - . - , - . - - . , . , . , , , . , , , . , . , , . . , , . , , , . - , , - . - , , - . , , , , - , __ ; . , , , , , . - , , - , , - __ , ? - , - , - . , . - ? - . - "" - , - . - , , , . - - , , - , . , , , "" , . - , , , , - . - . , ? - , ! . , , , ( " ") "" . - ? ? - , , _ _. XX , , h. ; . , : - . , , . , . - , , . - , - , - , .. , , ? - , - , - , . . - , - , - , . - , - , - , , - _ , _. , , . , , , , " ", , " ". "" (. . ), . , , : , (. . ), . , ...
. , . , . , , . , , . ! , , ! - ! - . - ! ! , , , . , . , , . " ", , - , , , , - . - ? - , . - , , ? - , ! - . - , ! , . , . , , , . , . - , . , , , . , , . , , , , . , , , . , , , , , , . , , , . , . - - , ? - . - ! , , , . , . , : , , , , , . -; , . - , , , - . - ! ! ! - , . , , . - , - . - , . , ?
, , , . - , - . - , . - , , . - ! - , - . - , , -, . , "" , : (""), , , , , . . , , , , "" . , , , . - . . - . - , , - . - , - . . , - , . , , - . , , , . . , - . , , . . . 9 , , . , , , , . , . . , , . "Vogue", "Esquire" { , , 1940 .}. - ! - . - , ! - , , ? - , . - , , .
- , , - , , . - , , , , , - . , , . - , , , - , . - ? - , , , , . . , , , , . ., , - . , , , , , ( , - , ). , ( ) . , . , . 1 3, , , ( 1 3 - 2). () , , . . , (, , ). , . , , , : ( , 4, ). , ( ) . , , , , . . 5 ( ) . - , - , . - ! - ! - . - - , , , , , . , , . - - . , 1 5, : 1 (), 2, 3, 4, 5 () , ( ) . - , , - , . - , , , . ? - , , : 1 (), 2, 3, 4, 5 (), 6, 8 , ( ) . , . , 2 8 , , ( ) . ( ) . - - ! - , , . - , ! - , - . - . ( ) . , : 1 (), 2 (), 3, 4, 5 (), 6, 8 (), 9 ( ) . , 3 9 , , ( ) . , , , . , , ! - ? - . - . , , , , . , . , . , . - , , - , - - . - , - , - __. ( 1, 2, 3), , . - ! - . - , , , , . -... - , , , - . - -. , "Esquire", , - , , . - , - , - , -. - ? - , . , , . - - , - , . - , ! , - , . - ? - , , , - , . - , - , . - ! - - ? - . - ! , : - , , , . , , , , . , , . , , . , . , , , ( ) . , , , , , . , , . , . - , , . , , , , , . , , , , , , . , , , , - . "" . , . , . , - . , , , , , . , , . , , , , , . , , , . , , - "", , . , - . - , - , - , , ? - ! - . - , , , , , , . , , . , , , , , . - - . , ? - . - , . , , . , . - , , - , , . - ( ) , . , , , . , , , , , . , , . , , , , , , . , , , . , , . , . , , , . , , , , . - , - , - . - . , , . , , ? - , ! - . - , . : , , , , , . - , , ? - , . - - , - . - , , , , , . , . , . , , , . - , . . , , , , . , , - . - , , , , . , , . - , - . - , , , . - , - . - , . , , , . , , , . , , . , , - , . , , , , . . , . . - ! - . - ! , ? - , - . - , - , , . , - , . , , , , . , . , . , , - . , . - - , - . - ? - , , , , . - , - , . - , , . . - , - , - , . - ? - . - - , . - , , - . - . , . - , . , , _ _, . - ? - . - . , - ", " , : ", , , - . ?" , ? - . - , . , . , - , , . , -, ... , , , -, , " " " ". , . , , , . , . , , . - - ? - , . - , . , , - , , . , , , . , , , , . , , , , . - , , - . - ? - , - . - , - , . - , , , , , . : . - ! - . - , , , , -. - , - , - . - ? - , .
- , , . , , . , . , . , , , , . , , , . - . - . , , , . , , , , , , . , - , , - , . - , , . , . - , . , , . , . . , , . - ? - , . - ? - , - . - . , , . - . , , - , , , - . , , , , . - __ ! - . - ? . , - ? , .
- , , - . - - , . , . , , , , . , , , , , . , , , - , , . . , , . , . - ! - . - , ! , ? - , , , - . - , , . , , , . , . , , , . , . , , , . , . , , , , , . , . . , . , , . , , , , , ...
, , , , . - ! - , , . - ! , , . , , . . - , ! - . - , , , ! , ! , . , . - ! - . - ! , . , , , . 10 , , , , . , . , , : , , , , . - . - , - , , - , . , , , - , . . , IV . . , , . - - , . , , "", , " , ". , , , , , - "". , , , , _ _. , , . , XIX , , , , . 1808 . . , ... . , , , . , , , , .
, . , , , , . , , . . , . , , . - ? - . - . , , , , , . ( , , - ) , . - ? - . - , , --, - . . - , - , . " , : ", - . - , , , , - , , , . - , - , , - , . - , , . , . , . "", , . , , .
- , __ , - , - - . - , , - , - . . , , - ( , ) . , - , , , . - . - , , , ? - . - , - -? - , - , , - , - , , , . . - , , , - , . - , ? - , ! - . - ? ? ? , . , , , , , , . , -, , . , , - , . , - Z-, , . , , . , ! . . , - . - ! , ! - , . - , . ! , ( !), . - , ? , . - , - , - . - ? - . - ? , , __ , , , . - , ! - , , . - , - ! - , , , - -. - , , . . , , , . , _ _, , , _ _, - . , , , . . . , , , . , , , , . , . , , , . , , __. , . , _ _, , . - , , ? - , , . - , . - ? - . - . - - , - , . - . , . - , - , - . , , , , . , , , . , , , . , . . , , . - , ? - , . - , - . - - , , . , , , . , , , . ! , - . , , , , - , . - ! - , . - . - ! - . - , . --! - . , , , . - , , - . , , . , . , . - ? - , , . - ? - , -, , - , . - , , . . , " ". . - -, , , - . - , . - , . , , , , , , . , , , -, , -, . - , - , , . - , ? - , , - , . - - . , ? ! , , , . , . . , - , . - , , , . - , - , - ! . , , . , - . , , , . , , . - , ... - , , . . . , , . , , . , . , , -, , . , , , , , . , . . - , , . - , - . - . , . - , ? - , . - . , , , , , . , . - , ? - , , . - - , - . - , , - , - "", "" . , , - , , , - . - ! - . - . ! - , - , . - . - -- ? - , , . - , ! - , - , , , - . , . , , . - , , , , - , . - , , ? - , , - , - , . , , , . . , , , , . - , . , , , , , , . , , . , , , , - . - ! - . - ? - , , , . , . , - , . - , , - , . - , ? - . , . , , , , , - . - , , . , , - . , , , , , , . - , - , , , , . , , , , , . - , , - , .
- , - . - , . , - , - , - , -. . - , - , - , , , . , ... - ! - , , - . - , - . , , , , . __... , , . , , , , ; -, , . ( , ), , , . , . -, - , , . , , . - , , , . - ! ! - , . - ! ! , . - , , - , - ? , ? , , . , . - , , - , - . . - , , - . 10 1/2 , 1908 . . , , , , , . , - . , , , , , . , , , , , "" , , . , . "" , , , _ _. , , , , , , . , , , , . , ( ), . - . , : __ ( ), __ ( , __ __) , , __, . , - . , , , , . - . , , , . , . 1911 . ( ). , , _-_, . () ( ), , ( ), ( ). , , . . , . , , ( ) ( ). , . , , , , (). , - , , . , , , , . , . , , , , , . , , , _ , , _. ( , ) , _ _ . , : , , , . , __ , (_ _) . , , ( , !). (. . . 163), , , . "" , . _ _ (. . , ) , . , , . , , , .
, - - , , . , , : __ __ , , . _ _, . , "", , . , , "" " " , . , ( , !) (. . ), , , " ". , ( , ), , , _ _. , , , , , .
, , , , , , . , , . , . . , _ _. , , . "" , : - . , , , "" . , __, .. , , , . , . , , " " " ". , : _ , _. , , . , ( ) . , , . , . 12 , , , . - , - . - , , , . , , . - , , , 99,97% . , . , , , , , . , , , , __ __. , , , , . , - . , , . , : 0,000 000 000 0001 . : 1840 . , , , _ _, , . , . , - , , , . , , , . , 92 142 . , , , , "" . , , , , , . , , , . , - . , , , __ . , - . , _ _.
, , , . , , _-_ ( ), . . , . , . , , -, , , . , , , , , , , , . . , . - , -, "" . __ __ , , , - , , - , . - ? - , ? , , . , _ _. , , -, - , () . , - , , - . , - , , , . : _-, , , , _, . . , , , , ? , - - . , - , , ... ! . . . , , . , , - . , , , . , , : . , : , , . . , - . -, , - . , , ( , !). (. . . 174) , , . () -. - () . . -, -. - , . - , , . , , . , , -, . , . (), () . , " ", , . , , , , , , . (), , , , , , -, . . . , . , _ _, (, -) , - . -, - , .. , , . , , . . , _ _. ( , !) (. . 175) () , . , _ _, , , , , . , , , , . , 92 . - . , . , , . , , , . , , , , , .
, , , , . 1939 . . . : - , . , , , . , , , , , . . , . , : - Hoolgyeim es Uraim, - . - Roviden kell beszelnem, mert nagyon sok a dolglom. Ma reggel tubb megbeszelesem volt a Pentagonban es a Feher Hazban. Delutan... , ! - . - . . ! , . , , , . , . . , - , , . , , , - . - , . , : - , . , - . , , ( ). - , ! - , . , __ , , . ( ), - , , . ( ).
, , . , , . , - . , , , . , . . . . , , , , . "" , , , , . . , "" . , , . , . - , - - , - ? - , - . - . , , . , ? - , - - , - , , ? - ... - , . - , ! - . - , , , ! - , - , - . Isten veluk! , , . 13
. , : "! !". " !" , . , , . - , " ", , - , , . - -, - , - , , ! - ! - . - , , ! , , . ? - - ? - , - - . - , , - , . - ? - , - . - , , , . . , , . , , . , , , , . . - , , - , - , . - . , , , , , , , , , .
- , - . - , , ? - , , - , - . , , , . , , , . "" . , , - , . , , . , . : , , . - , - , - ? - , - . - . , , . - , ? - , , . - , . , -, . , , , . - , ? - , , . - , - . - . , , , . , , . , , . - , , , - , - . , , . , . , ( , , , !), . , , , . , . , , , , , . , -. , , , , . , , . . , "" , . - , - , . - , - . - , ? - , , . , ! . - ? - . - , ? - , . , , . , . - __? - , , - . , , , _ _ { , , , , . , . , - , , , , .}. , . , , . , . , ? - , - , , , - , . __ - ? , - . __ . , , . , , , . , . , . - , , , . , , , . , , , . - .
- , , - , , . - , - .
- , , - , , - - , , . - ! - . - , . ? - , , . , . , , . , . . , , , . - , , - , , - . . , , , . . . ? - , - . - . . - . , - , , , . , , . - ? - , . - . , . - , ? - , . - , . , . , . -. - ? - . - , , - . - , , , . , . , , . , , : , , . , "" , . "" , , , , . - - , - , . - , , , , . , , . , , . ? - , - , . - ? , - , , . - 197 79 . , 79 118 - . , . , . - , - , - . , , . , . , , , , - , . - ! - . - , ! - , , - . - , . . , , , . - , - . - , . - -! - . - , . , , . , , . , ? - __ , - . - , ! , ! , . , , . , - . , , , . - , - , . - , -! , , . , - , . , . , , . , , . , , . . . , . - , , , - . - , ? - . - , : . -, , , , . , , , , , , . - ? - . - , - . - , , . , , , - . , , , : , , . - , , - . - . - , , - . - , . . , . , , , , , . - , , ! - . - , , , , , , . - ? ? - . - , , , - . - , , - . - , - - , - , , , ! - , - , , - . , . , , . - , , - , . - , . , - , . , , , , , , . .
. - , - , , , . - , - . - . , . , , . - , ? - , . - , ? - . - , , - , . - , - , - , , . - , , , . , , . - , , , -, - , , - . - . "", . "", , . - ? - . - , , "" . , , , . , , , -, ". _ _". - - ? - , . - , - . - , , , . . , -, , , , . . , . , . - ? - . - -, - . - , . - . , - , .
- , , - -, - . - . - " Th ", - , , - , . , , . . , . , . , . , ... 14 ! , , , , . , . , , , . , . , , . : " ". , . , . ? - ? , , , , . , , _ , , ( ), _. , . , . , _ _, , " " , , , . , , , , , ( !), , . , , . , , , , . . , , , . , ? , , . , , , , ? , . . , - , . , . - , - , - - ? , , , __ , . , , - ( , , ), , , . , , , , . , , , , , , . { - " ".} -, , ? , - , ( ) . - , , - , - , , , . , . , . - ---- - , . , . , , , .
- , , , - .A.M. - , , . , , , . , , , . , , . __ , , , . , . , , , . , . "" . . . . , , "" . 1930 ., . , , . - , - , - - , ? - , ! - ... - , - . , . , , , , , . , . - , , , , ? - . - . , , , , , , . - , - ... - , ? , . - , - . - , , -, , , . - , , , ? , . - , , - , - ? - 1930 ., - ..., - . , , , . , , , 1840 , , 1840 . , . , , , " ". , , , . , "", , , , , -. . , , , , - . ! ... , . - , - - , - , , ! , . , , : - , , , . , , , , _ _ . , , . , , , . , , , . , (. 205), , , , . , , , , . , , . , , -, , , .
, , , , . , : 1932 . ( 1930 .) , , , , , : . - , - ( -).
, , , , . - . , , , . , , , . , , . , , , . , - . , , - , , , , . , , . , , . . , . , , - . , , . , ? . , , . , , ( , ). , . (. 206), , . - , , , . , , ( ) . , , . , , , , . : . , . , . , , , , . - . . , - . , , - . , , , , . . - , - , . , , , , , . : " , , , , - ?" , - ? . , , , , , , . , , , - "" , , , . , ! , , , , "" , , . , . 15 , . , . - , , - , - , . , ? - , ! - . - . , XVIII . , . . , , . , , . , , , , . , , _ _. , , . - - , ? - . - . 30- , - ( - ). , - , , . . , 200 , 10 . __. , , . , __ ῆλεκτρον (), __ πρῶτον (). μέσον (), ρ. , - . , , maison (, ). , . . ! , , : . :
For a meson I received the Nobel Prize, An achievement I prefer to minimize. Lambda zero, Yokohama, Eta keon, Fujiyama - For a meson I received the Nobel Prize. They proposed to call it Yukon in Japan, I demurred, for I'm a very modest man. Lambda zero, Yokohama, Eta keon, Fujiyama - They proposed to call it Yukon in Japan. ( , , . , , , - . , , . , , , - .) - ? - . - , - . - : , . , . - , , - , - , ( ), . - ! - . - , . , , . __, - __. , . , , ( ), , , . , , . , __. - ? - . - -, , ( ), . , , , , , , , " " . , , , . . -. , , .
, . , . , , , . () , , . . - , , - , - , " ". - , - . - , , . , , , -, -. . ( ) __, -. , . , . , -, __. , , , , . , () , , . , , , __. , __. , , : - ? - . - ! - . - , . , , , , , . . , . . . 1927 . . -, , , , . , __. . , , . . . , , . , , , . , .
, , , , , , , , . . , 1960 . . , , . : " . . . , ?" - , - , - , . . , ( ) , . ; . " ". - --! - . - ! - . . , , , . , , . - , - . - , - . , , . , . - ""? - . - ? - , , - . - . , , . "" . "" "", , . , , , , . , , , , .
- - ? - . - - -, ( ) "" . , , ! - ? - . - ( , , , !) . , . - , ? - . - , - , - , , , . , . - , ? - , , . , , , , ? : " ". : " ". . - () (1904-1968) . , , , . , , . - , , , , , . , . . . " " - , , " ", " ", ", , ... ", " , ", " ", " ", " ", " ", " ". - . . .

Last-modified: Sat, 25 Mar 2006 06:35:31 GMT
: