:



                                

----------------------------------------------------------------------------
       
      , -, 2003
     OCR  ..
----------------------------------------------------------------------------



        

                      ,  

                                   I 

      1 -   
      2 -   
      3 -  
      4 - 
      5 -  

                                   II 

      1 -  
      2 -   
      3 -   
      4 -   
      5 -  
      6 -  
      7 -  
      8 -  
      9 -  
      10 - 

                                  III 

      1 -  
      2 -  
      3 -  
      4 - 
      5 -   

                              

     . .. 
       ""
     "".  . .. 
       "". .., ..
     . .., ..
      . .. 
     




     "    ,    ", -  . 
 ""     -    
  .      ,   
  ,          :  "  ,
   ?"
            : ,  
,    .   ,  
 ,   .
             " be, or not to be...",  
  ,           
    .        "      ,      "
()     "    -  " () - 
,      - .. (1828
.):  "        -  ..."    (1837 .):
"    -    !".
             : "Gertrude, do not
drink".  (    "    ,  ",     ,
:  "      !")   ,  
     : " ?" ",   ,
 !"    "  ..."  
  "The  time is out of joint" (" "),   
          ,     "  
": "   " ("  ").
        "Words. Words. Words"  ". . " -  
.
           ,        - 
    ?   ,  ,    
 (  ),  .  . 
          ,       
.
                   ""      
,              .  
      ,     
            .  
  ,   - ,      
.     , , ,   .
     XX           -  
      ""   ,       
  . (   . . 237-242.)   
          .    
,     ,        
         ,      
          XVII  .,   
     .
        " "     
 "". ,      
      .      ,  
""               "",      
          .    ,
 ""      ,    .
        :
            ,     
     ,          
,    ,    ,     
.      70-    XX .      
"      ".           
              .  (    
"..."   .)   ,   
      ,         
 .
             ,  
,   -    .
          :     
    ,        .
-       ,   
,      ,  "   ,
        ".   ""  ,  
-       ,        ,
         ,
 "" .
              .
,  ,             
  ,      .       
          ,      
 .
           -           
      "" .  , 
    ,     
     ,    
,    .
     ,        ,  - .    -  ,
          .        "
".        :  - 
    ,        ,             
-  .      
              .  
        , 
       .   
      -    ,   -
.  (            
  .     . 315.)
                  
,    ,    ,  , : 
             
        .  
,    ,     .
             ,      
      "",  ,    
    .
           ,   
. (   "",     .) 
     ,    "", 
     ,     ,   
    .       , - 
    .   
   .    - 
  "",        ,       , 
    -    , 
     ,     .
         ,      ( 
)           "
"    ,           
? (         "
  ".)



              25  1997 .   
  "  be, or not to be...".      , 
    .              , 
      .               
..,   XX , ,   
       .   60-
               
.   ,           ,     
   .
               
        .
        ,                
.     .
             . .., 
    ""      
, , ,  ,    .
              ,  ,
,          .         
  .   ,     
 achernov@ru.ru

                                                                
                                                               6  2003 .




                       
                         



     ,       
     ,  ,   
        
     ,  ,      
     ,  
     ,     
     ,  
     ,  
     ,    
        :
     
     
      :
     
     
     
      :
     
     
     :
      ,   
     -
     -
     -
      (-):
     
     
     ,  
     ,  
      ()
     
      ,  
     
     
       ()
     , , , ,
     , , .

                           - 



                                   1

                       .
                      .  .

                                  

                      ?

                                 

                        !..  !

                                  

                     !

                                 

                                      ?

                                  

                                                 .

                                 

                    , -!..   ?

                                  

                      . , , .

                                 

                    ,  .  .
                     -     .

                                  

                      ?

                                 

                                      .

                                  

                      .  
                      , ,
                     ...

                            .

                                 

                      ?.. ,  !

                                  

                                                 
                     .

                                  

                                       .

                                 

                      !

                                  

                                   , !
                      ?

                                 

                                     .  ,
                      ...
                                  ()

                                  

                                   , !

                                  

                                                     ,
                    ,   ?

                                  
                               ( )

                                         .

                                  

                    ,   !.. !.. !..

                                  

                     ,   ?

                                  

                     - ...

                                  

                                      ,
                        ,
                          ,  
                        ...
                        
                     ,    ,
                      ...

                                  

                                            ,
                        !

                                  

                                          ,
                         ...

                                  

                     -  ...

                                  

                                          ...   ,
                     ,   ...
                      !..  ,
                       ...

                                  

                                         !.. !.. !..

                               .

                                  

                         .

                                  

                    , !  , 
                      ...

                                  

                                        , ?.. ?..

                                  

                     ...   ...

                                  

                    , !

                                  

                                      , !

                                  

                     ,   
                      ,  ,
                      ?    ? ,
                      !

                                  

                                      .

                                  

                    ...

                                  

                                 , 
                      !..

                               .

                                  

                                         ?

                                  

                      , ?

                                  

                                       ,
                      -    .
                        -  !

                                  

                         ?

                                  

                        .  ,
                          ,
                           ,
                    ,   , 
                        ...
                    !

                                  

                                    
                        ...

                                  

                                                 ,
                        .
                      :   
                     ...

                                  

                                           ... 
                     ,   ...
                          ?
                         ?
                       - 
                     ,  -   .
                     . - 
                      .    -
                     ,  .   ?
                       ?

                                  

                                           
                     ,     .
                    ,      ,
                         
                       
                    ,  
                     .    -
                         
                        - -
                           ... 
                        ,
                       ,
                    ,   
                     ,   ,  ,
                      
                      , 
                       
                    ,     .
                      ,  ,
                     ,  ,
                       , 
                     ,   
                      , ,   -
                        , -
                       
                    ,  .
                      ,  ,
                         ...

                                  

                    ,   ...   , !
                        
                        .
                      -  ,
                        -   !

                                  

                                                 !
                         
                        .
                        -   ,
                      ,    ,
                     . 
                      .   
                     .   
                     .  
                       ...   ,
                    ,    ,
                      ...   
                        
                     ...

                               .

                                            ?
                     ?.. , ,
                    ,    ,
                          !
                    , !   
                     ,  !
                              ,
                               -  ,
                        ,
                        ?
                              ,
                              
                        ?
                        
                     ?
                             ,
                         
                    , - , ,  
                    , ,   ! -

                                 .

                      . !  !..
                    ,  !

                                  

                                            ?..
                    ?.. ?.. ?..

                                  

                                                 !
                      !..

                                  

                                           !

                                  

                                                 !

                                  

                    ...

                               .

                               
                      ,  ...
                      ,  ,
                      -   ...

                                  

                     ,   -  ...

                                  

                      .  ,
                      ,     ,
                       
                       
                     ...   
                      ,  ,     ,
                    , -   
                      .  
                    ,   -  .

                                  

                    ,  ,   .
                        
                     ,   ,
                      - 
                      ,   ,
                        . 
                         
                      !

                                  

                                                
                         .
                     - .   .
                    :     
                      -   
                     ,    
                     ...    -
                      
                         .
                      ,
                    ,  -  ,
                        .
                     ,   ,
                      ,  
                       ,  
                         .

                                  

                     , !.. ,  ,
                       -   ? - .
                                 (.)


                                   2

   . .    ,   , ,
                  , ,   

                                   

                        
                     ,   ,
                       
                     , 
                         .
                        
                      ,  ,
                       , 
                       .  
                       ,
                    ,   
                      ,
                      ,  ,
                      ,
                       ,    
                     .   ,
                    ,   .
                        .
                       . ,
                       
                    ,  ,
                        ...
                       
                     ,    ,
                       ,
                      ,  
                       
                     ,    .
                      ,    .
                      .  
                    -,  
                     -  ! - .
                         
                         
                    .   - 
                      ,   ,
                     ,  , 
                      . ,
                        
                      . ,
                       .   .

                             

                        !

                                   

                        . .

                                .

                    ,      ?
                     -   -
                    ?    ,
                          
                      ? 
                         ,
                         ,
                         .
                         ?

                                   

                                               !
                      
                      .   
                         .
                      .   ,
                     , ,  ...

                                   

                                                 
                      ? , ...

                                  

                    ,    .
                      ...

                                   

                                         , .
                        ,
                        .
                      ,  ,  ...

                                   

                      ,   .

                                   

                           ?

                                   

                    , .  ,   .

                                  

                      !   .
                        .  
                         
                      ?   :
                    ,  ,  
                     .  ?

                                   

                                          .

                                  

                       ,  
                        ?

                                   

                    ?    ""?
                         "".
                         ,
                     -  ,  -
                      ...  ,    -
                       .    
                       .

                                   

                       , ,
                        .
                     .  
                      ,  .   
                         
                     .   
                        .
                       .  -
                       -   ,
                    ,  ,
                     ,   .
                       ,   ,
                         ?
                     ,   ,
                         .
                      -  ,
                        .
                      .   -
                         
                      - :
                    "  !" ,   :
                      
                         .
                       ,  
                     ,  ,  ,
                          ,
                         
                      , 
                     ...    
                     -     
                     -     .
                      :   .
                          
                     -   ,   .

                                  

                        .
                     ,    !

                                   

                        .

                                   

                    ,   .
                        . , ,
                        .
                       :
                        
                         !
                         
                      ,  
                        ,
                       .  -  !

                        ,  , .

                                   

                    ,   ,  ,
                     ,  !
                         
                    ,  ,   ,
                         ,
                         ,
                         
                       ?
                     ... -  ,  ?.. -
                      ,     
                     -   
                     . .    ?
                    ...   ? , ,
                        ! ,
                           -
                        !
                         ,
                         ,
                     ,   
                     ... ,  !.. , ...
                        ?
                       ...  
                       ,
                          
                     ,  ...  , 
                     -  ...
                        !  
                      ...     .
                        ,
                         ,
                    , ,    .
                         ?
                          ?
                      ,   ,
                        .
                     !..    .
                       .
                         - ,
                      ?..   -  !

                     ,   .

                                  

                      , !

                                   

                    ,    !..
                    ,  , ,
                        ...

                                  

                                                 
                         .

                                   

                        , .
                      ,    .
                       ?

                                  

                     !..
                              ()

                                   

                                           ...
                                ( )
                    ,  , !..
                                ( )
                                              ,
                    -    ?

                                  

                    , ,   .

                                   

                     !  
                          .
                     ,   ?.. ,
                    -,    .
                         ?

                                  

                    ,   ,  
                       .

                                   

                       .   !..
                     -    .

                                  

                    -,     .

                                   

                    ,  ,  .
                       
                          .
                        ,
                           
                      ...  ,  
                       ...

                                  

                                               
                     ?

                                   

                                   , .

                                  

                        ,
                     ,    .

                                   

                         - .
                       .

                                  

                                         , .
                    , ,     .

                                   

                    ?  ?

                                  

                                          ,
                     .

                                   

                                     ?

                                  

                                                 
                     ,   
                    .

                                   

                                  , !

                                  

                     ,   ,
                        .
                    ,   ...   ,
                    ,  ,
                    --   ,  
                    ,   ,
                       
                       ...
                     , , , ...
                    ,  
                      ,  
                     ,    ,
                           .
                     !    ,
                       ,
                         
                     ,  ...   ,
                       .

                                   

                                         ?

                                  

                       .

                                   

                                                
                       ?

                                  

                                              ,
                         .  ,
                      ,    
                     ,    ,
                      ...

                                   

                                     .

                                  

                     ,     ,
                    -     .

                                   

                         ,   .
                    ...   ?

                               

                                             , .

                                   

                     ,     ?

                               

                      .

                                   

                                       .
                    , ,    .

                                  

                       ,    .

                                   

                     ?

                                  

                               , ,  .
                      .

                                   

                                       ?

                                  

                                                     ,
                     .

                                   

                                       ?

                                  

                      ...

                                   

                                      .

                                  

                    ,    !

                                   

                                            .
                        ?

                                  

                                                  .
                     ,  ,   .

                               

                      , !..   !..

                                  

                      ,     .

                                   

                    ...  ?

                                  

                                         ,
                      .

                                   

                                             ,
                         .
                    ,    ...

                                  

                      .

                                   

                                        
                        
                      , - ,
                         ...
                       :  
                      ,   ,
                       , -   .
                     ...   . , 
                        ,
                     ...

                        ,   

                                       , .

                                   

                       . !

                    ,    .

                      ...   ...
                    ,  ...  
                    -  ...
                      ...  , !
                     ,  , ,
                      -   .
                     ,    .
                                  ()


                                   3

                  .    .

                                   

                      .  .
                      ,  ,
                       ,  
                         .

                                   

                     , .

                                   

                                          - 
                     . ,   ,
                       .
                     - ,   .
                    ,    , -
                         .
                        
                        ,
                       , ... - ,  ! -
                      ?    ?
                     , ,
                     ...

                                   

                                     ,  ?

                                   

                    ,  ...   .
                    , ,  .
                    ,   ,   
                    , -   .
                    ,    
                         ...
                         ,
                        ?
                     ,  ?  ,  .
                          .
                     -      
                      .
                      ?..  ?
                         
                      ,
                        .
                       ,  ,
                      ,   ,
                          -
                       ,  .
                      . 
                        .
                      ,
                         !
                    ,  , ,
                        ,
                      
                       ...
                        
                       ...
                       ,
                      -  ? -  .

                                   

                         ,
                    ,  ,  ,
                        
                      ,  ?
                       ,
                     ,    ,
                        
                        ?

                               .

                                   

                    ,   !..   
                       ...
                       ...
                             (  )
                                        ,  
                      ,
                        ,
                      -  .

                                  

                      ?..     !..
                         ,
                      - ... .
                      ,
                       (    )
                      :
                    -, - ! :
                     ,  .
                     ,  ,   .
                       ,   .
                    ,   ,
                         .
                       :
                       ,
                         -
                        .
                       ,
                          .
                        
                        .
                        ,
                      -  .
                     ,   
                      .   .
                           ,
                     .  
                     ,    .
                    ,   
                       ,   .
                         
                     . .   !
                        .

                                   

                         .

                                  

                     .     - !
                      ,   .

                                   
                           (  )

                    , ,   
                     .

                                   

                                     ,
                         .
                                ()

                                   

                    .
                                  ()

                                  

                                    ?

                                   

                     ,      ,
                      .

                                  

                                        ,
                         .
                      :   
                        
                     .    .
                    , ,    .
                      ,  , ,
                    ,      .
                     ,  ,  .
                    ...,    ...

                                   

                    ,    .

                                  

                         !
                    ...    ?

                                   

                     ,   ,   .

                                  

                          
                       ,
                       
                       ,
                     ,    
                        .

                                   

                       
                        !

                                  

                    ,    
                    ... -...

                                   

                                      !..

                                  

                     ,     .
                    ,    ,
                        .
                      , , ,  
                      .  
                        .
                       
                        .
                    ,  .    -
                     .    -
                       ,
                      ,  .
                    ,    :
                        
                         
                      .  ?..
                     ?..

                                   

                                     .
                                 (.)


                                   4

           .  ,   .

                                   

                      !  ,  ...

                                  

                     ,  ,  !

                                   

                     ?

                                  

                                    - .

                                  

                      ...

                                  

                                         ,
                      ,   
                       .

                    ,  .

                    ,    ?

                                   

                     ,      .
                      ,   .
                      ,   
                     ,    ,
                          
                       .

                                  

                                           
                      ?

                                   

                                    , - .
                    ,   
                    ,    ,
                      :   
                       
                       .
                         ...
                        ,
                       - ,  -
                     -   
                       ,
                        .
                         :
                         
                    ,    
                    ,   
                     ,  
                    ...   - 
                    ,   ,
                    ,   
                    ,    ,
                      ,  
                     ,   
                      ...  
                        ,
                     ,   ,  ,
                         .

                             .

                                  

                    ,    !..

                                   

                        !
                          -  ,
                       -  ,
                          ,
                         .
                     :    
                     -   
                    "  !..",  "!..",
                       - "  ,
                     !..",  ,  ,
                         ,
                     ,   
                     ,  
                        ,  
                      
                       ,
                         , -
                        
                         ?
                     ,  -,
                     ,    
                     , ,
                         ,
                      ,     ?

                          .

                                  

                    ,     ,
                       - 
                     ...

                                  

                                    ,  
                        ...
                      !..

                                  

                                      !..

                                   

                      ,     .

                                  

                    ,  !

                                   

                                            ?
                     ?   
                     ,   
                       ,   .
                    ,     !..

                                  

                     ,     ,
                         ,
                      ,  ,
                      ,
                      
                       ... ,
                       :
                         ,
                      
                     ,   
                     ,    ...

                                   

                    ,  ...

                                  

                                   , !

                                   

                     !..

                                  

                                  ,  !

                                   

                      ? , .
                      ,   
                      ,   ?
                     ,    ,
                         (,  )
                      
                     ,    .
                    , !.. .   .

                 .   .

                                  

                    .    .

                                  

                      ,   .

                                  

                    ,   .

                                  

                        .

                                  

                      !..

                                  Map

                                              !
                                 (.)


                                   5

               .      .
                       ,   ,
                        .

                                   

                     ?    .

                            .

                                  

                        ...

                                   

                       ...

                                  

                                         ,
                        
                       ...

                                   

                                               ...

                                  

                       . 
                     ,   .

                                   

                     ,   !

                                  

                    , ,    .

                                   

                      ,   ...

                                  


                      , 
                        ,
                         ,
                      
                     -    .
                         ,
                        
                        
                     ,    
                     ,  
                       .
                      ,
                       ,  
                      ,   , 
                      ,  ,
                       .
                         
                    ,     ...
                       ...  ,
                         .

                                   

                     !..

                                  

                                    
                        .

                                   

                    ?

                                  

                               ,    .

                                   

                      -  ,
                          
                        
                    ,  ...

                                  

                                             ,  ,
                         ,
                       .
                     .   ,
                      ,      ,
                      . ,
                       ,   ,
                          .

                                   

                    , ,     ...
                     ...

                                  

                                 ,  ,
                    , , .
                      ,  
                     -  ,
                       .
                        .
                    , , ,   
                        
                      ,   -
                     ,  ?
                        ?..
                      ,  
                        ,
                       ,
                      ,  ,
                     ,     ,
                       
                       .
                     ...   ...
                    ,      ,
                          
                        
                         ...
                    ,     
                        ,
                    ,  ,  
                        
                    ,   ,
                       ... 
                       .
                        :   ,
                         
                      .  ,
                       ,
                        ,
                     ,  ,
                         
                     .    
                    ,   ,
                      -  , , ! -
                      ,    
                     , -     ,
                     , ,  
                       
                     . 
                     ,  .  :
                     ,  ,     
                       .
                      . 
                    ,     ,
                       ... ... ...
                        
                     ,   ,
                         ...
                    . ,    .
            (   ,    )

                                   

                    ,  ,  ?
                        ?
                     !..  , .
                      ,  .
                           (  )
                    , ,    
                       ,
                    ,    :
                       
                       
                     ,   ,
                     ,  
                      ,  
                       .
                     -   , 
                    , .   
                     ,  ,
                        ... ,
                     ,  ,  !
                      ,   
                     ,  ,
                       .
                    ...     .
                      (-    )
                        -  .
                    , , , ...    -
                    . ,    .
            (  ,      )
                       ...

                          .

                                  

                                    ,  - ?

                                  

                    ! !

                                  

                                       !

                                   

                      .
                              (  )

                                  

                                  -, , .

                                   

                    ,  .   ?
                    -, -...

                                  

                                    ,  ,  ?

                                  

                    ,  ?

                                   

                                            ?
                    .

                                  

                                 ?

                                   

                     ,  .

                                  

                                             ?
                    ,    .

                                  

                                             .

                                   

                         ?

                               

                       !

                                   

                                           .
                        ,
                     ,   .

                                  

                    ,   ,
                         .

                                   

                     ,     ,
                     , ,  .
                     ,   ,
                       .  - ,
                     ,   
                    .   -  ? -
                     .   ,
                       ,  
                      -   .

                                  

                         .

                                   

                     . ,   .
                    .

                                  

                                , .

                                   

                        .  ,
                       , -
                      ,  .
                    -    
                     . (    - ,
                         ,
                        .)
                    ...  ,   ,
                     ,  ,
                     ,    ?

                                  

                     , ,    .

                                   

                       .

                                  

                     .

                                   

                                  .
                    .

                                  

                                   .

                                  Map

                      - .

                                   

                                   .

                                  

                     .

                                   

                                  __  -  .

                                  
                                  ()

                    !

                                   

                    -, ,    ?
                    ... ,    
                       ? .

                                  

                     ,    ?

                                   

                         
                    ,     .

                                  
                                  ()

                    !

                                   

                      . , 
                    ... -, , .
                     -  .  
                         
                      ,   ,  .

                                  
                                  ()

                    !

                                   

                    ,  ,  .
                        .

                       .

                       .

                                  

                      ... ,   .

                                   

                        .
                    ,    ,
                        .
                     .  
                     , -   ,
                        
                    , ,    
                      ,   ,
                    ,   ,  ,
                     ,  ,  ,
                      , 
                    ", - ...",  "  
                     , , , ..." -
                      . ,
                         .

                                  
                                  ()

                                              !

                                   
                    , , ,  !

                        .

                    , ,  ,
                       .  
                       ,  ?
                        . .
                    ,     .
                       ,
                       .
                      , , - ,  .
                                 (.)

                                 I 




                                   1

               .    .

                                  

                       ,  .

                                 

                      .

                                  

                        ,  ,
                       ,
                       .

                                 

                                         , ,
                        .

                                  

                                         ,
                      .  
                    ,    
                    :   ,  
                      ,   
                     , , ,  -  .
                      ,  .
                    ,    
                      ,    ,
                       ...   ?

                                 

                    , .

                                  

                    ...,   ,   .
                      ,  
                     ,  ,  - ,
                     ...  
                         ,
                      ,    .
                          ,
                     ,   ,
                       .

                                 

                     ?..

                                  

                     , ,   ,
                        , ,
                     , , 
                     ,  ,  ...

                                 

                    ,      ...

                                  

                    ,  ... , , ,
                         
                       ,    
                     ...   
                      ,  ,  , ,
                         
                       ,
                       ,
                        
                     ...

                                 

                                         ?

                                  

                       ?

                                 

                                         , .

                                  

                    ,   ?..   .
                     -   ! - ,
                         ,
                        ,
                      , -   ! -
                        ,
                       
                      : "  !",
                    : " !.." - 
                        
                     ,   
                    ,     .

                                 

                    , !

                                  

                                      ?

                                 

                    ...  : "  !"

                                  

                    ... .   :
                        
                      , ,  .  
                         ,
                        ...
                     , ,  
                        (   ).
                    ... , ,  
                       . 
                       ,
                       .
                       ,   
                     , -  .

                                 

                     ,  .

                                  

                                           .
                         .

                                 

                     .

                                  

                                    ,
                         .

                                 

                      .

                                  

                                  !

               .   .

                                  

                                           ,
                    ?

                                   

                            , , 
                    !..

                                  

                                 ,  , - ?

                                   

                        ,
                          
                     ,   ,
                       ,
                      ,
                     ,   ,
                      ,   ,
                       ,  
                         ,
                        .

                                  

                        ?

                                   

                     , , ,   .

                                  

                      ?

                                   

                                      
                     ,   
                     -  ! -   
                       ,    ,
                     ,    ,
                      - ...
                     ,   ,
                         
                       ,  
                     ,  ,  
                      ,  -   ,
                      ,   -
                     -  - .
                    ...    
                      ,    .
                        
                        - ...

                                  

                        !..
                      ,
                       ,
                      . 
                    ,   :
                       ,
                      -   .
                    ...,    ,
                        ?

                                   

                      ,     ,
                      ,  
                         .

                                  

                          .
                      ,   
                        ,  
                         
                      ,  ,
                          ,
                          
                    -    -
                       ! -   
                     .  ,
                        
                      ,
                    , ,    
                     ,    ,
                        .
                          .
                        
                     ,    
                     ... , !..

                                 .


                                   2

             .      .
        . .    ,  
                     ,   .

                                   

                    ,  ,
                     ,  , ,
                      ,   , -
                       -  
                      .   
                     ,  , ,
                      ,   ,
                        ,
                     -,  ,  
                     , -  
                        
                         .
                       ,    ,
                        ,
                    ,     
                     ,  , -
                      ,  ,
                    ,  
                      ,  
                         
                     ,    .
                    ,   ,   .

                                  

                         !..
                    ,  ,  
                       
                        ,
                       .
                         
                       ,
                         ,
                    ,   
                      .

                                 

                       
                        ,
                       
                    ,   
                    ,   .

                                

                                             
                     ,  
                      ,  
                       ...

                                   

                                           
                    ,    !

                                  

                    ...,    !
                       
                       
                     . -, ,
                        ?..

                                

                          !..
                         !..

                                  

                    !

                    .
                               .

                                  
                              (  )

                     , !
                        
                     .

                                   

                                        
                       .

                                  

                      , ?  ,
                       
                      ,   
                    ,   
                     ...  ,   
                       ,  
                      ...

                                   

                    , ,    !

                                  

                       ,
                       - ,    .

                                   

                         !

                               .

                     , ,  
                      
                        .

                                  

                      ,  
                     ,   
                          
                    ...

                                   

                                      ,  .

                   .

                     ,  !
                     ,    
                    ?

                                 

                              , .
                       
                       .
                       ,
                        ,
                         ,
                       ,  
                       ,  
                        ,  
                       .
                      ,  
                       
                      .   
                       
                    (     
                       !)   
                       ,   ,
                        - 
                        
                       
                       .
                             ( )

                                   

                     ,     ,
                       ,
                      , ...
                       . ,
                     -      !
                    ,  !..

                                .

                                  

                                           ,  
                      . , ,
                        
                        ,
                       ,    ,
                       ,   -  ,
                    -,  
                      ,  - -  .
                     ,   -
                     ,   - 
                       ,  
                     : ,   .
                    ,     
                    ,     ,
                       ,   ?
                        ...

                                  

                     , !

                                  

                    , ,   :
                        -  ,
                     ,   ,  ,  ...
                       ,
                        ,
                       !..  ,  
                        . 
                        ,
                    , ,    
                     ,  ,
                    ,   
                      
                    . , ,  ?
                        (   )
                     ,     .
                     ,    ,
                      ,   , -
                     ! -    ...
                        .
                                  ()
                    " ,   ,
                    ,   
                    ..." -
                                      ,   
                     ,  -
                    __... -  !..
                    "  ..."
                    -,       ...

                                  

                       ?..

                                  

                    , ,    .
                    , :

                    " ,    ,
                     ,    ,
                     ,     ,
                     ,     !

       ,          ,   
        -,    ,  
    ,    . . , , ,   ,
     - ... ".

                      ,
                        ,
                       -  ! - 
                      -,   .

                                   

                        ?

                                  

                                          
                       ?

                                   

                                           -
                        .

                                  

                        .
                        , 
                         ,
                       ,  
                        ,
                       ...   
                     ,  ,  ,
                      
                     ,
                        ,  ,
                    -    
                       ... , ,
                        ,
                        ?..  ,
                      ,  
                     ,     -
                       ,  
                       , - ,
                       ,  !..
                      ?..  ,  ,
                    , -    ! -
                    ,  ,  , ,
                        ,  
                      ,    -
                    . . .

                                   

                     ,  __ -  __!

                                  

                     , -,   .

                                  

                      ,   ,
                      ,   ,
                      ?..

                                   

                                     -  .

                                  
                (   ,    )

                       , 
                     ,    
                      ,
                      ,  
                          !..

                                   

                    ,    .

                                  

                      ,    
                      ?

                                   

                                        .

                                  

                          .
                          
                      .   ,
                        - , -
                         :
                         .

                                   

                    ...    .

                         ,  .

                                  

                    ,  !..   ...

                                  

                    ,   ...
                       ,   !..

                          .

                         ?

                                   

      , .

                                  

     ,   ?

                                   

     , .  - .

                                  

      -   .

                                   

         .

                                  

      ?..

                                   

     , .     -    .

                                  

     ,   , !

                                   

            ,   ,
  ...    ?

                                  

     , .

                                   

           .    ,     
  .   ...
                           (  )

                                  
                                ( )

         ?    ,      ,
    .      ...         
,        ,     ... 
... ,   ?

                                   

     ,  .

                                  

       , ,  -  ...

                                   

      ?

                                  

        .

                                   

              .  -
,   ,    ,    , 
         , -    .
  ,     ?   , ,    ,
     . , ,     .

                                  

        ,        .    
 ,  ?

                                   

      ?

                                  
                                ( )

         !    .    
,       ... ... 
,    - ...
                                 ()
      ,   !

                                   

            .    ... 
 ...  ...

                                  

       !..
                                  ()

                                   

         ...

                        .

                                  

        ?  .

                                 

        , !

                               .


                                

      !

                                 

      !

                                   

     ,    !..    ?   , !..
, !..  ?

                                 

        ,  .

                                

       ,    .     ,  
  ...

                                   

         ,    ?

                                 

      , .

                                   

             ?

                                

      .      .

                                   

     ,   ...     ?

                                 

     ,  ,     .

                                   

     ,      . ,  ,   . 
 ,       ,     
?

                                

      ?..

                                   

     , ,   - .

                                 

     , ...     - .

                                   

       -  ,        , 
  -   .

                                 

        , .

                                   

     ,       -  .     
 .     - .

                                 

       ,         .  ,
  ?

                                   

     ,         .      
 ... ,        ...

                                

           .      -  
.

                                   

        -    .

                                 

     ,         ,  
   .

                                   

             ,     -  
.    - ! -      ...   
  ?

                           

        !

                                   

       ,     .    
 , -  ,     ...

                                 

          -  .

                                   

       ,     .    -  .
,            ...      , , 
?

                                

        , ?

                                   

       ,  ... , ,    ...   
 ...    ,    . ,  
 ...  ,  ,   ...

                                 

     ,  ?

                                   

          .      , 
    ,            , -
    ?

                                 
                            ( )

      ?

                                   
                                ( )

     ,  ...  (.)          ,  
!..

                                

     ,    .

                                   

       - ,       .  
   ,     .    -  
  -        ...    :    
?   ?..   ,    
    ,        -     ,
    ,  -        ...
      -  !        ! 
  !    ,   -
  .  ,  !..    
-  ,      -    .      , 
,        , ,    , 
.

                                 

     ,        !

                                   

        ,   ,   ,    
?

                                 

     ,        ,      .
- ,       ...

                                   

           .            
,             ,  
,            .     
.   ,       ,
      ...      ?

                                 

           ,    -    , - 
.

                                   

        ?  -...

                                 

     ,        .

                                   

        - ?

                                 

     ,  .

                                   

      ? ?

                                 

       ...  ,   .  , ,  
-   .           ,      , 
    .         " "
(   !),  ,   ,     
  . , ,      .

                                   

         ?..      ?..    
,       ,       ,
 ?.. ,       ...

                                 

       :          ,   
        .       
  ,        .

                                   

      ?

                                 

     ,    !..

                                   

         ?

                                 

     , .      -    .

                                   

       .    ,  ,    , 
  ,  ,  ,            
.      ,       ,        
...

                                .

                                

       .

                                   

     ,       ! ,   !..  -
      .    ,        , 
  ...         , ?..  -
! ,    -   -...

                                

        ,  ?

                                   

           --.     ,    
.

                               .

                                  

      , !

                                   

     ,  ,     . ...     - 
.        .

                                 

     ,      ?

                                   

      ,     . (.)  , , 
   .

                                  

     ,     !..

                                   

     ,    !      ...

                                  

       , !

                                   

         ?.. !

                                  

      !

                                   

                    ...     !

                                  

            !      -  ,  ,  
,      ,      -,            
-,     -,    ---
,            
    !        ,   . 
 , ,   ,     !

                                   

                     ,  ,
                       !..

                                  

        , ?

                                   

        -
                      ,
                       ...

                                  
                                ( )

        ...

                                   

        ,  ?..

                                  

     ,  ,    -  .       ,   
.

                                   

         .

                                  

       , ?

                                   

        -
                     ,   ...

        -
                       ,   ...

                 ,  
...      !..

                                .

       ,  ,   !   . ,
  ,  !..  ?..   ?..  ,
          ?..      , ! 
  ,         !  ,
        ,       
  .    ,      !   . , 
,  ,  ,      -  ...  
...

                                 

          ?

                                   

           -...        .   
,      .          , 
  .  -,   ,   -  
       ,    . , ,
        ,   ,   
, - ,   .   ,    
      :       ,   ,  
   .   ...

                        ...

,  ... ...

                     ,  ,  
                        ,
                       ,  
                      
                       .
                      , ,   
                      ,  ,
                      ,  -!..
                    ,    ,
                        !..
                     ,  ,   ,
                      
                      ,  .
                        
                     ...

       - .

                                  

     -, ,  .    -  ,  .

                                 

                                       .
                       ,
                         -
                        .
                      ...  ,
                      ,   ,
                        .
                        ,
                        ,
                        
                    ,     .
                      ,  .
                           -
                       ,  ,
                          ...
                        ,
                        ,
                         , -
                        ...
                     , ,    ,
                    ,   :
                         
                     ,     !
                    ,      ,
                       ,
                        
                        !..

                                  

      - ....

                                   

              . ,  .
        ,    .  
...

                                 

                       !..

                                   

     ?..

                                  

      . " " -  !

                                 

                      ,  ,
                    ,   ,
                         .
                     ,   ,
                       ,  ,
                     ,   ,
                       -  !
                    ,        ,
                           !
                          ,
                      , ,
                         
                       ,
                         
                       ...

                                  

     , ,    !.. , !

                                   

     .   . (.) ,     
   ?    .  , 
      :   -         .
     ,   ""  .

                                  

     ,    .

                                   

     ,   ,  !   ,   
.         .   , 
  .  .

                                  

     , !

                                   

       , .  .

                    ,  .

      , ...     " "?

                                 

     , .

                                   

             .       ,
    ,        -,       
?

                                 

     , .

                                   

     . ,    .    ,  
 .

                              .

     ,    .    !

                                 

       , !

                                   

                     .   .

                        .

                    ...  ,   .
                          ,
                       ...   
                     ,  ,
                      ,
                         -
                         ...
                     ,   ,
                         ...
                    - ?.. , , - .
                       -    .
                    ...  ?   ,
                         ?
                          ,
                        ,  ,
                      ,     ,
                     ,   ?
                      ,  
                       ?
                       ,  ,
                        ,
                      
                         ?
                         ,
                       ,
                         ,
                          .
                    ... ,  ,
                      ,
                         ,
                        .
                     - ?     ,
                        ,
                      
                        ...
                       ,    ,
                     ,   ?
                    ...,  . ,  ,
                        !..
                      ?   
                         
                      
                      ,
                     ,  ,  ,
                       
                        ...
                          !
                    ...,  .     ,
                     ,   ,
                      
                        ?
                    ,   ,
                       - -  ...
                    ... ,  !.. , , 
                       .
                     , !..
                    ,   ,
                    ,     ,
                       
                       .
                    ...   
                      ,  
                        .
                       - ,  ,
                       .  ,
                      -  ,  ,
                      ...
                    ,     . 
                        
                       .   
                      ,  
                        ...  
                      ... , 
                     .  -
                     ...  ,   ,
                        .
                                  ()


                                   3

 .  , , , ,   ,
                                   .

                                   

                       
                    ,   ,  ,
                       ?

                                 

                     ,     ;
                        -   .

                                

                      -  .
                       ,  ,
                          
                        ,
                      ...

                                  

                                        ?

                                 

                     .

                                

                                     ,   .

                                 

                       ,    
                      ...

                                  

                                             
                     ?

                                 

                                      ...
                        .
                      ,    .
                     , , ,
                        ...

                                  

                     .   
                        .

                                   

                     -  .  ,
                     -   ...
                     ,     .

                                 

                    ,    .

                        .

                                   

                    , ,  ,
                       ,  
                     ... ,   ,
                       ,  
                        ,
                    ,  ,   ,
                        
                     ...

                                  

                                    ,  ,
                     ,  , ,
                        
                      ,
                    ,  ,   
                     ...

                                   

                                           
                        .

                               .

                                  

                    ,  .
                       ...  
                     -  
                     ,  ,  ...
                     -    ! -
                        
                       !..

                                   
                                ( )

                     ,    .
                        -   .
                      
                      ,   
                     ... ,  !..

                                  

                     !..   , !

                    .  .

                                   

                        ?..   !..
                      
                        ,
                    ,  , 
                     ,  -  ,   ...
                     , .    ,
                        ,
                      .  
                      .
                     .  .     ... ,
                        .
                     ,   ,
                      .  
                       ...
                       , ,
                    ,  ,
                     ,  ,
                     , 
                        ?
                        
                     ,    ,
                        ?
                      - ? - -  ,
                      ,   
                     ,  ,
                    ,   
                       , ...
                      ,   .
                      
                       ,
                       
                      .
                       .
                    ...,   , ,
                       ?..

                                   

                                             , !
                    ,    , ?

                                   

                      . .

                                   

                    ,    ,
                         ,
                     ...

                                   

                                     ,     !
                         .

                                   

                     ,   ,
                     ...   ,
                     ,    
                        ...
                    ,    ,
                       ,
                        ,
                    , ,   !..

                                   

                    ,  !

                                   

                                            ?..

                                   

                    ,  ,  ?

                                   

                    ,    .

                                   

     :      ,     
   .

                                   

          ,    ?

                                   

     ,  ,           
,            .  -  
,     -  ...    -.

                                   

     , ,      .

                                   

           :      
 ,      .    .

                                   

     ,  .

                                   

         .      ?     
,          .    , 
,   , , .     ,
  ,    , ,   , ,
  .    ,  ,      ?
    .      .    ... ,  
?

                                   

      , .

                                   

      ,      .  .

                                   

     ,  ,  !

                                   

         ,          :  
,    ,   ,  ,     .
,      !         ,  
.        ,            . 
,  !   .

                                   

      ,  !

                                   

           !       ,   
.    -  ,  .     
 ,      .   ,  
    .    ,      . , 
  ,    ...    ,  .     
.   !
                                  ()

                                   

                    ,    !..
                        
                    ,   ,
                     ,  ,
                     ,   
                      ...  
                        ...  ,
                      ,
                       
                     ,   
                      ...
                      ,  ?..
                      ,
                        ,  .
                        ,
                     , -  
                        ,
                      -     !..

                            .

                                   

                    ?..  .  
                      ,   .
                         ...
                    ,   - -,  
                         
                     .  ,
                         ...
                    , ,    ... 
                       . 
                      ,   
                     .  ,
                        ,
                     ,      ,
                      . , 
                     ?..

                                  

                              ,   !
                      - ,
                         ...
                      , ,  
                       ,
                       ... , ,
                      . ,
                      ,   ...
                       ,
                     - 
                        
                       
                     .   
                           .
                          
                      , 
                        ,
                      ,   .

                                   

                                                   ,
                      .   ,
                      ,  .
                                 (.)


                                   4

                    .     .

                                   

       ,    .     .  
     ,      ,     
  . ,      . , ... 
  ,  , ,       .   
.     ,        
.  ,     ,     
  ,           . ,   
-,      !     ,  
  ?..   ,  .

                                 

      ,  ,  .

                                   

           .      -     .  
:          ,    . 
    ,      - .  
  ,    -    ,    ,        , -
.      ,  , , , -  
  ,    ,      .
    ,    ,       , 
  ,    ,    ,   - 
  ...  ,       ,
     .

                                 

      ,        .

                                   

     ,  ,   .     ,  .
 ,      ,  ,   
    ,       .  .
, .

                                .
                  ,   .

     , ,       ?

                                  

       .    .

                                   

           .

                               .

     ,  .

                           

      , !

                        .

                                   

     , -, !..

                               .

                                  

          .

                                   

                    ,    ,
                      ...

                                  

                                   , !..

                                   

                    ,   ,   ,
                       ?  .
                         ,
                      ,    
                       ?
                    ,   
                     , ,
                       ,
                      ...  ?
                       ,  
                       
                      ,   
                     ,  
                    ,    ,
                      ,   ,
                      
                     ,   .
                     ,    
                    ,  - 
                       ,   !..
                        .
                      -    ,
                        .
                      .   ,
                       ,
                        
                        .
                    ... - :
                                         
                       .   
                      
                      .   ,
                         .
                      :
                     ,  ,
                        .
                         ,  
                          ,
                      ,     
                        ,
                       .  , 
                    ,   
                        ...
                    , ,  .   
                        . 
                       .

                                  

                    , .    
                     ,   - .

                                   

                        .
                    ,   , ,  
                       .

     .    , , , ,
                , ,   .

                                   

                        ?

                                   

     -,  .  ,      -  , 
.  ,           ,  ,
.

                                   

        .     .

                                   

         .  (.)  ,   ,  -  
 ?

                                  

     , , ,   .

                                   

      ?

                                  

      .     .

                                   

       ?   ...   ?

                                 

         .

                                  

       ,   .

                                   

      ,    .

                                  

       !

                                   

     ,      ?

                                   

     , .

                                   

         -   ...

                                   

     , .

                                   

      ,    ?

                                   

        , .

                                   

       -     .

                                   

      , ?

                                   

       .

                                   

       ...

                                   



                                   

     , .

                                   

     ,  ,    -    .   , 
      ? ,    ,    
      .

                                   

           .

                                   

       ?    ,   !  ! 
  ,       .   ,      
  .  ,     ,    
.   ,   -:

                              , -
                               .

         .        .       - 
-.      ,   .   
          .    
         ,       .
,  ,      , .    ,   
  ,    ,    ,      
    .  . ,   ,  
    .          
 ,     .  .  
  ,     .  ,   
, , ,   .  .

                                   

       ?

                                   

      ,  - -  .

                                   

       ?

                                .

                                   

         .    .

                                   

        ?

                                   

           ,        .     
,      .

                                   

      , !..    .

                                   

                      
                      
                      .

                                   

          ?

                                   

        - .

                                   

       .

                     :   .

                                -

                       ,   
                        
                         
                          ,
                       - 
                     - ,   - .

                               -

                         
                       - !
                      ,   ,
                          :
                     ,  ,   ,
                         .
                        .
                         :
                     , ,  ,
                          .
                          ,
                          .

                                -

                         :
                    ,    ,
                        
                       !
                       ,  ,
                        ,
                    ,  ,    ,
                        .

                               -

                      !   :
                       .
                        ,
                         !
                         
                    ,    .

                                   

                    , ... , ...

                               -

                    ,    
                      ,    .
                       ,
                         .

                                -

                     ,     ,
                        :
                        ,
                        .
                        ,
                      -  ,
                         
                         .
                      ,
                      ,    .
                        ,
                     -  ,  .
                       ,
                     ,  ,    :
                       
                        .
                       , 
                       ?
                       ,
                         .
                    , ,      ,
                       ,
                     ,    ,
                     : " ,  ?"
                        ,
                       ,  :
                    ,    ,
                    ,   ...
                     ,    ,
                       .

                               -

                    ,       ,
                      - ,    
                        ,
                        !
                       ,
                         ,
                       
                         ,
                        
                         !..

                                   

         ?

                                -

                    ,     .
                     ,  ,
                        ,
                         .
                                 ()

                               -

                          ,
                         !
                                  ()

                                   

        , ?

                                  

         .

                                   

        , , .

                                   

       ?   ?

                                   

      ,    .  ,   . , 
 .

                                   

        ?

                                   

       "".    ,  !  ,
        .      ,   
.    ,       
 .    ,   ,   .

                             -.

       ,  .

                                   

     ,    .

                                   

         -       ,     
 .

                                   

         ?

                                   

     ,     ,    .

                                   

         !

                                   

          ... , !     .
,  : "  -   ..."

                                -

                      ,  ,
                     :    .
                     - ...   ,
                     ,   ,
                       ,
                        !
                         (    )

                                   

             ,      .   , 
,          .    , 
   .

                                   

      !..

                                   

          ?

                                  

      , ?

                                  

      !

                                   

     !..  ...

                                  

      , !..

                     ,    .

                                   

                           ,
                          ,
                          ,    , -
                           ...

             ,   , , 
    ,            
    ?

                                  

      , .

                                   

     ,  .

                    , __,  .
                      .
                       -
                      ... -... ...

                                  

         .

                                   

       ,    .  ?

                                  

      , .

                                   

       ,     ?..

                                  

        .

                                   

     -! , !.. !..

                             ,
                         ,   .

     !

                               .
                        .

                                

      ,       !

                                   

        .

                                

     , ...

                                   

       - , ?

                                

       ,  ,    ,     
.

                                   

      , ?

                                

     , ,   .

                                   

       , ,       . , 
   , ,    .

                                

       ,     ,     
  .

                                   

     , . !..

                                

      -       .

                                   

      .

                                

     ,    ,   .     
  ,       ,   ,  
.

                                   

     ,   .

                                

       , ?

                                   

         .  .   ,     ,
 .   ,   . ,  :  ,  ...

                                 

     ...,       .

                                   

     ,    !  ,      .  
   -  ?

                                 

      , ,         .

                                   

            ,     .   
  - ?

                                 

     ,  -  .

                                   

       .  (    .)      
.

                                 

       ,        ?   
,    .

                                   

     , .   ,    .

                                 

         !     !..

                                   

     , .    : "  ..."

                            .

         .    . (.)   . 
__   ,   .

                                

     , ,  ,   ,    .

                                   

     -   .      ?

                                

       , .

                                   

     ,    !..

                                

      , ,  .

                                   

      !

                                

          !

                                   

        ,  .   ,    ,
     . , ,  - ...

                                

        ,   .    .

                                   

       ?          !..  
    ,  ,     ,    
     .      
    ,      .  ,  
,     ,   ?    ...
   ,       .

                               .

        !

                                  

           .

                                   
                              (  )

       ,   ?

                                  

      ,     ...

                                   

       ,    .

                                  

     ,   .

                                   

        ?

                                  

      .

                                   

     ,       . ( .)  ,   
. (.)  !

                                  

       .
                                  ()

                                   

       ""! ,  .

                          ,  .

                       ,
                       ,
                       .
                        
                         ,
                        !..
                    .    .
                     , , -  !
                          
                       .  ,
                       ,   
                       ,
                         
                      ...    
                     ,   ,
                       ,   !
                                 (.)


                                   5

          .  ,   .

                                   

                       ,    
                      . 
                     ...   
                     -  ... ,   ,
                      
                        , 
                      ,
                        .

                                

                    , ,    .
                         
                     ,  ,   
                       .

                                 

                        
                        
                       ,
                        
                     ,    ,
                        
                      .
                      -  ,
                        .
                        :
                     -   ,
                      ,    ,
                       ,
                      ,    .
                        -
                       ...
                      -   
                     !

                                   

                                       
                    .    
                         ...
                     - ...

                           

                                           !..

                        .
                               .

                                  

                    ,     .
                         ,
                         
                     ...  ...    ...
                      ,  ,
                         -
                      ! -    ,
                      -   ,
                         -
                     ! -     .
                     ,   ,
                         ,
                    ,     .

                                   

                       , .

                               .

                          ...
                        -
                     .   .
                    ,   ,  
                     ,   .
                      .     !..
                         ,
                       ,   .
                     , !..    
                         ,
                        
                    ,   ?.. 
                        ,
                      ?..
                    ?..     
                      -  
                       
                    ,   .
                      .  ?   ?..
                    ,     
                     "   !",
                     ?  ,  
                        ,
                         ...
                        , ,
                     ,    
                     ,   ...
                      :    
                      
                        ,  
                      . ?..   ?..
                       ,  
                     .  
                     , ,  .
                       !..   ?..
                      ?.. ?.. ?
                       , 
                     ? ,  ,
                         ,
                      ?.. , , ,  
                       ,  .
                    ...?   ? !
                         .
                    ...     !
                       !..  ?
                      ...   
                     ...  ,
                    ,  ,   ...
                             (  )

                                .

                                   

                     ?..  ,  ...
                        ,  
                       ,
                      , ... 
                      ... ,  -
                       ,
                         
                     ... , -  ...
                     ,      ...
                       ,   
                     ,   ,
                       ,
                       , 
                      ...   -
                    ,   ,
                    , ,  
                        ... , ,
                      .   .  ,
                         ...
                    ,  -   ,    
                    ,   
                     ,     ,
                     - .  ,    .
                      -    ,
                       ,   
                      ,   
                      ,    
                        !..
                      .  ,
                    , ,    .
                                  ()

                           .

                                   

                     ,   .
                          .
                                 (.)


                                   6

                 .    .

                                  

                    ...    . 
                     -. ,
                       -   .
                     ,   ,
                        ...  
                    ,  ...    -
                     !..

                                   
                                ( )

                                              !.. -!..

                                  

                     ,   -  .

                    .  .

                                   

                      , ?

                                  

                       .

                                   

                       .

                                  

                    ,   ,  .

                                   

                     ,     .

                                  

                      ?

                                   

                                     , ?

                                  

                      ?

                                   

                                      ,
                     -  , 
                     ,  ,  , - .

                                  

                    , .  ,   .
                            ( )

                                   

                    ,  .    ,
                        
                     ...

                                  

                      ?..   ?..
                    !..  !..

                                  
                       (   - )

                                      , !..  !.

                                   

                     ?..
                           (  )
                                  !   - .

                                  
                               (- )

                    , , ...

                                  

                                           !

                                   

                       .   - ?

                                  

                        ...

                                   

                    ?..  ,  
                    -   
                      .

                                  

                                      - "
                    -"?..

                                   

                                           .
                   (     )
                           .
                    ,   .
                        .
                     ,    ,
                        .
                                 ()
                    . .  ,
                          ,
                        ,
                       ,
                        .

                                  

                         ,
                         ?

                                   

                     : ,   ,
                        ,
                    ,    
                        ,
                    ,     ,
                       ,
                    ,     ,
                       ,
                    ,  ,    ,
                        .
                     ?..  -  
                    .  
                         
                      .

                                  

                                            ,
                        ? !

                                   

                     .    ,
                       (,  )
                     ...  -  
                    ,  
                      -  ,
                      ,   ,
                       -
                         ,
                         
                       ,
                      .
                    ?.. ?..    .
                         ,
                       
                     .  - .
                       ?..   
                      ,  
                     ?..   ?
                       ...  - 
                       ,
                       .
                     - !..   
                     ,  
                      ,     -
                       ,
                      , 
                     ...    ,
                         ?
                     ?..     ,
                      .
                       ,
                     ,  ,
                       -
                         .
                     ,    ?..
                    ,  - .
                        ,
                       
                       
                     ,  ,  ?..
                        ,
                    ,  ,   
                       ,
                       -    
                      .

                                  

                                       , !
                        .
                        
                       ,  ,
                     ,     ,
                      ...

                                   

                                      ,  !
                         ,
                       ,  
                     !..

                                  

                                           !
                      ,  .
                    ,  !

                                   

                                             - ,
                    ,    
                    ,     .
                       
                     -  ,
                    ,    ,
                        
                        .

                                  

                                            , !..

                                   

                     ,  ,
                      !...

                             .

                                        , , !
                     ,   ,
                     ,  ,   ?

                                  

     ,    .

                                   

                    ,  ,   ,
                       ,
                      ,   
                      ?
                    !..

                                  

                               .  
                    ,    
                     .     -
                      . 
                       ,   .
                         .
                      , !

                                   

                    __  , ?

                                  

                                         , __ -  ?
                        
                        ,
                        
                       ,
                      ,   
                       , ,
                     ,  ,
                     ,  
                     . ,  , 
                      
                      . 
                     ?

                                   

                                  , ,  .
                    ,   .   
                       -
                          .
                    ...,    ,  
                       ,  .
                          , ?
                       ,
                        ,  .
                    ...   -  .

                                  

                       ?

                                   

                                            ,
                       ?

                                  

                                            
                     .

                                   

                       ?

                                  

                                           
                      ...

                                   

                                         !
                    ...   ,  -...
                          ...
                    ,     !..

                              .

                                  

                       ,
                       ,
                    ,  ...

                                   

                                             ?
                       ? ,
                        ,
                      
                      ,   - .
                    ,    
                       , !
                        :
                        ,
                         .
                       .
                    ,  ,   
                      
                     .   -   
                       .
                    ...   .
                        
                      .
                      ,
                         .
                    ...    .
                      ,   ,
                       
                        .

                                  

                    , ,    ...

                                   

                       .
                        , .
                     !   
                        .  
                      , -  .
                     -  . 
                       ,
                        ,
                       
                       
                     . ?..  , 
                       
                    ,   .
                        -
                       ,
                        .
                       
                      -  
                    ,   .
                      -  ...  
                       ,
                    ,    .
                        (   )
                        .
                    .  
                        ,
                        .
                        
                       .
                         .
                      -  ... ,  
                     ,   .
                     ,  
                     ,    .
                    ...  ,  !..

                                  

                    ,   ?

                                   

                          ,
                         .
                      - - 
                        (  
                        !),
                       
                        
                         
                    ,     ,
                       .
                      -   .
                        ,
                    , ,  ,
                       
                     ,   ?
                    , !   ,
                       ,
                     ,  , -  ,
                     -  !   
                       - -! -  .

                                  

                     .   
                    ,    - ,
                     -      .
                        ,
                      .

                                   

                        .  
                    ?

                                  

                               ,   !
                      ...

                                   

                                        
                    .  ,
                      , 
                       ,  ,
                     ,  
                     -  .
                     .   -
                         .
                          
                        ,  
                      . ,  
                       
                    ,    !
                      (   )
                    ,   
                     . 
                        .
                         -  .
                    ...     ,
                           .
                    , ,    .
                     , !
                          (,  .)


                                   7

     .  , ,   .

                                   

                       ...  , ...
                         ?
                    , ,   ?

                                  

                       .

                        .

                    ,    !

                                   

                      ?  ?

                                  

                                              ,
                       ,  
                    ,    .
                       ,
                     " !"   
                       
                    ,   ...

                                   

                                                
                       ... ,  
                     ,      .
                     ,    ...
                        ,
                          ,
                       
                        ...
                         ,
                     ,  ,
                         ,
                    ,  ,  
                     , ,  ,
                       .
                       ?

                                  

                                           
                    ,   ,
                     ,  
                        ,
                       .

                                   

                    , !   
                     ,    .
                     .    - 
                      ,
                      ,  , -
                       ,  
                    ...  
                     . , !

                        .

                    ,     
                    - .  
                       
                     -...  
                        .
                       -  .
                      .

                        .

                                        , .
                        ,
                    ,   ,
                         
                     .
                     , ,   ,
                         
                       ,
                       , -
                       
                       .
                    .    
                     .
                                 (.)


                                   8

                       .  .

                                   

                    ...   .

                           

                     ! !..

                                   

                    !..    ?
                    ...  .

                        .

                                 

                    ,    ?

                                   

                      ,  
                     ...

                                 

                      .
                         .

                                   

                      .

                                 

                                        ?

                                   

     ,       ,    .   
  -   ?

                                 

     , , , -, - ?

                                   

       ,  ,  -  ,     
,  ,    ?    !  
    ,         :   - 
,     .

                                 

     ,    .

                                   

      .      .

                                 

     , ,   ,      .

                                   

       ,     .  -  .

                                

       , ?

                                   

     .      . ,   ?   
.
                                 (.)


                                   9

                    .    .

                                   

                     ,    .
                        .
                        ,
                      ,   
                     ,  
                      ,  .
                        ,
                       .
                       ,   ,
                       .
                       
                       .

                              .

                                          ?

                                 

                        -  .
                    ,  , .

                                   

                                            ?  ?

                                 

                     .     
                     .

                                   

                                      .

                                 

                    , ,   !

                          .

                                   

     ,  ?

                                   

      .

                                   

       ?

                                   

         ,   ,   ,   .    
  .  -    .  
,    ,     .  
  ,      ,      -    
.    .  .

                                   

     , .

                                   

          ,   ,     ,
  .

                                   

         ?

                                   

       ,    ,       
 .

                                   

      ?

                                   

       .    -,      .       
,  ,        .     ,   
,      .

                                   

       .  !

                                   

      ,   .

                         .

                                   

     ,     ,     , 
       ,            .
  -   .   .  .   
.

                                   

      ?

                                   

     , .

                                   

     .

                                   

         ,     .

                                   

         ,     . ,  -  . ,
.

                                   

      -   , .

                                   

         ,  -  .     , -   .    -
 . Good bye, .  .

                                   

                      ,   .
                        .
                      .
                    !   .

                        .

                     ,   
                     ,  ,
                    ,   ,   
                    ,   ,
                         ,
                         
                     ,    ,
                     ,   :
                     .    ,
                     .  -  .
                         -  
                      .  .
                       ,   ,
                        .
                                 (.)


                                   10

                                .
             ,    .

                                 

                       ,
                       
                        
                     .  ,
                       .  
                      
                      ,   
                       
                    .    .

                                  

                     .

                                 

                      ,  
                    ...

                           .
                  ,   .

                                   

                                     , ?

                                  

     , .

                                   

        ?

                                  

      , .

                                   

        ?

                                  

                       
                     .

                                   

                                         ?
                     ?

                                  

                                       .
                      ,   
                        ,
                    , ,    ,
                    - - ,    .
                      -    
                     ,   .

                                   

                                               ,
                        .

                                  

                     ,  .  
                     .

                                   

                                ,   
                        -  ,
                      ,   .
                         ,
                    ,    ,
                       .
                     , .

                                  

                                           !
                                  ()

                                 

                    ,    ?

                                   

                    .    .

                        ,  , .

                      
                     ,  .
                     - ,     ?
                     ,  .
                       ,   ,
                         .
                     ,    
                         ,
                         ,
                       .
                      ...
                    , ,  -   
                      
                       .
                       ,    -
                     ,  ! -
                         .
                    "   !"...   .
                     - .   
                     .     
                        
                        .
                       .
                     ? ? ?
                      ,
                        .
                         
                    -  .
                    ,  ,    ,
                         ,
                          -
                        .
                     .    .
                        .
                     ?   .   
                         ?
                         
                      ,    .
                         ,
                        .
                         ,
                        .
                       ,    -
                        ,
                        .
                                 (.)

                                II 




                                   1

                  .    

                                  

                         .

                                  

                     .   ,
                    ,    .

                                  

                       ?..

                                  

                       -   .
                    ,    ,
                      ,   ,
                        .
                      
                    ...  
                       .
                        ,
                        
                     ,   ...

                                  

                        
                     .   .

                               .

                                         ,
                        ,
                       
                     .  
                       .
                       ,
                        .

                            .

                                   

                     , !

                                  

                    ,  ?

                                   
                                   ()

                    ,    ,
                       ?
                         
                      ...

                                  

        ?

                                   

      ? ,  :
                                   ()
                     , ,  ,
                     -   ! -
                        
                       .

                                  

      , ,  !

                                   

      ...
                                   ()
                      ,    ...

                                .

                                  
                                  ()

      ! , , !

                                   
                                   ()

                     , ,   .
                      ,     
                        ...

                                  

        ,  ?

                                   

     ,   !  ,     ?
  ,    ,      ,   ,   . 
  .

                                   

        .

                                   

      ,    .   ,   :
                                   ()

                          
                           .
                          
                          .

                            ,
                          ,
                          , ,
                           ...

                                   

      !..

                                   

        -  .    .
                                   ()

                           
                           !
                           ,
                            ?

                         ,   ,
                          !..
                           .
                            .

                            ,
                          ,
                          , -, 
                           .

                                   

       ?

                                   

     ,      .   .    ,
        ?      .  
  .    . ,  .  ,
.  ,  .  ,  .
                                  ()

                                   

                        .
                     !..

                               .

                                   ,  
                     .   
                     . ,  ,
                        ,
                       ,
                      . 
                      .   
                     ...   
                       
                        .
                      ,  
                     . 
                     - 
                          ,
                        
                     ,     - .
                    , , -   ,
                      .  
                         ,
                      - . ,
                       .  
                      .
                    ,     
                       .
                           ,
                       .
                    ,   ,
                        ,    .
                    ,  ,  
                        ...
                     ,   .
                              (  )

                                  

                       ?

                                   

                                       ?
                     !..

                               .

                                  

                    , !  ,
                        ,
                        
                    ,     
                      .  
                      ,
                         ,
                      ,   ,
                         .
                      " -  !",
                    " - !"  .  ,
                        -  ,
                     ... "  !",
                    "  - !"

                                  

                                              !
                       
                        .
                    !     !
                              (  )

                                   

                      .

                        ,   .

                                   

                    ,   ? , ,
                     .

                                  

                                    ! ! ,  .

                                   

                      :  !

                                  

                     ...

                                   

                     .  .
                    ,   ,  !

                                  

                    , !

                                   

                                         
                         
                    ,    
                     ,   -
                     ,  
                       
                      -  ,
                      ! -  
                     ...

                                   

                                         ,
                    ,     
                       ?
                    ?.. ,   .
                       .  
                     ,   
                         ,
                         .
                        ? 
                    , . , .

                                   

                      ?

                                   

                                   .

                                  

                                              
                      !

                                   

                                   .

                                   

                     ?.. ?..  ?..   
                     !     
                    ,    - ,
                          -
                      !  
                     !   ,
                           ,
                       .   ,
                         .

                                   

                         ?

                                   

                       .  ,
                      .    , -
                        ,
                         
                     .   .

                                   

                      !   
                        , 
                        ,
                       
                      ,  ?

                                   

                                                 ?
                       ,  .

                                   

                         ?

                                   

                        
                     ,  ,
                     .

                                   

                                     , ,
                          
                      . ,  
                         
                        .
                        ,
                       .

                                  
                                ( )

                      .

                                   

                      ?

                                .

                      !   
                       ,
                       !
                    ,   
                         ,
                        .
                     ,  
                    ,   !..
                     !    ,
                         
                       ,   ?
                      -  ,
                         , -
                        ,
                      .

                                   
                                   ()

                        ,
                    , -, , -...
                        ,
                    , -, , -...

     ,  !

                                   

                  ,     
  .

                                   
                               ( )

                        , ...
                        , ...
                     , ,
                        .

                                   

      ,  .

                                   

      .   .  , , -  .   -
 ,     .

                                   

      -  .  -     .

                                   
                                  ()

         ...
                                 ()
         .   .     . ,
    ,    .  .      ,
,    ,  . ,     .
                                   ()

                     ,  , -
                      .

                                   

                        
                       !

                                   
                                   ()

                       ?
                       ?
                    ,  ,   ,
                        .

                     ,   .
                     ,   .
                         ,
                       ,   .

                 .    
.   !
                         (,   .)

                                   

                    ,   ?

                                   

                    ,     
                      .  
                         ?
                        ,
                         .
                         
                       , 
                         .
                        ,
                     , ,   ,
                     ,    ,
                     ,     .
                      , -  ,
                        ,
                       .

                                   

                                            .
                         
                     ?  
                     ,  ,
                    ,    
                     ,   ?
                       ,   
                     .

                                   

                                             !
                       .  
                    ,    ,
                       .
                        .
                                 (.)

                   ,     :
     ,    ,    " 
                      " {  - ..}.


                                   2

                   .    .

                                  

                          ?

                                   

                    , .   ,
                       .

                                  

                                              .

                                .

                     ,     
                     ,  , ?..

                               .

                                

       , !

                                  

        .

                                

           . ,   .    ,
,    ,    .       , 
    .

                                  
                                  ()

     ",    ,     .    
.          .  
  ,          .    , 
      .     ,     .
      .    . ,
        .       ,   
.           ,    .   
,       .    
    .         . ,   
, ".

                    , ,    ,
                        .
                        
                      ,   .
                                 (.)


                                   3

                    .    .

                                   

                    ,  ,  
                      .
                           ,
                        ,
                     ,    ,
                       ...

                                   

                     ,   .
                      , , 
                         ?
                       
                     ,   ...

                                   

                        ,
                         .
                    -,  -  ,
                      ...  ,   ,
                    , ,  , -    ,
                          ,
                       
                       .
                       , 
                       ,
                      -   
                     .   
                       .   
                      .
                    ,   ,  
                       .
                        ...
                     -  !..

                                   

                                             
                      ,   ,
                       
                       .
                       ...

                                   

                                         .
                     ,    .
                     ,    .
                         -
                     .
                       .  
                      ...   
                      ,  
                    .   ,
                        .

                              .

                      !..  ?..

                                 

                                               
                     .  - .  - .

                                   

                     ?..     ?..

                                 

                    , . , ,   ,
                         ,
                        .

                                   

                                            , ,
                      ...
                               ()
                                         !

                      .  :

     "    !  ,     
  .        .
,            ,      
  ,    . ".

                      ?..   ?..
                      ...

                                   

                                           ?

                                   

                    ,  ...   ""?..
                    ,   ... " 
                      "...  , ?...
                       ?

                                   


                     ,   .  
                    .   
                        ,
                    : " ,   !"
                    (   )

                                   

                       ,  .
                     -  .
                      ,     
                    ?

                                   

                                    , , .
                        .

                                   

                         .
                    ,   ,
                        ,
                      ,    ,
                    ,  ,   ,
                      -    .
                       .  
                     ...  ,  ...
                    ,    ...
                          ?
                      ?

                                   

                                 , ,   .
                     ,    
                     .

                                   

                                      !
                      ,    ,
                        -  .
                         .
                        
                         ,
                        ... ,
                         ...

                                   

                    ,   ?

                                   

                                         
                       .
                    ,    ,  
                       ,
                     ,   ,
                        
                       , .
                         
                       .
                      ,    ,
                        -  .
                     ,     ,
                      ,    
                         ,
                     ,   ,  .
                       !..  
                    ,   , 
                       
                      ...

                                   

                                              ?

                                   

                    .

                                   

                                   .

                                   

                     .

                                   

                                     .
                     -  .

                                   

                                            
                         .
                     -  .
                        
                     , 
                     .   ,
                       
                       
                        
                       . ,  ,
                     ,   ,
                     , ,  
                       .
                        ,
                      ,   
                     ...

                                   

                                     ?

                                   

                    , ,  :
                       ?  ,  ,
                      ,  
                    ,   ,   ?

                                   

                          ?

                                   

                    ,    .  ,
                        .
                        .
                      , 
                     ,     :
                         -
                     ,  .
                     ,   
                       ,   
                      
                        .
                     ,   -  
                       .  - .
                      ,
                     ""  
                    ,   
                      !..  ...
                       .  
                     ,    ,
                      :  ,  -
                      ?

                                   

                                       
                        .

                                   

                     ,   , 
                      ,
                      - .    
                        ...
                    ,   ,   
                       ,
                     :    .
                    ,  ,   ,
                         ...
                      ,
                        ,
                        .
                          
                      .  : 
                       
                        ...
                      -   ,
                       ,    .
                    , ,  .

                                   

                                           .
                        ,
                        .
                        
                     .  ,
                         ,
                       ,
                       :
                      -  .
                       
                      .  
                      ...

                                   

                                       ,   
                      , , .
                         ,
                        ,
                         .
                        
                    ,  .  
                    ,   .
                    .     .
                    !..    
                      ,  ,
                       .   
                       ,
                       .
                       
                    , -  ...
                       -  .
                       ?

                               .

                                    ,  , ...

                                  

                       .
                    , ,    ,
                     .

                                   

                                     ?..

                                  

                       ,
                       
                     ?..  
                       -    ,
                       ,
                        -
                       ! - 
                        ,
                      - " "
                     ...    ,
                        ,
                       .
                          ,
                    ,     
                    ,   ,
                     -   ...
                         :
                     , ,
                        
                       .

                                   

                                               ?..

                                  

                     -  ,  .

                                   

                         .
                    , ,   ...
                      ...   ... ...
                       ,
                        ...
                    , ,   
                       . ,
                      .  
                       ,
                        
                     ...

                                   

                                       , .
                       
                       !..
                      ,   
                         .
                       .
                                 (.)


                                   4

                      .   .

                                   

        - ,    ?

                                   

     -.    .

                                   

      . ,     .

                                   

       -  .

                                   

       -    .     - 
.            - ,   .
,   ...  - - ...

                                   

     ,   ...

                                   

     ,    .    .       . , . 
      , ,   .      , 
   , ,   ,    . ,  
   ,      .

                                   

          ?

                                   

         ,     .

                                   

      ?    ,      .

                                   

       ,   .   .    .  
,        ,     . -  . 
  ,    .    
.

                                   

      ,   .

                                   

       ,    .

                                   

          ?

                                   

          .   ,    . 
?  .    ?        - __.    
?..      ...

                                   

     ...

                                   

        ,   ?

                                   

     ,   .     .

                                   

        .    .  ?  ,  
  ,      .   ,   , 
  . , ,  ...

                                   

     , ,   ,   ?

                                   

      ,      .

                                   

         !

                                   

     ?

                                   

      ... ,  .

                             .

                                   

     ,   .     ,  .
,    ,    . ,   ,
   .

                            .

                              .

                              
                           ,   
                             - -!
                             - -!

                                   

      .   -  .

                                  

        .

                                   

      .      ,   .

                                   
                                   ()

                            
                           ,
                           ,   ,
                          ,    .
                            ( )

                                   

           .     .     ,
   ,     . , ,
   ,       ...

                                  

      .

                                   

       ,     : "  , ,
      ,   !.."     -    ,    
 ... ,   ?

                                  

     , .

                                   

     ,  .        , 
        .  !.. ,   
    .       ,   
  ?   -      .

                                   
                                   ()

                           ,  ,
                            ,
                            
                            ...
                         (  )

                                   

         .  ,    -  .     
?      ?   , 
    ?    ,  
    ?  -...       
       ,        ,   
,         .    
,                   
  ?        ?  ,      
  ,    .   ,  
    .             
 .   ,      ?

                                  

      , .

                                   

         ?

                                  

       .

                                   

     ,      -      .   
. ,   ?

                                   

     , .
                                   ()
                           ,  ,
                            ...

                                   

     , ,     .

                                   

       , , ,   .   ,     .

                                   

      .   ,     .  ,   .
 -  . ,  .

                                   

     .    .      .

                                   

        ?

                                   

         .

                                   

          ?

                                   

        .

                                   

       ?

                                   

       ,    .   , . ,  -  ! -
 .

                                   

             .      ,   
       . -, , 
          ,      ,  
    ...   ?

                                   

       ,       .

                                   

        ?

                                   

         ...    .       
. ,     .

                                   

        ?

                                   

       ,      .    ,    . , -  ,
, .   -   .

                                   

       ?


                                   

        .

                                   

          ?

                                   

       -  ,   .

                                   

      -  ?

                                   

      ,  .

                                   

       ?

                                   

       - ...   .     :  
,      - .

                                   

           ,   ?

                                   

     ,        ...       
 ...   -  .     .

                                   

         ?

                                   

        ?    ,     .
          . , , . 
    .

                                   

       ?

                                   

     ...   .  ,   ?

                                   

      .

                                   

     ,        ,   .    
  . ,   ,  .

                                   

      ?

                                   

     , .

                                   

       -  !..  ( .)  !   , . 
  ,        .      
.          .   . 
    ...    ,    ?   , 
     ,    ?   ,   
,        ? -  
.             ,     
,     .    ,  . , 
  ... ,    ...

                                  

       , ?

                                   

           ?

                                  

       .

                                   

          ? !..
                               ( )

                                  

      , .

                                   

           !      
   ,  ,   -   .

                                  

         ,  ...          - 
     .

                                   

     !  :   ,  , 
  ,    -    ,    ,  
    .

                       :
                      - ,    - .
                          ,
                       .

             ,       .
                   , ,   .

                     - !..   ...
                    !..  ,   ...
                        
                      ?.. ?..
                      ?
                    -   !

                                   

                      ?

                                   

                      .  
                      ...

                                   

                                            
                     ?

                                 

                                    ,  
                     ,  .
                       .   
                       - ,  ,
                        ! -
                          
                      .  
                     -   ! - 
                       ...
                      -   ? -  ,
                        ,
                       ,
                        
                       -  !

                                   

                      ?

                                 

                                       .
                        ,
                      
                     ,   
                       ,
                        ,   .
                     .

                                   

                                     .
                     ,   ,
                     ,   ,   -
                       .
                     ,  ,  
                       ,  ,
                         !..

                                   

                                                  ...
                    !..

                                  

                                - .
                          (   )
                    ,     
                     ...   
                        !
                      ...    ...

                                   

                     ...   
                        ,
                        !
                    , !..    
                      . ,
                      !..
                             (  )
                                           
                       ,  ,
                        
                     ,    
                     ,   
                    !

                                   
                             ( )

                                  
                     ?..  ,
                       
                       ,
                        ?
                     ,    ...
                     .  -  .
                             (  )

                                   

                                              
                      !

                                   

                                            
                      ?   ...
                     ...   , 
                      ...
                     !

                                   

                                  !

                                  

                                              !

                                    

                    , !

                                  

                                  , !

                         .

                                   

                          ,
                        .

                                  

                      " "?

                                   
                                  ()

                                        ,
                     ,     ,
                    ,  ,   
                     ,    .
                      ?

                                   

                                    ,  - .

                                  

                    ,   !

                                   

                    ,  ,   ?
                    ? ?  , ?
                     ?  ,
                      ?
                         .
                       ?  ?
                         
                      ?    .
                         ,
                        ,
                        ,
                        
                        ,
                         
                       
                    ...     ,
                          .

                                  

                      ,    .
                    , ,  , .
                    ...- ,  ,
                       ,
                     ...

                                   

                                           , ,
                          ?
                      ... ,    ...
                        ,
                       -,
                        .
                                  ()

                                   

                      , , 
                         .

                     .   :

                      .
                     ,    
                     .   .
                                 ()
                     ,   ,
                    -  
                      .   ,
                      -  ! -
                      .  
                       ,   .
                       -   .
                               ( .)


                                   5

                     .    .

                                   

                      - .    .
                    ,     ?

                                  

                     ...

                                   

                                          
                    .  -     .
                       ,    -
                    ,    .
                      - ...    ""!..
                       ,
                         
                       .
                       , ,
                       ,
                        -.

                                  

                      ...

                                   

                    ...    -  !
                         ,
                      ,   ,
                       .  
                       -  .
                      .  
                    ,  ,   
                      ?.. ,  !..
                      
                        
                        ,
                      -    ! -
                     ,   
                     -  ,
                     ? - : "... 
                    ,   ,
                       "...  ,  .

                                  

                     !

                                   
                    (    )

                        .
                     ,    ?

                                  

                                                     ?

                                   

                       ,   
                       .  
                         .
                      , -
                       ,  
                        -  .
                       
                     ...   .
                          
                      .
                    ... ,   ?

                                  

                    , , !

                                   

                    " - . 
                     ,   -
                      ,   
                       ,
                      ,  
                     ,   
                     ,    
                    ,    ,
                        
                       ..."
                        , -   ,
                      ...    -
                    ,    :
                    "   
                       - ".

                                  

                       ?

                                   

                        :  
                       .   -
                    .    ,
                        .
                      ,  ,
                     ,    ,
                       
                     ,     .
                       .
                        ...
                      .

                                  

                                            ,
                        
                       ?

                                   

                                           ?
                        
                         .
                      -   ,    .
                       ,
                         ,
                       .

                                  

                       !..

                                   

                       ,  ,  
                     ,   
                     , ,
                           
                     ,   ,
                        ?
                      ,    
                       ?
                         , 
                       ?
                        ?

                                  

                                             
                     -   ...

                                   

                    , .    -
                    .    ,
                        .
                         ...
                     , ,  ...
                         .
                    ...     
                       -     .
                      ,   
                     ...    ,
                        ...
                       ...

                                  

                    ! (.)      ?

                                .

                                   

            .

                                   

       , . ( .)     ?

                                  

      .

                                   

       .       -   .   
.      ,    
.   -  ,  ,  ,    
.

                                   

         ,     ,  
      .

                                   

          ,       , 
  .

                                   

      ,   .

                                   

       ,  ,   .

                                   

      , .    - .

                                   

            - .

                                   

          -  .   ,  .  
          ,       
 .  , ,   ...

                                   

          ...
                      (    )

                                   

         ,  ,    ,    . , 
    .  ,     .  
  ,    ,    .  
  ,     -   
.

                                   

     ,         .  
                    .  
        ,          . 
   ,    ,     , 
          ,    .   - 
  ,   -  ,   .

                                   

        .

                                   

        .        
?

                                   

     ...

                                  

        -?

                                   

        ,   ?

                                   

     ?

                                  

       :     .

                                   

      .

                                   

      ,   ...

                                   

     -  .     ,   .     , 
     .   ?..

                                   

        .

                                   

               .      .  
 ,    .

                                   

       ,  ,      .  ,     
  .

                                   

         ?

                                   

       .

                                   

         .  .

                                   

     ,  ,    ,  ,   ,
             , 
  ,      .   , 
   .    :  ,  ,  
  -  .

                                   

         ?

                                  

      ,        .

                                   

         - , , ,  . 
  -  ,    .

                                   

                .      
 .   :     
          ?   , 
?     ,   , ""?

                                   

     , ,   ,       
        .          .   
,  ,  ,   .

                                   

        ?

                                   

           ,  ,        
.

                                   

     ,       .   .    
       - ,   .   
      ,     , 
 .  , - .    .

                                   

       ?

                                   

       .

                                .

       ,          .   
.

                                  

     ,  ,    .

                                   

       ,      .        ,
        .          
.           .  - , 
  .    -  .

                              .

                                 

     ,        ,  
  ,      ,  .    
,         ,   
 ?

                                   

          .        
.        -   .   ,    
.

                                 

     ,    -  .

                                   

       .

                                 

      ,       .

                                   

       .

                              .

                                  

     ,   .

                                   

         .   ,     ,  
.      ,   .     
,      . ,  .

                                  

        , .

                                   

       .    .

                                  

        ,    .   ,  
 .     .

                                   

     .             .      
  .        ,     
.            , ,   
.    ,    -.    - .  
          ,      
  ?   .

    .   ,       
          .  , , , , .

                                   

                       .
                     (    )

                                   
                                  ()

                      ,   
                        .
                       ,  
                       ,   .
                    ,     
                        -  
                      ,
                       ,   .
                         ,
                        
                      ,   ,
                        .
                       ,   
                         
                        .

                                   

                    -   ,
                        ,
                         ,
                       .
                        
                        
                       .
                       .
                       
                        
                       .

                                   

                                     
                        
                      .   ,
                      .

                                   

                                    .

                                   

                         
                        .
                      
                        
                      .

                                   

                    ,    ?

                                   

                                                ,
                     .

                                   

                                      , .
                    ,    ?

                                   

                    , ,  ,  
                      .

                                   

                                          .
                     ,    ,
                    , ,    ,
                        ...
                        .

                                   

                                           - 
                    ...  .

                                   

                        . , ,
                     ?

                                   

                                  , .

                                   

                         .
                        ,
                     ,   
                        , 
                          -
                        , ,
                         ,
                     ,   
                       .
                     ,  
                     ,  - ,
                      - ,   
                    , ,  -  
                       ! .
                      -   .

                                   

                     , ?

                                   

                                       , .
                                ()

                                   

                    !

                                   

                           !

                                   

                                !..

                                   

                                             .

                                   

                    , ,   .

                                   

                                                 !
                     . ,  !
                      .

                      , ,  .

                                         !
                      !

                                   

                                           .
                     ,    .
                                ()
                     .  ?

                                   

                                            , ,
                     .

                                   
                                 ()

                                   .

                                  

                         ...
                                 ()
                          ...
                       ,  !..

                                   

                    .

                                   

                                  , !

                                  

                      ,    !..
                                   ()

                                   
                                ( )

                      . .  .

                                   

                    ,  ,  .

                                  

                     ,   .

                                   
                                  ()

                       .

                                   

                                          .

                                   
                                ( )

                    ,    .

                                   

                      . 
                    ,    ,
                      -  ...

                                   

                    ,  ? , !..
                                ()

                                   

                      .

                                   

                                       , !

                              .
         ,      .

                                   

                    .  .

                                   

                                             , !
                             ( )

                                   

                     ,  .

                              .

                                  

                        . ,   ?

                                .

                                   

                    ,  ?

                                   

                         ...
                       ...

                                   

                      ?

                                   

                                      , 
                        ...

                                  

                                                      ,
                    ... ...  ,  ,
                     ...
                                 ()

                                   

                                         !
                     .   .

                                   

                     ?    .
                    ,   .   .
                     , ,  ...
                     .    
                    .    -   .
                      .  .  
                      .   -  ...
                           (  )

                                   

                     .  .
                      ,   , !
                       (    )

                                    

                    !

                                   

                    ,  !    ...

                                   

                      .  ,
                      ,
                       .
                        .
                        -  
                      ...
                            ( )

                                   

                       ,   .
                      ,  .
                         
                         ,
                           .
                                 ()

                                   

                    ,    .
                       .  .
                     , .   , ,
                     ,   
                       ,
                      .     
                     ,    .
                         ...
                      ...    ...
                      ... , -  
                     , -   .

                                  

                      ,  !
                      ,   .
                        ...

                                   

                                                -
                    ,     ...
                     , - !..    
                     ... , ,
                        , 
                         ,
                        ?..
                          ,
                        
                        
                       ,   
                    ...
                        (    )
                                    ?

                                   

                        
                      - 
                      .

                                   


                      , .  
                     .   .
                      -   .
                         .
                       .  
                     ,     .
                      - ...
                                 ()

                                  

                                              
                     ...  , .
                       
                        .
                    ...   ?

                 ,  , .

                                 

                                                  
                     ?

                                  

                                       ,
                       ?  ,
                        ,
                       .

                                 

                                        !..
                       
                       ...
                    -,   
                      , 
                       
                    ...

                                 

                              -   .
                         ,
                     ,    
                        ,
                        .

                                  

                         ,
                          :
                        
                        .
                       ,  
                      -   ,   
                      .
                       
                        ,
                         
                     ,   ,
                        ,
                       ,  ,
                        ,
                      ,   ,
                          .

                                 

                      ,  
                     .  
                        ,
                      .  ,
                        ,
                       ,  , ,
                     .   
                      .

                                  

                        
                      ,   
                       .
                      ,  , ,
                        ,
                        
                       -  
                       .

                                 

                       
                        .
                          ,
                       ,  .
                       
                     -  : 
                       .
                     .    ,
                     . - 
                        .

                      .   .

                            III   




     "   ,    ,    
,            
          "  
1603 .  ,  -     
( -          ),      
  .    " ".
              ,      
"".     : "    ,
 .   .      
        ".      
:  1611, 1622 (  )   1637 .
             -            .
,                
 ,       .
         1616 .  -      
    ,        (
" "),     "",      1823 .
     ,            ,  
    .
         ,    ""  
     ""   1600/1601 .
             "  "
  XII    ,      1514  .
,     ,      ,  
    IX .
       -   ,      
 ,      ,    .    
,      (   
 ,       ).      
   .              
   -, , ,      
.            
   .   ,    
  .          .         
  ,     .    
 ,             
      . ,  
        .
              "-",
     1580-  -    1590-.      ,  
,   (1558-1594 .). ,   1576 .  
          
   " ".
           (         
"",    ..  1748 .)     
     .     
  .
           ,     
  .      ,  "
" . ,     ,    
           . , 
    (      )        
   (             
),      .      ,    
,    ,      
 " ". (.  """.  ".)
      ,  ,        
  .
        ,      -,      
     .  -   .  158,
      ,     
. 157 " .   ".
       ""      
  1709 . (  ).   ,      
,       ,        
.        (    ,
    - ).
                   
     .  
  ""  ,  ,   ""
    ,      .  ,    
 ,      .      
                        
,               
,     ,       
  .
         ,          
    ,  ,     ,  
 ,               
  .   ,    
     "",    
 ,         (      ,      
).         "",  
      ,  
 .



         :               
,     ,   ,    -
   .      ,        
   ,       
  ,    . (  , ,  
        
   .)
        ,      
  . ,     XVII
  ""          ,         
   "  -  ".        
.   IV       .  (,  ,  
  .)
           (.  "  "),
     ,   ,      
  ,     .
        ,   ,      
  ,    ,        
           -    
! -    .    ,      
         .
         . ,     
 (   ),         
(     ),      ,      
.  ,   ,      
    .        ,    
 ,  ,              
  , ,        
   .     .          
  ,    ,     
 .  ,     ,    
   .
        ,            
    .           
 (     ; .    
  . 82  . 222),       .

                                   I 

                              

     1 -   .   ,      
 -;  ,   
 .   .

     1 . . ( .)

     2 -   .   ,       ,
     ;        
   .
     3 -  . ,   ,       
;      .

                              

     4 - ,            .
  .       .
     5 -  .         .  
 .       "  "    .
 .       .

                                   II 

     2 . . ( ,  "",  
 //    //.)

     1  -    .        ,  
   .
     2 -   .       
;      ;        
    ,     ;   
          ;
    (   ,      "  
")     , ,   "".

     3 . . (   .)

     3 -   .        ;    
   , ""   ;   "
   ...",      ,    
    ,                
.
     4 -   .     ,  
          ;      
,   ;    "  ",  
  ;        ;    
       ,      
  .

                                 

     5 -  .            
           .  
 ,     ,           
,   .  ,      
.
     6 -  .         .
  .

     4 . . ( .)

     7 -  .        ;
       .
     8 -  .        ,  
   ,     .
     9 -  .        .    
,       ,          
  :     .
     10 - ,        ; 
                
 .

                                  III 

     5 . . ( ,   .)

     1 -  .      ;      
  ,        .  
      .      ,      
 ,             
 .        ,    
    ,        ;
        ;  
  .
     2 -  .            
,   .

                                

     3 -  .         
 .         .
    .

     6 . . (      .)

     4 - .         ,  
  .   ,   ,     
    ,   .   
      ;            
,   .
     5 -   .   ,       
  ;  ,    ,  
     ;         
  ,     ,     -  ,
    ;             
         
.  ,  ,         .      
     ,          
           . 
     .
                  
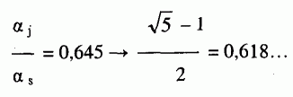
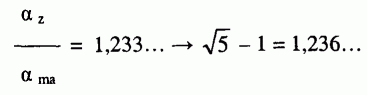
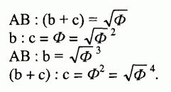
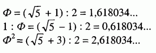
 "".  ,         
    -     .
       ""                
.



                       1.   

     . 13. "    !..  !"
     "Nay, answer me: stand, and unfold yourself".

            .    
   ,    ,  ,   
: "  !" (Long live the king!). . . 245.

     . 15. ",   ?" - " ".

     BERNARDO: Say, What, is Horatio there?
     HORATIO: A piece of him.

      (Horatio) -  ,  .        
    " ".  . . 266.

     . 18. "...     ..."
     "...he smote the sledded Polacks on the ice".

     .  297.

     . 18. "   ,  ..."
     "That can I; at least, the whisper goes so..."

               .  ,  
      ""       
,     -      .  
,              
. (. . 145.)

         :

                                                  That can I;
               At least, the whisper goes so. Our last king,
               Whose image even but now appear'd to us,
               Was, as you know, by Fortinbras of Norway,
               Thereto prick'd on by a most emulate pride,
               Dared to the combat; in which our valiant Hamlet -
               For so this side of our known world esteem'd him -
               Did slay this Fortinbras; who by a seal'd compact,
               Well ratified by law and heraldry,
               Did forfeit, with his life, all those his lands
               Which he stood seized of, to the conqueror:
               Against the which, a moiety competent
               Was gaged by our king; which had return'd
               To the inheritance of Fortinbras,
               Had he been vanquisher; as, by the same covenant,
               And carriage of the article design'd,
               His fell to Hamlet. Now, sir, young Fortinbras,
               Of unimproved mettle hot and full,
               Hath in the skirts of Norway here and there
               Shark'd up a list of lawless resolutes,
               For food and diet, to some enterprise
               That hath a stomach in't; which is no other -
               As it doth well appear unto our state -
               But to recover of us, by strong hand
               And terms compulsatory, those foresaid lands
               So by his father lost: and this, I take it,
               Is the main motive of our preparations,
               The source of this our watch and the chief head
               Of this post-haste and romage in the land.

     . 19. "     ..."
     "A mote it is to trouble the mind's eye..."

             ,            
  ,     .

     . 21. "!   !.."
     "Do, if it will not stand".

      ,    ,   ,  
 ,      .          
,  ,    "     "
(    ,     ).
      .  . 271-272.

     . 22. ":     ..."
     "But, look, the morn, in russet mantle clad, walks o'er the dew of  yon
high eastward hill..."

        . : " , ,    
 ,        ".
               ,  
     .   -    
 . -         ""  (
 - "  ").      ,        
 :  ,   ,      
,            ,  
 ,    .          
  .

                             2.   

     . 25. "  !    .        
..."
     "Good Hamlet, cast thy nighted colour off, and let thine eye look  like
a friend on Denmark..."

         ,   .  ,      
          -
"  " (friends to this  ground).  ,      
    ,         "
".

                           3.  

     . 36. ", ,  ..."
     "For nature, crescent, does not grow alone..."

           :

                 For nature, crescent, does not grow alone
                 In thews and bulk, but, as this temple waxes,
                 The inward service of the mind and soul...

       . : " , ,       
     ..."     
 ,         ,  ,  
.

     . 37. "  -  ".

      :

                    A double blessing is a double grace,
                    Occasion smiles upon a second leave.

       .:  "    -    .
   ".
            ,          
 .

     . 40. ",     .... -..."
     "Ay, fashion you may call it; go to, go to".

                  ,  
   ,        .
     ,   ,      
.

                              4. 

     . 42. "      ..."
     "The kettle-drum and trumpet thus bray out the triumph of his pledge".

     "To bray" -    ,   .    
,     ,        ,      
  ,  ,   . . . 298.

                             5.  

     . 47. "  ,    ..."
     "...lightest word... and each particular hair to stand on end..."

      ,            
    ,  "  "      
 .    -      
 .
         .
         .         
      .      
,           "
":               
" ",    ",   ".
        :  "...  
   ,    -  ,   
   " (.. .  . , 1995, .
300).
        :         
     ()       .
       .
                -
            ,    .
     ,     .
     ,      ,   
.             
   .



                           1.  

     . 58. ",      ..."
     "My lord, that would dishonour him".

           ,   XX 
 " ". ,      
 ,              
 .       ,  
  .

     . 62. "        ..."
     " seem'd to find his way without his eyes; for out  o'doors  he  went
without their helps..."

       ,    ,   
 .    ,          
      ,    .

                             2.   

     . 67. " ,     ..."
     "It likes us well; and at our more consider'd time well  read,  answer,
and think upon this business".

      ,      
      .         
     ,    :
,   , ,    .   
    ,        .
 , ,      , 
        .  (,  
  ,    .)   
     ,       
"  ".          ,
         .

     . 73 "   .   ,    
   ".
     "Let her not walk i' the sun: conception is a blessing: but not as your
daughter may conceive".

        : "          [
 -          "    "];  
,     ,    "
     ,   ,   .          
,   .

     . 75. "        ?"
     "Then you live about her waist, or in the middle of her favours?"

          ,    ,
 .       .    
       .

     . 82. " , ,     ".
     "You say right, sir: o'Monday morning; 'twas so indeed".

      . : " , .    .      
  ".
                ,  
 .       .   ,  
,        :        
        -   (   
)   ,    ,    ,  
     .  ,     
 ,  ,        .  .        
 -,       .    , 
  , -    . (  
    ,    -  ,  
-  .)
     ,            
. ,   ,     
           .   (   
    .)
           ,        ,      ,
    : "  ,   :   ".
,         .      ,  
     ,    ,    :  "The
morning  was  on  Monday;  'twas  so   indeed".   (      
     .    
   ,   ""          .)
  ,    ,      ""  ,    
- ,       :
 "You say right, sir..."   "You say night, sir..."

     C. 84. "    ..."
     "The rugged Pyrrhus, like the Hyrcanian beast..."

                    .  
            
:  ,     .          
   .   "  "    
    ,       ,
     .

                             3.   

     . 93. "    ?..   !.."
     " be, or not to be: that is the question..."

       ,         .  (
    ,        :  
 ,       .)
           ,    .  
     ,        ,  
.      ,    
   ,    ?
       ,        ,      
       .

     . 98. "  ,   ,  ".
     "Madness in great ones must not unwatch'd go".

       . : "      
".  ,       ,  
-            .  
  "" -    ,   .

                             4.   

     . 100. ", -, !.."
     "What ho! Horatio!"

         "ratio" (,  ),    
 .               
  "ho-ho!",           
"What ho-ho! Ratio!".

     . 101. ",   ,   ..."
     "Nay, do not think I flatter..."

                       
 , ,       
.    ,      ,  
     .         
.

     . 103. ",      ?"
     "Lady, shall I lie in your lap?"

          ,        .
       ,        
   .
      ,    , -    
. ,  ,   "",    ,  
       ,      ,  
  .  ,      ,    
 .  ,      ,    , ,
   , -   .

     . 113. "    , // ,   ".
     "For if the king like not the comedy, // Why then, belike, he likes  it
not, perdy".
       . : "          ,  ,
, -,  ,  ,  ".
     ..     (  .  .  
. ., 1985, . 617) ,          
" "     (IV,  I),      1585  .  
  1594 .: "And if the world like not this tragedy // Hard is
the hap of old Hieronimo".

                           5.  

     . 120. "      ..."
     ", my offence is rank it smells to heaven..."

            ,      ,    
,   .  , ,  ,  ,  
         ,      .  ,  
    ,       ,  
   .      .

                          6.  

     . 125. "  -  -"?.." - "   ".
     HAMLET: A bloody deed! almost as bad, good mother, as kill a king,  and
marry with his brother.
     QUEEN GERTRUDE: As kill a king!
     HAMLET: Ay, lady, 'twas my word.

       -    .            
,     ,          
. (         .)  ,  
       -.   
   ,       .      
      . . . 295.

     . 125. ". .  ..."

                Leave wringing of your hands: peace! sit you down,
                And let me wring your heart; for so I shall,
                If it be made of penetrable stuff,
                If damned custom have not brass'd it so
                That it is proof and bulwark against sense.

        : "     ,    
   ?" (What have I done,  that  thou  darest  wag  thy
tongue in noise so rude against me?)           ,    
  -     .    
                
" ",      :

                   Yea, this solidity and compound mass,
                   With tristful visage, as against the doom,
                   Is thought-sick at the act.

     C. 130. "...,    ..."

           :

                 Do not look upon me;
                 Lest with this piteous action you convert
                 My stern effects: then what I have to do
                 Will want true colour; tears perchance for blood...

     ,  ,       
,   ,         ,    
  ,            
:    ,         .
   .

     . 132. "...      ,    
..."
     "...but heaven hath pleased it so, to punish me with this and this with
me..."

         ,        .
  ,    ,   ,    .

     . 133. " .   ..."
     "Be thou assured, if words be made of breath, and  breath  of  life,  I
have no life to breathe what thou hast said to me".

                    
,        ,        -    ,
,     .

                           7.  

     . 135. " ,    ,   ,   
".
     "Mad as the sea and wind, when both contend which is the  mightier:  in
his lawless fit..."

            ,            
.        "    "  -        
 ,     .

     . 136. " , ,   ..."

            , 
    :

                And what's untimely done; so haply slander,
                Whose whisper o'er the world's diameter,
                As level as the cannon to his blank,
                Transports his poison'd shot, may miss our name,
                And hit the woundless air...

               
 "ultima ratio regis" (  ).    
,   " " (2  I     5    III
        ).        "  "   
  ,  "  ".

                           8.  

     . 137. "...   ".
     "Safely stowed".

      : " ".  ?       
  ,  .
          . . . 258-259.

                           9.  

     . 139. "       ".
     "...diseases desperate grown by desperate appliance  are  relieved,  or
not at all".

         :

                      ... 
                         
                       .

       ,   - .    
   .

     . 141. "  ,   ".
     "Follow him at foot..."

     : "     ..."        
,           
  . . . 275-277.

                              10. 

     . 142. "   ..."

     .   . 67  . 221.

     . 145. "... ..."
     "...delicate and tender prince..."

           ,     
  -   .      ,
              "  ",   ,
.
            (    
  !)     ,  
       .  ,  
    ,     :  
        . ( 
   ,      .) ,  ,
,    ,      .



                           1.  

     . 146. "     ".
     "I will not speak with her".

           ,         
  :    (Gentleman)    .    
   .  . . 272-273.

     . 149. ",   .   ".
     "I hope all will be well. We must be patient: but I cannot  choose  but
weep, to think they should lay him i' the cold ground. My brother shall know
of it: and so I thank you for your good counsel. Come, my coach! Good night,
ladies; good night, sweet ladies; good night, good night".

        ,  ,      
 . . . 249-255.

     . 150. "    .  !.."
     "Follow her close; give her good watch, I pray you".

       ,           
,    " "  " ". (. .  . 141   .
228.)             :  "
",  -   " ",     
   .    

     . 275-277.

     . 755. "      ,  ...          ,
..."
     "You must sing a-down a-down, An you call him a-down-a".

         , ,        
    .      ,    
          .

     . 156. " ,  , -   ".
     "For bonny sweet Robin is all my joy".

          ( ).   
 . ,        ,   -
 .

                           2.  

      ,      ,  
       (. 158),    
    (.  """.    "    
" "). ,           :
,  ,    ,    
      .

     . 158. "      ?.."
     "What are they that would speak with me?"

         ,           .    
, , ,             .  ,
, .

                           3.  

     . 160. "...   ".
     "Stood challenger on mount of all the age..."

           ,      "  
",  ,   .

     . 167. "   ..."

           :

              There is a willow grows aslant a brook,
              That shows his hoar leaves in the glassy stream;
              There with fantastic garlands did she come
              Of crow-flowers, nettles, daisies, and long purples
              That liberal shepherds give a grosser name,
              But our cold maids do dead men's fingers call them:
              There, on the pendent boughs her coronet weeds
              Clambering to hang, an envious sliver broke;
              When down her weedy trophies and herself
              Fell in the weeping brook. Her clothes spread wide;
              And, mermaid-like, awhile they bore her up:
              Which time she chanted snatches of old tunes;
              As one incapable of her own distress,
              Or like a creature native and indued
              Unto that element: but long it could not be
              Till that her garments, heavy with their drink,
              Pull'd the poor wretch from her melodious lay
              To muddy death.

     . . 277.

                              4. 

     . 169. "      , ,     .  
    ,    , ,     ,      
. ,      ,         
".
     "...if the man go to this water, and drown himself,  it  is,  will  he,
nill he, he goes, mark you that; but if the water come to him and drown him,
he drowns not himself: argal, he  that  is  not  guilty  of  his  own  death
shortens not his own life".

        .     ,      .
        "".   
    .             
   ("For nature, crescent, does not grow alone..."), 
,   ,   ,     :  "
 ,         ".

     . 179. "       ?.."
     "...who is this they follow? And with such maimed rites?"

        ,   ,       
. ,   ,            
. ,         
 .       ...

     . 183. "  ,    ".
     "This is mere madness: and thus awhile the fit will work on him..."

           .      
  .

     . 183. "  , ,       
".
     "I pray you, good Horatio, wait upon him".

       .   ,       "  
  ".  ,            ,
 ,             .
    ,       .

                             5.   

     . 187. "   !.."
     "Why, what a king is this!"

           ,     
    .        .
    ,  ,    ,      
,  ,   :
     "          .   -
  ,    .    ,     
  ,    ..."

     . 188. "   -   . ... ".
     "Thy state is the more gracious; for 'tis a vice to know him.  He  hath
much land, and fertile: let a beast be lord of beasts, and  his  crib  shall
stand at the king's mess: 'tis a chough; but, as  I  say,  spacious  in  the
possession of dirt".

       (               
)    .  ,  
   " ",       "".  
          
,    " ",   , 
         .          
 .
        ""      .    
  -  (      
)   (-           
,  - stern - ).        
    .       
 ""       .

     . 196. : , ,  ,     .
     : .  ,      ,  ,  ,    
 ,     ...
     HAMLET: Very well, my lord your grace hath laid the odds o' the  weaker
side.
     KING CLAUDIUS: I do not fear it; I have seen you both: but since he  is
better'd, we have therefore odds.

          ,       
     :    
       (. 194).
              .    "
".     .
                 ,       
 .           :  "    
"     ,     - .

     . 198. ":      ..."
     "QUEEN GERTRUDE: He's fat, and scant of breath..."

     .    "   "    ( 264)
: " ". -    "He's fat" - " ".  
        .    ,    
         fat    
"".
      , -           
,   ,   .  .            
    : ", ,          
 ".      ,     ,
 , , ,    ,      .  ,  
" IV"   "fat room"  -  ,    .  
              
  : ,  ,      ,    
. ,  ,   ""     ,  
 ,      (          
).

     . 202. "  ,  !      ,    
.     ..."
     "Never believe it: I am more an antique Roman than a Dane:  here's  yet
some liquor left".

                   
" ":   " "     ,  
 ,    .         
.

                                                                . . 




                                



                                 Words. Words. Words. - . . .
                                 Word. Sword. Swords.  - . . .

      "  ", ..  ,   
          
 .   -  ,      
 .   . ,    ,  
         
     "".
       (,  ,  )   
  ""  "" . ,  XII . _ _  -
      (  "  "   ,         
  ,      "   "    .  .
  " " ).    XIII .    ,
    ,             
             
.   -   ,  ""   
_ _.
     ,           __
"  ...",         ""  ,    
 .
     __ -    .  XIII .    ,
 "  ",        :  "    ,
   .         ,  
 ,    ...       
  ,            ,  
  - ,  ,        
". {. .  . .,  1970,  .  179.    _  _
   ,   XII ., .   " 
    "   " (  .    "  
 ". .  .. . , 1986).}
                   ""
,       .     "
 "     ,     
 "  ",      "  ,  
    ".
        XX .         (""
 1937 .   "    "    ).    
           
 "   "  .
     ,                "   "
    -       .
   ,        
. ,           ,    
,                :       
"".  ,     ,    
 -,  : "      //    
..."
            ,    , -
      ,          -      ,
   .
           ,      1937   .   
         ,          
 "   -!".
        , 5  2003 .,        
    ,            
      ,            ""
.    ,     -  .  
  ,  , ,   ,      "
 "   - ...

                      ...  .
                           
                      , ,  -   -
                       !    .
                        .
                           ...

     ,     .       ,
       ...    ,    
   "".                
(, ,  -) -  .
        ""?  :

                      ...    :
                        ,    ,
                             
                        ,   ...

       :              
(     1937-        1934-,    
   1929 .),     ,    ,  
  ,   - .
           30-        ,    -
   ""  .
      ,   " ".      
 ,     :

                             
                         
                         񗅐   
                       ,  
                          뎑
                         玑 ,
                          ,    
                          
                           
                           ...

         .        ""  
  --//.
            ,   -  
              ,  
             1929  .  
" ".
      , , ,     :  - --
- - - ... .
      ""  ""   (, ,  ):
񗅐 -  -  嗅  -   ◅ -      -
 .
            .
     " " -        
"   ",   ""-    .  
  ""    .    "10  
1934":

                     -  .
                     :   ...
                    ,    
                    ,   ...

         .   "-   ..."  -
 "  ..."   "": "      
 ".
      "" (1935 .)              (
    !):

                       ,   ,
                        ...
                       ,   ,
                         
                      -   -
                       !

     "": "... , ,   ,      ,
    ,      .  
     ..."
              "  ,        
..."
           ,   ?
               ,      
: ",   ..."
     ,           ,  
 .    ,        
 ,   "  "  (    ,    
        ),      
  .
       1937 .    ,      
, " ",       ,  "  
,   ".
         "      ":  "    
 ,   ,    ,  
  ,       ,  
 ..."
          , ,   
   "      ,      ...
         , 
      ,      -    ,
 -  .     -      ,    
     ".
        ,  .
         " ".



           :
     1.    -   ,          -
   (.       ).  ,  
"   " : "       ,  
..."   ""    "",    ,
      .        
   . ?   ,    
         (   
  ):  "            ..."
(    "" .)
     2.   -       
.                
.  ""      (.,  ,  
,     " ,  ...").
     3.   -       
  -  .
     4.    -      ,
   ,      .
     5.   -    ,    
      ,   
   .
     6.         -          
      .
     7.  -       
,      .
      ,         ,
     .  -      
,  ""    .   
,      .
      :     ,   ""  
 !
       ,   ,      "...
  !", ,  ""  -  ,      .  
     ",   ,  !",  ,
     .
     ,          ,      
  - (  )  .



                  ,  
 ,   .      
   .  ,      "  
",     .      .
     " "     "",   ""  
 "".   ""       .  
     ,    " ".
           ,  
  . ,  ,      
    ,      
.       ,   , 
      ,          
  ,  " "    ,
      "".  ,        
     "",   -.   
  , ,       ,  ,  ,
         (      ),
     .
         ""      ,
, ,   .            
  ""     ,        
,  ,   .
      "" ,  :
     -        ;
     -       ;
     - , ,  -      ("  ",    
).
        ""  , :
     -      .
     -    .  ,     (    -
  1603   .         1604   .)         
(                 
 ).   ( , 1623 .) -  ,  
  ,    .
     -    ,      
""  "".       .      
 ()     XVIII .
     - -   -.     ""
  .       (    !).    
               
     .
     -    1616 .  1642 .    .
   (1642-1646 .  1648 .),    I  (1649  .),
     ( 1653 .)      
 (     1660  .).      
     .
     ,    " "         
  .        ""    
  .         (
     .. ).   
   -  ,       
"",    ""       ,
        .
           ,    
      . ,           ,
   (  )  .  
 -     ,     
.  ,      ,      
"" ,   ,    .
       " ",
 ,   ,       ,  
" ".
         (  )     
""  .       :

     :    ,   ?
     : ,   .     .
     :   .    .  ?   ,
   ,   .   ,   ,
   . , ,  ...
     : , ,   ,   ?
     :  ,      .
     :     !
     : ?
     :  ... ,  .
     : ,  .       ,  :
. ,   ,    . , 
 ,    . (V, I) {*}
     {*          .  
     .}

     ,        :

     :  ?
     : ,  .    .
     :   !
     : ?
     : . (.  ..  .  ..      
. , 1954)

               .
,   ,          .    
      ,     ,
   ,   : "  !" (Long live  the
king!) (        "".)
      ,                -
                       
-.
      ,       ,      ,    
  (2  4   I  ).          
      :

                And, as the sleeping soldiers in the alarm,
                Your bedded hair, like life in excrements,
                Starts up, and stands on end. (Ill, 4)

       : "     ,    
 ,        ,      
..."
               ,  
 "excrements"  ,      ,      
 ,     . (,   
 ,            excrement  -  ",
".          .  Excrement  ",
"      "",     -
 excresco "".         
 .)
             :  -,
     ,  -,      
     ,   
          .        
   :            ;
   ,       
  ;      "" , 
   ,   ,      ;  
 ,     ,      
 .

       ,       .    
  , : "  ...    ,  
   " (I pray; and I this morning know  //  Where  we  shall
find him most conveniently).
                        
,       ,    
 - " ". (   ,    
      .)
                      
.       ...
             :      
   ,       .      
      ( ).
       :  "
,         ..."  
,       .



         ,         .
,    , -  .          :
", ? , .    """.
          :
     -   . (  .)
     -    -        
?  ,    ,     .
         ,          
"".               ,  
,    ,        ,         
   , ,    -  .  
    ,      
  .     ,     
 ,     . (.   . 47   .  220.)
      (  )      ,    
, , , ,    .  
.         (    
  ,      ),      "  
",    ,        .       
.     ,    ,     
              (      
!),    ,    .
        -   .     .      
" ",    . ,    
.   ,     ,    
  :

                                      Do not look upon me;
                 Lest with this piteous action you convert
                 My stern effects: then what I have to do
                 Will want true colour; tears perchance for blood. (III, 4)

     :

                    ...,    ,  
                       ,  .
                          , ?
                       ,
                        ,  .
                    ...   -  .

      ,      ,    
  ,   ,      
. (              ,      
  .)    ,       .
    ,            ,
     ,    .   
   ,         
.

        -           
  ,     ,      .  
     :  ,   
,       ,      
 .          .
           . 
      ,    
  .

     -    (   ),     
. ?   ?  ,   
     .      
 .

     -   ,            ,
     .      .
            ,        
.      ,        
      (    )   ,      
        ,    
       ?        -
   .    
 ,       ,    
 ?         ?  
      ,        
" "      "        
 ".

                                   

                                             
                     ?

                                 

                                   ,  
                     ,  .
                       .   
                       - ,  ,
                        ! -
                         
                      .  
                     -   ! - 
                       ...
                      -   ? -  ,
                        ,
                       ,
                        
                       -  !

                                   

                      ?

                                 

                                       .
                        ,
                      
                     ,   
                       ,
                        ,   .
                     .

                                   

                                    .
                     ,   ,
                     ,   ,   -
                       .
                     ,  ,  
                       ,  ,
                         !.. (V, 1)

     ,           .    
"  "?
      ,    . (    
.)   "      ..."  -    
.   ,     ,    
,       .      
 .
          ,  ,   .  
     :

                                   

                    ,    ,
                         ,
                     ...

                                   

                                     ,     !
                         .

                                   

                     ,   ,
                     ...   ,
                     ,    
                        ...
                    ,    ,
                       ,
                        ,
                    , ,   !..

      :

     OPHELIA: My lord, I have remembrances of yours,
     That I have longed long to re-deliver;
     I pray you, now receive them.
     HAMLET: No, not I;
     I never gave you aught.
     OPHELIA: My honour'd lord, you know right well you did;
     And, with them, words of so sweet breath composed
     As made the things more rich: their perfume lost,
     Take these again; for to the noble mind
     Rich gifts wax poor when givers prove unkind.
     There, my lord. (III, 1)

         : "" -    .  
.
         ,           ,
    - ? ,   .

     "   -   ? - ".
     "I pray; and I this morning know
     Where we shall find him most conveniently..." (I, 1)

            :
       . : " ,         
  ".
       ( ,  ,    
    -    )          
   . ,    ,  ,    
              
?

     ", ,  ..."
     "For nature, crescent, does not grow alone..." (I, 3)

           :

     For nature, crescent, does not grow alone
     In thews and bulk, but, as this temple waxes,
     The inward service of the mind and soul

       . :
     " , ,         
 ..."
             .

     "   .   ,        
  ..."
     "Let her not walk i'the sun: conception is a blessing: but not as  your
daughter may conceive". (II, 2)

     ,   ,    ,    .
      ,   .

     ",     . -..."
     "Ay, fashion you may call it; go to, go to..." (I, 3)

                  ,  
   ,        .
     ,   ,      
.

     ",      ?"
     "Lady, shall I lie in your lap?" (III, 2)

          ,        .
,           
.       ,    
     :

     HAMLET: Do you think I meant country matters?
     OPHELIA: I think nothing, my lord.
     HAMLET: That's a fair thought to lie between maids' legs.
     OPHELIA: What is, my lord?
     HAMLET: Nothing.
     OPHELIA: You are merry, my lord.

       :

     :  ,    ?
     :    , .
     :       .
     :  , ?
     :   .
     :   , .

         "Nothing"      ,    
    (,       !),
 ,     ,        . 
     :     ,     
  ,    ,     ,    
    "    ,              
".
      ,    , -    
.

     ",   .   .      ,
     ?       .    
 .     . ,   .  
, .  ,  .  ,  ".
     "I hope all will be well. We must be patient: but I cannot  choose  but
weep, to think they should lay him i' the cold ground. My brother shall know
of it: and so I thank you for your good counsel. Come, my coach! Good night,
ladies; good night, sweet ladies; good night, good night". (IV, 5)

      ,             
      .        ,    
,     .  (    
    ,    .)
           "  "      .  
  ,     .       ,  
.
         ,   .     
    ,        .   
,        .     ( 
  ).   ,    " ":   
,              .  ,    
 ,     .
         "",      "".
"Good counsel" -  ,    ,  ,        
   "Evangelical  counsels"  (  ),  
  ,    .  , 
  ,      .  
          ,  ,        "
"      . (    
      .)
              .
         :  ",    !"  (:  ",  
!")  ,                
.              -  :
",  !"
     "Come, my coach!"    "  !".    
 XVI      .    ,    
,           
.   , ,    
 ,      ,       
 ,      ,        .  
   - ,  - ,  - .
                 (  
).               
 (  ).
        ,     .      
.     , ,  ,        .
,     ,        .  
,      ,    .  
      . ,        
.
          ,            .  
   ,            ,
               
, ,   .       ,    _
     _.
                  
   ,        
 .     .. : "  
,          .    ,
  ,    .        ,        
   ,   .    , 
       -    ".
                
  .       :  "
   ,      
   . , ,        
  " (, . 625).

     " ,  , -   ..."
     "For bonny sweet Robin is all my joy". (IV, 5)

          (   ).    
  ,      ,     
 : ",    ..."   ,   -
      ,     .
         -      ,      
   "      ".        
 -.
      -  .
      - ,    . (  
- robin redbreast.) ,    ""   
,      -   . ,  
(            ,        
),         ,
      (  ,    )  
 .

     -         ("  
  ?.. , !"). ,   ,  
.

     -         .    
     ( -  ),      
 : ", , !" (What ho! Horatio!). (III, 2)

     -   (    ,    -    
"  ")  ,        ,      .   
        (        
):  "      ,        
".

     -       .    :

     : ,       ,        
,     ,       
.  -   .   .  .  
 .
     :  ?
     : , .
     : .
     :     ,     .
     :   ,    .  ,    -    .
, . (IV, 3)

              .

     -     ""    (    
,   ,  !),       ,
   " ".              
.
             .

     -   ,       ,   
,              
.



     -         .
    :

                 seem'd to find his way without his eyes;
                For out o'doors he went without their helps,
                And, to the last, bended their light on me. (II, 1)

      : ", ,    ;      
  ,          ".      -
 "   ?..",     .  
  ,     :

                                   

                                             , !
                     ,    , ?

                                   

                       . .

      :
     OPHELIA: Good my lord,
     How does your honour for this many a day?
     HAMLET: I humbly thank you; well, well, well. (III, 1)

         ,     
 .

     -  ,      .    
 - .

     "   ..."
     "Safely stowed". (IV, 2)

      : " ".        ,    
-   ,      .  ,
                  ,   
.
        ,     "".

     ROSENCRANTZ: What have you done, my lord, with the dead body?
     HAMLET: Compounded it with dust, whereto 'tis kin.

              ,  
 ,        ,    
    .
         (  XIX    )  ,
        ,      
   .

     - " " (      
   - "") -  _ _.  
 .   ,              .  
   .        ""    
 .



     ,   " " .
      ,     ,      .      
,        ?    ,  
"         ,          
".  : "   ?"   :
"  ?     .         
".
           .    -  :
"   ,     ".
         " ".
                .  
  ",  ?"  :  "    "
(      , , ,   : "  
 ").    (  ),   "",    
-.   -    -.
       ,   .
     -                
   ,      .
         ,        ,        
,     ,     :  "
 ?"
                       .
          1499  .  (   
   1648 .      .)        XIV-XV  .
        .
         "".        :
, , ,   .  .          
 , ...       ,
      ,   .
           "us"    ""  -
  .        ,
       .      ""  -    
,   .
      -    ,      -
   .              ,  
   - .
         : , ,  . 
  ,       ,
               .
( "" -     -.)
            ,  
      .    
    (  )  -         
"" ?  ,   1587 .      
   " "   II  .  
    " ",     
-   (         )   
   
     ""   -    - .
             
-,        
,              
,             
  .
              ,      "
 ,  ".   ,        
" ",  "  ",        
    " ".
          (1599 .)    .    
 , ,  , ,       ,  
          .         
 .        :    1596  .
         
   ,       . (  
   ,      1600/1601  .  ""
   1599  .,              ,
      ".)
      -   ,        
      .
     "  ".              -
  __.
       "   ",    "  "
("    " ..    "  
"),        .          
:     -    ,   ""  .
       ,  ,        
" ".        ,      
,        .
      ,           
 ,         .   ,    
    -  ,          ,   
         -      .    
-  ,     .
      .  .
     ,      " ": " ,
   ..."
          -,      
     ,     ,    
  ,   ",   ".
                      
"".     - .     ,  
       -
  ""  "".           -  ,
                 
:

     "...  ,      ,  ,    
,              ,   
 .       ,  -    
       ,  -    .
,     ,    
  ,               ,
      .      ,       
      ,        
  ,       ,  -
  ,          
  .  , ,  ,     
  ,   ,   ,  
      ,    
,  .    ,    
  ,  ,       
   ,   ..." (I, 1)

       :

                                            
                     ,     .
                    ,      ,
                         
                       
                    ,  
                     .    -
                         
                        - -
                      ... 
                        ,
                       ,
                    ,   
                     ,   ,  ,
                      
                      , 
                       
                    ,     .
                      ,  ,
                     ,  ,
                       , 
                     ,   
                      , ,   -
                        , -
                       
                    ,  .
                      ,  ,
                         ...

     ,       ... ,  
    ,         
  : "...     
,   ,    ,        
            
     ..." ( . ). 
   : "...          
". (V, 2)
       : "__ . -    
 as (, )  ass ().   -    
.     ,   
".
                         ,    
      ,         
 (     ),      
  (       " ").
( -  ,  ,  !)         
 ,    "     " ("...the
king that was and is the question of these wars").     
  ,   , ,     
  ,    :        
          ,    
  (  ,        !),      
  .          
 (   ,   ),    ,  
    ,               
  .
      "  ",    "  "      
?    ,  .
         ,     .  ,    
             ,  
            :  "       
...".             
(      ,          
      ).
      ,       "    ",    
 .  ,      ,      
 ,         .      -
   .          
 : "And let thine eye look like a friend on Denmark". (I, 2)
        ,  "  "    
         ,  
  .
       : "I saw him once; he  was  a  goodly  king"  (
  ,     - 1, 2).
       ?  ,      
,             ,  
-    ,         .  
,       ,     ,  
    ,    .          
: "...he was a goodly king".
       ,       .



     ,       "  "  
 (  1585 .      1594  .).      
    : "        
, ,  ,  -,    ,    ,    "
{ .). ..     (..  .
 . ., 1985. . 617)   : "And  if
the world like not this tragedy // Hard is the hap of old  Hieronimo".  (IV,
1)
     ,    "  "      
   " ".
     "     ", -  .. .    
        (,  
      ,     ),        
            .      ..   ,
   ,   ( )   
  (   -  - ),    
 . ,  ,         
   (  "-")   .
       ,               
"    " -  ,  ,    ,  
    . (,     
   ,         ,  
   __ .  ,        
     .)
       -           
,  ""  -          "    ".
    ,            
.
        ,       1587  .  "
"     , ""   
    "".
          " ".    ,
    Hamlet          amlodi   -   
.        Amleth(us).
      -    apheles  (,  ,
)     "-"  "-" (__, 
   -).
      (   ) " " (- 
  strong-in-arm).
        ,       
,      "" (  la mort).
      -   Rosencrantz ("  ").     
  . (   ,   ,      
   .)  ,          
 .
      ,    -     
" ".      guilder -   ,
guild - , , .  stern -  -  ,  ,  .
(-     ;  ;   .
 .  . 233.)
         ""        -    
. (    -   .)
        (Osric)    osier ().     ,
   ,        .
       ,              
 .
            (  )      
"ho-ho!".            .  
      ,        ,
       :

     HORATIO [Within] Hillo, ho, ho, my lord!
     HAMLET Hillo, ho, ho, boy! come, bird, come.

     Hoboy - ,  .        (=  hautbois),    
    oboe.    oboe  -
   hautbois. (   ""     
 hautboys).   ""    1579-80 .,   
 , -   ,       
1616 .: "Wilt thou give me another glister...  where's  thy  hoboy?".  
,          ,        ,        
-  ,        
 : "Hillo, ho, ho, o-boy!.."
             : ", , -!"
("What ho! Horatio!" - III, 2).
          -     "Horatio".
          ,   ""  
 ""    ,   XVII       
 :  whore  (,  ).      "w"      whore  
.  whore ( )   ,  ,
  whored ("")  .
              
 :

     Words. Words. Words. - . . .
     Word. Sword. Swords. - . . .

            ,      
  :    ,    
 .
                  (    ,
  ),    ,  ,  
 ,      ,       
   -        .  (,    
         ).
         -          
   - Helsingor (),    
   hell (),   sin  (),    gor,    
      to  go  {*}.  (-  
     .)
     {* ,            
              
(1587-1604 .).     , , ,   
,   ,         ,        -    
 .       
  .  ,  ,    
   " "  (            
),  ,        ,   
        .  , 
,             --,         
--,   ,       
     .   ,    
  ,         XVI  .  
      .  (           
  1570 .   .     
.)   ,   ,        
   ,  ,    ,        ,
,            "
"  1588 .,         .}
      -        .  ,    -  -.  
      .        ,   
          
 .
     : ",   ?" - " "  (  piece  of  him  -
" "). ,     " ":  Horatio.  So  have  I
heard and do in part believe it. (I, 1).  "  "    "
" -    ,   . ,      
    ,          
.
          ,     "  
 ",    ,         
  ?       ,    
    ,       ,    
    .
          ,      (-  ,
,       )?
           :
     -     ,         (  
    ,       
 - good friend).  :        fellow-student,
    (    -  
).
     - ,     ,      ,  
,    ,      ,         "mock"   (,
).   ,             
 .      ,    ,
 ,         ,    
: "I came to see your father's funeral" (     
).          .
            .   
   ,   ,       
  fellow-student   .    : "I think it
was to see my mother's wedding" ( ,     
).               
   ,       .  ,    
     .   ?      .  
,      ,   ,  -   
-.        .
      ,              
 .       .
     -     ,         
- .  "" (  ) -     
.
     -  - ,       :  
  ,       ,    
  ,    .         
: " , ?",  : " ?...  "  ,  ,
 ("!"), : ", !"
     -               
"  " (friends to this ground).     ,      
  ,     ,     
"    " (...let  thine  eye  look  like  a  friend  on
Denmark). ,      
        .
     - .      "    -  
" (      )       
  .  ,      ,      
, ,       ,   ,  
  .
     - ,   -   ,        
   , ,               
,         ?
     -  .    :     
   ?
     - ,    ,   ,      
,        .           
,  ,    "     "
(   !): "within his truncheon's length".  ,
 ,       .
        ,  ,  .  
      .          
,               ,
     : "     ,  
  ,      ".       
 :

     "   ,   ,          
,    .       
 ,          ..."  (  .
, I, 2).

           ""        
  .
          "Anglistica" ( 9, -,  2002
.),   ,           
      " -     
,            ,   ,   
   ".
      .          ,      
 .   : "        ,
 ,    .      ,  
,            
" ( . , I, 1).
         ,   :
     "    ,              
    ,   , ,  ,
        "  (  .
, IV, 1).
         ,   :  "  
 ,           
,        " ( .  ,  IV,
5).
                     :
  -  .
     ,    ,   ,    
- .    ,         
(    ),  ,    -  ,
   ,    ,   .
      ,     .          .  
  ,     -  -  ,    
   .
     ,     ,   
.

     :  ,  ,   .
       : , .
     :    ,     ( . , I, 2).

       - ,      :

     :  ?
     : ,    .
     : ,  .
     : ?   . ,  ,    
 ( . , I, 4).

        ,   ,      .
  ,      -  "        ,
 ",   :  "    !..",      
, ,    ,  ,  ,    ,  
     ,     .    
     ,       "
  ".
              :  "  ,  
       ,        
" ( . , IV, 6).
                .    
   ( 1604 .)  -      ,  
  (  1623 .) - .      
 : "'Twere good she were  spoken  with;  for  she  may  strew
dangerous conjectures in ill-breeding minds" ("      ,
          "  (  .
, IV, 5).
                 
 ,           
 .
                   
 (      ,      
   ):

          ,         
,    .       ("Follow  her  close;
give her good watch, I pray you")   ,    "
  ".
                ,  
   ,       ,  
   .
            .
        ,            
  ,      (, ,  ).
{      ,           
,    .  ,   (   )
.                (   
"") .}
       .  _          ,
    _. (  ,        ,  
 ,  ,       
  ,     .)
          .
     _    ,         ,
  ,              _.  
 ,   -   .   (  
 - )              (  
,    ,      ).         ,
 ,   , ,   , " 
 "  ,      ,          
(  ,      ,  ,
      .)
      ,    .
             .
          .     _  
_       ...

      ,     ,      ,   
        ,      
(     )    .   :
"...       ,  ,      (
 - ..). , ,         ,    
  ".
        :   -      .
   -      ,      
               
  (   ).          
,   :  ,  -  (  
 , ,    )  , 
    (    ,  ,    )      
.
             (           
    ),    ,    
   .          
,                  
,        :

                      .  
                      ...

          ,     ,
  . ,             
          .        
   " "  "   ",
   .         .
        :         
,     . (     
 ,  ,      !)        
  ,       .  ,  
    ,             
  .      .   
 .. ,    -    ,  
     ,    ,  -
   ,      ""
 (   )         
.      ,  ,    
   ,       
 . .
          , ,     -
  .      ,  
       .        
.

     _KING. Follow her close; give her good watch, I pray you_.
     "    ,         ,  
!.." (IV, 5)

          .        
     : "Follow him at foot;  tempt  him  with
speed aboard..." ("  ,   ..." - IV, 4).
     "    ..."          ,  
            
  . ,         
  .            :
" ,       ...",  "    ,  
    ...", "    ...",  "
..."  . .
       ,   ,    "
...",    ,        "  "  
" ".     .   "close"    
  -   ,    .
      " " ,          
,     : "...go follow them to prison" -  V,
2),        .      :  
  "" ,             
,            ,  
 ,           .    
  ,       "  "    
    -    "Go  after  her:  she's
desperate; govern her" ("  ,    ,    ").
        ,  
  . (    ,    ,    
     .)
       IV       :

                      ,   ,
                          ... (III, 1)
                                                 ( ..)

      ,       .
     ,     ,  .
        _         
 _   :  "  ".    -
  " ",     (IV, 5).
       (      ,  
,   ,       )    
, ,  ,   XX  XXI :

     "       .      :  
,  .
          ,      .
          ,    ,        :
",     ",    - .
     ,  ,  ;   ". ( , .  13,  .
27-30.)

           ,         (
),  .     :

     "    .      ,    ...
 . ,    .     .  
,  !      ,        
,   !.." ( .).

     " " -     ,  
       ,   .
          :

     "       ,          
 .            ,
,      ,     
    ,      
.     ,        
      ,      
         .   
        ,  ,      
    ,  ,    ,  
,             .      
 ,               
      " ( . ,  IV,
7).
          ?
            .   
 ,      ,    
""  "" .
             .    
,    " "  (      
!),        "".
      XVI .    muddy -  ,  ,  ,
  " (   ).       
,     "" ,     ,
  "",   "" . ( - shady.)
               .  
    .        ,    
     :

                         ,
                         
                       ?..  
                         -    ,
                         ,
                          -
                         ! - 
                          ,
                        - " "
                       ...    ,
                          ,
                         .
                            ,
                      ,     
                      ,   ,
                       -   ...
                           :
                       , ,
                          
                         .

     , , ,  " "  " " 
   .       ,      
,      (  ,     ,      
 ,        ),    ,
    ,     ,    
   .    , -, ,  
,         .        
    ,          
.
          ,  "  "?..
      ,    ,  :  ,
   ,      ?        
,   ,    - .
             ,    
  ,    ,               
,   " "      
 .
        , ,      
  " " ,      ,  
  ,                 (
   "" -   ).    
  ,     ,      
 ,     ,        
   .     , , 
,    ,   .
      ,       ,      
    .              
  . ,           
,   (      ).  ,    
   ,     (. . 287-290).
             ,        ,    
 ""  "    "  " 
 ".   -        ,  ,
,       "good Horatio".
               (   ).         
  ,         .
         ?  .            
 ,           .      
    ,   ,   ,   
  .  (                
?)            
    ,       ,  
     .
                              
-. ,     (, ,
) -   ,    ().    
  ,   ,   "    ".  
   :

     :  .   -  .
     :    .
     :    .            ,      
. (V, 1)

         (  ) ,       
    .    
  ,               .
      .   ,  ,
 ,     ,    ,    
.

                                  

                                           ,
                        
                       ?

                                   

                                           ?
                        
                         .
                      -   ,    .
                       ,
                         ,
                       .

                                  

                       !.. (V, 2).

      ,         
,               .      
,     :

                                   

                                       ... .
                        
                     ,   .

                                  

                    ,   ,
                         . (I, 5).

      ,   -    ,        
    -  -.    
,    " "     (  
    -).            ("  
",      )      
    .  (      ,      
"" 12-15,         "  "  
?)         "    "    (
 )   ,    .
              -    
,    (   ,    
   ).
     -           :        
       ?         
    ,     ?
          ,          
    . (,       
,    , "  "     "
".)                 
(    ,        ,   -   
):   ,         ,
 -  (      ),      
  ?      ?   ,   
   -  ,       
"good Horatio"?
     "    "          ,  
 ,   -     .
     ,    ,  ,    "     
     ,         
".   "  ",    (" ",
   ).     ,      
         .    
                       .
?  ,                 
    .    ,          
,    "    ".
          ,    
   ,    .      ""  
 , ,       .
     , ,   ,    "    "
    ,     .
      -       ,
,   , - .    ,      -
.
           .
     ,    -                
-.     .  (    
-  "  ".) ,         
,    .
                 .
         .          
   ,  - (   
),            
.    ,          (  ,
,         ),        
.
              
-    . (    ,  .)   
     ,   -.    
 .               
  :        .
     ,                -    
,   ;   .        
    ,   ,      
.
             ,      
:

     : ...   ,  ,     ,
,   .
     :     .    ,  .
   .
     :   ,   !.." { .  ,  V,
2).

       ,         
   " ":   " " 
  ,   ,    .      
     (  ,  
   ,    ).
     " "    1599 .,      ,    
  (   ) "". ,  
             ,      "
"     .
     ,    ,          
      ,      .
       ,          ,  
,    .   .
              .      
   :

     "                
 ,   -  ,  ,      
     .       
  ,    .            ,
      ,      ,   
,  ,    , ,  ,  
 ,    .          
 " (. . , V, 2).

             .    
    .            
 "  "     .    :      
       (      ,  
  ,        ,      ,    
  ).           
""   (  ,      ).    ""
   ( )  .
        -     ,   .
            ,  
  .     .    
   ,         .  
            ,    
 ,   .
          ,      
      . (   
   .)        :
"           .      
   ,          
  ,     ...  ( 
      ,      ?).  
        ".



              :
 ,     .    : 
,  - ,       .  ,    
   .
      ,   ,      
 ,    .       
.        ,    ,    .    -,
-.       .
          .      
   ,   1599 .,         ,
   "",          ,
  I,    .      
    XVII              
 .        , 
  -      -.      
    " ",          
       .
       ,     -      ,  
  ,     .    -  
  ,     .
           ,     ,  
      . (         ,
    - terra incognita "".)    
    ,      
.            ,
   ,      .
     ,   ,      . 
 ,      .
         "Anglistica" ( 9,  - , 2002 .)
,    " ".   :  ,    
  ,       ,    ,
          .
        :          
       ,        
" ",      .  (  
  " ".)
                        
   .
          ,  ,        ,    
.        -    (      
).
         - "-,  ".  
- "   ".    "" -   
        1599  .   (      "")
 " ", , ,      ,    
      .        
,             ("
  ,  !")      
.
            " "  ,  
,      ,           "-".
,            .
                
    .        
 ,      :

                  -,    
,   .    ,      ,      .
/.../   ,    , -    
 :      ,        .
 ,     .        ,
            :  
   ,          .
/.../
      ,           ,    
, ,            .  /.../  
  ,    .      
 ,            :  
   ,     .  
   ,          ,    
 .    ,        ,
,     ,      .
     -        ,  ,  ,
,         .
       , ,   
 ,      ,    ,
 ,     .      
  ,       
 ,     . , , 
   ,   ,    
:       -    
,            ,    .  ,    
,     ,    ,        ;
,   ,   ,   
,        .          .   
, : "          ,  
    ,     ,   
  ".         ,
  ;    . /.../
             ,  ,     
, ,    ,      ,  
     :    ,    
  .         .
       ,    /.../   -,
      ;       
,   ,    , ,   
 .          ,    
     .   ,      ,
  : "              
!     -     , -     .
    ,    !"
          ,  ,     
 .              .  
,              
 ,     : "      ,
  ,                  
".    : "   
  ;       ,    
   ;    ,     ,
    ,      
  ".   ,        
.
      ,         
.    ,        :  "
,      .  ,  ,    
".      .   ,      ,
  , : "    ".  
         .      
    -, ,     
   :  -,       
.    ,  ,          
,    .       
,   ,      "  ",  
: ", ,  ,          
    ,    ,        
  , , :   ?     
       !  ,  ,  
,      ,  ,        
.          ;      
 ;  ,     -    
       ,          -  
 :  .         ,  
       !"
              ,          
       -          
,   .            
  ,  ,      
   .

     :
     -       ,    
  ,        
.    -    -    
     ;
     -         ,  ,    
,     ;
     -        (   , , 
     )    .
           :    ,     
              ,  
    .      
:     ,    ,    ,
     ,      .
         ,     ,    
  - ,    ,    
  .
        .
       - .    -  ,    "
"  .            
 .
               
  ,       .  449 .  . .
       ,        
,    .         
 :     , ,      
 ,   .       ,   
       .      
      .
        .       ,    
 ,   . (,     
       ,            ,
 ,       .)
       - ,         
 ,  -   .
                
.           
     .       
          
.
                 
 ,   ,           
" ",     " "  
.
           "   ,    !.."
  .



               
   .       
   , ,   ,    .  ,  
 ,    , ,    "-
" , ,  ,    ,     
 ...
     -,    ,        ,     ,   "
".       ,     
,  ,  .
     -,       ,  
    .     ,      
     (             
 ,   -   - 
      ).
     -,             
 ,    ,     ,  
  .
        .      ,  
,       ,  .
      (     )        -    
,  .   ,        
    -       ,   "   
".
      ,     ,      
   ,       .
          ,   -    .
   ,     ,    ,
 - ,  -    ,   . 
,     ,        ,  
 ,       ,   
    .
        "",                  
 .        
 .       :     
,      .           
:

     ",   ,        
 ,    -       
,   ! -        
     .    ,      
!   ,      ,  
        ,        ,  
           !      
     ,          
   ,  ,         
,        ..."  (
. , I, 5).

                       
. -      :

     . ,     !
     .  ?    ,   ,  
       .
     .  ?
     . , ,   ... ( . , III, 4).

          .      ,    
 ,      : ", , !    
   ..."
       ,     ?
      ,     ,   
,         .    
    ,      ,   
  .      ,       
 ,                ,  
.  -            
  ,        ,         ,
  . (    . 295.)
             .   
 ,  ,     ,      
      ,  ,  .
      ,   ,           
.   ,        .
           ,        
   .      ,        
   (      ,      
      ),    
 ,      ,  
    .
         ,   ,      ,  
                ""   
"",   .        
"  "  .
       ,   .            -
.       ,    
   ,       . , 
  " ",         ,  
    .
     -     ,     :  "
,    ?"    : "   
".   ,           
  .    ,        ,  
 -  ,      
 .   .         
       ,          
   .

     -         -.      
 :

     QUEEN GERTRUDE , what a rash and bloody deed is this!
     HAMLET A bloody deed! almost as bad, good mother,
     As kill a king, and marry with his brother.
     QUEEN GERTRUDE As kill a king!
     HAMLET Ay, lady, 'twas my word. (III, 4)

     :

                                  

                        ...

                                   

                    ?..  ,  
                    -   
                      .

                                  

                                     - "
                    -"?..

                                   

                                            .

        -          
(    ),            (
).
           ,      
   ,   ,       
,       .
          :      
 ,      ,      -  
  .
      48 . . .   ,     . 
   .
        -   ""     -
.    ,           
   ,             
( ,      ),   ,    
     -  -.
         ,          
.                  
,      ,      
  . (         .)
               ,
 ,    ,   " ".

     -         ,    
.     ,               
    .

     -      .  ,      
,    .     :

     "    , ...     , ..."
     "You must sing a-down a-down, An you call him a-down-a". (IV, 5)

         , ,        
    .
          ,          
        .
           .

     -      ,  ,      
.                  
 -   .     , 
  ("  ,     ,    
              !").    
 ,  .     ,   
  ,    .  ,    .

     -     . (   - 
   ,        
                
.)     ,   
        .

     "    .  !.."
     "Follow her close; give her good watch, I pray you". (IV, 5)

     ,    ,       .

     - - - .   ,        
.
     ,   ( ,  ) ,    
 .       ,      
" ".    -    ,     
.



                    "...     ..."
                    "...he smote the  sledded Polacks on the ice". (I, 1)

         ,      
.           
      .  -    
,             
,             
. ,       ,  ,
       ,   ,    .
        " ",         
,    .

                    " , ,   ..." (IV, 1)

            , 
    :

                    And what's untimely done; so haply slander,
                    Whose whisper o'er the world's diameter...

       :

                     , ,   ,
                         
                       ,
                       , -
                       
                       .

         "" -  ,    .
   ,                 
.
                  ,  
  ,    :

                                  

                    ,    ?

                                   

                     ,      .
                      ,   .
                      ,   
                     ,    ,
                          
                       .

                                  

                                            
                      ?

                                   

                                    , - .
                    ,   
                    ,    ... (I, 4)

       ,       "to  bray",    
      -.   ,
    ,      ,        ,  
    .
         ,                .   
:  ,      . 
  : "...heaven will direct it" ("  ").  
      ,        ,    
  ,              
.
     ,          ,    ,     
,     (  ""  ),  
    .     
 "",                
   ,  ,    ,      
    .
     ,               
 .      ,     
(    ,   ,      
     ).
            - .
               ""      
           .    -,
-,  ,  ,  ,  ,  ,      
,  , , ,     .    
 .  ,    .



        "" -          
 ,       
"  ".

     "            /.../       
,           ,    
    ..." (.2, 17, 18)

     " "  -        ,      ,
  ,        ,  
,   " "       ,    
 ,           
,   ,     .      "
        "  -        
.
         :

     "    :      
 ;      ,      
,   ". (. 2, 13)

     ,   ,      .
     ,     ,        ,    
 .      , ,  
     .
         ""        .        
      ,      
 :    .
                        
.           1    I  
,          
  .
     ,            .
" " ,     " ",  -  
,        ,        
.
     ,       "",    
          (    
""    "").          ,
   : "          
.     .   !"
      "  " - ,  ,  ,
  .   " ,     "  (.  2,  17-18).
     " ".
           -      :    
 ,    ,    
.        :

     "     ,        
,  ,      ". (. 2, 5)

          "   ":  -,
-, , , ,    ,     
.     -    ,        -  
 (     ,  ).  
    " ".
         "  ",        
  -  "".       :

     ",      ,    ,     
  ,  ,   ,      
". (. 2, 12)

     :       ,        
     ,       ,
   ,        .        
,      .
     ,              ,
   ,      .
                     ,   
      ,     
      " ".       
                   
 ,    ,       
 .       .
        "" (   
  )     .
        ,       
          .  ,      
,      :     
      ,      ,      
.
          , ,    
  .
         ,     
       .      ,
      ,       
   ,        .  
,          -  
 .
           "",            "
 " -     .
      ,  ,    ,        
.
             
,         .  
 -    ,     ,    
  ,      .
     ""    ,        ,
                ,      
,                 
  :     .
      - " ",      
   , - :      ,
   - .
      ,   ""  .




             ,              
 .  ( . .   .
, 1985).
     ,    "               ",   
          
       :
      -   ,      (    pensee
'') -     . (    .)
      -    ,      -      ,
  (,    -      -
A..)
     ,         "  "  
  "".  (,               
"".)
     .  : "  ,     
  ,         .
 -        ".
     ,   , -  (        ,
  ,      ,      
    ).
             
  .   with a difference: "Difference - 
 -       .      
    '', '-'.          ,
   ,       ".
       -        ,        
.
      -    .  .   :  "
  , ,  ,      
      .    ,        
   ,   .  ,  
,     ,  ,    ,    
  ".
          , ,  
()  .
      ( ,  ,     "  "
-  )  -        .   (         ,
 ,           !  -
..)
      -    .     (  .)  -
 ,  "     ".  (      -
  . .   .)
           .
     ,    , -    .
     Crow-flowers (.    "") - ,   -
   (, nettle -  ,  " ",  
 ,    ),  -  .
     . . ,    XX .      "  
  " (.   ., 1991), ,   
 -      (   ,     
        ).        ,  
             (-
        ,      
 ).
                  
  .              ,
      " ":

http://nths.newtrier.kl2.il.us/academics/science/~goralb/shakespeare_garden

        ,  . ,     
"".         
 .              
. . . 305.


                        ,  





        ,       ,    
:

     There's rosemary, that's for remembrance; pray,
     love, remember: and there is pansies, that's for thoughts.
     . . . . . . . . . . . . . . . . . . . . . . . .
     There's fennel for you, and columbines;
     there's rue for you; and here's some for me:
     we may call it herb-grace o' Sundays:
      you must wear your rue with a difference.
     There's a daisy: I would give you some violets,
     but they withered all when my father died:
     they say he made a good end...

              ,        
,     ,       (  
  for you,   ,        
  ,      ):

     ()  ,  ;  , ,
     :    , ,  ...
     ()     ...
     ():     ;      ,
            .
            ,  .
      ...       ,
       ,    .
     ,     .

       (rosemary)  -  Rosmarinus  officinalis  L.   -   
    .    ,    
 .
     -                   .
      .      
(  ) -   .        
  (for remembrance -  , ).

       (pansy)  (, )  (violets)
      - Viola,      .  ,  
 ,  .   ,  ,  
 , .
       (     ,      )  
 (Viola odoratd)  ,       
 ,    .
       (Viola tricolor)  -  ,      
      ;      (V.
altaica)               
      ,          (Viola
wittrockiana),      .
               
" ".               (
, Viola  tricolor).  ,          violets
    ,   (
, pansy).
         (violet)   -         ,   
// (   ).      
 : "And from her fair and unpolluted flesh May violets  spring!"
("           !")  
 ,     -      .
        (rosemary)    (violet, pansy)  
    ,           
,              .    
   (     -  
   ).

       (rue) - Ruta graveolans  L.  (        
)        , . 
    ,       
.  4-5,    .    -  4-5-
.               
.        .  () 
 rue     ruta -    ,  
 ,  ", , ,  ".
     -    repentance  (,  ,
),   .

        (daisy)
      - Chrysanthemum leucanthemum.    
.         daisies  -      
    (        ),  
.           "()  ".
   ,  ,  ,
    .    -         
 ,    .    ,
, ;  - , , .  -  
 .            ,  
, , ,          ;  
   .       ,
   ,       (    
    ).    ,    
     .
      (daisy).   - Bellis  perennis.  
            
                .
         .
        daisy  "",    
"".      ,          ""  -
,  ,     daisies  .    daisy  
  "      ",      ,
,  (    ).         daisy
       (        -  
camomile),   daisy -    ("  "),    
() ,         ,      .  
   - ,   .   .

      (fennel) - Foeniculum vulgare -      ,    
  "",      "  ",  
  ( - dill),      
.  fennel            foeniculum,
,           .      
     ,      ,
   ,    ,   
 - .      ,    
   .
           (F. vulgare).  
  (      )         
 ,       .    -  
 .          .    -
 , , .
       -  ,        .
  , , ,      
  .            
,    ,     ,         .
   ,   .   
    ,    ,        
, ,  .
          .   
      (    -    
), , .

     ; ;  (columbine) - Aquilegia vulgaris -  
 , ,    .   
 .     ,      A.  vulgaris  L.  
 ,  ,     ;      
   .   ""  -      
   Aquilegia,              
,   .       
aqua ""  lego "",          
    ;  -    aquila  "",    
  ,        (    
  ).             
"" :            (
   ""        ).
 - .  , , .
        .
                      ,
,  (columbine     -    violet,
 ).



      (,   )  ,    
 ,   , -   .  - 
   .          
 (    ).       ,
      (        ),    
  columbine,   ,   .    
     ,    .
         herb-grace,     (herb-) 
 " ".     ,        
  (     ).       ,
    ,  "    ".
          __      
("")    ( "")  -        
      .   ""  
,      -  par  excellence,  
   .
     ,        
      (      ),
    .        ,    
        ,  ,  ,    
.



     There with fantastic garlands did she come
     Of crow-flowers, nettles, daisies, and long purples
     That liberal shepherds give a grosser name,
     But our cold maids do dead men's fingers call them...

                  ""      "",      
- : - garland  ",  
    ",  a  garlands,      "",      ",
    ".    :

     ;   ;      (crowflower  -  "
") - ,      Lychnis  flos-cuculi  (  
"  ",  -,      ).       
crow-flower     .    -      
  (Caryophyllaceae).          .
 -  .  ,   .  
  - .
           ,  
 (raven)   - " ".

      (nettle).   - Lamium.
         nettle -      (
 " "),   ,      ,  
  .       
 nettle,  - stinging nettle,    -  nettle,  white
nettle   dead  nettle,  "  /"  (  
     dead nettle).          
,   ,        (    -    )
.      -      ,  
    ,            
  " ".    crow-flowers,     
   .
        (     ""  
 dead-nettle).

     ,  (dead man's  finger  -    )  -    
 .     ,      
     -         .
               
.           .    
,  ,   -    .    
    .
             (Orchis  maculata  L.)  -
     ,  15-60 ,  
      .    ,  ,
                
,        .        -     
,      .   
 .        -  .        
    ,        .    
  ,    ,      ,    .
  ,   " ",    
  ,      -  .        
 .        
  , ,    . 
  - , ,  ,  ,
,   ;     , 
 .
      "    "  :  "
,     ,      
  ,          -         
    -  -    ,    ,  
   ,        
,    ,  ,  
. ,      .  
     ".
      :       ,      
  .    ,     "  
,         ,    
     ".        
__  _ _           (
 __ -  ,  ).
         ,       ,    
""      dead  ():  dead  man's  finger  
(dead) nettle.    (      crow-flower)  
     "",   ,  
        crow ( -   
" ").
          ,      
,   .

                            -            -   
                     -               -            
                                     



            rosemary  .          +         (+)      
                  ()

            pansy     .          +          -       ;
               ( )                                 

             fennel   .          +          -       ,
                  ()                                           

           columbine
                 (, .           +          +       
                 )

            rue                +          +       ,
              ()                                             

                                                                      
                   violet                                             ,
                  (   .          +          -       ,
          )                                     ,
                                                                      

           daisy    .           +          -       
                 (                                       
                  -
                 )



             dead's man .             +       
                   finger                                             + 
                 ()                                           (dead man's)

          (dead) nettle .             -          -       
              ( )                                         (dead + )

          crow-flowers  .             -          -       
                ()                                            (crow-flowers,
                                                                      )

             daisy      .           +          -       
             (                                        
             )

       ,        ,    
 .   ,       ,  
  ,       .
             (,   ,            
) ,  ,   ,      
     .
      ,       (     
   ,             
            ,      
 ).
             ,      
,    .   ,     ,  ,
         . ("  ,  
!" -  ,     ,        
    .)               
 . ,             
,      .  (        
 ,    .)
         " "      (  
,     ,      ,      
,   , "  ")      .
       ,          ,    
 ("  ,    !"),      
,  "   " (     ),      ,
  ,   ,     ...
        .     ,     
   (  1604 .)    (  1623 .).
       , _ _  __    -
.



      :           
,            
"Anglistica" ( 9,  - , 2002 .).
                   
 ,     .

                                                               



                    .
          
- ,        ,  -
 ..  -   ,   ,   
 . ?
         ,      .  
        ?        (  
                ),
      ,        
    .
     -,      -      
   ?         ,
         ,      ,  
: I am more an antique Roman than a  Dane  (V,  2,  346).    -
, ,  .      .    
   : " ,      ..."    
       1959-1960  .      ,
                 
      (    ?)  
: " ,   ".
          .  ,    
     -  ""      ,  
    ,              
   - , ,   
     (III, 2, 63-74).    "",  
      -  ,              
   ,      .      
.   ?          .    -  
.   ?   ?   (IV, 4)   
 ( Gentleman)       (    ),  
             .  
 (Harold Jenkins - The Arden  Shakespeare)  ,    "
 {attendant)           ,  
       ...".          
   ,      
               
.         .   
    ,        
  : " ".
     .       ,   
     -     -    
. , ,   ,  :
         (IV, 6).   :  
        ,      -      
 ,     .
             -    ,  -
              ,
                
      ,   .
            XX .    
   ,       ,
  "".           What  happens  in
Hamlet (1935).         .
     -,    ,   ,               
,       .      
,    ,        
 {inexplicable dumbshows, III, 2,  12).          
   ""?   (        
)     ,           ,
     ,    .  ,
       ,  .    -    
           .    ,
, , ,   ,         
 :        .
     -,      ,     
,     ,          
.    ,            
,    (... there is not a word in the text  that  can  be
quoted in support of it...) {Wilson D.J. What happens in Hamlet.  L.;  N.Y.;
Melbourne, 1976. P. 151-152.}.
       ,        ,        
  "",    .
             ?    
 ,     ,  ,
   .      ,  
   , ,  . 
,   .,     ,   
,   ,          -
(?)    .
         ?   , ,    
   ( ..)     (  
.   ).        -
 - : Till that her garments, heavy with their  drink,  /  Pull'd
the poor wretch from her melodious lay / To muddy death...   
         (    
:    ?).
                ,
   .    ,      ,  
 : "?.. ?.."
               ,      ,
  : "Drown'd! , where?.."   !  -    ,
  ,      .  ,  ,      -   
  .
        ,   ,      ,  
        .     
  ,     .,      ,  
,     ,       -,
 ,   .    .
      ,     ("      ,  
...")   .  .       
   ,      :      
   , ,           
    .  ,    ,  
,          .      
,   -  ,          .
  ,   ...    ,  
     , ,     
  ,  , , .     
 ,    ,   ,     
,   :           
,     ,   .
     "   ,  , ..."
, ,  .          
   .  1535            :
 -     , ,    ,
    .          
 .              
  (     ).   ,  
 ?   ,   ,  
   (       ),  
.    -      ,  
    ,  ,         
 .
     "  (,  ),  -        
      " -       
,    . " ..." -  ,
   ,      ,    
    ,    ,        
.   ""    ,    "",    
  spy -        .
,     ,      ,  
   ,        :  "As
if we were God's spies..."(V, 3, 17).
       ...       -,  
    .,  ,     ,  
    .  -         
,                ,   ,
   .       
,     .    ,
      XVI  ,  -         
   ( ,       "",
   -  "")          ,  
     -    .    
?  ,      .                 
-, ,  ,          
                
.
          .      ,
 .     31    2001  .  
 ,                ,
        .        ,
  ,    :      
,    - "",      
 .
        ""    "",  ,   
,             
   -  ,  
          ,     :   
  .          ,  
     ,        -    
,          ,        
.


                                                              



      ,     .      
    ,     ,    ,
 ,         "".  
     .        
  ,  ,       ""    
                   
,                  
" "     -    
, " "  ,  "-",    
         ,         
-.
      "" -        ""  (
  " " - .  . " "  
 )  ,      ,    ,  
,    .
         (, )      
       .      
    .
              -    ,    
         .    
     (  Helsingor,    
      Elsinore -         
  "",    ,  ,  ,      
  -),      .   
                 ,
 - .

                "-     -      ""
                      "         /.      
                   .
                       

  Ophelia (   Claudius        Horatio       Gertrude            Rosencranz
  )        ()        (         ()          ()
                                  )

  Laertes (    Lucianus (-  Bernardo      Hamlet              Guildensten
  )         -  ()      (  )    ()
                  
                   )

                  Polonius        Francisco     Fortinbras
                  ()       ()      (
                                                  )

                  Cornelius       Reynaldo      Osric
                  ()    ()       ()

                  Marcellus (- Claudio       Voltimand
                  )            ()       ()

                                  Gonzago
                                  (
                                  )

                                  Baptista
                                  (
                                  )

       "    "  Ophelia            
.   "" ophelos ", ,  ",
ophello ", , , ",  opheilo  "
,   "      "".  ,  
    (    -    -)  
 apheleia,      apheles  ",
;    ;    ;     ,     ,
".     -   ,   ;    
Polonius -  "".  "" (  -  
-us)    -   Claudius,  Cornelius,  Marcellus.
Lucianus -     Lukianos (a  , 
 - . Luciano), Polonius - "" (  ).  
-     .  ,      ,
  :      ,  ,    Gertrude,
 (     ,  ,      ""
 Fortinbras -  )  " ",  
. ,              .
""                
(  -):  Horatio    Claudio  -    ""  
Horatius  Claudius; Bernardo  Reynaldo - ,      
 -  (      
Bernardo); Francisco -    -  ,    
    Francesco.     
 -     -      
"    ".  ""         
""     "" - Gonzago (    , 
)        (!)     Baptista   (-
Battista, . Batiste  Baptiste,    , ,    XVI
. -   ,        "[]  ").
        .  ""  
(  )  , ,  Claudius, Marcellus 
Horatio (,    Polonius -     
""       Fortinbras,    
    -,  "fort-en-bras").            
 "" Lamord - ,   la mort "".
        ,     ,   
        -    ,        
 (      - ).    
                
(,  "  ").         
 -            ""  ,    
,  - ,    ,      ,  
  "",      ?   ,
    "",     (  
      !),          
"", "", "",    ,  ,  ,      
,   "".   ,      ""
 ""    ""   
 ,             
 ,      :  (. Laertes)  -
   (1603 .) Leartes; Gertrude -      Gertred,  
 Gertrad; Rosencrantz ( "   ")  -      
Rossencraft (" "?!); Guildenstern (,   Guilden-,
    Stern "";        -  
  gilded stern  "  ")  -    
 Gilderstone (          -
"  "?);  Reynaldo  -         Montano   (
  ).  ""    Lamord  (    )
  Lamound  .
            -   (Yaughan)
    (Yorick). Yaughan -    
;     -      ,
        "".   Yorick   -      ,
" "          ,  
,   .          
 ""        - .
 , ,     .
     ,        ,
  ""  -          ,  
     -          ""
  ,     ,          
(    ,    -     
 ,           
  ).
                     
   .      , ,
   ,      ,  ,    
.    ,          
(      )    .    
     ,      
    -               
-    ""     
  .    "" 
 (,  ,  ,  
  ,                 ),   
            (
  ),        -  ,
"-"     " "
  (Which, as her  winks,  and  nods,  and  gestures
yield them, indeed would make one  think  there  might  be  thought,  though
nothing sure, yet much  unhappily)  -            
(gesture),            (    
enviously)  XVI        "".  ,  
      ,    
 " "  ,       
               .  
    .   "     "  
     ,     
   (appear'd, prick'd, in't, design'd  .  .)  
 ("")    (Hath <...> shark'd
up a list of lawless resolutes to some enterprise that hath a stomach in't -
     shark'd up   to  have  a  stomach  in
something   a list of lawless  resolutes  to  some  enterprise).
"" ,        "",    ""    
    ,          
.       , ,  
 -     ,     
    "  " 
.            
       ""   ,
      (   ""      
    )     
 ( + )        (fantastic
garlands - liberal shepherds - pendent boughs -  weedy  trophies  -  coronet
weeds - chanted snatches - creature native ... indued unto  that  element  -
melodious lay). ,      
  ,     ,     
 -       ,    
    .
                     
,     - ""     -  
  ,  , ""    "".
     "    "    .,  
  ,        
  ,         
""  ,              
          ,        
       .    -    -
    ,  -  -      
  (""    "":       ""
,    ),    -    -  
      "".          ""
,           
    .            -    
"-",         -   "   ".
,  -              "
";                
 "".
      -    -  ,   
         ,      
   .        
      .      
  ,        ,    
  , ,   ,   
   . , ,       
   -,  -    
(  -        ,      
  "",    ,        ""   
"").    ""    (     
)  ,  ,  ,          
 (  )    ,          
  (  ,        .  
.).           ,
               
   ,       
     ""   "".    ,  
 .     :        
   ,     .    -
  ,       
 - ,        ,
    "  ".
               "
"      (.       .)   
     ,     "".  
, "      ",  , 
   -  (  
   ,   "": young Fortinbras
<.. .> shark'd up a list of lawless resolutes <...> that hath a stomach in't
<...> -  ,   sine ira et studio). ,
,          
"" -     ,      
 " "     -.
      ,      .

                                                                



        ( ) -    ,  
,        .      
             .
    sqrt(5)      XXVII   ..   
      -,       
     .          sqrt(5)
     (    ).    
              
(              ).      
          .  (        
 .)
           .      
   ,           
,    .
             :
     
1 : - . , (1 : ), . , . , , 1,618034 . , , {.. , .. , .. . . , 1990.}. " ". , :
Rn - R - (696 . ) Sn - an - :
( , ) an < 2 Sn < 2a. . (1 . . - , 149, 6 . ). , " " (., 1988) : I. : 0,387 .. - . R 2439 -> me 0,2914982 0,723 .. - . R 6050 -> av 1,3508489 1 .. - . R 6371,032 -> az 1,9675369 1,524 .. - . R 3390 -> ama 1,5955036 II. -: 5,203 .. - . R 71400 -> aj 114,72687 9,539 .. - . R 60400 -> as 177,93152 19,18 .. - . R 24300 -> au 143,93552 30,07 .. - . R 25050 -> ane 232,62387 III. 39,44 .. - R 1500 -> 18,270115 (2002 LM 60) 43,4492 .. - R 640 -> ak 8,58766 ,
, , . { .. (. " ", "" 1990 .). , , . , . 2002 . - , , .}:
1990- 6378 . :
, :
,
- "":
- , ( ) .
, . ( { 1988 ., " " 1994 ., - ( !) . , , -, , , , , , . .}.) , , - . , , , , , - . , . , , , . "", . , "" . , . "", , , . . {. . . , 1954.}. : " ", , . . . , { , ( 0,1) . , -, , , , , -, III , , I .}. , , , { : http://tech-two.mit.edu/Shakespeare/hamlet/index.html}. 1604 ., " ", . ( , , . , 2 II .) "" 1676 ., . . . , , , . "" " ", . , " ". , , , II III, III IV : , , . , , "", , . XIX . , . "" , , . , , . , "" . . . ( .) : , . . "" . "" : ( ), , . - ( , , ). " " (, . 337; 357; 381; 431). "" - , ( , ). -, " ". -, , , . , . , . : , , . 3,2 , . . , ( , , ) I {, , : 1623 , , , .}. . - . ( !) . "" , , : I - , , II - , , III - . . "" : - - 21,85 . (21,4%); - I - 22,14 . (21,7%). 0,3%. - - 49,54 . (48,5%); - II - 48,95 . (47,9%). 0,6%. - - 30,71 . (30,1%); - III - 31,01 . (30,4%). 0,3%. - - 80,25 . (78,6%); - II III - 79,96 . (78,3%). 0,3%. II III , : 1,618... ( 1,6.) . - . , . , II III 1,607, 1,6181... . , , , 4,6 (1 IV 1 IV ) 4,2 (2 III , 6 IV ). ( , 1%), - . , . II (1,618...), 42 743 , III 42 745 . , "!" ( ). , , - . . , , . . , , sqrt() : 1, (sqrt(1,618034...)) , (4 : pi). , sqrt(^3) : 1. ( 30 , 0,0008.) , , ( ):
= I = = 21,38486%; b = II = = 48,58683%; = III = = 30,02831%.
,
1 : - .
: = = 21,122%. I = 21,915%. 0,793%. : - 0,263% + 0,53%. b = = 48,568%. II = 48,258%. 0,31%. : - 0,019% - 0,202%. = = 30,31%. III = 29,827%. 0,487%. : + 0,282% - 0,202%. , ( ), {, . ( ). . , , - . , .}: 1 - - 1409 ; 6452 2 - - 2175 9713 3 - - 1121 4987 4 - - 767 3465 5 - - 1540 6790 I 7012 31407 ( ) 1 - - 1018 4415 2 - - 4989 22549 3 - - 1607 7175 4 - - 3328 14946 5 - - 831 3669 6 - - 1872 8263 7 - - 396 1821 8 - - 254 1126 9 - - 597 2723 10 - - 553 2473 II 15 445 69160 ( ). 1 - - 1721 7817 2 - - 309 1308 3 - - 1662 7309 4 - - 2514 11090 5 - - 3408 15221 III 9614 42 745 ( ). 32 071 143 312 . , : I II III . % % 16707 2473 11090 30270 21,122 -0,263 9713 44670 15221 69604 48,568 -0,019 4987 22017 16434 43438 30,31 +0,282 31407 69160 42745 143312 100% % 21,915 48,258 29,827 100% . % +0,53 -0,328 -0,202 , . , . . I "" 0,53% , 0,263%. II 0,328% , ( , 0,019%). III 0,202%, , , 0,282%. ( "" ) III ( 0,202%) ( 0,263%). "" 0,0006 ( ). , . , , . III , . : - , 0,3% , II ( ) III ( ). "" , , , , , "". , . . , , , , . , , , , - , , . , , , "". "" +0,003, , , , - . II 0,328% - , , , . , , I : 31 407 21,915%, 21,385%. 1% 1468,65 . II 71 357 , 69 160 , 2197 "". ("" - , .) III 44 101 . 1358 "" . 2197 : 1358 = 1,618, = (sqrt(5) + 1):2 = 1,618. " " , , , , , . , , -. "", , , , 200 ( ) 515 ( ). . 581 . II III , "", : - . , , __. ? , , . 581 , II III . . II III . (2,05 : 1), "" II (sqrt(^3) : 1 = 2,06 : 1). , ( ) 3 35 , . , , , , . , 1,89% 4 30 . ( , .) , III . , , . 0,263%, III 0,202%. III , - 1356 , 2 10 . "" ( 0,06%) , . III ( !) . III - . , , . , ( ) III - , (, , , ). , : III ( ) . -, . , . . III , " ". , , . - : ", , . , , , ". { . .) , , , , , , , , - - . ( , , , , .) "" (1603 1604, 1609 1611 .) . 1709 . ( ). , , , , , , "", , -. "". , , 1623 ., , , I II , . ( " ") , . ( ) ( ) . , , , . , , III , , . , . ( ) . . , II III . , , . , . , , , " ", , , . "", . ( - - .) "" , , . . : " " (6 II 4 III ). . : ", step between her and her fighting soul..." , , (337 ). . - , . sqrt() (, ) 4 : pi ( , ). , ( ) - . , ( ) , , sqrt() : 1, 4 : pi, . , (" - !"), . , ... . : " !" , " ". . . , , , , . , , , .. , . "" , "" , " " (. , ). , , "" , . , 1676 ., - . ( , . , , , "".) "" , . , "" "" . " " , , , , "" . ( ) , 48% , - . , , ( ). - . , . , , . . . ( : - - ). ( 5 II , 3 III ). , , , . , - . , : - - 5 ; - - 10 ; - - 5 . , II , - III . , ( ), "" {, . , .. (1941 .) (1946 .) "" (, . 442).}. ( ), , . -: , , , , , , , , , , , -... , , ? . . To be, or not to be... To be, or not to be: that is the question: Whether 'tis nobler in the mind to suffer The slings and arrows of outrageous fortune, Or to take arms against a sea of troubles, And by opposing end them? To die: to sleep; No more; and, by a sleep to say we end The heart-ache and the thousand natural shocks That flesh is heir to, 'tis a consummation Devoutly to be wish'd. To die, to sleep; To sleep: perchance to dream: ay, there 's the rub; For in that sleep of death what dreams may come When we have shuffled off this mortal coil, Must give us pause. There 's the respect That makes calamity of so long life; For who would bear the whips and scorns of time, The oppressor's wrong, the proud man's contumely, The pangs of dispriz'd love, the law's delay, The insolence of office, and the spurns That patient merit of the unworthy takes, When he himself might his quietus make With a bare bodkin? who would fardels bear, To grunt and sweat under a weary life, But that the dread of something after death, The undiscover'd country from whose bourn No traveller returns, puzzles the will, And makes us rather bear those ills we have Than fly to others that we know not of? Thus conscience does make cowards of us all; And thus the native hue of resolution Is sicklied o'er with the pale cast of thought, And enterprises of great pith and moment With this regard their currents turn awry, And lose the name of action. Soft you now! The fair Ophelia! Nymph, in thy orisons Be all my sins remember'd. , . , ? - - . , , , - , ! . . , , ; , . , ? . , , , , , , , , ? , , - - , , - , , , ? ; - , . ! ! , ! "" 1676 . I 1 - 2 - 3 - 4 - 5 - II 1 - 2 - III 1 - 2 - 3 - 4 - IV 1 - 2 - 3 - 4 - 5 - 6 - 7 - V 1 - 2 -

Last-modified: Tue, 04 Apr 2006 19:00:43 GMT
: