Ocenite etot tekst:


Pyshnov V.S., "Iz istorii letatel'nyh apparatov", 1968 g
Izdatel'skij redaktor L. I Munina Tehnicheskij redaktor N. A. Puhlikova
Hudozhnik YA. T. Dvornikov Korrektor A. I. Karamyshkina
Sdano v nabor 29/III 1968 g. T-10097 Podpisano k pechati 10/VII 1968 g.
Tirazh 3600 ekz. Cena 78 kop. Tem. plan 1968 g. No 148
Izdatel'stvo "Mashinostroenie", Moskva, K-51, Petrovka, 24 Izd. zak. 2395
Moskovskaya tipografiya No 8 Glavpoligrafproma Komiteta po pechati pri Sovete Ministrov SSSR, Hohlovskij per., 7. Tip. zak. 678
Ill. -- 59, tabl -- 3, bibliografiya -- 13 nazvanij.
Redaktor inzh. K. YA. Zajceva
UDK 629.735.33(091)

     OCR&spellcheck Andrej Tarasenko bb_dubna@pisem.net




     Soderzhanie
     Ot avtora
     1.  Na   chem  letal  Petr  Nikolaevich
Nesterov
     Vvedenie
     Na planere
     Na svobodnom aerostate
     Na uchebnom samolete
     Na      voennom     samolete
"N'yupor-4"
     Na samolete "Moran-ZH"
     Novaya sistema upravleniya
     2.  Pervye   tyazhelye
gruzopod®emnye samolety
      Istoriya razvitiya.  1910-- 1921
gg.
     Analiz   gruzopod®emnosti
samoletov
     Samolet "Russkij vityaz'"
     Samolet "Il'ya Muromec"
     3. Manevrennye istrebiteli
     Vvedenie
     Harakteristiki
manevrennosti
     Obzor istorii  razvitiya
manevrennyh istrebitelej. 1914-1920 gg.
     Razvitie      manevrennyh
istrebitelej v period 1920-- 1932 gg.
     Razvitie     manevrennyh
istrebitelej v period 1932-- 1940 gg.
     Letno-tehnicheskie  harakteristiki
nekotoryh manevrennyh samoletov
     Samolet "N'yupor-17"
     Samolet I-5
     Samolet I-153
     Samolet I-16
     Bibliografiya
     Avtor  -- izvestnyj sovetskij uchenyj, posvyativshij aviacii  55 let svoej
zhizni.
     V predlagaemom i posleduyushchih  ego sbornikah budet rasskazano o naibolee
interesnyh, s inzhenernoj tochki zreniya,  samoletah proshlogo  i sovremennyh, a
takzhe  o   nekotoryh  issledovatel'skih  rabotah  v  oblasti   aeromehaniki.
Izlozhenie vedetsya s pozicij proverki staryh idej i teorij, a, sledovatel'no,
luchshego osmyslivaniya novyh.
     V  pervyj  vypusk  etih sbornikov voshli stat'i  o samoletah, na kotoryh
letal P.  N.  Nesterov,  o  pervyh russkih  tyazhelyh samoletah i  manevrennyh
istrebitelyah.
     Material izlagaetsya  ne po  literaturnym istochnikam,  a po  sobstvennym
vpechatleniyam i  obobshcheniyam  avtora. Iz mnogih tipov samoletov avtor vydelyaet
naibolee vazhnye konstrukcii i daet analiz udach i oshibok rannej pory razvitiya
aviacii. Vse illyustracii v knige prinadlezhat avtoru.
     Kniga,  nesomnenno,  budet interesna  dlya  shirokogo  kruga  aviacionnyh
specialistov, prepodavatelej i studentov VTUZov, a takzhe dlya lic, rabotayushchih
v oblasti istorii tehniki.


     Bolee 55 let ya v tom ili inom vide sledil za razvitiem aviacii, sobiral
otnosyashchiesya  k  nej  svedeniya,  pristal'no  nablyudal  za  poletami,   izuchal
aviacionnye  nauki  i zatem  aktivno  uchastvoval  v  raznoobraznyh  oblastyah
inzhenernoj, nauchnoj i letno-prakticheskoj deyatel'nosti.  Prostoe perechislenie
imen  uchenyh, inzhenerov, konstruktorov,  letchikov  i drugih  specialistov  v
oblasti aviacii, s kotorymi ya byl znakom i s kotorymi sotrudnichal, zanyalo by
ochen' mnogo  mesta. YA byl svidetelem mnogih interesnyh radostnyh i pechal'nyh
sobytij, lichno proizvel  ochen' bol'shoe kolichestvo raschetov, izgotovil  mnogo
chertezhej, napisal ryad knig i bol'shoe chislo statej. V itoge -- v moej pamyati,
v zapiskah i vyrezkah sobralos' mnogo svedenij, kotorye budut utracheny, esli
ih ne obrabotat' i ne sistematizirovat' tak, chtoby imi mogli vospol'zovat'sya
drugie.
     Mnoyu  uzhe  byl  napisan  ryad  statej  po  istorii razvitiya  letatel'nyh
apparatov i aviacionnyh nauk. V  chastnosti, ryad  statej byl  posvyashchen trudam
"otca  russkoj  aviacii"  Nikolaya   Egorovicha   ZHukovskogo,  obzoru  nauchnyh
dostizhenij i vliyaniya ih na praktiku stroitel'stva letatel'nyh apparatov. |ti
stat'i izdavalis' v  zhurnale "Vestnik  Vozdushnogo  Flota" (nyne  "Aviaciya  i
kosmonavtika"), v sbornikah i otdel'nyh izdaniyah Voenno-vozdushnoj Inzhenernoj
Akademii  im. N.  E.  ZHukovskogo  i  Nauchno-memorial'nogo  muzeya im.  N.  E.
ZHukovskogo.  Sejchas  ya  polagayu  celesoobraznym  vypuskat'  sborniki  statej
nauchno-tehnicheskogo  soderzhaniya,   v   kotoryh  mozhno   bylo   by   pomeshchat'
raznoobraznyj  material,  otnosyashchijsya  i  k  proshlomu,  i  k  sovremennosti,
ob®edinyaya ego s pozicij sovremennyh znanij. Avtor ne stavit pered soboj cel'
sozdat'  iz  otdel'nyh statej celostnuyu i  posledovatel'nuyu istoriyu razvitiya
aviacionnoj nauki i tehniki. Takaya zadacha neposil'na dlya odnogo cheloveka.
     Vpechatleniya  dalekogo proshlogo  eshche stoyat u menya  pered  glazami,  no ya
starayus' smotret'  na  nih ne  tol'ko  s pozicij sovremennyh  znanij,  no  i
uchityvat' vozmozhnosti togo vremeni.
     Kogda  prihoditsya  chitat'  raboty, v kotoryh kasayutsya  istorii razvitiya
nauki  i tehniki, chasto mozhno vstretit' skrytyj i dazhe pryamoj uprek uchenym i
konstruktoram  proshlogo v  tom, chto oni  ne prinyali vo vnimanie te  ili inye
obstoyatel'stva ili chto oni delali  analiz, ispol'zuya  grubye metody.  Delat'
eto  edva li celesoobrazno.  My, konechno,  vsegda  mozhem najti osnovaniya dlya
upreka v adres dazhe velikih uchenyh. YA polagayu, chto gorazdo poleznee vniknut'
vo vse obstoyatel'stva i usloviya proshlogo, chtoby ponyat', kak slozhilis' te ili
inye  teorii i metody.  Deyatel'nost'  lyudej  prohodit v usloviyah  nalichiya  i
postoyannogo popolneniya informacii, razvitiya mnenij i, konechno, pod davleniem
prakticheskoj potrebnosti. YA uveren, chto uchenye i inzhenery neredko  primenyali
uproshchennye teorii i  grubye metody  rascheta  vovse ne  potomu,  chto ne mogli
sdelat' eto tochnee i strozhe, a prosto ne videli v etom bol'shoj neobhodimosti
v usloviyah, kogda  ih vnimanie bylo  obrashcheno na drugoe, po ih mneniyu, bolee
vazhnoe.
     |to  ne  znachit,  chto  uprekov  proshlomu voobshche  ne  sleduet delat'.  K
sozhaleniyu, v rabotah proshlogo mozhno vstretit' grubye oshibki ili zabluzhdeniya.
Na nih, konechno, neobhodimo  ostanovit'sya. Nam kazhetsya, chto my sejchas delaem
vse gorazdo luchshe,  chem eto delali ran'she.  Vo-pervyh, eto ne vsegda,  mozhet
byt', spravedlivo, a, vo-vtoryh,  nel'zya otognat'  ot sebya  mysl', chto cherez
nekotoroe vremya  i nas budut kritikovat' i obvinyat' v raznyh pogreshnostyah, i
dazhe v tom, chto my ne videli ochevidnogo.
     A. |jnshtejn v  knige  "|volyuciya fiziki"  (A.  |jnshtejn  i  L.  Infel'd,
|volyuciya fiziki, Gostehizdat, 1948  (str. 84)) govorit: "My dolzhny proverit'
starye  idei, starye teorii,  hotya oni i prinadlezhat  proshlomu,  ibo eto  --
edinstvennoe   sredstvo   ponyat'   vazhnost'   novyh   idej   i   granicy  ih
spravedlivosti". Vse eto A. |jnshtejn prekrasno demonstriruet v svoej knige.
     Kogda ya izuchayu trudy i stat'i uzhe otdalennogo proshlogo ili rassmatrivayu
konstrukcii mashin, ya ispytyvayu  glubokoe uvazhenie k ih avtoram, kotorye  pri
nalichii krajne malogo opyta i ogranichennosti teorij  tem  ne menee dostigali
bol'shih uspehov i predvideli  to,  chto proizojdet eshche ne skoro. Bol'she vsego
voshishchaet menya yasnost' mysli  nekotoryh uchenyh,  kotorye,  estestvenno, mnoyu
bolee lyubimy.
     |to tol'ko pervyj sbornik.  Skol'ko ih budet eshche  -- pokazhet budushchee. YA
imeyu  namerenie  v  sbornikah  pomeshchat'   raboty,   ob®edinennye   nekotoroj
tematicheskoj celostnost'yu.  Stat'i pervogo sbornika ob®edineny rassmotreniem
velichiny pod®emnoj  sily, razvivaemoj  apparatami tipa  samoleta. Privodimye
raschety  pochti  ne  vyhodyat  za  ramki  tak  nazyvaemogo  "Aerodinamicheskogo
rascheta"   ili,  tochnee,   rascheta  letnyh  harakteristik  v  ustanovivshemsya
pryamolinejnom  dvizhenii  i  manevre.  Tri  stat'i  etogo  pervogo  sbornika,
konechno,  ne  ischerpyvayut vsego togo,  chto ya  hotel  by izlozhit'  v podobnom
aspekte. Vozmozhno, chto etu temu udastsya prodolzhit' vposledstvii.





     


     Vsego   lish'   okolo   treh   let   prodolzhalas'   letnaya  deyatel'nost'
zamechatel'nogo  russkogo letchika Petra  Nikolaevicha Nesterova.  Nachalas' ona
letom 1911 g., kogda on  postroil  sobstvennymi silami  balansirnyj planer i
sovershal na nem  nebol'shie buksirnye polety v okrestnostyah Nizhnego Novgoroda
(nyne g. Gor'kij).
     Letom 1912 g.  P. N. Nesterov  obuchaetsya upravlyat' samoletom na uchebnom
samolete-biplane  "Farman-4"  i v  konce  sentyabrya sdaet na  nem  ekzamen na
zvanie  pilota-aviatora. 5  oktyabrya togo zhe  goda on sdaet ekzamen na zvanie
voennogo  letchika, vidimo,  na  samolete  "Farman-7", kotoryj  neznachitel'no
otlichalsya ot samoleta "Farman-4".
     Zatem on  napravlyaetsya  v  Varshavskuyu  aviacionnuyu shkolu,  gde prohodit
trenirovku  na  samoletah-monoplanah  "N'yupor-4",  kotorye  byli prinyaty  na
vooruzhenie v russkoj voennoj aviacii. Na etom samolete emu prihoditsya bol'she
vsego letat'; na nem on ovladevaet glubokimi  virazhami, sovershaet  pervuyu  v
mire  petlyu  v   vertikal'noj  ploskosti,   razrabatyvaet  voprosy  voennogo
primeneniya aviacii, sovershaet ryad pereletov, v tom chisle gruppovyh. Izvesten
ego zamechatel'nyj  perelet iz Kieva v Gatchinu (bliz Leningrada) za odin den'
pochti  bez  podgotovki. Na  etom  zhe samolete P. N. Nesterov ispytyvaet svoyu
novuyu   sistemu  upravleniya   bez  vertikal'nogo  opereniya,   kotoraya   byla
prednaznachena dlya  samoleta ego sobstvennoj konstrukcii.  Na "N'yupore" zhe on
nachal vypolnyat' boevye polety v iyule -- avguste 1914 g.
     Poslednim  samoletom,  na kotorom  letal  P. N. Nesterov, byl  monoplan
"Moran-Soln'e"  tipa  "G",  kotoryj  po  skorosti  i  manevrennym  svojstvam
prevoshodil  samolet  "N'yupor-4".  Poletami  na nem on  ovladel,  vidimo,  v
bytnost'  svoyu v Moskve letom  1914  g.; na  samolete etogo tipa on sovershil
perelet Moskva-- Peterburg 11 iyulya 1914 g., proletev bez posadki  okolo  600
km. |to bylo bol'shim dostizheniem dlya togo vremeni. Nakonec, na etom samolete
Nesterov  sovershil  svoj  gerojskij  podvig,  taraniv v vozduhe  avstrijskij
samolet 8  sentyabrya  1914  g.;  pri  etom  on pogib  sam  iz-za  povrezhdeniya
sobstvennogo samoleta pri tarane.
     Na samoletah  s dvigatelem on letal  lish'  okolo dvuh let, no kak mnogo
bylo sdelano P. N. Nesterovym  za  takoj korotkij srok! V  to vremya aviaciej
ochen' uvlekalis', letchikami stanovilis' otvazhnye i odarennye  lyudi. Samolety
togo  vremeni byli ochen' nesovershenny, osobenno  v otnoshenii  ustojchivosti i
prochnosti, tak kak imenno eti voprosy byli naibolee slabo izucheny.
     Nesterovu  udalos' razreshit' korennye  voprosy  tehniki pilotirovaniya i
voennogo primeneniya samoletov.  Lichnaya otvaga u  nego schastlivo sochetalas' s
glubokimi znaniyami, bol'shoj nablyudatel'nost'yu i lyuboznatel'nost'yu.
     Biograficheskie svedeniya o zhizni  i  deyatel'nosti  P.  N. Nesterova  uzhe
izlagalis'  ryadom  avtorov  i  edva  li  mozhno   dobavit'   k  nim  chto-libo
sushchestvennoe.  CHtoby  v  polnoj  mere  ocenit'   zaslugi  P.  N.  Nesterova,
neobhodimo   bolee   gluboko   osvetit'   nauchno-tehnicheskuyu   storonu   ego
deyatel'nosti,  chego ne mogli  sdelat' ego  sovremenniki. Nesterov  letal  na
konkretnyh samoletah -- v sushchnosti tol'ko na treh tipah; oni obladali vpolne
opredelennymi svojstvami i vozmozhnostyami. Za  minuvshie 50 let aviaciya proshla
ogromnyj  put' razvitiya -- ot skorostej poryadka  100-130 km/chas do 2500-3000
km/chas; sootvetstvenno izmenilis'  i drugie svojstva samoletov,  vozroslo ih
obshchee tehnicheskoe sovershenstvo  i  osnashchennost' apparaturoj. U Nesterova byl
edinstvennyj aviacionnyj pribor -- vysotomer; rabotu dvigatelya  proveryali na
sluh; skorost' poleta  tozhe  opredelyali  na  sluh  i sudili  o nej po rabote
rulej.
     P.  N. Nesterovu,  kak i mnogim drugim  russkim letchikam  togo vremeni,
prishlos'  letat' lish' na  samoletah inostrannyh  konstrukcij. Lish'  nemnogie
izobretateli  i  letchiki  pri  zavodah  mogli  letat'  inogda  na  samoletah
otechestvennoj konstrukcii, stroivshihsya v neskol'kih ekzemplyarah. Isklyucheniem
yavlyalsya  pervyj  mnogomotornyj  samolet  "Il'ya  Muromec",  kotoryj  stroilsya
serijno do Oktyabr'skoj  revolyucii. Drugie serijnye samolety  perioda  pervoj
mirovoj vojny, stroivshiesya na zavodah Lebedeva i Anatra, yavlyalis' v sushchnosti
modifikaciyami   germanskih   samoletov   firmy   "Al'batros".   Original'nye
otechestvennye  konstrukcii,  za   isklyucheniem  samoleta  "Il'ya  Muromec"   i
gidrosamoletov D. P. Grigorovicha, tak i ne mogli probit' sebe dorogu. Tol'ko
posle  Oktyabr'skoj  revolyucii   Kommunisticheskaya  partiya   postavila  zadachu
izbavit'sya  ot inostrannoj zavisimosti v oblasti stroitel'stva  samoletov  i
dvigatelej. |to bylo vypolneno menee chem za desyat' let.
     V dannoj  stat'e my hotim  detal'no rassmotret' svojstva  i tehnicheskie
vozmozhnosti samoletov, na kotoryh letal P. N. Nesterov, s cel'yu tehnicheskogo
analiza aviacii togo  vremeni na  primere nekotoryh tipichnyh konstrukcij, na
kotoryh prishlos' letat'  mnogim russkim letchikam. V  to vremya raschety letnyh
harakteristik byli  ogranicheny  po ob®emu  i ochen' gruby. Tehnicheskij analiz
samoletov,  na  kotoryh  letal  P.  N.  Nesterov,   pozvolit  nam  sudit'  o
vozmozhnostyah, kotorymi on raspolagal v polete.



     Nachnem s planera, kotoryj P. N. Nesterov postroil sobstvennymi silami i
sredstvami  i  na kotorom on vpervye  poznakomilsya  so  svojstvami  krylatyh
letatel'nyh  apparatov.  |tot  planer  otnosilsya  k  kategorii  balansirnyh,
korobchatogo  tipa.  Termin  "balansirnyj"  ukazyvaet na sredstvo  upravleniya
putem  peremeshcheniya  gruza  otnositel'no  kryla  vpered,  nazad i  v storony.
Peremeshchaemym gruzom byl sam letchik, ves  kotorogo sostavlyal okolo 75% obshchego
vesa  vsego  letatel'nogo  apparata.  Balansirnoe  upravlenie  bylo  vpervye
realizovano  Otto Lilientalem v poslednem desyatiletii XIX veka; on  pogib na
odnom iz svoih planerov v 1896 g. S planerom-monoplanom  Lilientalya my mozhem
detal'no poznakomit'sya po ekzemplyaru, kotoryj byl podaren N. E. ZHukovskomu i
nahoditsya v Nauchno-memorial'nom muzee ego imeni v Moskve.
     Planery  Lilientalya  --  monoplan  i  biplan  --  byli  original'ny  po
konstrukcii; napominaya kryl'ya letuchej myshi, oni imeli provolochnye  rastyazhki.
SHanyutom  v  Amerike  byla  razrabotana  drugaya  konstrukciya,  kotoraya  ochen'
napominala izvestnye korobchatye zmei, no  tol'ko vtoroe,  zadnee,  krylo ego
bylo znachitel'no  umen'sheno. Korobchatye balansirnye planery poluchili bol'shoe
rasprostranenie vsledstvie prostoty ih izgotovleniya i  zhestkosti konstrukcii
i stroilis' s raznymi izmeneniyami  --  v osnovnom, s postepennym umen'sheniem
hvostovoj poverhnosti. Nekotorye konstruktory dobavlyali i organy upravleniya.
     Korobchatyh  balansirnyh planerov  v Rossii stroilos' mnogo, tak kak oni
byli deshevy, dovol'no bezopasny i  prosty v izgotovlenii. V  zhurnale "Vokrug
sveta"  za 1910  g.  byl  detal'no  opisan  korobchatyj  balansirnyj  planer,
postroennyj iz bambukovyh palok. V 1910 g. v Kieve byla opublikovana broshyura
professora  N. B. Delone  "Ustrojstvo deshevogo  i legkogo  planera i sposoby
letaniya  na  nem".  Ves  etogo  planera  byl  okolo  20 kG i  stoimost'  ego
ocenivalas' vsego v 20 rublej.
     Nesmotrya na raznoobrazie  konstrukcij i otdel'nye osobennosti, svojstva
etih  planerov byli  primerno odinakovy, chto opredelyalos'  razmahom kryl'ev,
ravnym  okolo  6  m  i  ploshchad'yu kryl'ev  S  --  okolo 16 m2.  Ih
aerodinamicheskoe kachestvo  bylo nizkim iz-za malogo effektivnogo  udlineniya,
gruboj formy detalej, obiliya rastyazhek i, konechno, iz-za visyashchej vo ves' rost
figury letchika. Primernyj vid planera P. N. Nesterova pokazan na ris. 1.
     Posmotrim, kakovy byli harakteristiki planerov togo vremeni i naskol'ko
oni  otlichayutsya ot  sovremennyh.  Planery pervogo desyatiletiya  XX veka imeli
dovol'no  nizkie  letnye harakteristiki; na  nih  udavalos' sovershat' tol'ko
kratkovremennye polety, dlitel'nost'yu v neskol'ko sekund, redko -- v desyatki
sekund. Odnako i takoj polet privlekal nachinayushchih aviatorov,  tem bolee, chto
stoimost' planera byla mala.
     My izlozhim  zdes' osnovy teorii planerov, primenyavshejsya  v  to vremya, i
sovremennye teorii. Rannie  sposoby rascheta byli ochen' prosty. Ugol snizheniya
planera   raven  velichine,   obratnoj  aerodinamicheskomu  kachestvu,  kotoroe
opredelyalos' prakticheski, i dlya biplanov s otkrytym raspolozheniem letchika ne
prevyshalo  1/3,5-- 1/4. Skorost' poleta  tozhe  opredelyalas'  prakticheski ili
teoreticheski  --  s ispol'zovaniem  harakteristik  kryl'ev,  poluchennyh  pri
laboratornyh izmereniyah v vozdushnom potoke.
     Pishnoff-1.gif

     Pishnoff-2.gif

     Pishnoff-3.gif
     Ris. 1. Shema balansirnogo planera P. N. Nesterova
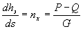
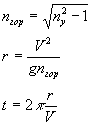
     Skorost' planirovaniya  opredelyalas' v  osnovnom udel'noj  nagruzkoj  na
krylo  G/S,  gde  G  --  poletnyj  ves  v  kG  i  S  --  ploshchad'  kryl'ev  v
m2. V srednem mozhno bylo schitat'
     Pishnoff-4.gif
     Tak,  pri vese  okolo  100  kG i  ploshchadi kryl'ev  16 m2  my
poluchim  skorost'  po  otnosheniyu k  vozdushnoj  srede,  ravnuyu  9-10 m/sek, i
skorost'  snizheniya  Vy=  V/K=2,2-2,7  m/sek.  Takaya  vertikal'naya
skorost' sootvetstvuet  pryzhku s  vysoty 1/4-1/3 m. Pri polete protiv vetra,
imeyushchego  skorost'  5-6 m/sek, skorost'  peremeshcheniya  planera po otnosheniyu k
poverhnosti zemli sostavlyala 4-5 m/sek.  Iz etih harakteristik legko videt',
chto  polet na  planere  malo  otlichalsya ot  bega i pryzhkov, no tol'ko  vremya
nahozhdeniya cheloveka v vozduhe pri etom bylo  gorazdo bol'she, chem pri prostom
pryzhke s vysoty.
     Uluchshenie aerodinamicheskogo kachestva trebovalo znachitel'nogo uslozhneniya
planera, a umen'shenie  udel'noj nagruzki putem  uvelicheniya  ploshchadi  kryl'ev
delalo planer gromozdkim, i balansirnoe upravlenie  stanovilos' neprigodnym.
Perejdem k obshchej teorii planera, kak ona slozhilas' vposledstvii.
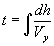
     Letyashchee telo podverzheno dejstviyu sily zemnogo prityazheniya, opredelyaemogo
vesom tela G. Za vremya  poleta t telo poluchit impul's tyagoteniya G*t, kotoryj
soobshchit telu vertikal'nuyu  skorost' Vy=9,8t. CHtoby telo dvigalos'
gorizontal'no ili s  postoyannoj  vertikal'noj skorost'yu, impul's, soobshchennyj
siloj tyagoteniya, dolzhen  byt'  peredan drugomu  telu -- okruzhayushchej vozdushnoj
srede ili  gazam,  vybrasyvaemym reaktivnym  dvigatelem.  Peredacha  impul'sa
trebuet rashodovaniya  energii i, krome togo, budut drugie faktory, trebuyushchie
dopolnitel'nogo rashodovaniya energii. Planer  mozhet rashodovat' tol'ko  svoyu
energiyu vysoty, ili potencial'nuyu  energiyu, nepreryvno snizhayas' po otnosheniyu
k  okruzhayushchej vozdushnoj srede.  CHtoby  planer  snizhalsya  pologo i  medlenno,
neobhodimo,  chtoby na peredachu impul'sa i pobochnye poteri zatrachivalos' malo
energii.   Pobochnye   poteri   budut   voznikat'   iz-za   nalichiya   lobovyh
soprotivlenij, ne svyazannyh pryamym obrazom s sozdaniem pod®emnoj sily.
     Krylo, peremeshchayas' v vozdushnoj srede,  vozdejstvuet na  nee, ottalkivaya
vozduh  vniz tak,  chto kazhduyu sekundu vozdejstviyu podvergayutsya vse  novye  i
novye massy vozduha.  Krylo  vozdejstvuet  naibolee sil'no na sloi  vozduha,
prohodyashchie  vblizi  nego,  i eto vozdejstvie postepenno  oslabevaet  po mere
otdaleniya  massy vozduha ot kryla  po vertikali. Esli uslovno  schitat',  chto
vozdejstvie  ne  zavisit  ot   rasstoyaniya  do  kryla,  my   poluchim   vpolne
opredelennuyu  massu  vozduha, na  kotoruyu  ezhesekundno vozdejstvuet krylo  v
processe  soobshcheniya  impul'sa,  nazyvaemuyu  sekundnoj  massoj ms.
Okazyvaetsya,  chto  ona  zaklyuchena  v  cilindricheskom  otrezke   dlinoj  V  i
diametrom, ravnym razmahu kryla l; otsyuda poluchim
     Pishnoff-5.gif
     i      pri      normal'noj     plotnosti      vozduha      s=     0,125
kG*sek2/m4       poluchim        ms        =
0,l*V*l2.
     Vertikal'nuyu  skorost'  W,   soobshchennuyu  masse  ms,  poluchim
deleniem vesa planera na  ms,  t.  e. W=G/ms; energiya,
soobshchennaya masse ms, budet ravna
     Pishnoff-6.gif
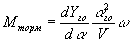
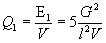
     |tu  zatratu  energii  mozhno  svesti   k   preodoleniyu   soprotivleniya,
nazyvaemogo  induktivnym i vyzyvaemym  formirovaniem pod®emnoj sily,  ravnoj
vesu;   velichinu  induktivnogo  soprotivleniya   poluchim,   podeliv   energiyu
E1 na skorost' poleta
     Pishnoff-7.gif
     Dopolnitel'naya zatrata energii budet vyzvana neobhodimost'yu preodoleniya
soprotivleniya  chastej  planera;  ego  mozhno  predstavit'  kak  soprotivlenie
nekotoroj ploskoj ploshchadki F, raspolozhennoj perpendikulyarno k linii poleta:
     Pishnoff-8.gif
     gde 1,28 -- koefficient soprotivleniya ploskoj plastinki.
     Soprotivlenie Q1  obratno  proporcional'no  V2, a
Q2  pryamo  proporcional'no  etoj  velichine;   netrudno  bylo   by
pokazat',  chto minimal'noe summarnoe soprotivlenie budet pri ravenstve oboih
soprotivlenij,  a  iz  etogo  usloviya  my  poluchim  sootvetstvuyushchuyu skorost'
poleta, nazyvaemuyu  naivygodnejshej,  Vn, v  maksimal'noe znachenie
aerodinamicheskogo kachestva Kmah:
     Pishnoff-9.gif
     Pishnoff-10.gif
     Pishnoff-11.gif
     Pishnoff-12.gif
     Vertikal'nuyu   skorost'   planera   poluchim,   razdeliv   skorost'   na
aerodinamicheskoe kachestvo:
     Pishnoff-13.gif
     Minimum skorosti  snizheniya  budet pri  skorosti na 25-30%  men'shej, chem
naivygodnejshaya, no pri  aerodinamicheskom  kachestve, ponizhennom  primerno  na
15%, i togda skorost' snizheniya budet ravna:
     Pishnoff-14.gif
     Iz etoj formuly my vidim,  chto pri dannom vese planera naibolee sil'nym
sredstvom umen'sheniya  skorosti snizheniya yavlyaetsya uvelichenie razmaha kryl'ev;
umen'shenie  vrednoj  ploshchadi F  vliyaet  dovol'no slabo. V sluchae  biplana  v
raschet vvoditsya ekvivalentnyj razmah kryl'ev
     Pishnoff-15.gif
     gde h -- rasstoyanie mezhdu kryl'yami.
     Dlya  biplana  s  razmahom  6  m  i   rasstoyaniem  h=1,3  m  my  poluchim
ekvivalentnyj  razmah le=6,8 m. U balansirnogo planera s  grubymi
formami i otkryto visyashchim  letchikom velichina F okolo 1,2-1,4  m2;
maksimal'noe aerodinamicheskoe kachestvo budet okolo 4,5; skorost'  poleta pri
poletnom  vese 90  kG budet 8-9 m/sek, skorost' snizheniya --  okolo 2  m/sek.
Sleduet ukazat',  chto esli krylo ploskoe  ili  iskrivlennoe, no obtyagivayushchaya
ego   materiya  ne   lakirovana,  effektivnyj  razmah   okazhetsya  znachitel'no
ponizhennym:
     Pishnoff-16.gif
     Zdes'   S  --   ploshchad'  kryl'ev;  u  nashego  planera   ona  okolo   16
m2, i togda le=4,25 m; aerodinamicheskoe kachestvo budet
okolo 3 i skorost' snizheniya -- okolo 2,8 m/sek.
     Krome  prodelannyh  vyshe   raschetov,   neobhodimo  proverit'   velichinu
koefficienta pod®emnoj sily pri minimal'noj skorosti snizheniya:
     Pishnoff-17.gif
     Tak,  v nashem  primere  pri  V=8  m/sek, G/S=5,6 kG/m2 imeem
Sy=1,4. Dlya obychnogo profilya eto bol'shaya  velichina i profil' mozhet okazat'sya
blizkim k  sryvu obtekaniya. Vo izbezhanie  etogo, letat' nuzhno na  povyshennoj
skorosti, chto povedet k uvelicheniyu skorosti snizheniya.
     Mozhno pokazat',  chto  vo  izbezhanie  polucheniya izlishne  bol'shogo  Su na
rezhime pologogo planirovaniya velichina
     
     ne  dolzhna  prevyshat' 0,4-0,5, gde  bsr  --  srednyaya  shirina
kryla,  ravnaya  ploshchadi kryla, delennoj  na razmah,  bcp=S/l; dlya
biplana  nuzhno   prinimat'  bcp=S/le.  U   balansirnyh
planerov  F  priblizitel'no ravno  1,3  m2 i  potrebnaya  velichina
bcp budet  2,3-2,5 m. Ochevidno, chto dlya polucheniya takogo znacheniya
srednej shiriny kryla bolee celesoobrazno razbit' ee na dva kryla, raspolozhiv
odno nad  drugim.  Tak  eto i delali, hotya podobnogo  teoreticheskogo  vyvoda
togda  eshche  polucheno ne bylo. Vposledstvii  blagodarya  umen'sheniyu velichiny F
shirina kryla  bsr  byla  sokrashchena  do 1,0-0,75  m.  Pri  bol'shom
razmahe eto privelo k ochen' bol'shomu udlineniyu l = l/bsr.
     Mozhno  schitat', chto  planery Nesterova--  Delone imeli aerodinamicheskoe
kachestvo  okolo  4  i  skorost'  snizheniya  bolee 2  m/sek.  CHtoby  sovershat'
planiruyushchie polety, nuzhno  bylo imet' sklon gory kruche, chem  15o.
Kak izvestno, Liliental' sdelal dlya sebya special'nuyu gorku. Pri ugle otkosa,
ravnom  20o,  i  pri  vetre, imeyushchem skorost'  bolee  6-7  m/sek,
poluchalsya voshodyashchij potok so skorost'yu bolee 2 m/sek i byl vozmozhen paryashchij
polet.  Odnako  pri nesovershennom  balansirnom  upravlenii  eto  bylo  ochen'
riskovanno i privelo Lilientalya k gibeli.
     Avtor  tozhe  provodil  opyty  poleta  na  balansirnom  planere.  Pervoe
vpechatlenie pri ispytanii bylo ochen' neozhidannym. Podojdya k dovol'no krutomu
otkosu  pri  skorosti  vetra   okolo  6   m/sek,  ya,   k  svoemu  udivleniyu,
pochuvstvoval,  chto  planer ne hochet planirovat'. Blagodarya nalichiyu pod®emnoj
sily ya edva stoyal  na zemle, i  ne mog prilozhit' usiliya, chtoby pobezhat' vniz
po sklonu. Tol'ko posle neskol'kih popytok mne udalos' uvelichit' skorost'  i
otorvat'sya. CHuvstvovalos',  chto  neobhodima  dopolnitel'naya  tyaga;  togda  k
planeru privyazali dve  verevki,  za  kotorye  stali tyanut'  moi  tovarishchi. S
dopolnitel'noj  tyagoj  delo  poshlo luchshe i mozhno bylo  sovershat'  podlety  s
pologih sklonov.
     K  dopolnitel'noj tyage pribegali i  mnogie  drugie.  Podobnyj buksirnyj
polet  mozhno  sovershat' i  na rovnoj  mestnosti.  Potrebnuyu  silu tyagi legko
opredelit'; pri vese okolo 90 kG  i kachestve 4  nuzhna  tyaga  22,5 kG.  CHtoby
sozdat' takuyu tyagu pri bege, nuzhno imet' 4-6 chelovek ili loshad'. Na  snimkah
poletov  P.  N.  Nesterova  mozhno uvidet'  primenenie buksirovki  na  rovnoj
mestnosti.
     Balansirnoe   upravlenie,  osobenno   bokovoe,   osushchestvlyat'  dovol'no
zatrudnitel'no.  Esli  predpolozhit',  chto  udastsya otklonit'  centr  tyazhesti
tulovishcha v  storonu na 7-10 sm  i tem smestit' centr tyazhesti  planera na 5-7
sm,  my  poluchim  moment  krena,  ravnyj  5-7  kG•m.  Plecho  pod®emnoj  sily
otnositel'no centra tyazhesti sostavit okolo 1,5-2% polurazmaha.
     Odin iz  poslednih, kto letal  na balansirnom planere v dvadcatye gody,
--  Pel'tcner  v  Germanii, -- imel edinstvennyj organ  upravleniya  --  rul'
napravleniya.  |to  sleduet priznat'  celesoobraznym. Pri nalichii poperechnogo
"V" kryl'ev, sozdavaya skol'zhenie rulem napravleniya,  mozhno  bylo sozdavat' i
ustranyat' ugly krena  s  uglovoj  skorost'yu do 10o  v  sekundu  i
upravlyat' napravleniem poleta.
     CHto  kasaetsya prodol'nogo upravleniya, to polet proishodit  primerno  na
postoyannom ugle  ataki,  kotoryj  planer dolzhen  ustojchivo  uderzhivat',  chto
obespechivaetsya   putem  pravil'nogo  vybora  centrovki   i  ugla   ustanovki
stabilizatora  (soblyudeniya  prodol'nogo  "V").   Tol'ko   v  moment  posadki
neobhodimo  uvelichit'  ugol  ataki, chto  i dostigaetsya peredvizheniem  pilota
nazad.  Vazhnejshim usloviem prodol'noj ustojchivosti  samoleta,  kak izvestno,
yavlyaetsya  sposobnost'  soprotivlyat'sya  izmeneniyu  peregruzki  kak  v  sluchae
dejstviya  vozdushnyh   techenij,  tak   i  pri  vypolnenii  manevra.  Kriterij
ustojchivosti  po  peregruzke  dovol'no  prost  i  zaklyuchaetsya   v  tom,  chto
aerodinamicheskij fokus dolzhen nahodit'sya pozadi centra tyazhesti.
     Primernyj raschet dlya planera Nesterova daet polozhenie aerodinamicheskogo
fokusa v tochke, lezhashchej primerno na rasstoyanii, ravnom 37% dliny hordy ot ee
perednej  kromki  (sm. ris.  1, tochka  O).  CHtoby poluchit'  polozhenie centra
tyazhesti (tochka O' na ris. 1) vperedi fokusa u planera rassmatrivaemoj shemy,
letchik dolzhen  raspolozhit'sya  v  dovol'no  perednem  polozhenii  --  pochti  u
perednego  lonzherona.  CHtoby  povysit'  zapas  ustojchivosti  u  balansirnogo
planera, nuzhno  bylo by prinyat' takuyu shemu, v kotoroj letchik mog  neskol'ko
bol'she   vydvinut'sya   vpered;    naprimer,   pridat'   kryl'yam    nebol'shuyu
strelovidnost' ili sdvinut' verhnee  krylo  nazad, primeniv  obratnyj vynos,
ili luchshe  sdelat' pryamoj vynos, kak  eto chasto delalos'  u biplanov,  t. e.
znachitel'no vydvinut' verhnee  krylo vpered, i  raspolozhit'  letchika vperedi
perednego lonzherona nizhnego kryla.
     Mozhet  byt',  i  ne  stoilo  by ostanavlivat'sya  na  polete balansirnyh
planerov: aerodinamicheski oni ochen' plohi -- skorost' snizheniya velika (2-2,5
m/sek),  kachestvo  nizko  i  upravlenie  nesovershenno.  Balansirnye  planery
sygrali svoyu,  polozhitel'nuyu,  rol',  dav  pioneram aviacii nekotoryj  opyt.
Odnako  i  proshloe polezno analizirovat', a, mozhet  byt', prostejshie planery
okazhutsya interesnymi i sejchas.
     Radikal'noe uluchshenie letnyh harakteristik planerov  nachalos' uzhe posle
okonchaniya pervoj mirovoj vojny  -- v 1921 -- 1922 gg. -- i v  etom dele byli
bystro  dostignuty  zamechatel'nye uspehi. V  Sovetskom  Soyuze v 1922 g.  byl
postroen planer  K. K. Arceulovym.  Po svoim formam  on  napominal  samolet,
razmah ego kryl'ev byl doveden do 13 m. Znachenie F  mozhno ocenit' primerno v
0,5-0,6 m2;  otsyuda my poluchim aerodinamicheskoe  kachestvo, ravnoe
13-14; pri poletnom vese 140 kG eto dast minimal'nuyu skorost' snizheniya okolo
0,7-0,75 m/sek. Stol' malaya  skorost'  snizheniya  pozvolila etomu planeru pod
upravleniem letchika L. A. YUngmejstera sovershit' paryashchij polet osen'yu 1923 g.
prodolzhitel'nost'yu bolee chasa.
     Razvitiyu planerov ves'ma  sposobstvovalo primenenie teorii induktivnogo
soprotivleniya,   iz  kotoroj  i  vytekayut  privedennye   vyshe  formuly   dlya
aerodinamicheskogo   kachestva   i  skorosti   snizheniya.   K   1925-1927   gg.
aerodinamicheskoe  kachestvo  planerov  povysilos'  do  20-25,  hotya  skorost'
snizheniya   umen'shilas'   sravnitel'no   nemnogo.  Dlya  sovremennyh  planerov
harakterny  razmahi  kryl'ev   16-18  m   i   dazhe  bolee,   znacheniya  F=0,2
m2  i  dazhe  menee;  pri etih usloviyah  aerodinamicheskoe kachestvo
budet  okolo   30-35.  Odnako  pri   bol'shih  razmahah  kryl'ev  znachitel'no
uvelichivaetsya  ves planerov. Pri razmahe  17 m poletnyj ves sostavlyaet okolo
350 kG i skorost' snizheniya budet okolo 0,55 m/sek.



     P. N.  Nesterov gotovilsya k  tomu, chtoby stat' aviatorom  -- letat'  na
samoletah, no put' k samoletu shel  cherez aerostat. Svobodnyj --  sfericheskij
-- aerostat poyavilsya bolee chem na 100 let ran'she  samoleta. Pravda, on dolgo
ne  nahodil   prakticheskogo  primeneniya,   esli  ne   schitat'  sportivnye  i
pokazatel'nye i ochen' nemnogie nauchnye polety. Vo vremya  osady Parizha v 1870
g. aerostaty  ispol'zovalis' dlya svyazi  i dlya begstva iz osazhdennogo  Parizha
nemnogimi  licami. Vsya beda  byla  v  tom,  chto svobodnyj  aerostat ne  imel
svoego,  samostoyatel'nogo,  dvizheniya, obladaya  lish'  nekotoroj  vertikal'noj
skorost'yu.  Problema stroitel'stva upravlyaemyh aerostatov  -- dirizhablej  --
byla reshena  tol'ko nemnogo ran'she,  chem problema sozdaniya samoleta. Obe oni
byli resheny v rezul'tate sozdaniya legkogo dvigatelya vnutrennego sgoraniya.
     Voennoe vozduhoplavanie stalo razvivat'sya ran'she,  chem voennaya aviaciya,
i sootvetstvenno ran'she byli  sozdany voennye vozduhoplavatel'nye shkoly. Oni
dolzhny byli gotovit' specialistov po voennym dirizhablyam; podobnaya oficerskaya
shkola  byla  i  v Peterburge;  v nee  i  postupil  P.  N.  Nesterov. Russkoe
vozduhoplavanie  razvivalos' ploho; dirizhablej  bylo  malo,  ekspluataciya ih
byla trudna i avarii chasty. V vozduhoplavatel'noj shkole davali teoreticheskuyu
podgotovku,  a poletnaya praktika v  osnovnom  osushchestvlyalas' na  sfericheskih
aerostatah.  P. N. Nesterov  poshel v  vozduhoplavatel'nuyu shkolu  potomu, chto
cherez  nee  prohodil put'  v  aviaciyu;  polety  na  aerostatah  znakomili  s
usloviyami poleta voobshche; v shkole byli specialisty i po samoletam.
     Sleduet  ukazat', chto v to vremya termin "vozduhoplavanie" otnosilsya i k
samoletam.  Tak,  zamechatel'nyj  trud  N.  E.  ZHukovskogo  po  aerodinamike,
vozdushnym vintam  i  dinamike  poleta  nosit nazvanie  "Teoreticheskie osnovy
vozduhoplavaniya". Aerostatam i dirizhablyam v  nem udeleno nebol'shoe mesto, no
svojstva ih opisany ochen' obstoyatel'no.
     Na  ris. 2  pokazana  shema  svobodnogo  aerostata  ob®emom  okolo 1400
m3,  kotoryj  primenyalsya  dlya  sportivno-trenirovochnyh  celej. On
sostoit iz materchatogo prorezinennogo  ballona 1, pokrytogo set'yu  (na sheme
ona ne  pokazana) s rombovidnymi yachejkami, imeyushchimi razmer storon okolo 1 m;
set' sluzhit dlya peredachi pod®emnoj  sily na korzinu. Stropy 2 soedinyayut set'
s silovym kol'com 3, k kotoromu podveshena korzina  4; v  korzine razmeshchaetsya
ekipazh i  snaryazhenie.  V  samoj verhnej  chasti  obolochki pomeshchen tarel'chatyj
klapan 5 dlya vypuska  gaza,  kotoryj upravlyaetsya  shnurom,  idushchim v korzinu;
cilindricheskij  otkrytyj snizu  otrostok  6 sluzhit  dlya vyhoda gaza  pri ego
rasshirenii vo izbezhanie razryva  obolochki. Aerostat snabzhen razryvnoj lentoj
7, pri pomoshchi kotoroj  obolochka rasparyvaetsya  dlya bystrogo vypuska gaza pri
posadke,  i meshkami s  ballastom  (peskom)  8  dlya oblegcheniya  aerostata pri
neobhodimosti umen'shit' skorost' spuska  ili pri perehode na pod®em; dlinnyj
kanat  -- gajdrop  -- 9  sluzhit  dlya umen'sheniya  skorosti prizemleniya i  dlya
tormozheniya gorizontal'nogo dvizheniya, vyzyvaemogo vetrom.
     Tehnicheskie harakteristiki  etogo aerostata takovy:  pod®emnaya sila pri
napolnenii  obolochki  vodorodom  -- okolo  1400  kG (na urovne  zemli),  pri
napolnenii obolochki svetil'nym gazom -- okolo 1000 kG; vesa: obolochka -- 240
kG, set' -- 40 kG,  kol'co -- 15  kG, korzina  -- 58  kG, gajdrop  -- 40 kG,
itogo -- ves konstrukcii okolo 400  kG, ili 28,5% polnogo poletnogo vesa pri
napolnenii  obolochki  vodorodom. Ves snaryazheniya i  priborov  --  16  kG, ves
poleznoj  nagruzki pri napolnenii  obolochki vodorodom  -- okolo 1000 kG, pri
napolnenii obolochki  svetil'nym gazom -- 580 kG. V poleznuyu nagruzku  vhodit
ballast, kolichestvo  kotorogo zavisit  ot  zadannyh vysoty i vremeni poleta.
Ballast dlya aerostata yavlyaetsya svoeobraznym dvigatelem i toplivom; sbrasyvaya
ballast, my  poluchaem sootvetstvuyushchuyu  izbytochnuyu  pod®emnuyu  silu,  kotoraya
sovershaet rabotu,  podnimaya  aerostat  vverh.  Prinyav  ves ekipazha i  bagazha
ravnym 350-400 kG, my ostavim dlya ballasta 600-650 kG.
     Pishnoff-18.gif
     Ris 2 Shema svobodnogo aerostata ob®emom 1400 m3:
     1  --  prorezinennyj ballon;  2 -- stropy;  3 -- silovoe  kol'co;  4 --
korzina, 5 --  klapan; 6 -- cilindricheskij otrostok; 7 -- razryvnaya lenta; 8
-- meshki s ballastom; 9 -- gajdrop.
     Interesno,  chto  vesovaya  svodka  dlya dannogo aerostata  ochen' blizka k
takovoj  dlya  chetyrehmestnogo sportivnogo  samoleta s  dvigatelem  moshchnost'yu
okolo 250  l. s.; konstrukciya  takogo  samoleta budet vesit'  okolo 400  kG,
dvigatel' i toplivo -- 500-600 kG i poleznaya nagruzka -- 400 kG.
     Upravlenie  svobodnym  aerostatom  sravnitel'no  neslozhnoe.  Sredstvami
upravleniya yavlyayutsya klapan v kupole obolochki dlya vypuska porcij gaza s cel'yu
umen'sheniya  pod®emnoj  sily  i  ballastnye meshki  v  korzine,  sluzhashchie  dlya
oblegcheniya  aerostata.  Takim  obrazom,  aerostat  upravlyaetsya tol'ko  putem
izmeneniya  raznosti  mezhdu  pod®emnoj  siloj   i  vesom:  chtoby  preobladala
pod®emnaya sila, nuzhno umen'shit'  ves, sbrosiv nekotoroe kolichestvo ballasta;
chtoby  preobladal ves,  nuzhno  vypustit'  porciyu  gaza, priotkryv  klapan na
neskol'ko sekund.
     Sfericheskij   aerostat  neustojchiv  v  otnoshenii   vysoty  poleta   pri
normal'nom sostoyanii  troposfery.  Vzlet  proishodit pri  nekotorom  izbytke
pod®emnoj sily. Esli obolochka  byla ne polnost'yu zanyata gazom (vodorodom ili
svetil'nym gazom),  to  po mere pod®ema pod®emnaya sila ostaetsya  neizmennoj,
tak  kak   hotya  plotnost'  gaza  ubyvaet,   no  ego  ob®em   sootvetstvenno
uvelichivaetsya.  Kogda  zhe gaz  celikom  zapolnit obolochku, dal'nejshij pod®em
vyzovet istechenie  gaza iz nizhnego otverstiya -- appendiksa, i pod®emnaya sila
stanet umen'shat'sya.
     Na nekotoroj vysote nastupit ravnovesie mezhdu pod®emnoj  siloj i vesom,
no  eto  ravnovesie neustojchivo. Esli pod®emnaya sila okazhetsya mala, aerostat
pojdet vniz i ravnovesie ne vosstanovitsya, poka nedostatok pod®emnoj sily ne
budet kompensirovan sbrasyvaniem  ballasta. Esli ballasta  vybrosheno  bol'she
chem nuzhno,  aerostat  budet  podnimat'sya  do  ostanovki,  za  kotoroj  opyat'
posleduet  snizhenie.  Poterya  gaza  proishodit vsledstvie  propuskaniya  gaza
obolochkoj;  prichinoj  izmeneniya pod®emnoj  sily mozhet  byt'  nagrevanie gaza
solncem.  V  sluchae inversii  temperatury,  t.  e. povysheniya ee  s  vysotoj,
ustojchivost' aerostata uluchshaetsya.
     Vremya poleta aerostata zavisit  ot zapasa ballasta i  intensivnosti ego
rashodovaniya. U neopytnogo pilota amplituda izmenenij vysoty budet bol'shaya i
rashod ballasta  povyshennyj; opytnyj pilot kak by  predugadyvaet predstoyashchee
dvizhenie  i predotvrashchaet  narusheniya vysoty. S drugoj storony,  nuzhno  umet'
ispol'zovat'  atmosfernye usloviya i,  v pervuyu ochered',  napravlenie  vetra,
kotoroe mozhet menyat'sya s vysotoj. U dirizhablya obolochka sohranyaet postoyanstvo
ob®ema v  rezul'tate  podkachki  vozduha  v special'nyj  vozdushnyj  meshok  --
ballonet -- i  podderzhaniya  nekotorogo izbytochnogo davleniya. V etih usloviyah
vysota poleta ustojchiva, no zato vozmozhnosti izmeneniya vysoty ogranicheny.
     Polet na svobodnom aerostate spokoen i priyaten. Edinstvennoj opasnost'yu
v  polete  yavlyayutsya grozovye razryady, ot  kotoryh  mozhet  zagoret'sya gaz ili
proizojti razryv obolochki.  Trudnosti  voznikayut  v  osnovnom  pri  posadke.
Prezhde  vsego, posadka mozhet  proizojti v neudobnom  meste -- aerostat mozhet
sest' na les,  boloto,  v vodu. Nalichie  zapasa ballasta pozvolyaet  v  takih
sluchayah podnyat'sya  vnov'  i iskat'  bolee udobnogo  mesta dlya posadki.  Esli
aerostat  bystro snizhaetsya,  a  zapas ballasta mal, to posadka  proizojdet s
udarom,  dlya  smyagcheniya  kotorogo  sluzhit  gajdrop,  t.  e.  tyazhelyj  kanat,
svisayushchij  vniz i dayushchij effekt  oblegcheniya.  Naibolee  opasna  posadka  pri
sil'nom  vetre i  nalichii  v rajone posadki  derev'ev, stroenij i, osobenno,
vysokovol'tnyh linij. Vo vremya  posadki pri sil'nom vetre starayutsya vozmozhno
skoree vypustit'  gaz  na  nebol'shoj  vysote,  dlya chego  sluzhit  special'noe
razryvnoe prisposoblenie.
     Vozduhoplavatel'nyj sport,  kotoryj  odno vremya  byl dostatochno  shiroko
razvit, teper' pochti prekratil svoe  sushchestvovanie. Prichin dlya etogo  mnogo,
no  osnovnaya  prichina  zaklyuchaetsya  v  vozrosshej  opasnosti  stolknoveniya  s
samoletami  i v obilii vysokovol'tnyh linij. Kak izvestno,  v poslednie gody
svobodnye   aerostaty   byli    usovershenstvovany   primeneniem   legkih   i
nepronicaemyh dlya gaza  obolochek  iz plastmass i primeneniem  avtomaticheskih
ustrojstv dlya obespecheniya ustojchivosti poleta. Eshche ran'she  v Sovetskom Soyuze
byli razrabotany germeticheskie kabiny, obespechivayushchie polet na ochen' bol'shih
vysotah.
     P. N. Nesterov sovershil  neskol'ko poletov na svobodnom aerostate. Odin
iz poletov byl dovol'no dlitel'nyj -- za 13 chas bylo projdeno okolo 800 km.



     Zanimayas' v vozduhoplavatel'noj shkole, P. N. Nesterov stremilsya perejti
k  poletam  na  samoletah.  Snachala  on  poluchil  razreshenie   zanimat'sya  v
aviacionnom otdele  shkoly, a zatem pereshel  okonchatel'no v eto otdelenie dlya
obucheniya poletam.
     V  te  gody  dlya  obucheniya  poletam  primenyalis'  dva  tipa  samoletov:
dvuhmestnyj  biplan "Farman-4" i odnomestnyj monoplan "Blerio-XI". V  period
1909--  1912  gg. eto byli dva samyh  populyarnyh samoleta. V  sootvetstvii s
etim  sushchestvovali i dve metodiki obucheniya:  shkola Blerio i shkola Farmana. V
Rossii  primenyalas' v osnovnom  metodika Farmana.  Ostanovimsya podrobnee  na
samolete "Farman-4", na kotorom uchilsya letat' P. N. Nesterov.
     Po  svoemu  vneshnemu  vidu  "Farman-4"  ochen'  napominal  uzhe opisannye
balansirnye   planery,   no   on  byl  bol'she  po  razmeru,  imel  tolkayushchuyu
vintomotornuyu  gruppu  s  rotativnym dvigatelem  "Gnom" moshchnost'yu 50 l. s. i
shassi s  kolesami  i  poloz'yami.  Na  pervyj vzglyad  samolet  kazalsya ves'ma
nesuraznym i neaerodinamichnym. Iz poverochnogo rascheta  etogo  samoleta  bylo
polucheno ego maksimal'noe  aerodinamicheskoe kachestvo, ravnoe so  4,5; no eto
znachenie K sootvetstvuet  bol'shomu  znacheniyu Sy,  a  polety  vypolnyalis' pri
kachestve, ravnom 3,5-4,0.
     Nesmotrya na svoe aerodinamicheskoe  i  konstruktivnoe  nesovershenstvo, v
1910--  1911  gg.  samolet  "Farman-4" imel  bol'shoe  rasprostranenie  i ego
konstrukcii podrazhali ochen' mnogie konstruktory v Germanii, Anglii, Rossii i
drugih    stranah.   Konechno,    uvlechenie    samoletom   "Farman-4"    bylo
kratkovremennym,  no  shiroko rasprostranennym.  |tot  samolet  videli zhiteli
mnogih gorodov Rossii pri poletah S. I. Utochkina, M. N. Efimova i drugih, na
"chetverke"  nachinali svoyu letnuyu deyatel'nost' pervye russkie voennye letchiki
L. M. Macievich, E. V. Rudnev i mnogie drugie.
     Pervyj letatel'nyj apparat, kotoryj prishlos'  uvidet' avtoru v 1911 g.,
byl  "Farman-4"  pod  upravleniem  S.  I.  Utochkina  na  moskovskom  begovom
ippodrome. Letom 1917 g. avtor, buduchi uchashchimsya srednej  shkoly, podruzhilsya s
gruppoj soldat --  uchenikov-letchikov moskovskoj aviashkoly, kotorye obuchalis'
na samolete "Farman-4" pochti bez vsyakogo nablyudeniya so storony instruktorov,
sami obsluzhivali i remontirovali etot letatel'nyj apparat.
     Samolet   harakterizuetsya   ryadom   pokazatelej.   Podobno  tomu,   kak
gruzopod®emnost'  korablya opredelyaetsya ego vodoizmeshcheniem,  gruzopod®emnost'
aerostata --  ego  gazovym ob®emom, samolet,  prezhde  vsego, harakterizuetsya
maksimal'noj  velichinoj pod®emnoj sily,  obespechennoj energeticheski.  Kazhdyj
letatel'nyj  apparat,  v kotorom ispol'zuetsya energeticheskij princip poleta,
rashoduet moshchnost' svoego dvigatelya i sposoben nekotoroe vremya, opredelyaemoe
zapasom   topliva,   razvivat'   nekotoruyu   maksimal'nuyu   pod®emnuyu   silu
Ymax. He  nuzhno smeshivat'  rassmatrivaemuyu  pod®emnuyu  silu  s ee
predel'noj  velichinoj, kotoraya mozhet  byt'  poluchena pri  bystrom uvelichenii
ugla ataki i velichina kotoroj ogranichivaetsya prochnost'yu konstrukcii.
     Sleduet ukazat', chto  dlya planera,  ne  imeyushchego dvigatelya,  tozhe mozhno
rassmatrivat'  dlitel'no   dejstvuyushchuyu  pod®emnuyu  silu,  esli  ishodit'  iz
opredelennoj dopustimoj skorosti snizheniya pri vypolnenii spiral'nogo spuska.
Togda my tozhe budem  imet' nekotoruyu ishodnuyu  moshchnost', ravnuyu proizvedeniyu
vesa planera na skorost' snizheniya.
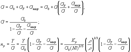
     Maksimal'naya  pod®emnaya   sila  samoleta  ravna  maksimal'noj  velichine
proizvedeniya  sily  tyagi  na aerodinamicheskoe kachestvo  (R•K)mah.
Opredelenie R•K oslozhnyaetsya  tem, chto  sila tyagi  zavisit ot skorosti  V,  a
aerodinamicheskoe kachestvo --  ot  ugla ataki,  kotoryj v  svoyu ochered' budet
opredelyat'sya  kak  skorost'yu, tak  i velichinoj  Y. Podstaviv sootvetstvuyushchie
vyrazheniya dlya R i V
     Pishnoff-19.gif
     i prinyav analiticheskoe vyrazhenie dlya polyary
     Pishnoff-20.gif
     my mozhem opredelit' Y i zatem otyskat' ego maksimal'noe vyrazhenie.
     Odnako chast'  raboty  my uzhe prodelali pri nahozhdenii skorosti snizheniya
dlya planera.  Umnozhaya  skorost' snizheniya na  ves,  poluchim moshchnost', kotoraya
potrebovalas'  by  dlya  gorizontal'nogo   poleta.  Podstavlyaya   ves,  ravnyj
maksimal'noj pod®emnoj sile, my poluchim maksimal'nuyu poleznuyu moshchnost':
     Pishnoff-21.gif
     Pishnoff-22.gif
     |to    vyrazhenie     mozhno     neskol'ko     vidoizmenit',    podstaviv
Kmah=0,785•l/F1/2:
     Pishnoff-23.gif
     Uchityvaya,   chto    rezhim   poleta   budet   neskol'ko   otlichat'sya   ot
naivygodnejshego, chto na ponizhennoj skorosti i koefficient poleznogo dejstviya
budet umen'shen, a pri vinte fiksirovannogo shaga snizyatsya oboroty dvigatelya i
neskol'ko upadet moshchnost', v itoge poluchim:
     Pishnoff-24.gif
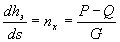
     Iz  etih vyrazhenij  mozhno  sdelat'  ochen'  vazhnye  vyvody  o  svojstvah
samoletov: pri dannoj  velichine vrednoj ploshchadi F  pod®emnaya  sila,  kotoruyu
mozhet  razvivat'  samolet,  zavisit  v naibol'shej  --  pervoj  -- stepeni ot
velichiny razmaha kryl'ev;  ot moshchnosti dvigatelej ona zavisit  slabee  --  v
stepeni 2/3; uvelichenie vrednoj ploshchadi vliyaet na pod®emnuyu silu ochen' slabo
-- v stepeni 1/6. Tak,  naprimer, pri uvelichenii F v dva raza pod®emnaya sila
okazhetsya umen'shennoj tol'ko na 12%.
     Esli rassmatrivat' samolety, podobnye po forme, to pod®emnaya sila budet
opredelyat'sya  proizvedeniem  moshchnosti  na razmah kryl'ev.  Pri  podnyatii  na
vysotu pod®emnaya  sila  budet ubyvat'  proporcional'no  kornyu  kubichnomu  iz
izmeneniya plotnosti vozduha i, krome togo, sootvetstvenno izmeneniyu moshchnosti
dvigatelej s vysotoj v stepeni  2/3. Znaya  velichiny  maksimal'noj  pod®emnoj
sily  na  raznyh  vysotah,  my legko  mozhem opredelit'  vysoty potolkov  pri
razlichnyh poletnyh vesah.
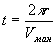
     Polet   na  samolete  budet  nadezhen  tol'ko  pri  nalichii  vozmozhnosti
manevrirovaniya. Inymi slovami,  poletnyj ves dolzhen byt' sushchestvenno men'she,
chem velichina maksimal'noj  pod®emnoj sily.  Izuchenie harakteristik samoletov
pokazalo, chto pri polete na maloj vysote ves samoleta ne dolzhen prevoshodit'
60-65% maksimal'noj pod®emnoj sily, odnako, dazhe u malomanevrennyh samoletov
ves, kak pravilo, ne  prevyshaet 50-55%  maksimal'noj pod®emnoj sily na maloj
vysote. V dal'nejshem pri rassmotrenii harakteristik letatel'nyh apparatov my
budem  prezhde   vsego  opredelyat'  maksimal'nuyu  pod®emnuyu  silu,  pol'zuyas'
privedennymi priblizhennymi formulami, ili  proizvodit' bolee tochnyj raschet s
pomoshch'yu metoda, kotoryj budet izlozhen dalee.
     Pishnoff-25.gif
     Ris. 3.  Shema  uchebnogo  samoleta  "Farman-4"  (1909 g)  s  rotativnym
dvigatelem "Gnom" moshchnost'yu  50 l. s. Razmah kryl'ev 10,5 m; ploshchad' kryl'ev
42 m2; ves pustogo  samoleta okolo 350  kG; poletnyj ves  s odnim
letchikom 500 kG.
     Perejdem k  rassmotreniyu harakteristik  i svojstv  samoleta "Farman-4".
Kak vidno  iz shemy,  privedennoj na  ris.  3, eto  biplan s  pryamougol'nymi
kryl'yami, mnogochislennymi stojkami i rastyazhkami.  Dvigatel' tolkayushchij, t. e.
raspolozhennyj  pozadi  kryl'ev i  pozadi centra  tyazhesti. Hvostovoe operenie
tozhe   biplannoe  i  soedineno  s  korobkoj  kryl'ev  derevyannoj   fermoj  s
provolochnymi rastyazhkami. Na hvostovom operenii nahodyatsya zadnij rul'  vysoty
i dva rulya napravleniya. Speredi  na nebol'shoj ferme ustanovlen perednij rul'
vysoty. Oba rulya  -- zadnij i  perednij  --  otklonyayutsya  odnovremenno,  no,
estestvenno, v  raznye storony.  Interesno, chto u  rannih variantov samoleta
byl tol'ko  perednij rul', zatem byl dobavlen i zadnij, a eshche pozzhe perednij
rul'  vmeste s  fermoj  byl  ubran. |lerony  imeyutsya  na  oboih kryl'yah,  no
upravlenie imi sdelano uproshchennoe i oni mogut otklonyat'sya tol'ko vniz.
     V central'noj chasti  samoleta ustanovlena  gruzovaya  rama  v  vide dvuh
bruskov, soedinennyh poperechinami. V zadnej chasti ramy ustanovlen dvigatel',
a  v  perednej  --  dva siden'ya,  ruchka  upravleniya i  nozhnaya pedal';  ruchka
pomeshchena  ne  v  centre,  kak  obychno,  a  sprava.  Letchik i  passazhir sidyat
sovershenno  otkryto v vozdushnom  potoke. Upravlenie  dvigatelem proizvoditsya
pri pomoshchi krana podachi benzina i "kontakta" -- vklyuchatelya zazhiganiya.
     Rotativnyj dvigatel' "Gnom" imel ochen' shirokoe rasprostranenie v period
1909-- 1914 gg. Ego ustrojstvo interesno tem, chto kolenchatyj val  zakreplen,
a cilindry, raspolozhennye  zvezdoobrazno, vrashchayutsya vmeste  s karterom. Vint
prikreplyaetsya  k   karteru.  Ustrojstvo  dvigatelya  ochen'  prosto,  ves  ego
nebol'shoj: dvigatel' moshchnost'yu 50 l. s. vesil 76 kG. |konomichnost' dvigatelya
byla nizkaya i nadezhnost' ego nevysokaya, odnako, pri umelom uhode on  rabotal
dostatochno nadezhno. P. N.  Nesterovu prishlos' letat' tol'ko  na  samoletah s
rotativnymi  dvigatelyami  i  dazhe  sovershat'  na  nih  dovol'no   dlitel'nye
perelety.
     Uchityvaya biplannuyu shemu, my mozhem poluchit' ekvivalentnyj razmah
     
     Velichinu F mozhno najti po izvestnoj nam maksimal'noj skorosti samoleta,
ravnoj 65  km/chas, ili 18 m/sek; priravnivaya vyrazheniya dlya tyagi 75Nh/V i sil
soprotivleniya, my poluchim znachenie F:
     Pishnoff-27.gif
     dlya h=0,75 i G=500 kG poluchim F=4,5-5 m2.
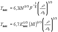
     Teper'      najdem     maksimal'noe      aerodinamicheskoe      kachestvo
Kmah=0,78le/F1/2=4,2 i skorost'  poleta  na
maksimal'nom kachestve
     ili 47 km/chas.
     Vazhno  posmotret',  kakomu znacheniyu Cu eto  sootvetstvuet. Znachenie  Cu
ravno udel'noj nagruzke na krylo, delennoj na skorostnoj napor:
     Pishnoff-29.gif
     Interesno, chto v eto vyrazhenie ne  vhodit  razmah kryl'ev. Dlya samoleta
"Farman-4" my  poluchim Cun=1,1; eto dovol'no bol'shoe znachenie Cu,
blizkoe k  predel'nomu;  dlya poleta na  minimal'noj moshchnosti my  poluchili by
Cue=1.73Cun=1,9  --  chto   yavno   vyshe   maksimal'nogo
znacheniya.  Iz  etogo my mozhem sdelat' vyvod, chto  uvelichenie shiriny  kryl'ev
pozvolilo by uvelichit' maksimal'nuyu pod®emnuyu silu.
     Opredelyaya  Ymah, my  dolzhny ishodit'  iz  usloviya poleta pri
maksimal'nom kachestve, a ne na ekonomichnom rezhime. Uchityvaya priblizhenno, chto
na ponizhennoj skorosti budet umen'shen koefficient poleznogo dejstviya vinta i
umen'shena moshchnost' dvigatelya iz-za umen'sheniya chisla  oborotov  dvigatelya, my
primem h=0,7 i N=47 l. s.; togda poluchim:
     
     Pri poletnom  vese,  ravnom 500 kG,  zapas pod®emnoj sily  budet  raven
nu=Yn/G=1,4-1,45.  |to  dovol'no  malyj  zapas, no dlya
poleta  na  malyh  vysotah  s ogranichennym  manevrirovaniem dostatochnyj. Pri
polete  s  passazhirom  poletnyj  ves  budet raven priblizitel'no  580  kG  i
ny=1,25. |to  uzhe ochen'  malyj  zapas, i  podobnye polety,  v tom
chisle, i uchebnye, proizvodilis' na malyh vysotah v horoshuyu pogodu. V 1910 g.
letchik E. V. Rudnev sovershil perelet  s passazhirom iz  Peterburga v  Gatchinu
dal'nost'yu  okolo 65  km.  |tot perelet  proishodil  v  usloviyah  ponizhennoj
temperatury, kogda moshchnost' dvigatelya uvelichilas' primerno na 4% i plotnost'
vozduha -- na 7-8%; eto daet uvelichenie Y  na 5% i togda Ymah=760
kG.
     Pri   nerabotayushchem   dvigatele   vozdushnyj   vint   daet   znachitel'noe
dopolnitel'noe soprotivlenie, osobenno, esli on vrashchaetsya; znachenie F v etom
sluchae ravno primerno 5,5 m2  i  aerodinamicheskoe kachestvo  okolo
3,9 pri Su=1,3. Spusk nuzhno proizvodit' s zapasom  skorosti, kogda  Su budet
ne bolee  0,8 i aerodinamicheskoe kachestvo okazhetsya ravnym primerno  3,5. |to
budet   sootvetstvovat'    dovol'no   krutomu   planirovaniyu    pod    uglom
16,5o pri skorosti 15,5 m/sek i pri skorosti snizheniya 4,5 m/sek.
     Nizkoe  aerodinamicheskoe  kachestvo pri  maloj skorosti  poleta vyzyvaet
ochen' neblagopriyatnye  yavleniya pri  vnezapnom umen'shenii tyagi. Dopustim, chto
samolet letit gorizontal'no i tyaga ravna sile soprotivleniya. K vysote poleta
h  pribavim  kineticheskuyu  vysotu hk=V2/2g  i  poluchim
energeticheskuyu  vysotu  he=h+hk.  V  sluchae  ostanovki
dvigatelya nachnetsya padenie urovnya energii po usloviyu Dhe=-Ds/K, i
liniya urovnya energii rezko perelomitsya. Traektoriya poleta  budet  izmenyat'sya
bolee plavno. Vyrazhenie dlya pod®emnoj sily  mozhno  dat'  cherez  kineticheskuyu
vysotu Y= Surghk
     Iz ris. 4 legko videt', chto srazu zhe posle ostanovki dvigatelya nachnetsya
rezkoe umen'shenie he primerno po usloviyu
     
     Esli v ishodnom polete V=18 m/sek, hk=16,6 m, to cherez 2 sek
posle ostanovki dvigatelya samolet projdet put' okolo 30 m i uroven'  energii
ponizitsya na  9  m.  Za  eto vremya  samolet ne uspeet sushchestvenno  umen'shit'
vysotu i  potomu  velichina hk okazhetsya  umen'shennoj  pochti v  dva
raza,  a  vmeste  s  nej  i  pod®emnaya  sila.  Samolet  okazhetsya  v  uslovii
vozmushchennogo  dvizheniya  po  otnosheniyu  k  traektorii   planirovaniya,  opishet
nekotoruyu  volnoobraznuyu traektoriyu i cherez  nekotoroe vremya  mozhet  vojti v
rezhim planirovaniya s postoyannoj skorost'yu.
     Pishnoff-33.gif
     Ris. 4. Shema poleta samoleta "Farman-4" pri ostanovke dvigatelya
     Vazhno obratit'  vnimanie, skol' bystro proizoshla  poterya skorosti. Esli
letchik instinktivno popytaetsya uderzhat'  samolet ot "provalivaniya", skorost'
upadet  eshche bolee rezko; gorazdo luchshe bylo by energichno umen'shit' pod®emnuyu
silu bystrym  nakloneniem samoleta vniz, i eshche luchshe, esli by samolet sam, v
silu svoej ustojchivosti, avtomaticheski umen'shil ugol tangazha.
     K  sozhaleniyu,  samolet "Farman-4" vsledstvie ochen' zadnej centrovki  ne
imel takoj  tendencii i, esli letchik ne naklonyal ego  s  pomoshch'yu rulya vysoty
dovol'no  kruto  vniz,  on  ostavalsya  primerno  v  ishodnom  gorizontal'nom
polozhenii. Pochti vse avarii etogo samoleta proishodili v rezul'tate perehoda
ego v  parashyutirovanie v sluchae vnezapnoj ostanovki dvigatelya  ili pri vyalom
perevode samoleta na planirovanie.
     Avtoru  prihodilos'  ne  raz  nablyudat'  eti  yavleniya  i  videt'  mnogo
fotografij  avarij  samoleta  "Farman-4"  v  rezul'tate  poteri  skorosti  i
perehoda v parashyutirovanie. K  schast'yu, blagodarya maloj udel'noj nagruzke na
krylo  i  nekotorym  osobennostyam  aerodinamiki pri parashyutirovanii  samolet
snizhalsya dovol'no medlenno, s nebol'shim  uglom krena. Samolet  v etom sluchae
pochti ne razbivalsya, a letchik voobshche ne stradal pri udare.
     Na  ris.  5 pokazany  osnovnye  letnye  harakteristiki,  poluchennye  iz
poverochnogo aerodinamicheskogo rascheta  samoleta "Farman-4"  dlya vesa 500 kG.
Potolok samoleta, okazalsya neskol'ko menee 2000 m.
     
     Ris  5.   Osnovnye  letnye   harakteristiki  samoleta   "Farman-4"   po
poverochnomu raschetu
     Ostanovimsya  eshche  na  etom  samolete kak  na uchebnom. V 1909-- 1910 gg.
sistemy obucheniya eshche  ne  bylo  razrabotano.  Estestvenno, chto  konstruktory
pervyh samoletov uchilis'  letat' samouchkoj, nachinaya s  rulenij i podletov po
pryamoj; povoroty tozhe vnachale delali bez krena. Zatem stali skladyvat'sya dve
sistemy  obucheniya.  Odna  --  sistema  Blerio,  po  kotoroj  uchenik  nachinal
samostoyatel'no rulit' na special'nom samolete, voobshche ne sposobnom vzletet'.
Zatem on perehodil na drugoj odnomestnyj samolet, kotoryj mog podletyvat', i
tak postepenno osvaival pilotirovanie. Byvali primery, kogda chelovek,  kupiv
samolet, srazu  na nem vyletal; tak, naprimer,  bylo s izvestnym letchikom S.
I. Utochkinym, odnako, on byl raznostoronnim sportsmenom.
     U  samoleta "Farman-4" dva siden'ya  byli raspolozheny drug za  drugom  v
perednej  chasti  ramy,  kotoraya  sveshivalas'  pered  krylom;  nozhnaya  pedal'
prednaznachalas'   dlya   sidyashchego  vperedi  letchika.  Ruchka  upravleniya  byla
raspolozhena sprava  tak, chto za nee letchik  derzhalsya tol'ko  pravoj rukoj, a
passazhir tozhe  mog do  nee  dotyanut'sya.  Nogi passazhira prosto sveshivalis' s
kryla, a levoj rukoj on priderzhivalsya za stojku.
     Upravlenie dvigatelem sostoyalo iz vyklyuchatelya zazhiganiya -- "kontakta" i
krana podachi benzina. Rabota dvigatelya kontrolirovalas' "na  sluh", i tol'ko
dlya kontrolya raboty porshnevogo  maslyanogo  nasosa imelsya "stakanchik", t.  e.
steklyannyj puzyrek, v  kotorom  uroven' masla kolebalsya 84 raza v minutu pri
vrashchenii  dvigatelya s uglovoj skorost'yu 1200 ob/min. Schitaya pul'sacii masla,
mozhno bylo primerno ustanovit' chislo oborotov dvigatelya. Dlya kontrolya vysoty
letchik privyazyval k noge vysotomer.
     Vzlet  samoleta  proishodil  sleduyushchim  obrazom:  6-8  chelovek  derzhali
samolet,  a tehnik  prolezal  v  hvostovuyu fermu i, ubedivshis', chto  kontakt
vyklyuchen  (sprosiv  ob  etom  letchika), provorachival vint i  stavil  ego  na
kompressiyu. Zatem on komandoval: "Kontakt!" -- i ryvkom provorachival vint, a
letchik  v eto vremya vklyuchal  zazhiganie.  Esli  dvigatel'  ne zarabotal,  vse
nachinalos' snachala; esli nachinalis' vspyshki, tehnik bystro ubegal, a samolet
derzhali do teh  por, poka  dvigatel'  ne  razov'et polnoe chislo  oborotov  i
letchik ne mahnet rukoj, chtoby samolet otpustili, i togda nachinalsya razbeg.
     Dlina razbega u samoleta "Farman-4" byla  okolo  60  m i razbeg zanimal
6,5-7  sek.  Opisannyj  poryadok  vzleta   primenyalsya  na  vseh  samoletah  s
rotativnymi dvigatelyami "Gnom", tak kak oni  ne imeli "malogo  gaza"  i  pri
otsutstvii  postupatel'nogo   dvizheniya   bystro  peregrevalis'.   Rotativnye
dvigateli "Ron" i "Klerzhe" mogli rabotat' na sravnitel'no malyh oborotah, no
vse  zhe  bystro  peregrevalis',  i  potomu,  kak  tol'ko  dvigatel'  nachinal
ustojchivo rabotat' na polnoj moshchnosti, letchik daval signal otpustit' samolet
i nachinal razbeg.
     Pri  obuchenii  na  samolete "Farman-4"  vnachale  uchenik  sidel  szadi i
derzhalsya  za ruchku upravleniya nad rukoj instruktora. Posle usvoeniya  tehniki
upravleniya  ruchkoj  uchenik   delal   rulezhki   dlya  osvoeniya   raboty  rulem
napravleniya, a zatem nachinal sovershat' polety s instruktorom, kotoryj v etom
sluchae  sidel uzhe  szadi  i mog tol'ko  ispravlyat' dvizheniya  uchenika ruchkoj.
CHerez 20-- 30 poletov uchenika vypuskali v samostoyatel'nyj polet.
     Sleduet ukazat', chto  tyazhelye avarii na samolete "Farman-4" byli redki,
a polomki ochen' chasty. Konstrukciya samoleta sostoyala iz lonzheronov sploshnogo
pryamougol'nogo  secheniya,  obtekaemyh  stoek  sploshnogo  secheniya, provolochnyh
rastyazhek, ushkovyh boltikov i  alyuminievyh stakanchikov, v kotorye vstavlyalis'
koncy stoek. Poetomu remont samoleta byl ochen' prost,  i tol'ko  regulirovka
natyazheniya "pautiny" rastyazhek trebovala opyta i vremeni.
     Dlya polucheniya  diploma na  zvanie pilota-aviatora trebovalos' vypolnit'
dva  poleta:  v odnom  iz nih sovershit' 10 vos'merok, a v  drugom  --  posle
poluchasovogo  poleta  na  vysote  100  m  --  sovershit'  posadku planiruyushchim
spuskom.
     Ostanovimsya  na  nekotoryh voprosah ustojchivosti  samoleta  "Farman-4".
Centr  tyazhesti samoleta, po  grubym  raschetam, byl raspolozhen na rasstoyanii,
ravnom 45-50%  dliny  hordy,  ot ee  perednej kromki.  Fokus kryla  lezhal na
rasstoyanii,  ravnom  25% dliny  ego  hordy; hvostovoe  operenie,  bol'shoe po
ploshchadi (23% ploshchadi kryla) i  s bol'shim  plechom, otnositel'no malo  smeshchaet
fokus nazad iz-za nebol'shoj velichiny ego udlineniya i sil'nogo dejstviya skosa
potoka  ot kryla.  Perednij  rul' vysoty, nesmotrya  na men'shuyu ego ploshchad' i
men'shee plecho, blagodarya bolee znachitel'nomu udlineniyu i otsutstviyu  vliyaniya
skosa  potoka ot  kryla  pochti  polnost'yu  nejtralizuet smeshchenie  fokusa  ot
opereniya, i v itoge fokus samoleta nahodilsya primerno na rasstoyanii,  ravnom
27-28% dliny  hordy,  ot  ee  perednej kromki. Takim  obrazom, pri centrovke
45-50%   samolet   dolzhen   byt'   sil'no   neustojchivym   po   uglu   ataki
(xo/b=-0,2). Odnako,  kak  izvestno,  ustojchivost' po  peregruzke
zavisit   ne  tol'ko   ot  otnosheniya   xo/b,  no  i  ot   effekta
dempfirovaniya,  kotoryj dlya  samoletov, podobnyh samoletu "Farman-4",  ochen'
velik.  I  dejstvitel'no, zhalob na neustojchivost'  samoleta ne bylo, hotya  o
polete s broshennoj ruchkoj v to vremya i ne pomyshlyali. ZHalovalis' na to, chto u
samoleta proishodit  "provisanie hvosta" pri posadke.  |to  znachit, chto  pri
uvelichenii  ugla  ataki  hvost  imeet  stremlenie opuskat'sya,  i  eto  nuzhno
parirovat'  peredvizheniem ruchki "ot sebya".  |to i  est' tipichnoe  proyavlenie
zadnej centrovki,  kogda balansirovochnaya diagramma po otkloneniyu rulya  imeet
obratnyj hod.
     V  zhurnale  "Vozduhoplavatel'"  togo  vremeni byla pomeshchena  stat'ya,  v
kotoroj   ukazyvalos'  na   vrednye   posledstviya   zabryzgivaniya  hvostovyh
poverhnostej  peregorelym maslom, kotoroe obil'no  vyletalo  iz  rotativnogo
dvigatelya,  i  vmeste  s  gryaz'yu  znachitel'no  utyazhelyalo  hvost i  usilivalo
"provisanie hvosta". Hotya samolet  "Farman-4"  i sluzhil v kachestve  uchebnogo
pochti 7 let,  on malo sootvetstvoval  trebovaniyam, pred®yavlyaemym  k uchebnomu
samoletu. Pri  polete  dazhe  v  nebol'shuyu "boltanku" trebovalis'  otkloneniya
rulej, blizkie k predel'nym. |lerony, kotorye otklonyalis' tol'ko vniz, imeli
slabuyu effektivnost';  krutoe planirovanie  pri zadnej centrovke  zatrudnyalo
posadku  s  bol'shoj vysoty.  Nakonec,  u samoleta  ochen'  sil'no  proyavlyalsya
giroskopicheskij  effekt  vrashcheniya  vinta i  dvigatelya --  pri  virazhe  vlevo
samolet "kleval",  a pri virazhe vpravo  -- rezko  kabriroval, chto  trebovalo
energichnoj raboty rulem vysoty.
     Interesno  otmetit',  chto  na  nekotoryh  samoletah  "Farman-4"  prosto
otbrasyvali perednij  rul' vysoty; ot etogo centr tyazhesti nemnogo  sdvigalsya
nazad,  no  zato  fokus  samoleta  sdvigalsya  nazad  znachitel'no  bol'she,  i
nejtral'naya  centrovka  okazyvalas'  ravnoj 39-40%.  V zashchitu perednego rulya
vysoty  privodili  tot  dovod,  chto  on  sluzhit  orientirom  pri  upravlenii
samoletom  i  chto  v polete on  dolzhen byt' parallel'nym linii  gorizonta  i
nemnogo vyshe ego. Izvestnyj instruktor moskovskoj voennoj aviacionnoj  shkoly
A.  YA.  Dokuchaev,  vybrosiv  perednij  rul'  vysoty,  postavil  vperedi  dlya
orientirovki legkuyu ramku.
     P. N. Nesterov proshel cherez opyt poletov na samolete "Farman-4"; u nego
slozhilos',   nesomnenno,  ves'ma  neblagopriyatnoe  vpechatlenie  o  sredstvah
upravleniya etim samoletom i o ego vozmozhnostyah manevrirovaniya.




     Zakonchiv obuchenie na samolete "Farman-4", P. N. Nesterov byl  napravlen
v  Varshavskuyu aviacionnuyu shkolu  dlya pereuchivaniya na  monoplanah "N'yupor-4",
kotorye v 1912 g.  vmeste s  samoletami "Farman-16",  sostoyali na vooruzhenii
russkoj voennoj  aviacii. V aviacionnoj  literature  togo vremeni mozhno bylo
najti  mnogo  vyskazyvanij  na  temu:  "Monoplan  ili  biplan?" Sorevnovanie
monoplana  i  biplana   prodolzhalos'  do  1930--   1935  gg.  i  zakonchilos'
okonchatel'noj pobedoj monoplana.
     V period 1909-- 1913 gg. opyt samoletostroeniya pokazyval, chto monoplany
poluchayutsya   neskol'ko   bolee    bystrohodnymi,   a   biplany    --   bolee
gruzopod®emnymi. |to opredelyalos' tem, chto biplannuyu raschalochnuyu fermu mozhno
bylo  sdelat' so znachitel'no bol'shim razmahom,  chem raschalochnuyu monoplannuyu.
Naibolee ubeditel'no eto bylo prodemonstrirovano na samolete "Il'ya Muromec",
kotoryj imel razmah  37 m. Sdelat' monoplan s takim razmahom v te vremena ne
predstavlyalos' vozmozhnym.
     S nachalom pervoj mirovoj vojny 1914-1918 gg. raschalochnye monoplany byli
pochti  sovsem  iz®yaty  iz  aviacii  kak sovershenno  neudovletvoritel'nye  po
obzoru. Ostavalsya tol'ko odin monoplan -- Moran "Parasol'" (t. e. "Zont"), u
kotorogo raschalochnoe krylo  bylo podnyato nad fyuzelyazhem i blagodarya etomu byl
poluchen prekrasnyj  obzor  vniz. Kazalos', chto v otnoshenii obzora byla luchshe
shema s tolkayushchim vintom, kogda ekipazh razmeshchalsya v gondole, raspolozhennoj v
samoj perednej chasti samoleta. Takovy  byli samolety "Farman-16", -22, -27 i
-30 i Vuazen L.A.S, kotorye sostoyali na vooruzhenii russkoj aviacii vplot' do
grazhdanskoj vojny.
     Odnako "tolkayushchie" biplany byli huzhe v aerodinamicheskom otnoshenii, i ih
zadnyaya polusfera ostavalas' nezashchishchennoj  ot  atak  istrebitelej protivnika.
Vstretiv  protivnika  v vozduhe,  eti samolety  byli vynuzhdeny perehodit' na
krutye virazhi, starayas' povernut'sya k nemu nosom, i eto inogda udavalos'.
     Naibol'shee  razvitie poluchili "tyanushchie" fyuzelyazhnye  biplany, u  kotoryh
garmonichno  sochetalis'  konstruktivnye   preimushchestva  s  udovletvoritel'nym
obzorom zemli i vozduha i byla obespechena zashchita perednej i zadnej polusfer.
Malen'kie fyuzelyazhnye biplany okazalis' aerodinamicheski i v vesovom otnoshenii
bolee vygodnymi, chem raschalochnye monoplany tipa "N'yupor-4"  ili "Moran-G", o
kotoryh  my  eshche rasskazhem  dalee. S uluchsheniem  aerodinamiki i  perehodom k
svobodnonesushchim konstrukciyam  vesovye preimushchestva  biplanov byli  utracheny.
Pri bol'shih razmahah kryl'ev svobodnonesushchij monoplan okazalsya bolee legkim.
     Vozmozhnost'    umen'shit'   shirinu   kryla,    snabzhennogo    posadochnoj
mehanizaciej, i opustit'  svobodnonesushchee krylo vniz dala preimushchestva malym
monoplanam-istrebitelyam. |ta shema yavlyalas' osnovnoj v period vtoroj mirovoj
vojny.  Interesno,  chto  s  perehodom  na reaktivnye  dvigateli  opyat' stala
primenyat'sya  "tolkayushchaya"  shema,  no  ona  logichno  uvyazyvalas'  s   horoshej
aerodinamicheskoj  shemoj. Odin iz nedostatkov tolkayushchej shemy ostalsya -- eto
slozhnost'  obespecheniya udovletvoritel'noj  centrovki samoleta,  tak kak  ves
dvigatelya  v etom sluchae  nuzhno kompensirovat'  drugimi vesami,  vydvinutymi
daleko  vpered, i  samolety  stali dlinnonosymi. Pri  tyanushchej  sheme,  kogda
dvigatel'  nahoditsya vperedi, toplivo i  gruzy  udobno razmeshchayutsya  v rajone
centra tyazhesti samoleta.
     Posle takogo otstupleniya my  vnov' vernemsya k vremenam P. N. Nesterova,
kogda   raschalochnyj   monoplan   privlekal  letchikov   svoej   skorost'yu   i
manevrennost'yu.  Opishem  snachala  samolet  "N'yupor-4",   na  kotorom  P.  N.
Nesterovu  udalos'  dostignut'  zamechatel'nyh rezul'tatov  po  osushchestvleniyu
vysshego pilotazha, i zatem  -- "Moran-G", na kotoryj P. N. Nesterov pereshel v
1914 g. i, letaya na kotorom, on pogib v vozdushnom boyu.
     Samolet "N'yupor-4" byl francuzskoj konstrukcii; on byl zakuplen russkim
voennym vedomstvom  vo  Francii  v 1911--  1912  gg. i  stroilsya na  russkih
zavodah  vplot' do konca 1915 g. V pechati togo  vremeni mozhno najti upreki v
adres voennogo  vedomstva za  neudachnyj vybor etogo  tipa  samoleta.  S etim
nel'zya  v  polnoj  mere  soglasit'sya; konstrukcii  v  tot period  tak bystro
menyalis', chto cherez odin-dva goda oni uzhe ustarevali.
     V  1911 g.  samolet  "N'yupor-4"  byl,  nesomnenno,  peredovym  po svoej
aerodinamike  i letnym  harakteristikam  i, bezuslovno,  prevoshodil  shiroko
rasprostranennye  samolety togo vremeni  -- monoplan  "Blerio-11"  i  biplan
"Farman-4". Odnako v 1913 g. samolet "N'yupor-4" uzhe ustarel i ego pora  bylo
zamenyat', no eto ne bylo sdelano, poka nachavshayasya v 1914 g. vojna ne vyyavila
ego polnuyu  neprigodnost'  dlya  kakih-libo voennyh  celej. No  polozhitel'nye
kachestva samoleta proyavilis' v dal'nih pereletah; v perelete Sevastopol'  --
Peterburg  v  1912  g., osushchestvlennom  letchikami  V. V.  Dybovskim  i D. G.
Andreadi, i v perelete  po  marshrutu Kiev--  Gatchina, osushchestvlennom  P.  N.
Nesterovym v 1914 g. vsego za odin den'. Zapas moshchnosti i  vysokaya prochnost'
samoleta "N'yupor-4"  pozvolili P. N.  Nesterovu  vypolnyat' glubokie virazhi i
petlyu, chto yavlyalos' ser'eznym ispytaniem dlya samoleta.
     Pishnoff-35.gif
     Ris.  6. Samolet "N'yupor-4"  (1911  g.) s rotativnym  dvigatelem "Gnom"
moshchnost'yu  70   l.   s.   Ploshchad'   kryl'ev  s  podfyuzelyazhnoj  chast'yu   21,5
m2;  ves  pustogo  samoleta okolo 450  kG; poletnyj  ves s  odnim
letchikom 600 kG.
     Krupnym  nedostatkom  samoleta-monoplana  "N'yupor-4"  byl ochen'  plohoj
obzor zemli, chto  bylo obshchim nedostatkom  monoplanov togo vremeni. Kak vidno
iz shemy samoleta (ris. 6), golova letchika nahodilas' nevysoko nad seredinoj
kryla  (shirina kryla 2,5  m).  Drugim nedostatkom, tozhe obshchim dlya monoplanov
togo vremeni, bylo  tyazheloe  poperechnoe  upravlenie, osushchestvlyavsheesya  putem
iskrivleniya kryl'ev. Dlya etoj celi  trosy idushchie k perednemu lonzheronu, byli
zakrepleny zhestko,  a  trosy, idushchie ot zadnego lonzherona, soedinyalis' cherez
rychazhki ili roliki i mogli peremeshchat'sya tak,  chto, esli konec levogo zadnego
lonzherona opuskalsya, konec protivopolozhnogo  lonzherona  podnimalsya.  To, chto
upravlenie bylo tyazhelym,  ob®yasnyalos'  ne tol'ko deformirovaniem konstrukcii
pri perekashivanii  kryla,  no glavnym  obrazom  tem,  chto  os', otnositel'no
kotoroj   povorachivalos'    krylo,   nahodilas'   na    rasstoyanii,   ravnom
priblizitel'no 10% dliny hordy, ot perednej kromki, a sama horda imela dlinu
okolo  2 m. V itoge  aerodinamicheskie sharnirnye momenty byli veliki. Perehod
na  elerony  u  monoplanov  proizoshel  znachitel'no  pozzhe.   Dlya  oblegcheniya
upravleniya  firma "N'yupor"  primenila takuyu sistemu upravleniya, pri  kotoroj
iskrivlenie  kryl'ev dlya  upravleniya  krenom vypolnyalos' nozhnymi pedalyami, a
rulem  napravleniya  upravlyali  posredstvom  bokovyh  dvizhenij  ruchki.  Takoe
upravlenie ne poluchilo  rasprostraneniya, no ono  zatrudnyalo perehod na  etot
samolet s samoletov  drugih tipov ili s nego  na  drugie. Vo vsyakom  sluchae,
podobnaya  sistema upravleniya  schitalas' odnim iz osnovnyh  minusov samoleta.
Rassmatrivaya shemu  samoleta,  my mozhem konstatirovat', chto  ona  napominaet
shemy  mnogih  drugih  samoletov,  kotorye  stroilis'  znachitel'no  pozzhe  i
otlichalis' ot nee  tol'ko  nekotorymi detalyami. Samolet  imel trapecievidnoe
krylo  umerennogo suzheniya  s  udlineniem  okolo  5;  kil' otsutstvoval,  chto
yavlyalos' obychnym dlya togo vremeni; rul' vysoty byl otnositel'no nevelik.
     Samolet  mog by  imet' dovol'no vysokoe aerodinamicheskoe kachestvo, esli
by ego ne uhudshali  nekotorye detali: dovol'no grubaya nosovaya chast', s malym
razvitiem  vypuklyh  poverhnostej,  nuzhnyh   dlya  vozniknoveniya  razrezhenij;
bol'shaya dlina  trosovyh raschalok i  slozhnoe shassi,  kogda v silovuyu  sistemu
vhodili  perednyaya i zadnyaya pary podkosov, a srednyaya para sluzhila  tol'ko dlya
shassi. Dlya  amortizacii sluzhila obychnaya  ressora, stoyavshaya  poperek potoka i
sovershenno ne obtekaemaya. Pri  effektivnom udlinenii,  ravnom priblizitel'no
4,6, i  Sh0=0,1  aerodinamicheskoe  kachestvo samoleta  bylo  ravno
primerno 6.  Nuzhno skazat',  chto  po sravneniyu s samoletami togo vremeni eto
bylo  prilichnoe  kachestvo,  obespechivayushchee  dostatochno   pologij  spusk  pri
planirovanii i prostoj perehod ot motornogo poleta k planirovaniyu.
     Interesno, chto profil' kryla byl S-obraznyj, t. e. s  peregibom srednej
linii i  primerno postoyannym polozheniem centra davleniya. Na drugih samoletah
obychnymi byli profili s  ochen' bol'shoj  kriviznoj srednej linii. V to  vremya
nekotorye  specialisty  polagali,  chto postoyanstvo centra  davleniya uluchshaet
prodol'nuyu  ustojchivost'.  Na  samom  dele eto privodilo tol'ko k  nekotorym
prochnostnym preimushchestvam  i k  sushchestvennomu uhudsheniyu  nesushchej sposobnosti
kryla  pri bol'shih uglah ataki. |tim, mozhet byt', ob®yasnyayutsya  imevshie mesto
katastrofy v rezul'tate svalivaniya na krylo. Centrovka samoleta  neizvestna,
no nuzhno  dumat',  chto ona  byla  ne  bolee  40%, chto dlya togo vremeni mozhno
schitat' dovol'no perednej  centrovkoj. Nejtral'naya centrovka s zazhatym rulem
i   bez  ucheta   effekta  dempfirovaniya  sostavlyala  42-44%.  Samolet   byl,
nesomnenno,  ustojchiv  po  peregruzke  i, veroyatno,  po  skorosti.  Dlya togo
vremeni eto bylo redkim polozhitel'nym kachestvom.
     Avtoru  prihodilos' nablyudat'  polety na samoletah  "N'yupor-4" v 1914--
1915 gg. Polet  vyglyadel  spokojnym i plavnym, tol'ko  pri  rulenii  samolet
sil'no   raskachivalsya  iz-za  maloj  bazy  koles  i  myagkosti  ressory.  Pri
oznakomlenii s konstrukciej samoleta  slozhilos' vpechatlenie, chto lonzherony i
trosovye  raschalki imeli  bol'shoj zapas prochnosti, hotya  prochnost',  vidimo,
voobshche ne  proveryalas' pri  staticheskih  ispytaniyah,  kak  ne proveryalas'  i
centrovka.
     Iz  skazannogo  vyshe sleduet, chto po  ustojchivosti  i prochnosti samolet
podhodil dlya vypolneniya vysshego pilotazha. Katastrofy s samoletom proishodili
v  osnovnom v rezul'tate svalivaniya na krylo  pri potere skorosti. |to mozhno
ob®yasnit'  v izvestnoj  mere  svojstvom  profilya  kryla --  s rezkim  sryvom
obtekaniya. Odna  katastrofa proizoshla pri krutom spuske po pryamoj linii,  iz
kotorogo letchik,  vidimo, ne smog  vyvesti samolet i vrezalsya  v zemlyu. |tot
sluchaj ob®yasnyali poterej zhestkosti fyuzelyazha posle grubyh posadok v sochetanii
s maloj effektivnost'yu rulya vysoty. Izvesten sluchaj polomki kryl'ev samoleta
pri rezkom vyravnivanii vo vremya posadki, kogda  polomalis' podkosy shassi, k
kotorym krepilis'  nesushchie  raschalki.  Vidimo,  v  dannom sluchae  imel mesto
proizvodstvennyj defekt ili zhe bylo povrezhdeno shassi pri grubyh posadkah.
     Avtor byl svidetelem katastrofy samoleta, pri kotoroj  pogib  letchik S.
V. Gulevich osen'yu 1915  g. Na vysote bolee 1000 m samolet vdrug nachal bystro
vrashchat'sya  vokrug  prodol'noj   osi  i,  prodolzhaya  vrashchat'sya,  v  sostoyanii
pikirovaniya  doshel do  zemli i razbilsya. V  to vremya o shtopore znali  malo i
umyshlennogo  shtopora  ne  delali. Po  harakteru dvizheniya  prichinu katastrofy
mozhno bylo pripisat' nevyhodu iz shtopora.
     Odnako nekotorye obstoyatel'stva govoryat  protiv etoj versii. Vo-pervyh,
kak eto  zapomnil avtor, fyuzelyazh samoleta byl v vertikal'nom polozhenii, chego
ne byvaet  pri  shtopore,  kogda  naklon  fyuzelyazha  po otnosheniyu k  vertikali
sostavlyaet  ne menee 20o. Samolet byl razrushen ochen' sil'no, chego
ne byvaet pri shtopore samoleta s maloj udel'noj nagruzkoj na krylo.
     Nakonec, v nekrologe, posvyashchennom S. V. Gulevichu, prof. N. E. ZHukovskij
ukazyvaet,  chto nozhnaya pedal', pri pomoshchi kotoroj  proizvodilos'  upravlenie
krenom,  byla ot®edinena  ot truby upravleniya.  |to  moglo  proizojti i  pri
udare,   no  esli  eto  imelo  mesto   v   polete  v  rezul'tate   vypadeniya
soedinitel'nogo boltika, vse proisshedshee budet vpolne ob®yasnimo.
     V  samom  dele,  esli  u  samoleta  proizojdet raz®edinenie  upravleniya
eleronami,  oni zajmut  nejtral'noe  polozhenie, tak kak sharnirnyj  moment ih
znachitel'no sil'nee zavisit ot ugla otkloneniya, chem  ot izmeneniya ugla ataki
kryla.  Drugoe delo  --  perekashivanie kryl'ev,  kogda  stepen'  zavisimosti
sharnirnyh  momentov ot  ugla  perekashivaniya  i  ot izmeneniya  ugla ataki pri
dvizhenii  krena odinakova,  i  posle perekashivaniya  kryl'ya tak i ostayutsya  v
pridannom im  polozhenii,  a  samolet,  nachav  vrashchenie,  prodolzhaet ego. Pri
nevozmozhnosti  ostanovit'  vrashchenie  samolet  neizbezhno  budet  dvigat'sya po
vertikali, tak kak pod®emnaya sila budet povorachivat'sya vmeste s krylom.
     Perejdem   k  rassmotreniyu   letnyh  harakteristik  samoleta.  Osnovnoj
harakteristikoj yavlyaetsya zapas pod®emnoj sily, t. e.  otnoshenie maksimal'noj
pod®emnoj sily k vesu. Pod®emnuyu silu opredelim po formule
     Pishnoff-36.gif
     Pri maksimal'nom aerodinamicheskom kachestve  Kmah=6,  N=70 l.
s. i razmahe kryl'ev l=10,6 m poluchim maksimal'nuyu pod®emnuyu silu
     Pishnoff-37.gif
     Pri normal'nom poletnom  vese, ravnom  680 kG,  Ymax/G=1,47;
pri vese, ravnom 600  kG, kotoryj,  veroyatno, blizok k  vesu, imevshemu mesto
pri vypolnenii petli  P. N. Nesterovym, Ymax/G=1,67;  dlya pustogo
vesa          samoleta         G0=450         kG         velichina
Ymax/G0=2,2.  Bolee  prostymi  harakteristikami sluzhat
velichiny, primenyaemye dlya statistiki:
     Pishnoff-38.gif
     Pishnoff-39.gif
     Po poluchennym znacheniyam mozhno sdelat' takie vyvody: po zapasu pod®emnoj
sily   samolet   mozhet   byt'   otnesen   k   kategorii   srednenagruzhennyh,
malomanevrennyh samoletov. Znachenie KG=8,3 blizko k takovomu  dlya
sovremennyh vintovyh samoletov; znachenie KGo=5,5 neskol'ko veliko
i govorit o  nekotorom peretyazhelenii konstrukcii.  Pri vese 600 kG  velichina
Ymax/G=nu=1,67  pozvolyaet  manevrirovat'  so   srednim
znacheniem peregruzki 1,6, naprimer,  delat' dlitel'nye virazhi s krenom okolo
50o. Kak izvestno, P. N.  Nesterov vypolnyal bolee  krutye virazhi;
ochevidno, oni vypolnyalis' so skol'zheniem, kogda nalichie nagruzki na  bokovye
stenki   fyuzelyazha  pozvolyaet  uvelichit'  kren,  ne   umen'shaya   vertikal'noj
sostavlyayushchej ot pod®emnoj i bokovyh sil.
     Na ris.  7,  8 i 9  privedeny  rezul'taty poverochnogo aerodinamicheskogo
rascheta samoleta "N'yupor-4". Na ris.  7 dana polyara i zavisimost' Su ot ugla
ataki;  v nizhnej  chasti  grafika  dan  profil'  kryla.  Na ris. 8  privedeny
zavisimosti  moshchnostej, potrebnyh dlya  preodoleniya soprotivleniya, i poleznyh
moshchnostej  ot skorosti dlya vysot 0, 1, 2 i 3 km, v  usloviyah gorizontal'nogo
poleta  pri poletnom vese  600 kG. Po peresecheniyam krivyh poluchaem  znacheniya
maksimal'nyh  skorostej  gorizontal'nogo  poleta;  po  maksimal'noj raznosti
moshchnostej  poluchim  izbytki  moshchnosti  DN,  po  kotorym  zatem  mozhem  najti
vertikal'nye skorosti Vy=75 DN /G.
     Pishnoff-40.gif
     Pishnoff-41.gif
     Ris. 7. Polyara i profil' kryla samoleta "N'yupor-4":

     Pishnoff-42.gif
     Ris.  8. Grafik  moshchnostej  dlya samoleta "N'yupor-4":  sploshnye linii  -
potrebnye moshchnosti; punktir - raspolagaemye moshchnosti.
     Na ris. 9  dany  zavisimosti  maksimal'noj  skorosti Vmax ot
vysoty;  vertikal'noj  skorosti  ot  vysoty  pri  skorosti  Vnab;
skorosti pri  nabore vysoty  Vnab i  minimal'noj  skorosti poleta
Vmin. Krome  togo, na  grafike  privedeny  zavisimosti  vysoty ot
vremeni pod®ema  t pri skorosti Vnab.  Grafiki  dany dlya poletnyh
vesov 600 i 680 kG.
     Pishnoff-43.gif
     Ris. 9. Osnovnye letnye harakteristiki samoleta "N'yupor-4" pri poletnyh
vesah 600 i 680 kG
     Pri  bolee  tochnom raschete  my  poluchili  maksimal'nuyu  pod®emnuyu silu,
ravnuyu 980 kG, pri skorosti V=25,8  m/sek (93 km/chas). Pri poletnom vese 600
kG eto  dast  peregruzku ny=l,63; ee  gorizontal'nuyu sostavlyayushchuyu
ngor=1,29;   centrostremitel'noe  uskorenie   jcs=12,6
m/sek2;        otsyuda         poluchim        radius        virazha
r=V2/jc.s.=53  m  i  vremya  soversheniya  polnogo  kruga
t=2pr/V=13 sek.
     Posmotrim teper', kak dolzhna byla vyglyadet'  petlya, kotoruyu vypolnil P.
N.  Nesterov.  Raschet petli  udobno  i  naglyadno mozhno vypolnit'  ishodya  iz
energeticheskih  principov.  Velichinu   hk=V2/2g  budem
nazyvat'  kineticheskoj vysotoj  --  ona  harakterizuet kineticheskuyu  energiyu
letyashchego  samoleta;  pri polete  na minimal'noj  skorosti  poluchim  velichinu
hk0=V2min/2g;  dlya samoleta  "N'yupor-4" pri
poletnom vese 600 kG, hk0=18,5 m.
     Takim obrazom,  dlya koefficienta peregruzki  nu poluchim odno
uslovie po skorosti:
     Pishnoff-44.gif
     vtoroe uslovie budet po prochnosti: nu< nu dop.
Poskol'ku  my  ne znaem dejstvitel'noj  prochnosti  samoleta, primem  nu
dop=3,5,  chto   dostatochno   dlya  vypolneniya   petli.  V  predelah  ot
nu=0   do  nu  mah  my   mozhem  proizvol'no
vybirat'  znacheniya  nu,  v  zavisimosti  ot  zhelaemogo  haraktera
traektorii; pri dvizhenii po pryamoj  my vsegda dolzhny brat' nu=sos
q.    Dlya    polucheniya     minimal'nogo    radiusa    krivizny    traektorii
nu=hk/hk0, no ne bolee nu dop.
     Prakticheski  celesoobrazno  vybirat'  takuyu  peregruzku,  pri   kotoroj
samolet budet obladat'  aerodinamicheskim kachestvom, blizkim k maksimal'nomu;
eto    budet    imet'    mesto   pri    uslovii    Sy2
/ple=Ch0. Znachenie nu n (t. e. pri  Cu
n) mozhno predstavit' v vide
     Pishnoff-45.gif
     gde hk.n  -- kineticheskaya vysota gorizontal'nogo poleta  pri
maksimal'nom aerodinamicheskom kachestve
     Pishnoff-46.gif
     Dlya rasschityvaemogo sluchaya Cun=1,15; hk.n=21,5 m.
Takim obrazom, pri vypolnenii krivolinejnogo dvizheniya sleduet priderzhivat'sya
peregruzok, opredelyaemyh usloviem  nu= hk/21,5,  no ne
bolee  3,5  i  ne  bolee ny=  hk/18,5.  Imeya  znachenie
peregruzki  nu  i  hk,   my  mozhem  opredelit'  radius
krivizny traektorii v vertikal'noj ploskosti:
     Pishnoff-47.gif
     |to  budet  pervym  uravneniem  dlya  rascheta  petli.  Vtoroe  uravnenie
pozvolit rasschityvat' znachenie hk. Dlya  etoj  celi my  ispol'zuem
vyrazhenie, svyazyvayushchee koefficient prodol'noj peregruzki s izmeneniem urovnya
energii samoleta:
     Pishnoff-48.gif
     Znachenie nh mozhet  byt' raskryto kak funkciya hk i
nu; dlya R/G  my podobrali  linejnuyu zavisimost' ot hk,
kotoraya    spravedliva    v    nuzhnom    diapazone   skorostej    P/G=0,28--
0,0016hk.
     Dlya Q/G poluchim
     Pishnoff-49.gif
     Podstaviv
     Pishnoff-50.gif
     Pishnoff-51.gif
     poluchim
     Pishnoff-52.gif
     V itoge, dlya poleta s rabotayushchim dvigatelem budem imet'
     Pishnoff-53.gif
     Pri  polete  s  vyklyuchennym  dvigatelem  my  otbrasyvaem  tyagu  vinta i
dobavlyaem ego soprotivlenie, chto daet DCx0=0,03, i togda poluchim
     Pishnoff-54.gif
     Voobshche govorya,  mozhno  bylo  by vmesto formul  dlya  nh  dat'
grafik.  Takim obrazom, my imeem dva uravneniya: odno dlya radiusa krivizny --
prostoe,   i   dlya  urovnya   energii   --   differencial'noe.  Krome   togo,
vspomogatel'nye svyazi: he=h+hk; ds= rdq; dh=ds sinq.
     Za  tekushchuyu  koordinatu  mozhet byt' vybran  put'  s  ili ugol  povorota
kasatel'noj   k   traektorii   q.  Proizvodya   raschet  dvizheniya,   pol'zuyas'
differencial'nym uravneniem, vybiraem  shag rascheta Ds ili Dq;  pervyj --  na
pryamolinejnyh uchastkah,  a na krivolinejnyh  uchastkah udobnee brat'  Dq, tak
kak my vsegda budem znat' srednee znachenie ugla q.
     CHislennoe    integrirovanie     uslozhnyaetsya    neobhodimost'yu    delat'
posledovatel'nye priblizheniya ili brat' ochen'  malye  znacheniya  shaga.  Rabota
uproshchaetsya, esli vozmozhna ekstrapolyaciya srednih znachenij velichin, vhodyashchih v
formuly.  Prinyav nekotoryj  shag dlya  ugla naklona  traektorii Dq, my poluchim
sleduyushchie formuly:
     Pishnoff-55.gif
     V  ocherednom  intervale  rascheta my znaem  q, vybiraem nu  i
vynuzhdeny ekstrapolirovat' velichinu hk. sr; esli posle vypolneniya
rascheta hk.  sr okazhetsya  inym, my dolzhny povtorit' raschet. CHtoby
uluchshit'   ekstrapolyaciyu,   sleduet  v   processe  rascheta  stroit'  grafiki
he  i  h po s i ryadom s nimi traektoriyu tak, chtoby  masshtaby byli
odinakovy. Na ris.  10 i 11 pokazany  rezul'taty rascheta  petli dlya samoleta
"N'yupor-4" primenitel'no k usloviyam vypolneniya ee P. N. Nesterovym.
     Za  ishodnye usloviya byl vzyat gorizontal'nyj polet na  vysote 900 m pri
skorosti 90 km/chas, chto davalo hk= 32 i nachal'nyj uroven' energii
932 m.  Zatem  proishodil perehod  v  pikirovanie pod  uglom 60o,
kotoroe  prodolzhalos'  do  momenta  dostizheniya  samoletom  vysoty  650  m  s
nerabotayushchim dvigatelem. Blagodarya  dejstviyu soprotivleniya vozduha,  kotoroe
nepreryvno vozrastalo,  padal i uroven' energii, tak chto, kogda vysota stala
ravnoj 650  m, uroven' energii okazalsya ravnym 785  m i hk=135 m,
ili  skorost'  ~  185  km/chas. Pri  etoj  skorosti  mogla  by  byt' poluchena
maksimal'naya peregruzka  nu=135/18,5=7,3.  Nachinat'  petlyu  nuzhno
bylo dostatochno ostorozhno.
     Dal'nejshij  raschet proizvodilsya  to intervalam Dq=30o. Kogda
samolet nachinal vyhodit' iz pikirovaniya, soprotivlenie nastol'ko vozrastalo,
chto,  nesmotrya na vklyuchenie dvigatelya,  uroven' energii prodolzhal  padat', a
kineticheskaya vysota  nekotoroe vremya ostavalas' pochti  postoyannoj. Kogda  zhe
samolet stal opisyvat'  pervuyu chetvert' petli,  velichina hk stala
bystro  umen'shat'sya kak  iz-za  uvelicheniya  h, tak  i vsledstvie  umen'sheniya
he.  Tol'ko  posle prohozhdeniya  vertikal'nogo  polozheniya  padenie
urovnya  energii prekratilos', no hk prodolzhalo padat' i  doshlo do
znacheniya  hk  =10,  kogda  maksimal'naya  peregruzka  mogla  imet'
velichinu,  ravnuyu  lish' primerno 0,5. Takim obrazom, v verhnej  tochke  petli
letchika prizhimalo k siden'yu s siloj, ravnoj 30-40%  ot sily vesa. Vo  vtoroj
chasti petli hk stalo uvelichivat'sya, no  ne ochen'  sil'no, tak kak
dvigatel' byl opyat' vyklyuchen i uroven' energii stal ponizhat'sya.
     
     
     Ris.  10.  Shema  rascheta  petli  Nesterova  dlya  samoleta   "N'yupor-4"
energeticheskim metodom
     Po  grafiku,  privedennomu  na  ris.   10,   mozhno  poluchit'   znachenie
hk v lyuboj  tochke petli i zatem najti skorost' po vyrazheniyu V=4,4
hk1/2.  Razdeliv intervaly  puti  na  srednie znacheniya
skorosti, mozhno najti intervaly vremeni i zatem opredelit' vremya  soversheniya
petli.  Ot  nachal'nogo  gorizontal'nogo uchastka do konechnogo  ono  okazalos'
ravnym okolo 10 sek.
     Na  ris.  11  dana  obshchaya  shema   pikirovaniya,  petli  i  posleduyushchego
spiral'nogo spuska s, krenom okolo 30o. Sopostaviv ee s izvestnoj
shemoj, sostavlennoj samim P. N. Nesterovym, my mozhem uvidet' ves'ma bol'shoe
shodstvo mezhdu nimi.
     Pishnoff-56.gif
     Ris. 11.  Shema snizheniya, petli i  spiral'nogo spuska, poluchennaya putem
rascheta primenitel'no k usloviyam vypolneniya pervoj petli P. N. Nesterovym
     Vysota petli okazalas' ravnoj 90 m, chto sootvetstvuet diametru virazha s
ochen'  bol'shim uglom krena, iz chego  i ishodil P. N.  Nesterov. Tol'ko forma
petli okazalas'  ne  okruzhnost'yu,  a  figuroj,  kotoruyu mozhno poluchit', esli
vzyat' provolochnoe kol'co nuzhnogo diametra  i, razrezav ego  v  nizhnej tochke,
sdvinut'  koncy, kak  by zatyagivaya  petlyu.  Togda  v  nizhnej chasti  krivizna
umen'shitsya, a v verhnej uvelichitsya.
     Pri sovershenii petli  osnovnoj  vopros zaklyuchaetsya  v pravil'nom vybore
nachal'noj   skorosti.  Pered   nachalom  petli  samolet  dolzhen  imet'  zapas
kineticheskoj  energii, opredelyaemyj  vysotoj hk.nach. Vysota petli
ravna  utroennomu-uchetverennomu znacheniyu  hk.n,  sootvetstvuyushchemu
gorizontal'nomu       poletu        na       naivygodnejshej        skorosti,
Dh=D=(3,5-4,0)hk.n,       gde      hk.n=0,      82G/(S
Cun).
     Krome togo, pri vypolnenii petli proishodit izmenenie urovnya energii ot
dejstviya tyagi  i  lobovogo  soprotivleniya.  |to izmenenie  mozhno  opredelit'
sleduyushchim obrazom. Dlina puti polupetli budet ravna
     
     Srednee znachenie peregruzki po puti petli nu~2,3; ugol ataki
nahoditsya v rajone maksimal'nogo kachestva. Togda snizhenie urovnya energii  za
polupetlyu sostavit
     Pishnoff-57.gif
     Kogda  samolet  okazhetsya  v  verhnej  chasti  petli,  dolzhna  ostavat'sya
nekotoraya  peregruzka -- ne menee ny=0,3-0,4, dlya chego  neobhodim
zapas   kineticheskoj    energii,    ravnyj   hk.kon    ~(0,3-0,4)
hk.n. V itoge poluchim
     Pishnoff-58.gif
     Pishnoff-59.gif
     |tot  priblizhennyj raschet  hk. nach ochen' blizok  k tomu, chto
bylo  polucheno  pri vypolnenii petli.  CHem bol'she  P/G,  t.  e.  chem  bol'she
tyagovooruzhennost' samoleta, tem  legche  vypolnyat'  petlyu i tem  men'she mozhet
byt' nachal'naya skorost'.  Tyagovooruzhennost' samoleta, na kotorom letal P. N.
Nesterov,  byla nevysoka, i  pered petlej  potrebovalsya osnovatel'nyj razgon
putem pikirovaniya.  My  mozhem tol'ko  udivlyat'sya tomu,  naskol'ko  pravil'no
zadumal P.  N. Nesterov vypolnit' petlyu -- posle  pikirovaniya  okolo 300  m.
Bud' razgon  bolee  slabym,  samolet zavis by v verhnej chasti petli, i togda
neprivyazannyj letchik okazalsya by v zatrudnitel'nom polozhenii.
     Mozhet vozniknut' vopros,  byla li petlya vypolnena so snizheniem ili net?
Esli rassmatrivat' etot vopros tol'ko v otnoshenii vysot nachala i konca petli
pri gorizontal'noj  kasatel'noj k traektorii, to ona mogla by byt' vypolnena
i bez snizheniya pri bolee rezkom vyvode iz pikirovaniya. Iz shemy, privedennoj
na ris. 10,  vidno,  chto  v etom sluchae  (punktirnyj konec  petli)  skorost'
okazalas' by maloj i nalico byl by risk svalivaniya v shtopor. Petlya schitaetsya
vypolnennoj bez snizheniya  v  tom  sluchae, esli posle  vyhoda iz odnoj  petli
samolet gotov k vypolneniyu sleduyushchej  ne tol'ko po ishodnoj vysote,  no i po
urovnyu energii. CHtoby eto bylo vozmozhno, tyaga  dvigatelya dolzhna obespechivat'
dlitel'nyj polet  s  peregruzkoj ne  menee 2,3.  P.  N. Nesterov  raspolagal
dlitel'noj peregruzkoj,  ravnoj  lish' okolo 1,6.  CHtoby povtorit' petlyu, emu
nuzhno bylo by vnov' razgonyat' samolet pikirovaniem.




     Kak  my  uzhe  ukazyvali,  samolet  "N'yupor-4"   ne  otlichalsya  vysokimi
manevrennymi  kachestvami:  zapas  moshchnosti  u  nego  byl  nebol'shoj,  organy
upravleniya malo effektivnye  i tol'ko zapas prochnosti byl dostatochen. Avtoru
ne  prihodilos'  vstrechat' svedenij o  tom,  chtoby kto-nibud', krome  P.  N.
Nesterova, vypolnyal na nem vysshij pilotazh.
     Francuzskij  samolet  "Moran-ZH" poyavilsya v 1912 g.  i  bystro  zavoeval
bol'shuyu populyarnost' -- vnachale  blagodarya ryadu  pereletov,  sovershennyh  na
nem,  a  zatem  kak prochnyj i manevrennyj  samolet, legko vypolnyavshij figury
vysshego  pilotazha, i,  nakonec,  kak odin iz  pervyh  istrebitelej.  "Moran"
zakupalsya vo  Francii i stroilsya zatem v Rossii kak  trenirovochnyj  samolet.
Ego  mozhno  bylo vstretit'  v  aviacionnyh  shkolah  do  1922-- 1923  gg.,  a
otdel'nye ekzemplyary i pozzhe. Kogda v 1918 g. v Moskovskoj aviacionnoj shkole
bylo  vvedeno   obyazatel'noe  obuchenie   vysshemu   pilotazhu,  to  dlya  etogo
ispol'zovalis'  samolety "Moran"; instruktorom  po obucheniyu  poletam na etih
samoletah byl zamechatel'nyj sovetskij letchik Mihail Mihajlovich Gromov.
     Letom 1914  g. v  Moskve  na Hodynskom  pole (vposledstvii  Central'nyj
aerodrom) petli  Nesterova demonstriroval letchik-ispytatel' zavoda "Duks" A.
M. Gaber-Vlynskij. Vposledstvii na  vozdushnyh  prazdnikah vysshij pilotazh  na
etom samolete demonstrirovalsya  ryadom  russkih letchikov.  Samolet  "Moran-ZH"
privlek  vnimanie  P.  N.  Nesterova   svoim   zapasom  moshchnosti  i  horoshej
upravlyaemost'yu. Osvoiv samolet,  P.  N.  Nesterov v iyule 1914 g. sovershil na
nem  perelet  Moskva--  Peterburg za 5 chasov. Vysokaya manevrennost' samoleta
"Moran-ZH"  privela  P.  N. Nesterova  k mysli  o  vozmozhnosti sbit'  samolet
protivnika, nanesya emu povrezhdenie svoim samoletom.
     Shema samoleta "Moran-ZH" pokazana na ris. 12.  Po konstruktivnoj  sheme
on pochti ne otlichaetsya ot samoleta "N'yupor-4", t. e. tozhe predstavlyaet soboj
raschalochnyj monoplan, odnako, on neskol'ko men'she i legche, chem "N'yupor-4", a
dvigatel'  na  nem byl ustanovlen  bolee  moshchnyj  --  "Gnom", a zatem  "Ron"
moshchnost'yu 80 l. s. Po vneshnemu vidu "Moran" vyglyadel  izyashchnee, chem "N'yupor",
i preimushchestvo v vese pustogo samoleta u nego sostavlyalo 100 kG, t. e. bolee
20%.
     Pishnoff-60.gif
     Ris. 12  Samolet "Moran-ZH"  (1913  g) s  rotativnym  dvigatelem  "Gnom"
moshchnost'yu 80 l. s. Ploshchad' kryla s podfyuzelyazhnoj chast'yu 15,5  m2,
ves pustogo samoleta okolo 350 kG,  poletnyj ves s odnim letchikom okolo  500
kG.
     Privedennaya  ploshchad' vrednogo  soprotivleniya  F0  byla ravna
okolo 1,0 m, t. e. bolee chem v poltora raza men'she, chem u samoleta "N'yupor".
Prichiny etogo aerodinamicheskogo preimushchestva zaklyuchalis' v  men'shih razmerah
ploshchadi  kryl'ev,  men'shej  obshchej  dline   trosovyh  raschalok   kryl'ev   i,
bezuslovno,  v  bolee  aerodinamichnoj   forme  kapota  dvigatelya.  Vazhnejshim
usloviem  umen'sheniya soprotivleniya vozduha yavlyaetsya nalichie  v nosovoj chasti
tela  gladkih  vypuklyh  poverhnostej,  na  kotoryh  razvivaetsya  ponizhennoe
davlenie, v bol'shej ili men'shej stepeni kompensiruyushchee povyshennoe davlenie v
rajone central'noj nosovoj chasti tela.
     U samoleta "Moran"  kapot dvigatelya byl polukol'cevoj; vposledstvii  na
samoletah  s  rotativnymi  dvigatelyami  stali  primenyat'  kol'cevye  kapoty,
blagodarya kotorym velichina  F0 byla eshche bolee  umen'shena.  Teoriya
kol'cevyh  kapotov dlya dvigatelej s  zvezdoobraznym raspolozheniem  cilindrov
byla razrabotana znachitel'no pozzhe -- v tridcatye gody. Umen'shenie  velichiny
F0 pri povyshennoj  moshchnosti dvigatelya dalo uvelichenie skorosti do
130-135 km/chas (vmesto  110 km/chas  u samoleta "N'yupor").  Esli kineticheskaya
vysota  hk=V2/2g u samoleta "N'yupor" sostavlyala  okolo
48 m, to u samoleta "Moran" ona ravnyalas' 70 m; eto bylo vazhnoe preimushchestvo
pri vypolnenii figur vysshego pilotazha.
     Nesmotrya    na    men'shuyu    velichinu    F0,    maksimal'noe
aerodinamicheskoe kachestvo samoleta  "Moran" bylo ravno  primerno 6,5, t.  e.
ono  bylo takim zhe, kak  u  samoleta "N'yupor",  vsledstvie  men'shego razmaha
kryl'ev.
     Na ris.  13  dany  polyara  i  forma  profilya kryla  samoleta "Moran-ZH".
Podobnyj profil' ochen' tipichen dlya togo  vremeni;  ego otnositel'naya tolshchina
sostavlyaet  lish' okolo  5%, a nosovaya chast'  dovol'no sil'no  izognuta.  |to
privodit k dovol'no  znachitel'nomu uvelicheniyu koefficienta soprotivleniya pri
malyh  uglah  ataki,  chto,  odnako,  ne  skazyvaetsya  na   osnovnyh   letnyh
harakteristikah.
     Na ris. 14 dany grafiki moshchnostej, potrebnyh dlya gorizontal'nogo poleta
pri vese 500 kG,  i grafiki poleznyh moshchnostej dlya vysot ot nulya do 4 km. Po
peresecheniyam  krivyh   my  poluchaem  maksimal'nye  skorosti  gorizontal'nogo
poleta, a po maksimal'noj raznosti moshchnostej nahodim  vertikal'nye  skorosti
na rezhime vzleta:
     Pishnoff-61.gif
     Na ris. 15 privedeny osnovnye letnye harakteristiki  samoleta "Moran-ZH"
--   maksimal'naya  i   minimal'naya   skorosti,   skorost'   Vnab,
sootvetstvuyushchaya maksimal'noj vertikal'noj skorosti, vertikal'naya skorost' na
raznyh  vysotah  i vremya pod®ema na vysotu,  poluchennoe putem  priblizhennogo
integrirovaniya
     
     Pri skorosti  poleta  120  km/chas  na vysote 1000  m potrebnaya moshchnost'
sostavlyaet 44 l. s., a moshchnost', razvivaemaya dvigatelem,  budet okolo 53  l.
s.  (sm. ris.  14). Pri  udel'nom rashode  topliva, ravnom 0,26-0,28  kg  na
loshadinuyu silu  v chas, i k. p. d. vinta, ravnom 0,75, chasovoj rashod topliva
budet raven okolo 16-17 kg/chas.
     Pishnoff-62.gif
     
     Ris. 13 Polyara i profil' kryla samoleta "Moran-ZH"
     Pri zapase topliva v 50  kg  vremya poleta budet ravno okolo 3  chasov  i
dal'nost'  poleta  okolo  350 km.  Sravnivaya  letnye harakteristiki samoleta
"Moran-ZH" s  harakteristikami  samoleta "N'yupor-4",  my  vidim,  chto samolet
"Moran-ZH" imeet znachitel'nye preimushchestva.
     Vazhnejshim   pokazatelem  manevrennyh   vozmozhnostej  samoleta  yavlyaetsya
velichina     maksimal'noj     peregruzki,     obespechivaemoj     dvigatelem,
ny=Ymax/G,  ravnoj  otnosheniyu  maksimal'noj  pod®emnoj
sily k vesu. U samoleta  "N'yupor-4"  my imeli nu=1,65, u samoleta
"Moran-ZH"   nu=2,0.   Vposledstvii   u  manevrennyh  istrebitelej
velichina nu stala dostigat' velichiny, ravnoj 3,0, i dazhe 3,5.
     Pri virazhe  na  skorosti  30  m/sek na maloj vysote i pri  koefficiente
peregruzki nu =1,9 my poluchim radius virazha
     Pishnoff-64.gif
     i vremya soversheniya polnogo kruga
     Pishnoff-65.gif
     Ostanovimsya eshche na nekotoryh osobennostyah samoleta "Moran-ZH". Professor
V. P. Vetchinkin  proizvodil  opredelenie  polozheniya centra  tyazhesti dlya ryada
samoletov  togo  vremeni, v  tom chisle  dlya  samoleta "Moran-ZH".  Odnako  on
interesovalsya tol'ko uglom  vynosa  shassi, t. e. naklonom linii, soedinyayushchej
centr  tyazhesti  s  os'yu  koles, i ne  otmetil  koordinaty centra  tyazhesti po
otnosheniyu  k krylu. Ih mozhno najti  po sheme samoleta, no ne osobenno tochno.
Proizvedya graficheskoe postroenie, my poluchili centrovku 27-28%. |to neobychno
perednyaya centrovka dlya samoletov togo vremeni. S  passazhirom  ona sostavlyala
okolo 30-31%.
     Pishnoff-66.gif
     Ris. 14. Grafik moshchnostej dlya samoleta "Moran-ZH"  pri poletnom vese 500
kG.

     Gorizontal'noe operenie samoleta sostoyalo  iz odnogo  rulya vysoty,  chto
imelo mesto i  u nekotoryh drugih  samoletov togo  vremeni.  Odnako  ploshchad'
gorizontal'nogo   opereniya   byla   nebol'shoj   i   sostavlyala   okolo   1,6
m2. Polozhenie fokusa samoleta sleduet  ocenit' (po raschetu) v 35%
ot dliny  hordy kryla, konechno, pri  zazhatom  rule. Takim  obrazom, samolet,
nesomnenno, byl staticheski ustojchiv i, tem bolee, ustojchiv po peregruzke.
     Pishnoff-67.gif
     Ris. 15. Osnovnye letnye harakteristiki samoleta "Moran-ZH" pri poletnom
vese 500 kG
     Nebol'shoj po ploshchadi rul' vysoty, imevshij k tomu zhe znachitel'nuyu osevuyu
kompensaciyu, daval sovsem neznachitel'nye aerodinamicheskie sharnirnye momenty;
v sochetanii s neznachitel'nym  treniem  eto privodilo k neobychajnoj  legkosti
upravleniya  rulem vysoty i, nesomnenno, davalo slabuyu zavisimost' usiliya  ot
peregruzki. V to zhe  vremya, bokovoe upravlenie  perekashivaniem kryl'ev  bylo
dovol'no   tyazhelym.  Korotkaya  ruchka  upravleniya   zakanchivalas'   nebol'shoj
"barankoj",   za   kotoruyu  derzhalsya   letchik.  Takim  obrazom,   poluchalas'
disgarmoniya  v  upravlenii -- bol'shie usiliya  v  odnom  napravlenii dvizheniya
ruchki i ochen' malye v drugom. Rul' napravleniya ploshchad'yu v 0,5 m2,
tozhe  s  osevoj  kompensaciej,  treboval  sovsem  neznachitel'nyh  usilij  na
pedalyah.
     U  samoleta  "Moran-ZH" byla eshche  odna osobennost'  v  upravlenii.  Esli
letchik nebol'shim usiliem na pedalyah otklonyal rul' napravleniya, sozdavaya etim
skol'zhenie, to na ruchke voznikalo bol'shoe usilie, stremyashcheesya otklonit' ee v
storonu, obratnuyu hodu pedali, tak  kak kosoe obtekanie  kryl'ev privodilo k
tendencii  ih perekashivaniya. U samoleta  Moran "Parasol'"  eta osobennost' v
upravlenii   samoletom   proyavlyalas'  stol'   rezko,   chto,   otkloniv  rul'
napravleniya, letchik ne mog uderzhat' ruchku ot uhoda ee v storonu.
     Ukazannaya   specifika   upravleniya  trebovala   dostatochnoj  trenirovki
letchika, vyzyvala trudnosti pri  obuchenii, oslozhnennye otsutstviem  dvojnogo
upravleniya, no  pri  nadlezhashchem  osvoenii tehniki upravleniya eta osobennost'
pozvolyala letchiku  vypolnyat' samye  raznoobraznye figury vysshego pilotazha --
petli,  perevoroty, padenie listom,  shtopor  i  dr.  Prochnost'  samoleta,  i
osobenno  ego  pilotazhnyh variantov,  byla  vysokoj.  Sluchai  polomki  etogo
samoleta v vozduhe avtoru ne izvestny.
     Pri  nalichii  u   samoleta   "Moran-ZH"   tol'ko   odnogo   rulya  vysoty
simmetrichnogo profilya, bez nepodvizhnoj  chasti --  stabilizatora, samolet  ne
mog letat' s broshennoj ruchkoj. Poskol'ku  na  krylo pri otsutstvii pod®emnoj
sily dejstvoval pikiruyushchij moment, v  sluchae broshennoj ruchki  samolet dolzhen
byl perejti  v  pikirovanie s dal'nejshim perehodom v perevernutyj polet. Kak
izvestno, posle tarana, kotoryj proizoshel na  vysote okolo 1000 m, do vysoty
50 m P. N. Nesterov  vypolnyal  spiral'nyj spusk, no zatem  samolet pereshel v
pikirovanie  i  upal  v  perevernutom  polozhenii.  Takoe povedenie  samoleta
svidetel'stvuet o tom, chto P. N. Nesterov poteryal  soznanie i otpustil ruchku
upravleniya;  posle  perehoda  na  otricatel'nye  ugly ataki  i otricatel'noe
znachenie  nu  on byl  vybroshen  iz  samoleta,  poskol'ku  ne  byl
privyazan.
     Aerodinamicheskoe  kachestvo samoleta s uchetom soprotivleniya  vinta  bylo
ravno  primerno 5,7.  Odnako prakticheski samolet snizhalsya dovol'no kruto  po
sleduyushchej prichine: chtoby vrashchenie vinta ne  prekratilos' pri  spuske, letchik
staralsya  derzhat' povyshennuyu skorost', tem  samym otdalyaya samolet ot  rezhima
maksimal'nogo  kachestva.  Tak, pri  skorosti 100-110 km/chas aerodinamicheskoe
kachestvo stanovilos'  ravnym  4,5.  Polomki pri  posadke  byli  chasty  --  v
osnovnom,  pognutost' osi koles. Pri povrezhdenii shassi ili pri nalichii snosa
v moment kasaniya samolet stanovilsya na nos ili dazhe perevorachivalsya na spinu
-- "kapotiroval".
     Net somneniya v tom, chto P. N. Nesterov v sovershenstve ovladel samoletom
"Moran-ZH", svobodno i tochno na nem manevriroval i  uverenno sovershal posadki
na nebol'shie  polyanki. Sleduet  napomnit',  chto dlina razbega samoleta  byla
ravna 75-80 m i vremya razbega -- okolo  7 sek; dlina probega pri posadke  --
80-90 m; vzletnaya  distanciya  do nabora vysoty,  ravnoj 10-15  m, sostavlyala
okolo    200   m;    ugol    pod®ema   na    malyh    vysotah    --    okolo
8o-10o. Pri nalichii profilya kryla s  bol'shoj kriviznoj
i   ustanovochnogo   ugla    kryla   po   otnosheniyu   k   fyuzelyazhu,   ravnogo
5o-6o, liniya nulevoj pod®emnoj sily sostavlyala  s os'yu
fyuzelyazha ugol  10o-12o. Pri nabore vysoty ugol naklona
fyuzelyazha okazyvalsya men'she naklona traektorii i sozdavalos' vpechatlenie, chto
samolet  "vspuhaet",  t. e. podnimaetsya  pochti pri gorizontal'nom  polozhenii
fyuzelyazha.  Pri  spuske,   naoborot,  naklon  fyuzelyazha   byl  bol'she  naklona
traektorii,   sozdavaya   illyuziyu   bolee   krutogo  spuska;   no   zato  eto
obstoyatel'stvo uluchshalo obzor vpered.
     V 1918 g.  professor V.  P. Vetchinkin v polete  na samolete  "Moran-ZH",
pilotiruemom   izvestnym   letchikom,   geroem   Grazhdanskoj   vojny  YU.   A.
Bratolyubovym, vpervye  proizvel izmereniya peregruzok pri polete v "boltanku"
i pri vypolnenii figur vysshego pilotazha. |ti issledovaniya imeli ochen' vazhnoe
znachenie dlya razrabotki trebovanij k prochnosti samoletov.




     Perejdem teper' k voprosu, kotoryj ves'ma interesoval P. N. Nesterova i
yavilsya  ob®ektom  ego issledovanij i konstruktivnyh  razrabotok.  Uzhe pervoe
znakomstvo  s samoletami  i sredstvami  upravleniya  imi v  1910 g. zastavilo
Petra Nikolaevicha  zadumat'sya nad  prichinami  razlichiya  poletov  samoletov i
ptic.  U  vseh  ptic otsutstvuet vertikal'noe  operenie,  u samoleta  ono ne
tol'ko imeetsya, no i igraet  vazhnuyu rol' v upravlenii  poletom. Na samoletah
togo vremeni povoroty delali bez krena ili ostorozhno, s malym krenom, boyas',
kak by ne  proizoshlo  skol'zhenie  na  krylo, poskol'ku ne bylo  znachitel'noj
poverhnosti, kotoraya  etomu  pomeshala  by. Nuzhno  skazat', chto skol'zheniya na
krylo  dejstvitel'no  sluchalis',   hotya   prichina  ih   togda  eshche  ne  byla
ustanovlena. Esli  my poznakomimsya s prichinami avarij i  katastrof  v period
1910-- 1917 gg., to my vstretim ne stol'ko upominanij o svalivaniyah na krylo
i sryvah v shtopor, skol'ko o skol'zheniyah na krylo.
     Prisutstvuya na aerodrome i prislushivayas' k razgovoram letchikov v 1916--
1917  gg., avtor ne raz slyshal, kak oni obmenivalis' opytom i rasskazyvali o
sluchayah skol'zheniya na krylo, a  na vozdushnom  prazdnike vesnoj 1917 g. avtor
byl svidetelem katastrofy, kogda samolet "Vuazen" s vysoty 40-50 m skol'znul
na krylo i v  polozhenii  skol'zheniya udarilsya bokom o  zemlyu.  CHastye  sluchai
skol'zheniya  na krylo samoletov togo vremeni  ne byli obsledovany.  |to mozhno
ob®yasnit' tem, chto v te vremena znanie svojstv samoletov bylo nedostatochnym,
a zatem interes k voprosam skol'zheniya otpal, tak kak bolee aktual'nymi stali
voprosy bor'by so svalivaniem na krylo i perehodom v shtopor.
     Nesomnenno, chto sklonnost' k ustojchivomu i neupravlyaemomu skol'zheniyu na
krylo sleduet ob®yasnyat' aerodinamicheskimi osobennostyami nekotoryh samoletov.
|ti   osobennosti  zaklyuchayutsya  v  primenenii  tonkih   profilej  kryla   so
znachitel'noj kriviznoj i v slabom razvitii vertikal'nogo opereniya.
     Esli  sravnit'  shemu  sovremennogo  sportivnogo  legkogo  samoleta  so
shemami samoletov 1910-- 1914 gg., to  naibolee sushchestvennoe  razlichie mezhdu
nimi budet zaklyuchat'sya kak raz v tom, chto sovremennye samolety imeyut bol'shuyu
tolshchinu profilya kryla i otnositel'no bol'shuyu ploshchad' vertikal'nogo opereniya.
     Skol'zhenie  na  krylo, kotoroe  yavlyalos'  prichinoj  avarij,  ne sleduet
smeshivat'  s  tem skol'zheniem, kotoroe legko vyzyvaetsya  prostym otkloneniem
rulya napravleniya. Esli samolet sil'no nakrenit', ne menyaya velichiny pod®emnoj
sily, to  dvizhenie ego budet  harakterizovat'sya dvumya  uskoreniyami  -- odno,
opredelyaemoe gorizontal'noj sostavlyayushchej pod®emnoj sily i dayushchee iskrivlenie
traektorii  v  gorizontal'noj ploskosti, i vtoroe,  opredelyaemoe nedostatkom
vertikal'noj  sostavlyayushchej pod®emnoj  sily,  napravlennoe vniz i  vyzyvayushchee
iskrivlenie  traektorii  v  vertikal'noj  ploskosti.  V   itoge  razvivaetsya
spiral'noe dvizhenie, i pri otsutstvii ili nedostatochnosti razvorota samoleta
v storonu krena poluchaetsya skol'zhenie, t. e.  kosoe  obtekanie. Odnako, esli
by  pri  nakrenenii byla  uvelichena pod®emnaya  sila otkloneniem rulya vysoty,
krivizny traektorii v vertikal'noj ploskosti ne bylo by.  V itoge poluchaetsya
pravil'nyj virazh bez  skol'zheniya. Dlya  P.  N. Nesterova  dinamika  virazha  s
bol'shim uglom krena byla yasna, i on, poluchiv  vozmozhnost' letat', stal smelo
primenyat' ochen' glubokie virazhi.
     Obrashchayas' k  "avarijnym" skol'zheniyam, sleduet ukazat', chto delo bylo ne
v tom, chto ono voznikalo  pri nakrenenii bez  uvelicheniya pod®emnoj sily, a v
tom,  chto, okazavshis'  v skol'zhenii,  letchik  chuvstvoval  nevozmozhnost'  ego
ustraneniya.  Nesmotrya  na  otklonenie  eleronov protiv  napravleniya krena, a
mozhet byt',  i otklonenie rulya napravleniya tozhe  v storonu, obratnuyu  krenu,
samolet sohranyal svoe  sostoyanie  krena i  skol'zheniya.  Konechno, letchik  mog
ustranit' skol'zhenie, otkloniv rul' napravleniya  v  storonu krena, no  togda
samolet  byl  by pereveden  v krutoe snizhenie, chego nel'zya bylo dopustit' na
maloj vysote. Poterya  effektivnosti eleronov ob®yasnyalas' vyhodom samoleta na
kriticheskie  ugly ataki. V  to zhe vremya, momenty  ot  nesimmetrichnogo  sryva
obtekaniya, vyzyvayushchie samovrashchenie, byli slaby. Vposledstvii  pri vypolnenii
virazha s nedostatochnoj skorost'yu (naprimer, na samoletah R-1) samolet, nachav
skol'zhenie  v  storonu krena,  podhvachennyj  momentami samovrashcheniya ot sryva
obtekaniya  so  storony kryla, obratnoj napravleniyu skol'zheniya, ves'ma bystro
vyhodil iz krena i svalivalsya v shtopor v protivopolozhnuyu storonu.
     Bol'shinstvo letchikov rannego perioda  razvitiya aviacii  i konstruktorov
samoletov byli sportsmenami,  kotorye  imeli  praktiku ezdy  na  avtomobile,
motocikle,  motornoj  lodke.  S.  I.  Utochkin  pryamo  ukazyval, chto  ezda na
motocikle  pozvolila   emu  bystro   ovladet'  upravleniem  samoletom.   Dlya
sportsmenov nalichie rulya  napravleniya na samolete predstavlyalos'  sovershenno
estestvennym.  Inym  byl  put'  P.  N.   Nesterova;  on  srazu  pochuvstvoval
protivorechie  mezhdu organami upravleniya samoleta i pticy.  On  postavil sebe
zadachu primenit' inuyu shemu upravleniya hvostovym opereniem. On ukazyval, chto
povorot  vsego rulya  ili povorot  rulya  kak  chasti  hvostovoj  poverhnosti s
perelomom formy secheniya nezhelatelen; bolee celesoobraznym yavlyaetsya vygibanie
poverhnosti. Princip iskrivleniya kryl'ev on schital pravil'nym, no tol'ko, po
ego mneniyu, forma kryl'ev samoleta dolzhna byla by byt' blizhe k forme kryl'ev
pticy.   Nakonec,   P.   N.  Nesterov   interesovalsya   effektom   izmeneniya
ustanovochnogo ugla kryla po otnosheniyu k fyuzelyazhu, polagaya, chto s ego pomoshch'yu
mozhno rasshirit'  diapazon  skorostej,  oblegchit'  vzlet i posadku.  V  svoem
proekte samoleta,  kotoryj P. N. Nesterov  predstavil  v  Glavnoe Inzhenernoe
Upravlenie Voennogo  vedomstva v 1912  g., on predusmatrival ukazannye  vyshe
usovershenstvovaniya.
     Rassmatrivaya shemu samoleta Nesterova, opublikovannuyu v zhurnale  "Aero"
v  1912  g., i,  osobenno, bolee detal'nuyu shemu,  privedennuyu v trude I. F.
SHipilova  "Vydayushchijsya  russkij letchik P. N.  Nesterov" (Voennoe izdatel'stvo
Ministerstva Oborony SSSR, 1952),  my  vidim (ris. 16), chto  ona  napominaet
izvestnuyu  v to vremya  shemu samoleta |triha "Taube", no  otlichaetsya ot  nee
hvostovym opereniem.
     Ostanovimsya nemnogo na istorii  shemy samoleta "Taube".  "Taube"  -- po
nemecki  "golub'",  i  dejstvitel'no,   shema  samoleta  "Taube"  (ris.  17)
napominaet, esli ne golubya, to, vo vsyakom sluchae, kakuyu-to pticu. Interesno,
chto eta shema v dejstvitel'nosti "proishodit" ne ot pticy, a ot planiruyushchego
tropicheskogo  semeni  "Canoniya".  |to  semya  (ris.  18)  predstavlyaet  soboj
letayushchee krylyshko s ottyanutymi i neskol'ko otognutymi vverh koncami.
     Pishnoff-68.gif
     Ris. 16. Shema samoleta, sproektirovannogo P. N. Nesterovym v 1912 g, s
opereniem original'nogo tipa
     
     Ris. 17. Shema samoleta |triha "Taube" (1911 g.)
     Pishnoff-70.gif
     Ris. 18. Shema planiruyushchego semeni "Canoniya"
     Centr  tyazhesti ego  raspolozhen tak, chto  centrovka poluchaetsya perednej.
Avstrijskie konstruktory  |trih  i  Vel's snachala  prosto vosproizvodili eto
semya v bol'shom  masshtabe, a zatem  dobavili k nemu  hvost, pohozhij na  hvost
korshuna,  i poluchilas' shema "Taube". Odin iz samoletov |triha "Taube" byl v
Peterburge v 1911 g.  i letchik  Lerhe  prinyal  uchastie  v  perelete  na etom
samolete  po  marshrutu Peterburg -- Moskva. Vposledstvii samolety etoj shemy
poluchili rasprostranenie  v  Avstrii  i  Germanii -- naprimer, "Gota-taube",
"Rumpler-taube"  i  dr.  Byli   i  biplannye   varianty  shemy  "Taube".  Ob
osobennostyah aerodinamicheskih  svojstv  shemy "Taube", k  sozhaleniyu,  avtoru
nichego neizvestno. Aerodinamika ih byla  posredstvennoj iz-za nalichiya  u nih
mnozhestva rastyazhek,  otkrytogo  raspolozheniya  dvigatelya,  bol'shih radiatorov
ohlazhdeniya  i  drugih  neukrytyh  detalej.  Estestvenno,  skorost'  ih  byla
nevelika.
     Shema  "Taube" primenyalas' s 1910 po 1915 g.,  prichem v  nachale  pervoj
mirovoj vojny  v  avstro-germanskoj  armii  takih samoletov  bylo  mnogo,  i
naimenovanie "Taube"  stalo naricatel'nym dlya  samoletov  protivnika Rossii.
Odnako samolety  "Taube" postigla ta zhe sud'ba, chto  i  monoplany "N'yupor" i
"Moran".  Germaniya  i  Avstriya  pereshli  na  fyuzelyazhnye  biplany,  tipichnymi
obrazcami kotoryh byli  "SHnejder", "Al'batros"  i "Dajmler",  podobnyj tomu,
kotoryj  byl sbit  P. N. Nesterovym. Fyuzelyazhnyj biplan  nachal razvivat'sya  v
Rossii;  YA. M. Gakkel'  primenil  etu  shemu eshche v 1908--  1909  gg., I.  I.
Sikorskij razrabotal prekrasnye obrazcy fyuzelyazhnyh biplanov v 1911-- 1912 g.
i primenil ee na samoletah "Grand" i "Il'ya Muromec".
     P.  N. Nesterov prinyal  za osnovu svoego samoleta shemu "Taube" po ryadu
soobrazhenij. Vo-pervyh, u etogo samoleta organy upravleniya ne povorachivayutsya
na  sharnirah,  a  vygibayutsya.  Odnako  vmesto   razdel'nyh  rulej  vysoty  i
napravleniya,  on  primenil  odnu  gorizontal'nuyu  poverhnost',  kotoraya  pri
vygibanii daet effekt ne tol'ko rulya vysoty, no i rulya napravleniya. Dlya etoj
celi  os'  otgiba raspolozhena koso (sm.  ris.  16, punktirnaya  liniya). Forma
kryl'ev samoleta "Taube" harakterna ne tol'ko ottyanutymi nazad koncami, no i
ih vygibom vverh. Blagodarya etomu v  polete  koncevye chasti kryla ostavalis'
nenagruzhennymi  ili  slabo  nagruzhennymi, sohranyaya  svoyu  effektivnost'  dlya
poperechnogo upravleniya i pri  bol'shih uglah  ataki.  No bylo  zdes' i drugoe
soobrazhenie.
     P. N.  Nesterov hotel izbavit'sya ot vertikal'nogo opereniya, kotorogo ne
imeyut pticy.  Ne nuzhno dumat',  chto u  samoletov vertikal'noe  operenie bylo
primeneno  tol'ko radi vypolneniya povorotov  bez krena.  Pervymi prakticheski
primenili vygibanie kryl'ev dlya poperechnogo upravleniya brat'ya Rajt. Primenyaya
eto upravlenie,  oni obnaruzhili dovol'no nepriyatnoe yavlenie -- pri vygibanii
koncov kryl'ev  v raznye storony samolet  vrashchalsya vokrug prodol'noj  osi  v
nuzhnom  napravlenii i odnovremenno stremilsya povernut'sya vokrug vertikal'noj
osi v obratnuyu storonu.
     Tak,  esli letchik  nakrenyal  samolet vpravo,  v processe etogo dvizheniya
samolet obnaruzhival dovol'no sil'noe  stremlenie povernut'sya vlevo, chto bylo
sovsem nezhelatel'no.  Dlya ustraneniya  razvorota letchik  dolzhen  byl  vsegda,
odnovremenno  s vygibaniem  kryl'ev,  dejstvovat'  i  rulem  napravleniya,  a
poslednij   dolzhen   byl  byt'   dostatochno   moshchnym,   chtoby   preodolevat'
razvorachivayushchij  moment.  |to  svojstvo  zastavilo  brat'ev  Rajt  primenit'
svoeobraznuyu sistemu upravleniya. Na ih samolete bylo dve ruchki upravleniya --
pravaya  i  levaya;  nozhnye pedali otsutstvovali. Levaya  ruchka upravlyala rulem
vysoty,  a  pravaya  pri  dvizhenii v  storony  -- vygibaniem  kryl'ev,  a pri
dvizhenii vpered  i  nazad  -- rulem napravleniya. Takim obrazom, odnim  kosym
dvizheniem pravoj  ruchki mozhno bylo odnovremenno  sozdavat' krenyashchij moment i
borot'sya s zavorachivayushchim momentom.
     Na   samolete   brat'ev   Rajt  effekt   zavorachivaniya  pri  nakrenenii
proyavlyalsya, mozhet byt',  sil'nee, chem u drugih samoletov togo vremeni, iz-za
bol'shogo razmaha kryl'ev, bol'shih uglov vygibaniya ih koncov i iz-za  uslovij
poleta   pri   dovol'no  bol'shih   uglah   ataki.   YAvlenie   nezhelatel'nogo
zavorachivaniya  pri  vrashchenii vokrug prodol'noj osi  obnaruzhilos'  i u drugih
samoletov  ne  tol'ko  pri  vygibanii  koncov kryl'ev,  no  i  pri  dejstvii
eleronami.   Pri   obuchenii   poletam  u   letchikov   vyrabatyvalsya  refleks
odnovremennogo otkloneniya ruchki i  nozhnyh  pedalej v  odnu  i tu zhe  storonu
(naprimer, pri otklonenii ruchki vpravo nazhimayut i na pravuyu pedal').
     Ob®yasnenie  prichiny  vozniknoveniya  zavorachivayushchego   momenta  kazalos'
dovol'no prostym: v toj chasti kryla, gde vsledstvie uvelicheniya mestnogo ugla
ataki  ili   otkloneniya  elerona  proishodit   uvelichenie   pod®emnoj  sily,
odnovremenno uvelichivaetsya i lobovoe soprotivlenie; u protivopolozhnogo konca
kryla vmeste  s  umen'sheniem pod®emnoj  sily  umen'shaetsya  i  soprotivlenie.
Otsyuda vytekalo  soobrazhenie, chto  esli ishodnye ugly ataki  na koncah kryla
budut umen'sheny (a, eshche luchshe, blizki k nulyu), to effekt zavorachivaniya budet
oslablen ili dazhe unichtozhen.
     V  dvadcatye gody voprosu bor'by s  zavorachivayushchim  momentom  udelyalos'
bol'shoe  vnimanie. Krome  opisannogo  uzhe  umen'sheniya  nagruzhennosti  koncov
kryl'ev,   predlagalis':   differencial'noe   otklonenie   eleronov,   kogda
podnimayushchijsya eleron otklonyalsya na bol'shij ugol, chem opuskayushchijsya; plavayushchie
elerony, kotorye nezavisimo ot ugla ataki kryla ostavalis' na  nulevom  ugle
ataki; special'nye formy profilya eleronov, pri kotoryh pri  podnyatii elerona
proishodil  mestnyj  sryv  obtekaniya, blagodarya  chemu  voznikalo  povyshennoe
soprotivlenie.  Vse  eti meropriyatiya  ne  nashli  shirokogo  primeneniya  i,  v
sushchnosti,   byli   ostavleny.   Vopros  bor'by  s   zavorachivaniem   reshalsya
ispol'zovaniem  rulya napravleniya  i povysheniem putevoj ustojchivosti. Razmery
vertikal'nogo   opereniya  neuklonno  rosli  iz-za  neobhodimosti  obespechit'
putevuyu  ustojchivost',  uravnoveshivanie  samoleta  pri  nesimmetrichnoj  tyage
dvigatelej  i  vyvod iz shtopora. K  etomu nuzhno  pribavit', chto  krejserskie
rezhimy  poleta stali  sootvetstvovat'  men'shim uglam ataki kryla  i  poetomu
effekt zavorachivaniya ne sluzhil pomehoj pri pilotirovanii.
     Nuzhno   napomnit',   chto   poperechnoe   upravlenie    samoletom   mozhet
proizvodit'sya ne tol'ko eleronami i iskrivleniem koncov kryl'ev, no i  putem
ispol'zovaniya  effekta skol'zheniya, vyzyvaemogo otkloneniem rulya napravleniya.
Na  bol'shinstve samoletov polet mozhno proizvodit', ne  pol'zuyas'  poperechnym
upravleniem,  a ispol'zuya effekt  skol'zheniya,  hotya  eto  i imeet  izvestnye
neudobstva. Stroilis' dazhe samolety, sovsem lishennye poperechnogo upravleniya.
Podobnyj samolet konstrukcii A. G. Fokkera byl i vo vremena P. N. Nesterova.
     Ob®yasnenie  prichiny vozniknoveniya zavorachivayushchego  momenta  razlichiem v
soprotivleniyah  bylo, v sushchnosti,  nepravil'nym.  Rassuzhdenie  o  razlichii v
soprotivleniyah moglo otnosit'sya k nachal'nomu momentu, kogda posle otkloneniya
eleronov ili  iskrivleniya  koncov  kryla  samolet  eshche  ne priobrel skorosti
nakreneniya,  ili  uglovoj skorosti  otnositel'no  prodol'noj  osi  samoleta.
Odnako samolety togo vremeni ochen' bystro prihodili vo vrashchenie s postoyannoj
uglovoj  skorost'yu i blagodarya okruzhnym mestnym skorostyam  v secheniyah  kryla
pod®emnye  sily  kryl'ev   vyravnivalis'.  Dlya  opredeleniya  zavorachivayushchego
momenta  nuzhno bylo ishodit'  ne iz sil soprotivleniya, a iz ih sostavlyayushchih,
parallel'nyh prodol'noj osi samoleta.  V itoge, pod®emnye  sily  okazyvalis'
ravnymi i razlichie v silah soprotivleniya bylo neznachitel'nym. Samoe osnovnoe
zaklyuchalos'  v tom, chto napravleniya dejstviya pod®emnyh sil v rajone koncevyh
chastej  kryla  byli  razlichnymi.  U opuskayushchegosya konca kryla pod®emnaya sila
naklonyalas' vpered, u podnimayushchegosya -- nazad. Vzyav sostavlyayushchie etih sil po
napravleniyu prodol'noj osi, my i poluchim zavorachivayushchij moment.
     Takim obrazom, prichinoj  vozniknoveniya zavorachivayushchego momenta yavlyalos'
organicheskoe svojstvo kryla, svyazannoe s nalichiem  pod®emnoj sily i  uglovoj
skorosti  vrashcheniya   vokrug  prodol'noj  osi.  Zavorachivayushchij  moment  pryamo
proporcionalen  okruzhnoj  skorosti  koncov  kryla  pri  vrashchenii  i  obratno
proporcionalen  skorosti  poleta. Iz etogo  sleduet, chto bez otkloneniya rulya
napravleniya nel'zya vypolnyat' pravil'noe nakrenenie.
     Kak  zhe upravlyayut krenom pticy? Proshche vsego etot vopros reshaetsya v  tom
sluchae,  esli  ptica  mozhet  mahnut'  krylom;  togda  vmeste  s  uvelicheniem
pod®emnoj  sily poyavitsya  moment,  dejstvuyushchij v storonu povorota,  a  ne  v
obratnuyu.  Paryashchie  pticy  obychno  sovershayut  polet s  raspushchennym  hvostom,
kotoryj sozdaet  izvestnuyu  pod®emnuyu  silu.  Oni mogut  povorachivat'  hvost
vokrug  prodol'noj osi, naklonyaya tem samym pod®emnuyu silu  hvosta i sozdavaya
effekt, analogichnyj  otkloneniyu vertikal'nogo opereniya.  Odnako  pri paryashchem
polete chaek mozhno nablyudat', chto  hvostovoe operenie u nih polnost'yu slozheno
i,  sledovatel'no,  upravlenie poletom  proishodit isklyuchitel'no  s  pomoshch'yu
kryl'ev.  Prodol'noe  upravlenie  mozhet  proizvodit'sya  ochen' neznachitel'nym
peremeshcheniem kryl'ev  otnositel'no  korpusa  -- vpered  i nazad;  poperechnoe
upravlenie  --  vygibaniem  kryl'ev.  CHto  kasaetsya  putevogo  upravleniya  i
preodoleniya zavorachivayushchego  momenta pri vygibanii kryl'ev pticami,  to etot
vopros  v  polnoj mere  ne  vyyasnen.  Razgadku mozhno  iskat'  v  svoeobrazii
vygibaniya kryl'ev.
     Rassmotrim teper', kak rabotaet operenie, predlozhennoe P. N. Nesterovym
(ris.  16  i  19).  Dlya prostoty  budem rassmatrivat' variant,  kotoryj  byl
realizovan P.  N.  Nesterovym  na samolete "N'yupor-4"  v  nachale 1914  g.  i
kotoryj  byl  im  ispytan  v  polete.  Shema  etogo   opereniya  shematicheski
vosproizvedena nami po fotografii i, konechno, netochna. Obe poloviny opereniya
povorachivayutsya (ili, vernee, vygibayutsya) otnositel'no osi, sostavlyayushchej ugol
okolo  30o  s  poperechnoj  os'yu. Togda  nagruzka, dejstvuyushchaya  na
operenie  pri  ego  otklonenii,  dast sostavlyayushchie  sily  -- vertikal'nuyu  i
bokovuyu. Esli obe poloviny otkloneny na ravnye ugly, to bokovye sostavlyayushchie
vzaimno  nejtralizuyutsya;  esli oni  otkloneny v  protivopolozhnye  storony na
ravnye ugly, to  napravlenie  dejstviya rezul'tiruyushchej bokovoj  sily opereniya
budet  zaviset' ot  ego ugla  ataki i eta sila budet ravna nulyu  pri nulevom
ugle   ataki.  Esli  nekotorye  pticy  v  planiruyushchem   i   paryashchem  poletah
povorachivayut  hvost vokrug prodol'noj osi tulovishcha, to v sheme, predlozhennoj
P.  N.  Nesterovym,  my  poluchaem  podobnyj  zhe  geometricheskij  effekt  pri
otklonenii polovin rulya v raznye storony.
     
     Ris 19. Shema opereniya,  ustanovlennogo i ispytannogo  P. N. Nesterovym
na samolete "N'yupor-4" v 1913 g
     My ne znaem, kakoe vpechatlenie slozhilos' u P. N. Nesterova v rezul'tate
poletov na samolete "N'yupor-4"  s  predlozhennym im  opereniem i  kak on uchel
etot opyt pri  proektirovanii  svoego novogo  samoleta.  V literature 1910--
1913 gg. mozhno vstretit'  bol'shoe kolichestvo statej po voprosam ustojchivosti
i osobenno otnositel'no  meropriyatij  po  bor'be  s  avariyami. Vyskazyvalos'
mnogo oshibochnyh i dazhe naivnyh soobrazhenij. Stremyas' obespechit' ustojchivost'
samoleta,  mnogie  avtory  izyskivali  sredstva  dlya  uderzhaniya  samoleta  v
normal'nom polozhenii, baziruyas' na teorii mayatnikov ili giroskopov.  Nadezhdy
na teoriyu mayatnika byli voobshche oshibochny, i prichina oshibki byla raz®yasnena N.
E. ZHukovskim.  Odnako i giroskop  sam po sebe ne mog obespechit' stabil'nost'
polozheniya samoleta v prostranstve.
     Samoletom  mozhno  upravlyat'   po   vole  pilota  ili  po  komandam   ot
giroskopicheskogo avtopilota tol'ko pri soblyudenii osnovnyh uslovij  dinamiki
poleta  i, v pervuyu  ochered', pri nalichii dostatochnoj kineticheskoj  energii.
|togo mnogie ne uchityvali. A  mezhdu tem, eshche  v  1891 g. N. E.  ZHukovskij  v
rabote   "O   parenii  ptic"  raskryl  osnovy  dinamiki  poleta  letatel'nyh
apparatov. Idei,  kotorye  vydvigal P. N. Nesterov, v to vremya ne tol'ko  ne
byli  "modnymi", no i protivorechili shiroko  rasprostranennym vzglyadam. Mozhno
skazat',  chto  P.  N.  Nesterov  yavlyalsya  blizhajshim  naslednikom idej  N. E.
ZHukovskogo. To,  chto  N. E. ZHukovskij obosnoval teoreticheski, P. N. Nesterov
vypolnil na praktike, s polnym ponimaniem osnov dinamiki poleta.
     S togo vremeni mnogoe raz®yasnilos' i  peremenilos'. Zabylis'  oshibochnye
tolkovaniya i  lozhnye teorii.  Dinamika  poleta v  srede postoyannoj plotnosti
poluchila razvitie primenitel'no  k  dvizheniyu  v  znachitel'noj oblasti vysot,
kogda plotnost' vozduha menyaetsya, a zatem i primenitel'no k usloviyam poleta,
kogda  napravlenie dejstviya sily tyazhesti  bystro menyaetsya, t. e. k vyhodu na
krugovye  okolozemnye, a zatem  i  na  dal'nie kosmicheskie  orbity.  Vklad v
teoriyu i  praktiku poleta,  sdelannyj P. N. Nesterovym, ves'ma cenen sam  po
sebe. Ego zhizn' i deyatel'nost' budet sluzhit' nam primerom togo, kak, sochetaya
znaniya,  vdumchivost'  i  otvagu,  mozhno  za  ochen'  korotkij  srok  poluchit'
vazhnejshie rezul'taty.

     2.  Pervye   tyazhelye
gruzopod®emnye samolety



     Nachalo uspeshnyh poletov otdel'nyh samoletov otnositsya k 1907-- 1908 gg.
Pervye mezhdunarodnye  sostyazaniya samoletov  i pervye  perelety (v tom chisle,
perelet cherez proliv Lamansh) byli osushchestvleny v 1909 g., i aviaciya vstupila
v   stadiyu   shirokogo   rasprostraneniya.  |to   harakterizovalos'   serijnym
proizvodstvom naibolee  udachnyh tipov samoletov, poyavleniem aviacionnyh shkol
--  zavodskih, klubnyh i voennyh, shirokoj  demonstraciej poletov  vo  mnogih
gorodah   i  dal'nejshim  razvitiem  sportivnyh  sostyazanij  po  ustanovleniyu
rekordnyh dostizhenij i pereletov po razlichnym marshrutam.
     Pervye  samolety,  na  kotoryh  obychno letali  sami konstruktory,  byli
odnomestnymi. K 1910 g. stala vyyavlyat'sya potrebnost' v dvuhmestnyh samoletah
dlya  "kataniya"  passazhirov, obucheniya letchikov i, konechno, dlya  ispol'zovaniya
samoletov  v kachestve voennyh razvedchikov. Perehod  na dvuhmestnye  samolety
byl  proizveden ochen'  prosto  --  pozadi  letchika  ustanavlivali  nebol'shoj
stul'chik, na  kotoryj  i  sadilsya  passazhir,  primerno,  kak  na  motocikle.
Estestvenno, chto  ne vse  samolety  smogli  vozit' povyshennuyu  nagruzku,  no
nekotorye  iz  nih okazalis' dostatochno gruzopod®emnymi. Zatem  konstruktory
stali   izyskivat'  sposoby  uvelicheniya  gruzopod®emnosti   samoletov  putem
primeneniya bolee moshchnyh dvigatelej i uvelicheniya ploshchadi kryl'ev.
     Izuchaya istoriyu razvitiya  gruzopod®emnyh samoletov, sleduet  rassmotret'
teoreticheskie  izyskaniya i  prakticheskie meropriyatiya konstruktorov.  Otdavaya
dolzhnoe teoreticheskim issledovaniyam, my dolzhny skazat', chto v period  1910--
1920   gg.   oni  ne  byli  effektivny  vsledstvie  nedostatochnogo  razvitiya
teoreticheskoj  aerodinamiki  i  ogranichennosti  provodimyh  eksperimentov  s
modelyami v aerodinamicheskih trubah.
     V periodicheskoj  literature togo  vremeni  mozhno  bylo  vstretit' mnogo
statej, v kotoryh obsuzhdalis' razlichnye problemy samoletostroeniya i osobenno
voprosy,  svyazannye  s  uvelicheniem  skorostej   i  vysot  poleta,  a  takzhe
gruzopod®emnosti  i ustojchivosti  samoletov.  Naibolee interesnye v  nauchnom
otnoshenii  raboty  pechatalis'  v  zhurnalah:  russkom  -- "Vozduhoplavatel'",
francuzskom   "L'Aerophille"  i  nemeckom  --  "Z.  F.  M".  Sozdanie  bolee
gruzopod®emnyh samoletov bylo svyazano s uvelicheniem ih razmerov i povysheniem
moshchnosti dvigatelej.  Problemy masshtaba sooruzhenij i mashin  byli uzhe izucheny
bolee gluboko primenitel'no k mostam, arhitekturnym sooruzheniyami i korablyam.
Nekotorye  soobrazheniya,  vzyatye  iz  etih  oblastej, byli  ispol'zovany  pri
izuchenii problemy sozdaniya gruzopod®emnyh letatel'nyh apparatov.
     V zhurnale "Vozduhoplavatel'" za 1911 g. byla pomeshchena stat'ya izvestnogo
letchika  i  inzhenera N. A. YAcuka  "O maksimal'noj  velichine gruzopod®emnosti
aeroplana". V etoj stat'e N. A. YAcuk ssylaetsya na rabotu D. I. Mendeleeva "O
naivygodnejshih  razmerah  i  predel'noj   velichine  letayushchih  mashin  tyazhelee
vozduha", vypolnennuyu  eshche  togda, kogda nikakogo opyta samoletostroeniya  ne
bylo.  D.  I.  Mendeleev  rassmatrival  zadachu  ob  izmenenii  harakteristik
letatel'nyh  apparatov  opredelennoj  shemy  pri  uvelichenii  geometricheskih
razmerov apparata v n raz.
     Razvivaya mysli D.  I. Mendeleeva, N. A. YAcuk beret v kachestve osnovnogo
usloviya  postoyanstvo  sootnosheniya moshchnosti dvigatelya i ploshchadi kryl'ev,  chto
dlya   podobnyh   form  ekvivalentno  postoyanstvu   skorosti   poleta.  Togda
razvivaemaya   pod®emnaya   sila   budet  proporcional'na   ploshchadi,   t.   e.
n2;  ves  dvigatelya,   prihodyashchijsya  na   1   l.  s.,  prinimalsya
postoyannym,   i   togda   ves  dvigatelej  Gdv   tozhe  okazyvalsya
proporcional'nym   n2.   CHto   zhe   kasaetsya   vesa   konstrukcii
Gkon, to  ona  prinimalas' proporcional'noj  kubu masshtaba, t. e.
velichine n3. Takoe predpolozhenie spravedlivo  pri uslovii polnogo
podobiya konstrukcii i postoyanstva napryazhenij, vyzyvaemyh vesom gruzov, t. e.
dvigatelej, topliva i  poleznoj nagruzki. Postaviv takoe uslovie, N. A. YAcuk
ogovarivaetsya, odnako, chto ono mozhet okazat'sya nepravil'nym.
     Iz  postavlennyh uslovij vytekaet takoe vyrazhenie dlya velichiny poleznoj
nagruzki:
     Pishnoff-72.gif
     |ta  formula  daet  bystryj  nachal'nyj  rost  Gpol  po  mere
uvelicheniya  n,  a  zatem,  posle  dostizheniya nekotorogo  maksimuma,  sleduet
bystroe  umen'shenie  Gpol v  rezul'tate rezkogo  uvelicheniya  vesa
konstrukcii. Izobraziv etu zavisimost' graficheski (ris. 1), my mozhem videt',
chto izmenenie parametra S i pokazatelya stepeni pri vese konstrukcii m, budet
vyzyvat'  ochen' znachitel'noe izmenenie  kak  maksimal'noj poleznoj nagruzki,
tak   i  sootvetstvuyushchego  ej   masshtaba   letatel'nogo   apparata.  Ponimaya
nedostovernost'  znanij  ob  istinnyh  znacheniyah  velichin  S  i   m,  avtory
issledovanij, estestvenno, byvali ostorozhny v svoih vyvodah.
     Na grafike,  privedennom na ris.  1, byli prinyaty razlichnye zavisimosti
vesov  konstrukcii  i dvigatelej  ot masshtabnogo  mnozhitelya  n.  V  kachestve
ishodnyh  pri  n=1  byli  prinyaty  znacheniya  Gdv0/G   =  0,25   i
Gkon0/G=0,3;  togda Gpol0/G =0,45. Na  grafike  po osi
ordinat  pokazano otnositel'noe izmenenie poleznoj  nagruzki, t. e. velichina
Gpol/Gpol  0.  Krivaya  1   sootvetstvuet   rostu  vesa
dvigatelya po n2 i vesa konstrukcii po n3.
     Pishnoff-74.gif
     Ris. 1. Otnositel'noe izmenenie gruzopod®emnosti samoleta pri izmenenii
ego razmerov  dlya raznyh  zakonov zavisimosti vesa konstrukcii  ot  razmerov
samoleta.
     V etom sluchae  maksimal'naya poleznaya  nagruzka  budet pri n=1,67, a pri
n=2,5  poleznaya   nagruzka   stanovitsya  ravnoj  nulyu   vsledstvie   rezkogo
vozrastaniya vesa konstrukcii.
     Krivaya 2 otnositsya k  sluchayu,  kogda ves konstrukcii proporcionalen n v
stepeni  8/3, t.  e.  nemnogo  nizhe kubichnoj. Kak vidno,  poleznaya  nagruzka
samoleta v etom sluchae znachitel'no vozrosla i imeet maksimum pri n=2,5.
     Krivaya  3  byla postroena  pri vese  konstrukcii,  proporcional'nom n v
stepeni 5/2, i eto dalo uvelichenie poleznoj nagruzki v 5,5 raza po sravneniyu
s ishodnym znacheniem.
     Nakonec, krivaya  4 postroena pri uslovii, chto ves konstrukcii  menyaetsya
tozhe  proporcional'no n5/2, no,  krome  togo, s  rostom  n  zapas
moshchnosti ponizhaetsya tak, chto ves dvigatelej budet proporcionalen n v stepeni
5/3.  V  etom  sluchae maksimal'naya  poleznaya  nagruzka okazalas' uvelichennoj
bolee chem v  10  raz po sravneniyu  s ishodnoj  pri  n=1.  Ves samoleta budet
uvelichen v (5,5)2,  t. e. v 30 raz; otnositel'nye parametry budut
takimi:            Gdv/G=0,14;             Gkon/G=0,7;
Gpol/G=0,16.
     V poslednem sluchae, hotya i byl dostignut maksimum poleznoj nagruzki, no
samolet okazalsya  ochen'  neekonomichnym iz-za  otnositel'noj malosti poleznoj
nagruzki.  My  priveli  ris. 1, chtoby  pokazat',  kakoj  effekt  mozhet  dat'
izmenenie pokazatelej stepeni.
     V toj zhe rabote N. A. YAcuk provodit issledovanie  dlya sluchaya uvelicheniya
gruzopod®emnosti samoleta  pri  sohranenii  ego razmerov, no pri  uvelichenii
skorosti v m raz. V etoj zadache on ssylaetsya na francuzskogo uchenogo A. See,
kotoryj opublikoval svoyu rabotu  v  zhurnale "L'Aerophille" ot 15 yanvarya 1910
g.  Aleksandr  See byl vydayushchimsya uchenym togo vremeni,  rabotavshim v oblasti
letatel'nyh  apparatov.  Im  bylo  opublikovano  mnogo  interesnyh  rabot  v
zhurnalah "L'Aerophille"  i "La  Technique  Aeronautique", i oni, nesomnenno,
okazali vazhnoe vliyanie na razvitie aviacionnyh nauk.
     Zadacha   o   zavisimosti  gruzopod®emnosti  ot  skorosti  formal'no  ne
otlichaetsya  ot rassmotrennoj vyshe, no tol'ko po kubichnomu zakonu menyaetsya ne
ves konstrukcii, a ves dvigatelej, tak kak s rostom skorosti moshchnost' dolzhna
menyat'sya  po  kubu skorosti, a  ves dvigatelej  prinimaetsya proporcional'nym
moshchnosti v  pervoj stepeni. Mozhno bylo by ukazat', chto eto tozhe ochen' grubyj
raschet, tak kak s rostom  moshchnosti, t. e.  pri uvelichenii razmerov ili chisla
dvigatelej,   aerodinamicheskoe  podobie  ne  soblyudaetsya  i  pri  uvelichenii
skorosti  kak moshchnost',  tak  i  ves  dvigatelej  budut  uvelichivat'sya bolee
sil'no, chem po kubichnoj stepeni.
     Esli ishodit' iz postoyanstva  znachenij  G/N i G/S  i  prinyat' G/N=10  i
G/S=15-30,  to my  poluchim  takie  vyrazheniya  dlya poletnogo vesa  i  ploshchadi
kryl'ev:
     Pishnoff-75.gif
     Tak, pri  N = 50  l. s. ves samoleta budet raven ~500 kG i ploshchad'  ego
kryl'ev  S --  ot  16  do 32  m2.  |ti znacheniya dovol'no blizki k
harakteristikam mnogih samoletov 1910-- 1912 gg.
     Issleduya usloviya poleta, aerodinamiki prishli k vyvodu, chto  postoyanstvo
parametrov G/S i G/N  ne  yavlyaetsya neobhodimym.  Iz vyrazheniya dlya  moshchnosti,
potrebnoj  dlya  poleta  na podobnyh rezhimah  pri  podobnyh  aerodinamicheskih
formah, sleduet, chto neobhodimo imet' postoyanstvo velichiny
     
     Vposledstvii eta velichina imenovalas' chislom |verlinga, harakterizuyushchim
aerodinamicheskoe  sovershenstvo  samoleta.  |to  vytekaet  iz  preobrazovanij
formuly dlya velichiny moshchnosti, potrebnoj dlya gorizontal'nogo poleta, ravnoj:
     Pishnoff-77.gif
     gde  K  --  aerodinamicheskoe  kachestvo  i h  --  koefficient  poleznogo
dejstviya vinta.
     Podstavlyaya vyrazhenie dlya skorosti, poluchim
     Pishnoff-78.gif
     Dlya nekotorogo  samoleta perioda 1911  -- 1912  gg. G/S  =  25, G/N=10;
togda
     
     Zdes' moshchnost' vzyata polnaya, a ne potrebnaya dlya gorizontal'nogo poleta,
t.  e.  s  zapasom.  Poskol'ku  zapas  moshchnosti  primerno  dvuhkratnyj,  dlya
maksimal'noj pod®emnoj sily poluchim
     
     Napominaem, chto dannaya  velichina  harakterizuet aerodinamiku  samoletov
ukazannyh let. Opredelyaya poletnyj ves, poluchim sleduyushchie formuly:
     
     |ti vyrazheniya naglyadno pokazyvayut, kak vliyaet na poletnyj ves izmenenie
moshchnosti dvigatelej i  ploshchadi kryl'ev. Odnako interes predstavlyaet poleznaya
gruzopod®emnost', t. e. raznost' poletnogo  vesa i summy vesov konstrukcii i
dvigatelej.
     V obshchem sluchae poletnyj ves samoleta mozhno predstavit' formuloj
     Pishnoff-82.gif
     Otnoshenie  Nmax/N   harakterizuet  zapas  moshchnosti,  kotoryj
samolet  dolzhen  imet' pri polete na maloj vysote.  |tot zapas  vybiraetsya v
zavisimosti ot naznacheniya samoleta  i zhelaemoj vysoty potolka. Kak  minimum,
zapas moshchnosti byvaet okolo 2; srednij zapas moshchnosti  raven primerno 3, a u
manevrennyh samoletov ego dovodyat do 5-6.
     U   samoleta   opredelennoj  aerodinamicheskoj   shemy   pri   nekotorom
naivygodnejshem   ugle    ataki   an   aerodinamicheskoe   kachestvo
maksimal'no,  a maksimum velichiny  Cu/Ch2/3
sootvetstvuet  ekonomicheskomu  uglu ataki ae,  kotoryj primerno v
1,5-1,7  raza  bol'she naivygodnejshego.  Horosho  izvestno,  kak  sil'no  bylo
povysheno  aerodinamicheskoe  kachestvo  samoletov  v  processe   ih  razvitiya.
Analogichnym           obrazom          vozrosla          i          velichina
Cu/Ch2/3.  Aerodinamicheskij  faktor  yavilsya
ochen' effektivnym sredstvom uvelicheniya gruzopod®emnosti samoletov.
     V 1921 g.  byla  opublikovana  rabota nauchnogo  sotrudnika Central'nogo
Aerogidrodinamicheskogo   Instituta,  inzhenera-letchika,   V.   L.   Moiseenko
"Predel'nye razmery samoletov" (Otdel  voennoj literatury pri  RVSR, Nauchnaya
redakciya  vozdushnogo flota).  V  pervoj chasti raboty V.  L.  Moiseenko pochti
povtoryaet  raschety  N.  A. YAcuka, no za  osnovnoj  parametr on  prinimaet ne
otvlechennyj faktor masshtaba, a moshchnost' dvigatelej N.
     Dlya vesa  konstrukcii byla  prinyata  zavisimost' ot  moshchnosti v stepeni
3/2, chto ravnocenno kubichnoj stepeni po faktoru masshtaba p.  V. L. Moiseenko
ne  ishchet  optimal'nyj  po  gruzopod®emnosti  samolet,  a   prosto  proveryaet
konkretnye samolety s tochki zreniya celesoobraznosti uvelicheniya ih razmerov i
moshchnosti  dvigatelej.  V  etoj chasti  raboty  V.  L.  Moiseenko  v  sushchnosti
pokazyvaet, chto  prakticheski sozdannye samolety  imeyut parametry, blizkie  k
optimal'nym. Kak isklyuchenie, privoditsya samolet  "Il'ya Muromec", kotoryj, po
vyvodam V. L. Moiseenko, chrezmerno velik.
     Vo vtoroj chasti  svoej raboty  V. L. Moiseenko rassmatrivaet vopros  ob
optimal'nyh  razmerah samoleta  v bolee  shirokom plane,  ispol'zuya dlya  vesa
konstrukcii formulu inzhenera-mehanika (vposledstvii akademika) B. N. YUr'eva.
     My priveli rabotu V.  L. Moiseenko potomu, chto ona otrazhaet vzglyady, na
vozmozhnost' sozdaniya gruzopod®emnyh samoletov v te gody, kogda uzhe  byl opyt
stroitel'stva  samoletov  "Il'ya Muromec"  i  drugih  samoletov, sozdannyh  v
period pervoj mirovoj vojny, no eshche ne poluchila razvitiya teoriya induktivnogo
soprotivleniya Prandtlya, kotoraya izmenila vzglyady  teoretikov i praktikov  na
usloviya polucheniya bol'shoj pod®emnoj sily.
     Posmotrim, kak  reshali  problemu  povysheniya gruzopod®emnosti  samoletov
konstruktory-praktiki. Na mnogochislennyh aviacionnyh sostyazaniyah i konkursah
samoletov  znachitel'noe mesto  udelyalos' dostizheniyam po gruzopod®emnosti,  i
konstruktory, estestvenno,  zadumyvalis'  nad  tem, kakimi  meropriyatiyami ee
mozhno povysit'. Prostota konstrukcii  samoletov togo  vremeni, primitivnost'
primenyaemyh  raschetov,  otsutstvie  kakih-libo  ispytanij  na   prochnost'  i
uproshchennaya proverka centrovki pozvolyali bystro stroit' novye samolety. Ochen'
rasprostraneny byli i modifikacii  uzhe  gotovyh samoletov,  poluchennye putem
perestrojki otdel'nyh ih chastej. Preuspevayushchie firmy sozdavali po 2-- 3 tipa
i bolee samoletov v god.
     V period  1910--  1920 gg. konstruktory  samoletov rukovodstvovalis'  v
svoej   rabote   nekotorymi    teoreticheskimi   soobrazheniyami,   no   bol'she
eksperimentirovali  intuitivno,  starayas'  uluchshit'  svoi  samolety.  Mnogie
eksperimenty okazyvalis' neudachnymi, no nekotorye iz nih dali  polozhitel'nyj
effekt.  Ob®yasnit'  prichinu  udachi  ili  neudachi  ne   vsegda  mogli,  hotya,
estestvenno, pytalis' eto sdelat'.  Podrazhatel'stvo u konstruktorov bylo tak
sil'no  razvito,  chto trudno ustanovit',  kto pervyj primenil  to  ili  inoe
udachnoe novovvedenie.
     Kak my  uzhe ukazyvali, uvelichenie  ploshchadi kryl'ev  pozvolyaet uvelichit'
pod®emnuyu silu,  hotya i  v slaboj stepeni. V formulu dlya G ploshchad'  S vhodit
pod kubichnym kornem. Odnako konstruktory-praktiki  obratili  vnimanie na to,
chto uvelichenie razmaha daet znachitel'no luchshij effekt, chem uvelichenie shiriny
kryla. |to mozhno naglyadno videt' po razvitiyu samoletov firmy "Farman".
     Tak, esli samolet "Farman-4" imel razmah kryl'ev 10,5 m, to zatem firma
stala narashchivat' razmah verhnego kryla  i postepenno pereshla k sheme biplana
s  razmahom verhnego kryla, znachitel'no bol'shim, chem razmah nizhnego. Samolet
"Farman-16" (1912 g.) imel razmah kryl'ev 13,8 m, a "Farman-22" (1913 g.) --
15,6  m.  Samolety  "Farman-16" i  "Farman-22"  byli sovershenno  podobny,  s
odinakovymi gondolami ekipazha, odinakovoj shirinoj  kryl'ev, no tol'ko razmah
verhnego kryla u samoleta "Farman-22" byl uvelichen. Oba samoleta primenyalis'
v  Rossii, i avtor  pomnit  vyskazyvaniya  letchikov  o tom,  chto  "Farman-22"
planiruet  znachitel'no luchshe, chem "Farman-16".  |to govorilo o bolee vysokom
aerodinamicheskom    kachestve    pervogo     samoleta.    Sootvetstvenno    i
gruzopod®emnost'  ego byla  vyshe, hotya etomu  sposobstvoval i  bolee  moshchnyj
dvigatel'.
     K  konstruktoram,  kotorye  osoznali  vygodu bol'shogo razmaha  kryl'ev,
nuzhno otnesti  prezhde vsego  I.  I. Sikorskogo.  Esli v 1910  g.  on  stroil
samolety s razmahom  kryl'ev 10 m,  to  samolet S-10 (1912 g.),  kotoryj  na
konkurse voennyh samoletov pokazal  naibol'shuyu gruzopod®emnost', imel razmah
kryl'ev okolo 16 m. Vazhno otmetit', chto kak u  samoletov "Farman",  tak i  u
samoletov I. I. Sikorskogo, nesmotrya na  uvelichenie  razmaha, shirina kryl'ev
ne uvelichivalas'.
     Odnako samyj reshitel'nyj shag v  storonu uvelicheniya razmaha kryl'ev  byl
sdelan I. I. Sikorskim v 1913 g., kogda on postroil snachala samolet "Russkij
Vityaz'" ("Grand") s razmahom kryl'ev  27 m, a zatem samolet "Il'ya Muromec" s
razmahom 34 m (po  nekotorym svedeniyam -- 37 m). I. I. Sikorskij kak inzhener
horosho  ponimal,  chto uvelichenie  razmaha v  2-- 2,5  raza  po  sravneniyu  s
razmahom, tipichnym dlya samoletov togo vremeni, povedet k bol'shomu utyazheleniyu
konstrukcii i chto uvelichenie ploshchadi kryla  putem ego ushireniya ne vyzvalo by
takogo utyazheleniya. Odnako on vybral put' uvelicheniya razmaha.
     Nekotorye zarubezhnye  konstruktory togo vremeni -- P. SHmidt, R. Kodron,
L. Brege  --  dovodili razmah kryl'ev do  17-- 17,5  m,  no eto nesravnimo s
razmahom  kryl'ev  samoletov  I. I.  Sikorskogo.  Avtor  ne  pomnit, chtoby v
kakih-libo   teoreticheskih   rabotah   togo  vremeni  rekomendovalos'  stol'
znachitel'noe uvelichenie razmaha. My uzhe ukazali, chto V. L.  Moiseenko v 1921
g.  somnevalsya  v vygodnosti  bol'shogo  razmaha.  Podrobnyj aerodinamicheskij
analiz samoletov "Russkij Vityaz'" i "Il'ya Muromec" my privedem dalee.
     Parametry samoleta  "Il'ya  Muromec"  byli  vybrany,  nesomnenno,  ochen'
udachno, i ego  konstrukciya byla tehnicheski posledovatel'na  dlya uslovij togo
vremeni. Esli samolet "Russkij Vityaz'" byl dovol'no nesurazen, a fyuzelyazh ego
tonok, dlinen i nedostatochno zhestkij, to vse ego nedostatki byli ustraneny v
konstrukcii  samoleta  "Il'ya  Muromec".  Buduchi  postroen  v konce  1913 g.,
samolet "Il'ya Muromec" byl bystro osvoen v ekspluatacii i pilotirovanii dazhe
v dovol'no slozhnyh usloviyah. |to uzhe byla ne "etazherka" i ne "strekoza", kak
imenovalis'  nekotorye  samolety  togo  vremeni,  a dejstvitel'no  vozdushnyj
korabl', podnimayushchij 1,5-- 2 tonny gruza i sposobnyj k dlitel'nym poletam.
     Vsego bylo postroeno 73 ekzemplyara samoletov "Il'ya Muromec" i poslednie
ekzemplyary  etih samoletov letali  eshche v 1921--  1922 gg., t. e.  kak tip on
prozhil  pochti 10 let --  dlya  togo perioda  etot  srok znachitel'nyj. Desyatki
samoletov  "Il'ya  Muromec" prinimali  uchastie v  boevyh  dejstviyah  v pervoj
mirovoj  vojne i,  nesmotrya na to,  chto oni  privlekali vnimanie  germanskoj
zenitnoj  artillerii i  istrebitel'noj aviacii, tol'ko odin samolet byl sbit
na  fronte. |to  opredelyalos' ego  vysokoj zhivuchest'yu  i  nalichiem  krugovoj
pulemetnoj oborony.  Hotya polomok i avarij na etih samoletah bylo mnogo,  no
katastrof otnositel'no malo.
     Pri toj  shirokoj  sisteme  podrazhatel'stva i  kopirovaniya  konstrukcij,
kotoraya  imela  mesto  v period pervoj  mirovoj  vojny, za rubezhom samolety,
podobnye samoletu  "Il'ya Muromec", byli  sozdany tol'ko cherez 4-5 let, posle
nastupleniya nekotorogo promezhutochnogo etapa dvuhmotornyh konstrukcij, i, tem
ne menee, zarubezhnye varianty ne byli uspeshnymi.
     Tak, naprimer,  germanskie samolety Ceppelin  "SHtaken", hotya i byli  po
razmahu  dazhe bol'she, chem "Il'ya  Muromec", i imeli  bolee  moshchnye dvigateli,
odnako,  otnositel'nyj  ves  konstrukcii  u  nih  byl  ochen'  velik  i  sama
konstrukciya slishkom slozhna.
     K  1918--   1920   gg.   otnositsya   uvlechenie   trehplannymi  i   dazhe
chetyrehplannymi  konstrukciyami.  Primerom ogromnogo triplana  mozhet  sluzhit'
samolet Tarrant "Tabor", postroennyj v Anglii v 1919 g. On imel 6 dvigatelej
po 500  l. s.  kazhdyj,  razmah po  srednemu  krylu sostavlyal  40  m,  vysota
samoleta okolo  11 m (u  samoleta  "Il'ya Muromec" vysota byla tol'ko 4,5 m),
dvigateli byli razneseny ne tol'ko po  razmahu, no  i po  vysote, prichem os'
vinta verhnego dvigatelya byla  na vysote  okolo  8  m  nad  zemlej.  Samolet
razbilsya pri pervoj  zhe  popytke vzleta,  eshche ne otorvavshis'  ot zemli, -- v
rezul'tate rezkogo pod®ema hvosta on utknulsya nosom v zemlyu.
     Eshche bolee stranno vyglyadel samolet Kaproni SA-60 "Kapronissimo". U nego
byli tri  triplannyh  kryla,  postavlennyh odno  za drugim,  razmah  kryl'ev
sostavlyal okolo 28 m, samolet imel  vosem' dvigatelej po  400 l.  s. kazhdyj.
Samolet byl postroen v 1921  g.  i  tozhe  razbilsya pri pervom vzlete. Teoriya
induktivnogo soprotivleniya pokazala, chto raspolozhenie nesushchih sistem odna za
drugoj  yavlyaetsya sovershenno necelesoobraznym, i samolet  "Kapronissimo" lish'
demonstriruet, po kakomu oshibochnomu  puti  mozhet idti  sozdanie letatel'nogo
apparata pri otsutstvii teorii ili blagopriyatnogo eksperimenta s modelyami.
     Byl i  u nas  neudachnyj eksperiment  s  triplanom.  V  1920--  1921 gg.
special'noe konstruktorskoe byuro pod nazvaniem "Komissiya po tyazheloj aviacii"
(KOMTA), v sostav kotorogo vhodili  vidnejshie specialisty  po aerodinamike i
samoletostroeniyu,  razrabotalo  i postroilo samolet "KOMTA",  kotoryj dolzhen
byl  zamenit'  samolet  "Il'ya  Muromec".  Obladaya  pochti  takoj zhe moshchnost'yu
dvigatelej, kak  i  samolet  "Il'ya Muromec", samolet  "KOMTA"  byl sdelan po
triplannoj sheme i imel razmah kryl'ev vsego 16 m, t. e. vdvoe men'she, chem u
samoleta  "Il'ya  Muromec".  Samolet dolgo ispytyvalsya i dazhe bez nagruzki  s
trudom otryvalsya.  Posle ryada dovodok on, kazhetsya v  1922  g., sovershil odin
polet  po krugu, no k etomu vremeni  bylo  uzhe  yasno, chto parametry samoleta
vybrany nepravil'no i poverochnyj raschet s ispol'zovaniem teorii induktivnogo
soprotivleniya pokazal, chto zapas  moshchnosti u nego dazhe  bez  nagruzki  ochen'
mal.
     Neudacha  postigla  i samolet  V.  A. Slesareva  "Svyatogor" (1915-- 1916
gg.); kazalos' by, konstruktivno on byl produman  bolee tshchatel'no, chem "Il'ya
Muromec",  shassi  on  imel  bolee vysokoe  i  bolee  krasivoe,  no,  vidimo,
znachitel'no bolee tyazheloe. Osnovnaya prichina neudachi zaklyuchalas' v primenenii
central'nogo  raspolozheniya dvigatelej  (v fyuzelyazhe) s  peredachej moshchnosti na
raznesennye vinty.  Takaya peredacha davala bol'shuyu  poteryu moshchnosti i v itoge
zapas moshchnosti u samoleta okazalsya nedostatochnym.
     Sleduet skazat', chto raznesenie  dvigatelej po  krylu, kak  eto vpervye
bylo  sdelano  na  samolete  "Russkij  Vityaz'", yavlyaetsya  vazhnym faktorom  v
snizhenii vesa konstrukcii u samoletov s bol'shim razmahom kryl'ev.
     Central'nye  silovye  ustanovki s  raspolozheniem dvigatelej  v fyuzelyazhe
kazalis' vygodnymi aerodinamicheski.  Pri  maloj nadezhnosti  dvigatelej  togo
vremeni  privlekala  vozmozhnost'  ih remonta  v  polete; nakonec, s  pomoshch'yu
sistemy peredachi  mozhno  bylo  legche  pridat'  vintu  optimal'nuyu  dlya  nego
skorost' vrashcheniya.  Hotya samoletov s raspolozheniem dvigatelej v fyuzelyazhe i s
peredachej  moshchnosti   na   raznesennye  vinty  stroilos'   nemalo,  shirokogo
rasprostraneniya oni ne poluchili.

     ANALIZ   GRUZOPOD¬EMNOSTI
SAMOLETOV

     Na  etom  my zakonchim obzor teoreticheskih issledovanij  i  prakticheskih
konstrukcij  gruzopod®emnyh samoletov  v period  do 1921-- 1922  gg.,  kogda
proizoshel  perelom v ponimanii uslovij dostizheniya  bol'shoj gruzopod®emnosti.
|tot perelom byl vyzvan razvitiem obshchej teorii dinamicheskogo poleta i svyazan
prezhde vsego  s  imenami uchenyh -- N.  E. ZHukovskogo  i  L. Prandtlya. Vsyakoe
nauchnoe  dostizhenie,  otkrytie  i krupnoe  izobretenie imeet istoriyu  svoego
razvitiya -- ot  pervichnyh dogadok,  cherez nablyudeniya,  opyty,  teoreticheskie
postroeniya,  chastnye  resheniya,  k  polnomu  osoznaniyu fizicheskoj sushchnosti i,
nakonec, k itogovoj teorii, ustanavlivayushchej kolichestvennye zavisimosti.
     Tak bylo i s teorij kryla. Principy obrazovaniya tyagi i pod®emnoj sily v
vozdushnoj  srede   v  mehanicheskom   otnoshenii  analogichny.  Princip  raboty
vozdushnyh dvizhitelej,  t. e. ustrojstv dlya  sozdaniya sily tyagi,  byl  otkryt
znachitel'no ran'she,  chem  princip raboty kryla. |to mozhno ob®yasnit' tem, chto
teoreticheski eto bylo proshche, no  glavnoe zaklyuchaetsya  v  tom, chto vozdushnomu
vintu  predshestvoval vodyanoj  vint  i  drugie  vodyanye dvizhiteli.  Iz  osnov
mehaniki sleduet:  chtoby v zhidkoj ili gazovoj  srede  pri  pomoshchi nekotorogo
ustrojstva  poluchit'  silu   tyagi,  okruzhayushchej  srede   neobhodimo  soobshchat'
sekundnoe  kolichestvo dvizheniya,  ravnoe  zhelaemoj  sile  tyagi. Inache govorya,
impul's  sily tyagi  dolzhen byt' raven,  no protivopolozhen po znaku impul'su,
soobshchennomu  massam okruzhayushchej sredy. Vse eto bylo izlozheno, v  chastnosti, v
teorii ideal'nogo propellera,  kotoraya byla razrabotana anglijskim uchenym U.
Frudom v 1888 g.
     Pri ispol'zovanii  teorii ideal'nogo propellera  dlya velichiny sily tyagi
pri otsutstvii osevoj skorosti bylo polucheno takoe vyrazhenie:
     
     gde
     Pishnoff-86.gif--
ometaemaya lopastyami ploshchad';
     Ndv -- moshchnost' dvigatelya;
     h0   --   otnositel'nyj   koefficient  poleznogo   dejstviya,
harakterizuyushchij pobochnye poteri propellera,  t. e. soprotivlenie lopastej  i
dopolnitel'nye skorosti potoka;
     r/r0      --      otnositel'naya      plotnost'      vozduha;
Kv=10,3(h0)2/3.
     |ta formula posluzhila vyrazheniem dlya pod®emnoj sily vertoleta na rezhime
viseniya, t. e. pri otsutstvii postupatel'noj skorosti.
     Princip sozdaniya pod®emnoj sily krylom  dolzhen  byt' vpolne  analogichen
principu sozdaniya tyagi lopastyami vinta. Mozhno bylo utverzhdat', chto za krylom
vozdushnyj  potok  dolzhen imet' nekotoruyu  vertikal'nuyu sostavlyayushchuyu skorosti
dvizheniya, napravlennuyu protiv pod®emnoj sily, t. e. vniz.
     Osnovoj teorii kryla  yavilas' rabota N. E. ZHukovskogo "O prisoedinennyh
vihryah" (1906 g.).  V etoj rabote bylo sdelano vazhnejshee otkrytie, a imenno,
chto   osnovnoj  effekt   kryla   sostoit  v  soobshchenii   nabegayushchemu  potoku
cirkulyacionnogo dvizheniya, kak esli by krylo bylo zameneno vihrem s nekotoroj
cirkulyaciej skorosti J. Togda  velichina  pod®emnoj  sily Y  budet prostejshim
obrazom svyazana  s  velichinoj J, skorost'yu poleta V, plotnost'yu vozduha  r i
razmahom kryla l: Y=rJVl.
     Esli krylo imeet  opredelennyj razmah, to s  ego koncov dolzhny  sbegat'
svobodnye vihri.  N. E. ZHukovskij ubedilsya v spravedlivosti  etogo, postaviv
special'nyj eksperiment v aerodinamicheskoj trube.
     Svobodnye vihri, kotorye sbegayut s koncov kryla i tyanutsya za nim, ochen'
medlenno zatuhaya,  yavlyayutsya itogom  vozdejstviya  kryla na  vozdushnuyu  sredu.
Ishodya iz etih  vihrej, my mozhem  vosstanovit' kartinu  vozdushnyh techenij  i
opredelit' sekundnyj impul's, soobshchaemyj krylom vozdushnoj srede.
     Shema rascheta  velichiny pod®emnoj sily, razvivaemoj krylom s razmahom l
i pri moshchnosti dvigatelya Ndv, uzhe byla privedena v stat'e "Na chem
letal P. N. Nesterov" i byla poluchena sleduyushchaya formula:
     
     V sluchae biplana  ili triplana vmesto razmaha  l v  formulu vstavlyaetsya
effektivnyj razmah le:
     Pishnoff-83.gif
     Zdes' h  --  vysota  korobki  kryl'ev; u biplanov  h/l  imeet  znachenie
0,l-0,2;  u  triplanov --  0,2-0,3. U  biplanov raznesenie kryl'ev po vysote
ekvivalentno uvelicheniyu razmaha na 6-8%, u triplanov  -- na 15-20%.  Triplan
"KOMTA"  imel razmah kryl'ev  16  m,  a effektivnyj razmah u  nego byl raven
okolo 19 m.
     Velichinu F0 mozhno najti po izvestnoj  maksimal'noj skorosti,
ispol'zuya vyrazhenie dlya rashodovaniya moshchnosti:
     Pishnoff-88.gif
     Koefficient  poleznogo dejstviya  vinta prinimaem  orientirovochno ravnym
0,75-0,80; plotnost'  vozduha  i  moshchnost'  dvigatelya dolzhny  byt'  vzyaty  v
sootvetstvii s vysotoj, dlya kotoroj vzyata maksimal'naya skorost'. Luchshe brat'
usloviya poleta na  maloj vysote, kogda moshchnost'  nam izvestna tochnee, a dolya
induktivnogo soprotivleniya men'she.
     Esli   v   formulu  dlya   pod®emnoj  sily  podstavit'   vyrazhenie   dlya
aerodinamicheskogo kachestva
     Pishnoff-89.gif
     to my poluchim:
     Pishnoff-90.gif
     Interesno, chto eta formula vpolne  analogichna  formule  dlya staticheskoj
tyagi vinta, no  tol'ko  vmesto diametra vinta v nee vhodit razmah kryl'ev  i
znachenie Ku zdes' znachitel'no bol'she. Teper' my mozhem sopostavit'
vse  tri  formuly  dlya  pod®emnoj  sily, kak  oni  skladyvalis' istoricheski.
Zapishem ih tak:
     Pishnoff-92.gif
     Esli vzyat' dlya primera N=100  l. s.,  S=30 m2  i l=12 m, vse
tri  formuly dadut  primerno odinakovyj rezul'tat: Y~1400 kG. Odnako  tret'ya
formula  daet  naibol'shie   vozmozhnosti  dlya   analiza,   tak  kak  znachenie
Ku                my               mozhem                raskryt':
Ku=8,6K1/3h2/3. Znacheniya A i V my  vzyali po
statistike dlya togo vremeni,  i pri znachitel'nom izmenenii form i parametrov
samoleta prinyatye znacheniya A i V ne budut prigodny.
     Esli vzyat'  sovremennyj  samolet s turbovintovymi dvigatelyami moshchnost'yu
10000 l. s., s razmahom l=30 m i ploshchad'yu kryl'ev S=100 m2, to po
pervoj formule my poluchili by  pod®emnuyu silu Y1=140 T, po vtoroj
Y2=47 T  i  po tret'ej  dlya  aerodinamicheskogo  kachestva  K=16  i
Ky=18  Y3=80 T. Kak  vidno, pervye dva vyrazheniya  dali
oshibochnye rezul'taty.
     Tret'ya formula  cenna  ne  tol'ko  tem,  chto ona  daet naibolee  tochnye
rezul'taty, no  i  tem, chto  ona posledovatel'no raskryvaet  rol'  razlichnyh
parametrov, osobenno, esli ee predstavit' v takom variante:
     Pishnoff-93.gif
     Odnako  prakticheski  pri  uvelichenii  razmaha kryl'ev  uvelichivaetsya  i
F0, i poetomu udobnee pol'zovat'sya sleduyushchim variantom formuly:
     Pishnoff-94.gif
     Proizvedem raschet pod®emnoj  sily samoleta "Il'ya Muromec": N=600 l. s.;
h=0,75;  l=32  m.  Dlya  opredeleniya   velichiny  F0  vospol'zuemsya
svedeniyami  o tom,  chto pri vese 5200 kG na maloj  vysote  samolet  razvival
maksimal'nuyu   skorost'  Vmax=100-105  km/chas,  ili   29   m/sek.
Ispol'zuya   privedennuyu   vyshe   formulu  dlya  moshchnosti,   zatrachivaemoj  na
gorizontal'nyj polet, poluchim:
     Pishnoff-95.gif
     F0=14,5 m2
     Pri  ploshchadi  kryl'ev, ravnoj  145  m2, eto dast koefficient
vrednogo   soprotivleniya    Ch0=1,28F0/S=0,128.   Esli
sravnivat' s parametrami sovremennyh samoletov, to eto ogromnaya velichina.
     Poskol'ku u samoleta "Il'ya Muromec" primenyalsya vint fiksirovannogo shaga
(vintov  s  izmenyaemym v  polete shagom togda eshche ne bylo),  to  pri polete s
maksimal'noj  pod®emnoj  siloj chislo  oborotov vinta ponizhalos', a vmeste  s
etim umen'shalis' v  nekotoroj  stepeni  moshchnost'  dvigatelej  i  koefficient
poleznogo  dejstviya  vintov.  |to  privodilo  k  umen'sheniyu  pod®emnoj  sily
primerno na 6-8%. Aerodinamicheskoe kachestvo samoleta budet
     Pishnoff-97.gif
     Zatem                                                           nahodim
Ku=0,93•8,6•6,61/3•0,752/3=12  i,  nakonec,
velichina       maksimal'noj       pod®emnoj      sily      budet       ravna
Y=12(Ndvl)2/3=8650 kG.
     Samolet  dolzhen obladat' izbytkom  pod®emnoj sily dlya  manevrirovaniya i
pod®ema. Tol'ko na  potolke  pod®emnaya  sila pri rabote dvigatelej na polnoj
moshchnosti budet ravna poletnomu vesu,  a manevrirovanie potrebuet  umen'sheniya
vysoty.  Sootnoshenie   Y/G=ny=1,65;  eta  velichina  ny
nevelika, no ona obespechivaet nadezhnyj polet i vysotu potolka okolo 3000 m.
     V 1916 g. I. I. Sikorskim byl postroen variant samoleta "Il'ya Muromec D
bis",  ili, kak ego nazyvali, "Dim". Pri  moshchnosti  dvigatelej 440 l. s. i s
umen'shennym do 26 m  razmahom na nem byla poluchena pod®emnaya sila okolo 6000
kG, ili na 30% men'she, chem  u osnovnogo varianta  samoleta. Po svidetel'stvu
inzh. V. Moiseenko, "Dim" byl zabrakovan po prichine maloj gruzopod®emnosti.
     Perejdem teper' k bolee detal'nomu rassmotreniyu harakteristik i svojstv
samoleta "Russkij Vityaz'" i "Il'ya Muromec".




     Samolet "Russkij Vityaz'" byl postroen  v odnom ekzemplyare, no preterpel
neskol'ko  vidoizmenenij. Hotya on ne poluchil  rasprostraneniya, no byl pervym
samoletom s ochen' bol'shim razmahom kryl'ev i posluzhil predshestvennikom serii
samoletov  tipa "Il'ya Muromec". Samolet "Russkij Vityaz'" imel razmah kryl'ev
27 m, chto v 2,5-3 raza bol'she, chem u samyh krupnyh.
     Samolet byl sproektirovan v 1912 g. i zakonchen postrojkoj v nachale 1913
g. Nesmotrya  na smelost'  i noviznu konstruktivnogo resheniya,  novyj samolet,
kotoromu   bylo    prisvoeno   pervonachal'no    naimenovanie    "Grand-RBVZ"
(Russko-baltijskij vagonnyj  zavod),  uzhe  v marte  1913  g.  stal sovershat'
polety.  Na nem pervonachal'no byli ustanovleny dva dvigatelya po 100 l. s. Iz
vypolnennyh nami raschetov sleduet, chto samolet dolzhen byl imet' maksimal'nuyu
pod®emnuyu silu okolo 3800 kG, a pustoj  ves ego  okazalsya ravnym okolo  3000
kG.  Otsyuda  yasno,  chto  zapas  pod®emnoj  sily byl  nedostatochen  i  eto  s
ochevidnost'yu  pokazalo  ispytanie samoleta. Togda  byli ustanovleny  eshche dva
dvigatelya  po 100  l. s.,  kotorye vmeste s  pervonachal'nymi  obrazovali dve
tandemnye ustanovki.  Inymi slovami, dvigateli  stoyali drug za drugom, no  u
odnogo  dvigatelya  vint byl tyanushchij,  t. e.  ustanovlen  pered  krylom,  a u
drugogo  -- tolkayushchij, t. e.  ustanovlen za krylom. Tandemnaya ustanovka byla
primenena  zdes'  vpervye v  samoletostroenii i vposledstvii dovol'no  chasto
primenyalas'  na  mnogodvigatel'nyh  samoletah. Odnako  zatem I. I. Sikorskij
otkazalsya ot etoj shemy i raspolozhil vse chetyre dvigatelya s tyanushchimi vintami
na kryle (ris. 2).
     |tot variant i stal nazyvat'sya samoletom "Russkij Vityaz'".
     Pri konstruirovanii samoletov my vsegda  stalkivaemsya s tem, chto vsyakaya
konstruktivnaya  osobennost', buduchi vygodnoj v odnom otnoshenii,  okazyvaetsya
nevygodnoj  v  drugom.  |to  vseobshchij zakon  dlya  konstrukcii,  no v  sluchae
letatel'nyh  apparatov,  kogda  prihoditsya tshchatel'no  ekonomit'  v  vesah  i
stremit'sya k  dostizheniyu minimal'nyh energeticheskih zatrat, protivorechivost'
razlichnyh faktorov proyavlyaetsya osobenno ostro. Tak, zhelaya povysit' pod®emnuyu
silu,  my  dolzhny  uvelichit'  razmah  kryl'ev,  no  eto  neizbezhno  vedet  k
utyazheleniyu konstrukcii; razvivaya  organy ustojchivosti, my, kak pravilo,  ili
povyshaem soprotivlenie  dvizheniyu  ili utyazhelyaem  samolet,  i  tak poluchaetsya
vsegda. Za kazhdym konstruktivnym meropriyatiem  sleduet nekotoraya "plata"  za
nego, i eto vsegda nuzhno uchityvat'.

     Pishnoff-99.gif
     Ris. 2. Shema samoleta "Russkij Vityaz'"
     Tandemnoe  raspolozhenie  dvigatelej  privlekaet  svoej   kompaktnost'yu,
umen'sheniem soprotivleniya i osobenno tem obstoyatel'stvom, chto  osi vintov  v
etom sluchae malo udaleny ot centra tyazhesti samoleta i v sluchae otkaza odnogo
iz dvigatelej zavorachivayushchij moment okazyvaetsya otnositel'no nebol'shim. |tot
faktor byval chasto reshayushchim pri vybore tandemnogo raspolozheniya dvigatelej.
     Otricatel'noe svojstvo tandemnogo  raspolozheniya  vintov sostoit v  tom,
chto zadnij vint okazyvaetsya v etom sluchae v strue ot perednego  vinta  i ego
sila  tyagi ponizhaetsya.  |to osobenno sushchestvenno pri malyh skorostyah  i malo
sushchestvenno pri  bol'shih  skorostyah poleta. Esli u  samoleta  zapas moshchnosti
velik, to  tandemnaya ustanovka mozhet okazat'sya vygodnoj. U samoleta "Russkij
Vityaz'" zapas moshchnosti byl mal, i poetomu  bolee vygodnymi  byli raznesennye
vinty.  Raznesenie  dvigatelej  po  krylu sposobstvuet razgruzheniyu kryla  ot
izgibayushchego momenta  i tem  samym daet vozmozhnost' umen'shit' ves konstrukcii
-- eto tozhe nemalovazhnyj faktor.
     Takim  obrazom,  v   zavisimosti   ot   ryada   obstoyatel'stv,  vygodnym
okazyvaetsya odno ili drugoe reshenie. Esli vzyat'  nekotoruyu  detal' samoleta,
naprimer, stojku mezhdu kryl'yami, to mozhno sdelat' ee legkoj, no sravnitel'no
tolstoj -- pustoteloj ili zhe, naoborot, sdelat' ee bolee tyazheloj, no tonkoj.
     CHtoby sposobstvovat'  vyboru luchshego resheniya,  bylo  vvedeno ponyatie ob
aviacionnom vese.  Pod  aviacionnym vesom  ponimalsya  ves gruza, na  nesenie
kotorogo dannym  samoletom  zatrachivalas' takaya zhe moshchnost', kak i moshchnost',
zatrachivaemaya na nesenie rassmatrivaemoj detali, ne tol'ko obladayushchej vesom,
no  i  povyshayushchej  soprotivlenie  samoleta. Ishodya  iz minimuma aviacionnogo
vesa,  mozhno  bylo  vybrat'  optimal'nuyu  konstrukciyu  dannoj  detali.  Esli
ishodit' tol'ko iz usloviya polucheniya maksimal'noj poleznoj gruzopod®emnosti,
ne  stremyas' poluchit' bol'shie  velichiny  skorosti  i  dal'nosti  poleta,  to
okazyvaetsya, chto  preimushchestva  imeyut konstrukcii,  v  kotoryh  predpochtenie
otdaetsya umen'sheniyu vesa.
     Takoe mnenie  skladyvalos' v  svyazi  s  tem, chto ishodili iz uproshchennyh
ocenok vesa  konstrukcii i  roli sil soprotivleniya. Vposledstvii vyyasnilos',
chto mozhno  ochen' znachitel'no umen'shit' sily  soprotivleniya samoleta vmeste s
dovol'no znachitel'nym umen'sheniem  vesa konstrukcii.  Svobodnonesushchie kryl'ya
ochen'  bol'shogo razmaha okazalis' ne tyazhelee fermennyh konstrukcij, podobnyh
biplannym korobkam samoletov "Russkij Vityaz'" i ryada drugih.
     Pri rassmotrenii  shemy  samoleta "Russkij  Vityaz'"  brosaetsya v  glaza
bol'shaya dlina fyuzelyazha i dovol'no bol'shaya ploshchad'  gorizontal'nogo opereniya.
Est' ukazaniya na to, chto imelis' opaseniya po povodu ustojchivosti samoleta, i
poetomu moshchnost' ego gorizontal'nogo opereniya byla povyshena.
     Harakteristikoj moshchnosti opereniya sluzhit velichina
     Pishnoff-100.gif
     gde
     Sgo -- ploshchad' gorizontal'nogo opereniya;
     Lgo  --  rasstoyanie  ot  centra tyazhesti  samoleta do  centra
davleniya gorizontal'nogo opereniya;
     bsr -- srednyaya shirina kryla.
     Dlya samoleta "Russkij  Vityaz'" Ago priblizitel'no ravno 1,0,
chto primerno v 2,5 raza bol'she srednego znacheniya etoj velichiny dlya samoletov
togo vremeni, da i  dlya bolee pozdnego. Voprosy ustojchivosti  my  rassmotrim
bolee detal'no primenitel'no k samoletu "Il'ya Muromec".
     Stroitel'naya   vysota   fyuzelyazha   samoleta   "Russkij   Vityaz'"   byla
otnositel'no mala, i dlya  uvelicheniya  ego zhestkosti  byl  postavlen naruzhnyj
shprengel'.  Kabina  ekipazha  znachitel'no  vydavalas'  iz  fyuzelyazha  i  imela
dovol'no grubuyu  aerodinamicheskuyu  formu.  |ti  nedostatki byli ustraneny  v
konstrukcii  samoleta "Il'ya  Muromec".  SHassi  samoleta dovol'no slozhnoe  --
imelo  8  koles  i  6 lyzh.  Grubost' aerodinamicheskih form,  obilie  stoek i
rastyazhek  obuslovili  bol'shoe  znachenie  privedennoj  ploshchadi  soprotivleniya
F0, kotoraya  sostavlyaet  okolo 10% ploshchadi kryla. Dlya sovremennyh
dozvukovyh samoletov ona sostavlyaet lish' okolo 1,5-- 2% ploshchadi kryla.
     Uchityvaya  effekt  biplana,  poluchim   dlya  samoleta   "Russkij  Vityaz'"
ekvivalentnyj  razmah  kryla,  ravnyj  28,3 m;  pri znachenii  F0,
ravnom okolo 12 m2, i moshchnosti  dvigatelej  Ndv=400 l.
s. poluchim maksimal'noe  aerodinamicheskoe  kachestvo  okolo 6  i maksimal'nuyu
pod®emnuyu silu okolo 5800 kG. Pri poletnom vese 4200 kG zapas pod®emnoj sily
budet  Y/G=l,38; eto,  konechno,  ochen' nebol'shoj zapas, i  on mog obespechit'
lish' pologie virazhi na  malyh  vysotah i vysotu teoreticheskogo potolka okolo
2,5 km pri prakticheskom potolke okolo 2 km.
     2-go  avgusta  1913  g.  samolet "Russkij Vityaz'" sovershil rekordnyj po
prodolzhitel'nosti  polet, proletav s  7-yu  passazhirami  1  chas  54  min. Ves
passazhirov  okolo 550 kG, chasovoj  rashod topliva okolo  90-- 100 kg; polnyj
zapas topliva okolo 200-- 250 kG. Togda velichina nagruzki budet ravna  700--
750 kG  i  pri  vese  pustotelogo  samoleta, ravnom 3500  kG,  vzletnyj  ves
poluchitsya 4200-- 4300 kG.
     Samolet   "Russkij  Vityaz'"   postradal  ot   sovershenno   neozhidannogo
proisshestviya: nad nim proletal drugoj samolet, rotativnyj dvigatel' kotorogo
sorvalsya  s  motoramy  i  upal  pryamo  na  central'nuyu chast'  kryla samoleta
"Russkij  Vityaz'".  Samolet  "Russkij  Vityaz'"  ne vosstanavlivali ne tol'ko
iz-za togo,  chto on byl sil'no povrezhden, no, vidimo, i  potomu, chto k etomu
vremeni byl razrabotan i, veroyatno,  uzhe stroilsya bolee sovershennyj  samolet
-- "Il'ya Muromec".




     Pervyj  ekzemplyar samoleta "Il'ya  Muromec"  byl zakonchen  postrojkoj  v
konce 1913 g. i  sovershil svoj pervyj polet 11 dekabrya 1913 g., a v mae 1914
g. sovershil svoj  pervyj polet vtoroj  ekzemplyar  samoleta  etogo tipa --  s
bolee moshchnymi dvigatelyami. Ob uspehe novoj konstrukcii svidetel'stvovali kak
regulyarnye polety, tak i rekordnye dostizheniya. Iz nih sleduet otmetit' polet
s  10-yu  passazhirami   na  vysotu  2000   m;  polet   s  shest'yu  passazhirami
prodolzhitel'nost'yu 6 chas 33 min i polet s 15-yu passazhirami (vklyuchaya ekipazh).
     Ot  samoleta "Russkij Vityaz'" samolet  "Il'ya Muromec" otlichalsya  prezhde
vsego  uvelichennym razmahom  kryl'ev, kotoryj (po  nekotorym materialam)  na
pervom  ekzemplyare  samoleta byl  raven  37  m. Samolety, kotorye  stroilis'
vposledstvii imeli razmah kryl'ev ot 30 do 33 m.
     Pishnoff-101.gif
     Ris. 3. Shema samoleta "Il'ya Muromec"
     Fyuzelyazh samoleta  byl  neskol'ko  ukorochen,  a  glavnoe, byla uvelichena
pochti  v dva raza ego stroitel'naya vysota, i tem samym znachitel'no  povyshena
zhestkost'  i umen'sheno soprotivlenie. Vmeste  s uvelicheniem razmaha  kryl'ev
uvelichilas' i ih ploshchad'.
     Pri rassmotrenii shemy samoleta s  sovremennoj tochki zreniya brosaetsya v
glaza  otsutstvie  nosovoj chasti, dostatochno daleko vydvinutoj vpered  (ris.
3).   |to  svidetel'stvuet  ob  otsutstvii  stremleniya  poluchit'  "perednyuyu"
centrovku, o preimushchestvah kotoroj togda eshche ne bylo shiroko izvestno.
     Samolety  "Il'ya Muromec" proshli surovuyu  shkolu boevyh  poletov v pervuyu
mirovuyu vojnu v kachestve  razvedchikov  i  tyazhelyh  bombardirovshchikov  russkoj
armii.  |to byli  pervye  samolety, kotorye nesli  mnogopudovye bomby, imeli
neskol'ko oboronitel'nyh pulemetnyh ustanovok, v tom chisle, ustanovki poverh
centroplana, na shassi i szadi -- v koncevoj chasti fyuzelyazha.
     Na samoletah "Il'ya Muromec" vpervye byl osvoen polet v zakrytoj kabine,
nosovaya  chast'  kotoroj byla polnost'yu  zasteklena  i obespechivala  otlichnyj
obzor  perednej  polusfery.  Na  etih  samoletah  vpervye  byli  ustanovleny
raznoobraznye  pilotazhnye, navigacionnye i bombardirovochnye pribory, a takzhe
byl osvoen  polet  v slozhnyh usloviyah, pri  otsutstvii vidimosti zemli i pri
neobhodimosti "probivaniya" oblakov.
     Pervye polety samoleta "Il'ya Muromec" byli vpolne  uspeshny, a vskore na
nem  byli ustanovleny rekordy  ne tol'ko gruzopod®emnosti,  no i dal'nosti i
prodolzhitel'nosti poleta. |to  svidetel'stvuet ob udovletvoritel'nom reshenii
voprosov ustojchivosti i  upravlyaemosti i nalichii  horoshego  zapasa pod®emnoj
sily u  samoleta. Nesmotrya  na svoj,  kazalos'  by, malyj  zapas  prochnosti,
samolet "Il'ya Muromec" uspeshno  perenosil polety v "boltanku", kotoroj v  to
vremya  staralis'  izbegat'  dazhe pri poletah na nebol'shih  i  bolee  prochnyh
samoletah.
     Na  protyazhenii primerno 5 let  serijnogo  proizvodstva  samolety  "Il'ya
Muromec"  podvergalis' modifikaciyam v osnovnom v svyazi s zamenoj dvigatelej.
Nekotorye  izmeneniya byli  vneseny v razmery samoleta  -- razmah  i  ploshchad'
kryl'ev.   Sleduet   otmetit'  takzhe  modifikaciyu   samoleta,   svyazannuyu  s
uvelicheniem zapasa ego prochnosti,  kotoraya yavilas' reakciej konstruktorskogo
byuro na imevshij mesto sluchaj polomki samoleta v vozduhe.
     Na nekotoryh samoletah  byli ushireny kryl'ya; vidimo, eto bylo svyazano s
povysheniem poletnogo vesa pri ustanovke bolee moshchnyh dvigatelej. Odnako, kak
my pokazhem dalee, horda kryl'ev u samoletov "Il'ya Muromec" byla otnositel'no
mala,  i  eto   ne   pozvolyalo  samoletu  vyhodit'  na  rezhimy  maksimal'noj
gruzopod®emnosti. Voobshche zhe samolet "Il'ya Muromec" byl vydayushchimsya dlya svoego
vremeni  yavleniem  po ego letnym  harakteristikam  i  nadezhnosti. S  pozicij
sovremennyh  znanij  po  samoletu  mozhno  bylo by sdelat' mnogo  kriticheskih
zamechanij, odnako, bez  detal'nogo rassmotreniya osobennostej samoleta  nuzhno
byt' ostorozhnymi v suzhdeniyah.
     Rassmotrim  osnovnye  aerodinamicheskie  i  dinamicheskie  harakteristiki
samoleta  "Il'ya  Muromec".  Nachnem  s  aerodinamicheskogo kachestva;  dlya  ego
opredeleniya trebuetsya  ochen' ogranichennyj material.  My uzhe privodili raschet
aerodinamicheskogo  kachestva  i  poluchili  Kmah=6,3-6,6.  Dlya togo
vremeni  eto  dovol'no  vysokoe  kachestvo.   |ffektivnoe  udlinenie  kryl'ev
l=le/S=322/140=7,3; v opisaniyah samoleta daetsya polnaya
nesushchaya ploshchad' vmeste s gorizontal'nym opereniem; my prinimaem, kak obychno,
ploshchad' bez opereniya S=140 m2; Ch0=1,28F/S =0,13.
     Maksimal'noe   aerodinamicheskoe  kachestvo   sootvetstvuet  koefficientu
pod®emnoj sily
     Pishnoff-102.gif
     eta   velichina   yavno   vyshe  maksimal'nogo   znacheniya,  i   poluchennoe
teoreticheski maksimal'noe aerodinamicheskoe kachestvo prakticheski ispol'zovano
byt'     ne     mozhet.      Dopuskaya     Cu=1,0-1,2,      poluchim
Cx=0,13+Cy2/pl=0,18-0,20 i K=5,6-- 6,0. Dlya
umen'sheniya Cun, esli net vozmozhnosti umen'shit' vrednuyu ploshchad' F,
sleduet uvelichit'  srednyuyu  hordu kryla bcr;  tak, dlya  polucheniya
Cu=1,2 nuzhno kryl'ya ushirit' takim obrazom, chtoby ih ploshchad' stala
ravnoj primerno 200 m2.
     Vtorym  vazhnejshim parametrom samoleta  yavlyaetsya maksimal'naya  pod®emnaya
sila  Ymah i otnosheniya pod®emnoj sily k vesu pustogo samoleta i k
poletnomu vesu.  Ispol'zuya poluchennoe  v  razdele  "Analiz  gruzopod®emnosti
samoletov" znachenie Ymah=8650 kG, budem imet':
     Pishnoff-103.gif
     Zametim, chto zdes' znachenie Ymah neskol'ko zavysheno, tak kak
znachenie  Cu,  sootvetstvuyushchee  Ymah,  ne  mozhet  byt'
ispol'zovano.     Uproshchennymi     harakteristikami     yavlyayutsya    parametry
KGo=G0/(Nl)2/3                            i
KG=G/(Nl)2/3,  kotorye  dlya  samoleta  "Il'ya  Muromec"
budut  sootvetstvenno  KGo=  5,6  i  KG=7,3.  Velichina
KGo  dlya  samoleta  "Il'ya  Muromec"  tol'ko nemnogo  vyshe,  chem u
tyazhelyh samoletov 1935-- 1945 gg.
     Dlya   bolee   polnoj   harakteristiki   samoleta  privodim   rezul'taty
aerodinamicheskogo  rascheta. Na ris. 4 dana  polyara samoleta s krylom tonkogo
profilya i otnositel'noj kriviznoj srednej linii okolo 7%. Takie profili dayut
sil'noe  uvelichenie  soprotivleniya  na malyh Cu,  odnako, samolet
"Il'ya  Muromec" pri malyh Cu  ne  letaet;  dazhe  pri maksimal'noj
skorosti   na   maloj   vysote    pri   q=58,    G/S=37    kG/m2,
Cu=0,64.
     Zadavayas'  razlichnymi  znacheniyami  Cu  i  pod®emnoj sily  Y,
poluchim potrebnye skorosti gorizontal'nogo poleta
     Pishnoff-105.gif
     soprotivlenie  Q=YCx/Cu  i potrebnuyu dlya  poleta
moshchnost'  N=QV/75.  Na  ris.  5  privedeny potrebnye  moshchnosti dlya  znachenij
pod®emnoj sily 4; 5; 6 i 7 T. CHtoby grafik byl prigoden dlya raznyh vysot, po
osi          absciss         otlozhena         indikatornaya          skorost'
Vi=V•(r/ro)1/2, a  po  osi ordinat velichina
N=(r/ro)1/2.  Na  tom  zhe  grafike  naneseny  poleznye
(raspolagaemye)   moshchnosti   vintomotornoj   gruppy   Npol,  tozhe
umnozhennye  na  (r/ro)1/2  dlya  sootvetstvuyushchih  vysot
poleta. |ti harakteristiki byli polucheny obychnymi metodami dlya dvuhlopastnyh
vintov s diametrom 3 m  i shagom  2  m  dlya  raschetnogo chisla  oborotov  1300
ob/min.
     Pishnoff-106.gif
     Pishnoff-107.gif
     Ris. 4. Polyara i profil' kryla samoleta "Il'ya Muromec"

     Pishnoff-108.gif
     Ris. 5. Grafik potrebnyh i raspolagaemyh moshchnostej
     Po tochkam peresecheniya krivyh potrebnyh  i  raspolagaemyh moshchnostej  dlya
sootvetstvuyushchih  vysot my poluchim skorosti poleta pri rabote  dvigatelej  na
maksimal'nom rezhime na postoyannoj vysote pri raznyh znacheniyah pod®emnoj sily
Y.  Poluchennye  harakteristiki privedeny na ris. 6. Esli ves samoleta  raven
pod®emnoj  sile,  to eto  budet  sootvetstvovat'  gorizontal'nomu poletu,  i
grafik dast zavisimosti maksimal'noj i minimal'noj skorostej ot vysoty.
     Pishnoff-109.gif
     Ris. 6. Harakteristiki gorizontal'nyh skorostej
     Esli  ves  men'she  pod®emnoj sily,  to  my poluchim usloviya manevra  bez
izmeneniya  vysoty s koefficientom peregruzki ny=Y/G; po znacheniyam
ny i skorosti poluchim radius virazha
     Pishnoff-110.gif
     Pri skorostyah, men'shih maksimal'nyh, i  pri polnoj  moshchnosti dvigatelej
budet   imet'   mesto   nabor  vysoty,   opredelyaemyj  izbytochnoj  moshchnost'yu
DN=Npoln--  N.  Maksimal'nuyu  vertikal'nuyu  skorost'  poluchim  po
maksimal'nomu izbytku moshchnosti, opredelyaemomu maksimal'noj raznost'yu ordinat
krivyh potrebnyh i poleznyh moshchnostej na grafike:
     Pishnoff-111.gif
     Znacheniya  Vy opredelyaem dlya  raznyh  vysot  i  stroim grafik
(ris. 7),  po kotoromu utochnyaem  vysotu  potolka i mozhem  proizvesti  raschet
vremeni  pod®ema  na raznye vysoty. Vremya  pod®ema na razlichnye vysoty mozhno
najti putem integrirovaniya funkcii  Vy po h. Odnako dlya samoleta,
podobnogo samoletu "Il'ya Muromec", mozhno primenit' prostye sootnosheniya -- za
18  min samolet podnimaetsya na vysotu, ravnuyu  50%  ot vysoty potolka, za 36
min  -- na  75%  i  za  1  chas  --  na 90% ot vysoty potolka,  nezavisima ot
poletnogo vesa.
     Pishnoff-112.gif
     Ris. 7. Harakteristiki vertikal'nyh skorostej
     Pishnoff-113.gif
     Ris. 8. Harakteristiki vzleta dlya samoleta "Il'ya Muromec"
     Raschet rashoda benzina  vypolnen dlya srednego  poletnogo vesa 5000 kG i
poluchen minimal'nyj  chasovoj  rashod  okolo  100  kg/chas  pri skorosti 80-85
km/chas,  chto  daet  rashod  na 1 km puti  Sk=1,25-1,3 kg/km;  pri
skorosti  100  km/chas kilometrovyj  rashod  sostavlyaet okolo  1,5 kg/km  pri
chasovom rashode 150 kg/chas.
     Dlya rascheta razbega ishodim iz takih znachenij sily tyagi:

V, m/sek 0 10 15 20 25
R, kG 1800 1720 1570 1300 1200
Dliny razbega pri raznyh vesah byli rasschitany pri koefficiente treniya m=0,08 i aerodinamicheskom kachestve (s uchetom blizosti zemli) K=8; zavisimost' dliny razbega ot vesa pokazana na ris. 8. Krome togo, na grafike naneseny znacheniya srednego uskoreniya jsr i minimal'nogo uskoreniya jmin. V opisaniyah samoletov "Il'ya Muromec" privodyatsya razlichnye znacheniya vzletnogo vesa. |to i ponyatno -- samolety neskol'ko raz modificirovalis', dvigateli na nih menyalis', i voobshche ne sushchestvuet strogogo kriteriya, opredelyayushchego vzletnyj ves. Kazhdyj konkretnyj samolet mozhet ekspluatirovat'sya s razlichnymi poletnymi vesami v zavisimosti ot uslovij i celej poleta. Maksimal'nyj vzletnyj ves mozhet opredelyat'sya raznymi faktorami. Tak, v usloviyah voennogo primeneniya reshayushchim faktorom yavlyaetsya zhelaemaya vysota potolka. Avtoru rasskazyvali, chto kogda pervyj samolet "Il'ya Muromec" otpravlyali na front v 1914 g., to dlya polucheniya vysoty potolka, ravnoj ne menee 2000 m, samolet prishlos' razgruzit', ubrav iz nego kopiyu kartiny Vasnecova "Tri bogatyrya" i demontirovav fotolaboratoriyu. Esli vysota potolka ne yavlyaetsya opredelyayushchej, to maksimal'nyj ves nahodyat iz uslovij manevrirovaniya s tem, chtoby velichina ny=Y/G byla ne menee 1,2-1,3, ili zhe ishodya iz uslovij vzleta. Praktika poletov pokazala, chto uskorenie pri razbege dolzhno byt' ne menee 1,5 m/sek2. Maloe uskorenie ploho ne tol'ko tem, chto pri etom poluchaetsya bol'shaya dlina razbega, a eshche i tem, chto ono sil'no menyaetsya pod vliyaniem malyh izmenenij sil tyagi ili soprotivleniya. Ishodya iz vyskazannyh soobrazhenij, vzletnyj ves samoleta "Il'ya Muromec" ne dolzhen byl prevyshat' 5300-5500 kG, potolok pri etom budet raven 2300-2500 m i dlina razbega okolo 200 m. Pri vese pustogo samoleta, ravnom 4100-4200 kG, ves polnoj nagruzki budet raven 1200-1300 kG; maksimal'nyj koefficient peregruzki, obespechennyj tyagoj na malyh vysotah, budet nu=1,4-1,45; zametim, chto pri bolee tochnom raschete maksimal'naya pod®emnaya sila okazalas' ravnoj okolo 8000 kG. Ukazannaya peregruzka pozvolyaet delat' virazhi s krenom do 45o; prakticheski delalis' virazhi, vidimo, bolee pologie. Pri krene 30o i skorosti 90 km/chas my poluchim radius virazha okolo 110 m i vremya soversheniya polnogo kruga, ravnoe 28-30 sek. Pri zapase topliva 500-600 kg vremya poleta budet ravno 5-- 6 chas, a dal'nost' poleta 400-450 km; pri perelete, vypolnennom v 1914 g., zapas topliva byl doveden do 940 kg i bylo pokryto rasstoyanie 700 km za 7 chas 25 min. |to daet srednyuyu skorost' 94 km/chas, chasovoj rashod topliva okolo 120 kg/chas (chast' topliva, vidimo, ostavalas' neizrashodovannoj) i kilometrovyj rashod ne bolee 1,35 kg/km. |to blizko k ego velichine, poluchennoj po raschetu. Perejdem k rassmotreniyu voprosov upravlyaemosti i ustojchivosti. Na ris. 9 pokazany dlya sravneniya shemy samoletov "Il'ya Muromec" i Il-18. Oba samoleta imeyut odinakovuyu ploshchad' kryl'ev, blizkie po znacheniyu razmahi kryl'ev i pochti odinakovye ploshchadi gorizontal'nogo opereniya. Brosaetsya v glaza prezhde vsego to obstoyatel'stvo, chto fyuzelyazh i dvigateli samoleta "Il'ya Muromec" edva vydayutsya vpered za krylo, v to vremya kak pochti polovina fyuzelyazha samoleta Il-18 vydvinuta vpered i dvigateli tozhe sil'no vyneseny vpered. Dlina samoleta Il-18 v dva raza bol'she dliny samoleta "Il'ya Muromec". Pishnoff-114.gif Ris. 9. Shemy samoletov "Il'ya Muromec" (a) i Il-18 (b) Kogda razrabatyvalsya samolet "Il'ya Muromec", eshche ne byli vyrabotany kriterii dlya suzhdeniya ob ustojchivosti i upravlyaemosti samoletov. Byli, konechno, nekotorye teoreticheskie soobrazheniya, no ocenku svojstv samoleta daval letchik, ishodya iz osobennostej ego pilotirovaniya. Voprosam razvitiya idej i teorij po obespecheniyu ustojchivosti i upravlyaemosti samoletov my posvyatim special'nuyu rabotu. Zdes' my popytaemsya dat' ocenku samoleta "Il'ya Muromec", ishodya iz osnovnyh sovremennyh kriteriev. Vyyavlenie harakteristik etogo samoleta v otnoshenii ego upravlyaemosti i ustojchivosti predstavlyaet bol'shoj interes, poskol'ku samolet byl dostatochno tyazhelym, svoeobraznym po sheme, i opyt ego ekspluatacii v polete dostatochno velik. K sozhaleniyu, ne sohranilos' kakih-libo materialov, raschetov i otzyvov letchikov, i poetomu my vynuzhdeny pribegat' k raschetam, kotorye, estestvenno, dovol'no priblizhenny. Pervyj vopros, kotoryj prihoditsya reshat' konstruktoru dlya obespecheniya upravlyaemosti samoleta, eto vybor ploshchadi rulej i ih rasstoyaniya ot centra tyazhesti samoleta. |tot vopros reshaetsya ishodya iz praktiki stroitel'stva samoletov, t. e. iz statistiki. Statistika daet znachitel'nye kolebaniya velichin otnositel'nyh ploshchadej organov upravleniya i konstruktor delaet vybor v sootvetstvii s osobennostyami svoego zamysla. Kogda samolet nachinayut ispytyvat' v polete, ploshchadi organov upravleniya chasto podvergayutsya izmeneniyam. Ploshchad' gorizontal'nogo opereniya samoleta "Il'ya Muromec" sostavlyaet okolo 23% ploshchadi kryla i potomu ego sleduet ocenit' kak otnositel'no bol'shoe po velichine. Plecho opereniya sostavlyaet okolo 40% razmaha kryl'ev, chto blizko k srednemu znacheniyu etoj velichiny. Sleduyushchij ochen' vazhnyj vopros -- eto vybor polozheniya centra tyazhesti. Emu vsegda udelyali mnogo vnimaniya, no v rannie gody razvitiya aviacii kriterii vybora polozheniya centra tyazhesti eshche ne byli nadezhno obosnovany. Konechno, i togda horosho ponimali, chto centr tyazhesti dolzhen sovpadat' s centrom davleniya sistemy "krylo-operenie". Sushchestvovali tri osnovnyh tipa prodol'noj balansirovki -- s nesushchim stabilizatorom, s nejtral'nym i s otricatel'nym. Dlya samoleta "Il'ya Muromec" byl vybran pervyj tip i poetomu stabilizator byl postavlen primerno s takim zhe ustanovochnym uglom, kak i krylo, i profil' stabilizatora byl blizok k profilyu kryla. Prilagaya v centrah davleniya kryla i opereniya sily, proporcional'nye ih ploshchadyam, i skladyvaya ih, my poluchim obshchij centr davleniya, gde i dolzhen nahodit'sya centr tyazhesti. Prodelav etot raschet, my poluchim tochku, lezhashchuyu na rasstoyanii, ravnom 90% dliny hordy kryla, ot perednej kromki. Inymi slovami, centrovka samoleta byla okolo 90%, chto po sovremennym vzglyadam nuzhno ocenit' kak chrezvychajno zadnyuyu Primernyj raschet polozheniya centra tyazhesti dal takoe zhe znachenie. Ideya nesushchego opereniya vposledstvii byla otvergnuta. Razvitie teorii kryla pokazalo, chto za krylom imeetsya skos potoka i chto stabilizator, ustanovlennyj pod tem zhe uglom, chto i krylo, budet imet' znachitel'no snizhennuyu pod®emnuyu silu, a centr davleniya samoleta budet smeshchen vpered. Ustanovka stabilizatora pod uglom, bol'shim, chem ugol ustanovki kryla, opasna iz-za vozmozhnosti zatyagivaniya samoleta v pikirovanie, i eto obstoyatel'stvo bylo davno izvestno. Odnako samolet "Il'ya Muromec" letal s ukazannoj zadnej centrovkoj, a nedostatok pod®emnoj sily stabilizatora vospolnyali otkloneniem vniz moshchnogo rulya vysoty. Soglasno principam balansirovki samoletov, kotorye byli razvity v period 1920-- 1930 gg., centr tyazhesti samoleta dolzhen nahodit'sya vperedi tochki, nazyvaemoj aerodinamicheskim fokusom samoleta. Polozhenie fokusa opredelyaetsya sleduyushchim obrazom. Predpolozhim, chto my uvelichivaem ugol ataki samoleta na nebol'shuyu velichinu; togda poluchim prirashcheniya pod®emnyh sil kryla i opereniya DYkr i DYgo; prilagaem ih v tochkah fokusa kryla i opereniya, kotorye nahodyatsya na rasstoyaniyah, ravnyh 1/4 dliny hordy (sootvetstvenno kryla i opereniya), i skladyvaem kak parallel'nye sily; ih ravnodejstvuyushchaya i projdet cherez fokus. Osobennost' rascheta polozheniya fokusa sostoit v tom, chto nuzhno uchest' velichinu udlineniya kryl'ev pri opredelenii prirashcheniya Su i uchest' vozdejstvie kryla na operenie. Primenitel'no k samoletu "Il'ya Muromec" my poluchim sleduyushchee. Pust' u kryla prirashchenie pod®emnoj sily DYkr=1000; togda u opereniya my poluchili by men'shee prirashchenie -- sootvetstvenno men'shej ploshchadi, ravnoe 0,23DYkr, no vsledstvie togo, chto operenie imeet men'shee udlinenie, prirashchenie budet eshche men'she, i sostavit 0,17DYkr. Pishnoff-115.gif Ris. 10. Shema centrovki samoleta "Il'ya Muromec" Pri uvelichenii ugla ataki kryla usilitsya i skos potoka za krylom, kotoryj sostavit okolo 35% ugla ataki, i sootvetstvenno snizitsya prirashchenie pod®emnoj sily opereniya. V itoge poluchim DYgo=0,11 DYkr=110. Opredelyaya polozhenie fokusa samoleta (ris. 10), poluchim ego na rasstoyanii 1,25 m pozadi fokusa kryla, ili na rasstoyanii 1,88 m ot perednej kromki kryla. |to sostavit 0,75 dliny hordy kryla i, znachit, v itoge centr tyazhesti okazalsya ne vperedi fokusa, a pozadi nego -- na rasstoyanii, ravnom 15% dliny hordy kryla. Samolet, u kotorogo centr tyazhesti raspolozhen pozadi fokusa, rascenivaetsya kak staticheski neustojchivyj po uglu ataki, t. e. kak ne sposobnyj sohranyat' ugol ataki avtomaticheski. Pri pilotirovanii staticheskaya neustojchivost' proyavlyaetsya prezhde vsego v tom, chto dlya uvelicheniya ugla ataki snachala nuzhno otklonit' rul' vysoty, kak obychno, vverh, no, kogda samolet uzhe povernetsya, rul' vysoty sleduet ne tol'ko vernut' v ishodnoe polozhenie, no i otklonit' ego v obratnuyu storonu, chtoby ne dopustit' dal'nejshego uvelicheniya ugla ataki (tendenciyu k chemu samolet proyavit). V itoge, pri pilotirovanii letchiku prihoditsya bol'she rabotat' rulem vysoty, a osvobodit' shturval u takogo samoleta voobshche nel'zya. Obratnoe otklonenie rulya vysoty pri staticheskoj neustojchivosti budet osobenno zametno pri posadke, kogda pered kasaniem samoletom zemli rul' okazhetsya sil'no otklonennym vniz. Ukazannoe yavlenie, konechno, uslozhnyaet pilotirovanie i trebuet povyshennogo vnimaniya. Odnako letchiki, tak ili inache, osvaivalis' s etimi osobennostyami. Staticheskaya neustojchivost' samoleta mozhet privesti k neustojchivosti samoleta po peregruzke, chto yavlyaetsya uzhe opasnym i poetomu sovershenno nedopustimym. Pust' v polete po nekotoroj prichine izmenilsya ugol ataki; eto mozhet byt' dvizhenie rulem vysoty ili dejstvie voshodyashchego vozdushnogo potoka. Izmenenie ugla ataki privedet k uvelicheniyu pod®emnoj sily na velichinu DY i, sledovatel'no, k uvelicheniyu koefficienta peregruzki na velichinu Dn= DY/G. Staticheski ustojchivyj samolet avtomaticheski vernetsya k ishodnomu uglu ataki, i prirashchenie budet likvidirovano. Odnako na umen'shenie peregruzki budet vliyat' eshche odin faktor. Peregruzka voznikaet pri izmenenii ugla ataki. Ugol ataki predstavlyaet soboj raznost' utla tangazha samoleta, izmeryaemogo po linii nulevoj pod®emnoj sily J, i ugla naklona traektorii q, t. e. a= J-- q. Pri vozniknovenii peregruzki liniya poleta (vektor skorosti) nachinaet povorachivat'sya s nekotoroj uglovoj skorost'yu, kotoruyu legko opredelit' iz vyrazheniya: Pishnoff-116.gif Pri nalichii staticheskoj neustojchivosti, t. e. kogda fokus lezhit pozadi centra tyazhesti, samolet tozhe nachinaet vrashchat'sya s nekotoroj uglovoj skorost'yu v storonu uvelicheniya ugla tangazha. Raschet etoj uglovoj skorosti bolee slozhen, tak kak dlya etogo nuzhno sopostavit' moment ot voznikshej peregruzki s tormozyashchim momentom ot dvizheniya gorizontal'nogo opereniya. Dlya togo chtoby peregruzka stala uvelichivat'sya, uglovaya skorost' vrashcheniya samoleta dolzhna byt' bol'she uglovoj skorosti vrashcheniya vektora skorosti. Dopustim, chto Dny=0,1 i skorost' poleta ravna 25 m/sek; togda uglovaya skorost' vektora skorosti budet okolo 0,04 ili 2,3 grad/sek. Izbytochnaya pod®emnaya sila DY=GDny=500 kG, nahodyashchayasya na rasstoyanii 0,375 m vperedi centra tyazhesti, dast vrashchayushchij moment Mvr=186 kG•m. Uchityvaem takzhe tormozyashchij moment opereniya ot uvelicheniya ego ugla ataki pri vrashchenii Da=w•ago/V i ravnyj Pishnoff-117.gif Priravnivaya oba momenta, poluchim uglovuyu skorost' samoleta wsam=0,0075 1/sek, ili 0,43 grad/sek. Okazyvaetsya, vektor skorosti budet vrashchat'sya znachitel'no bystree, chem samolet, i ugol ataki budet umen'shat'sya. Znachit, samolet "Il'ya Muromec" ustojchiv po peregruzke. Esli by my vzyali bolee bystrohodnyj samolet s takim zhe polozheniem fokusa i centra tyazhesti, to uglovaya skorost' vrashcheniya vektora skorosti okazalas' by men'she, a uglovaya skorost' vrashcheniya samoleta bol'she, i takoj samolet okazalsya by neustojchivym po peregruzke. Matematicheskie teorii ustojchivosti samoleta byli razrabotany dovol'no davno i k 1910 g. byli opublikovany teorii Ferbera, G. A. Botezata i dr. Vse eti teorii byli blizki drug k drugu i ishodili iz linearizacii uravnenij dvizheniya, razdeleniya dvizhenij na prodol'nye i bokovye, i v itoge, vozmushchennoe dvizhenie samoleta harakterizovalos' linejnymi differencial'nymi uravneniyami chetvertogo poryadka. Vposledstvii bylo najdeno, chto dvizheniya samoleta, kak prodol'nye, tak i bokovye, mozhno razdelit' na malye -- korotkoperiodicheskie i bol'shie -- dlinnoperiodicheskie. Dlya sravnitel'no bystrohodnyh samoletov takoe razdelenie bylo vpolne priemlemo, a raschet sil'no uproshchalsya, tak kak uravnenie chetvertogo poryadka razdelyalos' na dva uravneniya vtorogo poryadka. Podobnoe razdelenie dvizhenij na malye i bol'shie primenyaetsya i v nastoyashchee vremya. Interesno rassmotret', primenimo li takoe razdelenie dlya samoleta "Il'ya Muromec". Proizvedennyj nami raschet dal sleduyushchij rezul'tat. Uravnenie chetvertogo poryadka dlya prodol'nyh dvizhenij samoleta "Il'ya Muromec" imeet takoj vid: Pishnoff-118.gif Emu sootvetstvuet harakteristicheskoe uravnenie l4 + Bl3 + Cl2 + Dl + E = 0; B = 9; C=13; D = 3,5; E=-1. V rezul'tate my poluchili korni harakteristicheskogo uravneniya l1=-7,3; l2=0,18; l3=-1,17 i l4=-0,7. Tri kornya otricatel'ny i svidetel'stvuyut ob ustojchivosti treh sostavlyayushchih dvizhenij, a odin koren' polozhitel'nyj. Postoyannye vremeni dlya ustojchivyh dvizhenij budut: T1=0,135 sek; T2=0,85 sek; T3=1,43 sek. Postoyannaya vremeni dlya neustojchivogo dvizheniya budet T4=5,5 sek. Malye znacheniya postoyannyh vremeni ustojchivyh sostavlyayushchih harakterizuyut chrezvychajno bystroe zatuhanie etih dvizhenij. Prakticheski eti dvizheniya budut predstavlyat'sya sovershenno zatormozhennymi i neoshchutimymi dlya ekipazha samoleta. Neustojchivoe dvizhenie s postoyannoj vremeni, ravnoj 5,5 sek, harakterizuetsya tem, chto vsyakoe narushenie parametrov dvizheniya, naprimer, peregruzki, budet vozrastat' vdvoe za vremya, ravnoe 0,7•5,5=3,8-4 sek. Naprimer, esli v rezul'tate vozmushcheniya peregruzka uvelichilas' na 0,1 i stala ravnoj 1,1, to cherez 4 sek ona budet ravna 1,2, cherez 8 sek -- 1,4 i cherez 12 sek -- 1,8. Ustranit' takoe izmenenie peregruzki dlya letchika nikakogo truda ne sostavit, a pri polete v nespokojnoj atmosfere neustojchivost' budet voobshche nezametna, tak kak letchik budet ustranyat' narusheniya ugla tangazha J s intervalami vremeni ne bolee 2-3 sek. Opyt upravleniya neustojchivymi sistemami pokazyvaet, chto trudnost' uderzhaniya ravnovesiya poyavlyaetsya pri postoyannyh vremeni menee 0,2-0,3 sek. Neustojchivost' s postoyannoj vremeni, ravnoj 5 sek, sleduet ocenit' kak ves'ma slabo vyrazhennuyu. Vazhnoj harakteristikoj upravlyaemosti samoleta yavlyaetsya sootnoshenie mezhdu momentom, vyzvannym otkloneniem rulya vysoty, i usiliem, prilozhennym letchikom. |to sootnoshenie imeet razmernost' dliny i nazyvaetsya privedennym rychagom prodol'nogo upravleniya LB. Dlya samoleta "Il'ya Muromec" my poluchili znachenie Lv priblizitel'no 100 m; dlya bol'shogo po razmeram samoleta eto sravnitel'no malo, chto ob®yasnyaetsya otsutstviem aerodinamicheskoj kompensacii na rule vysoty. Esli letchik prilagaet k shturvalu usilie, ravnoe 1 kG, to tem samym on prilagaet k samoletu moment okolo 100 kG•m, chto vyzyvaet uglovoe uskorenie okolo 0,02 1/sek2; sootvetstvenno, usilie, ravnoe 10 kG, dast uglovoe uskorenie 0,2 1/sek2. Na nekotoryh variantah samoleta "Il'ya Muromec" strelok mog peremeshchat'sya k kormovoj ustanovke, chto soobshchalo samoletu moment okolo 1000 kG•m; togda dlya uderzhaniya samoleta v ravnovesii letchiku nuzhno bylo prilozhit' k shturvalu usilie okolo 10 kG. |to, konechno, mnogovato. Osnovnoj harakteristikoj prodol'noj upravlyaemosti samoleta sluzhit sootnoshenie prirashchenij usiliya DPv na ruchke ili na shturvale upravleniya i peregruzki Dny. Ono oboznachaetsya simvolom dPv/dny ili Pvn. Imeya harakteristiku zapasa prodol'noj ustojchivosti po peregruzke x0=xF-- hT i privedennuyu dlinu rychaga prodol'nogo upravleniya Lv, my legko najdem zhelaemuyu harakteristiku. Prilagaya v fokuse samoleta, polozhenie kotorogo opredeleno s uchetom effekta vrashcheniya, silu, ravnuyu vesu samoleta G, my tem samym uvelichim koefficient peregruzki na edinicu i poluchim moment Mz= Gx0. Dlya uravnoveshivaniya etogo momenta my dolzhny otklonit' rul' vysoty, prilozhiv k shturvalu nekotoroe usilie DRv. Znaya velichinu Lv, my poluchim Mz= DRv•Lv i zatem iskomuyu harakteristiku upravlyaemosti: G x0+ DRv Lv=0; DRv= - Gx0/Lv; Pvn = -5000•0.9/100= - 45 kG. My poluchili okolo 45 kG na edinicu peregruzki, chto dovol'no blizko k tomu znacheniyu, kotoroe imeetsya u sovremennyh samoletov. Esli uchest' vesovoj moment rulya vysoty, to velichina Pvn znachitel'no uvelichitsya; prodol'noe upravlenie samoleta "Il'ya Muromec", veroyatno, bylo dovol'no tyazhelym. Special'nogo rassmotreniya bokovoj ustojchivosti samoleta ne trebuetsya. Sovershenno yasno, chto u bol'shogo tihohodnogo samoleta bokovye dvizheniya aperiodichno ustojchivy i ih harakterizuyut malye postoyannye vremeni. Dlya samoleta s raznesennymi dvigatelyami interesno rassmotret' vozmozhnost' poleta s nesimmetrichnoj tyagoj pri ostanovke bokovyh dvigatelej. Ostanovka odnogo krajnego dvigatelya pri skorosti 90 km/chas privodit k vozniknoveniyu zavorachivayushchego momenta, ravnogo okolo 1700 kG•m, a ostanovka oboih dvigatelej, raspolozhennyh s odnoj storony, daet zavorachivayushchij moment okolo 2500 kG•m. Maksimal'nyj moment, kotoryj daet otklonenie rulej napravleniya, sostavlyaet okolo 3500 kG•m; sledovatel'no, pri pomoshchi rulej napravleniya mozhno uravnovesit' zavorachivayushchij moment pri ostanovke dvuh dvigatelej, raspolozhennyh s odnoj storony. Ostanovimsya eshche na dvizhenii krena pri otklonenii eleronov. Pri otklonenii eleronov samolet nachinaet vrashchat'sya s nekotorym uglovym uskoreniem, kotoroe, odnako, bystro umen'shaetsya v rezul'tate dejstviya dempfiruyushchego momenta ot vrashcheniya, posle chego ustanavlivaetsya uglovaya skorost' nakreneniya, kogda moment ot eleronov uravnoveshivaetsya momentom ot effekta vrashcheniya. U tihohodnogo samoleta "Il'ya Muromec", obladayushchego bol'shim razmahom kryl'ev, effekt ot vrashcheniya dolzhen byt' osobenno velik. Pri otklonenii eleronov na 10o; pri skorosti poleta 25 m/sek my poluchim krenyashchij moment Mh e, ravnyj okolo 6000 kG•m; pri momente inercii otnositel'no prodol'noj osi samoleta Jx primerno 50000 kG•m•sek2 nachal'noe uglovoe uskorenie budet dwx/dt= Mh e /Jx =0,12 rad/sek2, dempfiruyushchij moment ot vrashcheniya budet okolo Image89.gif Pri postizhenii ravnovesiya momentov ot vrashcheniya i ot eleronov uglovaya skorost' budet ravna Pishnoff-122.gif ili 7o v sekundu, a konec kryla budet opuskat'sya s vertikal'noj skorost'yu, ravnoj 0,12•16=2 m/sek. Diagramma zavisimosti ugla krena ot vremeni poluchilas' v vide pochti pryamoj linii (ris. 11), t. e. kak pri vrashchenii s postoyannoj uglovoj skorost'yu, no tol'ko eta pryamaya sdvinuta primerno na 1 sek ot momenta otkloneniya eleronov. Posle ustanovki eleronov v nejtral'noe polozhenie samolet zatormozit svoe dvizhenie krena, projdya primerno eshche 7o ugla krena, ili 70% ot ugla otkloneniya eleronov. Pri plavnom dejstvii eleronami (kak obychno i dejstvuyut pri pilotirovanii) samolet srazu nachinaet vrashchat'sya s postoyannoj uglovoj skorost'yu pri otklonenii eleronov i srazu ostanavlivaetsya pri nejtral'nom polozhenii eleronov. Samolet "Il'ya Muromec" yavlyaetsya klassicheskim primerom samoleta s polnost'yu zatormozhennymi vrashchatel'nymi dvizheniyami, kogda, nesmotrya na znachitel'nuyu velichinu momentov inercii, inercionnost' pochti sovsem ne proyavlyaetsya. Pishnoff-123.gif Ris. 11. Grafik izmeneniya ugla krena po vremeni pri otklonenii eleronov My dovol'no podrobno rassmotreli aerodinamicheskie i dinamicheskie harakteristiki samoleta "Il'ya Muromec" dlya togo, chtoby prodemonstrirovat', skol' svoeobrazny byli ego svojstva. Na etom my zakanchivaem rassmotrenie nachal'nogo perioda razvitiya tyazhelyh samoletov. Posleduyushchie periody takzhe byli ves'ma interesny i pouchitel'ny, i my namereny vernut'sya k ih rassmotreniyu v dal'nejshem. VVEDENIE Sredi razlichnyh napravlenij razvitiya samoletov svoeobrazna istoriya razvitiya manevrennyh istrebitelej. Hotya termin "manevrennyj istrebitel'" imel ogranichennoe rasprostranenie, no pri analize istorii razvitiya istrebitelej my mozhem otchetlivo vyyavit' stremlenie k sorevnovaniyu po pokazatelyu manevrennosti. Samolety-istrebiteli pervonachal'no prednaznachalis' dlya bor'by s razvedchikami i bombardirovshchikami protivnika i dlya resheniya etoj zadachi osobyh trebovanij k manevrennosti istrebitelya ne pred®yavlyalos'. Odnako pochti vsegda sushchestvovali preimushchestva istrebitelya nad bolee tyazhelymi samoletami v otnoshenii manevrennosti i skorosti. Tol'ko v ochen' redkih sluchayah razvedchik ili legkij bombardirovshchik okazyvalsya bolee bystrohodnym ili bolee manevrennym, chem istrebitel'. Neobhodimost' v samoletah, prednaznachennyh dlya bor'by s razvedchikami i bombardirovshchikami, voznikla uzhe v pervye mesyacy pervoj mirovoj vojny 1914-- 1918 gg. V istorii aviacii navsegda sohranitsya pamyat' o vozdushnom boe, provedennom letchikom P. N. Nesterovym s avstrijskim bombardirovshchikom v 1914 g., kogda P. N. Nesterov, ne imeya na svoem samolete special'nogo vooruzheniya, reshil povredit' vrazheskij samolet, nanesya emu neposredstvennyj udar svoim samoletom. Kak izvestno, oba samoleta pogibli. Mozhno predpolozhit', chto P. N. Nesterov pytalsya povredit' vozdushnyj vint samoleta protivnika, zadev ego svoim shassi. Na ris. 1 pokazana veroyatnaya shema momenta sblizheniya samoletov. V to vremya na samoletah primenyalis' derevyannye, dovol'no tonkie vinty, kotorye pri rabote nahodilis' v ves'ma napryazhennom sostoyanii, i zadevanie lopastyami za postoronnij predmet legko privodilo k razrusheniyu lopastej pochti bez vsyakogo povrezhdeniya etogo predmeta. Iz ris. 1 vidno, chto samolet "Moran-ZH", na kotorom letel P. N. Nesterov, imel ochen' plohoj obzor vpered i vniz, i P. N. Nesterovu bylo trudno rasschitat' dvizhenie samoleta. Naoborot, letchik samoleta protivnika ochen' horosho videl samolet P. N. Nesterova i, vidimo, na eto kak-to reagiroval. Samolety stolknulis'. Kakoe povrezhdenie poluchil nepriyatel'skij samolet, my ne znaem; vidimo, ono bylo ochen' znachitel'nym. Odnako samolet P. N. Nesterova byl povrezhden malo i, kak pokazali ochevidcy, nekotoroe vremya normal'no snizhalsya, no zatem perevernulsya i letchik vypal iz nego. Pishnoff-124.gif Ris. 1 Shema tarana P. N. Nesterovym avstrijskogo samoleta Mozhno predpolagat', chto u samoleta P. N. Nesterova bylo povrezhdeno poperechnoe upravlenie. Naibolee rasprostranena byla versiya, soglasno kotoroj P. N. Nesterov byl ranen pri stolknovenii samoletov i poteryal soznanie. Otvergat' etu versiyu nel'zya, odnako, mozhno i somnevat'sya v etom, poskol'ku sila udara edva li byla velika. Pri avariyah samoleta "Moran-ZH" byli sluchai, kogda dazhe pri polnom razrushenii samoleta pri udare o zemlyu letchik stradal malo. Samolet, na kotorom letel P. N. Nesterov, prevoshodil samolet protivnika po skorosti, skoropod®emnosti i manevrennosti. CHtoby perehvatit' protivnika, P. N. Nesterovu nuzhno bylo tol'ko svoevremenno vzletet', chto emu i udalos'. Vozdushnyj boj P. N. Nesterova napominal napadenie bystrokrylogo sokola, kotoryj, ispol'zuya snizhenie, legko nastigaet pticu s bolee nizkimi letnymi vozmozhnostyami ili nedostatochno osmotritel'nuyu. Takoj vid vozdushnogo boya poluchil rasprostranenie i v aviacii, osobenno v usloviyah "svobodnoj ohoty". Uspeh boya v bol'shoj mere opredelyalsya umen'em nezametno podojti k protivniku. V konce 1914 g. i v nachale 1915 g. slozhilsya tip samoleta-istrebitelya s pulemetom, strelyayushchim vpered, snachala vyshe vinta, a zatem (s izobreteniem sinhronizatora) -- i cherez ploskost' vrashcheniya vinta. Istrebiteli poyavilis' u obeih voyuyushchih storon, i, estestvenno, voznikla neobhodimost' bor'by mezhdu nimi. Obespechenie preimushchestva v vozdushnom boyu yavilos' vazhnejshim faktorom, opredelivshim dal'nejshee razvitie samoletov-istrebitelej. V bor'be mezhdu istrebitelyami byvayut sluchai, kogda odin iz nih nezametno podkradyvaetsya k drugomu i otnositel'no legko dobivaetsya pobedy nad nim. Odnako bolee rasprostranennym byl sluchaj, kogda protivniki shodilis' primerno v ravnyh ishodnyh usloviyah i zatem veli boj, ispol'zuya svoj lichnyj letnyj opyt i vozmozhnosti svoih samoletov. Raspolozhenie oruzhiya dlya strel'by vpered (primerno po linii poleta) opredelyalo manevr zahoda "v hvost" protivniku. Analogichno dejstvoval i protivnik. Vozdushnyj boj prinimal tipichnuyu shemu kruzheniya, ili "karuseli". Podobnaya karusel' yavlyaetsya elementom boya, kotoryj v dejstvitel'nosti mozhet uslozhnyat'sya i drugimi dvizheniyami, osobenno, esli protivnikov mnogo, i prevrashchat'sya v svoeobraznuyu "sobach'yu svalku", pri kotoroj faktor organizacii i podderzhki tovarishchej igraet ochen' bol'shuyu rol'. My ne imeem namereniya vnikat' v taktiku slozhnyh vozdushnyh boev. Sovershenstvovanie istrebitelej opredelyalos' elementami vozdushnogo boya, dlya uspeshnogo vedeniya kotorogo trebovalis': preimushchestvo v skorosti na stadiyah sblizheniya i uhoda, preimushchestvo v manevrirovanii, nalichie horoshego obzora, moshchnost' vooruzheniya, zhivuchest' konstrukcii samoleta i dvigatelya. Vposledstvii znachitel'noe vnimanie udelyalos' bronirovaniyu letchika, zashchite toplivnyh bakov i drugih zhiznenno vazhnyh agregatov. V dannoj rabote postavlena zadacha -- rassmotret' voprosy, svyazannye s manevrennost'yu. |tot kompleks voprosov vovse ne uzok; stremlenie k povysheniyu manevrennosti opredelyaet ochen' mnogoe v konstrukcii samoleta, a takzhe v vybore dvigatelya, zapasa topliva, vooruzheniya, oborudovaniya i t. p. Bor'ba za preimushchestvo v manevrennosti byla yarko vyrazhena v period pervoj mirovoj vojny i prodolzhalas' v period mezhdu dvumya mirovymi vojnami. Kogda govorili o manevrennyh svojstvah istrebitelej, to ponimali pod etim gorizontal'nyj manevr, t. e. radius i vremya soversheniya kruga. K nachalu vtoroj mirovoj vojny s rostom skorosti poleta rol' gorizontal'nogo manevra stala padat', a prishedshij emu na smenu vertikal'nyj manevr postavil pered konstruktorami inye trebovaniya, i istrebiteli, manevrennye v gorizontal'noj ploskosti, soshli so sceny. Razdelenie istrebitelej na skorostnye i manevrennye utratilo prezhnij smysl. Projdut stoletiya, okonchatel'no ujdut v proshloe vojny mezhdu narodami. Pri izuchenii istorii vojn, mozhet byt', vozniknet mysl' ob analogii mezhdu vozdushnym boem samoletov i edinoborstvom bogatyrej i rycarej. Dlya etogo, bezuslovno, est' osnovaniya. V edinoborstve bogatyrej i rycarej obychno presledovalas' cel' ne ubit' protivnika, a lishit' ego vozmozhnosti dal'nejshego soprotivleniya. Tak, rycar', sbroshennyj s konya, byl sovershenno bespomoshchen. V vozdushnom boyu osnovnaya zadacha -- sbit' samolet, unichtozhit' ego kak boevuyu silu. Odnako, kogda sbivayut samolet, mozhet pogibnut' i ego ekipazh. V period pervoj mirovoj vojny veroyatnost' gibeli letchika-istrebitelya byla osobenno velika. Vo-pervyh, ves letchika sostavlyal v to vremya 12-16% vesa samoleta; vo-vtoryh, parashyutov eshche ne bylo. Dostatochno bylo povredit' otvetstvennyj silovoj element ili organ upravleniya, chtoby samolet byl sbit i vozmozhnost' ego posadki byla isklyuchena. U letchika ostavalas' edinstvennaya nadezhda na "udachnyj" udar o zemlyu, pri kotorom on ne budet ubit. Esli uchest', chto samolety byli dovol'no legkie, nekotoraya veroyatnost' ostat'sya zhivym pri padenii s bol'shoj vysoty byla. Parashyuty dlya opaseniya letchikov stali primenyat'sya tol'ko s 1926-- 1928 gg. Istrebiteli perioda vtoroj mirovoj vojny imeli ves 3000-3500 kG i dolya vesa pilota snizilas' do 2-2,5%; krome togo, pilot byl prikryt bronespinkoj szadi i bronesteklom speredi. V sluchae neobhodimosti letchik mog, sbrosiv kryshku fonarya, otnositel'no legko pokinut' samolet i spustit'sya na parashyute. Veroyatnost' gibeli letchika v sluchae, kogda sbivali samolet, stala men'she. S poyavleniem i razvitiem reaktivnyh samoletov-istrebitelej dolya vesa letchika snizilas' eshche bol'she i doshla do odnogo procenta i dazhe menee togo. Interesno, chto poletnyj ves odnomestnyh reaktivnyh istrebitelej 1950-- 1955 gg. stal dazhe vyshe, chem ves mnogomestnogo tyazhelogo bombardirovshchika "Il'ya Muromec" 1914-- 1918 gg. Odnako vozmozhnosti dlya spaseniya letchika uhudshilis' v svyazi s trudnost'yu pokidaniya samoleta na bol'shoj skorosti. Togda byli razrabotany katapul'tnye kresla, pri pomoshchi kotoryh letchik bukval'no vystrelivalsya iz samoleta. |ti vystrelivaniya podvergayut letchika takim nagruzkam, kotorye ranee byli by priznany kak ves'ma opasnye dlya zhizni. No, esli usloviya poleta vse uslozhnyayutsya -- v svyazi s rostom vysoty i skorosti, -- to sredstva spaseniya sootvetstvenno sovershenstvuyutsya. Esli my hotim rassmotret', kak sovershenstvovalis' manevrennye harakteristiki samoletov, to neobhodimo nachat' s chastnyh pokazatelej manevrennosti. Mozhno sudit' o manevrennosti po minimal'noj krivizne traektorii 1/r, kotoruyu mozhet opisat' samolet; odnako, v polete izmerit' radius r dovol'no trudno. Bolee udobnym kriteriem yavlyaetsya vremya soversheniya polnogo kruga t ili uglovaya skorost', dostigaemaya pri dlitel'nom razvorote, w=V/r. Harakteristiki manevrirovaniya mozhno rassmatrivat' s dvuh pozicij. Pervaya iz nih osnovana na tom, chto manevriruyushchie samolety zanimayutsya vzaimnym presledovaniem, starayas' zajti drug drugu "v hvost" dlya vypolneniya strel'by iz oruzhiya, ustanovlennogo primerno po linii poleta. |tot vid strel'by obladaet ochen' vysokoj pricel'nost'yu. V ukazannom, ochen' harakternom, vide manevrirovaniya oba samoleta dvizhutsya po primerno odinakovym traektoriyam s priblizitel'no odinakovymi skorostyami i peregruzkami. Odnako nekotorye razlichiya v ih dvizhenii est', i my ih dalee rassmotrim. Vtoraya poziciya osnovana na rassmotrenii harakteristik manevrirovaniya v svyazi so sposobnost'yu samoleta proyavit' iniciativu dlya nachala boya i dlya vyhoda iz nego. Tak, vozmozhen sluchaj, kogda samolet mozhet uspeshno vesti manevrirovanie pri vzaimnom presledovanii, no ne mozhet prekratit' boya, tak kak pri popytke eto sdelat' on budet atakovan protivnikom. I, naoborot, samolet mozhet obladat' takimi svojstvami, kotorye dayut emu vozmozhnost' atakovat' protivnika, no delayut ego menee manevrennym v usloviyah vzaimnogo presledovaniya. Manevrirovanie samoleta svyazano s iskrivleniem traektorii ego dvizheniya v vertikal'noj i gorizontal'noj ploskostyah, a eto trebuet izmeneniya pod®emnoj sily, i v osnovnom ee uvelicheniya. Izmenenie pod®emnoj sily ocenivaetsya koefficientom peregruzki ny=Y/G. Po izvestnym znacheniyam koefficienta peregruzki ny, skorosti poleta V, vysoty h, ugla naklona traektorii q i ugla krena g mozhno najti radiusy krivizny traektorii. Tak, v sluchae virazha s utlom krena g my poluchim znacheniya radiusa i uglovoj skorosti: Pishnoff-125.gif Dlya harakteristiki skorosti poleta i vozmozhnosti sozdaniya peregruzki udobno prinyat' kineticheskuyu vysotu hk=V2/2g, togda aerodinamicheskoe uslovie sozdaniya peregruzki mozhno predstavit' v vide Skladyvaya hk s vysotoj h, poluchim vysotu urovnya energii he=h+hk. Vysota poleta opredelyaetsya geometricheskimi harakteristikami traektorii; velichina he opredelyaetsya prihodom energii ot dvigatel'noj gruppy i ee rashodom na preodolenie sil soprotivleniya. Vazhnejshim uravneniem poleta yavlyaetsya harakteristika izmeneniya energii po puti, t. e. proizvodnaya urovnya energii po puti: Pishnoff-127.gif Podstavlyaya vyrazhenie dlya sily soprotivleniya Q cherez pod®emnuyu silu, delennuyu na aerodinamicheskoe kachestvo, poluchim Pishnoff-129.gif Pri manevrirovanii, v zavisimosti ot harakteristiki energovooruzhennosti samoleta N/G, ego aerodinamicheskogo kachestva na rezhime manevra KA (kotoroe mozhet i ne byt' maksimal'nym) i ot peregruzki, kotoruyu letchik sozdaet, dejstvuya rulem vysoty nu, my mozhem poluchit' polozhitel'noe ili otricatel'noe izmenenie energii, t. e. nx budet polozhitel'nym ili otricatel'nym. V chastnom sluchae est' takoj manevr, pri kotorom nx kolebletsya okolo nulevoj velichiny, i etomu budet sootvetstvovat' nekotoroe znachenie koefficienta peregruzki nya. |ta velichina maksimal'noj peregruzki nya pri uslovii sohraneniya energii he =const yavlyaetsya vazhnejshim faktorom, opredelyayushchim manevrennye vozmozhnosti samoleta. Sposob opredeleniya nya dlya konkretnyh znachenij vysoty poleta i vesa samoleta izlagaetsya v kursah dinamiki poleta. Odnako dlya opredeleniya nya est' bolee prostoj put'. V stat'e o tyazhelyh samoletah my privodili vyrazhenie dlya maksimal'noj pod®emnoj sily, kotoruyu mozhet razvivat' samolet v techenie dlitel'nogo vremeni, t. e. pri postoyanstve energii: Ymax=Ky(Nl)2/3(r/ro) 1/3 Pri vinte fiksirovannogo shaga Ky~6,8(KA)1/3, pri vinte izmenyaemogo shaga, dayushchego uvelichenie koefficienta poleznogo dejstviya vinta i moshchnosti dvigatelya blagodarya povysheniyu ego chisla oborotov, Ky~7,2(KA)1/3. V itoge poluchim vyrazheniya dlya maksimal'nogo koefficienta peregruzki samoletov vypushchennyh ranee 1935 g., s vintami fiksirovannogo shaga: Image94.gif Dlya samoletov bolee pozdnego vypuska s vintami izmenyaemogo v polete shaga, obespechivayushchimi postoyanstvo oborotov dvigatelya, poluchim Image95.gif Poskol'ku aerodinamicheskoe kachestvo KA vhodit v formulu pod kubichnym kornem, ego mozhno opredelyat' dovol'no grubo. Poletnyj ves samoleta skladyvaetsya iz vesa pustogo samoleta G0, v kotoryj vhodyat ves konstrukcii, ves dvigatel'noj ustanovki i ves chasti oborudovaniya, kotoroe neobhodimo dlya poleta, nezavisimo ot ego naznacheniya. |to oborudovanie obychno nazyvayut nes®emnym, v otlichie ot drugoj chasti oborudovaniya, kotoroe vklyuchaetsya v nagruzku. V velichinu G0 vhodyat i vesa bakov, truboprovodov, elektroprovodki i t. p., t. e. vsego, chto otnositsya k konstrukcii samoleta i ne prednaznacheno dlya legkoj s®emki. V ves samoleta vhodit, krome togo, ves topliva GT, kotoryj obychno vyrazhayut v vide doli ot polnogo vesa GT/G. Tret'yu chast' poletnogo vesa sostavlyaet ves nagruzki Gnagp, v kotoryj vhodyat ves letchika, ves neobhodimogo emu snaryazheniya, ves parashyuta, oruzhiya i boepripasov. Ves nagruzki tozhe udobno predstavit' v vide doli ot polnogo vesa Gnagp/G. Teper' vyrazhenie dlya peregruzki mozhno predstavit' sleduyushchim obrazom: Pishnoff-130.gif Velichina peregruzki opredelyaetsya tremya osnovnymi faktorami: 1) znacheniem Ku=6,8(Kmax)1/3 ili Ku=7,2(Kmax)1/3 dlya vinta izmenyaemogo shaga; velichina Ku svyazana s aerodinamicheskim kachestvom samoleta; 2) znacheniem velichiny Pishnoff-131.gif , kotoraya opredelyaet stepen' nagruzheniya samoleta toplivom i poleznoj nagruzkoj; esli eta velichina mala, to polet budet kratkovremennym, a vooruzhenie samoleta slabym; 3) znacheniem parametra KG0= G0/(Nl)2/3, kotoryj imeet ochen' vazhnoe znachenie dlya harakteristiki ne tol'ko manevrennyh samoletov, no i samoletov lyubogo naznacheniya. Velichina Ky/KG0=ny0=Ymax/G daet sootnoshenie maksimal'noj pod®emnoj sily i vesa pustogo samoleta. Dlya polucheniya samoleta s vysokimi manevrennymi harakteristikami neobhodimo umen'shat' znachenie KG0, chto mozhet byt' dostignuto umen'sheniem vesa konstrukcii i primeneniem bolee legkih dvigatelej. U manevrennogo samoleta konstrukciyu nel'zya oblegchat' za schet umen'sheniya zapasa prochnosti, hotya v istorii samoletostroeniya i byli otdel'nye primery, kogda manevrennye samolety byli nedostatochno prochnymi. Naibolee legkimi yavlyayutsya dvigateli vozdushnogo ohlazhdeniya, i manevrennye samolety, kak pravilo, snabzhalis' takimi dvigatelyami. Otnositel'nyj ves topliva ne mozhet byt' ochen' malym, inache vremya poleta okazhetsya neznachitel'nym. Esli pri sostyazaniyah po vysshemu pilotazhu mozhno imet' minimal'nyj zapas topliva, sootvetstvuyushchij vypolnyaemoj programme, to dlya samoleta-istrebitelya zapas topliva neobhodim ne tol'ko dlya obespecheniya dostatochnogo vremeni nahozhdeniya nad polem boya. Polnoe izrashodovanie topliva v usloviyah vozdushnogo boya mozhet okazat'sya gibel'nym dlya letchika, poskol'ku samolet stanovitsya bespomoshchnym. Zapas topliva u manevrennyh istrebitelej lezhit v predelah 10-14% vzletnogo vesa. Uvelichenie aerodinamicheskogo kachestva hotya i sposobstvuet uluchsheniyu manevrennosti, no v slaboj stepeni. Nakonec, manevrennost' uluchshaetsya pri umen'shenii otnositel'nogo vesa nagruzki. Poskol'ku sama nagruzka mozhet byt' umen'shena tol'ko za schet umen'sheniya vesa oruzhiya, boepripasov i oborudovaniya, neobhodimyh dlya vedeniya vozdushnogo boya, to vozmozhnosti zdes' nebol'shie. CHto kasaetsya otnositel'nogo vesa poleznoj nagruzki, to ona budet ubyvat' po mere uvelicheniya vesa samoleta, a znachit, i moshchnosti dvigatelya. Poskol'ku v istorii razvitiya manevrennyh istrebitelej proishodil neuklonnyj rost moshchnosti dvigatelej i poletnyh vesov, umen'shenie otnositel'nogo vesa poleznoj nagruzki opredelyalo rost maksimal'noj peregruzki pri manevre. Perehod na vinty izmenyaemogo shaga sushchestvenno povysil manevrennye harakteristiki samoletov, osobenno pri polete na bol'shih vysotah. Pri vinte fiksirovannogo shaga dvigatel' razvivaet polnuyu moshchnost' tol'ko pri polete samoleta na maksimal'noj skorosti na raschetnoj vysote. Pri umen'shenii skorosti i uvelichenii vysoty vint okazyvaetsya "tyazhel", t. e. chislo oborotov ego umen'shaetsya i sootvetstvenno umen'shaetsya moshchnost' dvigatelya. Svoeobraznyj effekt daet primenenie vysotnyh dvigatelej. Na vysotah ot raschetnoj (gde moshchnost' dvigatelya maksimal'na) i vyshe manevrennye svojstva samoleta znachitel'no povyshayutsya. Odnako na malyh vysotah moshchnost' dvigatelya okazyvaetsya ponizhennoj (osobenno pri otsutstvii mnogoskorostnoj peredachi k nagnetatelyu) i manevrennye svojstva samoleta uhudshayutsya. OBZOR ISTORII RAZVITIYA MANEVRENNYH ISTREBITELEJ 1914-1920 gg. Vyshe my izlozhili metodiku analiza manevrennyh harakteristik samoletov. Eyu my vospol'zuemsya i pri obzore istorii razvitiya manevrennyh samoletov. Rassmotrim samolety perioda pervoj mirovoj vojny 1914-- 1919 gg. i perioda mezhdu dvumya mirovymi vojnami, t. e. 1919-- 1939 gg. V kachestve ob®ektov rassmotreniya voz'mem samolety, kotorye, po mneniyu avtora, naibolee polno harakterizuyut manevrennoe napravlenie; po etim samoletam imeyutsya dostatochno polnye svedeniya i oni imeli shirokoe rasprostranenie, t. e. yavlyalis' serijnymi. Naibol'shee vnimanie budet udeleno samoletam, kotorye primenyalis' v staroj russkoj armii i v Voenno-Vozdushnyh Silah Sovetskoj Armii. V tablicah 1-- 3 privedeny harakteristiki 24-h samoletov; iz nih 15 -- s dvigatelyami vozdushnogo ohlazhdeniya i 9 -- s dvigatelyami vodyanogo ohlazhdeniya. 17 samoletov byli na vooruzhenii russkoj dorevolyucionnoj ili sovetskoj aviacii ili zhe ispol'zovalis' kak trofejnye. |ti samolety avtoru horosho znakomy, mnogie iz nih on nablyudal v polete, izuchal ih konstrukciyu, uchastvoval v nekotoryh ispytaniyah i t. p. Manevrennye samolety stroili konstruktory, kotorye schitali vysokuyu manevrennost' ochen' vazhnym dostoinstvom samoleta-istrebitelya. Sredi nih osobenno nuzhno otmetit' Nikolaya Nikolaevicha Polikarpova, kotoryj proyavlyal isklyuchitel'nuyu zabotu ob obespechenii manevrennosti samoletov svoej konstrukcii. Iz chisla privedennyh v tablicah samoletov, shest' -- ego konstrukcii, i vse oni obladali naibolee vysokimi pokazatelyami po manevrennosti. Kolichestvennye harakteristiki, privedennye v tablice 1-- 3, pokazyvayut, chto imenno bylo dostignuto v otnoshenii manevrennosti samoletov. Krome razmerov, ploshchadej i vesov, samolet harakterizuetsya aerodinamicheskoj i silovoj shemami, materialami i tehnologiej izgotovleniya detalej, nalichiem special'nyh ustrojstv, agregatov, oborudovaniya, vooruzheniya, pilotazhnoj i kontrol'noj apparatury i dr. Vazhnym faktorom dlya harakteristiki samoleta yavlyaetsya shema obzora dlya letchika. Pri razrabotke novoj konstrukcii ee avtor rukovodstvuetsya nekotorym zamyslom, kotoryj v rannie gody razvitiya aviacii zavisel v znachitel'noj mere ot intuicii. Vposledstvii zamysel novoj konstrukcii stal vse bolee opredelyat'sya rezul'tatami special'nyh issledovanij. V dannoj rabote my ne budem analizirovat' razvitie samoletostroeniya v celom i ogranichimsya lish' rassmotreniem razvitiya manevrennyh istrebitelej. Nachnem s obshchih poyasnenij k materialam, privedennym v tablicah 1-- 3. V grafe 1 po vertikali dana moshchnost' dvigatelya N na maloj vysote; v sluchae, esli dvigatel' vysotnyj, v toj zhe grafe dana ekvivalentnaya moshchnost', t. e. moshchnost', kotoruyu dvigatel' imel by u zemli, esli by ego moshchnost' na bol'shih vysotah ekstrapolirovat' na malye vysoty po obychnomu zakonu zavisimosti moshchnosti ot vysoty. Tablica 1 Samolety-istrebiteli 1914-- 1919 gg. s dvigatelyami vozdushnogo ohlazhdeniya
Samolet God, strana N, l.s. l, m S, m2 G0, kG G, kG le /le (N le)2/3 KG0 KG Sh0 F0, m2 Ka Cyn Ky Y ny Vmax, km/chas Symax Vman, m/sek r, m t, sek Primechaniya
1 2 3 4 5 6 7 8 9 10 11 12 13 14 15 16 17 18 19 20 21 22
1 "Moran-ZH", monoplan 1913 g., Franciya 80 9,2 15,2 350 500 9/5,3 80 4,4 6,25 0,085 1,0 6,8 1,15 12,8 1000 2,0 130 1,2 30 50 11 Byl na vooruzhenii russkoj aviacii v 1914 -- 1915 gg., stroilsya v Rossii
2 "Fokker E-II", monoplan 1916 g., Germaniya 100 10,2 17 400 610 10/5,8 100 4,0 6,1 0,085 1,10 7,0 1,20 13,0 1300 2,15 140 1,1 33 60 11 Byl na vooruzhenii v Germanii v 1916 g.
3 "N'yupor-11", polutoroplan 1915 g., Franciya 80 7,3 13,3 320 480 7,7/5,7 72 4,4 6,67 0,080 0,78 6,4 1,00 12,6 910 1,9 150 1,1 31 62 12 Byl na vooruzhenii v Rossii v 1915-- 1916 gg.
4 "N'yupor-17", polutoroplan 1916 g., Franciya 110 8,15 15 370 550 8,6/5,7 98 3,8 5,6 0,065 0,76 7,7 1,00 13,4 1320 2,4 168 1,1 36 60 11 Byl na vooruzhenii v Rossii i stroilsya v 1916-- 1920 gg.
5 Sopvnch "Kemel", biplan 1917 g., Angliya 130 8,55 23 420 650 9,5/4,1 114 3,7 5,7 0,040 0,72 8,8 0,70 14,0 1600 2,45 180 1,0 33 52 10 --
6 Sopvich, triplan 1917 g., Angliya 130 8,2 25 400 640 9,5/4,0 114 3,5 5,6 0,035 0,70 8,8 0,60 14,0 1600 2,5 180 1,0 32 48 9,5 Neskol'ko obrazcov byli ispol'zovany v Rossii dlya trenirovok v 1918 -- 1919 gg.
7 "Fokker DR-1", triplan 1917 g., Germaniya 110 7,2 20 375 570 8,0/3,2 86 4,3 6,62 0,045 0,60 7,5 0,68 13,3 1140 2,0 175 1,3 26 42 10 --
8 Sopvpch "Snajp", biplan 1918 g., Angliya 230 9,45 25 600 915 10,3/4,2 178 3,35 5,15 0,038 0,96 9,3 0,70 14,3 2500 2,7 200 1,0 40 66 10,5 Trofejnye obrazcy ispol'zovalis' v sovetskoj aviacii v 1919-- 1923 gg.
Tablica 2 Samolety-istrebiteli 1914-- 1920 gg. s dvigatelyami zhidkostnogo ohlazhdeniya
Samolet God, strana N, l.s. l, m S, m2 G0, kG G, kG le /le (N le)2/3 KG0 KG Sh0 F0,m2 Ka Cyn Ky Y ny Vmax, km/chas Symax Vman, m/sek r, m t, sek Primechaniya
1 2 3 4 5 6 7 8 9 10 11 12 13 14 15 16 17 18 19 20 21 22
9 "Spad-VII", biplan 1916 g., Franciya 130 7,8 18 545 770 8,5/4,0 117 4,6 6,6 0,06 0,80 7,5 0,9 13,3 1560 2,0 180 1,0 37 82 14,0 Stroilsya v Rossii v 1917-- 1920 gg.
10 "Al'batros D-V", polutoroplan 1917 g., Germaniya 160 9,0 21 680 910 9,8/4,5 135 5,0 6,75 0,06 0,95 7,9 0,9 13,5 1820 2,0 175 1,1 36 75 13,5 Osnovnoj istrebitel' Germanii v 1917-- 1918 gg.
11 SE-5, biplan 1918 g., Angliya 200 8,15 24 655 885 9,0/3,35 148 3,7 6,0 0,045 0,85 7,7 0,7 13,4 2000 2,3 200 1,0 36 67 11,5 Osnovnoj istrebitel' Anglii v 1918-1919 gg.
12 "Fokker D-VII", biplan 1918 g., Germaniya 220 9,0 22 700 900 10,0/4,5 170 4,1 5,3 0,05 0,85 8,5 0,85 13,8 2350 2,6 200 1,4 35 58 10,0 Byl na vooruzhenii Sovetskoj aviacii v 1922 -- 1926 gg.
13 "Martinsajd F-4", biplan 1919 g., Angliya 300 9,8 28 820 1090 10,7/4,1 218 3,8 5,0 0,05 1,05 8,1 0,8 13,6 2970 2,75 210 1,0 41 68 10,5 Byl na vooruzhenii sovetskoj aviacii v 1922 -- 1927 gg.
V grafe 2 po vertikali dan gabaritnyj razmah kryla l; v sluchae biplana -- razmah bol'shego kryla, obychno verhnego; v grafe 3 dana ploshchad' kryla, ili kryl'ev, S; esli krylo pritykaetsya k fyuzelyazhu, to prinimaetsya, chto krylo kak by prodolzhaetsya vnutri fyuzelyazha. V grafe 4 priveden ves pustogo samoleta G0, t. e, bez letchika, bez topliva i s®emnogo oborudovaniya i vooruzheniya; v grafe 5 dan vzletnyj ves G, kak on privodilsya v materialah, otkuda byli zaimstvovany eti dannye. V grafe 6 privedeny ekvivalentnyj razmah kryla le i effektivnoe udlinenie kryla le; velichina le u monoplanov prinimalas' ravnoj gabaritnomu razmahu ili zhe iz nego vychitalas' dlina vydayushchihsya konchikov kryla; dlya biplanov velichina le opredelyalas' po formule Pishnoff-135.gif gde l -- razmah bol'shego kryla; l1 -- razmah men'shego kryla; h -- rasstoyanie mezhdu kryl'yami; effektivnoe udlinenie kryla opredelyalos' po formule le= le2/S. V grafe 7 privedena harakteristika, vhodyashchaya v formulu dlya pod®emnoj sily, v grafe 8 -- harakteristika vesa pustogo samoleta i v grafe 9 -- to zhe dlya vzletnogo vesa; v grafe 10 priveden koefficient lobovogo soprotivleniya Sh0 pri Su=0, poluchennyj, kak eto bylo opisano, po raschetu dlya izvestnoj maksimal'noj skorosti. V grafe 11 dana ekvivalentnaya vrednaya ploshchad' F0 dlya samoleta: F0= Sh0S/1,28, v grafe 12 -- maksimal'noe aerodinamicheskoe kachestvo Ka, v grafe 13 -- koefficient pod®emnoj sily Sun, sootvetstvuyushchij maksimal'nomu kachestvu, i v grafe 14 -- velichina Ku, ravnaya 6,8(Ka)1/2 -- 7,2(Ka)1/2. V grafe 15 dana maksimal'naya pod®emnaya sila Y pri polete na maloj vysote, a v sluchae vysotnogo dvigatelya dano eshche znachenie Ya sootvetstvuyushchee ekvivalentnoj moshchnosti vysotnogo dvigatelya (sm. tabl. 3). Tablica 3 Samolety-istrebiteli 1923 -- 1938 gg.
Samolet God, strana N, l.s. l, m S, m2 G0, kG G, kG le /le (Nle)2/3 KG0 KG Sh0 F0, m2 Ka Cyn Ky Y ny Vmax, km/chas Symax Vman, m/sek r, m t, sek Primechaniya
1 2 3 4 5 6 7 8 9 10 11 12 13 14 15 16 17 18 19 20 21 22
S dvigatelyami vozdushnogo ohlazhdeniya
14 Gloster "Gemkok", biplan 1925 g., Angliya 420 9,1 27,0 880 1250 10/3,7 260 3,3 4,8 0,042 0,9 8,3 0,70 14 3000/- 2,85/- 250 1,0 46 80 10,5 --
15 "I-4", polutoroplan 1927 g., SSSR 420 11,4 24,0 920 1360 11,4/5,4 285 3,25 4,75 0,045 0,8 9,6 0,85 14,5 4150/- 3,0/- 260 1,2 48 82 10,5 Pervyj sovetskij metallicheskij istrebitel'
16 "I-5", biplan 1930 g., SSSR 480 9,6 21,0 900 1300 10,4/5,1 290 3,1 4,48 0,042 0,7 9,7 0,80 14 4000/- 3.3/- 280 1,35 50 80 10 Sostoyal na vooruzhenii VVS SSSR
17 "I-15", biplan 1934 g., SSSR 720/1000 9,7 22,0 1170 1570 10,3/4,8 380 3,0 4,12 0,041 0,7 9,7 0,78 14,5 5600/6900 3,5/4,4 320 1,35 55 92 10 To zhe
18 "I-16", monoplan 1934 g., SSSR 750/1070 9,0 14,5 1300 1680 9,0/5,6 360 3,6 4,7 0,035 0,4 11,0 0,70 15 5300/6800 3,15/4,0 400 1,3 67 155 15 "
19 "I-16", monoplan 1938 g., SSSR 920/1500 9,0 14,5 1450 1830 9,0/5,6 410 3,5 4,45 0,035 0,4 11,0 0,70 15 6500/8800 3,5/4,7 420 1,3 74 170 14,5 "
20 "I-153", biplan 1938 g., SSSR 920/1500 10,0 22,0 1440 1850 10,5/5,0 450 3,15 4,1 0,030 0,52 11,0 0,70 15 7300/10000 4,0/5,3 385 1,35 62 105 10 "
S dvigatelyami zhidkostnogo ohlazhdeniya
21 "Fokker D-11", polutoroplan 1924 g., Gollandiya 300 11,4 21,5 920 1320 11,4/6,0 230 4,1 5,7 0,056 0,95 9,2 1,00 14 3200/- 2,5/- 220 1,4 41 75 11,5 Sostoyal na vooruzhenii VVS SSSR v 1925-1930 gg.
22 "I-3", biplan 1928 g., SSSR 500/600 11,0 27,0 1420 1660 11,8/5,1 320 4,3 5,2 0,042 0,9 9,6 0,80 14,5 4700/- 2,8/3,2 280 0,35 46 83 11,5 To zhe
23 Hauker "F'yuri", biplan 1934 g., Angliya 600/880 9,2 24,5 1230 1640 10,0/4,1 330 3,7 5,0 0,040 0,75 9,0 0,70 14 4700/6000 2,8/3,6 300 1,2 50 95 12 --
24 "YAk-1M", monoplan 1941 g., SSSR 1200/2000 9,2 14,8 2100 2650 9,2/5,7 490 4,2 5,4 0,022 0,25 13,0 0,60 17 8300/11500 3,1/4,3 570 1,0 95 320 21 Sostoyal na vooruzhenii VVS SSSR
V grafe 16 privedeny znacheniya koefficienta peregruzki pri vypolnenii manevra na moshchnosti dvigatelya, ravnoj ego moshchnosti u zemli, i na ekvivalentnoj moshchnosti. V grafe 17 dana maksimal'naya skorost' na maloj vysote, a v grafe 18 -- znachenie koefficienta pod®emnoj sily pri manevre; ono prinimalos' ravnym Suman = 2Sun no ne bolee 0,85 Sumah. V grafe 19 dana skorost' pri manevre Vman, opredelyaemaya po formule Pishnoff-136.gif v grafe 20 -- radius virazha r, opredelyaemyj po formule Pishnoff-137.gif v grafe 21 - vremya soversheniya kruga pri virazhe Pishnoff-138.gif Pervym istrebitelem i pervym manevrennym istrebitelem sleduet schitat' francuzskij samolet "Moran-ZH". Na etom samolete znamenityj russkij letchik P. N. Nesterov vypolnil pervyj taran v vozdushnom boyu; na nem vpervye ustanavlivalis' pulemety dlya strel'by cherez ploskost' vrashcheniya vinta. Odnako samolet "Moran-ZH" kak istrebitel' ne poluchil rasprostraneniya. Prichinoj etogo byla ego otnositel'no nebol'shaya skorost' -- 130 km/chas; peregruzka pri manevre na etom samolete na maloj vysote byla ravna priblizitel'no 2, a na vysote 2000 m lish' okolo 1,5; nakonec, usloviya obzora dlya letchika byli plohimi. Podrobnye harakteristiki etogo samoleta byli dany v stat'e "Na chem letal P. N. Nesterov". Kak istrebitel' bolee uspeshnym byl samolet "Fokker E-II", postroennyj v Germanii i yavlyavshijsya v sushchnosti modifikaciej samoleta "Moran-ZH" (ris. 2, a). V samolet byli vneseny nekotorye uluchsheniya: byla povyshena moshchnost' dvigatelya do 100 l. s., a zatem i do 160 l. s.; krylo bylo neskol'ko opushcheno i blagodarya etomu uluchshen obzor dlya letchika; koefficient peregruzki povysilsya, i samolet otlichalsya horoshej manevrennost'yu. Odnako i samolet "Fokker E-II" ne dolgo sostoyal na vooruzhenii. Sleduet upomyanut', chto samolet "Moran" imel modifikaciyu s bolee moshchnym dvigatelem i uluchshennoj aerodinamikoj, no i eta modifikaciya primenyalas' malo. Eshche do vojny 1914 g. provodilis' sostyazaniya v poletah na skorost' na gidrosamoletah. V 1914 g. na etih sostyazaniyah pobedu oderzhal malen'kij samolet-biplan anglijskoj firmy Sopvich; pri tom zhe dvigatele, kotoryj byl ustanovlen na samolete "Moran-ZH", -- moshchnost'yu 80 l. s., -- on razvil skorost' na 20 km/chas bol'she, nesmotrya na svoi gromozdkie poplavki. U samoleta "Moran-ZH" istochnikom bol'shogo soprotivleniya yavlyalis' trosovye rastyazhki, idushchie k kryl'yam; obshchaya protyazhennost' rastyazhek byla ravna okolo 44 m i ploshchad' soprotivleniya sostavlyala okolo 0,3 m2. Pishnoff-139.gifPishnoff-140.gif Pishnoff-141.gif Pishnoff-142.gif Ris. 2 Vid sboku tipichnyh istrebitelej vremen pervoj mirovoj vojny: a -- "Fokker E II", b -- "N'yupor-17", v -- Sopvich "Kemel"; g -- Sopvich, triplan U malen'kogo biplana firmy Sopvich obshchaya dlina rastyazhek okazalas' vdvoe men'she, sami rastyazhki byli ton'she, i ekonomiya v soprotivlenii sostavila okolo 20-25%. Nachinaya s etogo vremeni, t. e. s 1914 g., malen'kij biplan stal klassicheskoj shemoj manevrennogo istrebitelya, kotoraya prosushchestvovala okolo 20 let i dazhe v nastoyashchee vremya chastichno sohranilas' dlya akrobaticheskih samoletov. Blagodarya umen'sheniyu soprotivleniya u biplanov ih maksimal'naya skorost' okazalas' vyshe primerno na 10%, a posle uluchsheniya nosovoj chasti fyuzelyazha i perehoda na lentochnye rastyazhki -- na 20%, pri toj zhe moshchnosti dvigatelya. Tol'ko s razvitiem monoplana s krylom bez rastyazhek i s ubirayushchimsya shassi preimushchestvo malymi biplanami bylo utracheno. Perehod na biplany pozvolil neskol'ko umen'shit' razmah kryl'ev -- s 9-10 m do 7,5-8,5 m. Kazhdoe krylo stalo znachitel'no uzhe, i eto uluchshilo obzor; s umen'sheniem razmaha povysilas' uglovaya skorost' nakreneniya -- blagodarya umen'sheniyu aerodinamicheskogo dempfiruyushchego momenta kryl'ev. Malen'kie biplany okazalis' ochen' podvizhnymi, ih preimushchestva kak istrebitelej byli sovershenno yavnymi. V 1915 g. vo Francii vypuskayutsya odnomestnye istrebiteli-polutoroplany "N'yupor-10" i "N'yupor-11"; oni postupili i v russkuyu armiyu i stroilis' zatem v Rossii -- v osnovnom na zavode "Duks" v Moskve. Za ego miniatyurnye razmery i legkost' samolet "N'yupor-11" nazyvali "Bebe". V dal'nejshem v Rossii i posle Oktyabr'skoj revolyucii eshche ostavalis' samolety "N'yupor-17", -21, -23, -24 i -24 bis; oni otlichalis' drug ot druga sravnitel'no nemnogo. Samolet "N'yupor-17" imel dvigatel' moshchnost'yu 110 l. s. i razmery ego byli nemnogim bol'she, chem u samoleta "N'yupor-11"; "N'yupor-23" imel dvigatel' moshchnost'yu 120 l. s.; samolet "24 bis" otlichalsya ot samoleta "23" tem, chto u nego bylo neskol'ko skrugleno sechenie fyuzelyazha. Obrashchayas' k sheme samoletov "N'yupor" (sm. ris. 2, b), prezhde vsego sleduet otmetit' prekrasnyj obzor dlya letchika: verhnee krylo -- bolee shirokoe, nahoditsya pochti na urovne glaz; nizhnee krylo imeet shirinu lish' 0,7 m i raspolozheno pryamo snizu, malo zakryvaya zemlyu. Tipichna stojka v forme bukvy "V". V russkoj aviacii vremen pervoj mirovoj vojny samolet "N'yupor" byl osnovnym istrebitelem; takovym on ostavalsya i v period grazhdanskoj vojny. Na etom samolete letchiki prekrasno vypolnyali vysshij pilotazh i uspeshno veli vozdushnye boi; konstrukciya ego byla prosta -- v osnovnom derevo, polotno i trosovye rastyazhki; metallicheskimi byli tol'ko shassi i karkas opereniya iz tonkih trub. Odnako u samoleta "N'yupor" byli i ser'eznye nedostatki. |to, prezhde vsego, malyj zapas prochnosti i nizkaya zhestkost', kotoraya byla obuslovlena shemoj s uzkim odnolonzheronnym nizhnim krylom. Takaya shema slabo protivostoyala krutyashchim momentam. Na samoletah "N'yupor", osobenno kogda oni poiznosilis', bylo mnogo sluchaev polomki v vozduhe. Drugim bol'shim nedostatkom samoleta byl ego rezkij sryv v shtopor. Iz tabl. 1 vidno, chto pri polete samoleta "N'yupor" na maksimal'nom kachestve Sun=l,0, a Sumah byl u nego ne vyshe 1,3. Pri polete s maksimal'noj pod®emnoj siloj na manevre samolet byl ochen' blizok k sryvu i pri poyavlenii sryva srazu nachinal bystro vrashchat'sya v shtopore. Esli pri etom byl zapas vysoty, to iz shtopora mozhno bylo bystro vyjti. Odnako byli chasty svalivaniya v shtopor na vzlete, esli letchik nachinal kruto nabirat' vysotu s nedostatochnoj skorost'yu ili esli vdrug padala tyaga vinta. Mnogo letchikov pogiblo ili bylo tyazhelo raneno pri svalivaniyah samoleta v shtopor na maloj vysote. "Vertlyavost'" samoleta, osobenno na bol'shih uglah ataki, ispol'zovalas' opytnymi letchikami dlya effektnogo pilotazha i v vozdushnom boyu. K 1918 g. firma "N'yupor" otkazalas' ot polutoroplanov i pereshla na "chistye" biplany s ravnymi po ploshchadi kryl'yami. Biplany s ravnymi po ploshchadi kryl'yami shiroko primenyalis' na anglijskih istrebitelyah perioda pervoj mirovoj vojny. V 1917 g. anglijskoj firmoj Sopvich byl vypushchen odin iz luchshih istrebitelej togo vremeni "Kemel" ("Verblyud") s rotativnym dvigatelem moshchnost'yu 130 l. s. (ris. 2, v). Harakteristiki etogo samoleta privedeny v tabl. 1; kak vidno, u samoleta "Kemel" pri manevre na maloj vysote peregruzka nu dohodila pochti do 2,5 i vremya virazha sostavlyalo okolo 10 sek. Vysota potolka u samoleta "Kemel" dostigala 7 km. Sleduet ukazat', chto vysota potolka yavlyaetsya kosvennym svidetel'stvom vysokoj manevrennosti. Pri polete na potolke maksimal'naya pod®emnaya sila ravna vesu i nu=1; po mere umen'sheniya vysoty znachenie nu budet rasti sootvetstvenno rostu velichiny Y/Yn. Na ris. 3 pokazano otnositel'noe izmenenie velichiny Y/Y0 s vysotoj: eta zavisimost' podschitana po formule Image102.gif Izmenenie moshchnosti dvigatelej s vysotoj zavisit ot izmeneniya chisla oborotov, ot izmeneniya atmosfernogo davleniya i temperatury i ot velichiny mehanicheskih poter' v dvigatele. Pri vinte fiksirovannogo shaga s podnyatiem na vysotu chislo oborotov dvigatelya ponizhaetsya i eto privodit k dopolnitel'nomu umen'sheniyu moshchnosti. U rotativnyh dvigatelej mehanicheskie poteri vyshe i poetomu s podnyatiem na vysotu moshchnost' ubyvaet bolee znachitel'no. Na ris. 3 dany tri krivye, dlya kotoryh byli podobrany sleduyushchie formuly: 1) dlya rotativnogo dvigatelya s vintom fiksirovannogo shaga Pishnoff-144.gif 2) dlya obychnogo porshnevogo dvigatelya s vintom fiksirovannogo shaga Pishnoff-145.gif 3) dlya obychnogo porshnevogo dvigatelya s vintom izmenyaemogo shaga, sohranyayushchego postoyannuyu skorost' vrashcheniya nezavisimo ot vysoty i skorosti poleta, Pishnoff-147.gif Pishnoff-146.gif Ris. 3. Grafik izmeneniya pod®emnoj sily s vysotoj: 1 -- samolet s rotativnym dvigatelem i vintom fiksirovannogo shaga; 2 -- samolet s obychnym porshnevym dvigatelem i vintom fiksirovannogo shaga; 3 -- samolet s obychnym porshnevym dvigatelem i vintom izmenyaemogo shaga s postoyannoj skorost'yu vrashcheniya Vazhnym dostoinstvom biplanov s ravnymi po ploshchadi kryl'yami bylo otnositel'no maloe znachenie Sun i pri polete na maksimal'nom kachestve u nih ostavalsya eshche bol'shoj zapas ugla ataki do sryva obtekaniya. V 1917 g. firma Sopvich vypustila istrebitel'-triplan, t. e. dovol'no neobychnoj shemy, kotoraya, hotya i primenyalas' ranee, no uspeha ne davala (sm. ris. 2, g). Kak vidno iz tabl. 1, samolet Sopvich, triplan, imel pochti takie zhe harakteristiki po razmahu i ploshchadi, chto i biplan "Kemel"; letnye harakteristiki ego tozhe pochti takie zhe. Nekotoroe chislo triplanov Sopvich popalo v Rossiyu i zatem v VVS Sovetskoj Armii, gde oni ispol'zovalis' v osnovnom dlya trenirovok v shkolah. Primer s triplanom Sopvich naglyadno pokazyval, chto delo ne v sheme samoleta, a v tom, chtoby imet' dostatochno bol'shoj effektivnyj razmah kryl'ev i ne ochen' bol'shuyu velichinu Sun. Grubuyu oshibku delali nekotorye konstruktory, kotorye pytalis' primenit' triplannuyu shemu, umen'shaya razmah kryl'ev. Nedostatkom triplana Sopvich byl, vidimo, hudshij obzor dlya letchika i nedostatochnaya zhestkost' vysokoj shemy iz treh kryl'ev. |tot samolet byl odnim iz nemnogih udachnyh triplanov. Samoletov "Kemel" v Rossii ne bylo, esli ne schitat' edinichnyh ekzemplyarov i trofeev grazhdanskoj vojny. V 1917 g. v Rossiyu bylo prislano iz Anglii nekotoroe kolichestvo samoletov "Vikkers F.V-19". Oni v obshchem napominali samolety "Kemel", no imeli men'shij razmah kryl'ev -- vsego lish' 7,35 m -- i otnositel'no shirokie kryl'ya bez vynosa verhnego kryla vpered, stol' tipichnogo dlya fyuzelyazhnyh biplanov. Na malyh vysotah i bez vooruzheniya samolet firmy Vikkers byl ochen' manevrennym. Kak boevoj samolet on okazalsya neudachnym vsledstvie togo, chto u nego byl plohoj obzor dlya letchika, kotoryj nahodilsya pod krylom v ochen' shirokom fyuzelyazhe. Takim obrazom, dlya povysheniya manevrennosti samoletov izyskaniya v oblasti ih aerodinamicheskih shem ne dali bol'shogo effekta. Bolee sushchestvennymi faktorami byli konstruktivnaya celesoobraznost' i obespechenie obzora dlya letchika. Luchshej shemoj okazalas' biplannaya, s vynosom verhnego kryla vpered; vposledstvii bylo vyyasneno, chto nizhnee krylo celesoobrazno nemnogo umen'shat'. Odnako reshayushchim faktorom bylo povyshenie moshchnosti dvigatelej vozdushnogo ohlazhdeniya. Esli v nachale pervoj mirovoj vojny primenyalis' moshchnosti poryadka 80 l. s., a v seredine ee -- moshchnosti poryadka 120-130 l.s., to k koncu vojny poyavilis' manevrennye istrebiteli s rotativnymi dvigatelyami moshchnost'yu 220-230 l. s. Sootvetstvenno, esli v nachale vojny manevrennye peregruzki byli okolo 2, v seredine ee -- 2,4-2,5, to k koncu vojny oni dostigali znachenij 2,7-2,8. Sredi poslednih tipov samoletov-biplanov v Sovetskom Soyuze bylo neskol'ko trofejnyh ekzemplyarov anglijskogo istrebitelya Sopvich "Snajp". U etogo samoleta (krome togo, chto na nem byl ustanovlen bolee moshchnyj dvigatel') byl uvelichen razmah kryl'ev, a biplannaya korobka byla snabzhena dvumya parami stoek, chto uvelichivalo soprotivlenie, no v to zhe vremya pozvolyalo neskol'ko umen'shit' ves konstrukcii. Malyj ves konstrukcii etogo samoleta harakterizuetsya ochen' nizkim znacheniem KG0 (K G0=3,35) -- naibolee nizkim sredi vseh samoletov vremen pervoj mirovoj vojny. V Germanii posle uzhe opisannogo monoplana firmy Fokker poyavilis' manevrennye istrebiteli-biplany, a v 1917 g. byl postroen i poluchil shirokoe primenenie samolet-triplan etoj firmy. |to byl sravnitel'no nebol'shoj samolet, chto konechno privelo k umen'sheniyu ego pod®emnoj sily, kotoraya byla ravna okolo 1150 kG vmesto 1600 kG u triplana firmy Sopvich, odnako i ves triplana firmy Fokker byl men'she. Po raschetu (sm. tabl. 1) peregruzka pri manevre u triplana "Fokker DR-1" byla sravnitel'no nevelika (nu = 2). Malyj razmah kryl'ev privodil k uvelicheniyu skorosti nakreneniya. Odnako osnovnoe dostoinstvo triplana "Fokker DR-1" zaklyuchalos' v sleduyushchem. |to byl, vidimo, pervyj samolet so svobodnonesushchimi kryl'yami, hotya i triplannoj shemy. Kryl'ya byli soedineny stojkoj, no rastyazhki otsutstvovali i profil' kryla byl dostatochno tolstym. U samoletov firmy Sopvich kryl'ya imeli tonkij profil' s maloj kriviznoj i poetomu znachenie Su pri manevre edva li moglo prevyshat' edinicu. U triplana "Fokker DR-1" znachenie Su pri manevre bylo ne menee 1,3-1,4, i v rezul'tate radius virazha u nego byl men'she, chem u kakogo-libo drugogo istrebitelya togo vremeni. Dlya sravneniya rassmotrim harakteristiki istrebitelej s dvigatelyami zhidkostnogo ohlazhdeniya, kotorye, kak pravilo, byli bolee bystrohodnymi, no menee manevrennymi, chem istrebiteli s dvigatelyami vozdushnogo ohlazhdeniya. Naibolee tipichnymi iz nih byli francuzskie istrebiteli "Spad" modeli VII i XIII. |tot samolet predstavlyal soboj nebol'shoj biplan, nizhnee krylo kotorogo bylo nemnogo men'she verhnego. Naibolee primechatel'nym svojstvom etogo samoleta yavlyalas' kompaktnost' raspolozheniya gruzov -- dvigatelya, topliva, oruzhiya i letchika. Stremlenie k kompaktnosti raspolozheniya gruzov s cel'yu umen'sheniya momenta inercii proyavlyalos' u konstruktorov mnogih samoletov togo vremeni. Tol'ko znachitel'no pozdnee, posle razvitiya teorii dinamiki vrashchatel'nyh dvizhenij, vyyasnilos', chto umen'shenie momentov inercii ne imeet bol'shogo znacheniya. Nesmotrya na to, chto samolet imel nebol'shoj razmah kryl'ev, kryl'ya u nego byli soedineny s kazhdoj storony dvumya parami stoek. |to bylo sdelano dlya obespecheniya bol'shej zhestkosti tonkih kryl'ev v usloviyah dlitel'nogo pikirovaniya. Samolet "Spad-VII" s dvigatelem Ispano-Suiza moshchnost'yu 150 l. s. stroilsya v Rossii v 1917-- 1918 gg., odnako postroeno ih bylo nemnogo -- v osnovnom iz-za nedostatka dvigatelej. Ego manevrennye harakteristiki byli znachitel'no huzhe, chem u samoletov "N'yupor", no skorost' byla vyshe, chem u nih, osobenno pri krutom snizhenii. Samolet "Spad-XIII", na kotorom byl ustanovlen tot zhe dvigatel', no povyshennoj moshchnosti, byl naibolee bystrohodnym istrebitelem v period 1917-- 1918 gg. Na etom samolete byl vpervye primenen "dvigatel'-pushka", t. e. pushka u nego byla prikreplena k dvigatelyu i strelyala cherez polyj val reduktora, na kotorom byl ustanovlen vint. |ta shema vooruzheniya shiroko ispol'zovalas' vo vremya vtoroj mirovoj vojny. Avtor mnogo raz nablyudal polety samoleta "Spad-VII", no nikogda ne videl, chtoby na etom samolete vypolnyalsya slozhnyj pilotazh. V Germanii i v Anglii v period 1917-- 1918 gg. stroilsya celyj ryad istrebitelej s dvigatelyami vodyanogo ohlazhdeniya; sredi nih naibolee izvesten nemeckij samolet "Al'batros D-V" s dvigatelem moshchnost'yu 160 l. s. i anglijskij samolet "SE-5" s dvigatelem moshchnost'yu 200 l. s. V 1918 g. v Germanii postupil na vooruzhenie ochen' interesnyj samolet-istrebitel', biplan "Fokker D-VII". Ego osobennost'yu byli svobodnonesushchie kryl'ya tolstogo profilya s bol'shoj kriviznoj srednej linii. Kryl'ya soedinyalis' stojkami, chto pridavalo konstrukcii bol'shuyu zhestkost' na kruchenie, tak kak estestvennaya zhestkost' kryl'ev na kruchenie pri polotnyanoj obtyazhke byla nedostatochna. Na samolete byl ustanovlen dvigatel' BMV vodyanogo ohlazhdeniya moshchnost'yu 185-220 l. s. Samoj glavnoj osobennost'yu samoleta bylo primenenie profilya kryla s ochen' vysokoj nesushchej sposobnost'yu. Na ris. 4 dano sravnenie zavisimostej Su po a dlya anglijskogo profilya "RAF-15" i profilya kryla samoleta "Fokker D-VII". Kak vidno, u poslednego sryv ne tol'ko proishodit na bol'shih uglah ataki, no i protekaet bolee plavno. Osobennosti profilya kryla samoleta "Fokker D-VII" ochen' ubeditel'no proyavlyalis' v praktike poletov. Neozhidannye yavleniya poteri upravlyaemosti i svalivaniya na krylo, harakternye dlya anglijskih i francuzskih istrebitelej togo vremeni, ne imeli mesta u samoleta "Fokker D-VII". |to ne tol'ko snizilo avarijnost', no i pozvolyalo pri manevrirovanii spokojno dovodit' samolet do bol'shih znachenij Su, umen'shaya tem samym radius virazha. Posle okonchaniya pervoj mirovoj vojny firma "Fokker" stala stroit' svoi samolety v Gollandii. V 1922 g. Sovetskij Soyuz zakupil u nee partiyu samoletov "Fokker D-VII", kotorymi byli vooruzheny neskol'ko aviacionnyh otryadov. V ekspluatacii samolety pokazali sebya s horoshej storony. Pishnoff-148.gif Pishnoff-149.gif Ris. 4. Sravnitel'nye grafiki koefficientov pod®emnoj sily tonkogo profilya RAF-15 i tolstogo profilya kryla samoleta "Fokker D-VII" V konce pervoj mirovoj vojny v Germanii firmoj YUnkere byl postroen istrebitel'-monoplan so svobodnonesushchim krylom metallicheskoj konstrukcii. Krylo bylo raspolozheno v nizhnej chasti fyuzelyazha i poetomu obzor dlya letchika byl nesravnenno luchshe, chem u samoleta "Moran". |tot samolet po svoej sheme posluzhil proobrazom bolee pozdnih tipov istrebitelej i vo mnogom opredelil dal'nejshee napravlenie ih razvitiya, kotoroe stalo dominiruyushchim v 1934-- 1935 gg. Zakanchivaya rassmotrenie razvitiya manevrennyh istrebitelej v period pervoj mirovoj vojny, otmetim, chto v Rossii -- na Russko-baltijskom zavode i nekotorymi konstruktorami v drugih mestah -- razrabatyvalis' istrebiteli razlichnyh tipov, odnako oni ne postupali na vooruzhenie. Sleduet ostanovit'sya na istrebitele S-20, skonstruirovannom pod rukovodstvom izvestnogo konstruktora I. I. Sikorskogo. On predstavlyal soboj nechto srednee mezhdu samoletami "N'yupor" i "Kemel", a imenno, nizhnee krylo u nego bylo bolee uzkim, no imelo dva lonzherona, chto obespechivalo dostatochnuyu zhestkost' konstrukcii. |tot samolet, veroyatno, ne ustupal po harakteristikam luchshim istrebitelyam togo vremeni. Konstruktorom i vladel'cem nebol'shogo zavodika v Moskve ital'yancem F. |. Moska byl razrabotan istrebitel' "Moska bis" s dvigatelem "Ron" moshchnost'yu 80 l. s. |to byl monoplan, ego krylo bylo neskol'ko pripodnyato nad fyuzelyazhem i razrezano tak, chto letchik mog smotret' poverh kryla i pod krylo. Samolet "Moska bis" byl postroen nebol'shoj seriej, no na front ne postupil, poskol'ku on ne mog konkurirovat' s istrebitelyami protivnika. V 1920-- 1921 gg. samolety "Moska bis" ispol'zovalis' v Moskovskoj aviacionnoj shkole. Krylo nebol'shogo razmaha, da eshche s vyrezami v centre, ochen' uhudshalo ego aerodinamicheskoe kachestvo, i samoletom bylo slozhno upravlyat' pri posadke. Kak vidno iz izlozhennogo, period 1915-- 1920 gg. harakteren primeneniem samoletov raznoobraznyh aerodinamicheskih shem. Krome opisannyh vyshe, byli i eshche bolee neobychnye shemy, kotorye, odnako, okazalis' necelesoobraznymi. Tak, vstrechalis' shemy chetyrehplannye, triplany s razlichnym raspolozheniem kryl'ev, biplany, u kotoryh verhnee krylo imelo bol'shoj vyrez dlya uluchsheniya obzora ili dazhe bylo sovsem razrezano na dve chasti. Podobnye vyrezy, i tem bolee razrezy, privodili k znachitel'nomu uhudsheniyu aerodinamicheskogo kachestva i tem samym k snizheniyu maksimal'noj pod®emnoj sily. RAZVITIE MANEVRENNYH ISTREBITELEJ V PERIOD 1920-- 1932 gg. Posle okonchaniya pervoj mirovoj vojny v razvitii manevrennyh istrebitelej nastupila nekotoraya pauza. |to ob®yasnyaetsya tem, chto rotativnye dvigateli ne imeli perspektiv razvitiya po moshchnosti, ih nadezhnost' byla nizka, a rashody topliva i osobenno masla byli veliki. Posle togo, kak byli vypushcheny anglijskie rotativnye dvigateli "V. R" moshchnost'yu 220 l. s., konstruirovanie rotativnyh dvigatelej bylo prekrashcheno. Dvigateli vodyanogo ohlazhdeniya prodolzhali razvivat'sya po moshchnosti bez sushchestvennogo uvelicheniya gabaritnyh razmerov. Tak, poyavilis' dvigateli Ispano-Suiza moshchnost'yu 300 l. s., amerikanskij dvigatel' "Liberti" moshchnost'yu 400 l. s. i ryad drugih. V 1919 g. v Anglii byl vypushchen istrebitel' "Martinsajd F-4" s dvigatelem Ispano-Suiza moshchnost'yu 300 l. s.; harakteristiki etogo samoleta privedeny v tabl. 2. Kak vidno, po svoim manevrennym harakteristikam on ne ustupal luchshim manevrennym istrebitelyam konca pervoj mirovoj vojny. Partiya samoletov Martinsajd byla zakuplena Sovetskim Soyuzom v 1922 g. i imi bylo vooruzheno neskol'ko aviacionnyh otryadov. Samolet byl prost v pilotirovanii, manevren, no dlya svoego vremeni nedostatochno bystrohoden. K 1924-- 1925 gg. poyavilis' dvigateli vozdushnogo ohlazhdeniya moshchnost'yu okolo 400 l. s. s zvezdoobraznym raspolozheniem cilindrov, no uzhe ne rotativnye. Oni byli znachitel'no legche dvigatelej vodyanogo ohlazhdeniya, hotya lobovoe soprotivlenie rebristyh cilindrov bylo veliko. Tipichnym predstavitelem podobnyh dvigatelej byl anglijskij dvigatel' "YUpiter" firmy Bristol'. |to napravlenie razvitiya aviacionnyh dvigatelej okazalos' ochen' plodotvornym i ego priderzhivalis' mnogie firmy vplot' do 1944-- 1945 gg., kogda na smenu porshnevym prishli reaktivnye dvigateli. Zvezdoobraznye dvigateli vozdushnogo ohlazhdeniya nahodyatsya v ekspluatacii na transportnyh i sportivnyh samoletah i vertoletah i v nastoyashchee vremya. Dvigatel' anglijskoj firmy, estestvenno, byl ustanovlen vnachale na anglijskom samolete. V tabl. 3 privedeny harakteristiki samoleta "Gemkok" firmy Gloster. |to byl obychnyj biplan, podobnyj tem, kotorye stroilis' v period pervoj mirovoj vojny, no na nem byl ustanovlen dvigatel' moshchnost'yu 420 l. s. Koefficient peregruzki pri manevre dostigal u nego velichiny 2,85. Sovetskie konstruktory N. N. Polikarpov i D. P. Grigorovich, kotorye nachali razvertyvat' svoyu rabotu v 1920-- 1921 gg., mogli orientirovat'sya tol'ko na dvigatel' M-5 (t. e. "Liberti"), kotoryj ne byl prednaznachen dlya istrebitelej. Tem ne menee, v 1923 g. N. N. Polikarpov vypuskaet svoj pervyj istrebitel' monoplan "I. L.", podobnyj samoletu "YUnkere", no, v otlichie ot nego, derevyannoj konstrukcii, poskol'ku otechestvennogo duralyumina v to vremya eshche ne bylo. Neskol'ko pozzhe D. P. Grigorovich vypuskaet istrebitel'-biplan "I-2" s tem zhe dvigatelem M-5; etot samolet stroilsya serijno i byl na vooruzhenii nekotoryh aviaotryadov. Zatem samolet "I-2" byl neskol'ko uluchshen i stal nazyvat'sya "I-2 bis". Samolet "I. L." N. N. Polikarpova byl postroen v neskol'kih ekzemplyarah, no zatem voznikli trudnosti s vyvodom ego iz shtopora; togda N. N. Polikarpov na nekotoroe vremya vernulsya k biplanam. Osnovnym naznacheniem istrebitelya yavlyaetsya bor'ba s razvedchikami i bombardirovshchikami protivnika. Preimushchestvo v skorosti nad etimi samoletami dlya istrebitelej yavlyaetsya sovershenno neobhodimym. Poetomu konstruktory istrebitelej ne mogli chrezmerno uvlekat'sya uluchsheniem ih manevrennyh svojstv. V 1926 g. avtor neskol'ko mesyacev rabotal v konstruktorskom byuro N. N. Polikarpova, gde zanimalsya voprosami aerodinamiki. N. N. Polikarpov udelyal bol'shoe vnimanie voprosam manevrennosti, odnako, v to vremya on postavil pered soboj osnovnuyu zadachu -- povysit' skorost', i pristupil k proektirovaniyu istrebitelya, kotoryj byl vypushchen v 1928 g. pod markoj "I-3". |to byl biplan s umen'shennym nizhnim krylom, s dvigatelem vodyanogo ohlazhdeniya BMV-6 moshchnost'yu okolo 500 l. s. |tot samolet imel ochen' horoshie aerodinamicheskie formy; ego maksimal'naya skorost' dostigala 280 km/chas, a koefficient peregruzki pri manevre byl dovol'no vysok i sostavlyal okolo 2,8. Konstruktorskoe byuro A. N. Tupoleva k 1926 g. sozdalo uzhe neskol'ko udachnyh samoletov metallicheskoj konstrukcii -- razvedchik "R-3" ("ANT-3") i dvuhmotornyj bombardirovshchik "TB-1" ("ANT-4") -- i reshilo poprobovat' svoi sily v sozdanii istrebitelya. V 1927 g. byl vypushchen istrebitel' "I-4" ("ANT-5") metallicheskoj konstrukcii, kotoryj sleduet imenovat' monoplanom, tak kak nizhnee krylo u nego bylo ochen' nebol'shim, a vposledstvii voobshche bylo snyato. Na etom samolete byl ustanovlen dvigatel' vozdushnogo ohlazhdeniya moshchnost'yu 420 l. s., i eto pozvolilo emu sochetat' skorost' 260 km/chas s manevrennoj peregruzkoj, ravnoj 3,0, -- naibolee vysokoj k tomu vremeni. Samolet "I-4" yavlyalsya ochen' manevrennoj i prochnoj mashinoj; on sostoyal na vooruzhenii sovetskoj aviacii, odnako, nedostatochnoe proizvodstvo duralyumina v to vremya ogranichilo proizvodstvo samoletov. Togda gruppe konstruktorov, v kotoruyu vhodili N. N. Polikarpov, D. P. Grigorovich, B. F. Goncharov i drugie, bylo porucheno skonstruirovat' eshche bolee manevrennyj samolet, no derevyannoj konstrukcii, s zvezdoobraznym dvigatelem vozdushnogo ohlazhdeniya moshchnost'yu 480 l. s. |ta zadacha byla bystro i uspeshno vypolnena, i v 1930 g. poyavilsya samolet "I-5", kotoryj v techenie ryada let yavlyalsya naibolee manevrennym samoletom i pol'zovalsya lyubov'yu letchikov. Kak vidno iz tabl. 3, koefficient peregruzki pri manevre ny u samoleta "I-5" dostigal znacheniya 3,3, a harakteristika vesa konstrukcii byla naimen'shej iz teh znachenij, kotorye vstrechalis' v to vremya v samoletostroenii: KG0=3,1, ili, inache govorya, ves pustogo samoleta sostavlyal tol'ko 21% ot velichiny maksimal'noj pod®emnoj sily. Samolet "I-5" uspeshno demonstriroval svoe prevoshodstvo v sravnitel'nyh "vozdushnyh boyah" s obrazcami luchshih zarubezhnyh istrebitelej. RAZVITIE MANEVRENNYH ISTREBITELEJ V PERIOD 1932-- 1940 gg. V nachale tridcatyh godov v samoletostroenii nachalsya povorot k vsemernomu povysheniyu skorostnyh i vysotnyh harakteristik. Osnovnymi sredstvami uvelicheniya skorosti byli umen'shenie velichiny vrednoj ploshchadi F0 i povyshenie otnosheniya moshchnosti dvigatelej k otnositel'noj plotnosti vozduha. Umen'shenie velichiny vrednoj ploshchadi dostigalos' sovmestnym ispol'zovaniem ryada meropriyatij, kazhdoe iz kotoryh, vzyatoe v otdel'nosti, kazalos' by, davalo sravnitel'no nebol'shoj effekt. Tak, esli vzyat' samolet gruboj aerodinamicheskoj shemy, naprimer, istrebitel'-biplan, imeyushchij F0, ravnuyu okolo 0,8 m, to ustanovka ubirayushchegosya shassi u etogo samoleta dala by slabyj effekt i ne okupila by konstruktivnyh uslozhnenij. Odnim iz krupnyh istochnikov soprotivleniya samoleta yavlyaetsya dvigatel' vozdushnogo ohlazhdeniya ili radiator dvigatelya vodyanogo ohlazhdeniya. I rebristyj dvigatel', i radiator yavlyayutsya takimi telami, kotorye imeyut vysokij koefficient soprotivleniya. Bor'ba za ponizhenie soprotivleniya detalej, otvodyashchih teplo ot dvigatelya, velas' na vsem protyazhenii istorii razvitiya samoletov s porshnevymi dvigatelyami. Odnako naibolee effektivnye rezul'taty byli polucheny tol'ko v period 1933-- 1943 gg., kogda detali, otvodyashchie teplo, -- radiatory i rebristye cilindry -- byli zaklyucheny v special'nye kanaly, skorost' potoka v kotoryh byla znachitel'no nizhe skorosti osnovnogo vozdushnogo potoka. |to byli kol'cevye kapoty, prikryvayushchie zvezdoobraznye dvigateli, v kotoryh primenyalos' regulirovanie skorosti protekayushchego potoka, ili vozdushnye tunneli, v kotoryh pomeshchalis' rebristye cilindry dvigatelej vozdushnogo ohlazhdeniya s ryadnym raspolozheniem cilindrov, ili radiatory. Vnachale eti tunneli predstavlyali soboj naruzhnye nadstrojki, a zatem ih stali vse bol'she i bol'she ubirat' vnutr' fyuzelyazha ili kryl'ev. Esli vzyat', naprimer, samolet "YAk-3" (1943 g.), to o nalichii u nego vnutrennih tunnelej mozhno bylo sudit' lish' po nebol'shim vozduhozabornikam. S poyavleniem turboreaktivnyh dvigatelej neobhodimost' v sistemah ohlazhdeniya pochti ischezla, tak kak vozduh, sluzhashchij dlya ponizheniya temperatury v kamere sgoraniya, prohodit cherez osnovnoj kanal dvigatelya, a ego massa ispol'zuetsya dlya povysheniya reaktivnogo effekta dvigatelya. Eshche odnim krupnym istochnikom soprotivleniya samoletov yavlyalas' otkrytaya kabina ekipazha, zashchishchennaya tol'ko speredi kozyr'kom bolee ili menee gruboj formy. Obtekanie kozyr'ka i vyreza v fyuzelyazhe privodilo k sil'noj turbulizacii potoka i uvlecheniyu nekotoroj massy vozduha vsled za samoletom. |to uvlechenie i yavlyaetsya istochnikom soprotivleniya. Dlya ego likvidacii stali primenyat' zakrytye kabiny, vnachale dovol'no grubye po forme, a zatem vse bolee obtekaemye. Posle togo kak ubrano shassi, snizheno soprotivlenie sistemy ohlazhdeniya, sdelana obtekaemaya kabina, nachinaet dominirovat' soprotivlenie treniya, obuslovlennoe bol'shimi poverhnostyami kryl'ev i ih nedostatochnoj gladkost'yu. Poetomu sleduyushchim meropriyatiem bylo umen'shenie ploshchadi kryl'ev putem perehoda ot biplanov k monoplanam, ili vernee, uvelichenie udel'noj nagruzki na krylo G/S. Odnako razmah kryl'ev pri etom ne dolzhen byt' umen'shen vo izbezhanie umen'sheniya pod®emnoj sily. Prakticheski eto privelo k sohraneniyu razmaha kryl'ev pri umen'shenii ih ploshchadi S, chto dalo uvelichenie ih udlineniya l=12/S. Perehod k svobodno nesushchim monoplanam osvobodil samolety ot soprotivleniya stoek i raschalok. Problema gladkosti obshivki vstala osobenno ostro dlya kryl'ev s metallicheskoj obshivkoj. Vnachale otkazalis' ot gofrirovannoj obshivki i pereshli na gladkuyu i bolee tolstuyu obshivku. Zatem pereshli na zaklepki s potajnymi golovkami, chto mozhno bylo sdelat' lish' pri eshche bolee znachitel'nyh tolshchinah obshivki i, nakonec, stali primenyat' takuyu tehnologiyu proizvodstva i obrabotki poverhnosti kryl'ev, kotoraya obespechivala udovletvoritel'nuyu ih gladkost'. Optimal'naya -- "zerkal'naya" gladkost' trebovala znachitel'nogo uslozhneniya tehnologii i ne nashla shirokogo primeneniya. Perehod na povyshennuyu udel'nuyu nagruzku na krylo dlya istrebitelej -- s 40-60 kG/m2 do 100-150 kG/m2 -- potreboval razrabotki i primeneniya sredstv mehanizacii kryl'ev s cel'yu uvelicheniya ih Cymax. |to bylo dostignuto primeneniem zakrylkov, shchitkov, predkrylkov i razlichnyh v raznyh secheniyah profilej kryl'ev. Estestvenno, chto naibol'shij uspeh imeli te meropriyatiya, kotorye davali poleznyj effekt v raznyh otnosheniyah ili, vo vsyakom sluchae, ne imeli ser'eznyh otricatel'nyh svojstv. Na ris. 5 priveden grafik izmeneniya znachenij F0 dlya istrebitelej po godam. V period pervoj mirovoj vojny vnachale nablyudalos' nekotoroe umen'shenie vrednoj ploshchadi s 1 m2 do 0,7-0,8 m2, dostignutoe blagodarya nekotorym aerodinamicheskim uluchsheniyam; odnako k koncu vojny vmeste s rezkim uvelicheniem moshchnostej dvigatelej uvelichilos' i znachenie F0. V period 1920-- 1930 gg. nablyudalos' nebol'shoe umen'shenie F0, a posle 1934 g. ego znachenie snizilos' bolee chem v dva raza, i dlya monoplanov perioda vtoroj mirovoj vojny bylo harakterno znachenie F0, ravnoe 0,35-0,3. Kak my pokazali, umen'shenie F0 slabo uvelichivaet maksimal'nuyu pod®emnuyu silu; tak, esli F0 budet umen'sheno v tri raza, to pod®emnaya sila uvelichitsya tol'ko na 20%. Pishnoff-150.gif Ris. 5. Grafik izmeneniya privedennoj vrednoj ploshchadi F0 manevrennyh istrebitelej po godam Dlya uvelicheniya maksimal'noj peregruzki pri manevre vazhnejshee znachenie imelo primenenie vysotnyh dvigatelej. Princip raboty vysotnyh dvigatelej sostoit v sleduyushchem. Ves dvigatelya opredelyaetsya ego maksimal'noj moshchnost'yu i shemoj konstrukcii. Osnovnuyu dolyu vesa sostavlyayut sistema szhatiya i rasshireniya gazov i sistema peredachi energii na vint. U obychnogo nevysotnogo dvigatelya raschetnym po prochnosti i vesu parametrom yavlyaetsya rabota na maloj vysote, t. e. pri maksimal'noj plotnosti vozduha. Po mere pod®ema na vysotu dvigatel' vse bolee i bolee razgruzhaetsya i, takim obrazom, okazyvaetsya izlishne prochnym i izlishne tyazhelym dlya etih vysot. Proshche vsego sdelat' dvigatel' vysotnym, t. e. prisposoblennym dlya raboty na zhelaemoj vysote, esli rasschitat' ego razmery i prochnost' po usloviyam raboty na raschetnoj vysote, a na men'shih vysotah ne dopuskat' raboty na polnoj moshchnosti putem ogranicheniya podachi topliva. Takoj dvigatel' nazyvaetsya pererazmerennym, i pri opredelennom vese na raschetnoj vysote on okazhetsya bolee moshchnym, chem nevysotnyj dvigatel'. Poskol'ku uvelichenie razmerov dvigatelej dlya samoletov yavlyaetsya nezhelatel'nym, to dlya uvelicheniya moshchnosti stali primenyat' povyshenie chisla oborotov dvigatelya i predvaritel'noe szhatie vozduha ili rabochej smesi pered podachej v cilindr. Realizaciya etih meropriyatij proishodila postepenno po mere uluchsheniya konstrukcionnyh materialov, sozdaniya legkih kompressorov dlya predvaritel'nogo szhatiya i razrabotki topliv, kotorye davali sgoranie pri povyshennom davlenii bez yavleniya detonacii. Naibolee effektivnym sredstvom predvaritel'nogo szhatiya smesi okazalsya centrobezhnyj nagnetatel'. On i nashel samoe shirokoe primenenie v period 1935-- 1945 gg. Ego osnovnoe preimushchestvo zaklyuchaetsya v nebol'shom vese, a osnovnoj nedostatok -- v izlishnem nagrevanii smesi, v svyazi s chem ponizhaetsya ee plotnost'. Pri rabote na maloj vysote, kogda effekt szhatiya ne ispol'zuetsya, moshchnost' dvigatelya okazyvaetsya ponizhennoj kak vsledstvie zatraty chasti moshchnosti na vrashchenie nagnetatelya, tak i v rezul'tate nenuzhnogo nagrevaniya smesi. Pri bol'shoj vysotnosti dvigatelya padenie ego moshchnosti na malyh vysotah privodilo k sushchestvennomu uhudsheniyu letnyh harakteristik samoleta na etih vysotah, i osobenno ego manevrennosti. Dlya ustraneniya etogo nedostatka byli skonstruirovany ustrojstva dlya izmeneniya peredatochnogo chisla privoda centrobezhnogo nagnetatelya. Drugim nedostatkom dvigatelya s nagnetatelem bylo uhudshenie ekonomichnosti, t. e. povyshenie udel'nogo rashoda dvigatelya. Prichina etogo zaklyuchaetsya v tom, chto esli szhatie rabochego tela proishodit dvazhdy -- v nagnetatele i v cilindre, to rasshirenie ego proishodit tol'ko v cilindre, t. e. proishodit kak by nedorasshirenie rabochego tela, i vyhlopnye gazy vybrasyvayutsya v atmosferu eshche s bol'shim zapasom energii. |tot nedostatok mozhno ustranit', esli podavat' vyhlopnye gazy na turbinu, a s turbiny peredavat' moshchnost' cherez special'nyj reduktor na val dvigatelya. Takaya sistema primenyalas' na porshnevyh dvigatelyah vo vtoroj polovine sorokovyh godov, odnako s poyavleniem turbovintovyh dvigatelej eta sistema otpala. Znachitel'no bol'shee primenenie nashla neskol'ko inaya sistema: moshchnost', kotoruyu poluchala turbina ot vyhlopnyh gazov, podavalas' na privod nagnetatelya, i dvigatel' osvobozhdalsya takim obrazom ot dopolnitel'nyh zatrat moshchnosti na vrashchenie nagnetatelya. Dostoinstvo podobnyh turbokompressornyh agregatov zaklyuchalos' v osnovnom v obespechenii imi bol'shoj vysotnosti dvigatelya i primenyalis' oni poetomu na special'nyh vysotnyh samoletah -- rekordnyh ili voennyh razvedchikah i istrebitelyah. Dlya sravneniya manevrennyh harakteristik samoletov s nevysotnymi i vysotnymi dvigatelyami neobhodimo prinyat' nekotoruyu sistemu sravneniya. Ochevidno, chto na maloj vysote samolet s nevysotnym dvigatelem budet bolee manevrennym. Na bol'shih vysotah, naoborot, bolee manevrennym budet samolet s vysotnym dvigatelem. Odnako vysotnosti byvayut raznye i poetomu trudno vybrat' vysotu dlya sravneniya. Mozhno proizvodit' sravnenie po maksimal'nym peregruzkam, nezavisimo ot vysoty. Mozhno provesti i takoe uslovnoe sravnenie: znaya moshchnost' vysotnogo dvigatelya Np na raschetnoj vysote, nahodim zatem ego moshchnost' na maloj vysote Ne, kak esli by on byl nevysotnym, ili, inache govorya, prodolzhaem ego harakteristiku moshchnosti po vysotam do vysot, men'shih raschetnoj, vplot' do urovnya zemli. Po etoj moshchnosti nahodim peregruzku nue i dlya samoletov s vysotnymi dvigatelyami. Sleduet eshche ukazat', chto vysotnost' dvigatelej zavisit takzhe i ot skorosti poleta, esli zabornik vozduha postavlen protiv potoka i v nem ispol'zuetsya szhatie ot skorostnogo napora. Perejdem k obzoru manevrennyh samoletov perioda 1932-- 1938 gg. Osnovnye harakteristiki rassmotrennyh samoletov dany v tabl. 3. Poskol'ku oni imeli vysotnye dvigateli s vintami izmenyaemogo shaga, znacheniya Y i nu dany dlya moshchnostej Nr i Ne. Harakteristiki virazhej privedeny dlya malyh vysot, no pri uslovii, chto peregruzka sootvetstvuet moshchnosti na raschetnoj vysote. Na samom dele moshchnost' u zemli neskol'ko men'she, chem na raschetnoj vysote, no zato plotnost' vozduha vyshe, i poetomu v oblasti vysot ot zemli do raschetnoj pod®emnaya sila, a sledovatel'no, i peregruzka primerno postoyanny. Samymi zamechatel'nymi po manevrennym harakteristikam dlya vtoroj poloviny tridcatyh godov yavlyayutsya samolety konstrukcii N. N. Polikarpova -- "I-15", "I-16" i ego modifikacii i samolet "I-153". Poslednij samolet mozhno rassmatrivat' kak samoe vysokoe dostizhenie v oblasti konstruirovaniya manevrennyh samoletov s porshnevymi dvigatelyami. Samolet "I-153" imel maksimal'nuyu peregruzku na maloj vysote okolo 4, a po ekvivalentnoj moshchnosti -- bolee 5. |to pozvolyalo samoletu vypolnyat' pilotazh s vysokimi peregruzkami v techenie dlitel'nogo vremeni bez poteri energii. Samolet "I-153" yavlyaetsya dal'nejshim razvitiem samoletov "I-5" i "I-15". Snachala byl sdelan perehod ot samoletov "I-5" k samoletam "I-15"; oba oni predstavlyayut soboj biplany primerno s odinakovymi razmahami i ploshchadyami kryl'ev. Moshchnost' dvigatelya u samoleta "I-15" v poltora raza vyshe, a ekvivalentnaya dazhe v dva raza vyshe, chem u "I-5"; odnako ves pustogo samoleta "I-15" uvelichen primerno na 30%, a poletnyj ves na 20% po sravneniyu s vesom samoleta "I-5". Maksimal'naya pod®emnaya sila uvelichilas' na 30% i koefficient peregruzki na maloj vysote -- primerno na 8%, dostignuv velichiny okolo 3,5. Na vysotah bolee 2,5 km preimushchestvo v manevrennoj peregruzke sostavlyaet okolo 30%. Na samolete "I-15" byli sdelany takzhe nekotorye aerodinamicheskie uluchsheniya shassi, kapota dvigatelya i dr. Samolet "I-153", vypushchennyj primerno cherez 4 goda posle samoleta "I-15", imel eshche bolee moshchnyj vysotnyj dvigatel', na nem byli ustanovleny ubirayushcheesya shassi i zakrytaya kabina. |to dalo uvelichenie aerodinamicheskogo kachestva s 9,7 do 11. Na manevrennyh harakteristikah, estestvenno, skazalos' v osnovnom uvelichenie moshchnosti dvigatelya primerno na 30% pri uvelichenii poletnogo vesa primerno na 17%. V rezul'tate manevrennaya peregruzka uvelichilas' primerno na 15%, a na bol'shih vysotah -- na 30% blagodarya bolee znachitel'noj vysotnosti dvigatelya. Samolet "I-153" byl poslednim istrebitelem-biplanom s porshnevym dvigatelem i imel naibolee vysokie harakteristiki po sravneniyu so svoimi predshestvennikami i s nahodivshimisya v ekspluatacii odnovremenno s nim manevrennymi biplanami. Vysokie harakteristiki samoleta "I-153" polucheny v rezul'tate bol'shogo opyta konstruktorskoj deyatel'nosti N. N. Polikarpova, celeustremlenno napravlennoj na sozdanie manevrennogo istrebitelya. N. N. Polikarpovym byl postroen celyj ryad samoletov-biplanov, kotorye imeli vysokie harakteristiki dlya svoego vremeni. Odnako on ponimal, chto biplanam prisushchi organicheskie nedostatki i chto perehod na monoplany neizbezhen. V 1934 g. N. N. Polikarpov vypuskaet svoj znamenityj samolet "I-16", v kotorom on stremilsya sovmestit' skorostnye i manevrennye svojstva. Hotya k 1934 g. istrebiteli-monoplany stali stroit' i drugie konstruktory, otechestvennye i inostrannye, tem ne menee, samolet "I-16" byl ves'ma originalen po svoim formam; on kazalsya chrezmerno korotkim i tuponosym. Hvostovoe operenie raspolagalos' pochti vsled za krylom, i eto vyzyvalo somnenie po povodu ustojchivosti samoleta. Byli opaseniya i otnositel'no nadezhnosti ego vyhoda iz shtopora. Samolet ispytyval zamechatel'nyj master vysshego pilotazha -- Valerij Pavlovich CHkalov; pri ispytaniyah samolet pokazal zamechatel'nye dlya togo vremeni skorostnye i manevrennye kachestva. Imenno vo vremya etih ispytanij bylo pokazano, chto skorost' yavlyaetsya vazhnejshim faktorom manevrennosti, tak kak samolet, poluchiv razgon, priobretaet dopolnitel'nuyu kineticheskuyu energiyu i pri malom lobovom soprotivlenii eta energiya sohranyaetsya dlitel'noe vremya. Iz materialov, privedennyh v tabl. 3, vidno, chto po harakteristike vesa pustogo KG0 samolet "I-16" malo ustupal luchshim istrebitelyam-biplanam, a ego harakteristika soprotivleniya byla pochti vdvoe men'she, chem u nih (F0=0,4). Koefficient peregruzki u samoleta "I-16" byl bolee 3, a s bolee moshchnym dvigatelem -- bolee 3,5 na maloj vysote. Somneniya v otnoshenii ustojchivosti samoleta "I-16" bystro rasseyalis'. Pravda, pervye serii samoleta, na kotorom byl ustanovlen otnositel'no legkij dvigatel', imeli zadnyuyu centrovku i nedostatochnuyu ustojchivost' po peregruzke. Nekotorym letchikam eto dazhe nravilos', tak kak gradient usiliya po peregruzke byl mal i samolet byl ochen' "rezvym". Odnako to, chto bylo horosho pri manevrirovanii v horoshuyu pogodu, okazalos' plohim pri polete v slozhnyh meteorologicheskih usloviyah pri otsutstvii vidimosti. V etih usloviyah letchik ne mog kontrolirovat' povedenie samoleta po uglovoj skorosti tangazha. Posle ustanovki bolee tyazhelyh dvigatelej centr tyazhesti samoleta sdvinulsya vpered, i samolet stal prost v pilotirovanii, nesmotrya na svoj korotkij hvost. Udalenie hvostovogo opereniya ot centra tyazhesti samoleta skazyvaetsya na dempfiruyushchem effekte prodol'nogo dvizheniya; odnako eto ne edinstvennyj faktor; dempfirovanie v bol'shoj mere opredelyaetsya dejstviem kryla. Pri harakteristikah plotnosti rsam=G/gSl, prisushchih samoletu "I-16", dempfirovanie prodol'nyh dvizhenij dostatochno veliko. Samolet "I-16", buduchi blizkim k biplanam po peregruzke, imel znachitel'no men'shuyu ploshchad' kryl'ev i, sledovatel'no, bolee vysokuyu udel'nuyu nagruzku. |to ne otrazilos' sushchestvenno na ego vzletno-posadochnyh harakteristikah, osobenno na posleduyushchih modifikaciyah samoleta, snabzhennyh posadochnymi shchitkami, odnako radiusy krivizny traektorii pri manevre s maksimal'noj peregruzkoj uvelichilis', chto vidno iz tabl. 3. Samolet "I-16" yavilsya kak by promezhutochnym zvenom dlya perehoda k skorostnym istrebitelyam-monoplanam perioda vtoroj mirovoj vojny. Na nem stal vozmozhen vysshij pilotazh v vide kombinacii i vrashchenij i dvizhenij v vertikal'noj ploskosti, chto yavlyaetsya harakternym dlya sovremennoj programmy vysshego pilotazha. Opaseniya v otnoshenii trudnosti vyhoda samoleta iz shtopora ne opravdalis'. Poslushav spory uchenyh, v kotoryh prinimal uchastie i avtor, V. P. CHkalov reshil ispytat' samolet, i okazalos', chto dazhe pri zadnej centrovke samolet legko vyhodil iz shtopora, chego ne nablyudalos' u samoletov-biplanov "I-15" i "I-153". V. P. CHkalovym byla dazhe predlozhena novaya figura -- voshodyashchij shtopor. Samolet razgonyalsya putem snizheniya, vyvodilsya na vertikal'nuyu voshodyashchuyu traektoriyu, i zatem, kogda skorost' v dostatochnoj mere umen'shalas', ruli stavilis' v shtopornoe polozhenie i samolet delal shtopor vverh, poka ne issyakal zapas skorosti. Usloviya nachala shtopora opredelyalis' dopustimoj peregruzkoj po prochnosti samoleta. Preimushchestvo samoleta "I-16" v otnoshenii manevrennosti opredelyalos' takzhe bolee vysokim urovnem kineticheskoj energii pri polete na maksimal'noj skorosti. Tak, esli dlya samoletov "I-5" i "I-15" znacheniya hk byli sootvetstvenno 310 i 400 m, to dlya samoleta "I-16" i ego modifikacii 1938 g. eti znacheniya byli sootvetstvenno ravny 630 i 700 m. Kak my uzhe ukazyvali, s nachalom vtoroj mirovoj vojny ot razdeleniya samoletov-istrebitelej na skorostnye i manevrennye otkazalis', poskol'ku dominiruyushchim faktorom pri vypolnenii vertikal'nyh manevrov stal zapas kineticheskoj energii. Otsutstvie podrazdeleniya istrebitelej na skorostnye i manevrennye nuzhno ponimat' v smysle osobennostej ih aerodinamiki. Odnako sama po sebe bol'shaya skorost', opredelyayushchaya zapas kineticheskoj energii, eshche ne harakterizuet manevrennye svojstva v manevrennom boyu, tak kak dazhe ochen' bol'shoj zapas kineticheskoj energii, ili vernee polnoj energii (vklyuchaya i nachal'nuyu vysotu poleta), mozhet byt' izrashodovan pri manevrirovanii s bol'shimi peregruzkami. Po svoej aerodinamike i po moshchnosti dvigatelej istrebiteli SSSR, Germanii, Anglii i SSHA byli dovol'no blizki drug k drugu; eto obstoyatel'stvo bylo obuslovleno vzaimnym oznakomleniem s konstruktivnymi ideyami, kotoroe imelo mesto i do vojny i eshche bolee usililos' vo vremya vojny blagodarya zahvatu sbityh samoletov. Manevrennost' kazhdogo istrebitelya mozhno bylo povysit', umen'shiv ego poletnyj ves. Tak, naprimer, izvestnyj nemeckij istrebitel' Messershmidt Me-109" imel dve modifikacii: odnu s bolee moshchnym vooruzheniem i, sledovatel'no, bolee tyazheluyu -- "G" i vtoruyu -- legkuyu, manevrennuyu -- "F". Raznica v vesah etih modifikacij samoletov i sootvetstvenno v znacheniyah nu sostavlyala 15-20%. Oblegchenie samoletov dostigalos' v osnovnom putem umen'sheniya zapasa topliva, boepripasov, chisla stvolov oruzhiya i t. p. |ti meropriyatiya v znachitel'noj mere uhudshali boevye kachestva samoletov. CHem men'she byl ves pustogo samoleta ili, vernee, chem men'she byla velichina Y/G0, tem bol'she byla vozmozhnost' oblegchit' samolet. Ne vpadaya v preuvelichenie dostizhenij otechestvennoj nauchnoj i konstruktorskoj mysli, mozhno utverzhdat', chto v otnoshenii vesa konstrukcii sovetskie istrebiteli byli sredi luchshih. V dannoj rabote my ne budem analizirovat' harakteristiki istrebitelej vtoroj mirovoj vojny. V tabl. 3 privedeny harakteristiki samoleta "YAk-1M", special'no oblegchennogo dlya povysheniya manevrennyh harakteristik. Esli rassmatrivat' znacheniya KG0 i nu etogo samoleta, otnesennye k dejstvitel'noj moshchnosti u zemli, to ves konstrukcii u nego okazyvaetsya vyshe, a nu men'she, chem u luchshih istrebitelej-biplanov. Odnako, esli otnesti eti harakteristiki k ekvivalentnoj moshchnosti, to konstrukciya dolzhna byt' ocenena kak ochen' legkaya, a znachenie nu kak dostatochno vysokoe. Dlya illyustracii razvitiya manevrennyh samoletov v period 1913-- 1938 gg. my postroili na ris. 6 i 7 grafiki, dayushchie izmenenie osnovnyh pokazatelej manevrennyh samoletov po godam. Na ris. 6. dano izmenenie maksimal'nogo znacheniya koefficienta peregruzki nu. Kak vidno, v period pervoj mirovoj vojny znachenie nu vozroslo primerno na 30%, chto sootvetstvuet uvelicheniyu gorizontal'noj sostavlyayushchej peregruzki na 40%. V period 1920-- 1930 gg. znachenie nu povyshalos' sravnitel'no medlenno, a zatem temp rosta uvelichilsya, i k 1938 g. nu dostiglo velichiny 4, t. e. vdvoe bol'shej, chem pered nachalom pervoj mirovoj vojny. Na ris. 6 punktirom pokazano izmenenie velichiny ekvivalentnoj peregruzki dlya samoletov s vysotnymi dvigatelyami. Napomnim, chto eta velichina harakterizuet peregruzku pri manevre na bol'shih vysotah. Kak vidno, primenenie vysotnyh dvigatelej dalo ochen' rezkoe povyshenie nu po godam. Dlya polucheniya velichiny nu na vysotah, prevyshayushchih granicu vysotnosti dvigatelej, nuzhno vospol'zovat'sya grafikom, privedennym na ris. 3. Naprimer, dlya samoleta "I-5" s dvigatelem maloj vysotnosti peregruzka u zemli ravna 3,25. Pod®emnaya sila na vysote 4 km pri vinte fiksirovannogo shaga sostavit 0,59 ot ee znacheniya u zemli (sm. ris. 3), a koefficient peregruzki budet raven 0,59•3,25=1,92. Pishnoff-151.gif Ris. 6. Grafik izmeneniya maksimal'nogo znacheniya koefficienta peregruzki manevrennyh istrebitelej po godam U samoleta "I-153" ekvivalentnaya peregruzka ravna 5,25 (sm. ris. 6); koefficient padeniya peregruzki na vysote 4 km pri vinte izmenyaemogo shaga budet raven 0,63 (sm. ris. 3) i koefficient peregruzki budet raven nu=0,63 • 5,25 = 3,3, t. e. na 70% bol'she, chem u samoleta "I-5". Na maloj vysote preimushchestvo v velichine peregruzki u samoleta "I-153" po sravneniyu s ee velichinoj u samoleta "I-5" budet lish' okolo 20%. Na ris. 7 dano izmenenie koefficienta vesa pustogo samoleta po godam. My uzhe ukazyvali, kakoe vazhnoe znachenie dlya polucheniya vysokoj manevrennosti imeet velichina KG0. CHem men'she velichina KG0, tem bol'shaya peregruzka mozhet byt' poluchena pri opredelennom znachenii otnositel'noj velichiny poleznoj nagruzki. Esli zhe znachenie KG0 veliko, to samolet mozhet okazat'sya manevrennym tol'ko pri otnositel'no maloj nagruzke. Kak vidno iz grafika, privedennogo na ris. 7, rezkoe umen'shenie znacheniya KG0 imelo mesto v period pervoj mirovoj vojny, a zatem vozmozhnost' ego umen'sheniya byla pochti ischerpana. Punktirnoj liniej dano izmenenie velichiny KG0, otnesennoj k ekvivalentnoj moshchnosti vysotnyh dvigatelej; kak vidno iz grafika, s rostom vysotnosti proizoshlo novoe znachitel'noe umen'shenie KG0. Pishnoff-152.gif Ris. 7. Grafik izmeneniya koefficienta vesa manevrennyh istrebitelej bez nagruzki po godam Esli by v sovremennyh usloviyah skonstruirovat' manevrennyj samolet s turbovintovym dvigatelem, to velichina KG0 okazalas' by u nego znachitel'noj men'shej, chem u samoleta s porshnevym dvigatelem, i, sootvetstvenno, mozhno bylo by poluchit' vysokuyu manevrennuyu peregruzku. Odnako eshche bolee vygodno ispol'zovat' turboreaktivnyj dvigatel'. Opredelenie maksimal'noj peregruzki dlya samoleta s turboreaktivnym dvigatelem dovol'no prosto. Dlya etogo nuzhno vzyat' silu tyagi TRD R pri skorosti, sootvetstvuyushchej manevru, t. e. okolo 85% staticheskoj tyagi R0; etu tyagu nuzhno umnozhit' na aerodinamicheskoe kachestvo i razdelit' na ves samoleta. My poluchim: ny=0,85K*P0/G. Tak, pri znacheniyah P0/G, ravnyh 0,5-0,7, my poluchim znachenie , ny ravnoe 4,5-6 i dazhe bol'she. Mozhno sdelat' special'nyj samolet so znacheniem P0/G bol'she edinicy, i togda mozhno poluchit' ny bolee 8. Odnako takaya peregruzka budet ochen' tyazhela dlya letchika. Samolety s TRD imeyut znachenie P0/G ne menee 0,25, togda pri horoshem aerodinamicheskom kachestve ny budet ne menee 3. S podnyatiem na vysotu ny budet umen'shat'sya primerno po zakonu Pishnoff-153.gif do granicy stratosfery, a zatem -- proporcional'no izmeneniyu davleniya. Dlya togo chtoby poznakomit' chitatelya s letno-tehnicheskimi harakteristikami manevrennyh samoletov perioda 1913-- 1938 gg., t. e. za dvadcat' pyat' let ih razvitiya, my privedem materialy, poluchennye putem poverochnyh raschetov s ispol'zovaniem sovremennyh metodov. My vybrali samolety, vo-pervyh, harakternye s tochki zreniya istorii ih razvitiya, i, vo-vtoryh, blizkie k samoletam, primenyavshimsya v russkoj i sovetskoj aviacii. Vozglavit' etu gruppu dolzhen samolet francuzskoj konstrukcii "Moran-ZH" (1913 g.), na kotorom mnogo letal P. N. Nesterov i na kotorom on taranil avstrijskij samolet. Letali na nem i mnogie drugie russkie letchiki v period 1914-- 1917gg. Obuchenie na samolete "Moran" proizvodilos' i posle Oktyabr'skoj revolyucii, v period 1918-- 1922 gg., prichem etot samolet ispol'zovalsya dlya obucheniya vysshemu pilotazhu, poka na smenu emu ne prishel samolet U-1 ("Avro"). Samolet "Moran-ZH" byl uzhe podrobno opisan v stat'e "Na chem letal P. N. Nesterov", i zdes' my ne budem vozvrashchat'sya k nemu. Samolet "N'yupor-17" Vtorym samoletom, na kotorom neobhodimo ostanovit'sya, budet tozhe samolet francuzskoj konstrukcii -- "N'yupor-17", na kotorom letali, dralis' s nepriyatelem, demonstrirovali vysshij pilotazh, veroyatno, vse russkie i sovetskie letchiki-istrebiteli v period 1916-- 1922 gg. Polutoroplany "N'yupor" (sm. ris. 2, b i ris. 8) primenyalis' v raznyh modifikaciyah, no samolet "N'yupor-17" byl samym tipichnym iz nih, i bol'shoe kolichestvo takih samoletov bylo postroeno v Rossii. Na samoletah "N'yupor-17" dralis' sovetskie letchiki s samoletami interventov, razyskivali vojska belogvardejcev i interventov, shturmovali ih pulemetnym ognem i dazhe proizvodili bombometanie. Mnogo nedostatkov imeli samolety "N'yupor-17" -- oni legko sryvalis' v shtopor, razrushalis' v polete, chasto lomalis' pri posadke, odnako dostoinstvami ih byli bol'shaya "rezvost'" pri manevrirovanii i horoshij obzor dlya letchika. Pishnoff-154.gif Ris. 8. Samolet "N'yupor-17" -- vidy speredi i sverhu Na ris. 9 privedeny polyara samoleta "N'yupor-17" i profil' ego kryl'ev; kak vidno iz risunka, samolet imel tonkoe krylo so znachitel'noj kriviznoj srednej linii. |ffektivnoe udlinenie kryla okolo 5; po izvestnoj maksimal'noj skorosti i primernomu znacheniyu koefficienta poleznogo dejstviya vinta byla najdena ekvivalentnaya vrednaya ploshchad' F0=0,76 m, posle chego okazalos' vozmozhnym sostavit' uravnenie polyary: Ch=0,065 + 0,065Su2 V rajone Sumah i na malyh Su polyara "otvalivaet" ot teoreticheskoj, kak pokazano na ris. 9. Maksimal'noe aerodinamicheskoe kachestvo poluchilos' ravnym primerno 7,7. Zatem po harakteristike dvigatelya "Ron" (moshchnost'yu 110 l. s.) byl podobran vint diametrom 2,45 m i shagom 2,75 m. Harakteristiki tyagi i poleznoj moshchnosti byli opredeleny obychnymi priemami, putem sopostavleniya koefficientov moshchnosti vinta Pishnoff-155.gif s analogichnymi koefficientami dlya dvigatelya. Na ris. 10 privedeny harakteristiki potrebnoj i raspolagaemoj moshchnostej, dlya vysot poleta 0, 2, 4 i 6 km. Pri raschete potrebnoj moshchnosti na maloj vysote i maloj skorosti byla uchtena vertikal'naya sostavlyayushchaya tyagi, i eto dalo umen'shenie minimal'noj skorosti primerno na 12%. Pishnoff-156.gif Pishnoff-157.gif Ris. 9. Profil' kryla i polyara samoleta "N'yupor-17" Po peresecheniyam potrebnyh i raspolagaemyh moshchnostej byli opredeleny maksimal'nye skorosti (ris. 11). Po maksimal'nym izbytochnym moshchnostyam DN=Nr-- Np byli opredeleny maksimal'nye vertikal'nye skorosti i podschitano vremya pod®ema na raznye vysoty. Dlya rascheta virazhej byl postroen vspomogatel'nyj grafik (ris. 12) zavisimosti potrebnoj Qgor i raspolagaemoj R tyagi ot kineticheskoj vysoty hk=V2/2g. Provedya na etom grafike pryamye iz nachala koordinat, poluchim rezhimy poleta s maksimal'noj peregruzkoj; velichina peregruzki ravna otnosheniyu P/Qgop v tochkah peresecheniya lucha s krivymi raspolagaemoj i potrebnoj tyagi. Maksimal'naya pod®emnaya sila okazalas' ravnoj Ymah=1360 kG; po priblizhennomu raschetu my poluchili velichinu 1320 kG. Na ris. 13 dany harakteristiki manevrennosti samoleta na maloj vysote. Minimal'nyj radius virazha okazalsya ravnym okolo 50 m i minimal'noe vremya soversheniya kruga-- 10 sek. Byl proizveden takzhe raschet virazha dlya gipoteticheskogo sluchaya, kogda pri bol'shih Su polyara ne "otvalivaet", a prodolzhaet sledovat' zakonu Sh = 0,065(1+ Su2). Pishnoff-158.gif Ris 10 Grafik raspolagaemyh moshchnostej dvigatel'noj gruppy i moshchnostej, potrebnyh dlya gorizontal'nogo poleta samoleta "N'yupor-17" Poluchennye rezul'taty pokazany na ris. 12 i 13 punktirnoj liniej. Podobnoe prodlenie polyary imelo by mesto pri bolee shirokih kryl'yah. Kak vidno iz risunkov, eto dalo by neznachitel'noe uvelichenie peregruzki, no znachitel'no umen'shilo by radius i vremya virazha (vremya virazha snizilos' by do 8,1 sek, a radius byl by raven 35 m). Sleduet ukazat', chto esli u samoleta "N'yupor" srednyaya shirina kryla (summa shiriny verhnego i nizhnego kryl'ev) sostavlyala okolo 1,9 m, to u anglijskogo samoleta Sopvich "Kemel" ona byla ravna 2,7 m. Pri vzlete samoleta "N'yupor" srednee znachenie sily tyagi sostavlyalo okolo 250 kG, ili 45% vesa. |to dovol'no bol'shaya tyaga, kotoraya davala srednee uskorenie, ravnoe so 4 m/sek2; pri otryve na skorosti, ravnoj 20 m/sek, vremya razbega budet ravno 5 sek i dlina razbega -- 50 m. Pri skorosti vstrechnogo vetra 5 m/sek dlina razbega sostavlyala vsego 30 m. Pishnoff-159.gif Ris. 11 Grafik skorostej i skoropod®emnosti samoleta "N'yupor-17" Pishnoff-160.gif Ris. 12. Grafik dlya rascheta maksimal'noj peregruzki samoleta "N'yupor-17" Vzlet samoleta "N'yupor" byl ochen' effektnym -- posle ochen' korotkogo razbega samolet pochti srazu perehodil na nabor vysoty pod uglom 16o-17o. Nekotorye letchiki posle otryva nachinali vypolnyat' spiral'nyj nabor vysoty. Pri krene v 45o i skorosti okolo 100 km/chas samolet mog vypolnyat' spiral' s radiusom okolo 70 m, sovershaya odin vitok za 17 sek i nabiraya okolo 80 m vysoty. Spiral'nyj vzlet byl ochen' opasen, tak kak v sluchae ostanovki dvigatelya na maloj vysote letchik ne uspeval perevesti samolet na planirovanie i on obychno perehodil v shtopor. Pishnoff-161.gif Ris. 13 Harakteristiki manevrennosti samoleta "N'yupor-17" na maloj vysote Raschet rashoda topliva v polete pokazal, chto minimal'nyj chasovoj rashod sostavlyal okolo 12 kg/chas pri skorosti 100 km/chas i okolo 25 kg/chas na moshchnosti, blizkoj k maksimal'noj. Pri zapase topliva, ravnom okolo 60 kg, vremya poleta s manevrirovaniem sostavlyalo okolo 2 chas. Maksimal'nuyu dal'nost' samolet imel pri skorosti 125 km/chas, pri kilometrovom rashode 0,12 kg/km; pri etih usloviyah maksimal'naya dal'nost' mogla sostavit' okolo 500 km. Privedennye materialy mogut dat' izvestnoe predstavlenie o tom, chto predstavlyal soboj istrebitel' vremen pervoj mirovoj vojny. Pri nerabotayushchem dvigatele vint obychno ostanavlivalsya i velichina vrednoj ploshchadi stanovilas' ravnoj okolo 1,2 m, a aerodinamicheskoe kachestvo K=6. Pri skorosti 80-85 km/chas skorost' snizheniya byla ravna 4 m/sek; pri spirali s krenom v 45o i skorosti 100 km/chas radius spirali byl raven okolo 80 m, vremya vitka -- 20 sek i snizhenie za odin vitok -- okolo 120 m. Samolet I-5 Samolet "I-5" (ris. 14) byl razrabotan gruppoj konstruktorov pod rukovodstvom N. N. Polikarpova i D. P. Grigorovicha v 1930 g. |to byl tipichnyj biplan s dvigatelem vozdushnogo ohlazhdeniya, imeyushchim zvezdoobraznoe raspolozhenie cilindrov. Vnachale na kazhdom cilindre byl individual'nyj obtekatel', a zatem byl primenen obshchij kol'cevoj obtekatel'. Pishnoff-162.gif Ris 14 Shema istrebitelya "I-5" Kryl'ya samoleta imeli dovol'no tolstyj profil' s ploskoj nizhnej storonoj. Kazalos' by, ni po sheme, ni po moshchnosti dvigatelya samolet ne otlichalsya ot ranee postroennyh istrebitelej. Ego dostoinstva opredelyalis' malym vesom pustogo samoleta i bol'shim znacheniem peregruzki pri manevre; horosho byli otrabotany i ego organy upravleniya. Na ris. 15 dany polyary i profil' kryla samoletov "I-5" i "I-153". Na ris. 16 dany grafiki skorostej po vysotam i vertikal'nyh skorostej dlya samoleta "I-5". Dlya rascheta manevrov samoleta udobno primenit' takuyu posledovatel'nost'. Dlya nekotoroj skorosti V my znaem maksimal'nuyu silu tyagi dvigatel'noj gruppy R; pri ustanovivshejsya skorosti poleta ili manevra eta tyaga dolzhna byt' ravna sile soprotivleniya; otsyuda my mozhem najti koefficient soprotivleniya Sx=P/qS, a, pol'zuyas' polyaroj ili formuloj dlya nee, po Sh, nahodim Su, i togda velichina pod®emnoj sily budet: Pishnoff-166.gif Pishnoff-163.gif Pishnoff-164.gif Ris. 15. Profil' kryla i polyary samoletov istrebitelej "I-5" i "I-153" Pishnoff-165.gif Ris. 16. Harakteristiki skorostej i skoropod®emnosti samoleta "I-5" Pishnoff-171.gif Ris. 17. Harakteristiki tyagi i maksimal'noj pod®emnoj sily samoleta "I-5" dlya maloj vysoty Proizvedya takie raschety dlya ryada skorostej, my smozhem postroit' grafik pod®emnoj sily po skorosti (ris. 17); zatem opredelim koefficient peregruzki nu dlya zhelaemogo znacheniya vesa samoleta i najdem radius virazha i vremya soversheniya kruga: Pishnoff-167.gif Velichiny ny, r, t nanosim na grafik (ris. 18). Podobnyj raschet mozhno prodelat' i dlya drugoj vysoty, vzyav sootvetstvenno silu tyagi i znachenie skorostnogo napora dlya etoj vysoty. Samolet I-153 Kak my uzhe ukazyvali, dal'nejshim razvitiem samoleta "I-5" yavilsya samolet "I-15", kotoryj imel bolee moshchnyj dvigatel' i neskol'ko uluchshennuyu aerodinamiku. U samoleta "I-153" krome dal'nejshego povysheniya moshchnosti dvigatelya vozdushnogo ohlazhdeniya byla bolee sushchestvenno uluchshena aerodinamika. Poetomu my ne budem privodit' harakteristiki samoleta "I-15", a pryamo perejdem k samoletu "I-153", u kotorogo manevrennye harakteristiki byli naibolee vysokimi i kotoryj byl poslednim iz manevrennyh biplanov. Oba samoleta, "I-15" i "I-153", byli skonstruirovany pod rukovodstvom N. N. Polikarpova. Shema samoleta "I-153" privedena na ris. 19, ego polyara byla privedena na ris. 15; ona otlichaetsya ot polyary samoleta "I-5" tol'ko men'shim znacheniem Sh i tem, chto aerodinamicheskoe kachestvo povysilos' do znacheniya K=11. Harakteristika poleznoj moshchnosti byla postroena dlya vinta izmenyaemogo shaga pri uslovii sohraneniya postoyannogo chisla oborotov nezavisimo ot vysoty i skorosti poleta. Pishnoff-172.gif Ris. 18. Harakteristiki manevrennosti samoleta "I-5" na maloj vysote Pishnoff-173.gif Ris. 19. Shema istrebitelya "I-153" Raschet gorizontal'nyh i vertikal'nyh skorostej proizvodilsya po grafiku poleznyh i potrebnyh moshchnostej. Pri raschete potrebnyh moshchnostej Npotp=QV/75 pod®emnaya sila samoleta opredelyalas' s uchetom vertikal'noj sostavlyayushchej tyagi, pri ispol'zovanii geometricheskogo postroeniya na polyare, predlozhennogo N. E. ZHukovskim (ris. 20). Na ris. 21 privedeny gorizontal'nye skorosti poleta i vremya pod®ema na vysoty. Kak vidno iz grafika, skoropod®emnost' samoleta ochen' vysokaya. Skorost' otryva pri vzlete ravna okolo 35 m/sek pri srednem znachenii sily tyagi 850 kG; srednee uskorenie pri razbege jsr=3,8 m/sek2, vremya razbega -- 9 sek i dlina razbega okolo 160 m. Raschet harakteristik manevrennosti na maloj vysote proizvodim takim zhe metodom, kak delali eto dlya samoleta "I-5" (ris. 22). Na etom zhe grafike nanesena harakteristika peregruzki, dopustimoj po usloviyu Cydop=0,85Sumah, nu dop = Cydop qS/G. Pishnoff-174.gif Ris. 20. Polyary samoleta "I-153" bez tyagi i s tyagoj Pishnoff-175.gif Ris. 21. Harakteristiki skorostej i skoropod®emnosti samoleta "I-153" Pishnoff-176.gif Ris. 22. Harakteristiki manevrennosti samoleta "I-153" na maloj vysote Zatem, kak my eto uzhe delali ranee, nahodim radius virazha i vremya soversheniya polnogo kruga; eti raschety proizvodilis' dlya poletnogo vesa 1700 kG. Kak vidno iz grafika, maksimal'naya peregruzka dohodit do 3,6 i minimal'noe vremya virazha sostavlyaet okolo 11 sek, t. e. pochti takoe zhe, kak i u samoleta "I-5". U samoleta "I-153", kak eto bylo i u samoleta "I-15", verhnee krylo sdelano po sheme "chajka", t. e. ono ne prohodit nad fyuzelyazhem, kak eto bylo tipichno dlya biplanov, a vygibaetsya i primykaet k fyuzelyazhu. |to sdelano dlya uluchsheniya obzora vpered, chto ochen' vazhno dlya istrebitelya. Blagodarya takoj sheme obrazuetsya ne tol'ko znachitel'naya bokovaya poverhnost', no, slivayas' s fyuzelyazhem, eta poverhnost' pridaet krylu bolee vysokoe udlinenie. Osnovnye kryl'ya, kotorye ne dayut bokovoj sily, ekraniruyut bokovye poverhnosti kak shajby i tozhe uvelichivayut ih udlinenie. V rezul'tate rascheta bylo polucheno, chto aerodinamicheskoe kachestvo v bokovom napravlenii, t. e. sootnoshenie koefficienta bokovoj sily Cz i koefficienta soprotivleniya Ch imeet velichinu 3,5-- 4,0. Gradient bokovoj sily men'she gradienta pod®emnoj sily primerno v pyat' raz. |ffektivnyj razmah bokovyh poverhnostej blagodarya ekraniruyushchemu dejstviyu kryl'ev poluchilsya ravnym okolo 3 m i togda maksimal'noe znachenie bokovoj sily okazyvaetsya ravnym okolo 2000 kG, t. e. bol'she vesa samoleta. Blagodarya etomu samolet "I-153" byl sposoben letat' po gorizontali s krenom 90o, t. e. na boku. Podobnyj svoeobraznyj vid poleta vypolnyalsya prakticheski. Samolet I-16 Kak my uzhe ukazyvali, namereniem konstruktora N. N. Polikarpova bylo -- sovmestit' v samolete "I-16" skorostnye i manevrennye kachestva. |to emu udalos' v osnovnom osushchestvit'. Shema samoleta privedena na ris. 23, a osnovnye harakteristiki dany v tabl. 3. S tem zhe dvigatelem, chto i u samoleta "I-153", samolet "I-16" (modifikacii 1938 g.) imel pochti tot zhe ves, no ploshchad' kryl'ev u nego byla v poltora raza men'she, chem u samoleta "I-153". Razmah kryl'ev u oboih samoletov byl odinakovym. Takim obrazom, osnovnoe otlichie samoleta "I-16" ot samoleta "I-153" sostoyalo v bol'shej velichine udel'noj nagruzki na krylo i men'shem znachenii privedennoj vrednoj ploshchadi F0. Blagodarya etim osobennostyam u samoleta "I-16" okazalas' bolee vysokaya maksimal'naya skorost' -- na 10%, no i bolee vysokaya minimal'naya skorost' -- primerno na 20%. Profilem kryla samoleta "I-16" byl profil' "Klark-YH", kotoryj harakteren neskol'ko otognutoj vverh zadnej kromkoj; na ris. 24 pokazan etot profil' v srednem sechenii i polyara samoleta. Harakteristiku tyagi mozhno vzyat' iz rascheta samoleta "I-153", poskol'ku dvigateli u etih samoletov odinakovye. Znacheniya sily tyagi P=75N/V privedeny na ris. 25. Dal'nejshij raschet proizvodim, ishodya iz znachenij pod®emnyh sil, sposob opredeleniya kotoryh byl uzhe izlozhen ranee, no etot raschet my povtoryaem dlya ryada vysot ot 0 do 11 km (ris. 26). Pol'zuyas' etim grafikom, my mozhem opredelyat' harakteristiki manevra na lyubyh skorostyah i vysotah pri zhelaemyh poletnyh vesah. Ishodya iz vesa 1750 kG i zadavayas' znacheniyami peregruzok ny = 1; 1,5; 2, 2,5 i 3, my nahodim pod®emnye sily i skorosti poleta na razlichnyh vysotah. Po etim materialam stroim grafik skorostej po vysotam pri ukazannyh peregruzkah (ris. 27), kotoryj daet oblasti manevrirovaniya i pozvolyaet poluchit' harakteristiki manevrirovaniya pri vseh skorostyah i vysotah. Pishnoff-177.gif Ris 23 Shema istrebitelya "I-16" Harakteristiki manevrennosti samoleta privedeny na ris. 28, prichem vmesto radiusov i vremeni virazha dany znacheniya uglovoj skorosti pri virazhe w=gngor/V. Na tot zhe grafik naneseny znacheniya uglovoj skorosti pri virazhe dlya samoleta "I-153". Pishnoff-178.gif Pishnoff-179.gif Ris. 24. Profil' kryla i polyara samoleta "I-16" Pishnoff-180.gif Ris. 25. Harakteristiki tyagi dlya samoleta "I-16" Pishnoff-181.gif Ris. 26. Zavisimosti pod®emnoj sily ot vysoty i skorosti poleta dlya samoleta "I-16" Pishnoff-182.gif Ris. 27. Grafik znachenij peregruzok v zavisimosti ot vysoty i skorosti poleta dlya samoleta "I-16" Levye chasti grafikov sootvetstvuyut usloviyam ogranichenij pri Su=0,85Sumah. Kak vidno iz grafika, pri skorostyah, men'shih 70 m/sek (250 km/chas), samolet "I-153" imeet bol'shoe prevoshodstvo v uglovoj skorosti, ili, inache govorya, pri opredelennoj skorosti on imeet men'shij radius virazha. Pri skorostyah, prevyshayushchih 100 m/sek (360 km/chas), preimushchestvo v uglovoj skorosti imeet samolet "I-16". Kakoj zhe samolet imeet preimushchestvo v vozdushnom boyu? |to zavisit ot opyta letchika; samoletu "I-153" ne sledovalo zavyazyvat' boj pri bol'shoj skorosti, a samoletu "I-16" -- pri maloj. Preimushchestvo u togo, kto raspolagaet iniciativoj, a ona u togo, u kogo bol'she skorost'. Pishnoff-183.gif Ris 28. Sravnitel'nyj grafik harakteristik manevrennosti samoletov "I-16" i "I-153" Pishnoff-184.gif Ris. 29. Grafik izmeneniya maksimal'noj pod®emnoj sily s vysotoj dlya samoleta "I-16" Esli samolet "I-153" predlagaet manevrirovanie na nizkih skorostyah, to samolet "I-16" mozhet ego ne prinyat' i udalit'sya s cel'yu podgotovki manevra dlya ataki, a samolet "I-153" lishen takoj vozmozhnosti. Vzlet samoleta "I-16" harakterizuetsya skorost'yu otryva, ravnoj 150 km/chas, vremenem razbega 10 sek i dlinoj razbega okolo 210-220 m; nachal'naya vertikal'naya skorost' u nego okolo 16 m/sek, ugol pod®ema -- okolo 15o. Na ris. 29 dan grafik izmeneniya maksimal'noj pod®emnoj sily s vysotoj, postroennyj po dannym, poluchennym iz grafika, privedennogo na ris. 26; etot grafik daet zavisimost' potolka samoleta ot ego poletnogo vesa. * * Na etom my zakanchivaem rassmotrenie istorii razvitiya manevrennyh samoletov s porshnevoj vintomotornoj gruppoj. My polagaem, chto izlozhennyj material predstavlyaet ne tol'ko istoricheskij, no i metodicheskij interes. Opyt istorii vsegda sluzhit i dlya obshchego razvitiya specialistov, i dlya pravil'nogo ponimaniya putej prodvizheniya v novoe. Bibliografiya 1. Vejgelin K. E., Put' letchika Nesterova, Oborongiz, 1939. 2. Vejgelin K. E., Ocherki po istorii letnogo dela, Oborongiz, 1940. 3. Vinogradov R. I., Minaev A. V., Samolety SSSR, Voenizdat, 1961. 4. Vozduhoplavanie i aviaciya v Rossii do 1907 g, Sbornik dokumentov i materialov, pod redakciej V. A. Popova, Oborongiz, 1956. 5. Delone N. B., Ustrojstvo deshevogo i legkogo planera i sposoby letaniya na nem, Kiev, 1910. 6. ZHukovskij N. E., Teoreticheskie osnovy vozduhoplavaniya, chast' II, Polnoe sobranie sochinenij, Lekcii, vypusk 2, NKOP SSSR, Gosudarstvennoe izdatel'stvo oboronnoj promyshlennosti, Moskva, 1939. 7. ZHurnal "Vestnik vozdushnogo flota", s 1918 g. i dalee. 8. ZHurnal "Vozduhoplavatel'", 1910-- 1917 gg. 9. Krejson P. M., Samolety za 20 let, ONTI, Gosmashmetizdat, 1934, 10. Moiseenko V. L., Predel'nye razmery samoletov, Otdel voennoj literatury pri RVSR, 1921. 11. Rynin N. A., Teoriya aviacii, Petrograd, 1918. 12. "Trudy aviacionnogo otdela Letuchej laboratorii", pod redakciej V. P. Vetchinkina, Moskva, 1918. 13. SHipilov I. F., Vydayushchijsya russkij letchik P. N. Nesterov, Voenizdat, 1952. Izdatel'skij redaktor L. I Munina Tehnicheskij redaktor N. A. Puhlikova Hudozhnik YA. T. Dvornikov Korrektor A. I. Karamyshkina Sdano v nabor 29/III 1968 g. T-10097 Podpisano k pechati 10/VII 1968 g. Tirazh 3600 ekz. Cena 78 kop. Tem. plan 1968 g. No 148 Izdatel'stvo "Mashinostroenie", Moskva, K-51, Petrovka, 24 Izd. zak. 2395 Moskovskaya tipografiya No 8 Glavpoligrafproma Komiteta po pechati pri Sovete Ministrov SSSR, Hohlovskij per., 7. Tip. zak. 678 Ill. -- 59, tabl -- 3, bibliografiya -- 13 nazvanij. Redaktor inzh. K. YA. Zajceva

Last-modified: Mon, 13 Jan 2003 09:15:56 GMT
Ocenite etot tekst: