. 1. . .
G/S, G -- S --
2.
, 100 16 2
, 9-10 /,
Vy= V/K=2,2-2,7 /.
1/4-1/3 . ,
5-6 /,
4-5 /. ,
,
,
.
,
, .
, .
,
G. t G*t,
Vy=9,8t.
, ,
, --
, .
, , ,
.
, ,
. ,
,
. -
, .
, , ,
,
. ,
,
. ,
,
,
, ms.
, V
, l;
s= 0,125
*2/4 ms =
0,l*V*l2.
W, ms,
ms, . . W=G/ms; ,
ms,
,
,
; ,
E1
;
F, :
1,28 -- .
Q1 V2, a
Q2 ;
,
,
, , V,
m:
,
:
25-30% ,
, ,
15%, :
,
;
F .
h -- .
6 h=1,3
l=6,8 .
F 1,2-1,4 2;
4,5;
90 8-9 /, -- 2 /.
, ,
,
:
S -- ; 16
2, l=4,25 ;
3 -- 2,8 /.
,
:
, V=8 /, G/S=5,6 /2
y=1,4.
. ,
, .
,
0,4-0,5, b --
, , , bcp=S/l;
bcp=S/l.
F 1,3 2
bcp 2,3-2,5 . ,
,
. ,
. F
b 1,0-0,75 .
l = l/b.
, --
4 2 /.
, , 15o.
, . ,
20o, , 6-7 /,
2 /
.
.
.
.
6 /, , ,
, .
, ,
.
. , ;
, .
.
.
.
; 90 4 22,5 .
, 4-6 .
. .
.
, ,
. ,
7-10 5-7
, , 5-7 ꃕ.
1,5-2% .
, ,
-- , -- --
. .
"V" , ,
10o
.
,
, ,
( "V").
,
. , ,
, .
,
.
, , 37%
(. . 1, ).
( ' . 1) ,
--
.
, ,
; ,
, ,
, , . .
,
.
,
: -- (2-2,5
/), .
, , , .
, , ,
.
-- 1921 -- 1922 . --
. 1922 .
. . . ,
13 . F
0,5-0,6 2; ,
13-14; 140
0,7-0,75 /.
. . 1923 .
.
,
. 1925-1927 .
20-25,
.
16-18 , F=0,2
2 ;
30-35.
. 17
350 0,55 /.
2 1400 3:
1 -- ; 2 -- ; 3 -- ; 4 --
, 5 -- ; 6 -- ; 7 -- ; 8
-- ; 9 -- .
,
250 . .; 400 ,
-- 500-600 -- 400 .
.
,
. ,
:
, , ;
, ,
.
.
. (
), ,
,
. ,
-- ,
.
,
. ,
,
.
, ,
.
;
. , . . ,
.
.
;
. ,
, , ,
.
--
-- .
, .
.
,
. .
, --
, , .
.
, ,
, , . . ,
.
, , ,
.
,
.
,
, . ,
. ,
.
,
.
. . .
-- 13 800 .
Y .
. , ,
. ,
, :
,
Km=0,785l/F1/2:
,
,
,
, :
: F ,
, -- --
; --
2/3;
-- 1/6. , , F
12%.
, ,
.
, ,
2/3.
,
.
. , ,
.
,
60-65% , ,
, , 50-55%
.
,
,
, .
. 3. "-4" (1909 )
"" 50 . . 10,5 ;
42 2; 350 ;
500 .
"-4".
, . 3,
, . , . .
.
.
.
. -- -- , ,
, . ,
, ,
. ,
.
, . ,
-- , ;
, , .
.
"" -- .
""
1909-- 1914 . , ,
, , .
. ,
: 50 . . 76 .
, ,
. . .
.
,
F ,
65 /, 18 /; 75Nh/V
, F:
h=0,75 G=500 F=4,5-5 2.
Km=0,78l/F1/2=4,2
47 /.
, C . C
, :
, .
"-4" C=1,1; C,
;
C=1.73C=1,9 --
. ,
.
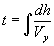
Ym,
, . ,
- ,
h=0,7 N=47 . .; :
, 500 ,
n=Y/G=1,4-1,45. ,
.
580
ny=1,25. , ,
, , . 1910 .
. .
65 .
, 4%
-- 7-8%; Y 5% Ym=760
.
, , ; F
5,5 2
3,9 =1,3. ,
0,8 3,5.
16,5 15,5 / 4,5 /.
. ,
.
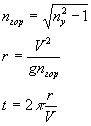
h h=V2/2g
h=h+h.
Dh=-Ds/K,
.
.
Y= rgh
. 4 ,
h
V=18 /, h=16,6 , 2
30
9 .
h
, .
,
.
. 4. "-4"
, .
"",
;
, , ,
, .
, "-4"
,
,
.
.
"-4"
. ,
, .
, .
. 5 ,
"-4" 500 .
, 2000 .
5. "-4"
. 1909-- 1910 .
. ,
,
; .
. -- ,
, .
, ,
. , ,
, ; , , .
. , , .
"-4"
, ;
.
, ,
.
, .
-- ""
. " ",
"", . .
, 84
1200 /. ,
.
.
: 6-8
, , ,
( ),
. : "!" -- ,
. ,
; , ,
,
, , .
"-4" 60
6,5-7 .
"", " "
.
"" "" ,
, ,
,
.
"-4"
.
, ,
.
20-- 30 .
, "-4" ,
.
, ,
, ,
. ,
"" .
-
: 10 , --
100 --
.
"-4".
, , ,
45-50% , .
, 25% ; ,
(23% ) ,
-
. ,
,
, ,
27-28% , . ,
45-50%
(x/b=-0,2). , ,
x/b,
, , "-4",
. , ,
. ,
" " . ,
,
" ".
,
.
"" ,
,
,
" ". "-4"
7 , ,
. ""
, . , ,
;
. ,
--
"", -- ,
.
, "-4"
;
, ,
39-40%.
,
.
. . , ,
.
. . "-4";
, ,
.
. 6. "-4" (1911 .) ""
70 . . 21,5
2; 450 ;
600 .
- "-4"
, .
(. 6),
( 2,5 ). ,
, ,
. ,
, , ,
, ,
, . ,
,
, , ,
, ,
10% , ,
2 . .
.
"" ,
,
.
,
. ,
.
, ,
,
.
5; ,
; .
,
: ,
, ;
,
,
. ,
. ,
4,6, 0=0,1
6. ,
,
.
, S-, . .
.
.
,
.
. , ,
. ,
, 40%,
.
42-44%. ,
, , , .
.
"-4" 1914--
1915 . ,
- .
,
, , ,
,
.
,
.
.
--
. ,
, , .
.
, ,
. ,
.
, .
. 1915 . 1000
, ,
.
.
.
. -,
, ,
,
20. ,
.
, , . . , . . .
, ,
, .
,
, .
,
, ,
,
. -- ,
,
, , , .
, .
.
, . .
.
m=6, N=70 .
. l=10,6
, 680 , Ymax/G=1,47;
, 600 , , , ,
. . , Ymax/G=1,67;
G0=450
Ymax/G0=2,2.
, :
:
,
. KG=8,3
; KGo=5,5
. 600
Ymax/G=n=1,67
1,6, ,
50. , . . ;
, ,
,
.
. 7, 8 9
"-4". . 7
; . . 8
, ,
0, 1, 2 3 ,
600 .
;
DN,
Vy=75 DN /G.
. 7. "-4":
. 8. "-4": -
; - .
. 9 Vmax
; V;
V
Vmin. ,
t V.
600 680 .
. 9. "-4"
600 680
,
980 , V=25,8 / (93 /). 600
ny=l,63;
n=1,29; j=12,6
/2;
r=V2/j..=53
t=2pr/V=13 .
, , .
. .
. h=V2/2g
--
;
h0=V2min/2g; "-4"
600 , h0=18,5 .
, n
:
: n< n .
, n
=3,5, .
n=0 n m
n,
; n=s
q.
n=h/h0, n .
,
, ;
y2
/pl=C0. n (. . C
)
h. --
C=1,15; h.=21,5 .
,
, n= h/21,5,
3,5 ny= h/18,5.
n h,
:
.
h.
,
:
n h
n; /G h,
P/G=0,28--
0,0016h.
Q/G
,
, DCx0=0,03,
, n
. , : --
, -- . ,
: h=h+h; ds= rdq; dh=ds sinq.
s
q. ,
, Ds Dq; --
, Dq,
q.
.
, ,
. Dq,
:
q, n
h. ;
h. , .
,
h h o s ,
. . 10 11
"-4" . . .
900
90 /, h= 32
932 . 60o,
650
. ,
, , ,
650 , 785 h=135 ,
~ 185 /.
n=135/18,5=7,3.
.
Dq=30o.
, ,
, , ,
.
, h
- h,
h.
, h
h =10,
, 0,5. ,
, 30-40% .
h , ,
.
. 10. "-4"
, . 10,
h V=4,4
h1/2.
,
.
10 .
. 11 ,
, 30.
, . . ,
.
. 11. , ,
. .
90 ,
, . . .
, , ,
, ,
, .
, .
.
, h..
- h.,
,
Dh=D=(3,5-4,0)h., h.=0, 82G/(S
C).
,
.
.
n~2,3;
.
,
-- ny=0,3-0,4,
, h. ~(0,3-0,4)
h..
h. ,
. P/G, . .
,
. , . .
, ,
. ,
. . -- 300 .
, ,
.
, ?
,
. ,
. 10, , ( )
.
,
,
. ,
2,3. . .
, 1,6. ,
.
. 12 "-" (1913 ) ""
80 . . 15,5 2,
350 , 500
.
F0
1,0 , . . , "".
, ,
, .
,
,
.
"" ;
,
F0 .
-- .
F0
130-135 / ( 110 / "").
h=V2/2g ""
48 , "" 70 ;
.
F0,
"" 6,5, . .
, "",
.
. 13 "-".
;
5%, .
, , ,
.
. 14 ,
500 , 4 .
,
:
. 15 "-"
-- , V,
,
,
120 / 1000
44 . ., , , 53 .
. (. . 14). , 0,26-0,28
, . . . , 0,75,
16-17 /.
. 13 "-"
50 3
350 .
"-" "-4", ,
"-" .
, ,
ny=Ymax/G,
. "-4" n=1,65,
"-" n=2,0.
n , 3,0, 3,5.
30 /
n =1,9
"-".
. .
, "-".
, . . ,
,
. , .
, 27-28%.
.
30-31%.
. 14. "-" 500
.
,
.
1,6
2. ( ) 35%
, , . , ,
, , , .
. 15. "-"
500
,
, ;
, ,
. ,
.
"", . ,
--
. 0,5 2,
,
.
"-" .
,
, ,
, ,
. ""
, ,
, .
, ,
,
--
, , , . ,
, .
.
"-"
, -- ,
.
,
.
, , 1000 ,
50 . . ,
.
, . .
;
n ,
.
5,7.
: ,
,
. , 100-110 /
4,5. --
, .
-- "".
, . .
"-",
. ,
75-80 -- 7 ; --
80-90 ; , 10-15 ,
200 ; --
8o-10o.
,
5o-6o,
10o-12o.
,
"", . .
. , ,
, ;
.
1918 . . . "-",
, . .
, ""
.
.
. 16. , . . 1912 ,
. 17. "" (1911 .)
. 18. ""
, .
, ,
, "". ""
1911 .
-- .
-- , "-",
"-" . "".
"", ,
. -
, ,
. ,
.
"" 1910 1915 .,
- ,
"" .
"" , ""
"". ,
"", "" "", ,
. . .
; . . 1908-- 1909 ., . .
1911-- 1912 .
"" " ".
. . ""
. -,
, .
, ,
, .
(. . 16, ).
"" ,
.
,
.
.
. . ,
. ,
.
.
, --
.
, ,
,
. ,
, ,
,
.
. --
; .
, -- ,
-- . ,
.
, , , , -
, -
.
,
.
(, ).
: ,
,
;
.
,
(, , ),
.
.
, : ,
, ;
,
; ,
,
. ,
, .
.
-
,
. ,
.
,
,
, .
,
, ,
. , .
. . . . .
, , .
,
, .
.
, ,
. ,
.
,
.
, -- .
, .
,
,
.
. ,
.
?
, ;
, ,
. ,
.
,
, .
,
, ,
.
-- ;
-- .
,
.
.
, , . .
(. 16 19). ,
. . "-4" 1914 .
.
, , .
(, , ) ,
30 . ,
, --
. ,
;
,
.
, ,
. . ,
.
19. , . .
"-4" 1913
, . .
"-4"
. 1910--
1913 .
.
.
,
, .
, .
. .
.
, , .
. , 1891 . . .
" "
. , . . ,
"", .
, . . . .
. , . . , . .
, .
.
.
,
, ,
, . .
, .
, . . ,
. , ,
, ,
.
2.
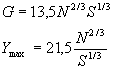
G
n, , ,
G
. (. 1), ,
m,
,
.
m,
, , .
, . 1,
n.
n=1 G0/G = 0,25
G0/G=0,3; G0/G =0,45.
, . .
G/G 0. 1
n2 n3.
. 1.
.
n=1,67,
n=2,5
.
2 , n
8/3, . . . ,
n=2,5.
3 , n
5/2, 5,5
.
, 4 ,
n5/2, , , n
, n
5/3.
10 n=1.
(5,5)2, . . 30 ;
: G/G=0,14; G/G=0,7;
G/G=0,16.
, ,
-
. . 1, ,
.
. .
,
m . . ,
"L'Aerophille" 15 1910
. ,
.
"L'Aerophille" "La Technique Aeronautique", , ,
.
,
, ,
,
. ,
, , . .
,
,
, .
G/N G/S G/N=10
G/S=15-30,
:
, N = 50 . . ~500
S -- 16 32 2.
1910-- 1912 .
, ,
G/S G/N . ,
, ,
,
.
, , :
-- h --
.
,
1911 -- 1912 . G/S = 25, G/N=10;
, ,
. . . ,
,
. , :
,
.
, . .
.
Nmax/N ,
.
. ,
2; 3,
5-6.
a
, C/C2/3
a,
1,5-1,7 . ,
.
C/C2/3.
.
1921 .
, -, . .
" " ( ,
). . .
. . ,
, N.
3/2, . . .
,
. . .
, ,
. , " ", ,
. . , .
. .
,
- ( ) . . .
. . , ,
,
" " ,
,
,
.
,
-.
,
, , ,
. ,
, -
.
,
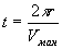
. 2-- 3
.
1910-- 1920 .
,
, .
,
. , ,
, .
, ,
.
,
, . G S
. - ,
,
. "".
, "-4" 10,5 ,
, , .
"-16" (1912 .) 13,8 , "-22" (1913 .) --
15,6 . "-16" "-22" ,
, ,
"-22" .
, , "-22"
, "-16".
.
,
.
, ,
. . . 1910 .
10 , -10 (1912 .),
,
16 . , "",
. . , ,
.
. . 1913 ., "
" ("") 27 , " "
34 ( -- 37 ). . .
, 2-- 2,5
, ,
. .
-- . , . ,
. -- 17-- 17,5 ,
. . . ,
-
. , . . 1921
. .
" " " " .
" " , ,
,
. " " ,
, ,
" ". 1913 .,
" "
. "" "",
,
, 1,5-- 2 .
73 " "
1921-- 1922 ., . .
10 -- .
" "
, ,
,
.
. ,
.
,
, ,
" ", 4-5 ,
, ,
, .
, , "",
, " ", ,
,
.
1918-- 1920 .
.
Tarrant "Tabor", 1919 . 6
500 . . , 40 ,
11 ( " " 4,5 ),
, ,
8 .
, , --
.
-60 "".
, ,
28 , 400 . . .
1921 . .
,
, ""
,
.
. 1920-- 1921 .
" "
(),
, "",
" ".
, " ", ""
16 , . . ,
" ".
. , 1922 .,
, ,
,
.
. . "" (1915-- 1916
.); , , "
", , , ,
.
( )
.
.
, ,
" ",
.
.
; ,
.
,
.
1921-- 1922 .,
.
-- . . . .
,
-- , , ,
, , ,
, , .
.
.
, . . ,
, . ,
, ,
.
:
,
, . ,
, ,
. , ,
, .
1888 .
:
--
;
N -- ;
h0 -- ,
, . .
;
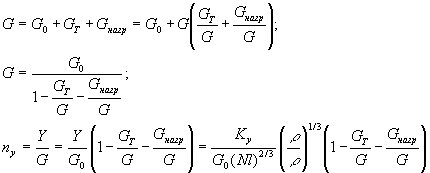
r/r0 -- ;
Kv=10,3(h0)2/3.
, . . .
. ,
, , . . .
. . "
" (1906 .). , ,
,
J. Y
J, V, r
l: Y=rJVl.
,
. . . ,
.
, ,
, .
,
, .
, l
N, "
. . " :
l
l:
h -- ; h/l
0,l-0,2; -- 0,2-0,3.
6-8%, -- 15-20%.
"" 16 ,
19 .
F0 ,
:
0,75-0,80;
, .
, ,
.
:
,
,
.
, .
:
N=100 . ., S=30 2 l=12 ,
: Y~1400 .
,
:
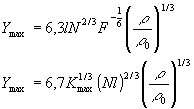
=8,6K1/3h2/3. A
,
A .
10000 . ., l=30 S=100 2,
Y1=140 ,
Y2=47 T K=16
Ky=18 Y3=80 T. ,
.
,
, ,
, , :
F0, :
" ": N=600 . .;
h=0,75; l=32 . F0
, 5200
Vmax=100-105 /, 29 /.
,
, :
F0=14,5 2
, 145 2,
C0=1,28F0/S=0,128.
, .
" "
( ),
,
.
6-8%.
=0,938,66,61/30,752/3=12 , ,
Y=12(Nl)2/3=8650 .
.
,
. Y/G=ny=1,65; ny
, 3000 .
1916 . . . " D
bis", , , "". 440 . .
26 6000
, 30% , .
. . , "" .
" " " ".
. 2. " "
,
,
.
.
,
.
.
, . "
" ,
.
-- .
, ,
. ,
, , ,
-- , , , .
,
. ,
, ,
, ,
.
, .
,
,
, ,
.
,
. ,
.
,
" " .
" "
.
, ,
.
S -- ;
L --
;
b -- .
" " 1,0,
2,5
, .
" ".
" "
,
.
.
" ". --
8 6 . ,
F0, 10% .
1,5-- 2% .
, " "
, 28,3 ; F0,
12 2, N=400 .
. 6
5800 . 4200
Y/G=l,38; , , ,
2,5 2 .
2- 1913 . " "
, 7- 1 54 .
550 , 90-- 100 ;
200-- 250 . 700--
750 , 3500 ,
4200-- 4300 .
" "
: ,
" ". " "
- , , , , ,
, ,
-- " ".
. 3. " "
, ,
,
.
.
, (.
3). ""
, .
" "
. , ,
, ,
, -- .
" " ,
.
, ,
,
"" .
" " ,
,
.
. , , ,
" " "",
.
5 "
" .
--
. ,
,
.
; ,
. ,
, " "
,
. " "
.
, ,
.
" ". ;
.
Km=6,3-6,6.
.
l=l/S=322/140=7,3;
; , ,
S=140 2; C0=1,28F/S =0,13.
,
. C=1,0-1,2,
Cx=0,13+Cy2/pl=0,18-0,20 =5,6-- 6,0.
C, F,
bc; ,
C=1,2 ,
200 2.
Ym
. "
" Ym=8650 , :
, Ym ,
C, Ym,
.
G=G0/(Nl)2/3
G=G/(Nl)2/3, " "
G= 5,6 G=7,3.
G " " ,
1935-- 1945 .
. . 4
7%.
C, ,
" " C ;
q=58, G/S=37 /2,
C=0,64.
C Y,
Q=YCx/C
N=QV/75. . 5
4; 5; 6 7 . ,
Vi=V(r/ro)1/2,
N=(r/ro)1/2.
() N,
(r/ro)1/2
.
3 2 1300
/.
. 4. " "
. 5.
Y. . 6.
, ,
.
. 6.
,
ny=Y/G;
ny
, ,
,
DN=N-- N.
,
:
Vy
(. 7),
.
Vy h. ,
" ", --
18 , 50% , 36
-- 75% 1 -- 90% ,
.
. 7.
. 8. " "
5000
100 / 80-85
/, 1 =1,25-1,3 /;
100 / 1,5 /
150 /.
:
| V, / | 0 | 10 | 15 | 20 | 25 |
| , | 1800 | 1720 | 1570 | 1300 | 1200 |
. 9. " " () -18 ()
" ",
. ,
, ,
, .
. "
", .
,
, ,
. , - ,
, , , ,
.
,
,
.
, . . .
.
,
.
" "
23%
. 40% ,
.
-- .
,
.
, ,
"-".
-- ,
. " "
,
, .
,
, , ,
. , ,
, 90% , . ,
90%,
.
.
, ,
, ,
, .
, , ,
- ,
. " "
,
.
,
1920-- 1930 .,
, .
. ,
;
DY DY;
, , 1/4
( ), ;
.
,
.
" " .
DY=1000;
-- ,
0,23DY, ,
, , 0,17DY.
. 10. " "
,
35% ,
. DY=0,11
DY=110. (. 10),
1,25 , 1,88
. 0,75 , ,
, --
, 15% .
, ,
, . .
.
,
, , , ,
, ,
,
( ). ,
,
.
,
.
, ,
. , ,
.
,
.
;
.
DY ,
, Dn= DY/G.
,
.
.
.
,
J, q, . . a= J-- q.
( )
, :
, . .
,
.
,
.
,
. , Dny=0,1 25 /;
0,04 2,3 /.
DY=GDny=500 ,
0,375 ,
=186 ꃕ.
Da=wa/V
,
w=0,0075 1/, 0,43 /. ,
, ,
. , " " .
,
, ,
.
1910 . , . . .
, , ,
. ,
, , , --
-- .
, ,
.
. ,
" ".
.
" " :
l4 + Bl3 + Cl2 + Dl + E = 0;
B = 9; C=13; D = 3,5; E=-1.
l1=-7,3; l2=0,18; l3=-1,17
l4=-0,7.
, .
: 1=0,135 ; 2=0,85
; 3=1,43 .
4=5,5 .
.
.
, 5,5 ,
, , ,
, , 0,75,5=3,8-4 .
, 0,1
1,1, 4 1,2, 8 -- 1,4
12 -- 1,8.
,
, J
2-3 .
,
0,2-0,3 . ,
5 , .
, , ,
.
LB. " "
L 100 ;
,
. ,
1 , 100 ꃕ,
0,02 1/2; ,
, 10 , 0,2 1/2.
" "
, 1000 ꃕ;
10 . , , .
DP
Dny.
dP/dny Pn.
x0=xF-- T
L,
. ,
, , G,
Mz=
Gx0.
, D.
L, Mz= DL
: G x0+ D
L=0; D= - Gx0/L;
Pn = -50000.9/100= - 45 .
45 ,
, .
, Pn
; " ", ,
.
.
,
.
.
90 /
, 1700 ꃕ,
, ,
2500 ꃕ. , ,
3500 ꃕ; ,
,
.
.
, , ,
,
,
. " ",
, .
10; 25 /
, 6000 ꃕ;
Jx 50000
ꃕ2 dwx/dt=
/Jx =0,12 /2,
7 ,
, 0,1216=2 /.
(. 11), . .
, 1
.
, 7
, 70% .
( )
. " "
, ,
, .
. 11.
" " , ,
.
.
,
.
. 1 . .
, . .
. ,
. . .
, , ,
. "-" ,
.
, . . ,
, .
, . . ,
. . .
, , ,
.
, "
".
.
1914 . 1915 . -
, , , (
) -- .
, , ,
. ,
-.
,
.
,
,
.
( )
" " .
. , "".
,
, , ,
" ",
.
.
,
:
, , ,
, .
,
.
-- ,
. ;
,
, , , . .
.
,
, . . .
,
, ,
, .
.
, .
, ,
. ,
, .
,
. , , ,
. -- ,
. , ,
.
-
. -, 12-16%
; -, .
,
.
"" , .
, ,
.
1926-- 1928
. 3000-3500
2-2,5%; ,
. ,
, .
, , .
-
.
, 1950-- 1955
. , "
" 1914-- 1918 .
.
,
.
, . ,
-- ,
-- .
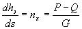
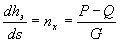
h=V2/2g,
h h,
h=h+h.
; h
.
, . . :
Q ,
,
,
N/G,
( ) ,
, n,
, . . nx
. ,
nx ,
nya.
ny
h =const ,
.
nya
.
nya .
,
, . . :
Ymax=Ky(Nl)2/3(r/ro)
1/3
Ky~6,8(KA)1/3, ,
,
Ky~7,2(KA)1/3.
1935
., :
, ,
A
, .
G0, ,
, ,
. ,
, . G0
, , . ., . . ,
.
, , GT,
GT/G.
Gap,
, , ,
.
Gap/G.
:
:
1) =6,8(max)1/3
=7,2(max)1/3 ;
;
2)
,
; ,
, ;
3) KG0=
G0/(Nl)2/3,
,
.
Ky/KG0=ny0=Ymax/G
.
KG0,
.
,
,
.
, , ,
.
,
.
, ,
-
.
,
.
10-14% .
, . ,
.
, ,
, .
,
, , .
,
.
, .
.
"", . .
.
.
( )
.
(
) .
1914-1920 .
.
.
1914-- 1919 .
, . . 1919-- 1939 .
, , ,
;
, . .
. ,
- .
1-- 3 24- ; 15 --
9 --
. 17
.
, ,
, . .
,
-.
,
. , --
,
. , 1-- 3,
, .
, ,
,
, , , ,
, .
.
,
.
.
.
, 1-- 3.
1 N ; ,
, , . .
, ,
.
1
- 1914-- 1919 .
| , | N, .. | l, | S, 2 | G0, | G, | l /l | (N l)2/3 | KG0 | KG | 0 | F0, 2 | K | Cy | Ky | Y | ny | Vmax, / | ymax | V, / | r, | t, | |||
| 1 | 2 | 3 | 4 | 5 | 6 | 7 | 8 | 9 | 10 | 11 | 12 | 13 | 14 | 15 | 16 | 17 | 18 | 19 | 20 | 21 | 22 | |||
| 1 | "-", | 1913 ., | 80 | 9,2 | 15,2 | 350 | 500 | 9/5,3 | 80 | 4,4 | 6,25 | 0,085 | 1,0 | 6,8 | 1,15 | 12,8 | 1000 | 2,0 | 130 | 1,2 | 30 | 50 | 11 | 1914 -- 1915 ., |
| 2 | " E-II", | 1916 ., | 100 | 10,2 | 17 | 400 | 610 | 10/5,8 | 100 | 4,0 | 6,1 | 0,085 | 1,10 | 7,0 | 1,20 | 13,0 | 1300 | 2,15 | 140 | 1,1 | 33 | 60 | 11 | 1916 . |
| 3 | "-11", | 1915 ., | 80 | 7,3 | 13,3 | 320 | 480 | 7,7/5,7 | 72 | 4,4 | 6,67 | 0,080 | 0,78 | 6,4 | 1,00 | 12,6 | 910 | 1,9 | 150 | 1,1 | 31 | 62 | 12 | 1915-- 1916 . |
| 4 | "-17", | 1916 ., | 110 | 8,15 | 15 | 370 | 550 | 8,6/5,7 | 98 | 3,8 | 5,6 | 0,065 | 0,76 | 7,7 | 1,00 | 13,4 | 1320 | 2,4 | 168 | 1,1 | 36 | 60 | 11 | 1916-- 1920 . |
| 5 | "", | 1917 ., A | 130 | 8,55 | 23 | 420 | 650 | 9,5/4,1 | 114 | 3,7 | 5,7 | 0,040 | 0,72 | 8,8 | 0,70 | 14,0 | 1600 | 2,45 | 180 | 1,0 | 33 | 52 | 10 | -- |
| 6 | , | 1917 ., | 130 | 8,2 | 25 | 400 | 640 | 9,5/4,0 | 114 | 3,5 | 5,6 | 0,035 | 0,70 | 8,8 | 0,60 | 14,0 | 1600 | 2,5 | 180 | 1,0 | 32 | 48 | 9,5 | 1918 -- 1919 . |
| 7 | " DR-1", | 1917 ., | 110 | 7,2 | 20 | 375 | 570 | 8,0/3,2 | 86 | 4,3 | 6,62 | 0,045 | 0,60 | 7,5 | 0,68 | 13,3 | 1140 | 2,0 | 175 | 1,3 | 26 | 42 | 10 | -- |
| 8 | "", | 1918 ., | 230 | 9,45 | 25 | 600 | 915 | 10,3/4,2 | 178 | 3,35 | 5,15 | 0,038 | 0,96 | 9,3 | 0,70 | 14,3 | 2500 | 2,7 | 200 | 1,0 | 40 | 66 | 10,5 | 1919-- 1923 . |
| , | N, .. | l, | S, 2 | G0, | G, | l /l | (N l)2/3 | KG0 | KG | 0 | F0,2 | K | Cy | Ky | Y | ny | Vmax, / | ymax | V, / | r, | t, | |||
| 1 | 2 | 3 | 4 | 5 | 6 | 7 | 8 | 9 | 10 | 11 | 12 | 13 | 14 | 15 | 16 | 17 | 18 | 19 | 20 | 21 | 22 | |||
| 9 | "-VII", | 1916 ., | 130 | 7,8 | 18 | 545 | 770 | 8,5/4,0 | 117 | 4,6 | 6,6 | 0,06 | 0,80 | 7,5 | 0,9 | 13,3 | 1560 | 2,0 | 180 | 1,0 | 37 | 82 | 14,0 | 1917-- 1920 . |
| 10 | " D-V", | 1917 ., | 160 | 9,0 | 21 | 680 | 910 | 9,8/4,5 | 135 | 5,0 | 6,75 | 0,06 | 0,95 | 7,9 | 0,9 | 13,5 | 1820 | 2,0 | 175 | 1,1 | 36 | 75 | 13,5 | 1917-- 1918 . |
| 11 | SE-5, | 1918 ., | 200 | 8,15 | 24 | 655 | 885 | 9,0/3,35 | 148 | 3,7 | 6,0 | 0,045 | 0,85 | 7,7 | 0,7 | 13,4 | 2000 | 2,3 | 200 | 1,0 | 36 | 67 | 11,5 | 1918-1919 . |
| 12 | " D-VII", | 1918 ., | 220 | 9,0 | 22 | 700 | 900 | 10,0/4,5 | 170 | 4,1 | 5,3 | 0,05 | 0,85 | 8,5 | 0,85 | 13,8 | 2350 | 2,6 | 200 | 1,4 | 35 | 58 | 10,0 | 1922 -- 1926 . |
| 13 | " F-4", | 1919 ., | 300 | 9,8 | 28 | 820 | 1090 | 10,7/4,1 | 218 | 3,8 | 5,0 | 0,05 | 1,05 | 8,1 | 0,8 | 13,6 | 2970 | 2,75 | 210 | 1,0 | 41 | 68 | 10,5 | 1922 -- 1927 . |
l -- ;
l1 -- ;
h -- ;
l=
l2/S.
7 ,
, 8 -- 9 --
; 10
0 =0, , ,
.
11 F0
: F0= 0S/1,28, 12 --
, 13 --
, , 14 --
, 6,8()1/2 --
7,2()1/2.
15 Y
, Y
(. . 3).
3
- 1923 -- 1938 .
| , | N, .. | l, | S, 2 | G0, | G, | l /l | (Nl)2/3 | KG0 | KG | 0 | F0, 2 | K | Cy | Ky | Y | ny | Vmax, / | ymax | V, / | r, | t, | |||
| 1 | 2 | 3 | 4 | 5 | 6 | 7 | 8 | 9 | 10 | 11 | 12 | 13 | 14 | 15 | 16 | 17 | 18 | 19 | 20 | 21 | 22 | |||
| 14 | "", | 1925 ., | 420 | 9,1 | 27,0 | 880 | 1250 | 10/3,7 | 260 | 3,3 | 4,8 | 0,042 | 0,9 | 8,3 | 0,70 | 14 | 3000/- | 2,85/- | 250 | 1,0 | 46 | 80 | 10,5 | -- |
| 15 | "-4", | 1927 ., | 420 | 11,4 | 24,0 | 920 | 1360 | 11,4/5,4 | 285 | 3,25 | 4,75 | 0,045 | 0,8 | 9,6 | 0,85 | 14,5 | 4150/- | 3,0/- | 260 | 1,2 | 48 | 82 | 10,5 | |
| 16 | "-5", | 1930 ., | 480 | 9,6 | 21,0 | 900 | 1300 | 10,4/5,1 | 290 | 3,1 | 4,48 | 0,042 | 0,7 | 9,7 | 0,80 | 14 | 4000/- | 3.3/- | 280 | 1,35 | 50 | 80 | 10 | |
| 17 | "-15", | 1934 ., | 720/1000 | 9,7 | 22,0 | 1170 | 1570 | 10,3/4,8 | 380 | 3,0 | 4,12 | 0,041 | 0,7 | 9,7 | 0,78 | 14,5 | 5600/6900 | 3,5/4,4 | 320 | 1,35 | 55 | 92 | 10 | |
| 18 | "-16", | 1934 ., | 750/1070 | 9,0 | 14,5 | 1300 | 1680 | 9,0/5,6 | 360 | 3,6 | 4,7 | 0,035 | 0,4 | 11,0 | 0,70 | 15 | 5300/6800 | 3,15/4,0 | 400 | 1,3 | 67 | 155 | 15 | " |
| 19 | "-16", | 1938 ., | 920/1500 | 9,0 | 14,5 | 1450 | 1830 | 9,0/5,6 | 410 | 3,5 | 4,45 | 0,035 | 0,4 | 11,0 | 0,70 | 15 | 6500/8800 | 3,5/4,7 | 420 | 1,3 | 74 | 170 | 14,5 | " |
| 20 | "-153", | 1938 ., | 920/1500 | 10,0 | 22,0 | 1440 | 1850 | 10,5/5,0 | 450 | 3,15 | 4,1 | 0,030 | 0,52 | 11,0 | 0,70 | 15 | 7300/10000 | 4,0/5,3 | 385 | 1,35 | 62 | 105 | 10 | " |
| 21 | " D-11", | 1924 ., | 300 | 11,4 | 21,5 | 920 | 1320 | 11,4/6,0 | 230 | 4,1 | 5,7 | 0,056 | 0,95 | 9,2 | 1,00 | 14 | 3200/- | 2,5/- | 220 | 1,4 | 41 | 75 | 11,5 | 1925-1930 . |
| 22 | "-3", | 1928 ., | 500/600 | 11,0 | 27,0 | 1420 | 1660 | 11,8/5,1 | 320 | 4,3 | 5,2 | 0,042 | 0,9 | 9,6 | 0,80 | 14,5 | 4700/- | 2,8/3,2 | 280 | 0,35 | 46 | 83 | 11,5 | |
| 23 | "", | 1934 ., | 600/880 | 9,2 | 24,5 | 1230 | 1640 | 10,0/4,1 | 330 | 3,7 | 5,0 | 0,040 | 0,75 | 9,0 | 0,70 | 14 | 4700/6000 | 2,8/3,6 | 300 | 1,2 | 50 | 95 | 12 | -- |
| 24 | "-1", | 1941 ., | 1200/2000 | 9,2 | 14,8 | 2100 | 2650 | 9,2/5,7 | 490 | 4,2 | 5,4 | 0,022 | 0,25 | 13,0 | 0,60 | 17 | 8300/11500 | 3,1/4,3 | 570 | 1,0 | 95 | 320 | 21 | |
20 -- r,
21 -
"-". .
. ;
.
"-" .
-- 130 /;
2,
2000 1,5; ,
.
"
. . ". "
-II",
"-" (. 2, ). :
100 . ., 160 . .;
;
, .
" -II" . ,
""
, .
1914 .
. 1914 .
- ; ,
"-", -- 80 . ., --
20 / , .
"-"
, ; 44
0,3 2.

. 2 :
-- " II", -- "-17", -- ""; -- ,
, ,
20-25%. , . . 1914 .,
,
20
.
10%,
-- 20%,
.
.
--
9-10 7,5-8,5 . ,
; --
.
,
.
1915 . -
"-10" "-11";
-- "" .
"-11" "".
"-17", -21, -23, -24 -24 ;
. "-17" 110 . .
, "-11"; "-23"
120 . .; "24 "
"23" , .
"" (. . 2, ),
: --
, ; 0,7
, .
"V".
""
; .
; -- ,
;
.
"" . ,
, ,
.
. "",
, .
.
. 1 , ""
=l,0, m 1,3.
.
, .
,
.
. "" , ,
.
1918 . "" ""
.
. 1917 .
""
("") 130 . . (. 2, ).
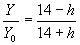
. 1; ,
"" n
2,5 10 .
"" 7 . ,
.
n=1;
n
Y/Y.
. 3 Y/Y0
:
,
.
.
.
. 3 ,
:
1)
2)
3) ,
,
. 3. :
1 -- ; 2 --
; 3 --
.
1917 . -, . .
, , , (.
. 2, ). . 1, , ,
, "";
.
,
.
,
, ,
.
,
, . ,
,
. .
"" ,
. 1917 .
" F.-19".
"", --
7,35 -- ,
.
.
, ,
.
,
.
. ,
; ,
.
.
80 . ., -- 120-130 ..,
220-230 . . ,
2, -- 2,4-2,5,
2,7-2,8.
-
"".
( ,
) ,
, ,
.
KG0 (K
G0=3,35) --
.
-, 1917 .
- .
, ,
1150 1600 ,
. (. . 1)
" DR-1" (n =
2). .
" DR-1"
. , , ,
. ,
.
. " DR-1"
1,3-1,4,
, - .
, , , ,
, .
""
VII XIII. ,
.
-- ,
, .
. ,
, ,
. ,
,
.
.
"-VII" - 150 . .
1917-- 1918 ., --
- .
, "", ,
, .
"-XIII", ,
, 1917--
1918 . "-", . .
, .
.
"-VII",
, .
1917-- 1918 .
;
" D-V" 160 . .
"SE-5" 200 . .
1918 .
-, " D-VII".
.
,
,
.
185-220 . .
. . 4
a "RAF-15"
" D-VII". ,
, .
" D-VII"
.
,
, " D-VII".
,
, .
""
. 1922 .
" D-VII",
. .
. 4.
RAF-15 " D-VII"
- .
, "".
, 1934-- 1935
.
, , -- -
--
, .
-20,
. . .
"" "", ,
, ,
. , ,
.
.
. " " ""
80 . . ,
, .
" " , ,
. 1920-- 1921
. " " .
, ,
, .
, 1915-- 1920 .
. ,
, , , .
, ,
, ,
. ,
,
.
1920-- 1932 .
. ,
,
, . ,
". R" 220 . .,
.
. , - 300 .
., "" 400 . . .
1919 . " F-4"
- 300 . .;
. 2. ,
.
1922 .
. ,
, .
1924-- 1925 .
400 . . ,
. ,
.
""
.
1944-- 1945 .,
.
.
, ,
. . 3 ""
. , ,
,
420 . . 2,85.
. . . . ,
1920-- 1921 .,
-5 (. . ""),
. , 1923 . . .
". .", "", ,
, ,
. . . -
"-2" -5;
. "-2"
"-2 ". ". ." . .
,
; . . .
.
.
.
1926 . . .
, . . .
, ,
-- ,
, 1928 . "-3".
,
-6 500 . .
; 280 /,
2,8.
. . 1926 .
-- "-3" ("-3")
"-1" ("-4") --
. 1927 . "-4"
("-5") , ,
,
.
420 . ., 260 /
, 3,0, -- .
"-4" ;
, ,
.
, . . , . . , . .
,
, ,
480 . . ,
1930 . "-5",
.
. 3, ny
"-5" 3,3,
,
: G0=3,1, , ,
21% .
"-5"
" " .
1932-- 1940 .
.
F0
.
, ,
, , . ,
, , -,
F0, 0,8 ,
.
.
, ,
.
,
,
.
1933-- 1943 ., , , --
-- ,
.
, ,
,
,
, .
,
. , ,
"-3" (1943 .),
.
, ,
, ,
.
,
.
.
.
, ,
.
, ,
, ,
.
, ,
G/S.
.
S,
l=12/S.
.
.
.
,
, ,
,
. -- ""
.
--
40-60 /2 100-150 /2 --
Cymax. , ,
. ,
,
, ,
.
. 5 F0
.
1 2 0,7-0,8
2, ;
F0.
1920-- 1930 .
F0, 1934 . ,
F0, 0,35-0,3.
, F0
; , F0
, 20%.
. 5. F0
.
.
.
.
, . . .
, ,
.
, . . ,
,
. ,
,
.
,
.
,
,
.
.
1935-- 1945 . ,
-- ,
. ,
,
,
.
, .
.
, . . .
, --
, , .
. ,
.
, ,
.
, .
: ,
,
,
.
--
.
.
,
. , ,
.
.
, .
:
Np ,
N, , ,
, ,
, .
n
. ,
,
.
1932-- 1938 .
. 3.
, Y
n N N.
, ,
.
, ,
,
, , .
. . --
"-15", "-16" "-153".
. "-153"
4,
-- 5.
.
"-153" "-5" "-15".
"-5" "-15";
. "-15" ,
, "-5";
"-15" 30%, 20%
"-5". 30%
-- 8%, 3,5.
2,5
30%. "-15"
, .
"-153", 4
"-15", ,
.
9,7 11. , ,
30%
17%.
15%, -- 30%
. "-153"
-
.
"-153"
. . ,
.
. . -,
. ,
. 1934 . . .
"-16", .
1934 . -
, , , "-16"
;
. ,
.
.
-- ;
. ,
, ,
,
.
, . 3, ,
KG0 "-16"
-,
, (F0=0,4).
"-16" 3, -- 3,5
.
"-16" .
, ,
,
. ,
"".
, ,
.
.
,
, .
; ;
.
r=G/gSl, "-16",
.
"-16", ,
, ,
. -
, ,
,
, . 3. "-16"
- .
,
.
. , , .
. , ,
, -
"-15" "-153". . . --
. ,
, ,
,
, .
.
"-16"
. , "-5" "-15" h
310 400 , "-16" 1938 .
630 700 .
,
- ,
.
.
, ,
,
, (
),
.
,
, ;
,
.
, . , ,
Me-109" :
, , -- "G" -- ,
-- "F".
n 15-20%.
,
, . .
.
, , Y/G0,
.
, ,
.
. . 3 "-1",
.
KG0 n ,
,
, n ,
-. ,
, ,
n .
1913-- 1938 .
. 6 7 ,
. . 6.
n. ,
n 30%,
40%.
1920-- 1930 . n
, , 1938 . n
4, . . , .
. 6
. ,
. ,
n
.
n ,
, , .
3. , "-5"
3,25. 4
0,59 (. . 3),
0,593,25=1,92.
. 6.
"-153" 5,25 (. . 6);
4
0,63 (. . 3)
n=0,63 5,25 = 3,3, . . 70% , "-5".
"-153"
"-5" 20%.
. 7 .
,
KG0. KG0,
. KG0
,
.
, . 7,
KG0 ,
.
KG0,
; ,
KG0.
. 7.
, KG0
, , ,
, .
.
. ,
, . . 85% 0;
.
: ny=0,85K*P0/G. ,
P0/G, 0,5-0,7, , ny
4,5-6 .
P0/G , ny
8. .
P0/G 0,25,
ny 3.
ny
, -- .
. 8. "-17" --
. 9 "-17" ;
,
. 5;
F0=0,76 ,
:
C=0,065 + 0,0652
""
, . 9.
7,7.
"" ( 110 . .) 2,45 2,75
.
,
.
. 10
, 0, 2, 4 6 .
,
12%.
. 9. "-17"
(. 11).
DN=N-- N
.
(. 12)
Q
h=V2/2g.
, ;
P/Qop
.
Ym=1360 ;
1320 .
. 13 .
50
-- 10 .
, "",
= 0,065(1+ 2).
10 ,
"-17"
. 12 13 .
.
, ,
(
8,1 , 35 ). ,
"" ( )
1,9 , ""
2,7 . ""
250 , 45% . ,
, 4 /2;
, 20 /, 5
-- 50 . 5 /
30 .
. 11 "-17"
. 12.
"-17"
"" --
16-17.
. 45
100 / 70 ,
17 80 .
,
.
. 13 "-17"
,
12 / 100 / 25 /
, . , 60 ,
2 .
125 /,
0,12 /;
500 .
,
.
1,2 ,
=6. 80-85 / 4 /;
45 100 /
80 , -- 20 --
120 .
-5
"-5" (. 14)
. . . . 1930 .
,
.
, .
14 "-5"
. , ,
.
;
.
. 15 "-5" "-153".
. 16
"-5".
. V
;
;
x=P/qS, , , ,
, :
. 15. "-5" "-153"
. 16. "-5"
. 17.
"-5"
,
(. 17);
n
:
ny, r, t (. 18).
,
.
-153
, "-5"
"-15",
. "-153"
. "-15",
"-153",
.
, "-15" "-153",
. . . "-153" . 19,
. 15; "-5"
,
=11.
.
. 18. "-5"
. 19. "-153"
.
Nop=QV/75
,
, . . (. 20).
. 21
. , .
35 /
850 ; j=3,8 /2,
-- 9 160 .
, "-5" (. 22).
,
Cyo=0,85, n = Cyo
qS/G.
. 20. "-153"
. 21. "-153"
. 22. "-153"
, ,
; 1700
. , 3,6
11 , . . ,
"-5".
"-153", "-15",
"", . . ,
, .
, .
, ,
, .
, ,
.
,
, . . Cz
C 3,5-- 4,0.
.
3
2000 , . . .
"-153" 90, . .
. .
-16
, . . --
"-16" .
. . 23,
. 3. ,
"-153", "-16" ( 1938 .)
, ,
"-153". .
, "-16" "-153"
F0.
"-16" -- 10%,
-- 20%.
"-16" "-YH",
; . 24
.
"-153",
. P=75N/V
. 25. , ,
,
0 11 (. 26).
,
. 1750
ny = 1; 1,5; 2, 2,5 3,
.
(. 27),
.
23 "-16"
. 28,
w=gn/V.
"-153".
. 24. "-16"
. 25. "-16"
. 26.
"-16"
. 27.
"-16"
=0,85m. , , 70
/ (250 /), "-153"
, , ,
. , 100 / (360 /),
"-16".
? ; "-153"
, "-16" --
. , , ,
.
28.
"-16" "-153"
. 29.
"-16"
"-153" ,
"-16"
, "-153" .
"-16" , 150
/, 10 210-220 ;
16 /, --
15. . 29
, , ,
. 26;
.
* *
. ,
, .
,
.
1. . ., , , 1939.
2. . ., , , 1940.
3. . ., . ., , , 1961.
4. 1907 ,
, . . , , 1956.
5. . .,
, , 1910.
6. . ., , II,
, , 2, ,
, , 1939.
7. " ", 1918 . .
8. "", 1910-- 1917 .
9. . ., 20 , , , 1934,
10. . ., ,
, 1921.
11. . ., , , 1918.
12. " ", .
. , , 1918.
13. . ., . . , ,
1952.
. . .
. . . .
29/III 1968 . -10097 10/VII 1968 .
3600 . 78 . . 1968 . No 148
"", , -51, , 24 . .
2395
No 8
, ., 7. . . 678
. -- 59, -- 3, -- 13 .
. . .
Last-modified: Mon, 13 Jan 2003 09:15:56 GMT