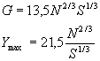
-- ; -- . , . . , , . . (. 16 19). , . . "-4" 1914 . . , , . (, , ) , 30 . , , -- . , ; , . , , . . , . 19. , . . "-4" 1913 , . . "-4" . 1910-- 1913 . . . , , . , . . . . , , . . , 1891 . . . " " . , . . , "", . , . . . . . , . . , . . , . . . , , , , . . , . , . . , . , , , , . 2.  . 1910-- 1921 . 1907-- 1908 . ( , ) 1909 ., . , -- , , . , , . 1910 . "" , , , . -- , , , . , , . . , . , , 1910-- 1920 . . , , , . : -- "", "L'Aerophille" -- "Z. F. ". . , . , , . "" 1911 . . . " ". . . . . " ", , . . . n . . . , . . , . , . . n2; , 1 . ., , G n2. G, , . . n3. , , . . , . , . . , , . : Pishnoff-72.gif G n, , , G . (. 1), , m, , . m, , , . , . 1, n. n=1 G0/G = 0,25 G0/G=0,3; G0/G =0,45. , . . G/G 0. 1 n2 n3. Pishnoff-74.gif . 1. . n=1,67, n=2,5 . 2 , n 8/3, . . . , n=2,5. 3 , n 5/2, 5,5 . , 4 , n5/2, , , n , n 5/3. 10 n=1. (5,5)2, . . 30 ; : G/G=0,14; G/G=0,7; G/G=0,16. , , - . . 1, , . . . , m . . , "L'Aerophille" 15 1910 . , . "L'Aerophille" "La Technique Aeronautique", , , . , , , , . , , , . . , , , . G/N G/S G/N=10 G/S=15-30, : Pishnoff-75.gif , N = 50 . . ~500 S -- 16 32 2. 1910-- 1912 . , , G/S G/N . , , , , . , , : Pishnoff-77.gif -- h -- . , Pishnoff-78.gif 1911 -- 1912 . G/S = 25, G/N=10; , , . . . , , . , : , . , . . . Pishnoff-82.gif Nmax/N , . . , 2; 3, 5-6. a , C/C2/3 a, 1,5-1,7 . , . C/C2/3. . 1921 . , -, . . " " ( , ). . . . . , , N. 3/2, . . . , . . . , , . , " ", , . . , . . . , - ( ) . . . . . , , , " " , , , . , -. , , , , . , , - . , . 2-- 3 . 1910-- 1920 . , , . , . , , , . , , . , , . G S . - , , . "". , "-4" 10,5 , , , . "-16" (1912 .) 13,8 , "-22" (1913 .) -- 15,6 . "-16" "-22" , , , "-22" . , , "-22" , "-16". . , . , , . . . 1910 . 10 , -10 (1912 .), , 16 . , "", . . , , . . . 1913 ., " " ("") 27 , " " 34 ( -- 37 ). . . , 2-- 2,5 , , . . -- . , . , . -- 17-- 17,5 , . . . , - . , . . 1921 . . " " " " . " " , , , . " " , , , " ". 1913 ., " " . "" "", , , 1,5-- 2 . 73 " " 1921-- 1922 ., . . 10 -- . " " , , , . . , . , , , " ", 4-5 , , , , . , , "", , " ", , , . 1918-- 1920 . . Tarrant "Tabor", 1919 . 6 500 . . , 40 , 11 ( " " 4,5 ), , , 8 . , , -- . -60 "". , , 28 , 400 . . . 1921 . . , , "" , . . 1920-- 1921 . " " (), , "", " ". , " ", "" 16 , . . , " ". . , 1922 ., , , , . . . "" (1915-- 1916 .); , , " ", , , , . ( ) . . , , " ", . . ; , . , .  1921-- 1922 ., . -- . . . . , -- , , , , , , , , . . . , . . , , . , , , . : , , . , , , . , , , . 1888 . : Pishnoff-86.gif-- ; N -- ; h0 -- , , . . ; r/r0 -- ; Kv=10,3(h0)2/3. , . . . . , , , . . . . . " " (1906 .). , , , J. Y J, V, r l: Y=rJVl. , . . . , . , , , . , , . , l N, " . . " : l l: Pishnoff-83.gif h -- ; h/l 0,l-0,2; -- 0,2-0,3. 6-8%, -- 15-20%. "" 16 , 19 . F0 , : Pishnoff-88.gif 0,75-0,80; , . , , . Pishnoff-89.gif : Pishnoff-90.gif , , . , . : Pishnoff-92.gif N=100 . ., S=30 2 l=12 , : Y~1400 . , : =8,6K1/3h2/3. A , A . 10000 . ., l=30 S=100 2, Y1=140 , Y2=47 T K=16 Ky=18 Y3=80 T. , . , , , , , : Pishnoff-93.gif F0, : Pishnoff-94.gif " ": N=600 . .; h=0,75; l=32 . F0 , 5200 Vmax=100-105 /, 29 /. , , : Pishnoff-95.gif F0=14,5 2 , 145 2, C0=1,28F0/S=0,128. , . " " ( ), , . 6-8%. Pishnoff-97.gif =0,938,66,61/30,752/3=12 , , Y=12(Nl)2/3=8650 . . , . Y/G=ny=1,65; ny , 3000 . 1916 . . . " D bis", , , "". 440 . . 26 6000 , 30% , . . . , "" . " " " ".  " " " " , . , " ". " " 27 , 2,5-3 , . 1912 . 1913 . , , "-" (- ), 1913 . . 100 . . , 3800 , 3000 . , . 100 . ., . , , , . . , -- , . . . . . . (. 2). " ". , , , . , , , . , , , ; , , , , . "" , . Pishnoff-99.gif . 2. " " , , . . , . . , . " " ,