> Cy
20 -- r,
21 -
"-". .
. ;
.
"-" .
-- 130 /;
2,
2000 1,5; ,
.
"
. . ". "
-II",
"-" (. 2, ). :
100 . ., 160 . .;
;
, .
" -II" . ,
""
, .
1914 .
. 1914 .
- ; ,
"-", -- 80 . ., --
20 / , .
"-"
, ; 44
0,3 2.

. 2 :
-- " II", -- "-17", -- ""; -- ,
, ,
20-25%. , . . 1914 .,
,
20
.
10%,
-- 20%,
.
.
--
9-10 7,5-8,5 . ,
; --
.
,
.
1915 . -
"-10" "-11";
-- "" .
"-11" "".
"-17", -21, -23, -24 -24 ;
. "-17" 110 . .
, "-11"; "-23"
120 . .; "24 "
"23" , .
"" (. . 2, ),
: --
, ; 0,7
, .
"V".
""
; .
; -- ,
;
.
"" . ,
, ,
.
. "",
, .
.
. 1 , ""
=l,0, m 1,3.
.
, .
,
.
. "" , ,
.
1918 . "" ""
.
. 1917 .
""
("") 130 . . (. 2, ).
. 1; ,
"" n
2,5 10 .
"" 7 . ,
.
n=1;
n
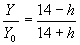
Y/Y.
. 3 Y/Y0
:
,
.
.
.
. 3 ,
:
1)
2)
3) ,
,
. 3. :
1 -- ; 2 --
; 3 --
.
1917 . -, . .
, , , (.
. 2, ). . 1, , ,
, "";
.
,
.
,
, ,
.
,
, . ,
,
. .
"" ,
. 1917 .
" F.-19".
"", --
7,35 -- ,
.
.
, ,
.
,
.
. ,
; ,
.
.
80 . ., -- 120-130 ..,
220-230 . . ,
2, -- 2,4-2,5,
2,7-2,8.
-
"".
( ,
) ,
, ,
.
KG0 (K
G0=3,35) --
.
-, 1917 .
- .
, ,
1150 1600 ,
. (. . 1)
" DR-1" (n =
2). .
" DR-1"
. , , ,
. ,
.
. " DR-1"
1,3-1,4,
, - .
, , , ,
, .
""
VII XIII. ,
.
-- ,
, .
. ,
, ,
. ,
,
.
.
"-VII" - 150 . .
1917-- 1918 ., --
- .
, "", ,
, .
"-XIII", ,
, 1917--
1918 . "-", . .
, .
.
"-VII",
, .
1917-- 1918 .
;
" D-V" 160 . .
"SE-5" 200 . .
1918 .
-, " D-VII".
.
,
,
.
185-220 . .
. . 4
a "RAF-15"
" D-VII". ,
, .
" D-VII"
.
,
, " D-VII".
,
, .
""
. 1922 .
" D-VII",
. .
. 4.
RAF-15 " D-VII"
- .
, "".
, 1934-- 1935
.
, , -- -
--
, .
-20,
. . .
"" "", ,
, ,
. , ,
.
.
. " " ""
80 . . ,
, .
" " , ,
. 1920-- 1921
. " " .
, ,
, .
, 1915-- 1920 .
. ,
, , , .
, ,
, ,
. ,
,
.
1920-- 1932 .
. ,
,
, . ,
". R" 220 . .,
.
. , - 300 .
., "" 400 . . .
1919 . " F-4"
- 300 . .;
. 2. ,
.
1922 .
. ,
, .
1924-- 1925 .
400 . . ,
. ,
.
""
.
1944-- 1945 .,
.
.
, ,
. . 3 ""
. , ,
,
420 . . 2,85.
. . . . ,
1920-- 1921 .,
-5 (. . ""),
. , 1923 . . .
". .", "", ,
, ,
. . . -
"-2" -5;
. "-2"
"-2 ". ". ." . .
,
; . . .
.
.
.
1926 . . .
, . . .
, ,
-- ,
, 1928 . "-3".
,
-6 500 . .
; 280 /,
2,8.
. . 1926 .
-- "-3" ("-3")
"-1" ("-4") --
. 1927 . "-4"
("-5") , ,
,
.
420 . ., 260 /
, 3,0, -- .
"-4" ;
, ,
.
, . . , . . , . .
,
, ,
480 . . ,
1930 . "-5",
.
. 3, ny
"-5" 3,3,
,
: G0=3,1, , ,
21% .
"-5"
" " .
1932-- 1940 .
.
F0
.
, ,
, , . ,
, , -,
F0, 0,8 ,
.
.
, ,
.
,
,
.
1933-- 1943 .,